1
Dec. 3, 2018
Jay Chang
PMF, BPMF and BPTF
Probabilistic Matrix Factorization
(PMF)
2
R. Salakhutdinov and A. Mnih, “Probabilistic Matrix Factorization,” Proc. Advances in Neural Information Processing Systems 20 (NIPS 07), ACM
Press, 2008, pp. 1257-1264.
3
Recommendation = Prediction of Rating
• In real systems, matrix is really big and sparse
• E.g. dataset from Netflix Price: 500,000 users x 17,000 movies.
• 100 million (~1%) ratings are known.
4
Recommendation System – Classification
Tensor
Factorization
5
Preliminaries
• Suppose we have N users and M movies, integer rating values from 1 to K.
• Ranking matrix:
• Represent latent user and movie
feature matrices.
• We will use Ui and Vj to denote the latent feature vectors for user i and movie j respectively.
, represent the rating of user for movie .N M
ij i j×
∈R Rℝ
, , is latent variable dimension.D N D M
D× ×
∈ ∈U Vℝ ℝ
6
Probabilistic Matrix Factorization (PMF)
• Suppose we have N users and M movies, integer rating values from 1 to K.
• Ranking matrix:
• Represent latent user and movie
feature matrices.
• Column vectors representing user-specific and movie-specific latent feature
vectors respectively.
• Given the feature vectors for the user and the movie, the distribution of the corresponding
rating is:
is indicator function that equal to 1 if user i rated movie j, otherwise equal 0.
• User-specific and movie-specific latent feature vectors are given zero-mean spherical
Gaussian priors, i.e.,
, represent the rating of user for movie .N M
ij i j×
∈R Rℝ
, , is latent variable dimension.D N D M
D× ×
∈ ∈U Vℝ ℝ
andi jU V
2 2
( | ) | , ), ( ,, T
i ijj ji ijp UU V V σσ =R RNNNN
ijI
7
2
2
( | )
( | , )
, ,iij j
T
ij i j
U Vp
U V σ
σ =R
RNNNN
2
( | 0, )j VV σ INNNN
2
( | 0, )i UU σ INNNN
2 2
( | ) ( | , ), ,i
T
ij j ij i jU Vp U V σσ =R RNNNN
PMF model
8
BPMF model
2
2
( | )
( | , )
, ,iij j
T
ij i j
U Vp
U V σ
σ =R
RNNNN
1
( | , )j V VV µ −
ΛNNNN
1
( | , )i U UU µ −
ΛNNNN
1
0 0 0
1
0 0 0
2
1
1
2
( , ), ( , )
( , ), ( , )
( | , )
( | , )
( | ) ( |, , ),
U U U
V V V
i i U U
j j V V
T
ij ij ii jj
W
W
U U
U V
V V
p U V
µ µ ν
µ µ ν
µ
µ
σσ
−
−
−
−
Λ Λ ∼
Λ Λ ∼
Λ
Λ
=R R
N WN WN WN W
N WN WN WN W
NNNN
NNNN
NNNN
∼
∼
∼
∼
• The log of the posterior distribution over the user and movie features is given by
• Where C is a constant that does not depend on the parameters.
• Maximum log-posterior probability equivalence to minimizing sum-of-square-errors objective
function with quadratic regularization terms:
• Limit the range of prediction then apply a logistic function g(.) to the mean of Gaussian
functions
9
PMF – Learning (I)
( ) ( ) ( ) ( )2 2 2 2 2 2
MAP Learning: Maximize the log-posterior over movie and user features with fixed hyperparameters.
, | , , , | , , | |U V U V
posterior likelihood prior
p U V p U V p U p Vσ σ σ σ σ σ
∝ ×
∝R R
10
PMF vs. MF
• PMF is equivalent to MF
2 2
2
2
,
1 1 1
2
2
2 2
,
: terms irrelevant to and .
2-norm regularization zero-mean spherical Gaussian
, ,
a
prior
( | ) ( | , ),
( | , ) ( | 0, ) ( | 0,rg max ij
i j
N M N
U V
U V
U V
T
ij ij i j
IT
ij i j i U
i j i
j
U
C U V
L
p U V
U V U V
V
σ σ
λ λ
σ σ
σ
σ
σ
σ
= = =
= =
=
=
∏∏ ∏
R R
R I
NNNN
N N NN N NN N NN N N 2
1
)
M
j
Vσ
=
∏ I
,
1 1
22
1 1
21
arg ( )min
2 2 2
N
T
ij ij i j i
M N M
jF
U V
U V
i j i
F
j
I U V U V
λ λ
= = = =
+ +−  R
2
Take log( )σ− ⋅
2
( )
Take e σ
− ⋅
• Find local minimum by gradient descent in parameter U and V until converge.
• Main drawback is complexity control, which is essential to making the model generalize well.
• Brief summery: Maximizing the log-posterior, we find a point estimate of parameters and
hyperparameters.
11
PMF – Learning (II)
12
Constrained PMF
• After PMF fitting, few rating users feature vectors will close to prior mean.
• Caused unknown predicted ratings for those users will be close to the movie average
ratings.
• So introduced the constrained PMF model.
Constrained PMF modelBasic PMF model
be a latent similarity constraint matrixD M
W ×
∈ℝ
13
Constrained PMF Model
( )
( ) ( ) ( ) ( )
2 2 2 2
2 2 2 2
, , | , , , ,
| , , , | | |
Y V W
Y V W
posterior likelihood prior
p Y V W
p Y V W p Y p V p W
σ σ σ σ
σ σ σ σ
∝
∝
×
R
R
, ,
arg min
Y V W
14
: the number of latent factor , the learning rata , regularization parameters , , max iteration step, and the rating matrix
: Initialize a random matrix for user matrix and
U VD R
U
λη λInput
Initialization
= 1, 2,...step
( , , ) in
make prediction
error
update and
(1 )
(1 )
item matrix
T
i j
i j
i U i ij j
j V
t
u i r R
pr U V
e r pr
U V
U U e V
V
V
ηλ η
ηλ
=
= −
← − +
← −
for do
for
where T
j ij i ij ij i jV e U e R U Vη+ = −
end
end
Pseudo Code
15
Demo
RMSE
iterations
training set : validation set = 8:2
16
17
Summery:
• Efficiency in training PMF models comes from finding only point estimates of model
parameters and hyperparameters, instead of inferring the full posterior distribution.
point estimation: when parameter selection is inappropriate overfitting occurred.
where
SGD vs. ALS:
• SGD: Easier to develop MF extensions since we do not require the closed-form solutions.
• ALS: We are free from determining the learning rate ߟ and allows parallel computing.
• Drawback for both:
• Regularization parameters ߣ need careful tuning using validation. And we have to run MF
for multiple times (poor complexity control).
• Fully Bayesian approach, we would put hyperpriors over the hyperparameters and resort to
MCMC methods to perform inference.
• Pros: increase in predictive accuracy.
• Cons: computationally more expensive.
Probabilistic Matrix Factorization
,
arg min
U V
18
• R. Salakhutdinov and A. Mnih, “Probabilistic Matrix Factorization,” Proc. Advances in
Neural Information Processing Systems 20 (NIPS 07), ACM Press, 2008, pp. 1257-1264.
• Koren, Y., Bell, R., Volinsky, C. “Matrix factorization techniques for recommender systems”,
Computer, 2009, 42, (8), pp. 30–37.
References
19
Some Derivations for Eq(3)
20
Some Constrained PMF SGD Derivations
21
Bayesian Probabilistic Matrix
Factorization (BPMF) using
Markov Chain Monte Carlo
(MCMC)
R. Salakhutdinov and A. Mnih. “Bayesian probabilistic matrix factorization using Markov chain Monte Carlo”, In International Conference on
Machine learning, pages 880–887, 2008.
22Bayesian PMF graphical modelPMF graphical model
≈R U
V
user features
movie
features
BPMF using MCMC – PMF and BPMF
T
ij i j≈R U V
• Consider a PMF generative process:
• Pick up user u latent factor.
• Pick up movie v latent factor.
• For each (user, movie) pair observed: pick rating as
• Bayesian PMF:
• Introduce priors for the parameters.
• Allow model complexity to be controlled automatically.
23
BPMF using MCMC – basic PMF
• Suppose we have N users and M movies, integer rating values from 1 to K.
• Ranking matrix:
• , represent latent user and movie feature
matrices.
• Column vectors representing user-specific and movie-specific latent feature
vectors respectively.
• observed ranking matrix conditional probability , precision
is indicator function that equal to 1 if user i rated movie j, otherwise equal 0.
• User-specific and movie-specific latent feature vectors satisfy normal distribution, i.e.,
, represent the rating of user for movie .N M
ij i j×
∈R Rℝ
, , is latent variable dimension.D N D M
D× ×
∈ ∈U Vℝ ℝ
andi jU V
2 1
~ ( , )T
ij i jU V σ α−
=R NNNN
likelihood
ijI
Gaussian prior
α
• Maximizing the log-posterior over the movie and user features with fixed hyperparameters.
• Maximizing this posterior distribution with respect to U and V is equivalent to minimizing the
sum-of-squares error function with quadratic regularization terms.
• Solution can be found by gradient descent in U and V.
• Drawback:
• Need to manual control on parameters to avoid overfitting.
24
BPMF using MCMC – basic PMF
Posterior likelihood prior∝ ×
,
arg max
U V
,
arg min
U V
25
BPMF using MCMC – Bayesian PMF
• The prior distributions over the user and movie feature vectors are assumed to be Gaussian:
• Gaussian-Wishart priors on the user and movie hyperparameters:
where W is the Wishart distribution with ߥ0 degrees of freedom and a D × D scale matrix W0
• Bayesian PMF:
• Introduce priors for the parameters.
• Allow model complexity to be controlled automatically.
• Likelihood
2 2
( | , , ) ( | , )T
ij i j ij i jp R U V R U Vσ σ= NNNN
26
P.S.
• Predictive distribution:
• In contract with MAP estimation in PMF:
27
BPMF using MCMC – Predictions
• Use the Monte Carlo approximation to the predictive distribution.
• Samples generated by Markov chain whose stationary distribution is the posterior
distribution over the model parameters.
• MCMC drawback: limited to small-scale problems.
• Each iteration of MCMC requires computations over the whole dataset.
• Each round of sampling required expensive computation.
( )
( ) ( ) ( ) ( )2 2 2 2 2 2
, | , , , | , , | |
|{ , } ( )ij M
U U V
A
V
P
posterior likelihood prior
p U V p U V
p R U V
p U p Vσ σ σ σ σ σ
∗
∝ ×
∝R R
R
Require marginalization over the model parameters { , } and hyperparameters { , }U VU V Θ Θ
28
• We use Gibbs sampling to generate the samples.
• Due to the use of conjugate priors, the conditional distributions are easy to sample from.
• The posterior distributions of the user and movie latent feature matrices U and V factorize:
• We can speed up the sampler by sampling the feature vectors for different users/movies in
parallel.
BPMF using MCMC – Inference
1
1
( | , , ) ( | , , ),
( | , , ) ( | , , ).
N
U i U
i
N
U j V
j
p U V p U V
p V U p V U
=
=
Θ = Θ
Θ = Θ
∏
∏
R R
R R
29
BPMF model
2
2
( | )
( | , )
, ,iij j
T
ij i j
U Vp
U V σ
σ =R
RNNNN
1
( | , )j V VV µ −
ΛNNNN
1
( | , )i U UU µ −
ΛNNNN
1
0 0 0
1
0 0 0
2
1
1
2
( , ), ( , )
( , ), ( , )
( | , )
( | , )
( | ) ( |, , ),
U U U
V V V
i i U U
j j V V
T
ij ij ii jj
W
W
U U
U V
V V
p U V
µ µ ν
µ µ ν
µ
µ
σσ
−
−
−
−
Λ Λ ∼
Λ Λ ∼
Λ
Λ
=R R
N WN WN WN W
N WN WN WN W
NNNN
NNNN
NNNN
∼
∼
∼
∼
30
BPMF using MCMC – Overall Model
likelihood
Prior ~ Wishart
Prior ~ Normal
Prior ~ Gaussian
approximate posterior
conditional prob ~
Normal-Wishart
31
• The Gibbs sampling algorithm takes the following form:
BPMF using MCMC – Gibbs Sampling
32
Demo
RMSE
iterations
training set : validation set = 9:1
33
34
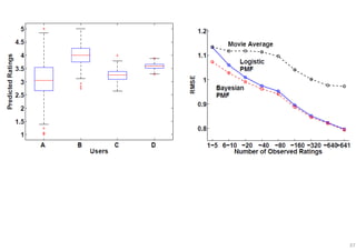
• Bayesian PMF models can be successfully applied to a large dataset containing over 100
million movie ratings.
• They achieve significantly higher predictive accuracy than the MAP-trained models.
• One drawback of using MCMC for training Bayesian PMF models is that it is hard to
determine when the Markov chain has converged to its equilibrium distribution.
Conclusions
35
• R. Salakhutdinov and A. Mnih. “Bayesian probabilistic matrix factorization using Markov
chain Monte Carlo”, In International Conference on Machine learning, pages 880–887, 2008.
References
36
37
38
P.S. Gibbs sampling = alternating conditional sampling
• 假設觀測值 服從mean(unknown)為 ,covariance(known)為
,且變量ߐ服從均勻分佈,利用Gibbs採樣估計ߐ ?
•
https://en.wikipedia.org/wiki/Conjugate_prior
或是我們也可從joint Gauss求出後驗。
alternating
39
BPMF using MCMC – Bayesian PMF
• conditional distribution over the user latent feature matrix U factorizes into the product of
conditional distributions over the individual user feature vectors.
• easily speed up the sampler by sampling from these conditional distributions in parallel.
https://blog.csdn.net/shenxiaolu1984/article/details/50405659
40https://en.wikipedia.org/wiki/Conjugate_prior
conjugate prior
Observations:
Model parameters:
Hyperparameters:
According to e need to derive
and write the posterior distribution of the model parameters,
and then do the sampling and updat .
w
e
osterior likelihood priorp ×∝
For example
multivariate Gaussian distribution
41
{ }, , ,i j ετ λu v Posterior likelihood
Khatri-Rao product
bij indicator function
prior posterior
42
{ }, , ,i j ε λτu v likelihood
prior
posterior
Posterior
43
{ }, , ,i j ε λτu v likelihood
prior
posterior
Posterior
44
(1)
1U (1)
RU
(2)
RU
(3)
RU
(2)
1U
(3)
RU
45
6 8 1
7 4 9
3 5 2
1 2 6
7 7 3
8 2 1
8 8 1
4 1 9
1 8 3
9 8 8
1 1 4
7 4 9
1 8 3
9 8 8
1 1 4
7 4 9
? ? 3
9 ? ?
? 1 4
? 4 9
? 8 1
7 4 9
3 5 2
1 2 ?
? 7 3
8 2 1
8 8 1
4 1 ?
? 8 3
9 8 8
1 ? 4
7 4 ?
46
6 8 1
7 4 9
3 5 2
1 2 6
7 7 3
8 2 1
8 8 1
4 1 9
1 8 3
9 8 8
1 1 4
7 4 9
? ? ?
7 4 9
3 5 ?
1 2 6
? ? ?
8 2 1
8 8 ?
4 1 9
? ? ?
9 8 8
? ? ?
7 4 9
? ? 3
9 ? ?
? 1 4
? 4 9
7 ? 3
9 ? ?
? 1 4
? 4 9
? 8 3
9 ? 8
1 1 ?
? 4 ?
47
6 8 1
7 4 9
3 5 2
1 2 6
7 7 3
8 2 1
8 8 1
4 1 9
1 8 3
9 8 8
1 1 4
7 4 9
(user-user)
(celebrity-celebrity)
(movie-movie)
correlation matrix
correlation matrix
correlation
matrix
48
or
or
+
49
Five Pillars Of The Mamba Mentality:
1. Be Passionate.
2. Be Obsessive.
3. Be Relentless.
4. Be Resilient.
5. Be Fearless.
“Obsessiveness is having the attention to detail for the action you are performing at the time
you’re performing it.”
“Success is the ability to use your passion to help someone else discover their passion.”
https://www.youtube.com/watch?v=NLElzEJPceA
50https://www.ted.com/talks/linda_hill_how_to_manage_for_collective_creativity
51
Thank you for your attention

PMF BPMF and BPTF

  • 1.
    1 Dec. 3, 2018 JayChang PMF, BPMF and BPTF
  • 2.
    Probabilistic Matrix Factorization (PMF) 2 R.Salakhutdinov and A. Mnih, “Probabilistic Matrix Factorization,” Proc. Advances in Neural Information Processing Systems 20 (NIPS 07), ACM Press, 2008, pp. 1257-1264.
  • 3.
    3 Recommendation = Predictionof Rating • In real systems, matrix is really big and sparse • E.g. dataset from Netflix Price: 500,000 users x 17,000 movies. • 100 million (~1%) ratings are known.
  • 4.
    4 Recommendation System –Classification Tensor Factorization
  • 5.
    5 Preliminaries • Suppose wehave N users and M movies, integer rating values from 1 to K. • Ranking matrix: • Represent latent user and movie feature matrices. • We will use Ui and Vj to denote the latent feature vectors for user i and movie j respectively. , represent the rating of user for movie .N M ij i j× ∈R Rℝ , , is latent variable dimension.D N D M D× × ∈ ∈U Vℝ ℝ
  • 6.
    6 Probabilistic Matrix Factorization(PMF) • Suppose we have N users and M movies, integer rating values from 1 to K. • Ranking matrix: • Represent latent user and movie feature matrices. • Column vectors representing user-specific and movie-specific latent feature vectors respectively. • Given the feature vectors for the user and the movie, the distribution of the corresponding rating is: is indicator function that equal to 1 if user i rated movie j, otherwise equal 0. • User-specific and movie-specific latent feature vectors are given zero-mean spherical Gaussian priors, i.e., , represent the rating of user for movie .N M ij i j× ∈R Rℝ , , is latent variable dimension.D N D M D× × ∈ ∈U Vℝ ℝ andi jU V 2 2 ( | ) | , ), ( ,, T i ijj ji ijp UU V V σσ =R RNNNN ijI
  • 7.
    7 2 2 ( | ) (| , ) , ,iij j T ij i j U Vp U V σ σ =R RNNNN 2 ( | 0, )j VV σ INNNN 2 ( | 0, )i UU σ INNNN 2 2 ( | ) ( | , ), ,i T ij j ij i jU Vp U V σσ =R RNNNN PMF model
  • 8.
    8 BPMF model 2 2 ( |) ( | , ) , ,iij j T ij i j U Vp U V σ σ =R RNNNN 1 ( | , )j V VV µ − ΛNNNN 1 ( | , )i U UU µ − ΛNNNN 1 0 0 0 1 0 0 0 2 1 1 2 ( , ), ( , ) ( , ), ( , ) ( | , ) ( | , ) ( | ) ( |, , ), U U U V V V i i U U j j V V T ij ij ii jj W W U U U V V V p U V µ µ ν µ µ ν µ µ σσ − − − − Λ Λ ∼ Λ Λ ∼ Λ Λ =R R N WN WN WN W N WN WN WN W NNNN NNNN NNNN ∼ ∼ ∼ ∼
  • 9.
    • The logof the posterior distribution over the user and movie features is given by • Where C is a constant that does not depend on the parameters. • Maximum log-posterior probability equivalence to minimizing sum-of-square-errors objective function with quadratic regularization terms: • Limit the range of prediction then apply a logistic function g(.) to the mean of Gaussian functions 9 PMF – Learning (I) ( ) ( ) ( ) ( )2 2 2 2 2 2 MAP Learning: Maximize the log-posterior over movie and user features with fixed hyperparameters. , | , , , | , , | |U V U V posterior likelihood prior p U V p U V p U p Vσ σ σ σ σ σ ∝ × ∝R R
  • 10.
    10 PMF vs. MF •PMF is equivalent to MF 2 2 2 2 , 1 1 1 2 2 2 2 , : terms irrelevant to and . 2-norm regularization zero-mean spherical Gaussian , , a prior ( | ) ( | , ), ( | , ) ( | 0, ) ( | 0,rg max ij i j N M N U V U V U V T ij ij i j IT ij i j i U i j i j U C U V L p U V U V U V V σ σ λ λ σ σ σ σ σ σ = = = = = = = ∏∏ ∏ R R R I NNNN N N NN N NN N NN N N 2 1 ) M j Vσ = ∏ I , 1 1 22 1 1 21 arg ( )min 2 2 2 N T ij ij i j i M N M jF U V U V i j i F j I U V U V λ λ = = = = + +−  R 2 Take log( )σ− ⋅ 2 ( ) Take e σ − ⋅
  • 11.
    • Find localminimum by gradient descent in parameter U and V until converge. • Main drawback is complexity control, which is essential to making the model generalize well. • Brief summery: Maximizing the log-posterior, we find a point estimate of parameters and hyperparameters. 11 PMF – Learning (II)
  • 12.
    12 Constrained PMF • AfterPMF fitting, few rating users feature vectors will close to prior mean. • Caused unknown predicted ratings for those users will be close to the movie average ratings. • So introduced the constrained PMF model. Constrained PMF modelBasic PMF model be a latent similarity constraint matrixD M W × ∈ℝ
  • 13.
    13 Constrained PMF Model () ( ) ( ) ( ) ( ) 2 2 2 2 2 2 2 2 , , | , , , , | , , , | | | Y V W Y V W posterior likelihood prior p Y V W p Y V W p Y p V p W σ σ σ σ σ σ σ σ ∝ ∝ × R R , , arg min Y V W
  • 14.
    14 : the numberof latent factor , the learning rata , regularization parameters , , max iteration step, and the rating matrix : Initialize a random matrix for user matrix and U VD R U λη λInput Initialization = 1, 2,...step ( , , ) in make prediction error update and (1 ) (1 ) item matrix T i j i j i U i ij j j V t u i r R pr U V e r pr U V U U e V V V ηλ η ηλ = = − ← − + ← − for do for where T j ij i ij ij i jV e U e R U Vη+ = − end end Pseudo Code
  • 15.
  • 16.
  • 17.
    17 Summery: • Efficiency intraining PMF models comes from finding only point estimates of model parameters and hyperparameters, instead of inferring the full posterior distribution. point estimation: when parameter selection is inappropriate overfitting occurred. where SGD vs. ALS: • SGD: Easier to develop MF extensions since we do not require the closed-form solutions. • ALS: We are free from determining the learning rate ߟ and allows parallel computing. • Drawback for both: • Regularization parameters ߣ need careful tuning using validation. And we have to run MF for multiple times (poor complexity control). • Fully Bayesian approach, we would put hyperpriors over the hyperparameters and resort to MCMC methods to perform inference. • Pros: increase in predictive accuracy. • Cons: computationally more expensive. Probabilistic Matrix Factorization , arg min U V
  • 18.
    18 • R. Salakhutdinovand A. Mnih, “Probabilistic Matrix Factorization,” Proc. Advances in Neural Information Processing Systems 20 (NIPS 07), ACM Press, 2008, pp. 1257-1264. • Koren, Y., Bell, R., Volinsky, C. “Matrix factorization techniques for recommender systems”, Computer, 2009, 42, (8), pp. 30–37. References
  • 19.
  • 20.
    20 Some Constrained PMFSGD Derivations
  • 21.
    21 Bayesian Probabilistic Matrix Factorization(BPMF) using Markov Chain Monte Carlo (MCMC) R. Salakhutdinov and A. Mnih. “Bayesian probabilistic matrix factorization using Markov chain Monte Carlo”, In International Conference on Machine learning, pages 880–887, 2008.
  • 22.
    22Bayesian PMF graphicalmodelPMF graphical model ≈R U V user features movie features BPMF using MCMC – PMF and BPMF T ij i j≈R U V • Consider a PMF generative process: • Pick up user u latent factor. • Pick up movie v latent factor. • For each (user, movie) pair observed: pick rating as • Bayesian PMF: • Introduce priors for the parameters. • Allow model complexity to be controlled automatically.
  • 23.
    23 BPMF using MCMC– basic PMF • Suppose we have N users and M movies, integer rating values from 1 to K. • Ranking matrix: • , represent latent user and movie feature matrices. • Column vectors representing user-specific and movie-specific latent feature vectors respectively. • observed ranking matrix conditional probability , precision is indicator function that equal to 1 if user i rated movie j, otherwise equal 0. • User-specific and movie-specific latent feature vectors satisfy normal distribution, i.e., , represent the rating of user for movie .N M ij i j× ∈R Rℝ , , is latent variable dimension.D N D M D× × ∈ ∈U Vℝ ℝ andi jU V 2 1 ~ ( , )T ij i jU V σ α− =R NNNN likelihood ijI Gaussian prior α
  • 24.
    • Maximizing thelog-posterior over the movie and user features with fixed hyperparameters. • Maximizing this posterior distribution with respect to U and V is equivalent to minimizing the sum-of-squares error function with quadratic regularization terms. • Solution can be found by gradient descent in U and V. • Drawback: • Need to manual control on parameters to avoid overfitting. 24 BPMF using MCMC – basic PMF Posterior likelihood prior∝ × , arg max U V , arg min U V
  • 25.
    25 BPMF using MCMC– Bayesian PMF • The prior distributions over the user and movie feature vectors are assumed to be Gaussian: • Gaussian-Wishart priors on the user and movie hyperparameters: where W is the Wishart distribution with ߥ0 degrees of freedom and a D × D scale matrix W0 • Bayesian PMF: • Introduce priors for the parameters. • Allow model complexity to be controlled automatically. • Likelihood 2 2 ( | , , ) ( | , )T ij i j ij i jp R U V R U Vσ σ= NNNN
  • 26.
  • 27.
    • Predictive distribution: •In contract with MAP estimation in PMF: 27 BPMF using MCMC – Predictions • Use the Monte Carlo approximation to the predictive distribution. • Samples generated by Markov chain whose stationary distribution is the posterior distribution over the model parameters. • MCMC drawback: limited to small-scale problems. • Each iteration of MCMC requires computations over the whole dataset. • Each round of sampling required expensive computation. ( ) ( ) ( ) ( ) ( )2 2 2 2 2 2 , | , , , | , , | | |{ , } ( )ij M U U V A V P posterior likelihood prior p U V p U V p R U V p U p Vσ σ σ σ σ σ ∗ ∝ × ∝R R R Require marginalization over the model parameters { , } and hyperparameters { , }U VU V Θ Θ
  • 28.
    28 • We useGibbs sampling to generate the samples. • Due to the use of conjugate priors, the conditional distributions are easy to sample from. • The posterior distributions of the user and movie latent feature matrices U and V factorize: • We can speed up the sampler by sampling the feature vectors for different users/movies in parallel. BPMF using MCMC – Inference 1 1 ( | , , ) ( | , , ), ( | , , ) ( | , , ). N U i U i N U j V j p U V p U V p V U p V U = = Θ = Θ Θ = Θ ∏ ∏ R R R R
  • 29.
    29 BPMF model 2 2 ( |) ( | , ) , ,iij j T ij i j U Vp U V σ σ =R RNNNN 1 ( | , )j V VV µ − ΛNNNN 1 ( | , )i U UU µ − ΛNNNN 1 0 0 0 1 0 0 0 2 1 1 2 ( , ), ( , ) ( , ), ( , ) ( | , ) ( | , ) ( | ) ( |, , ), U U U V V V i i U U j j V V T ij ij ii jj W W U U U V V V p U V µ µ ν µ µ ν µ µ σσ − − − − Λ Λ ∼ Λ Λ ∼ Λ Λ =R R N WN WN WN W N WN WN WN W NNNN NNNN NNNN ∼ ∼ ∼ ∼
  • 30.
    30 BPMF using MCMC– Overall Model likelihood Prior ~ Wishart Prior ~ Normal Prior ~ Gaussian approximate posterior conditional prob ~ Normal-Wishart
  • 31.
    31 • The Gibbssampling algorithm takes the following form: BPMF using MCMC – Gibbs Sampling
  • 32.
  • 33.
  • 34.
    34 • Bayesian PMFmodels can be successfully applied to a large dataset containing over 100 million movie ratings. • They achieve significantly higher predictive accuracy than the MAP-trained models. • One drawback of using MCMC for training Bayesian PMF models is that it is hard to determine when the Markov chain has converged to its equilibrium distribution. Conclusions
  • 35.
    35 • R. Salakhutdinovand A. Mnih. “Bayesian probabilistic matrix factorization using Markov chain Monte Carlo”, In International Conference on Machine learning, pages 880–887, 2008. References
  • 36.
  • 37.
  • 38.
    38 P.S. Gibbs sampling= alternating conditional sampling • 假設觀測值 服從mean(unknown)為 ,covariance(known)為 ,且變量ߐ服從均勻分佈,利用Gibbs採樣估計ߐ ? • https://en.wikipedia.org/wiki/Conjugate_prior 或是我們也可從joint Gauss求出後驗。 alternating
  • 39.
    39 BPMF using MCMC– Bayesian PMF • conditional distribution over the user latent feature matrix U factorizes into the product of conditional distributions over the individual user feature vectors. • easily speed up the sampler by sampling from these conditional distributions in parallel. https://blog.csdn.net/shenxiaolu1984/article/details/50405659
  • 40.
    40https://en.wikipedia.org/wiki/Conjugate_prior conjugate prior Observations: Model parameters: Hyperparameters: Accordingto e need to derive and write the posterior distribution of the model parameters, and then do the sampling and updat . w e osterior likelihood priorp ×∝ For example multivariate Gaussian distribution
  • 41.
    41 { }, ,,i j ετ λu v Posterior likelihood Khatri-Rao product bij indicator function prior posterior
  • 42.
    42 { }, ,,i j ε λτu v likelihood prior posterior Posterior
  • 43.
    43 { }, ,,i j ε λτu v likelihood prior posterior Posterior
  • 44.
  • 45.
    45 6 8 1 74 9 3 5 2 1 2 6 7 7 3 8 2 1 8 8 1 4 1 9 1 8 3 9 8 8 1 1 4 7 4 9 1 8 3 9 8 8 1 1 4 7 4 9 ? ? 3 9 ? ? ? 1 4 ? 4 9 ? 8 1 7 4 9 3 5 2 1 2 ? ? 7 3 8 2 1 8 8 1 4 1 ? ? 8 3 9 8 8 1 ? 4 7 4 ?
  • 46.
    46 6 8 1 74 9 3 5 2 1 2 6 7 7 3 8 2 1 8 8 1 4 1 9 1 8 3 9 8 8 1 1 4 7 4 9 ? ? ? 7 4 9 3 5 ? 1 2 6 ? ? ? 8 2 1 8 8 ? 4 1 9 ? ? ? 9 8 8 ? ? ? 7 4 9 ? ? 3 9 ? ? ? 1 4 ? 4 9 7 ? 3 9 ? ? ? 1 4 ? 4 9 ? 8 3 9 ? 8 1 1 ? ? 4 ?
  • 47.
    47 6 8 1 74 9 3 5 2 1 2 6 7 7 3 8 2 1 8 8 1 4 1 9 1 8 3 9 8 8 1 1 4 7 4 9 (user-user) (celebrity-celebrity) (movie-movie) correlation matrix correlation matrix correlation matrix
  • 48.
  • 49.
    49 Five Pillars OfThe Mamba Mentality: 1. Be Passionate. 2. Be Obsessive. 3. Be Relentless. 4. Be Resilient. 5. Be Fearless. “Obsessiveness is having the attention to detail for the action you are performing at the time you’re performing it.” “Success is the ability to use your passion to help someone else discover their passion.” https://www.youtube.com/watch?v=NLElzEJPceA
  • 50.
  • 51.
    51 Thank you foryour attention