TOPIC 2 - REAL GAS

Examples of Solved Problems:

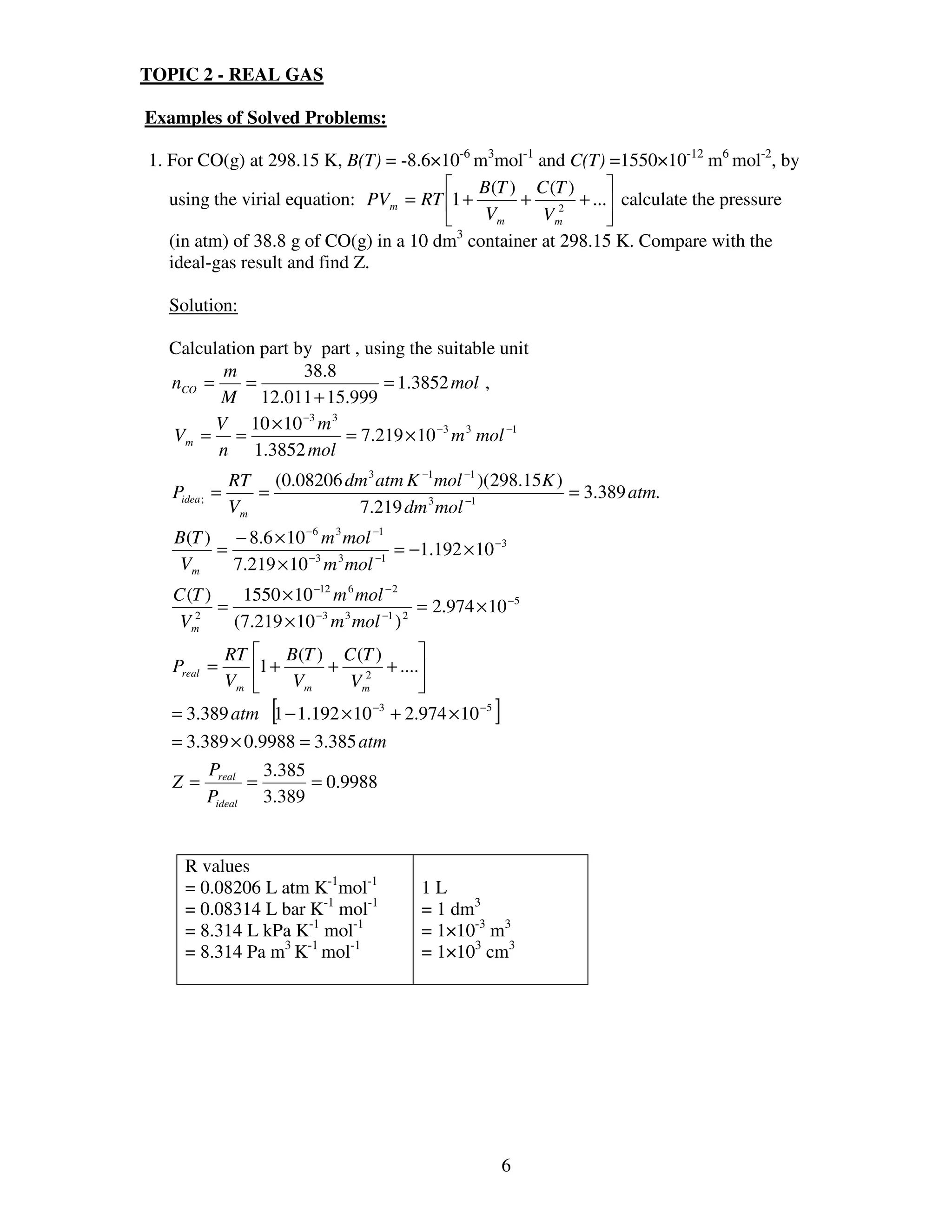
1. For CO(g) at 298.15 K, B(T) = -8.6×10-6 m3mol-1 and C(T) =1550×10-12 m6 mol-2, by
                                         B(T ) C (T )      
   using the virial equation: PVm = RT 1 +      + 2 + ... calculate the pressure
                                           Vm      Vm      
                                          3
   (in atm) of 38.8 g of CO(g) in a 10 dm container at 298.15 K. Compare with the
   ideal-gas result and find Z.

  Solution:

  Calculation part by part , using the suitable unit
         m          38.8
  nCO =     =                   = 1.3852 mol ,
        M 12.011 + 15.999
        V 10 × 10 −3 m 3
  Vm = =                 = 7.219 × 10 −3 m 3 mol −1
        n 1.3852 mol
               RT (0.08206 dm 3 atm K −1 mol −1 )(298.15K )
   Pidea ;   =    =                                         = 3.389 atm.
               Vm           7.219 dm 3 mol −1
   B(T ) − 8.6 × 10 −6 m 3 mol −1
        =           −3   3     −1
                                  = −1.192 × 10 −3
   Vm     7.219 × 10 m mol
   C (T )    1550 × 10 −12 m 6 mol − 2
          =                               = 2.974 × 10 −5
    Vm2
            (7.219 × 10 −3 m 3 mol −1 ) 2
           RT  B(T ) C (T )      
   Preal =     1 +     + 2 + ....
           Vm      Vm     Vm     
                    [
   = 3.389 atm 1 − 1.192 × 10 + 2.974 × 10 −5
                              −3
                                                     ]
   = 3.389 × 0.9988 = 3.385 atm
        P       3.385
   Z = real =         = 0.9988
        Pideal 3.389


     R values
     = 0.08206 L atm K-1mol-1            1L
     = 0.08314 L bar K-1 mol-1           = 1 dm3
     = 8.314 L kPa K-1 mol-1             = 1×10-3 m3
     = 8.314 Pa m3 K-1 mol-1             = 1×103 cm3




                                                         6
 ∂P         ∂P 
2. Calculate       and        for a gas that has the following equation of state;
               ∂V  T      ∂T V
             RT      a
       P=         −
            V −b V
 Solution:
   Lets know these symbols :
     ∂ : is symbol for partial differential
     d : is symbol for total or exact differential or normal differential
     δ : is symbol for differential for non state function (for work, w and heat, q ).

  To do these type of questions, you must remember the concept of basic derivatives in
  calculus.

   Let see a simple examples :
    i.    y = x5
          dy
             = 5 x 5−1 = 5 x 4
          dx
              3
  ii.    y = 5 = 3 x −5
              x
         dy                                − 15
             = 3(−5) x −5−1 = −15 x − 6 = 6
         dx                                 x
              3      2
  iii. y = 5 +           = 3x −5 + 2( x − 1) −1
             x     x −1
       dy                               − 15        2
           = −15 x − 6 − 2( x − 1) − 2 = 6 −
       dx                                x      ( x − 1) 2

                    ∂P 
  The meaning of        is the partial deferential of P respect to V at constant T.
                    ∂V  T
                                 RT    a
  For equation of state: P =        −       = (RT)(V-b) -1- a(V)-1
                               V −b V
     ∂P                   -1-1          -1-1      RT        a
         =(-1)(RT)(V-b) - a(-1)(V) = −                  2
                                                            + 2
     ∂V  T                                      (V − b)    V
     ∂P    RT 1−1        R
         =        −0 =
     ∂T V V − b        V −b




                                                        7
Exercise 2a

1.    In an industrial process, nitrogen is heated to 500 K at a constant volume of
      1.000 m3. The gas enters the container at 300 K and 100 atm. The mass of the
      gas is 92.4 kg. Use the van der Waals equation to determine the approximate
      pressure of the gas at its working temperature of 500 K. For nitrogen; a =
      1.352 dm6 atm mol−2, b = 0.0387 dm3 mol-2. (140.48 atm)

2.    A gas at 250 K and 15 atm has a molar volume 20 per cent smaller than that
      calculated from the perfect gas law. Calculate the molar volume of the gas.
      Calculate the compression factor under these conditions. Which are
      dominating in the sample, the attractive or the repulsive forces? (0.80, the
      attractive forces)

3.    Suppose that 10.0 mol C2H6(g) is confined to 4.860 dm3 at 27°C. Predict the
      pressure exerted by the ethane from the van der Waals equations of state.
      Calculate the compression factor based on these calculations. For ethane, a =
      5.507 dm6 atm mol−2, b = 0.0651 dm3 mol−1. (35.16 atm, 0.694)

4.    Cylinders of compressed gas are typically filled to a pressure of 200 bar.
      For oxygen, what would be the molar volume at this pressure and 25°C
      based on (a) the perfect gas equation, (b) the van der Waals equation. For
      oxygen, a = 1.382 dm6 bar mol−2, b = 3.19 × 10−2 dm3 mol−1. ( A cubic
      equation, can solved using a computer with math app.) ( 0.112 dm3 mol−1)

5.    At 300 K and 20 atm, the compression factor of a gas is 0.86. Calculate the
      volume (L) occupied by 8.2 mmol of the gas under these conditions.(8.68).


6.    The experimentally determined density of H2O at 1200 bar and 800 K is
      537 g L–1. Calculate Z and Vm from this information. (0.0334 L, 0.602)

7.    The critical temperature and pressure of n-butane are 425.2 K and 3800
      kPa, respectively. Calculate the critical volume of the gas? (0.35 L mol-1)

8.    What is the molar volume of N2(g) at 500 K and 600 bar according to the
      virial equation? The virial coefficient B of N2(g) at 500 K is 0.0168 mol-1.
      (0.0861)

9.     A gas following the hard-sphere potential without attraction obeys the
       equation P(V-b) = RT. Derive (∂V / ∂T ) P , (∂V / ∂P) T and (∂ 2V / ∂P 2 ) T .
       (R/P, -RT/P2, 2RT/P3)


10.    At T=Tc, (∂P / ∂Vm )T =Tc = 0 and (∂ 2 P / ∂Vm ) T =Tc = 0. Use this information to
                                                    2


       determine a and b in the van der Waals equation of state in terms of the
       experimentally determined values Tc and Pc. (27R2Tc2/64Pc, RTc/8Pc)




                                                   8
Exercise 2b

1.   You want to calculate the molar volume of O2 at 398.15 K and 60 bar
     using the van der Waals equation, but you do not want to solve a cubic
     equation.    Use     the       first    two    terms     of     equation
          PVm        1      a 
     Z=        = 1+    b −      P + .... …………
          RT        RT     RT 
     The van der Waals constants of O2 are a = 0.138 Pa m6mol-2 and b=
     3.18×10-5m3mol-1. What is the molar volume in L mol-1? (0.542 L mol-1)

2.   Calculate the density of CO2(g) at 375 K and 385 bar using the ideal gas
     law, and the van der Waals equations of state. Solve the van der Waals
     equation for Vm. Based on your result, does the attractive or repulsive
     contribution to the interaction potential dominant under these conditions?
     For CO2(g), a = 3.658 dm6 bar mol−2, b = 0.0429 dm3 mol−1. (7738.6 g/L,
     Z = 0.07>1, the attractive contribution is dominance).

3.    The critical constants of methane are Pc = 45.99 bar,Vc = 98.60 cm3 mol−1,
      and Tc = 190.56 K. Calculate the van der Waals parameters of the gas.
      (b = 0.0431 dm3mol-1, r =1.94×10-10 m, a = 2.303 dm6 bar mol-2).

4.    At what temperature and pressure will H2 be in a corresponding state with
      CH4 at 500.0 K and 2.00 bar pressure? Given Tc=33.2 K for H2, 190.6 K
      for CH4; Pc=13.0 bar for H2, 46.0 bar for CH4. (0.5655 bar)

5.   Assuming that methane is a perfectly spherical molecule, find the radius
     (in cm) of one molecule using the value of b in the van der Waals equation.
     For methane, b = 0.0428 cm3 mol-1. (1.62×10-9)

6.   A certain gas obeys the van der Waals equation with a = 0.76 m6 Pa mol-2.
     It has a volume of 3.0×10-4 m3 mol-1 at 273.15 K and 3.0 MPa. From this
     information, estimate the radius of the gas molecules (in nm) on the
     assumption that they are spheres.(0.216 nm)

7.    Gas A (having a molar mass of 26 g mol-1) has a mass of 1.8 kg at - 43 oC
      and pressure 78 bar. The gas occupies a volume of 12.3 L. Based on the
      calculations explain whether it is easier or more difficult to compress this
      gas than if it behaves ideally.( A is easier to compress than if it behaves
      ideally)




                                                 9
Problems 2

1.   A hypothetical gas has the equation of state    P = (RT/Vm-b) - (a/TVm)
     Where a and b are constants distinct from zero. Ascertain whether this
     gas has a critical point. If it has, express Vmc and Tc, (the critical
     constants) in term of a and b. (The gas has no critical point )


2.   A   non ideal-gas is represented by the equation of state:
            1   a    b 
     P = RT  + 2 + 3  where a and b are constants. Calculate
            V V     V 
      ∂P       ∂2P 
          and 
                 ∂V 2  . By requiring that this equation of state at the critical
                       
      dV  T         
                                          V2
     point, show that a = −Vc and b = c .
                                           3

3.                                                              R      aT
     A hypothetical gas has the equation of state      P=            − 2 where a
                                                             Vm − b V m
     and b are constants distinct from zero. Ascertain whether this gas has a
     critical point. If it has, express Vmc, and Tc (the critical constants) in term
     of a and b. (3b, 27Rb/8a).

4.   Derive the compression factor (Z) of 0.225 kg of N2 behaving as a van
     der Waals gas, confined in 5.860 dm3 at 27 oC and find its value. Which
     intermolecular forces are dominating in the sample? Given for N2 : a =
     1.35×106 atm cm6 mol-2 ; b = 38.6 cm3 mol-1 . (0.97, attractive forces)

5.   Compression factor, Z is a direct measure of the deviation of a real gas
     from ideality.
     a) Define Z in the form of mathematical expression.
                          V
     b) Show that Z = m = P , where o denotes ideal state.
                            o
                          Vm    P0
     c) Derive an expression for the compression factor of a van der Waals
        gas in terms of Vn, T, a and b.
     d) Calculate the compression factor of 10.0 mol CO2 behaving as a van
        der Waals gas and is confined in 4.860 dm3 at 27 oC. Which
        intermolecular forces are dominating in the sample? [ Given for CO2 :
        a = 3.610 atm dm6 mol-2 ; b = 4.29 x 10-2 dm3 mol-1]
                   PVm      Vm       a
         Answer:        ,        -       , 0.80, Z < 1 ; attractive force.
                    RT Vm − b RTVm

6.   The critical temperatures of gases O2, H2 and CO2 are -118.2, -239.8 and
     31 oC respectively. (a) Which of these gases will easily be liquefied?
     (b) Which of these gases will liquefy when compressed isothermally at
     100K? (Gas with the lowest Tc ,CO2 and O2 )



                                                  10
7.    The following equations of state are occasionally used for approximate
      calculation on gases; (gas A) PVm= RT(1+b/Vm), (gas B) P(Vm-b) = RT.
      Assuming that there were gases that actually obeyed these equations of
      state, would it be possible to liquefy either gas A or B? Would they have
      a critical temperature? Explain your answer.

8.    State two conditions whereby van der Waals equation is more
      appropriate to apply then ideal gas law equation. Explain.

9.    The critical constants of ethane are Pc = 48.20 atm, Vc = 98.7 cm3 mol-1,
      and
      Tc = 190.6 K. Calculate the van der Waals parameters of the gas and
      estimate the radius of the molecules.
      ( b = 32.9 cm3 mol-1, a = 1.33 L2 atm mol-2, r = 0.24 nm)


10.   A hypothetical gas is found to obey the following equation of state
                            RT        a
                    P=           -
                          Vm − b TVm
      Where a and b are constants not equal to zero. Show whether the critical
      temperature exists. Would it be possible for this gas to liquefy?




                                                 11

Topic 2 kft 131

  • 1.
    TOPIC 2 -REAL GAS Examples of Solved Problems: 1. For CO(g) at 298.15 K, B(T) = -8.6×10-6 m3mol-1 and C(T) =1550×10-12 m6 mol-2, by  B(T ) C (T )  using the virial equation: PVm = RT 1 + + 2 + ... calculate the pressure  Vm Vm  3 (in atm) of 38.8 g of CO(g) in a 10 dm container at 298.15 K. Compare with the ideal-gas result and find Z. Solution: Calculation part by part , using the suitable unit m 38.8 nCO = = = 1.3852 mol , M 12.011 + 15.999 V 10 × 10 −3 m 3 Vm = = = 7.219 × 10 −3 m 3 mol −1 n 1.3852 mol RT (0.08206 dm 3 atm K −1 mol −1 )(298.15K ) Pidea ; = = = 3.389 atm. Vm 7.219 dm 3 mol −1 B(T ) − 8.6 × 10 −6 m 3 mol −1 = −3 3 −1 = −1.192 × 10 −3 Vm 7.219 × 10 m mol C (T ) 1550 × 10 −12 m 6 mol − 2 = = 2.974 × 10 −5 Vm2 (7.219 × 10 −3 m 3 mol −1 ) 2 RT  B(T ) C (T )  Preal = 1 + + 2 + .... Vm  Vm Vm  [ = 3.389 atm 1 − 1.192 × 10 + 2.974 × 10 −5 −3 ] = 3.389 × 0.9988 = 3.385 atm P 3.385 Z = real = = 0.9988 Pideal 3.389 R values = 0.08206 L atm K-1mol-1 1L = 0.08314 L bar K-1 mol-1 = 1 dm3 = 8.314 L kPa K-1 mol-1 = 1×10-3 m3 = 8.314 Pa m3 K-1 mol-1 = 1×103 cm3 6
  • 2.
     ∂P   ∂P  2. Calculate   and   for a gas that has the following equation of state;  ∂V  T  ∂T V RT a P= − V −b V Solution: Lets know these symbols : ∂ : is symbol for partial differential d : is symbol for total or exact differential or normal differential δ : is symbol for differential for non state function (for work, w and heat, q ). To do these type of questions, you must remember the concept of basic derivatives in calculus. Let see a simple examples : i. y = x5 dy = 5 x 5−1 = 5 x 4 dx 3 ii. y = 5 = 3 x −5 x dy − 15 = 3(−5) x −5−1 = −15 x − 6 = 6 dx x 3 2 iii. y = 5 + = 3x −5 + 2( x − 1) −1 x x −1 dy − 15 2 = −15 x − 6 − 2( x − 1) − 2 = 6 − dx x ( x − 1) 2  ∂P  The meaning of   is the partial deferential of P respect to V at constant T.  ∂V  T RT a For equation of state: P = − = (RT)(V-b) -1- a(V)-1 V −b V  ∂P  -1-1 -1-1 RT a   =(-1)(RT)(V-b) - a(-1)(V) = − 2 + 2  ∂V  T (V − b) V  ∂P  RT 1−1 R   = −0 =  ∂T V V − b V −b 7
  • 3.
    Exercise 2a 1. In an industrial process, nitrogen is heated to 500 K at a constant volume of 1.000 m3. The gas enters the container at 300 K and 100 atm. The mass of the gas is 92.4 kg. Use the van der Waals equation to determine the approximate pressure of the gas at its working temperature of 500 K. For nitrogen; a = 1.352 dm6 atm mol−2, b = 0.0387 dm3 mol-2. (140.48 atm) 2. A gas at 250 K and 15 atm has a molar volume 20 per cent smaller than that calculated from the perfect gas law. Calculate the molar volume of the gas. Calculate the compression factor under these conditions. Which are dominating in the sample, the attractive or the repulsive forces? (0.80, the attractive forces) 3. Suppose that 10.0 mol C2H6(g) is confined to 4.860 dm3 at 27°C. Predict the pressure exerted by the ethane from the van der Waals equations of state. Calculate the compression factor based on these calculations. For ethane, a = 5.507 dm6 atm mol−2, b = 0.0651 dm3 mol−1. (35.16 atm, 0.694) 4. Cylinders of compressed gas are typically filled to a pressure of 200 bar. For oxygen, what would be the molar volume at this pressure and 25°C based on (a) the perfect gas equation, (b) the van der Waals equation. For oxygen, a = 1.382 dm6 bar mol−2, b = 3.19 × 10−2 dm3 mol−1. ( A cubic equation, can solved using a computer with math app.) ( 0.112 dm3 mol−1) 5. At 300 K and 20 atm, the compression factor of a gas is 0.86. Calculate the volume (L) occupied by 8.2 mmol of the gas under these conditions.(8.68). 6. The experimentally determined density of H2O at 1200 bar and 800 K is 537 g L–1. Calculate Z and Vm from this information. (0.0334 L, 0.602) 7. The critical temperature and pressure of n-butane are 425.2 K and 3800 kPa, respectively. Calculate the critical volume of the gas? (0.35 L mol-1) 8. What is the molar volume of N2(g) at 500 K and 600 bar according to the virial equation? The virial coefficient B of N2(g) at 500 K is 0.0168 mol-1. (0.0861) 9. A gas following the hard-sphere potential without attraction obeys the equation P(V-b) = RT. Derive (∂V / ∂T ) P , (∂V / ∂P) T and (∂ 2V / ∂P 2 ) T . (R/P, -RT/P2, 2RT/P3) 10. At T=Tc, (∂P / ∂Vm )T =Tc = 0 and (∂ 2 P / ∂Vm ) T =Tc = 0. Use this information to 2 determine a and b in the van der Waals equation of state in terms of the experimentally determined values Tc and Pc. (27R2Tc2/64Pc, RTc/8Pc) 8
  • 4.
    Exercise 2b 1. You want to calculate the molar volume of O2 at 398.15 K and 60 bar using the van der Waals equation, but you do not want to solve a cubic equation. Use the first two terms of equation PVm 1  a  Z= = 1+ b −  P + .... ………… RT RT  RT  The van der Waals constants of O2 are a = 0.138 Pa m6mol-2 and b= 3.18×10-5m3mol-1. What is the molar volume in L mol-1? (0.542 L mol-1) 2. Calculate the density of CO2(g) at 375 K and 385 bar using the ideal gas law, and the van der Waals equations of state. Solve the van der Waals equation for Vm. Based on your result, does the attractive or repulsive contribution to the interaction potential dominant under these conditions? For CO2(g), a = 3.658 dm6 bar mol−2, b = 0.0429 dm3 mol−1. (7738.6 g/L, Z = 0.07>1, the attractive contribution is dominance). 3. The critical constants of methane are Pc = 45.99 bar,Vc = 98.60 cm3 mol−1, and Tc = 190.56 K. Calculate the van der Waals parameters of the gas. (b = 0.0431 dm3mol-1, r =1.94×10-10 m, a = 2.303 dm6 bar mol-2). 4. At what temperature and pressure will H2 be in a corresponding state with CH4 at 500.0 K and 2.00 bar pressure? Given Tc=33.2 K for H2, 190.6 K for CH4; Pc=13.0 bar for H2, 46.0 bar for CH4. (0.5655 bar) 5. Assuming that methane is a perfectly spherical molecule, find the radius (in cm) of one molecule using the value of b in the van der Waals equation. For methane, b = 0.0428 cm3 mol-1. (1.62×10-9) 6. A certain gas obeys the van der Waals equation with a = 0.76 m6 Pa mol-2. It has a volume of 3.0×10-4 m3 mol-1 at 273.15 K and 3.0 MPa. From this information, estimate the radius of the gas molecules (in nm) on the assumption that they are spheres.(0.216 nm) 7. Gas A (having a molar mass of 26 g mol-1) has a mass of 1.8 kg at - 43 oC and pressure 78 bar. The gas occupies a volume of 12.3 L. Based on the calculations explain whether it is easier or more difficult to compress this gas than if it behaves ideally.( A is easier to compress than if it behaves ideally) 9
  • 5.
    Problems 2 1. A hypothetical gas has the equation of state P = (RT/Vm-b) - (a/TVm) Where a and b are constants distinct from zero. Ascertain whether this gas has a critical point. If it has, express Vmc and Tc, (the critical constants) in term of a and b. (The gas has no critical point ) 2. A non ideal-gas is represented by the equation of state: 1 a b  P = RT  + 2 + 3  where a and b are constants. Calculate V V V   ∂P   ∂2P    and   ∂V 2  . By requiring that this equation of state at the critical   dV  T   V2 point, show that a = −Vc and b = c . 3 3. R aT A hypothetical gas has the equation of state P= − 2 where a Vm − b V m and b are constants distinct from zero. Ascertain whether this gas has a critical point. If it has, express Vmc, and Tc (the critical constants) in term of a and b. (3b, 27Rb/8a). 4. Derive the compression factor (Z) of 0.225 kg of N2 behaving as a van der Waals gas, confined in 5.860 dm3 at 27 oC and find its value. Which intermolecular forces are dominating in the sample? Given for N2 : a = 1.35×106 atm cm6 mol-2 ; b = 38.6 cm3 mol-1 . (0.97, attractive forces) 5. Compression factor, Z is a direct measure of the deviation of a real gas from ideality. a) Define Z in the form of mathematical expression. V b) Show that Z = m = P , where o denotes ideal state. o Vm P0 c) Derive an expression for the compression factor of a van der Waals gas in terms of Vn, T, a and b. d) Calculate the compression factor of 10.0 mol CO2 behaving as a van der Waals gas and is confined in 4.860 dm3 at 27 oC. Which intermolecular forces are dominating in the sample? [ Given for CO2 : a = 3.610 atm dm6 mol-2 ; b = 4.29 x 10-2 dm3 mol-1] PVm Vm a Answer: , - , 0.80, Z < 1 ; attractive force. RT Vm − b RTVm 6. The critical temperatures of gases O2, H2 and CO2 are -118.2, -239.8 and 31 oC respectively. (a) Which of these gases will easily be liquefied? (b) Which of these gases will liquefy when compressed isothermally at 100K? (Gas with the lowest Tc ,CO2 and O2 ) 10
  • 6.
    7. The following equations of state are occasionally used for approximate calculation on gases; (gas A) PVm= RT(1+b/Vm), (gas B) P(Vm-b) = RT. Assuming that there were gases that actually obeyed these equations of state, would it be possible to liquefy either gas A or B? Would they have a critical temperature? Explain your answer. 8. State two conditions whereby van der Waals equation is more appropriate to apply then ideal gas law equation. Explain. 9. The critical constants of ethane are Pc = 48.20 atm, Vc = 98.7 cm3 mol-1, and Tc = 190.6 K. Calculate the van der Waals parameters of the gas and estimate the radius of the molecules. ( b = 32.9 cm3 mol-1, a = 1.33 L2 atm mol-2, r = 0.24 nm) 10. A hypothetical gas is found to obey the following equation of state RT a P= - Vm − b TVm Where a and b are constants not equal to zero. Show whether the critical temperature exists. Would it be possible for this gas to liquefy? 11