PN مروری بر فیزیک الکترونیک پیوند 
دیود: 
V 
D 
V 
D S I I e 
 ( th 1)
بدست آوردن رابطه جریان دیود: 
V 
th 
D 
r 
d 
I 
d D 
1 
th d 
d 
V 
D 
V 
dI 
D S dV 
V r 
I 
I I e th G 
       
V o 
mV K 
KT 
th   26 @300 
q 
: diffusion constant ,  :mobility 
D KT 
 
D 
  
q
:LF مدل دیود در حالت 
:HF مدل دیود در حالت 
n 
C 
0 
V 
D 
o 
j 
j 
V 
C 
(1  
) 
 
qN 
C C C s a 
0 
| 
s 
0 0 0 2 
V 
W 
D 
j j VD j 
  
     
خازن تهی 
0/ 0 و 5 / بین 33 n 
N N 
a d 
n 
KT 
0 2 ln 
i 
q 
V 
:Step junction 
1 
2 
 n 
:Graded-junction 
1 
3 
n 
(Injection) diffusion خازن 
D . 
D P 
th 
d 
V 
V 
Q Q 
po no 
I 
C th 
e C 
d 2 
V 
  
 
 
T j d reverse Bias :C  C  C 
T d forward Bias :C  C
BJT مروری بر فیزیک الکترونیک ترانزیستور 
E B C I  I  I
BJT -3 تعریف چند پارامتر مهم در 
Base-to-collector current amplification factor 
Current transfer ratio 
Emitter injection efficiency
مدل سیگنال بزرگ ترانزیستور 
 
 
  
 
 
  
 
BE junction forward bias 
BC junction forward bias 
 
 
 
C 
 
B 
I 
I
منطقه فعال : 
 
 
  
 
 
  
 
BE junction  
forward bias 
BC junction  
revers bias 
I 
I 
  
B 
B 
C 
B W 
I 
1 
, 

مناطق کار:
مدل سیگنال کوچک ترانزیستور 
 
 
 
 
 
 
 
 
 
  
C 
I 
  
 
A 
V 
C 
o 
I 
m 
e 
B 
C 
th 
m 
m 
I 
r 
g 
r 
I 
V 
g 
g 
r 
1 
, 
, 
 
 

Kirk Effect-8
معرفی  
2 
D  L  N  
N 
nb Pe ib de 
D W N N 
 2 
   
pe b ie ab 
 
 
1) 4) 7) 
 
 
 
 
D N N 
nb ib ab 
D N W 
2) 5) 8) 
pe ie b 
L N 
3) 6) 
pe de 
1 ضریب نفوذ الکترون ها در داخل بیس 
2) ضریب نفوذ حفره ها در امیتر 
3)طول نفوذ حفره ها در امیتر 
4) تمرکز ذاتی حفره ها در بیس 
5) تمرکز ذاتی الکترون ها در امیتر 
6) ناخالص ی امیتر 
7) ناخالص ی بیس 
8) پهنای موثر بیس
 سرعت 
به دست آوردن پارامترهای مدار معادل: 
C 
0 |   
I 
 
m  
V 
 
vi 
th 
c 
be 
I 
V 
g 
be i BE V  v V 
i 
v 
th 
BE 
th 
i 
v 
th 
V 
C 
V 
V 
V 
c s I  I e e  I e 
... 
x x x 
2! 3! 4! 
e x 
1 
x 2 3 4 
      
...) 
v 
i 
1 ( 2 
c C 2 
V 
2 
    
th 
i 
th 
v 
V 
I I 
v 
v 
v  V  I  I (1 )    ,  
i th c C i g v 
c m i 
i 
th 
c c C C 
i 
th 
V 
i I I I 
V
 سرعت 
پس به طور کلی 
C 
th 
I 
g  
m V 
1 
c 
V 
be 
V 
be 
I 
 
 
 
 
 
r  
. 
. 
  b m 
c 
b 
I g 
I 
I 
 
 
 
V  
V 
A CE 
C 
r 
 
o I
 سرعت 
در فركانسهاي بالا: BJT مدار معادل ترانزيستور 
side خازن :Cbc 
wall
مدل ساده تر 
Q 
V 
C C 
, C 
10 
Je 
, 0 
V 
V 
BE 
V 
C 
F 
 
C C C C 
e 
 
n de F 
Je 
de Je Je 
 
 
  
CS 
 
  
 
 
  
 
 
 
   
, 
1 
 
n 
Jc 
C 
N N 
dB dC 
, 0 0 
V 
CB 
Jc 
n Jc 
C 
bc 
V 
CB 
Jc 
KT 
r Jc bc bc 
V 
C 
V 
C C C C C 
 
  
 
 
  
 
 
 
 
  
 
 
  
 
 
    
1 
, 
1 
 2 ln 
i 
Jc 
n 
q 
V 
 
 
n CS 
Jc 
CS 
CS CS CS CS A 
V 
C 
C C C C 
  
 
  
 
 
   
1 
1 2 1
داریم 
ً 
معمولا : 
   CS de bc C C C 1 
C C1 C2 R  R  R 
   b b1 b2 R R R 
l 
A 
R RC E ,  
c 
I 
CE 
o 
A 
V 
C 
o 
Q 
b 
Jc 
A 
 
V 
r 
I 
r 
C 
V 
 
    
1 
, 0 
m g 
r 
 
 
x 
( ) (0)(1 ) 
p p W 
B 
n x  n  
WB 
e p Q qA n x dx 
  
0 
( ) 
 
C C    
m F 
W 
B 
I 
Q 
F de g 
nb 
C 
th 
e 
BE 
D 
V 
V 
 
  
2 
2 
W2 
B 
1 
F D 
nb 
2 
  
: Base Transition Time 
ضریب نفوذ الکترون داخل بیس است
x 
( ) (0)(1 ) 
p p W 
B 
n x  n  
WB 
e p Q qA n x dx 
  
0 
( ) 
 
C C    
m F 
W 
B 
I 
Q 
F de g 
nb 
C 
th 
e 
BE 
D 
V 
V 
 
  
2 
2 
W2 
B 
1 
F D 
nb 
2 
  
براي افزايش سرعت ترانزيستور بايد 
تا آنجا كه بتوانيم عرض بيس را 
كاهش دهيم. 
بيان م يكند كه Feature Size 
كوچكترين فاصله قابل تشخيص در 
Feature مدار چقدر است. هرچه 
را كم كنيم خازنها کوچکتر شده size 
و سرعت افزايش مي يابد.
سیلیکون روی عایق( (SOI 
سیلیکون روی عایق( (SOS
C (1 X )C' EBS cjc   
:Spice در
 سرعت 
•پاسخ فرکانس ی ترانزیستور : 
 β پاسخ فرکانس ی 
-با صرفنظر از : 
RE مقاومت 
Ccs خازن 
RC مقاومت 
Cμ و جریان گذرنده از 
Cu 
gm.v 
v 
- 
B' 
Ii 
Rb Io 
Ro 
rpi1 
+ Cpi 
r 
i 
i 
C i 
i 
o 
  
i 
b 
r c c S 
V 
i 
i 
1  (  
)    
  
 سرعت 
پس: 
s 
C C 
g 
s 
g r 
C C 
Transition frequency: تعریف 
g 
g r 
i 
b 
i 
o 
j 
 
 
برابر 1 است Bipolar فركانس ي كه در آن بهره جريان اتصال كوتاه ترانزيستور 
i 
i 
m 
M 
o 
o 
m 
n 
m 
m 
i 
c 
b 
 
 
 
 
 
    
  
 
 
 
 
 
1 1 
B 
 
 
 
1 
g 
1 
f m 
T T  
  
   
  
C C 
    
2 
0
 سرعت 
به طور کلی: 
فقط تا حدود % 50 
از این مدل مي fT 
توانيم استفاده كنيم.
مروری بر الکترونیک 2 
:CE -1 تقويت كننده
محاسبه - الف inR 
in e b R  r  r  R   in e E b E R  r R r R R   (  )   
محاسبه - ب OR 
RE  r r  g r  
r 
   
O RE Q1 
r r g R 
Ro 
Vb 
 
o o R  r 
Ro 
Q1 
RE 
Vb 
o m o o 
(1 ( || )) o o m E R r g r R    
 
 
, (1 ) 
  
 
; (1 ) 
o m E 
R 

به طور کلی:
محاسبه - ج Av 
g R R 
  
 
 
 
 
 
m L E 
 
R 
 
 
 
 
v 
o 
  
L 
e E 
g R 
m L 
m E 
i 
r R 
g R 
v 
Av 
1 
( 0)
:CB -2 تقويت كننده
محاسبه - الف inR 
Rb 
 
R r Rin re L o     
L o o R  r  Rin  re r
به طور کلی:
محاسبه - ب Av 
Av = gm r0 RL << ro
به طور کلی: 
Trade-off 
Load 
Gain Rin
:CE -3 تقويت كننده
محاسبه Av
تقویت کننده های چند طبقه 
:CASCODE -1 تقويت كننده 
گین منفی  
گین زیاد  
ایزولاسیون ورودی  
از خروجی
تقویت کننده های چند طبقه 
-1 تقويت كننده تفاضلی:
: Emitter Common Pair الف-حالت 
gmRc 
Vod 
2 
1 
Av     
Vid 
Vo 
Vid 
2 
2 
 R diff r in ( )  2
به طور کلی: 
) 
V 
od EE L 2 
V 
( ) tanh( 
id 
th 
V diff I R 
 
  
Degeneration با مقاومت
:Common Mode ب-حالت
:CMRR تعریف 
در این مدار:
پاسخ فرکانس ی 
مواردی که باید بدانیم: 
-1 فرکانس قطع بالا )مفهوم پهنای باند ( 
-2 بهره در محدوده فرکانس ی میانی 
-3 امپدانس ورودی و خروجی تقویت کننده 
-4 حاشیه فاز
:MOSFET و BJT مدار معادل 
BJT MOST 
R 0 b rx 
r ∞ in 
Cgs Cin 
Cgd Cu Cf 
ro ro ro
-1 پاسخ فرکانس ی طبقه امیتر مشترک: 
:Zin الف-محاسبه 
ro>>RL : با فرض
Cμ با فرض : صرف نظر از جریان گذرنده از
در این ساده سازی از اثر میلر استفاده کردیم: 
در ورودی : Cμ اثر 
در خروجی : Cμ اثر 
(1 ) m vo C  C  A  
) 
1 
1 ( 
m A 
vo 
C  C  
به طور کلی:
ب-محاسبه گین:
داریم: 
 R C 
GainBandwidth GBW w KP 
b 
M 
1 
   
به طور کلی:
CE تحلیل فرکانس ی مدار 
-محاسبه بهره توان 
2 
i R 
P 
G    :  
P G R R 
P l out 
c l 
b i 
l 
i 
i R 
P 
2 max
محاسبه - OZ
CC تحلیل فرکانس ی مدار 
-محاسبه بهره 
v  R i  z i  R i  
g v 
i b i i E i m 
 
 
 
v  R i  
g v 
r 
 
  
v 
o 
 
R 
 
R R 
 
 
 
sr c 
z 
s 
z 
1 
s 
P 
r 
g R 
r 
g R 
v 
E B 
m E 
E 
m E 
i 
o E i m 
 
 
 
 
 
  
  
1 
1 
* 
1 
1 
( ) 
( ) 
1
-که داریم: 
T 
m 
m 
w 
g 
c 
 
c 
1 
r 
g 
 
z   
   
  
1 
 R c 
P 
1 
1 
1 
  
R R 
B E 
R g 
E m 
R r 
 
 
 
1 
|| 1 
محاسبه - OZ 
1 
g 
r 
z R 
 
r 
 
R sc r 
  
  
R 
   
 
 
  
 
 
c 
w 
r 
e 
s w 
w 
R 
s 
R 
g r sc r 
g z 
z 
sc r 
z 
m 
T 
T 
T 
B 
B 
m 
B 
B 
m 
B 
o 
 
 
 
 
  
 
 
 
  
 
  
1 
(1 ) 
1
BJT مدل مدار معادل سیگنال کوچک ترانزیستور 
CB 
CS 
o 
 
2 
1 
1 
c c 
0 
v 
0 
v 
0 
  
c c c 
0 
CB 
je je 
cs 
 
c  
g 
F F m 
v 
jc bc 
n 
jc 
jc 
jc 
F je 
cs 
o 
c c c 
n 
v 
c 
c 
v 
c 
c 
v 
c 
c 
  
  
 
 
 
 
 
 
 
 
 
 
0.3 0.5 
(1 )
مثال 1- مطلوبست تحلیل مدار زیر 
Q2 Q3 
0 
10k 
Rc1 
1k 
60K 
R2 
R3 
1k 
13k 
Q1 
10v 
Vi 
R1 
Rc3 
1k 
1k R15 
50k 
Q4 
R4 
53k 
v  0.6 v I  0.1 mA I  0.3 mA  100 v  
0.2 
v 
BE ON C C CE sat 
( ) 1 3 ( ) 
I  mA I  
mA 
C C 
C  g  
 
C 
m F je 
 
 
0.3 0.8 
2 4
R1 , R2 , R3 , R الف –محاسبه 4 
BE C 
60 
v v I R I R M 
 (  50 )  10  10    4.70 
 
BE C B 
2 2 2 2 2 2 
v v R I R M 
       
    
10 10 6.5 
3 3 3 3 3 
53 
 
BE B 
    
    
 
    
R K 
R 
v v I 
R K 
R 
v v I 
BE C 
* 20 10 70 
53 
( 10 ) 10 
* 20 10) 540 
60 
( 14 ) 10 ( 
4 
4 
4 6 4 
1 
1 
1 1 1
vCE1 1v Rc1  ? – ب 
I v 
C CE 
1 1 
     
 
 
   
  
 
K 
I 
R 
v 
v 
R K 
I 
R 
c 
C 
CE sat 
CE 
C 
c 
c 
33 
10 
10 0 
2 
20 
176 
20 14 
3 
3 
( ) 
3 
1 
1 
1 
For max output swing
ب – مقاومت ورودی، مقاومت خروجی و گین مدار 
        
540 || 60 || , 25 125 
25 1 
7.5 || 50 
12.5 
   
1 1 
2 3 
 
    
(33 || 70 || 53) || 200 
dB 
R R K 
R r 
v 
v 
v 
v 
v 
1 E 
2 
v 
v 
c 
v 
v 
v 
v 
in 
c 
CE 
CE 
v 
o 
v 
g R r v 
v 
r 
R r 
v 
r R 
R 
R 
v 
K R 
v 
I 
R R R r R r 
o 
C 
E 
C 
i 
i 
m E 
E 
E 
E 
c 
s 
E 
c 
i 
T 
C 
in E 
28000 90 
1 
100 
7.5 || 50 
|| 
|| 
140 
100 
1 
176 
540 || 60 || 40 
3 
2 3 
1 
3 2 3 3 
2 
3 
2 
2 
2 3 
1 
1 
1 
1 
1 
1 
1 1 1 1 1 
   
 
 
 
 
  
  
 
 
 
 
 
  
 
 
 
 
 
  
 
 
 
مثال 2-صفر و قطب مدار زیر را بیابید 
0 
RC 
Vi 
Rs 
I mA 
C 
 
1 1 
100 
 
 
C pF 
jc 
1 
 
C 5 
pF 
n 
je 
F 
 
.5 
 

الف –روش دقیق 
v  
v 
  
) ( ) 0 
o 
o 
v 
1 
R 
C 
1 
s 
 
 
s m 
s m 
C 
o s 
   
m 
C 
( 
o s 
o s 
S 
i 
s 
v 
sc 
sc g 
v 
v c g 
R 
v c 
g v 
R 
v v sc 
v v sc 
R 
r 
 
v sc 
) 
( 
( ) 
) ( ) 
1 
( 
  
 
 
 
( ) 0 
1 
1 
1 1 
1 
1 
1 
 
  
    
 
    
 
  
 
 
 

c 
s 
(1 ) 
R c Rc Rc RRc g s 
 
R 
R 
R c 
 
 
 
 
 
R 
r 
RR c c s 
g 
1 
R 
C 
s 
) 
 
 
c g 
 
 
 
 
s m 
 
g R r R 
m S S 
R 
 
 
 
 
 
 
 
 
v 
v 
o 
o 
v 
v 
i 
c c c g 
R 
c 
r R 
c 
R 
v 
R 
c c v 
r R 
c 
c 
c g 
C m 
s 
C C 
m 
S 
i 
s s s m 
C 
s 
s 
s 
S 
i 
S 
s s o 
s 
s 
s m 
1 ( ) 
( || ) 
) ( ) 
1 
)( 
1 1 
( 
1 
) 
1 1 
( 
( ) 
2 
     
 
  
 
 
    
 
 
 
  
 
 
 
      
 
 
      
 
 
 
 
 
 
 
  
 
  
 
    
 
 
 
 

 Rc C m RR c g  
با صرفنظر از در مقابل 
s 
s 
2 
2 
          
1 
( ) 
m c 
  
s 
Rc R g R c 
m c 
  
g 
c 
RR c c R c 
    
p 
Rc R g R c 
p 
s 
s 
p p p 
s 
p p p p 
p 
p 
m 
c c 
p p 
  
 
 
 
 
( ) 1 
1 
1 
) 1 
1 1 
(1 )(1 ) ( 
2 
1 
1 2 2 
1 2 1 2 
1 2 
1 2
ب –روش میلر 
1 
1 
 
r R g R c c 
( || )( ) 
1 
2 
   
p 
R c 
p 
S m c 
c 
 
 
 
خازنی یک صفرایجاد می کند و لزوما Feed Forward هر مدار 
همیشه میلر صادق نمی باشد.
بررس ي بيشتر اثر وتئوري ميلر 
تئوری میلر: 
Z 
Av 
1 
Z 
1 
Av 
1
CE مثال - پیدا کردن قطب ورودی و خروجی مدار 
VCC 
RC 
RB 
Vi 
CF 
A 
B 
Q2 
Vo 
:DC گین 
Av =-gmRc
استفاده از قضیه میلر: 
1 
c F R C 
) 
1 
g R 
1 
Rc C (1 
out 
m c 
F 
 
 
  
   
 
F m c C g R  
 
(R || r 
1 
in 
B
محدودیت های استفاده از قضیه میلر: 
1) در مواردي كه بهره بین دو نقطه بالا نيست،قابل استفاده نمي باشد. 
2( اطلاعي از محل صفر به دست نمي دهد. 
3( تقريب خوبي از قطب دوم )غیر مسلط( به دست نمي دهد .
CB بررس ي پاسخ فرکانس ی مدار 
:CE با CB تفاوت های مدار 
1) مقاومت ورودي كمتر 
2(بهره ي ولتاژ مثبت 
3(پهناي باند بيشتر 
4(مقاومت خروجي مشابه 
Rs 
v i 
RB 
Rc 
Vo 
VCC
 5( دارای بهره جریان 
I s 
T 
c 
B 
W 
I 
 
  
1 
 0 
 
WT   W
6( پاسخ فركانس ي بسيار سريعتر به دلیل قطب های بزرگتر 
الف- رابطه تقریبی 
Rs 
Cmiller RL s s 
W 
RL 
io 
ii 
ii 
vi 
vo 
io 
vo 
vi 
T 
1 
1 
1 
0 
 
 
 
   
    

ب-رابطه دقیق 
- Cu RL 
Cp 
Rs 
re 
v 
Rb 
+ 
V i 
gmv 
vo 
 
g g 
v 
     
R R 
r 
vo  g  v  
Z 
1 (1 ) 
 
1 ( ) 
  
u L 
r 
v 
v 
SC re g R 
i 
m m 
s b 
L 
v 
R 
R R 
re 
     
m s b s 
g  
Z 
m L 
C R 
g R 
 
 
m b 
m s 
m L 
i 
m s b 
m b 
s b 
i 
u L 
L 
m L 
m b 
e 
i 
m 
e 
b 
e 
i s 
e 
e 
e e C 
SC R 
g R 
S 
g Rs 
s 
vo 
vi 
v 
g R SC R 
vo 
g R SC R R 
v 
SC R 
Z 
g R 
Z 
v 
v 
g v 
Z 
v R 
Z 
v R 
SC r 
Z r X 
  
 
  
 
 
  
 
 
    
  
    
 
 
 
  
 
 
 
 
 
  
  
1 
1 
1 
1 
1 
1 
1 
1 
1 
( ) 
1 
1 1 
 
 
 
 
 
 

R 
b 
  
  
m s 
R C 
L u 
1 
P 
g R 
R 
RC 
P 
1 
1 
1 
2 
 
  
 
g 
1 
Rs  Rb, gm Rs 1 P m 
WT 
C 
2 
2 1     
 
If:
پاسخ فركانس ي تقويت كننده ديفرانسيل 
VCC 
Rc Rc 
Rs 
v i 
Rs 
v o1 v o2 
Q1 Q2 
IEE 
VEE
مدل نیم مدار 
RL 
Rs 
v i/2 
Q1 
VCC 
v o/2 
0 
b m L C R g R 
P 
 
1 
1   
CE مانند 
قطب مسلط 
از روش میلر
:CE حل دقیق مدار 
Cp 
Cu 
- 
gmv 
vo 
R=(Rb+Rs)|| r 
+ 
RL 
v 
1 
p 
2 
ii=v i/(Rs+Rb) 
i i 
v 
sC v  sCu (v  vo)   
R 
vo 
  gm v  sCu  (vo  v)  0 
RL 
|| ( ) b s R  r R  R  
RR SC g 
(  
 
) 
L m i 
i 
vo 1  ( C  R  C  R  C  R  g RR C  ) S  
( RR C  C  
) 
S 
2 L m L L 
  
KCL 
صفر سمت 
راست
به دست آوردن قطب ها: 
1 1 
1  
C R C R CuR g RR C g C R R 
P 
     
  
L m L m L  
C 
u 
 
1 
P RR 
C 
L 
P 
1 
1 
2 
  
g 
1 1 1 
P m 
     
RC R C R C 
C 
 L u L 
  2 
از تقریب قطب مسلط 
قطب ها به قدر کافی دور هستند و استفاده از تقریب های میلر و قطب مسلط صحیح بوده است
براي تقويت كننده ديفرانسيل در common mode بررس ي حالت 
فركانسهاي بالا 
RL 
Rs 
v ic 
Q1 
VCC 
v oc 
0 
2REE CE/2 
0 
gmv 
Cp 
v oc 
+ 
RL 
v 
1 
p 
2 
v ic 
Rs+Rb Cu 
r 
- 
2REE 
CE/2 
با جاگذاری 
مدار معادل 
منبع جریان
R 
E 
ZE 2 قطب مسلط ناش ی از 
E sR C 
E E 
Z 
 
 
1 
   
L 
L 
oc 
    
(1 ) 
R 
R 
R 
v 
  L 
  E E 
E 
CM 
E E 
E 
CM 
E 
ic 
CM 
j R C 
R 
A j 
sR C 
R 
A 
Z 
v 
A 
    1 
  
2 
2 
پس با توجه به روابط به دست آمده:
مثال:قصد داريم با استفاده از تقريب ميلر، قطب مسلط را به 
دست بياوريم. 
R k R k s L 1 ,  5 
R I mA b C  200, 1 
100, f 400MHz (@I 1mA) T C     
100 
C PF r 26 
    k 
gm mA 
mv 
1 
26 
0.5 
 
 
دیدیم 
ً 
قبلا : 
mA 
(1 ) 0.5 (1 k 
mA 
mV 
26 
f  MHz mA  14.3 
T  
قطب اصلی 
1 
[( ) || )( ) 
1 
  R R r C C 
P 
s b M   
 
5 ) 
1 
mV 
26 
C C g R PF M m L      
C PF 
PF C 
0.5 
1 
400 @1   
 
 
MHz 
P 
1.74 
1   
2 

Degeneration با مقاومت CE پاسخ فركانس ي تقويت كننده
m 
eff g R 
m E 
g 
Gm 
 
 
1 
C (1Gmef f RL) M  C 
C 
gmRE 
C  CM  
T 1 
 
 
[( )] || ( (1 . )] T s b m E R  R  R r  g R  
=
قطب مسلط 
1 
T T R C 
f 
1 
 
2 
 
ايجاد مي کند: CE اثرات زير را در پارامترهاي RE وجود مقاومت
1(افزايش پهناي باند 
بهره ولتاژ = gain 2(كاهش 
3(افزايش مقاومت ورودي 
4(پايداري حرارتي 
5(خطي تر شدن مدار 
L 
m R 
g R 
m E 
g 
1
THD 6( کاهش اعوجاج يا 
7( افزایش نویز
پاسخ فركانس ي تقويت كننده چند طبقه 
سیستم علی: 
a a s a s a s 
m 
   ... 
 
o m 
n 
o n 
b b s b s b s 
A s 
    
 
... 
( ) 2 
1 2 
2 
1 2 
n<m 
s 
s 
s 
(1  )(1  )...(1  
) 
1 2 
n 
s 
s 
s 
(1 )(1 )...(1 ) 
( ) 
1 2 
0 
m 
p 
p 
p 
z 
z 
z 
A s A 
   

Freq. response approximation: 
(1) Dominant pole Approximation 
 ... P1  P2  P3 ... 
s 
k 
s 
s 
(1 )(1 )...(1 ) 
( ) 
p 
p 
1 2 m p 
A s 
   
1 1 1 
P1 P2 P3 
   
        
1 
1 2 1 
1 
1 
1 1 
... 
1 1 
P 
b 
P P P 
b 
i 
n 
i 
3 1 
1 
3 2 
P 
P 
f dB dB        
 
فرض
2 
    
1 
2 2 
 
 
 
 
 
 
 
 
 
 
 
 
 
 
 
 
 
 
 
 
 
 
 
k 
1 1 ... 1 1 
2 
2 
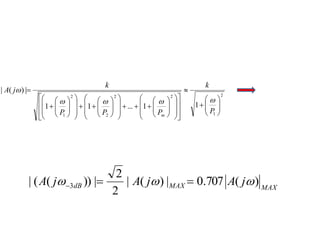
1 
| ( ) | 
 
  
 
 
 
  
 
 
 
 
 
 
 
 
 
 
 
 
 
 
 
 
 
 
 
 
   
 
 
  
 
  
 
  
 
 
  
 
  
 
 
P 
k 
P P P 
A j 
m 
 
2 
dB MAX MAX A j | A( j ) | 0.707 A( j ) 
| ( ( )) | 3       
2
حالتهاي ممكن در تقريب قطب مسلط: 
دور نباشند و تقريب قطب مسلط برقرار نباشد. f3 , f2 , f 1) فرض كنيم 1 
f )2 3 , f2 , f1 و... بهم نزديك باشند. 
3( )طبقه اول ( 
... 
1 1 
 1.1 
  
1 
2 
2 
2 
 f f f dB 
3 1 
... 
1 1 1 
   
2 
2 
2 
 f f f dB 
3 1 
1 
n 
dB dB f f f f f 
1 2 3 3 3        
[ ] 2 1
نقاط ضعف اين روش: 
1(فقط در حالت قطب مسلط درست است. 
2(از اثر متقابل خازن ها چشم پوش ي شده است. 
3(از اثر صفر تابع تبديل چشم پوش ي شده است و اطلاعاتي در مورد صفرها 
و قطب هاي ديگر مدار بدست نمي دهد.
شهود: 
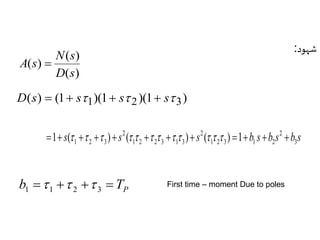
N s 
( ) 
( ) 
( ) 
D s 
A s  
D(s)  (1 s1)(1 s 2)(1 s 3) 
2 
s s s b s b s b s 1 2 3 1 2 
3 
2 
1 2 2 3 1 3 
2 
1 2 3 1 (   )  (      )  (   ) 1   
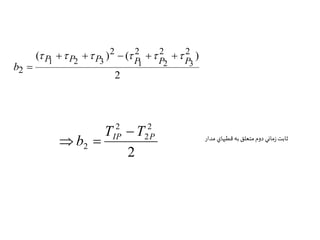
P b     T 1 1 2 3    First time – moment Due to poles
( ) ( ) 2 2 2 2 
2 
2 
1 2 3 P1 P2 P3 P P P 
b 
       
 
2 
2 
2 
2 
2 
IP P T T 
b 
 
  ثابت زماني دوم متعلق به قطبهاي مدار
حالتهاي ممكن : 
1) تقريب قطب مسلط 
T T b P P 
   
0 
1 2 2 2) تقريب قطب غالب، صفر غالب )خروجی را صفر می کنیم( 
 
 
 
b  
T P 
1 1 
T1P براي به دست 
آوردن ورودي را 
صفر مي كنيم 
T s 
1 . 
z 
1 
1 
1 
 
 
D o 1 , 
T s 
A 
a s 
b s 
A s A 
P 
1 
( ) 
1 
1 
 
 
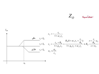
 
 
2 
1 
2 
1 
3 
1 
P Z 
dB 
T T 
BW 
 
 
با استفاده از روش ثابت cascade تحليل تقويت كننده آبشاري يا 
زماني 
VCC 
R1 
R2 
Q3 
RL 
QbreakN 
Q4 
QbreakN 
Rs Rs 
Q2 
0 
RE 
R3 
Q1 
RE 
0 
VEE 
0 
0 
RL
مدار معادل فرکانس بالا: 
:CB قسمت 
RE 
+ 
+ 
- Ccs 
Cpi3 
Vi/2 Cu1 
Cu 
rpi1 
Vo 
Cpi1 Ccs3 
gm1.v 
Rs+Rb 
Rb3 
- 
rpi3 
gm3.v 3 
v 
RL 
v3 
rpi3 
RL 
gm3.v 3 
1/gm3 
Vo 
Rb3 
RL 
gm3.v 3 
re3 
Vo 
<<
C : یافتن مقاومت دو سر 
RE 
R3 
Rs+Rb 
+ I5 
gm.v 
A 
B 
rpi1 
Ix v 
- 
R R 
B E 
g R 
m E 
R r 
1 
1 
1 
|| 
1 1  
 
   
1  1 1 1   C R c  
C یافتن مقاومت دو سر : 1 
RE 
Ri3 
RB1=Rs+Rb 
gm1.v 1 I5 
B 
rpi1 
Ix 
+Vx- 
Ri3 
Ix 
+Vx- 
RB1=Rs+Rb Gm ef f .v 1 
Ri1=rpi(1+gm.RE) 
m 
eff g R 
m E 
g 
Gm 
 
 
1 
R R R Gm R R C L L     
1 1 1 1 1 
1 1 1 || B i R  R R 
R R R (1 Gm R ) Gm R R C L L L      
1 1 1 1 1 1 1 1 
2 1 1  C   C R 
  3.79 0.32 0.31 0.24  4.66ns 
قطب غالب 
1C
Cascode به دست آوردن قطب غیر مسلط طبقه 
Q1 
V i 
Rs 
RE 
VB 
Q3 
VCC 
Vo 
RL 
 
 
 
RC C RC 
    
  
1 1 1 1 
    
RC   
C RC 
1 1 1 
جلسه قبل
به دست آوردن : 
 3 RC 
gm1 . V1 
gm3 . V3 
r3 
Rb3 
0 
Cu 
Cin3 
ورودی صفر 
gm3V3 
Rb3 
Re3 Ix 
  || 
r 
   
R . C C  e 3  3 C  3  3 1 
3 3 
3 
g 
R R 
m
3 : به دست آوردن CR 
Ix RL C 3 L b3 R  R  R  
Rb3 
4 3 3  C   C R 
1 2 3 4     
VCC,VEE10 RS 1k : مثال 
R   R  k R  k E L 75 4 1 3 4 10 200 1 2 R  k R  k   
( )  0.67  0.025  200 3 VBE on ns Rb F  rc(actrve region) 150 
=1.3pF 
C PF V V CB 0.6 0.6 0 0( )    
KT n 
2 
NaNd 
q 
1 
0   ln
:DC روابط بایاس 
VCC VEE R 
1 
فرض IB3,4  0 VCC V v 
V   
4.13 
B 3 B R R 
1 
| | 
3 
 
1 2 
  
 
V  V  V  
3.7 v C 1 B 3 BE ( on ) 
VEE  
VBE 
I     
C mA I I I 
2 3 4 
| | 
1 1.15 
3 
2 
C C C 
E 
R  
R 
 
V VCC R I k mA v C L C 10 1 1.15 8.85 3 3       
R 
R 
V 
DC O  Gm R 
Ri r1(1 gm1RE ) 
1 1 
1 بهره  ولتاژ 1 
i 
1 
3 1 
3 
1 1 
1 
1 
. L 
s i 
m L 
i 
s i m 
i 
R R 
g R 
g 
Gm 
R R 
V 
 
 
 
c 
g 
m 1 
10.2 / 
V 
 9.74 0    
19.5 1 1    mA V 
r i 
R k 
I 
v 
B 
g 
th 
ms 
1  
g R 
Gm 
m E 
1 
1 
 
i V 
و 
و
محاسبه ثابت زمانی های مدار: 
mA 
 2.6PF  0.25ns44R  2.6 11.1 13.7 
2 . 1 F m C  Cje  CF  Cje  g PF PF pF 
c .R 3.79ns 
1 1 1      
1 
V 
3.6 0 1 1 VC VB  v  
) 
V B 
( ) 
1 ( 
0 
0 
1 
V 
C 
C 
 
 
 
 C 0.23PF 1    
R  k C 1.41  
0.32ns 2   
R  k C 1.2 
3 
V  V  V  8.85  4.3  4.55 
C PF 
CB C B 3 3 3 
C 
C 0.2 
  
3 3 
4.56 
0.5 
1 
  
 
 
 
0.24ns 4  
محاسبه ثابت زمانی های مدار: 
 3.790.320.310.24 4.66ns 
1 
1 
f   
34.2 
MHz 3 dB  2 
  
روش تقریبی: 
Q1 
Cpi1 + 2Cu1 
X 
V i 
Cu3 + Ccs3 
OUT 
Rs 
Q3 
VCC 
Vo 
RL 
2Cu1 + Cpi3 + Ccs1 
Y 
1 
RE x  
)( || 2 ) 
) صرفنظر از 1 1 Rs r  C 
p 
i 
 
 
( 2 ) 
3 
1 
1 
3 1 1 C C Ccs 
gm 
py 
  
 
  
1 
out  
3 3 R C Ccs 
( ) 
p 
L 
 
 
 
ممکن است گاهي هم قطب خروجي مسلط شود. ولي عمدتا Ccs به خاطر 
قطب ورودي مسلط است.
• اثر فیدبک بر پاسخ فرکانس ی : 
gain کاهش 
افزایش پهنای باند 
)distortion خطی سازی )کاهش 
فيدبك منفي 
افزایش پایداری
a s 
( ) 
1 ( ) 
( ) 
fa s 
A s 
 
 
S 
1 
0 
1 
( ) 
p 
a 
a s 
 
 
1 
fa S 
1 (1 ) 
1 
( ) 
0 
1 
0 
0 
fa 
p 
a 
A s 
  
 

:gain -1 کاهش 
0 
0 
a 
1 f .a 
Ao 
 
 
p1  p1(1 fa -2 افزایش پهنای باند : ( 0
اعوجاج سازی با کاهش خطی -3 : THD 
-4 افزایش پایداری : 
دور می شویم، تقویت jω هر چه از محور 
کننده پایدارتر می شود 
Return Ratio : معیار پایداری 
Loop Gain = LG = T(S) = Return 
, ( ) ( ) Ratio 0 T  a f T s  fa s
loop gain •نکته: افزایش 
پایدار تر شدن مدار 
افزایش پهنای باند 
gain ثابت کاهش Gain BandWidth
•تقویت کننده ی تک قطبی: 
همیشه پایدار است فیدبک منفی 
S 
1 
0 
1 
( ) 
p 
a 
a s 
 

•تقویت کننده ی دو قطبی: 
 0 
0 
: بهره حلقه باز 
a 
S S 
S 
S 
(1 )(1 ) (1 )(1 ) 
( ) 
1 2 
1 2 
  
p 
p 
a 
a s 
  
 
  
بهره حلقه بسته: 
2 
0 
  
0 1 2 ( ) 
2 0 
 
 
  
 
s 
Q 
S 
a 
A s 
 
0 
1 2 
0 1 2 0 (1 ) , 
  
   
 
  T Q  
عموما 
تقویت کننده های دو قطبی پایدارند
peak (Q بهره حلقه بسته(با تغییر 
Root Locus مکان هندس ی ریشه های حلقه بسته بر اساس قاعده 
jω دو خط عمود بر هم و در طرف چپ محور
•تقویت کننده ی سه قطبی : 
0 
S 
S 
S 
a 
(1 )(1 )(1 ) 
( ) 
p 
p 
p 
1 2 3 
a s 
   
 
] 
a s 
( ) 
1 ( ) 
 
T s f a s 
( ) . ( ) 
( ) [ ( ) 
T s 
T s A s 
 
  
برای تقویت کننده با 3 قطب یا 
بیشتر باید به طریقی مثلا 
استفاده از فیدبک آنها را پایدار 
کنیم. PM<0
معیار نایکویست ( ( )Nyquist Criterion ( •تئوری نایک ویست 
برابمر تعمداد دورهمای منح می jω •تعداد قطب های سممت راسمت محمور 
حول نقطه ی ( 1,0 -) است
•تعریف پایداری تقویت کننده ها : 
180 ( ) 0  T j M   
|T( j ) | 0dB 0   
 0 M  : شرط پایداری
•مشاهده ی اثر فیدبک بر تقویت کننده : 
 
a j 
( ) 
1 ( ) 
 
a j 
( ) 
1 ( ) 
( ) 
 
 
 
T j 
fa j 
A j 
 
 
 
 
 
a j 
( ) 
A j  
. ( ) 
[ ( ) 1] ( ) 
 
    
f a j 
 small  a j   A j  
) 
a 
0 A 
1 
1 
( 
1 
1 
a 
( ) 0 
0 
0 
0 
a f 
a f f 
f 
 
 
 
  
20log ( ) 
( ) ( ). 1 0 0 T j  a j f  
1 
x  a j   
20log | (  ) | 20log T j 
f 
f 
a j 
1 
( ) 0 0      
PM  180 T(i) M     
( ) ( ) 1 0   T j  a j f  0   
 تقویت کننده پایدار است. 0 M 
•مثال:  45  
 T( j)  135 , T( j)  1 
M 0 0 i 
 a j 
 
a j 
  
0   
e 
A j 
( ) 
0 
j 1 0.7 0.7 
1 
( ) 
( ) 0 
135 
 
 
 
 
f 
 
a j 
| A ( i 
) | 0 
1.3 
( ) 
0   
0.76 
 
 0 M  
• بزرگ تر از صفر است در نتیجه تقویت کننده پایدار استاما 
میزان پایداری متفاوت است.
بودن پاسخ فرکانس ی: FLAT • 
f 
Peaking A j 
1 
( ) 0    
f 
A j M 
1 
2 
2 
90 ( ) 0       
FlatBand  M  Gain 
Peaking
:(Compensation) •جبرانسازی 
•تعریف: 
افزايش حاشيه فاز براي پايدار كردن تقويت كننده )اصلاح يا 
بهبود پاسخ فركانس ي تقويتكننده( را جبران سازي گويند. 
اثر جبرانسازی در پاسخ فرکانس ی 
(f= بدترین حالت=( 1
•روش های جبرانسازی : 
ایجاد قطب مسلط 
روش میلر 
Lead Compensation 
Nested Miller Compensation
-1 ایجاد قطب مسلط: 
High Impedance •پیدا کردن نقاط 
0 برسیم dB به P را طوری طراحی می کنیم که در 1 PD (Dominant Pole) معمولا 
Cc C1 R1 
1 
1 1 
  
c R C C 
f 
R C 
f 
 
    
1 1 1 1 
1 
2 
2 
  45 M 
-2 جبران سازی به روش میلر: 
P2 
A 
Vo 
D 
P1 
B 
Cc 
Compensation خازن 
High-Z گره های
•ایجاد قطب مسلط به روش جدا سازی قطب ها : 
تئوری تکمیل شده روش میلر( (Pole – splitting
:Pole-Splitting •محاسبات 
 
 
 
S C C SC 
c c i 
 
 
  
 
 
 
 
 
 
 
 
 
 
 
 
 
 
 
 
 
 
   
   
0 
S C C 
( ) 
1 
( ) 
1 
v 
: 1 
2 
2 
2 
1 
1 
s 
v 
c c o m 
R 
g SC 
R 
  
s C C i 
 
m c 
c s 
v 
KCL  
   
S C C SC 
c c 
   
o 
  
( ) 
1 
( ) 
1 
0 
( ) 
1 
2 
2 
2 
1 
1 
2 
1 
1 
m c c 
s 
S C C 
R 
g SC 
R 
g SC 
R 
i 
 
( ) 
g SC R R 
m c 
2 1 2 
1 [( ) ( ) ] ( ) 
c c m c 1 2 1 2 2 c 1 
c 
2 
1 1 2 2 2 1 2 
o 
s 
s C C R C C R g R R C S R R C C C C C C 
v 
i 
        

 
( ) 
g SC R R 
m c 
2 1 2 
1 [( ) ( ) ] ( ) 
c c m c 1 2 1 2 2 c 1 
c 
2 
1 1 2 2 2 1 2 
o 
s 
s C C R C C R g R R C S R R C C C C C C 
v 
i 
        
 
2 
1 
D S    ) 
 
' ' 
2 ' ' 
1 1 2 
1 1 
( ) 1 ( S 
P P 
S 
P P 
مخرج 
1 1 
' 
2 
P  P  
1 2 ' 
1 
' 
P P 
1  
 
C Cc R C Cc R gm R R Cc gm R R Cc 
P 
1 1 2 2 2 1 2 2 1 2 
1 
1 
( ) ( ) 
 
    
  
c 
g C 
m 2 
c 
2   
C C C C C 
P 
( ) 1 2 1 2 
 
C C 
P 
2 1 2 0 
c 
[ ( ) ] C P 
P 
 
1 
Cc  
1  
m c g R R C 
P 
R C 
  
P 
2 1 2 
1 
1 1 
1 
1 
, ' 
 
 
 
c 
g C 
m 2 
c 
  
1 
   
2   
C C C C C 
P 
R C 
P 
( ) 
, ' 
1 
1 2 1 2 
2 
2 2 
 
 
 
 
 
  
 
 
2 
2 
1 2 1 2 
C P 
C C C C C 
C 
c 
c c 
P 
1 
P 
2 
Poles Splitting 
P 
  
 
2 
P1 
` 
P2`
:Classical pole splitting• 
شرایط پایداری : 
o u P'  
c i o C  C ,C 
g 
g 
2 m 
1 m 
1 
m 
g 
P     
' ( ) 
o C C 
g 
m m 
g g 
1 
 
g 
i R g R C 
( ) 
i m2 o c 
P 
 
  
1 
C C 
i o 
( ) 
2 i o 
c 
e 
o 
C C 
C 
r 
P 
  
  
m 
C 
c 
g 
Z 2  
g   
m 
1 u C 
c 
2 
i o 
m 
c 
c 
i o 
g 
C 
C 
C C 
 
2 1 
2 1 
m m 
c 
c 
C 
C 
  
:Nested Miller Compensation-3
:Lead Compensation-4 
تعریف: جبرانسازی به روش ایجاد صفر در شبکه فیدبک 
خازن برای ایجاد صفر
مدل فیدبک 
 
  
 
 
 
 
  
1 
  
 
 
R R 
E E 
E F F 
p 
F F 
z 
R R C 
w 
R C 
w 
( ) 1 
E 
R 
o R R 
E F 
f f 
 
 
(0)   
E F 
E 
1 
o o o o o 
R 
o 
R R 
A 
f 
T a f A 
 
  1 
  | | 
Cرا طوری انتخاب می کنیم که صفری که به F 
خاطر ایجاد می شود، سمت چپ و باشد . z  
P z z   A   0 
R 
F 
R C S 
R 
R 
R 
E 
R Z 
i 
i 
f s 
F F 
E 
E 
E F 
f 
o 
 
 
 
 
 
   
1 
( ) 
(1 R C S 
) 
F F 
R C R S 
F F E 
E F 
E 
R 
E F 
R R 
R R 
f s 
 
 
 
 
 
 
1 
( ) 
1p 2 p
:Root-Locus •تحلیل با روش 
Zero-FeedBack 
Compensation
Slew Rate 
پارامتري است كه نشان دهنده محدوديت پاسخ فركانس ي Slew rate 
تقويتكنند هها در ازاي اعمال سگينال ورودي با دامن هي بزرگم يباشد. 
کافی نیستند و نیاز به Opamp در بعض ی شرایط برای ارزیابی یک  
...,M ,BW . داریم SR پارامتر
در تقویت کننده ها: SR دلیل محدودیت 
این محدودیت به خاطر وجود خازن جبرانساز است. 
:SR اندازه گیری 
 
 
1 
, 
1 
s 2 
 
f 
 
 
5 1 
S s 
V s 
S 
A s 
 
 
1 
( ) 
V t U t V s 
o 
i i 
o 
 
  
 
  
 
 
 
 
   
1 
( ) 
5 
( ) 5 ( ) ( ) 
قرار دادن 
یک خازن کوچک 
در خروجی 
t 
( ) 5(1  ) 
o V t e 
 
  
s ns f MHz : اگر o 5  0.6  122  1.3 
خروجي قابل انتظار 
خروجی واقعی 
برای فهمیدن دلیلی این امر 
روابط سیگنال بزرگ طبقه 
تفاضلی را بررس ی می کنیم
روابط سیگنال بزرگ زوج تفاضلی : 
V  V  V  V  
V 
i BE EB EB BE 
1 4 3 2 
2 ln 
i 
 
i i I 
c 
1 2 1 
1 
2 
2 
i 
V V 
c c 
c 
i t 
  
V mv 
c  
V V 
e 
I 
 
  
 
i 
e 
I 
i 
i 
i t 
c V V 
i t 
120 
1 
2 
1 
2 
/ 2 
1 
2 
/ 2 
1 
1 
  
 
 
 
 
 
 
 
 
t 
I 
 
i  0.9  
2 
I 
c 
1 1 
i 0.1 2 
I 
o c 1 2 
C 
V t 
V 
i t dt 
C 
V t 
o 
o 
( ) 
(0 ) 0 
( ) 
1 
( ) 
  
 
 
 
 
 
 
 
 
 
 
 
  
 
2 1 
c
پس: 
تحلیل سیگنال کوچک: 
dV 
SR o  
dt 
I 
SR 1 2 
C 
 
 
 
g 
C j 
dV 
o 
dV 
di 
x 
dV 
i 
dV 
g 
o 
 
di j C 
m 
i 
x 
 
 
 
m 1 
. 
1 
   
 
 
 
 
 
 
mI u 
mI 
u 
V 
o 
i 
g 
SR I 
g 
C 
V 
u 
 
 
  
1 1    2 

رابطه کلی تر: 
باشد،در این صورت با یک رابطه کلی تر داریم ماكزيمم جريان شارژ كننده خازن اگر : x I 
x u 
g 
mI 
I 
SR 
. 
 
:SR روش های افزایش 
1(افزایش 
2(افزایش 
u 
x I 
mI g 
3(کاهش .این کار به چند طریق امکان پذیر است : 
در ورودی. MOS -استفاده از 
در امیتر ترانزیستورهای ورودی Degeneration -استفاده از مقاومت
تاثیر مقاومت در امیتر ترانزیستورها: 
1 1 
1 
g g 4  
t u 
I 
   SR  
V 
mI m 1 t 
V 
2 
2 
g 
 
1  
1 
1 
g   
mI R 
E u 
m 
   
t 
E 
m 
m 
g 
SR V 
R 
g 
 
 
 
 
 
2 
4 1 
2 
1 
2 
1 
RE تاثیرات 
 g ain 
 noise 
SR 
BW  
Distortion
:Full Power Bandwidth 
بیان می کند که برای افزایش فرکانس باید دامنه کاهش SR به طور کلی 
یابد و بالعکس. 
V V t i i  ˆ sin 
V V t o o  ˆ sin 
o | | ˆ cos 
V t 
dV 
dt 
o 
SR 
o 
o 
dV 
o 
V 
SR V 
dt 
SR 
ˆ 
| | ˆ max max      
FPBW 
SR 
  
2 ˆ 
V 
f 
o 
1 
max 
V 
؟FPBW مثال: حال 
ˆ  5, 1 
V SR i  
s 
در حالت فیدبک واحد: 
KHz 
V 
s 
V 
FPBW 
ˆ 5 
V V o 
V 
s 
 
SR 
32 
1 
5 
1 
2 
1 
   
 
 
 
 
 
 
 
 


Presentation bjt1

  • 1.
    PN مروری برفیزیک الکترونیک پیوند دیود: V D V D S I I e  ( th 1)
  • 2.
    بدست آوردن رابطهجریان دیود: V th D r d I d D 1 th d d V D V dI D S dV V r I I I e th G        V o mV K KT th   26 @300 q : diffusion constant ,  :mobility D KT  D   q
  • 3.
    :LF مدل دیوددر حالت :HF مدل دیود در حالت n C 0 V D o j j V C (1  )  qN C C C s a 0 | s 0 0 0 2 V W D j j VD j        خازن تهی 0/ 0 و 5 / بین 33 n N N a d n KT 0 2 ln i q V 
  • 4.
    :Step junction 1 2  n :Graded-junction 1 3 n 
  • 5.
    (Injection) diffusion خازن D . D P th d V V Q Q po no I C th e C d 2 V     T j d reverse Bias :C  C  C T d forward Bias :C  C
  • 6.
    BJT مروری برفیزیک الکترونیک ترانزیستور E B C I  I  I
  • 8.
    BJT -3 تعریفچند پارامتر مهم در Base-to-collector current amplification factor Current transfer ratio Emitter injection efficiency
  • 9.
    مدل سیگنال بزرگترانزیستور          BE junction forward bias BC junction forward bias    C  B I I
  • 10.
    منطقه فعال :          BE junction  forward bias BC junction  revers bias I I   B B C B W I 1 , 
  • 11.
  • 12.
    مدل سیگنال کوچکترانزیستور            C I    A V C o I m e B C th m m I r g r I V g g r 1 , ,   
  • 13.
  • 14.
    معرفی  2 D  L  N  N nb Pe ib de D W N N  2    pe b ie ab   1) 4) 7)     D N N nb ib ab D N W 2) 5) 8) pe ie b L N 3) 6) pe de 1 ضریب نفوذ الکترون ها در داخل بیس 2) ضریب نفوذ حفره ها در امیتر 3)طول نفوذ حفره ها در امیتر 4) تمرکز ذاتی حفره ها در بیس 5) تمرکز ذاتی الکترون ها در امیتر 6) ناخالص ی امیتر 7) ناخالص ی بیس 8) پهنای موثر بیس
  • 15.
     سرعت بهدست آوردن پارامترهای مدار معادل: C 0 |   I  m  V  vi th c be I V g be i BE V  v V i v th BE th i v th V C V V V c s I  I e e  I e ... x x x 2! 3! 4! e x 1 x 2 3 4       ...) v i 1 ( 2 c C 2 V 2     th i th v V I I v v v  V  I  I (1 )    ,  i th c C i g v c m i i th c c C C i th V i I I I V
  • 16.
     سرعت پسبه طور کلی C th I g  m V 1 c V be V be I      r  . .   b m c b I g I I    V  V A CE C r  o I
  • 17.
     سرعت درفركانسهاي بالا: BJT مدار معادل ترانزيستور side خازن :Cbc wall
  • 18.
    مدل ساده تر Q V C C , C 10 Je , 0 V V BE V C F  C C C C e  n de F Je de Je Je     CS              , 1  n Jc C N N dB dC , 0 0 V CB Jc n Jc C bc V CB Jc KT r Jc bc bc V C V C C C C C                        1 , 1  2 ln i Jc n q V   n CS Jc CS CS CS CS CS A V C C C C C           1 1 2 1
  • 19.
    داریم ً معمولا:    CS de bc C C C 1 C C1 C2 R  R  R    b b1 b2 R R R l A R RC E ,  c I CE o A V C o Q b Jc A  V r I r C V      1 , 0 m g r   
  • 20.
    x ( )(0)(1 ) p p W B n x  n  WB e p Q qA n x dx   0 ( )  C C    m F W B I Q F de g nb C th e BE D V V    2 2 W2 B 1 F D nb 2   : Base Transition Time ضریب نفوذ الکترون داخل بیس است
  • 21.
    x ( )(0)(1 ) p p W B n x  n  WB e p Q qA n x dx   0 ( )  C C    m F W B I Q F de g nb C th e BE D V V    2 2 W2 B 1 F D nb 2   براي افزايش سرعت ترانزيستور بايد تا آنجا كه بتوانيم عرض بيس را كاهش دهيم. بيان م يكند كه Feature Size كوچكترين فاصله قابل تشخيص در Feature مدار چقدر است. هرچه را كم كنيم خازنها کوچکتر شده size و سرعت افزايش مي يابد.
  • 22.
    سیلیکون روی عایق((SOI سیلیکون روی عایق( (SOS
  • 23.
    C (1 X)C' EBS cjc   :Spice در
  • 24.
     سرعت •پاسخفرکانس ی ترانزیستور :  β پاسخ فرکانس ی -با صرفنظر از : RE مقاومت Ccs خازن RC مقاومت Cμ و جریان گذرنده از Cu gm.v v - B' Ii Rb Io Ro rpi1 + Cpi r i i C i i o   i b r c c S V i i 1  (  )      
  • 25.
     سرعت پس: s C C g s g r C C Transition frequency: تعریف g g r i b i o j   برابر 1 است Bipolar فركانس ي كه در آن بهره جريان اتصال كوتاه ترانزيستور i i m M o o m n m m i c b                 1 1 B    1 g 1 f m T T         C C     2 0
  • 26.
     سرعت بهطور کلی: فقط تا حدود % 50 از این مدل مي fT توانيم استفاده كنيم.
  • 27.
    مروری بر الکترونیک2 :CE -1 تقويت كننده
  • 28.
    محاسبه - الفinR in e b R  r  r  R   in e E b E R  r R r R R   (  )   
  • 29.
    محاسبه - بOR RE  r r  g r  r    O RE Q1 r r g R Ro Vb  o o R  r Ro Q1 RE Vb o m o o (1 ( || )) o o m E R r g r R      , (1 )    ; (1 ) o m E R 
  • 30.
  • 31.
    محاسبه - جAv g R R        m L E  R     v o   L e E g R m L m E i r R g R v Av 1 ( 0)
  • 32.
  • 33.
    محاسبه - الفinR Rb  R r Rin re L o     L o o R  r  Rin  re r
  • 34.
  • 35.
    محاسبه - بAv Av = gm r0 RL << ro
  • 36.
    به طور کلی: Trade-off Load Gain Rin
  • 37.
  • 38.
  • 39.
    تقویت کننده هایچند طبقه :CASCODE -1 تقويت كننده گین منفی  گین زیاد  ایزولاسیون ورودی  از خروجی
  • 40.
    تقویت کننده هایچند طبقه -1 تقويت كننده تفاضلی:
  • 41.
    : Emitter CommonPair الف-حالت gmRc Vod 2 1 Av     Vid Vo Vid 2 2  R diff r in ( )  2
  • 42.
    به طور کلی: ) V od EE L 2 V ( ) tanh( id th V diff I R    Degeneration با مقاومت
  • 43.
  • 44.
    :CMRR تعریف دراین مدار:
  • 45.
    پاسخ فرکانس ی مواردی که باید بدانیم: -1 فرکانس قطع بالا )مفهوم پهنای باند ( -2 بهره در محدوده فرکانس ی میانی -3 امپدانس ورودی و خروجی تقویت کننده -4 حاشیه فاز
  • 46.
    :MOSFET و BJTمدار معادل BJT MOST R 0 b rx r ∞ in Cgs Cin Cgd Cu Cf ro ro ro
  • 47.
    -1 پاسخ فرکانسی طبقه امیتر مشترک: :Zin الف-محاسبه ro>>RL : با فرض
  • 48.
    Cμ با فرض: صرف نظر از جریان گذرنده از
  • 49.
    در این سادهسازی از اثر میلر استفاده کردیم: در ورودی : Cμ اثر در خروجی : Cμ اثر (1 ) m vo C  C  A  ) 1 1 ( m A vo C  C  
  • 50.
  • 51.
  • 52.
    داریم:  RC GainBandwidth GBW w KP b M 1    
  • 53.
  • 54.
    CE تحلیل فرکانسی مدار -محاسبه بهره توان 2 i R P G    :  P G R R P l out c l b i l i i R P 2 max
  • 55.
  • 56.
    CC تحلیل فرکانسی مدار -محاسبه بهره v  R i  z i  R i  g v i b i i E i m    v  R i  g v r    v o  R  R R    sr c z s z 1 s P r g R r g R v E B m E E m E i o E i m          1 1 * 1 1 ( ) ( ) 1
  • 57.
    -که داریم: T m m w g c  c 1 r g  z        1  R c P 1 1 1   R R B E R g E m R r    1 || 1 
  • 58.
    محاسبه - OZ 1 g r z R  r  R sc r     R          c w r e s w w R s R g r sc r g z z sc r z m T T T B B m B B m B o               1 (1 ) 1
  • 59.
    BJT مدل مدارمعادل سیگنال کوچک ترانزیستور CB CS o  2 1 1 c c 0 v 0 v 0   c c c 0 CB je je cs  c  g F F m v jc bc n jc jc jc F je cs o c c c n v c c v c c v c c               0.3 0.5 (1 )
  • 60.
    مثال 1- مطلوبستتحلیل مدار زیر Q2 Q3 0 10k Rc1 1k 60K R2 R3 1k 13k Q1 10v Vi R1 Rc3 1k 1k R15 50k Q4 R4 53k v  0.6 v I  0.1 mA I  0.3 mA  100 v  0.2 v BE ON C C CE sat ( ) 1 3 ( ) I  mA I  mA C C C  g   C m F je   0.3 0.8 2 4
  • 61.
    R1 , R2, R3 , R الف –محاسبه 4 BE C 60 v v I R I R M  (  50 )  10  10    4.70  BE C B 2 2 2 2 2 2 v v R I R M            10 10 6.5 3 3 3 3 3 53  BE B              R K R v v I R K R v v I BE C * 20 10 70 53 ( 10 ) 10 * 20 10) 540 60 ( 14 ) 10 ( 4 4 4 6 4 1 1 1 1 1
  • 62.
    vCE1 1v Rc1 ? – ب I v C CE 1 1              K I R v v R K I R c C CE sat CE C c c 33 10 10 0 2 20 176 20 14 3 3 ( ) 3 1 1 1 For max output swing
  • 63.
    ب – مقاومتورودی، مقاومت خروجی و گین مدار         540 || 60 || , 25 125 25 1 7.5 || 50 12.5    1 1 2 3      (33 || 70 || 53) || 200 dB R R K R r v v v v v 1 E 2 v v c v v v v in c CE CE v o v g R r v v r R r v r R R R v K R v I R R R r R r o C E C i i m E E E E c s E c i T C in E 28000 90 1 100 7.5 || 50 || || 140 100 1 176 540 || 60 || 40 3 2 3 1 3 2 3 3 2 3 2 2 2 3 1 1 1 1 1 1 1 1 1 1 1                             
  • 64.
    مثال 2-صفر وقطب مدار زیر را بیابید 0 RC Vi Rs I mA C  1 1 100   C pF jc 1  C 5 pF n je F  .5  
  • 65.
    الف –روش دقیق v  v   ) ( ) 0 o o v 1 R C 1 s   s m s m C o s    m C ( o s o s S i s v sc sc g v v c g R v c g v R v v sc v v sc R r  v sc ) ( ( ) ) ( ) 1 (      ( ) 0 1 1 1 1 1 1 1                   
  • 66.
    c s (1) R c Rc Rc RRc g s  R R R c      R r RR c c s g 1 R C s )   c g     s m  g R r R m S S R         v v o o v v i c c c g R c r R c R v R c c v r R c c c g C m s C C m S i s s s m C s s s S i S s s o s s s m 1 ( ) ( || ) ) ( ) 1 )( 1 1 ( 1 ) 1 1 ( ( ) 2                                                          
  • 67.
     Rc Cm RR c g  با صرفنظر از در مقابل s s 2 2           1 ( ) m c   s Rc R g R c m c   g c RR c c R c     p Rc R g R c p s s p p p s p p p p p p m c c p p       ( ) 1 1 1 ) 1 1 1 (1 )(1 ) ( 2 1 1 2 2 1 2 1 2 1 2 1 2
  • 68.
    ب –روش میلر 1 1  r R g R c c ( || )( ) 1 2    p R c p S m c c    خازنی یک صفرایجاد می کند و لزوما Feed Forward هر مدار همیشه میلر صادق نمی باشد.
  • 69.
    بررس ي بيشتراثر وتئوري ميلر تئوری میلر: Z Av 1 Z 1 Av 1
  • 70.
    CE مثال -پیدا کردن قطب ورودی و خروجی مدار VCC RC RB Vi CF A B Q2 Vo :DC گین Av =-gmRc
  • 71.
    استفاده از قضیهمیلر: 1 c F R C ) 1 g R 1 Rc C (1 out m c F         F m c C g R   (R || r 1 in B
  • 72.
    محدودیت های استفادهاز قضیه میلر: 1) در مواردي كه بهره بین دو نقطه بالا نيست،قابل استفاده نمي باشد. 2( اطلاعي از محل صفر به دست نمي دهد. 3( تقريب خوبي از قطب دوم )غیر مسلط( به دست نمي دهد .
  • 73.
    CB بررس يپاسخ فرکانس ی مدار :CE با CB تفاوت های مدار 1) مقاومت ورودي كمتر 2(بهره ي ولتاژ مثبت 3(پهناي باند بيشتر 4(مقاومت خروجي مشابه Rs v i RB Rc Vo VCC
  • 74.
     5( دارایبهره جریان I s T c B W I    1  0  WT   W
  • 75.
    6( پاسخ فركانسي بسيار سريعتر به دلیل قطب های بزرگتر الف- رابطه تقریبی Rs Cmiller RL s s W RL io ii ii vi vo io vo vi T 1 1 1 0           
  • 76.
    ب-رابطه دقیق -Cu RL Cp Rs re v Rb + V i gmv vo  g g v      R R r vo  g  v  Z 1 (1 )  1 ( )   u L r v v SC re g R i m m s b L v R R R re      m s b s g  Z m L C R g R   m b m s m L i m s b m b s b i u L L m L m b e i m e b e i s e e e e C SC R g R S g Rs s vo vi v g R SC R vo g R SC R R v SC R Z g R Z v v g v Z v R Z v R SC r Z r X                                    1 1 1 1 1 1 1 1 1 ( ) 1 1 1       
  • 77.
    R b    m s R C L u 1 P g R R RC P 1 1 1 2     g 1 Rs  Rb, gm Rs 1 P m WT C 2 2 1      If:
  • 78.
    پاسخ فركانس يتقويت كننده ديفرانسيل VCC Rc Rc Rs v i Rs v o1 v o2 Q1 Q2 IEE VEE
  • 79.
    مدل نیم مدار RL Rs v i/2 Q1 VCC v o/2 0 b m L C R g R P  1 1   CE مانند قطب مسلط از روش میلر
  • 80.
    :CE حل دقیقمدار Cp Cu - gmv vo R=(Rb+Rs)|| r + RL v 1 p 2 ii=v i/(Rs+Rb) i i v sC v  sCu (v  vo)   R vo   gm v  sCu  (vo  v)  0 RL || ( ) b s R  r R  R  RR SC g (   ) L m i i vo 1  ( C  R  C  R  C  R  g RR C  ) S  ( RR C  C  ) S 2 L m L L   KCL صفر سمت راست
  • 81.
    به دست آوردنقطب ها: 1 1 1  C R C R CuR g RR C g C R R P        L m L m L  C u  1 P RR C L P 1 1 2   g 1 1 1 P m      RC R C R C C  L u L   2 از تقریب قطب مسلط قطب ها به قدر کافی دور هستند و استفاده از تقریب های میلر و قطب مسلط صحیح بوده است
  • 82.
    براي تقويت كنندهديفرانسيل در common mode بررس ي حالت فركانسهاي بالا RL Rs v ic Q1 VCC v oc 0 2REE CE/2 0 gmv Cp v oc + RL v 1 p 2 v ic Rs+Rb Cu r - 2REE CE/2 با جاگذاری مدار معادل منبع جریان
  • 83.
    R E ZE2 قطب مسلط ناش ی از E sR C E E Z   1    L L oc     (1 ) R R R v   L   E E E CM E E E CM E ic CM j R C R A j sR C R A Z v A     1   2 2 پس با توجه به روابط به دست آمده:
  • 85.
    مثال:قصد داريم بااستفاده از تقريب ميلر، قطب مسلط را به دست بياوريم. R k R k s L 1 ,  5 R I mA b C  200, 1 100, f 400MHz (@I 1mA) T C     100 C PF r 26     k gm mA mv 1 26 0.5   
  • 86.
    دیدیم ً قبلا: mA (1 ) 0.5 (1 k mA mV 26 f  MHz mA  14.3 T  قطب اصلی 1 [( ) || )( ) 1   R R r C C P s b M    5 ) 1 mV 26 C C g R PF M m L      C PF PF C 0.5 1 400 @1     MHz P 1.74 1   2 
  • 87.
    Degeneration با مقاومتCE پاسخ فركانس ي تقويت كننده
  • 88.
    m eff gR m E g Gm   1 C (1Gmef f RL) M  C C gmRE C  CM  T 1   [( )] || ( (1 . )] T s b m E R  R  R r  g R  =
  • 89.
    قطب مسلط 1 T T R C f 1  2  ايجاد مي کند: CE اثرات زير را در پارامترهاي RE وجود مقاومت
  • 90.
    1(افزايش پهناي باند بهره ولتاژ = gain 2(كاهش 3(افزايش مقاومت ورودي 4(پايداري حرارتي 5(خطي تر شدن مدار L m R g R m E g 1
  • 91.
    THD 6( کاهشاعوجاج يا 7( افزایش نویز
  • 92.
    پاسخ فركانس يتقويت كننده چند طبقه سیستم علی: a a s a s a s m    ...  o m n o n b b s b s b s A s      ... ( ) 2 1 2 2 1 2 n<m s s s (1  )(1  )...(1  ) 1 2 n s s s (1 )(1 )...(1 ) ( ) 1 2 0 m p p p z z z A s A    
  • 93.
    Freq. response approximation: (1) Dominant pole Approximation  ... P1  P2  P3 ... s k s s (1 )(1 )...(1 ) ( ) p p 1 2 m p A s    1 1 1 P1 P2 P3            1 1 2 1 1 1 1 1 ... 1 1 P b P P P b i n i 3 1 1 3 2 P P f dB dB         فرض
  • 94.
    2    1 2 2                        k 1 1 ... 1 1 2 2 1 | ( ) |                                                   P k P P P A j m  2 dB MAX MAX A j | A( j ) | 0.707 A( j ) | ( ( )) | 3       2
  • 95.
    حالتهاي ممكن درتقريب قطب مسلط: دور نباشند و تقريب قطب مسلط برقرار نباشد. f3 , f2 , f 1) فرض كنيم 1 f )2 3 , f2 , f1 و... بهم نزديك باشند. 3( )طبقه اول ( ... 1 1  1.1   1 2 2 2  f f f dB 3 1 ... 1 1 1    2 2 2  f f f dB 3 1 1 n dB dB f f f f f 1 2 3 3 3        [ ] 2 1
  • 96.
    نقاط ضعف اينروش: 1(فقط در حالت قطب مسلط درست است. 2(از اثر متقابل خازن ها چشم پوش ي شده است. 3(از اثر صفر تابع تبديل چشم پوش ي شده است و اطلاعاتي در مورد صفرها و قطب هاي ديگر مدار بدست نمي دهد.
  • 97.
    شهود: N s ( ) ( ) ( ) D s A s  D(s)  (1 s1)(1 s 2)(1 s 3) 2 s s s b s b s b s 1 2 3 1 2 3 2 1 2 2 3 1 3 2 1 2 3 1 (   )  (      )  (   ) 1   P b     T 1 1 2 3    First time – moment Due to poles
  • 98.
    ( ) () 2 2 2 2 2 2 1 2 3 P1 P2 P3 P P P b         2 2 2 2 2 IP P T T b    ثابت زماني دوم متعلق به قطبهاي مدار
  • 99.
    حالتهاي ممكن : 1) تقريب قطب مسلط T T b P P    0 1 2 2 2) تقريب قطب غالب، صفر غالب )خروجی را صفر می کنیم(    b  T P 1 1 T1P براي به دست آوردن ورودي را صفر مي كنيم T s 1 . z 1 1 1   D o 1 , T s A a s b s A s A P 1 ( ) 1 1     2 1 2 1 3 1 P Z dB T T BW   
  • 100.
    با استفاده ازروش ثابت cascade تحليل تقويت كننده آبشاري يا زماني VCC R1 R2 Q3 RL QbreakN Q4 QbreakN Rs Rs Q2 0 RE R3 Q1 RE 0 VEE 0 0 RL
  • 101.
    مدار معادل فرکانسبالا: :CB قسمت RE + + - Ccs Cpi3 Vi/2 Cu1 Cu rpi1 Vo Cpi1 Ccs3 gm1.v Rs+Rb Rb3 - rpi3 gm3.v 3 v RL v3 rpi3 RL gm3.v 3 1/gm3 Vo Rb3 RL gm3.v 3 re3 Vo <<
  • 102.
    C : یافتنمقاومت دو سر RE R3 Rs+Rb + I5 gm.v A B rpi1 Ix v - R R B E g R m E R r 1 1 1 || 1 1      1  1 1 1   C R c  
  • 103.
    C یافتن مقاومتدو سر : 1 RE Ri3 RB1=Rs+Rb gm1.v 1 I5 B rpi1 Ix +Vx- Ri3 Ix +Vx- RB1=Rs+Rb Gm ef f .v 1 Ri1=rpi(1+gm.RE) m eff g R m E g Gm   1 R R R Gm R R C L L     1 1 1 1 1 1 1 1 || B i R  R R R R R (1 Gm R ) Gm R R C L L L      1 1 1 1 1 1 1 1 2 1 1  C   C R   3.79 0.32 0.31 0.24  4.66ns قطب غالب 1C
  • 104.
    Cascode به دستآوردن قطب غیر مسلط طبقه Q1 V i Rs RE VB Q3 VCC Vo RL    RC C RC       1 1 1 1     RC   C RC 1 1 1 جلسه قبل
  • 105.
    به دست آوردن:  3 RC gm1 . V1 gm3 . V3 r3 Rb3 0 Cu Cin3 ورودی صفر gm3V3 Rb3 Re3 Ix   || r    R . C C  e 3  3 C  3  3 1 3 3 3 g R R m
  • 106.
    3 : بهدست آوردن CR Ix RL C 3 L b3 R  R  R  Rb3 4 3 3  C   C R 1 2 3 4     
  • 107.
    VCC,VEE10 RS 1k: مثال R   R  k R  k E L 75 4 1 3 4 10 200 1 2 R  k R  k   ( )  0.67  0.025  200 3 VBE on ns Rb F  rc(actrve region) 150 =1.3pF C PF V V CB 0.6 0.6 0 0( )    KT n 2 NaNd q 1 0   ln
  • 108.
    :DC روابط بایاس VCC VEE R 1 فرض IB3,4  0 VCC V v V   4.13 B 3 B R R 1 | | 3  1 2    V  V  V  3.7 v C 1 B 3 BE ( on ) VEE  VBE I     C mA I I I 2 3 4 | | 1 1.15 3 2 C C C E R  R  V VCC R I k mA v C L C 10 1 1.15 8.85 3 3       R R V DC O  Gm R Ri r1(1 gm1RE ) 1 1 1 بهره  ولتاژ 1 i 1 3 1 3 1 1 1 1 . L s i m L i s i m i R R g R g Gm R R V    c g m 1 10.2 / V  9.74 0    19.5 1 1    mA V r i R k I v B g th ms 1  g R Gm m E 1 1  i V و و
  • 109.
    محاسبه ثابت زمانیهای مدار: mA  2.6PF  0.25ns44R  2.6 11.1 13.7 2 . 1 F m C  Cje  CF  Cje  g PF PF pF c .R 3.79ns 1 1 1      1 V 3.6 0 1 1 VC VB  v  ) V B ( ) 1 ( 0 0 1 V C C     C 0.23PF 1    R  k C 1.41  0.32ns 2   R  k C 1.2 3 V  V  V  8.85  4.3  4.55 C PF CB C B 3 3 3 C C 0.2   3 3 4.56 0.5 1      0.24ns 4  
  • 110.
    محاسبه ثابت زمانیهای مدار:  3.790.320.310.24 4.66ns 1 1 f   34.2 MHz 3 dB  2   
  • 111.
    روش تقریبی: Q1 Cpi1 + 2Cu1 X V i Cu3 + Ccs3 OUT Rs Q3 VCC Vo RL 2Cu1 + Cpi3 + Ccs1 Y 1 RE x  )( || 2 ) ) صرفنظر از 1 1 Rs r  C p i   ( 2 ) 3 1 1 3 1 1 C C Ccs gm py      1 out  3 3 R C Ccs ( ) p L    ممکن است گاهي هم قطب خروجي مسلط شود. ولي عمدتا Ccs به خاطر قطب ورودي مسلط است.
  • 112.
    • اثر فیدبکبر پاسخ فرکانس ی : gain کاهش افزایش پهنای باند )distortion خطی سازی )کاهش فيدبك منفي افزایش پایداری
  • 113.
    a s () 1 ( ) ( ) fa s A s   S 1 0 1 ( ) p a a s   1 fa S 1 (1 ) 1 ( ) 0 1 0 0 fa p a A s    
  • 114.
    :gain -1 کاهش 0 0 a 1 f .a Ao   p1  p1(1 fa -2 افزایش پهنای باند : ( 0
  • 115.
    اعوجاج سازی باکاهش خطی -3 : THD -4 افزایش پایداری : دور می شویم، تقویت jω هر چه از محور کننده پایدارتر می شود Return Ratio : معیار پایداری Loop Gain = LG = T(S) = Return , ( ) ( ) Ratio 0 T  a f T s  fa s
  • 116.
    loop gain •نکته:افزایش پایدار تر شدن مدار افزایش پهنای باند gain ثابت کاهش Gain BandWidth
  • 117.
    •تقویت کننده یتک قطبی: همیشه پایدار است فیدبک منفی S 1 0 1 ( ) p a a s  
  • 118.
    •تقویت کننده یدو قطبی:  0 0 : بهره حلقه باز a S S S S (1 )(1 ) (1 )(1 ) ( ) 1 2 1 2   p p a a s      بهره حلقه بسته: 2 0   0 1 2 ( ) 2 0      s Q S a A s  0 1 2 0 1 2 0 (1 ) ,         T Q  عموما تقویت کننده های دو قطبی پایدارند
  • 119.
    peak (Q بهرهحلقه بسته(با تغییر Root Locus مکان هندس ی ریشه های حلقه بسته بر اساس قاعده jω دو خط عمود بر هم و در طرف چپ محور
  • 120.
    •تقویت کننده یسه قطبی : 0 S S S a (1 )(1 )(1 ) ( ) p p p 1 2 3 a s     ] a s ( ) 1 ( )  T s f a s ( ) . ( ) ( ) [ ( ) T s T s A s    برای تقویت کننده با 3 قطب یا بیشتر باید به طریقی مثلا استفاده از فیدبک آنها را پایدار کنیم. PM<0
  • 121.
    معیار نایکویست (( )Nyquist Criterion ( •تئوری نایک ویست برابمر تعمداد دورهمای منح می jω •تعداد قطب های سممت راسمت محمور حول نقطه ی ( 1,0 -) است
  • 122.
    •تعریف پایداری تقویتکننده ها : 180 ( ) 0  T j M   |T( j ) | 0dB 0    0 M  : شرط پایداری
  • 123.
    •مشاهده ی اثرفیدبک بر تقویت کننده :  a j ( ) 1 ( )  a j ( ) 1 ( ) ( )    T j fa j A j      a j ( ) A j  . ( ) [ ( ) 1] ( )      f a j  small  a j   A j  ) a 0 A 1 1 ( 1 1 a ( ) 0 0 0 0 a f a f f f      
  • 124.
    20log ( ) ( ) ( ). 1 0 0 T j  a j f  1 x  a j   20log | (  ) | 20log T j f f a j 1 ( ) 0 0      PM  180 T(i) M     ( ) ( ) 1 0   T j  a j f  0    تقویت کننده پایدار است. 0 M 
  • 125.
    •مثال:  45  T( j)  135 , T( j)  1 M 0 0 i  a j  a j   0   e A j ( ) 0 j 1 0.7 0.7 1 ( ) ( ) 0 135     f  a j | A ( i ) | 0 1.3 ( ) 0   0.76   0 M  • بزرگ تر از صفر است در نتیجه تقویت کننده پایدار استاما میزان پایداری متفاوت است.
  • 126.
    بودن پاسخ فرکانسی: FLAT • f Peaking A j 1 ( ) 0    f A j M 1 2 2 90 ( ) 0       FlatBand  M  Gain Peaking
  • 127.
    :(Compensation) •جبرانسازی •تعریف: افزايش حاشيه فاز براي پايدار كردن تقويت كننده )اصلاح يا بهبود پاسخ فركانس ي تقويتكننده( را جبران سازي گويند. اثر جبرانسازی در پاسخ فرکانس ی (f= بدترین حالت=( 1
  • 128.
    •روش های جبرانسازی: ایجاد قطب مسلط روش میلر Lead Compensation Nested Miller Compensation
  • 129.
    -1 ایجاد قطبمسلط: High Impedance •پیدا کردن نقاط 0 برسیم dB به P را طوری طراحی می کنیم که در 1 PD (Dominant Pole) معمولا Cc C1 R1 1 1 1   c R C C f R C f      1 1 1 1 1 2 2   45 M 
  • 130.
    -2 جبران سازیبه روش میلر: P2 A Vo D P1 B Cc Compensation خازن High-Z گره های
  • 131.
    •ایجاد قطب مسلطبه روش جدا سازی قطب ها : تئوری تکمیل شده روش میلر( (Pole – splitting
  • 132.
    :Pole-Splitting •محاسبات    S C C SC c c i                             0 S C C ( ) 1 ( ) 1 v : 1 2 2 2 1 1 s v c c o m R g SC R   s C C i  m c c s v KCL     S C C SC c c    o   ( ) 1 ( ) 1 0 ( ) 1 2 2 2 1 1 2 1 1 m c c s S C C R g SC R g SC R i  ( ) g SC R R m c 2 1 2 1 [( ) ( ) ] ( ) c c m c 1 2 1 2 2 c 1 c 2 1 1 2 2 2 1 2 o s s C C R C C R g R R C S R R C C C C C C v i         
  • 133.
     ( ) g SC R R m c 2 1 2 1 [( ) ( ) ] ( ) c c m c 1 2 1 2 2 c 1 c 2 1 1 2 2 2 1 2 o s s C C R C C R g R R C S R R C C C C C C v i          2 1 D S    )  ' ' 2 ' ' 1 1 2 1 1 ( ) 1 ( S P P S P P مخرج 1 1 ' 2 P  P  1 2 ' 1 ' P P 1   C Cc R C Cc R gm R R Cc gm R R Cc P 1 1 2 2 2 1 2 2 1 2 1 1 ( ) ( )        c g C m 2 c 2   C C C C C P ( ) 1 2 1 2  
  • 134.
    C C P 2 1 2 0 c [ ( ) ] C P P  1 Cc  1  m c g R R C P R C   P 2 1 2 1 1 1 1 1 , '    c g C m 2 c   1    2   C C C C C P R C P ( ) , ' 1 1 2 1 2 2 2 2          2 2 1 2 1 2 C P C C C C C C c c c P 1 P 2 Poles Splitting P    2 P1 ` P2`
  • 135.
    :Classical pole splitting• شرایط پایداری : o u P'  c i o C  C ,C g g 2 m 1 m 1 m g P     ' ( ) o C C g m m g g 1  g i R g R C ( ) i m2 o c P    1 C C i o ( ) 2 i o c e o C C C r P     m C c g Z 2  g   m 1 u C c 2 i o m c c i o g C C C C  2 1 2 1 m m c c C C   
  • 136.
  • 137.
    :Lead Compensation-4 تعریف:جبرانسازی به روش ایجاد صفر در شبکه فیدبک خازن برای ایجاد صفر
  • 138.
    مدل فیدبک          1     R R E E E F F p F F z R R C w R C w ( ) 1 E R o R R E F f f   (0)   E F E 1 o o o o o R o R R A f T a f A    1   | | Cرا طوری انتخاب می کنیم که صفری که به F خاطر ایجاد می شود، سمت چپ و باشد . z  P z z   A   0 R F R C S R R R E R Z i i f s F F E E E F f o         1 ( ) (1 R C S ) F F R C R S F F E E F E R E F R R R R f s       1 ( ) 1p 2 p
  • 139.
    :Root-Locus •تحلیل باروش Zero-FeedBack Compensation
  • 140.
    Slew Rate پارامترياست كه نشان دهنده محدوديت پاسخ فركانس ي Slew rate تقويتكنند هها در ازاي اعمال سگينال ورودي با دامن هي بزرگم يباشد. کافی نیستند و نیاز به Opamp در بعض ی شرایط برای ارزیابی یک  ...,M ,BW . داریم SR پارامتر
  • 141.
    در تقویت کنندهها: SR دلیل محدودیت این محدودیت به خاطر وجود خازن جبرانساز است. :SR اندازه گیری   1 , 1 s 2  f   5 1 S s V s S A s   1 ( ) V t U t V s o i i o              1 ( ) 5 ( ) 5 ( ) ( ) قرار دادن یک خازن کوچک در خروجی t ( ) 5(1  ) o V t e    
  • 142.
    s ns fMHz : اگر o 5  0.6  122  1.3 خروجي قابل انتظار خروجی واقعی برای فهمیدن دلیلی این امر روابط سیگنال بزرگ طبقه تفاضلی را بررس ی می کنیم
  • 143.
    روابط سیگنال بزرگزوج تفاضلی : V  V  V  V  V i BE EB EB BE 1 4 3 2 2 ln i  i i I c 1 2 1 1 2 2 i V V c c c i t   V mv c  V V e I     i e I i i i t c V V i t 120 1 2 1 2 / 2 1 2 / 2 1 1           t I  i  0.9  2 I c 1 1 i 0.1 2 I o c 1 2 C V t V i t dt C V t o o ( ) (0 ) 0 ( ) 1 ( )                 2 1 c
  • 144.
    پس: تحلیل سیگنالکوچک: dV SR o  dt I SR 1 2 C    g C j dV o dV di x dV i dV g o  di j C m i x    m 1 . 1          mI u mI u V o i g SR I g C V u     1 1    2 
  • 145.
    رابطه کلی تر: باشد،در این صورت با یک رابطه کلی تر داریم ماكزيمم جريان شارژ كننده خازن اگر : x I x u g mI I SR .  
  • 146.
    :SR روش هایافزایش 1(افزایش 2(افزایش u x I mI g 3(کاهش .این کار به چند طریق امکان پذیر است : در ورودی. MOS -استفاده از در امیتر ترانزیستورهای ورودی Degeneration -استفاده از مقاومت
  • 147.
    تاثیر مقاومت درامیتر ترانزیستورها: 1 1 1 g g 4  t u I    SR  V mI m 1 t V 2 2 g  1  1 1 g   mI R E u m    t E m m g SR V R g      2 4 1 2 1 2 1 RE تاثیرات  g ain  noise SR BW  Distortion
  • 148.
    :Full Power Bandwidth بیان می کند که برای افزایش فرکانس باید دامنه کاهش SR به طور کلی یابد و بالعکس. V V t i i  ˆ sin V V t o o  ˆ sin o | | ˆ cos V t dV dt o SR o o dV o V SR V dt SR ˆ | | ˆ max max      FPBW SR   2 ˆ V f o 1 max 
  • 149.
    V ؟FPBW مثال:حال ˆ  5, 1 V SR i  s در حالت فیدبک واحد: KHz V s V FPBW ˆ 5 V V o V s  SR 32 1 5 1 2 1            