Discrete Fourier
Transform (DFT)
Carrson C. Fung
Institute of Electronics
National Yang Ming Chiao Tung University
EEEC20034: Intro. to Digital Signal
Processing 2
Introduction
 The DTFT is a theoretical tool to evaluate the frequency response of
signals and systems
 Unfortunately, it cannot be computed using a digital computer
 Solution: Sample the frequency spectrum  DFT
 Unlike the CTFT, the DTFT does not have a duality relationship, i.e. if
x(t) ⇔ X(jΩ), then X(t) ⇔ 2πx(-jΩ), but no such relationship exists
between x[n] and X(ejω)
 As seen in the sequel, there is a duality relationship between x[n] and X[k]
 Idea:
 Sample the (continuous) function X(ejω)
 Corresponding function in time now also becomes periodic (but still
discrete-time (this is the DFS)
 Crop out one period of the sequence in time and frequency domain 
DFT
 However, there is an inherit periodicity in the time and frequency signals
(more later)
EEEC20034: Intro. to Digital Signal
Processing 3
Discrete-Fourier Series (DFS)
2
2
2
Define: , thus
Properties of :
is periodic with period (it is essentially cos and sin ):
Since is periodi
j k
k N
N
N
k k N k N
N
j
N N
N
N
N
N W e
W
W N W W W
W
W e
π
π −
± ±
−
=
• =
=
=
•


[ ]
[ ] [ ]
2
1
0
c with period , unlike the CTFS, the DFS representation of a
periodic signal needs only complex exponentials, i.e.
1
wh
N j kn
N
k
N
x n N
x n X k e
N
π
−
=
= ∑



[ ] [ ]
ere is the DFS coefficients of .
X k x n
 
]
[
~ n
x
n
[ ] [ ] N
period
rN
n
x
n
x ,
~
~ +
=
EEEC20034: Intro. to Digital Signal
Processing 4
Discrete-Fourier Series (DFS)
[ ]
[ ] [ ]
[ ] [ ]
1
0
1
0
The DFS representation of thus becomes
Synthesis equation:
Analysis equation:
Note: The tilde in indicates
1
a
N
kn
N
k
N
kn
N
n
x n X k
x n
W
X k x n W
x
N
−
−
=
−
=
=
=
∑
∑






[ ]
period signal.
is periodic with period .
X k N

EEEC20034: Intro. to Digital Signal
Processing 5
Is this relationship true?
To show that the analysis and synthesis equations are indeed true, we can derive
the analysis equation from the synthesis equation. But first, we need to show that
the following property is true:
1
0
1 1
0 0
, if
0, if
( ) (i) If , 1. So
1
(ii) If , 1, which can
N
k
N
k
k mkN
N N
N N
lk
N
k k
N
N mN
W
mN
Pf mN W W
W N
mN W
−
=
− −
= =
=

= 
≠

= = =
= =
≠ ≠
∑
∑ ∑







1
0
1
0
be shown by using the geometric series
1
relation: . Then
1
1 1 1
0
1 1
Note that this property
k
k
n
n
N
N
k N
N
k N N
r
r
r
W
W
W W
+
=
−
=
−
=
−
− −
= = =
− −
∑
∑


 
[ ] [ ]
1
0
can be written more compactly as
1 N
k
N
k m
Y W mN
N
δ
− ∞
= =−∞
= = −
∑ ∑

 
EEEC20034: Intro. to Digital Signal
Processing 6
How come the DFS relationship is true?
[ ] [ ]
[ ]
1
0
1
0
1
( )
Pick an where 0 1. Multiply both sides of the synthesis equation
by and sum from 0 to 1
1
N
kn
N
k
rn
N
N
rn
N
n
Pf x n X k W
N
r r N
W n N
x n W
−
−
=
−
=
=
≤ ≤ −
= −
=
∑
∑


 [ ]
[ ]
1 1
0 0
1 1
( )
0 0
1
Now using the property from the last page, we know that
N N
kn rn
N N
n k
N N
r k n
N
k n
X k W W
N
X k W
N
− −
−
= =
− −
−
= =
 
=  
 
∑∑
∑ ∑


( )
[ ] ( )
[ ]
[ ]
1
0
1 1 1
0 0 0
1,
1
0,
So,
1
(for )
0 0
N
r k n
N
n
N N N
r k n
N
k n k
k r mN
W
else
N
X k W X k r k mN
N
X
−
−
=
− − −
−
= = =
− =

=

 
= −
=
 
 
=
∑
∑ ∑ ∑
 
 [ ] [ ]
[ ]
[ ] [ ]
1
0
1 0 1
That is, QED
N
rn
N
n
X X k r
X r
X r x n W
−
=
+ + + = +
=
= ∑
 
 

 
EEEC20034: Intro. to Digital Signal
Processing 7
Example: Periodic Rectangular Pulse Train
[ ]
4
5
4
10 10
10
0 10
sin
1 2
1
sin
10
k
k
j
kn
k
n
k
W
X k W e
k
W
π
π
π
−
=
 
 
−  
= = =
−  
 
 
∑

EEEC20034: Intro. to Digital Signal
Processing 8
Properties of the DFS
[ ] [ ]
[ ] [ ]
[ ] [ ] [ ] [ ]
1 1
2
1 2
2
1 2
Linearity:
then
Time Shift:
ax n bx n aX k
x n X k
x X
b k
n
X
k

↔ 

↔ 
+ ↔ +

 






[ ] [ ]
[ ] [ ]
If
then
Note that any shifts that are greater than or equal to the period, i.e. cannot
be distinguished in the time domain fro
km
N
x n X k
x n m W X k
m N
↔
≥
− ↔ 



1
1 1 2
1 2 1 1
1
m a shorter shift such that ,
where and are integers and 0 1. Or simply, modulo
i.e. is the remainder of / . So .
Since the DFS coefficients sequence is also
km
km
N N
m m m m N
m m m N m m N
m m N W W
= +
≤ ≤ − =
=
[ ] [ ]
periodic, we have a similar result for
the shift in the DFS coefficients by an integer
, i.e.
If
then n
N
x n X k
W
↔




[ ] [ ]
x n X k
↔ −

 
EEEC20034: Intro. to Digital Signal
Processing 9
Properties of the DFS (cont’d)
[ ] [ ]
[ ] [ ]
[ ]
Duality:
If
then (Prove later)
Symmetry
If
X n Nx k
x n X k
x n X
↔
↔ −
↔






[ ]
[ ]
{ } [ ] [ ] [ ]
( )
[ ]
{ } [ ] [ ] [ ]
( )
*
*
then
1
Re
2
1
Im
2
e
o
x n X k X k X k
j x n X k X k X
k
k
 
↔ = + −
 
 
 
↔ = − −
 
 
  

  

[ ] [ ] [ ]
( ) [ ]
{ }
[ ] [ ] [ ]
( ) [ ]
{ }
*
*
Also
1
Re
2
1
I
2
m
e
o
x n x n x n X k
x n x n x n j X k
= + − ↔
= − − ↔

  

  
EEEC20034: Intro. to Digital Signal
Processing 10
Properties of the DFS (cont’d)
[ ] [ ] [ ]
[ ] [ ]
[ ] [ ]
*
Symmetry (cont'd):
If is real,
then
X k X k
x n X k X k
X k X k
 = −


∠ = −∠ −

= −

 





[ ]
{ } [ ]
{ }
[ ]
{ } [ ]
{ }
Re Re
Im Im
X k X k
X k X k
 = −


=
− −


 
 
Proof of Duality
EEEC20034: Intro. to Digital Signal
Processing 11
[ ] [ ] [ ] [ ] [ ] [ ]
[ ] [ ]
[ ] [ ]
1 1 1
0 0 0
1
0
1
0
1 1
, then
Compare this to the analysis eqn: , th
Proof:
Since
en we see that
N N N
kn kn kn
N N N
k k k
N
kn
N
n
N
kn
N
k
x n X k W x n X k W Nx n X k W
N N
X k x n W
Nx k X n W
− − −
−
= =
−
=
−
=
= −
= ⇒ −
=
=
− =
∑ ∑ ∑
∑
∑
  
  
 


EEEC20034: Intro. to Digital Signal
Processing 12
Properties of DFS: Periodic Convolution
(Circular Convolution)
[ ] [ ]
[ ] [ ] [ ] [ ]
[ ] [ ] [ ] [ ] [ ]
1
1 2 1 2
0
1
3 1 2 1 2
1
0
2
Periodic Convolution:
If , are periodic sequences with period
then
These convolution equation
1
s l
N
m
N
x m x
x n x n
n m X k X k
x n x n x n X X k
N
N
−
=
−
=
− ↔
= ↔ −
∑
∑

 
 
 
  

 

ook very similar to the ones from
DTFT, but there is a very subtle difference here. That is, the
sum in the convolution here is only for a single period!
Properties of DFS
EEEC20034: Intro. to Digital Signal
Processing 13
Properties of DFS
EEEC20034: Intro. to Digital Signal
Processing 14
EEEC20034: Intro. to Digital Signal
Processing 15
CTFT of Periodic Signals
( )
( ) ( ) ( )
( )
( )
0 0
0
Recall that the CTFT of a periodic continuous function can be written as
,
where 2 2
0, .
The CTFS of can then be written as
m
x t
T T
x t t
x t x t mT x t
else
x t
x

− ≤ ≤

=
− =



∑




( ) ( )
( )
0
0 0
0
2
0 0
0 0
2
1 2
where and 2 .
Since the is Fourier transformable, we may rewrite the CTFS coefficients as
T
jn t jn t
T
n n
n
n
t c e c x t e dt F
T T
x t c
π
π
Ω − Ω
−
= = Ω
= =
∑ ∫ 
( )
( )
( )
( ) ( )
0
0
0
0 0
0 0
.
Then we can rewrite the CTFS of as
,
which
jn t
n t
j nt
n
c F x t e dt
F X j n
x t
x t F X j n e
− Ω
Ω
=
= Ω
= Ω
∫
∑


( ) ( ) 0
0 0 0
is equivalent to
.
j nt
m n
x t mT F X j n e Ω
− = Ω
∑ ∑
EEEC20034: Intro. to Digital Signal
Processing 16
CTFT of Periodic Signals (cont’d)
( )
( ) ( ) ( ) ( ) ( )
0
0
0 0 0 0 0 0 0
This is known as the Poisson's sum formula. Recalling that the CTFT of is
2 . Then
Therefore, the CTFT of a periodic continuous
2
-time sign
.
al
j t
m n n
x t mT F X j n n X j n
e
n
π δ
π
δ
δ
Ω
− ⇔ Ω Ω − Ω = Ω Ω
Ω
Ω − Ω
− Ω
∑ ∑ ∑
( ) ( ) ( )
0
0 0 0
0
consists of delta functions
(impulses) occurring at integer multiples of the fundamental frequency , weighted
by , where is the CTFT coefficient of the signal evaluated
at .
F
X j n X j n x t
n
Ω Ω Ω
Ω
( ) ( ) 0
0 0 0 .
j nt
m n
x t mT F X j n e Ω
− = Ω
∑ ∑
EEEC20034: Intro. to Digital Signal
Processing 17
Fourier Transform of Periodic Signals
 Recall from Chapter 2 that the DTFT of a periodic sequence is represented by
impulse train. This is because periodic signal has neither uniform convergence
nor mean-square convergence since it is not absolutely summable nor square
summable. As n±∞, the sequence does not go to zero
 With the knowledge about the DFS, we will show that DFS is actually a
sampled version of the DTFT (via examples below)
 Recall from above that the CTFT of a periodic signal requires the use of
impulse train in the frequency domain with impulse values weighted by the
CTFS coefficients for the signal
 Similarly, in discrete-time domain, the DTFT of a periodic sequence is
represented by a impulse train in the frequency domain weighted by impulse
values proportional to the DFS coefficients for the sequence, i.e.
 Note the has periodicity of 2π because is periodic with N and the
impulses are spaced at integer multiples of 2π/N
( ) [ ]
2 2
j
k
k
X e X k
N N
ω π π
δ ω
 
= −
 
 
∑
 
( )
j
X e ω
 [ ]
X k

( ) ( ) ( )
0 0 0 0
m n
x t mT X j n n
δ
− ⇔ Ω Ω Ω − Ω
∑ ∑
Example 1
EEEC20034: Intro. to Digital Signal
Processing 18
[ ] [ ]
Here, we want to show that the DFS coefficients are a sampled version of the DTFT.
Consider the periodic impulse train
.
From the analysis equatio
r
p n n rN
δ
= −
∑

[ ]
[ ]
( )
n of the DFS, we see that
1, .
Therefore, the Fourier transform of is
2 2
.
Now
j
k
P k k
p n
k
P e
N N
ω π π
δ ω
= ∀
 
= −
 
 
∑



[ ]
consider the aperiodic sequence x n
Example 1 (cont’d)
EEEC20034: Intro. to Digital Signal
Processing 19
[ ] [ ]
[ ] [ ] [ ] [ ] [ ]
[ ]
Now convolve with we get
* *
.
r
r
x n p n
x n x n p n x n n rN
x n rN
δ
= = −
= −
∑
∑

 
[ ]
( ) ( ) ( )
( )
Using the convolution property, the Fourier transform of is
2 2
j j j
j
k
x n
X e X e P e
k
X e
N N
ω ω ω
ω π π
δ ω
=
 
= −
 
 
∑

 
2
2 2
.
j k
N
k
k
X e
N N
π
π π
δ ω
   
= −
   
 
 
∑
Example 1 (cont’d)
EEEC20034: Intro. to Digital Signal
Processing 20
( ) [ ]
[ ] ( )
[ ]
2
2
2 2
Therefore, comparing this equation to ,
we see that
.
From this example, we see that the DFS coefficient of the
j k
j
k
j
N
k
N
X
k
X e X k
N N
X
X e X e
k
k
ω
π
ω
π
ω
π π
δ ω
=
 
= =
 
 
 
= −
 
 
∑

 
 [ ]
[ ]
[ ] [ ]
signal
is equal to the DTFT of the corresponding aperiodic signal , sampled at
2
.
Since the DTFT of is periodic in with 2 , the DFS of resulting
sequence is periodic in with period
x n
x n
k
N
x n x n
k N
π
ω
ω π
=


Example 2
EEEC20034: Intro. to Digital Signal
Processing 21
[ ]
[ ]
[ ]
[ ]
Consider the periodic sequence
1, 10 4 10
0, 5 10 9 10
with . It is obvious that a single period of is
1, 0 4,
0,
x n
r n r
x n
r n r
r x n
n
x n
e
≤ ≤ +

= 
+ ≤ ≤ +

∈
≤ ≤
=




, with 10
lse
N

=


Example 2 (cont’d)
EEEC20034: Intro. to Digital Signal
Processing 22
The DTFT of the sequence is
Example 2 (cont’d)
EEEC20034: Intro. to Digital Signal
Processing 23
[ ]
( ) ( )
( )
[ ] ( )
4
2
0
2
2
The Fourier transform of is given by
sin 5 / 2
.
sin / 2
Since , we substitute 2 /10
(since 10, not 4) to obtain
j j n j
n
j k
j
N
k
N
x n
X e e e
X k X e X e k
N
ω ω ω
π
ω
π
ω
ω
ω
ω π
− −
=
=
= =
 
= = =
 
 
=
∑

[ ]
[ ]
( )
( )
2(2 )
10
the DFS coefficients of , which is
sin / 2
sin /10
k
j
x n
k
X k e
k
π
π
π
−
=


Sampling the Fourier Transform
 As seen from the above, is
periodic in k with period N. Since the
Fourier transform is equal to the z-
transform evaluated on the unit circle,
can be obtained by sampling X(z) at N
equally spaced points on the unit
circle
 We have seen that is the DFS
coefficient of and is a
sampled version of the DTFT of x[n].
So we formally derive the relationship
between x[n] and (as we have
seen before, x[n] represents one of
period of ).
 We can actually draw parallels in the
relationship between x[n] and
with that of X(jΩ) and X(ejω)
EEEC20034: Intro. to Digital Signal
Processing 24
[ ]
X k

[ ]
X k

[ ] ( ) 2
2
k
j
N
k
j
N
z e
X k X z X e
π
π
=
 
= =  
 

[ ]
X k

[ ]
x n
 [ ]
X k

[ ]
x n

[ ]
x n

[ ]
x n

Comparison With Uniform Sampling
in Time
EEEC20034: Intro. to Digital Signal
Processing 25
[ ] ( )
[ ] [ ] ( ) 2
DTFT
sampling
IDFS
?
|
j
j
k
N
X e
X k X
n
n e
x
x
ω
ω
π
ω=
→ →
↓
← ← =



( ) ( )
[ ] ( )
CTFT
sampling ?
DTFT j
x t X j
x n X e ω
→ → Ω
↓
→ →

Compare to:
Aperiodic sequence:
Relationship Between x[n] and
EEEC20034: Intro. to Digital Signal
Processing 26
[ ] [ ]
( )
[ ]
[ ]
1
0
1
2
0
1
2
0
2
1
(IDFS)
1
(Sampling)
1
(FT)
1
N
kn
N
k
N
j kn
N
k
k N
N
j m kn
N
k m k
N
j km
kn
N
N
k m
x n X k W
N
X e W
N
x m e W
N
x m e W
N
ω
π
ω
ω
π
ω
π
−
−
=
−
−
=
=
− ∞
− −
= =−∞ =
∞ −
−
=−∞
=
 
=  
 
 
=  
 
 
=  
 
∑
∑
∑ ∑
∑


[ ]
[ ] ( )
[ ]
[ ]
[ ] [ ]
[ ]
1
0
1
0
1 1
0 0
1
1 1
(recall that )
*
r
N
N
km kn
N N
m k
N N
k n m k
N N
m k k m
n m rN
r
r
x m W W
N
x m W W mN
N N
x n n rN
x n rN
δ
δ
δ
−
=
−
−
=
− −
− −
= =
− +
 
=  
 
 
= = −
 
 
∑
= +
= +
∑
∑ ∑
∑ ∑ ∑ ∑
∑
∑





[ ]
x n

Aliasing in Time
 In Figure 8.8, we show that if we sample
X(ejω) with high enough N, then x[n] can be
recovered from by extracting one period
of . But if we do not sample with
enough N (Figure 8.9), then we will have
aliasing in time. In that case, we will not be
able to recover x[n] from
 If x[n] has finite length and we take a
sufficient number of equally spaced samples
of its Fourier Transform (a number greater
than or equal to the length of x[n]), then x[n]
is recoverable from
 Two ways (equivalently to define the DFT):
1) N samples of the DTFT of a finite duration
sequence x[n]
2) Or, make the period replica of x[n] 
Take the DFS of
Pick up one segment of
EEEC20034: Intro. to Digital Signal
Processing 27
[ ]
x n

[ ]
x n

[ ]
x n

[ ]
x n

[ ]
x n

[ ]
X k

[ ]
[ ] [ ]
k
X
DFS
n
x
k
X
DFT
n
x
~
~
segment
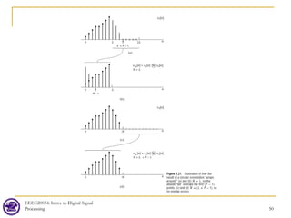
one
periodic
]
[
→
→
↑
↓
→
→
[ ]
x n

Figure 8.8 (a) Finite-length sequence x[n]. (b)
Periodic sequence corresponding to sampling the
Fourier transform of x[n] with N = 12.
Figure 8.9 Periodic sequence corresponding to
sampling the Fourier transform of x[n] in Figure 8.8(a)
with N = 7.
[ ]
x n

[ ]
x n

Discrete Fourier Transform (DFT)
EEEC20034: Intro. to Digital Signal
Processing 28
[ ]
[ ] [ ]
( )
( )
( )
: length , 0 1
Make the periodic replica:
modulo
r
N
x n N n N
x n x n rN
x n N
x n
∞
=−∞
≤ ≤ −
= +
≡  
 

≡ 
∑

[ ] [ ]
[ ]
[ ]
[ ] ( )
( )
1
0
Keep one segment (finite duration)
, 0 1
That is,
0, otherwise
N
kn
N
n
N
X k x n W
X k k N
X k X k X k
−
=


=
 ≤ ≤ −
  
=
  


∑
 


DFT (cont’d)
EEEC20034: Intro. to Digital Signal
Processing 29
[ ] [ ]
[ ] [ ]
1
0
1
0
: , 0 1
1
, 0 1
:
N
kn
N
n
N
kn
N
k
Analysis eqn
Sy
X k x n W k N
x n X k W
nthe n
s N
s qn
N
i e
−
=
−
−
=
= ≤ ≤ −
= ≤ ≤ −
∑
∑
Remarks:
• DFT formula is the same as DFS formula. Indeed, many properties of DFT are
derived from those of DFS.
• Keep in mind that X[k] is equal to samples of the X(ejω), and if the synthesis
equation is evaluated outside the interval 0 ≤ n ≤ N-1, then the result will not be
zero but a periodic extension of x[n]. This inherent periodicity is always present!
DFT Example
EEEC20034: Intro. to Digital Signal
Processing 30
[ ]
[ ] [ ]
[ ]
[ ]
1, 0 4
Consider the sequence:
0,
Let be the periodic extension of .
For the first case, let
1, 5 4 5
0,
and for the second case, let
1, 10 4 10
0
n
x n
else
x n x n
r n r
x n
else
r n r
x n
≤ ≤

= 

≤ ≤ +

= 

≤ ≤ +
=



, else



In two cases, we can see that if we sample faster, then more information about
the original DTFT can be shown, i.e. both DFTs (N=5 and N=10) contain same
amount of information, but the extra information shown in the N=10 case is just
hidden in the N=5 case. Remember, to get the 10-point DFT, we have simply
zero-padded the original sequence, nothing more.
DFT Example (cont’d)
EEEC20034: Intro. to Digital Signal
Processing 31
IDFT Matrix
 The IDFT and DFT is a linear transform
 The computation can thus be represented using a matrix multiplication
 The (n,k)th element of an N×N matrix N-point IDFT matrix WN is
This is a symmetric (but complex-valued) matrix
 Example:
 DFT coeff. vector xk = WN
Hx, where xk is a N×1 vector containing the DFT coefficients X[k],
and x is a N×1 vector containing the time domain sequence x[n]
 The DFT matrix can be generated by matlab using the function dftmtx. Note that this
generates a unnormalized version of the DFT matrix, i.e. WN is only an orthogonal matrix,
NOT orthonormal, so WN WN
H = NIN not IN
 Properties of the IDFT matrix
 WN = WN
T, i.e. WN is symmetric
 WN
H = WN
*
 WN
-1 = WN
*
EEEC20034: Intro. to Digital Signal
Processing 32
[ ]
2
1 j kn
N
nk
N e
N
π
W 
2 4
1 1 1 1
1 1 1 1
,
1 1 1 1 1 1
1
1
1
1
2
2
j j
j j
 
 
− −
   
= =
   
− − −
 
 
− −
 
W W
EEEC20034: Intro. to Digital Signal
Processing 33
Properties of the DFT
[ ] [ ]
[ ] [ ]
[ ] [ ] [ ] [ ] [ ]
1
1
2 2
2
1
2 1 1 2
Linearity:
(
then
Circular Shift:
length= max ,
ax n bx n aX k bX
x n X k
x k
k N N
n X

↔ 
+ ↔ +

↔ 



[ ] [ ]
( )
( ) [ ]
[ ] ( )
( )
If
then
also
km
N
N
n
N N
x n m W X k
W x n X k
x n X k
−
 
− ↔
 

↔

↔ −
 


Proof of Circular Shift Property
EEEC20034: Intro. to Digital Signal
Processing 34
[ ] [ ] [ ]
[ ] ( )
( ) [ ] ( )
( )
[ ]
[ ]
2
1
1 1 1 1
1
1
Let
From the definition of the DFT, we know that
Then, the DFS of is
k
j m
km
N
N
N N
j
X k e X k W X k
x n x n X k X k
x n
X k e
π
−
−
= =
   
= ↔ =
   
=




( )
( )
( )
( ) ( )
( ) [ ]
[ ] [ ]
2 2 2
1
.
Then it follows that shifting property of the DFS that
.
Then from the definition of the DFT
N
k k k
m j m j m
N N N
N N
X k e X k e X k
x n x n m
π π π
− −
   
= =
   
= −

 
[ ] ( )
( )
[ ]
[ ] ( )
( )
1
1
.
Therefore,
, 0 1
0, .
: This is a circular shift, not linear shift. (Linear shift of a periodic sequence
N
N
x n m x n m
x n x n m n N
x n
else
Remark
 
− = −
 
  
= − ≤ ≤ −
  
= 




= circular shift of a finite sequence.)
EEEC20034: Intro. to Digital Signal
Processing 35
Example: Circular Shift
[ ] ( )
( )
[ ] [ ] ( )
( )
[ ]
6
1 6
1
We have . We want to obtain
2 2 . This is shown in
Figure 8.12(c). Figure 8.12(d) shows a single
period of .
x n x n
x n x n x n
x n
 
=  
 
= + = +
 

 

EEEC20034: Intro. to Digital Signal
Processing 36
Duality Property of the DFT
[ ] [ ]
[ ] ( )
( )
Duality:
If
then , 0 1
N
X n Nx k k
x X
N
n k
 
↔ − ≤ ≤ −
 
↔
Example:
Consider the finite length sequence x[n]
shown in Figure 8.13(a). Figures 8.13(b)
and 8.13(c) show the real and imaginary
part of X[k]. To show the duality property,
we relabel the k-axis in Figures 8.13(b)
and (c) to be n-axis, shown in Figures
8.13(d) and (e). According to the duality
property, Figure 8.13(f) shows the DFT of
the complex-valued sequence of Figures
8.13(d) and (e).
Symmetry Properties of the DFT
EEEC20034: Intro. to Digital Signal
Processing 37
[ ] ( )
( ) [ ] ( )
( ) [ ] [ ]
[ ] [ ]
[ ] ( )
( )
( )
( )
* *
* *
* *
*
and , and and
, we have
, 0 1
Since N N
DFT
N
DFT
N
x n x n X k X k x n X k
x n X k
x n X k N
n
n
x
   
= ↔ −
   
− ↔
 
←
→ − ≤ ≤ −
 
 ←
 
−
 
 


[ ]
*
, 0 1
X n N
k

→ ≤ ≤ −
Table 8.1: DFS properties
Symmetry Properties of the DFT
EEEC20034: Intro. to Digital Signal
Processing 38
[ ]
It shows decomposition of periodic sequence into sum of a conjugate symmetric and a
conjugate antisymmetric sequence.
This suggests decomposition of finite-duration se into
quen the two fi
ce x n
•
•
[ ] [ ]
[ ] [ ]
nite-duration
sequences of duration corresponding to one period of the conjugate symmetric and
conjugate antisymmetric components of . Denote these components of as
and
Wi
ep op
N
x n x n
x n x n
•

[ ] ( )
( ) [ ] [ ] [ ]
( )
[ ] [ ] [ ]
( )
[ ] [ ]
*
*
1
th , the conjugate symmetric part being ,
2
1
and conjugate antisymmetric part being , define
2
, 0
e
N
o
ep e
x n x n x n x n x n
x n x n x n
x n x n n N
 
= = + −
 
= − −
= ≤ ≤
   
  

[ ] [ ]
[ ] [ ]
1
, 0 1
I.e. both and are finite-duration sequences
op o
ep op
x n x n n N
x n x n
−
= ≤ ≤ −

EEEC20034: Intro. to Digital Signal
Processing 39
Symmetry Properties of the DFT
[ ] ( )
( ) ( )
( )
( )
[ ] ( )
( ) ( )
( )
( )
( )
( ) ( ) ( )
( )
*
*
Then
1
, 0 1
2
1
, 0 1
2
Since both sequences are finite, and since and for 0 1
then we can wri
ep N N
op N N
N N
x n x n x n n N
x n x n x n n N
n N n n n n N
   
= + − ≤ ≤ −
   
   
= − − ≤ ≤ −
   
− = − = ≤ ≤ −
[ ]
[ ] [ ]
{ }
[ ]
{ }
[ ]
[ ] [ ]
{ }
[ ]
{ }
*
*
1
, 1 1
2
Re 0 , 0
1
, 1 1
2
te these
Im 0 ,
sequences as
ep
op
x n x N n n N -
x n
x n
x n x N n n N -
x n
j x

+ − ≤ ≤

= 
 =

− − ≤ ≤
=
( )
( ) [ ] [ ] [ ]
( ) [ ]
[ ] [ ] [ ]
( ) [ ]
* *
* *
0
This avoids the use of . They are also n
1
2
1
nor , r
ot e
esp.
qual to
2
e e
N
o o
n x n x n x n x n
x n x n x n x n
n

+ − =


= − −=
=
−

−


Symmetry Properties of the DFT
EEEC20034: Intro. to Digital Signal
Processing 40
[ ] [ ] [ ] [ ] [ ] [ ] [ ]
[ ] [ ]
[ ]
{ } [ ] ( )
( )
, for 0 1
We also have
1
Re
2
e o e
ep
o
ep o
N
p
x n x n x n x n x n x
x n X k X k X
n x n n N
x n x n
= + ⇒ = = + ≤ ≤ −
=
 
↔
+
=
⇒
+
 
     
( )
( )
{ }
[ ]
{ } [ ] ( )
( ) ( )
( )
{ }
[ ] [ ]
{ } [ ] [ ]
{ }
*
*
1
Im
2
Re Im
N
op N N
ep op
k
j x n X k X k X k
x n X k x n j X k
  
−
  


    
↔ = − −
   


↔ ↔
⇒
Symmetry Properties of the DFT
EEEC20034: Intro. to Digital Signal
Processing 41
[ ] [ ] ( )
( )
[ ] ( )
( )
[ ]
{ } ( )
( )
[ ]
{ } ( )
( )
{ }
[ ]
{ } ( )
( )
{ }
[ ]
{ } [ ] ( )
( ) ( )
( )
{ }
[ ]
{ } [ ] ( )
( )
*
*
If real, , 0 1
Re Re
Im Im
1
Re
2
1
Im
2
N
N
N
N
N
ep N N
op N
x n X k X k k N
X k X k
X k X k
X k X k
X k X k
x n X k X k X k
x n X k X k
 
= − ≤ ≤ −
 
  
= −
  
⇒ 
 
∠ = −∠ −
  

  
= −
 

⇒ 
 
=
− −
  

   
↔ = + −
   
 
↔ =
 ( )
( )
{ }
*
N
X k




  
− −
  


Circular Convolution of the DFT
EEEC20034: Intro. to Digital Signal
Processing 42
[ ] [ ] [ ]
[ ] [ ] [ ]
3
1
3 2 1
0
1
1 2
0
From the DFS circular convolution: ircular convolution for
the DFT
, c
, 0 1
N
m
N
m
x n x m x n m
x m x n m n
x N
x
n
−
=
−
=
= −
= − ≤ ≤ −
=
∑
∑
  
 
( )
( ) ( )
( )
( )
( )
[ ] [ ] ( )
( )
[ ] [ ]
1
3
1
1
1 2
2
0
2
0
1
for
, 0 1.
Since 0 1, then
, 0 1.
N
N N
m
N
N
N
m
m
x n x
m x n m n N
m m N
n N
x n x
m x n m
n
−
=
−
=
=
 
   
− ≤ ≤ −
   
= −
≤
−

≤

−
≤ ≤
=
∑
∑
[ ] ( )
( )
[ ] [ ]
1
0
2 1
2 1
, 0 1
where -point circular convoluti
denotes on
Also,
N
N
m
n N
x n x n
x m x n m
N
−
=
 
= −
  ≤ ≤ −
=
∑
[ ] [ ] [ ] [ ]
1
1 2 2
X
n k
n x k X
x ↔
Example 1: Circular Convolution
EEEC20034: Intro. to Digital Signal
Processing 43
Example 2: Circular Convolution (Aliasing)
EEEC20034: Intro. to Digital Signal
Processing 44
[ ] [ ]
[ ] [ ]
[ ] [ ] [ ]
[ ]
1 2
1
1 2
0
2
3 1 2
3
-point circular convolution of two
constant sequences of length . Let
6 for and . Let
, then
, 0,
0,
, 0,
0,
, 0 1
Note the res
N
kn
N
n
N
N
L x n x n
N L
N k
X k X k W
else
N k
X k X k X k
else
x n N n N
−
=
=
=
=

= = = 

 =
= 

⇔ = ≤ ≤ −
∑
ult we get in Figure 8.15 is
different from that of linear convolution
Example 2: Circular Convolution (Alias-free)
EEEC20034: Intro. to Digital Signal
Processing 45
[ ] [ ]
[ ] [ ]
[ ] [ ] [ ]
1 2
1 2
3 1 2
If we now perform a 2 -point circular convolution
with and by appending zeros to both
sequences, then
1
.
1
So the result becomes
1
1
Lk
N
k
N
LK
N
k
N
N L
x n x n L
W
X k X k
W
W
X k X k X k
W
=
−
= =
−
−
= =
−
2
,
where .
N L
 
 
 
=
Now the result in Figure 8.16 matches the result we
would have obtained if we were to perform linear
convolution between x1[n] and x2[n].
Therefore, unlike the relationship between linear
convolution and multiplication for the DTFT, linear
convolution and DFT multiplication may result in
different sequences depending on the number of points of
DFT we perform. This is due to the inherent periodic
nature of the 2 sequences x1[n] and x2[n].
Linear Convolution Using DFT
 Why use the DFT? There are fast DFT algorithms (FFT), so it
might be more computational efficient to do all your processing in
the transformed domain, followed by inverse operation to transform
the result back into time-domain. However, we do not want the
result of circular convolution, but rather, that of linear convolution.
As seen in the preceding example, this can be accomplished by
choosing the appropriate value for N.
 How do we do it?
1. Compute the N-point DFT of x1[n] and x2[n], separately
2. Compute the product X3[k] = X1[k]X2[k]
3. Compute the N-point IDFT of X3[k]x3[n]
 Problems
 Aliasing
 Very long sequence
EEEC20034: Intro. to Digital Signal
Processing 46
Aliasing
 Let x1[n] be an length L sequence
 Let x2[n] be an length P sequence
 In order to avoid aliasing, N ≥ L+P-1
where x3[n] is the result of the linear
convolution between x1[n] and x2[n].
x3p[n] is of this form because of the
inherent periodicity of x1[n] and x2[n].
So when the circular convolution is
performed, the tail of x1[n]/x2[n] will
wrap around to the head of
x1[n]/x2[n]. Therefore, aliasing in time
will occur if N < L+P.
EEEC20034: Intro. to Digital Signal
Processing 47
[ ] [ ] [ ]
[ ]
3 1 2
3 , 0 1,
0,
p
r
x n x n x n
x n rN n N
else
=

− ≤ ≤ −

= 


∑
Aliasing (Partial Distortion)
 If N=L=P, then all the
samples of x3p[n] are
corrupted by aliasing.
However, if P < L=N, then
only some of the samples in
x3p[n] are corrupted, while
the rest of it will equal to
x3[n]. Specifically, the first
P-1 points of the result are
incorrect, while the
remaining points are
identical to those that would
be obtained from linear
convolution (see Figure
8.21).
EEEC20034: Intro. to Digital Signal
Processing 48
Aliasing (cont’d)
 x1[n] pad with zeros 
length N
 x2[n] pad with zeros 
length N
 Interpretation: (Why call
it aliasing?)
 X3[k] has a (time domain)
bandwidth of size L+P-1.
That is, the nonzero values
of x3[n] can be at most L+P-
1. Therefore, X3[k] should
have at least L+P-1
samples. If the sampling rate
is insufficient, aliasing
occurs on x3[n].
EEEC20034: Intro. to Digital Signal
Processing 49
EEEC20034: Intro. to Digital Signal
Processing 50
FIR Filtering
 How do we obtain output of filter if the input sequence is
“infinitely” long (or unknown length)
 E.g. speech recognition system
 Solution (block convolution)
 Partition input sequence into blocks
 Perform convolution for each block of data
 Somehow combine the results from each block processed
 Efficient block convolution can be carried out in frequency
domain
 Two methods
 Overlap and add (overlap-add)
 Overlap and save (overlap-save)
EEEC20034: Intro. to Digital Signal
Processing 51
Overlap-Add
EEEC20034: Intro. to Digital Signal
Processing 52
[ ]
[ ]
[ ]
Partition the long sequence into
sections of shorter length. For example, the filter
impulse response has finite length and the
input data is nearly "infinite"
no
.
n-overlapping
Let r
h n P
x n
x n x n
= [ ]
[ ]
[ ]
0
, 0 1
where
0, otherwise
The system (filter) output is a linear convolution.
Since linear convolution is a time-invariant
operation, then
r
r
rL
x n rL n L -
x n
∞
=
−
 + ≤ ≤

= 


∑
[ ] [ ] [ ]
[ ] [ ]
[ ] [ ]
[ ] [ ]
[ ] [ ] [ ]
[ ] [ ] [ ] [ ]
0
0
0
where
r r
k
r
k r
r
r k
x n rL h n y n rL
r r r
r
y n x n h n
x k h n k
x k rL h n k
x k rL h n k
y n rL y n x n h n
∞
=
∞
=
− ∗ = −
∞
=
= ∗
= −
= − −
= − −
=
− =
∗
∑
∑∑
∑∑
∑

Remark: The convolution length is L+P-1. That is, the L+P-1 point DFT is
used. yr[n] has L+P-1 data points, among them, (P-1) points should be
added to the next section. Hence, the input sequences are each padded with
extra zeros at the end to make them both to have length L+P-1.
Overlap-Add (cont’d)
EEEC20034: Intro. to Digital Signal
Processing 53
Key idea: the input data are partitioned
into nonoverlapping sections  the
section outputs are overlapped and added
together
Overlap-Save
 O&S implements an L-point (O&A implements an
L+P-1 circular convolution) circular convolution for a
length L and length P sequence, where P < L. Let N =
L, then (as seen earlier) only the first P-1 points of the
result are incorrect. Taking this into consideration, a
new strategy is devised for filtering a long length signal
(of length L).
 Steps
1. Partition the long sequence into overlapping sections
2. After computing DFT and IDFT, throw away some
(incorrect) outputs
3. For each section (length L, which is also the DFT size), we
want to retain the correct data of length L-(P-1) points
EEEC20034: Intro. to Digital Signal
Processing 54
Overlap-Save (cont’d)
EEEC20034: Intro. to Digital Signal
Processing 55
[ ]
[ ]
[ ]
[ ]
Let be of length .
Let be of length ( )
Then, contains 1 incorrect
points at the beginning.
Therefore, we divide into sections
of length but each section overlaps
the preceding section
r
r
h n P
x n L L P
y n P
x n
L
>
−
[ ] ( ) ( )
by 1 points,
that is, we define the sequence of each
section to be
1 1 , 0 -1
r
P
x n x n r L P P n L
−
= + − + − − ≤ ≤
 
 
Overlap-Save (cont’d)
EEEC20034: Intro. to Digital Signal
Processing 56
[ ] [ ]
Then, circularly convolve each section, , with . Since the first -1
samples are incorrect, after the (circular) convolution has taken place, simply
discard these samples. The remaining samples f
r
x n h n P
[ ]
[ ] ( )
[ ]
[ ]
0
rom successive sections are
put adjacent to each other to form the final output , i.e.
1 1
where
, 1 1
r
r
rp
r
y n
y n y n r L P P
y n P n L
y n
∞
=
= − − + + −
 
 
− ≤ ≤ −
=
∑
[ ]
,
0,
where is the result of the circular convolution for the section.
th
rp
else
y n r



EEEC20034: Intro. to Digital Signal
Processing 57
Overlap-Save: Matrix Representation
EEEC20034: Intro. to Digital Signal
Processing 58
[ ]
[ ]
[ ]
[ ]
[ ]
[ ]
[ ]
[ ]
[ ]
[ ]
[ ] [ ]
[ ] [ ] [ ]
[ ] [ ] [ ]
[ ] [ ] [ ]
[ ]
If you recall, assuming that 3 and 5, the linear convolution between
and can be written in matrix form as
0 0
1 1 0
2 2 1 0
3 2 1 0
4 2 1 0
5 2
6
P L h n
x n
y h
y h h
y h h h
y h h h
y h h h
y h
y
= =
 
 
 
 
 
=
 
 
 
 
 
 
[ ]
[ ]
[ ]
[ ]
[ ]
[ ]
[ ]
0
1
2
3
1 4
2
Since convolution is a commutative operation, we can also write
x
x
x
x
h x
h
 
 
 
 
 
 
 
 
 
 
 
 
 
 
 
   
 
 
=
y Hx
[ ]
[ ]
[ ]
[ ]
[ ]
[ ]
[ ]
[ ]
[ ] [ ]
[ ] [ ] [ ]
[ ] [ ] [ ]
[ ] [ ] [ ]
[ ] [ ]
[ ]
[ ]
[ ]
[ ]
0 0
1 1 0
2 2 1 0 0
3 3 2 1 1
4 4 3 2 2
5 4 3
6 4
y x
y x x
y x x x h
y x x x h
y x x x h
y x x
y x
   
   
   
     
     
=
     
     
 
   
   
   
   
=
y Xh
Overlap-Save: Matrix Representation (cont’d)
EEEC20034: Intro. to Digital Signal
Processing 59
For N = L, the N-point circular convolution will be equal to the linear
convolution except for the initial P-1 points in the result. The figures
above show the (periodic extension with 2 periods only) impulse responses
of x[n] (blue) and h[n] (red). Therefore, the circular convolution can be
written in matrix form as
x[n]
h[n]
1st block 2nd block 1st block 2nd block
[ ] [ ] ( )
( )
[ ] [ ]
[ ] ( )
( )
[ ] [ ]
1
0
1
0
, 0 1.
, 0 1
N
N
m
N
N
m
y n x m h n m
h
h m x n
n N
x n n
n N
h n x n
m
−
=
−
=
 
= − ≤ ≤ −
 
 
= −
 ≤ ≤ −

=
=
∑
∑
h[0]
h[-1]
h[-2]
h[-1]
h[-2]
h[0]
h[0]
h[-1]
h[-2]
h[-1]
h[-2]
h[0]
Overlap-Save: Matrix Representation (cont’d)
EEEC20034: Intro. to Digital Signal
Processing 60
x[4]
x[3]
x[0]
x[4]
x[3]
x[0]
[ ] [ ] ( )
( )
1
0
, 0 1
N
N
m
y n x m h n m n N
−
=
 
=  ≤
 ≤
− −
∑
h[n] is regarded as a finite-duration sequence, but for
ease of visualization, we create another cycle
n=0
n=1
n=2
h[0]
h[-1]
h[-2]
h[-1]
h[-2]
h[0]
At n = 2 (3 and 4), output
of circular convolution
equals to that of linear
convolution due to the 2
zeros inserted in each
cycle
Overlap-Save: Matrix Representation (cont’d)
EEEC20034: Intro. to Digital Signal
Processing 61
[ ]
[ ]
[ ]
[ ]
[ ]
[ ] [ ] [ ]
[ ] [ ] [ ]
[ ] [ ] [ ]
[ ] [ ] [ ]
[ ] [ ] [ ]
[ ]
[ ]
[ ]
[ ]
[ ]
[ ]
[ ]
[ ]
[ ]
[ ]
[ ]
[ ]
[ ] [ ] [ ]
[ ] [ ] [ ]
[ ] [ ] [ ]
[ ] [ ] [ ]
[ ] [ ] [ ]
[ ]
[ ]
[ ]
3
2 1 0 4
2 1 0 0
2 2 1 0 1
3 2 1 0 2
4 2 1 0 3
4
0 0
1 0 1
2
2 1
2 1 0 2
3 2 1 0
4 1
0
1
2 0
2
0
1
x
h h h x
h h h x
y h h h x
y h h h x
y h h h x
x
h x
h h x
y h h h x
y h h h x
h h
y
h h
y h
y
y h
y
 
 
     
     
     
   
=  
     
     
     
   
 
 
   
   
   
   
⇔ =
   
   
   
   










[ ]
[ ]
3
4
x
 
 
 
  =
 
 
 
 
=
y
y Hx



add
x[0]
x[-1]
x[-4]
Overlap-Save: Matrix Representation (cont’d)
EEEC20034: Intro. to Digital Signal
Processing 62
x[0]
x[-1]
x[-4]
x[0]
x[-1]
x[-4]
[ ] [ ] ( )
( )
1
0
, 0 1
N
N
m
y n h m x n m n N
−
=
 
=  ≤
 ≤
− −
∑
h[0] h[1]
h[2]
h[1]
h[2]
x[n] is regarded as a finite-duration sequence, but for
ease of visualization, we create another cycle
n=0
x[0]
x[-1]
x[-4]
n=1
x[-4]
x[0]
x[-1]
x[-4]
n=2
x[0]
x[-1]
x[-4]
x[0]
x[-1]
x[-4]
Overlap-Save: Matrix Representation
(cont’d)
EEEC20034: Intro. to Digital Signal
Processing 63
shift
[ ]
[ ]
[ ]
[ ]
[ ]
[ ] [ ] [ ] [ ] [ ]
[ ] [ ] [ ] [ ] [ ]
[ ] [ ] [ ] [ ] [ ]
[ ] [ ] [ ] [ ] [ ]
[ ] [ ] [ ] [ ] [ ]
[ ]
[ ]
[ ]
Due to the commutative property of the convolution, I can also write
this as
4 3 2 1 0 1
0 4 3 2 1 2
2 1 0 4 3 2 0
3 2 1 0 4 3 0
4 3 2 1 0 4 0
0
1
y
y
y
x x x x x h
x x x x x h
y x x x x x
y x x x x x
y x x x x x h
     
     
     
     
=
     
     
     
     
⇔





[ ]
[ ]
[ ]
[ ]
[ ]
[ ] [ ] [ ] [ ] [ ]
[ ] [ ] [ ] [ ] [ ]
[ ] [ ] [ ] [ ] [ ]
[ ] [ ] [ ] [ ] [ ]
[ ] [ ] [ ] [ ] [ ]
[ ]
[ ]
[ ]
4 3 2 1
0 0
1 0 1
2 2 1 0 2
3 3 2 1 0 0
4 4 3 2 1 0 0
4
0
1 3 2
4 3
4
x x x x
x x x
x x
x h
x x h
y x x x h
y x x x x
y x x x x
x
y
x
     
     
     
     
=
     
     
     
 
   
y
y = Xh

 


 

Overlap-Save: Matrix Representation
(cont’d)
EEEC20034: Intro. to Digital Signal
Processing 64
[ ] [ ]
[ ] [ ] [ ] [ ]
[ ] [ ] [ ] [ ]
Note that 0 and 1 are corrupted by samples from the previous block.
These are the first 1 samples of the output. Only 2 2 , 3 3
and 4 4 are valid. Also, 5 and 6 (not shown) will be
y y
P y y y y
y y y y
− =
=
=
 
 
  
( ) [ ]
2
corrupted
by the next block, so they will be discarded as well.
For any circulant matrix , it can be diagonalized by IFFT matrix , i.e.
, where the , element of is , for
1
N
j kn
N
N N kn
H
N H N k n e
N
π
=
=
H W
W W
H W Λ W

 ,
0,1, -1. That is, the diagonal elements of contains the DFT coefficients
of the first column vector of .
: This can always be done regardless of the values of as long as
is circulan
H
k n
N
=
… Λ
H
Note H
H


 t, i.e. structure requirement is the only requirement.

lec07_DFT.pdf

  • 1.
    Discrete Fourier Transform (DFT) CarrsonC. Fung Institute of Electronics National Yang Ming Chiao Tung University
  • 2.
    EEEC20034: Intro. toDigital Signal Processing 2 Introduction  The DTFT is a theoretical tool to evaluate the frequency response of signals and systems  Unfortunately, it cannot be computed using a digital computer  Solution: Sample the frequency spectrum  DFT  Unlike the CTFT, the DTFT does not have a duality relationship, i.e. if x(t) ⇔ X(jΩ), then X(t) ⇔ 2πx(-jΩ), but no such relationship exists between x[n] and X(ejω)  As seen in the sequel, there is a duality relationship between x[n] and X[k]  Idea:  Sample the (continuous) function X(ejω)  Corresponding function in time now also becomes periodic (but still discrete-time (this is the DFS)  Crop out one period of the sequence in time and frequency domain  DFT  However, there is an inherit periodicity in the time and frequency signals (more later)
  • 3.
    EEEC20034: Intro. toDigital Signal Processing 3 Discrete-Fourier Series (DFS) 2 2 2 Define: , thus Properties of : is periodic with period (it is essentially cos and sin ): Since is periodi j k k N N N k k N k N N j N N N N N N W e W W N W W W W W e π π − ± ± − = • = = = •   [ ] [ ] [ ] 2 1 0 c with period , unlike the CTFS, the DFS representation of a periodic signal needs only complex exponentials, i.e. 1 wh N j kn N k N x n N x n X k e N π − = = ∑    [ ] [ ] ere is the DFS coefficients of . X k x n   ] [ ~ n x n [ ] [ ] N period rN n x n x , ~ ~ + =
  • 4.
    EEEC20034: Intro. toDigital Signal Processing 4 Discrete-Fourier Series (DFS) [ ] [ ] [ ] [ ] [ ] 1 0 1 0 The DFS representation of thus becomes Synthesis equation: Analysis equation: Note: The tilde in indicates 1 a N kn N k N kn N n x n X k x n W X k x n W x N − − = − = = = ∑ ∑       [ ] period signal. is periodic with period . X k N 
  • 5.
    EEEC20034: Intro. toDigital Signal Processing 5 Is this relationship true? To show that the analysis and synthesis equations are indeed true, we can derive the analysis equation from the synthesis equation. But first, we need to show that the following property is true: 1 0 1 1 0 0 , if 0, if ( ) (i) If , 1. So 1 (ii) If , 1, which can N k N k k mkN N N N N lk N k k N N mN W mN Pf mN W W W N mN W − = − − = = =  =  ≠  = = = = = ≠ ≠ ∑ ∑ ∑        1 0 1 0 be shown by using the geometric series 1 relation: . Then 1 1 1 1 0 1 1 Note that this property k k n n N N k N N k N N r r r W W W W + = − = − = − − − = = = − − ∑ ∑     [ ] [ ] 1 0 can be written more compactly as 1 N k N k m Y W mN N δ − ∞ = =−∞ = = − ∑ ∑   
  • 6.
    EEEC20034: Intro. toDigital Signal Processing 6 How come the DFS relationship is true? [ ] [ ] [ ] 1 0 1 0 1 ( ) Pick an where 0 1. Multiply both sides of the synthesis equation by and sum from 0 to 1 1 N kn N k rn N N rn N n Pf x n X k W N r r N W n N x n W − − = − = = ≤ ≤ − = − = ∑ ∑    [ ] [ ] 1 1 0 0 1 1 ( ) 0 0 1 Now using the property from the last page, we know that N N kn rn N N n k N N r k n N k n X k W W N X k W N − − − = = − − − = =   =     ∑∑ ∑ ∑   ( ) [ ] ( ) [ ] [ ] 1 0 1 1 1 0 0 0 1, 1 0, So, 1 (for ) 0 0 N r k n N n N N N r k n N k n k k r mN W else N X k W X k r k mN N X − − = − − − − = = = − =  =    = − =     = ∑ ∑ ∑ ∑    [ ] [ ] [ ] [ ] [ ] 1 0 1 0 1 That is, QED N rn N n X X k r X r X r x n W − = + + + = + = = ∑       
  • 7.
    EEEC20034: Intro. toDigital Signal Processing 7 Example: Periodic Rectangular Pulse Train [ ] 4 5 4 10 10 10 0 10 sin 1 2 1 sin 10 k k j kn k n k W X k W e k W π π π − =     −   = = = −       ∑ 
  • 8.
    EEEC20034: Intro. toDigital Signal Processing 8 Properties of the DFS [ ] [ ] [ ] [ ] [ ] [ ] [ ] [ ] 1 1 2 1 2 2 1 2 Linearity: then Time Shift: ax n bx n aX k x n X k x X b k n X k  ↔   ↔  + ↔ +          [ ] [ ] [ ] [ ] If then Note that any shifts that are greater than or equal to the period, i.e. cannot be distinguished in the time domain fro km N x n X k x n m W X k m N ↔ ≥ − ↔     1 1 1 2 1 2 1 1 1 m a shorter shift such that , where and are integers and 0 1. Or simply, modulo i.e. is the remainder of / . So . Since the DFS coefficients sequence is also km km N N m m m m N m m m N m m N m m N W W = + ≤ ≤ − = = [ ] [ ] periodic, we have a similar result for the shift in the DFS coefficients by an integer , i.e. If then n N x n X k W ↔     [ ] [ ] x n X k ↔ −   
  • 9.
    EEEC20034: Intro. toDigital Signal Processing 9 Properties of the DFS (cont’d) [ ] [ ] [ ] [ ] [ ] Duality: If then (Prove later) Symmetry If X n Nx k x n X k x n X ↔ ↔ − ↔       [ ] [ ] { } [ ] [ ] [ ] ( ) [ ] { } [ ] [ ] [ ] ( ) * * then 1 Re 2 1 Im 2 e o x n X k X k X k j x n X k X k X k k   ↔ = + −       ↔ = − −             [ ] [ ] [ ] ( ) [ ] { } [ ] [ ] [ ] ( ) [ ] { } * * Also 1 Re 2 1 I 2 m e o x n x n x n X k x n x n x n j X k = + − ↔ = − − ↔        
  • 10.
    EEEC20034: Intro. toDigital Signal Processing 10 Properties of the DFS (cont’d) [ ] [ ] [ ] [ ] [ ] [ ] [ ] * Symmetry (cont'd): If is real, then X k X k x n X k X k X k X k  = −   ∠ = −∠ −  = −         [ ] { } [ ] { } [ ] { } [ ] { } Re Re Im Im X k X k X k X k  = −   = − −      
  • 11.
    Proof of Duality EEEC20034:Intro. to Digital Signal Processing 11 [ ] [ ] [ ] [ ] [ ] [ ] [ ] [ ] [ ] [ ] 1 1 1 0 0 0 1 0 1 0 1 1 , then Compare this to the analysis eqn: , th Proof: Since en we see that N N N kn kn kn N N N k k k N kn N n N kn N k x n X k W x n X k W Nx n X k W N N X k x n W Nx k X n W − − − − = = − = − = = − = ⇒ − = = − = ∑ ∑ ∑ ∑ ∑          
  • 12.
    EEEC20034: Intro. toDigital Signal Processing 12 Properties of DFS: Periodic Convolution (Circular Convolution) [ ] [ ] [ ] [ ] [ ] [ ] [ ] [ ] [ ] [ ] [ ] 1 1 2 1 2 0 1 3 1 2 1 2 1 0 2 Periodic Convolution: If , are periodic sequences with period then These convolution equation 1 s l N m N x m x x n x n n m X k X k x n x n x n X X k N N − = − = − ↔ = ↔ − ∑ ∑               ook very similar to the ones from DTFT, but there is a very subtle difference here. That is, the sum in the convolution here is only for a single period!
  • 13.
    Properties of DFS EEEC20034:Intro. to Digital Signal Processing 13
  • 14.
    Properties of DFS EEEC20034:Intro. to Digital Signal Processing 14
  • 15.
    EEEC20034: Intro. toDigital Signal Processing 15 CTFT of Periodic Signals ( ) ( ) ( ) ( ) ( ) ( ) 0 0 0 Recall that the CTFT of a periodic continuous function can be written as , where 2 2 0, . The CTFS of can then be written as m x t T T x t t x t x t mT x t else x t x  − ≤ ≤  = − =    ∑     ( ) ( ) ( ) 0 0 0 0 2 0 0 0 0 2 1 2 where and 2 . Since the is Fourier transformable, we may rewrite the CTFS coefficients as T jn t jn t T n n n n t c e c x t e dt F T T x t c π π Ω − Ω − = = Ω = = ∑ ∫  ( ) ( ) ( ) ( ) ( ) 0 0 0 0 0 0 0 . Then we can rewrite the CTFS of as , which jn t n t j nt n c F x t e dt F X j n x t x t F X j n e − Ω Ω = = Ω = Ω ∫ ∑   ( ) ( ) 0 0 0 0 is equivalent to . j nt m n x t mT F X j n e Ω − = Ω ∑ ∑
  • 16.
    EEEC20034: Intro. toDigital Signal Processing 16 CTFT of Periodic Signals (cont’d) ( ) ( ) ( ) ( ) ( ) ( ) 0 0 0 0 0 0 0 0 0 This is known as the Poisson's sum formula. Recalling that the CTFT of is 2 . Then Therefore, the CTFT of a periodic continuous 2 -time sign . al j t m n n x t mT F X j n n X j n e n π δ π δ δ Ω − ⇔ Ω Ω − Ω = Ω Ω Ω Ω − Ω − Ω ∑ ∑ ∑ ( ) ( ) ( ) 0 0 0 0 0 consists of delta functions (impulses) occurring at integer multiples of the fundamental frequency , weighted by , where is the CTFT coefficient of the signal evaluated at . F X j n X j n x t n Ω Ω Ω Ω ( ) ( ) 0 0 0 0 . j nt m n x t mT F X j n e Ω − = Ω ∑ ∑
  • 17.
    EEEC20034: Intro. toDigital Signal Processing 17 Fourier Transform of Periodic Signals  Recall from Chapter 2 that the DTFT of a periodic sequence is represented by impulse train. This is because periodic signal has neither uniform convergence nor mean-square convergence since it is not absolutely summable nor square summable. As n±∞, the sequence does not go to zero  With the knowledge about the DFS, we will show that DFS is actually a sampled version of the DTFT (via examples below)  Recall from above that the CTFT of a periodic signal requires the use of impulse train in the frequency domain with impulse values weighted by the CTFS coefficients for the signal  Similarly, in discrete-time domain, the DTFT of a periodic sequence is represented by a impulse train in the frequency domain weighted by impulse values proportional to the DFS coefficients for the sequence, i.e.  Note the has periodicity of 2π because is periodic with N and the impulses are spaced at integer multiples of 2π/N ( ) [ ] 2 2 j k k X e X k N N ω π π δ ω   = −     ∑   ( ) j X e ω  [ ] X k  ( ) ( ) ( ) 0 0 0 0 m n x t mT X j n n δ − ⇔ Ω Ω Ω − Ω ∑ ∑
  • 18.
    Example 1 EEEC20034: Intro.to Digital Signal Processing 18 [ ] [ ] Here, we want to show that the DFS coefficients are a sampled version of the DTFT. Consider the periodic impulse train . From the analysis equatio r p n n rN δ = − ∑  [ ] [ ] ( ) n of the DFS, we see that 1, . Therefore, the Fourier transform of is 2 2 . Now j k P k k p n k P e N N ω π π δ ω = ∀   = −     ∑    [ ] consider the aperiodic sequence x n
  • 19.
    Example 1 (cont’d) EEEC20034:Intro. to Digital Signal Processing 19 [ ] [ ] [ ] [ ] [ ] [ ] [ ] [ ] Now convolve with we get * * . r r x n p n x n x n p n x n n rN x n rN δ = = − = − ∑ ∑    [ ] ( ) ( ) ( ) ( ) Using the convolution property, the Fourier transform of is 2 2 j j j j k x n X e X e P e k X e N N ω ω ω ω π π δ ω =   = −     ∑    2 2 2 . j k N k k X e N N π π π δ ω     = −         ∑
  • 20.
    Example 1 (cont’d) EEEC20034:Intro. to Digital Signal Processing 20 ( ) [ ] [ ] ( ) [ ] 2 2 2 2 Therefore, comparing this equation to , we see that . From this example, we see that the DFS coefficient of the j k j k j N k N X k X e X k N N X X e X e k k ω π ω π ω π π δ ω =   = =       = −     ∑     [ ] [ ] [ ] [ ] signal is equal to the DTFT of the corresponding aperiodic signal , sampled at 2 . Since the DTFT of is periodic in with 2 , the DFS of resulting sequence is periodic in with period x n x n k N x n x n k N π ω ω π =  
  • 21.
    Example 2 EEEC20034: Intro.to Digital Signal Processing 21 [ ] [ ] [ ] [ ] Consider the periodic sequence 1, 10 4 10 0, 5 10 9 10 with . It is obvious that a single period of is 1, 0 4, 0, x n r n r x n r n r r x n n x n e ≤ ≤ +  =  + ≤ ≤ +  ∈ ≤ ≤ =     , with 10 lse N  =  
  • 22.
    Example 2 (cont’d) EEEC20034:Intro. to Digital Signal Processing 22 The DTFT of the sequence is
  • 23.
    Example 2 (cont’d) EEEC20034:Intro. to Digital Signal Processing 23 [ ] ( ) ( ) ( ) [ ] ( ) 4 2 0 2 2 The Fourier transform of is given by sin 5 / 2 . sin / 2 Since , we substitute 2 /10 (since 10, not 4) to obtain j j n j n j k j N k N x n X e e e X k X e X e k N ω ω ω π ω π ω ω ω ω π − − = = = =   = = =     = ∑  [ ] [ ] ( ) ( ) 2(2 ) 10 the DFS coefficients of , which is sin / 2 sin /10 k j x n k X k e k π π π − =  
  • 24.
    Sampling the FourierTransform  As seen from the above, is periodic in k with period N. Since the Fourier transform is equal to the z- transform evaluated on the unit circle, can be obtained by sampling X(z) at N equally spaced points on the unit circle  We have seen that is the DFS coefficient of and is a sampled version of the DTFT of x[n]. So we formally derive the relationship between x[n] and (as we have seen before, x[n] represents one of period of ).  We can actually draw parallels in the relationship between x[n] and with that of X(jΩ) and X(ejω) EEEC20034: Intro. to Digital Signal Processing 24 [ ] X k  [ ] X k  [ ] ( ) 2 2 k j N k j N z e X k X z X e π π =   = =      [ ] X k  [ ] x n  [ ] X k  [ ] x n  [ ] x n  [ ] x n 
  • 25.
    Comparison With UniformSampling in Time EEEC20034: Intro. to Digital Signal Processing 25 [ ] ( ) [ ] [ ] ( ) 2 DTFT sampling IDFS ? | j j k N X e X k X n n e x x ω ω π ω= → → ↓ ← ← =    ( ) ( ) [ ] ( ) CTFT sampling ? DTFT j x t X j x n X e ω → → Ω ↓ → →  Compare to: Aperiodic sequence:
  • 26.
    Relationship Between x[n]and EEEC20034: Intro. to Digital Signal Processing 26 [ ] [ ] ( ) [ ] [ ] 1 0 1 2 0 1 2 0 2 1 (IDFS) 1 (Sampling) 1 (FT) 1 N kn N k N j kn N k k N N j m kn N k m k N j km kn N N k m x n X k W N X e W N x m e W N x m e W N ω π ω ω π ω π − − = − − = = − ∞ − − = =−∞ = ∞ − − =−∞ =   =       =       =     ∑ ∑ ∑ ∑ ∑   [ ] [ ] ( ) [ ] [ ] [ ] [ ] [ ] 1 0 1 0 1 1 0 0 1 1 1 (recall that ) * r N N km kn N N m k N N k n m k N N m k k m n m rN r r x m W W N x m W W mN N N x n n rN x n rN δ δ δ − = − − = − − − − = = − +   =       = = −     ∑ = + = + ∑ ∑ ∑ ∑ ∑ ∑ ∑ ∑ ∑      [ ] x n 
  • 27.
    Aliasing in Time In Figure 8.8, we show that if we sample X(ejω) with high enough N, then x[n] can be recovered from by extracting one period of . But if we do not sample with enough N (Figure 8.9), then we will have aliasing in time. In that case, we will not be able to recover x[n] from  If x[n] has finite length and we take a sufficient number of equally spaced samples of its Fourier Transform (a number greater than or equal to the length of x[n]), then x[n] is recoverable from  Two ways (equivalently to define the DFT): 1) N samples of the DTFT of a finite duration sequence x[n] 2) Or, make the period replica of x[n]  Take the DFS of Pick up one segment of EEEC20034: Intro. to Digital Signal Processing 27 [ ] x n  [ ] x n  [ ] x n  [ ] x n  [ ] x n  [ ] X k  [ ] [ ] [ ] k X DFS n x k X DFT n x ~ ~ segment one periodic ] [ → → ↑ ↓ → → [ ] x n  Figure 8.8 (a) Finite-length sequence x[n]. (b) Periodic sequence corresponding to sampling the Fourier transform of x[n] with N = 12. Figure 8.9 Periodic sequence corresponding to sampling the Fourier transform of x[n] in Figure 8.8(a) with N = 7. [ ] x n  [ ] x n 
  • 28.
    Discrete Fourier Transform(DFT) EEEC20034: Intro. to Digital Signal Processing 28 [ ] [ ] [ ] ( ) ( ) ( ) : length , 0 1 Make the periodic replica: modulo r N x n N n N x n x n rN x n N x n ∞ =−∞ ≤ ≤ − = + ≡      ≡  ∑  [ ] [ ] [ ] [ ] [ ] ( ) ( ) 1 0 Keep one segment (finite duration) , 0 1 That is, 0, otherwise N kn N n N X k x n W X k k N X k X k X k − =   =  ≤ ≤ −    =      ∑    
  • 29.
    DFT (cont’d) EEEC20034: Intro.to Digital Signal Processing 29 [ ] [ ] [ ] [ ] 1 0 1 0 : , 0 1 1 , 0 1 : N kn N n N kn N k Analysis eqn Sy X k x n W k N x n X k W nthe n s N s qn N i e − = − − = = ≤ ≤ − = ≤ ≤ − ∑ ∑ Remarks: • DFT formula is the same as DFS formula. Indeed, many properties of DFT are derived from those of DFS. • Keep in mind that X[k] is equal to samples of the X(ejω), and if the synthesis equation is evaluated outside the interval 0 ≤ n ≤ N-1, then the result will not be zero but a periodic extension of x[n]. This inherent periodicity is always present!
  • 30.
    DFT Example EEEC20034: Intro.to Digital Signal Processing 30 [ ] [ ] [ ] [ ] [ ] 1, 0 4 Consider the sequence: 0, Let be the periodic extension of . For the first case, let 1, 5 4 5 0, and for the second case, let 1, 10 4 10 0 n x n else x n x n r n r x n else r n r x n ≤ ≤  =   ≤ ≤ +  =   ≤ ≤ + =    , else    In two cases, we can see that if we sample faster, then more information about the original DTFT can be shown, i.e. both DFTs (N=5 and N=10) contain same amount of information, but the extra information shown in the N=10 case is just hidden in the N=5 case. Remember, to get the 10-point DFT, we have simply zero-padded the original sequence, nothing more.
  • 31.
    DFT Example (cont’d) EEEC20034:Intro. to Digital Signal Processing 31
  • 32.
    IDFT Matrix  TheIDFT and DFT is a linear transform  The computation can thus be represented using a matrix multiplication  The (n,k)th element of an N×N matrix N-point IDFT matrix WN is This is a symmetric (but complex-valued) matrix  Example:  DFT coeff. vector xk = WN Hx, where xk is a N×1 vector containing the DFT coefficients X[k], and x is a N×1 vector containing the time domain sequence x[n]  The DFT matrix can be generated by matlab using the function dftmtx. Note that this generates a unnormalized version of the DFT matrix, i.e. WN is only an orthogonal matrix, NOT orthonormal, so WN WN H = NIN not IN  Properties of the IDFT matrix  WN = WN T, i.e. WN is symmetric  WN H = WN *  WN -1 = WN * EEEC20034: Intro. to Digital Signal Processing 32 [ ] 2 1 j kn N nk N e N π W  2 4 1 1 1 1 1 1 1 1 , 1 1 1 1 1 1 1 1 1 1 2 2 j j j j     − −     = =     − − −     − −   W W
  • 33.
    EEEC20034: Intro. toDigital Signal Processing 33 Properties of the DFT [ ] [ ] [ ] [ ] [ ] [ ] [ ] [ ] [ ] 1 1 2 2 2 1 2 1 1 2 Linearity: ( then Circular Shift: length= max , ax n bx n aX k bX x n X k x k k N N n X  ↔  + ↔ +  ↔     [ ] [ ] ( ) ( ) [ ] [ ] ( ) ( ) If then also km N N n N N x n m W X k W x n X k x n X k −   − ↔    ↔  ↔ −    
  • 34.
    Proof of CircularShift Property EEEC20034: Intro. to Digital Signal Processing 34 [ ] [ ] [ ] [ ] ( ) ( ) [ ] ( ) ( ) [ ] [ ] 2 1 1 1 1 1 1 1 Let From the definition of the DFT, we know that Then, the DFS of is k j m km N N N N j X k e X k W X k x n x n X k X k x n X k e π − − = =     = ↔ =     =     ( ) ( ) ( ) ( ) ( ) ( ) [ ] [ ] [ ] 2 2 2 1 . Then it follows that shifting property of the DFS that . Then from the definition of the DFT N k k k m j m j m N N N N N X k e X k e X k x n x n m π π π − −     = =     = −    [ ] ( ) ( ) [ ] [ ] ( ) ( ) 1 1 . Therefore, , 0 1 0, . : This is a circular shift, not linear shift. (Linear shift of a periodic sequence N N x n m x n m x n x n m n N x n else Remark   − = −      = − ≤ ≤ −    =      = circular shift of a finite sequence.)
  • 35.
    EEEC20034: Intro. toDigital Signal Processing 35 Example: Circular Shift [ ] ( ) ( ) [ ] [ ] ( ) ( ) [ ] 6 1 6 1 We have . We want to obtain 2 2 . This is shown in Figure 8.12(c). Figure 8.12(d) shows a single period of . x n x n x n x n x n x n   =     = + = +      
  • 36.
    EEEC20034: Intro. toDigital Signal Processing 36 Duality Property of the DFT [ ] [ ] [ ] ( ) ( ) Duality: If then , 0 1 N X n Nx k k x X N n k   ↔ − ≤ ≤ −   ↔ Example: Consider the finite length sequence x[n] shown in Figure 8.13(a). Figures 8.13(b) and 8.13(c) show the real and imaginary part of X[k]. To show the duality property, we relabel the k-axis in Figures 8.13(b) and (c) to be n-axis, shown in Figures 8.13(d) and (e). According to the duality property, Figure 8.13(f) shows the DFT of the complex-valued sequence of Figures 8.13(d) and (e).
  • 37.
    Symmetry Properties ofthe DFT EEEC20034: Intro. to Digital Signal Processing 37 [ ] ( ) ( ) [ ] ( ) ( ) [ ] [ ] [ ] [ ] [ ] ( ) ( ) ( ) ( ) * * * * * * * and , and and , we have , 0 1 Since N N DFT N DFT N x n x n X k X k x n X k x n X k x n X k N n n x     = ↔ −     − ↔   ← → − ≤ ≤ −    ←   −       [ ] * , 0 1 X n N k  → ≤ ≤ − Table 8.1: DFS properties
  • 38.
    Symmetry Properties ofthe DFT EEEC20034: Intro. to Digital Signal Processing 38 [ ] It shows decomposition of periodic sequence into sum of a conjugate symmetric and a conjugate antisymmetric sequence. This suggests decomposition of finite-duration se into quen the two fi ce x n • • [ ] [ ] [ ] [ ] nite-duration sequences of duration corresponding to one period of the conjugate symmetric and conjugate antisymmetric components of . Denote these components of as and Wi ep op N x n x n x n x n •  [ ] ( ) ( ) [ ] [ ] [ ] ( ) [ ] [ ] [ ] ( ) [ ] [ ] * * 1 th , the conjugate symmetric part being , 2 1 and conjugate antisymmetric part being , define 2 , 0 e N o ep e x n x n x n x n x n x n x n x n x n x n n N   = = + −   = − − = ≤ ≤         [ ] [ ] [ ] [ ] 1 , 0 1 I.e. both and are finite-duration sequences op o ep op x n x n n N x n x n − = ≤ ≤ − 
  • 39.
    EEEC20034: Intro. toDigital Signal Processing 39 Symmetry Properties of the DFT [ ] ( ) ( ) ( ) ( ) ( ) [ ] ( ) ( ) ( ) ( ) ( ) ( ) ( ) ( ) ( ) ( ) * * Then 1 , 0 1 2 1 , 0 1 2 Since both sequences are finite, and since and for 0 1 then we can wri ep N N op N N N N x n x n x n n N x n x n x n n N n N n n n n N     = + − ≤ ≤ −         = − − ≤ ≤ −     − = − = ≤ ≤ − [ ] [ ] [ ] { } [ ] { } [ ] [ ] [ ] { } [ ] { } * * 1 , 1 1 2 Re 0 , 0 1 , 1 1 2 te these Im 0 , sequences as ep op x n x N n n N - x n x n x n x N n n N - x n j x  + − ≤ ≤  =   =  − − ≤ ≤ = ( ) ( ) [ ] [ ] [ ] ( ) [ ] [ ] [ ] [ ] ( ) [ ] * * * * 0 This avoids the use of . They are also n 1 2 1 nor , r ot e esp. qual to 2 e e N o o n x n x n x n x n x n x n x n x n n  + − =   = − −= = −  −  
  • 40.
    Symmetry Properties ofthe DFT EEEC20034: Intro. to Digital Signal Processing 40 [ ] [ ] [ ] [ ] [ ] [ ] [ ] [ ] [ ] [ ] { } [ ] ( ) ( ) , for 0 1 We also have 1 Re 2 e o e ep o ep o N p x n x n x n x n x n x x n X k X k X n x n n N x n x n = + ⇒ = = + ≤ ≤ − =   ↔ + = ⇒ +         ( ) ( ) { } [ ] { } [ ] ( ) ( ) ( ) ( ) { } [ ] [ ] { } [ ] [ ] { } * * 1 Im 2 Re Im N op N N ep op k j x n X k X k X k x n X k x n j X k    −           ↔ = − −       ↔ ↔ ⇒
  • 41.
    Symmetry Properties ofthe DFT EEEC20034: Intro. to Digital Signal Processing 41 [ ] [ ] ( ) ( ) [ ] ( ) ( ) [ ] { } ( ) ( ) [ ] { } ( ) ( ) { } [ ] { } ( ) ( ) { } [ ] { } [ ] ( ) ( ) ( ) ( ) { } [ ] { } [ ] ( ) ( ) * * If real, , 0 1 Re Re Im Im 1 Re 2 1 Im 2 N N N N N ep N N op N x n X k X k k N X k X k X k X k X k X k X k X k x n X k X k X k x n X k X k   = − ≤ ≤ −      = −    ⇒    ∠ = −∠ −        = −    ⇒    = − −         ↔ = + −       ↔ =  ( ) ( ) { } * N X k        − −     
  • 42.
    Circular Convolution ofthe DFT EEEC20034: Intro. to Digital Signal Processing 42 [ ] [ ] [ ] [ ] [ ] [ ] 3 1 3 2 1 0 1 1 2 0 From the DFS circular convolution: ircular convolution for the DFT , c , 0 1 N m N m x n x m x n m x m x n m n x N x n − = − = = − = − ≤ ≤ − = ∑ ∑      ( ) ( ) ( ) ( ) ( ) ( ) [ ] [ ] ( ) ( ) [ ] [ ] 1 3 1 1 1 2 2 0 2 0 1 for , 0 1. Since 0 1, then , 0 1. N N N m N N N m m x n x m x n m n N m m N n N x n x m x n m n − = − = =       − ≤ ≤ −     = − ≤ −  ≤  − ≤ ≤ = ∑ ∑ [ ] ( ) ( ) [ ] [ ] 1 0 2 1 2 1 , 0 1 where -point circular convoluti denotes on Also, N N m n N x n x n x m x n m N − =   = −   ≤ ≤ − = ∑ [ ] [ ] [ ] [ ] 1 1 2 2 X n k n x k X x ↔
  • 43.
    Example 1: CircularConvolution EEEC20034: Intro. to Digital Signal Processing 43
  • 44.
    Example 2: CircularConvolution (Aliasing) EEEC20034: Intro. to Digital Signal Processing 44 [ ] [ ] [ ] [ ] [ ] [ ] [ ] [ ] 1 2 1 1 2 0 2 3 1 2 3 -point circular convolution of two constant sequences of length . Let 6 for and . Let , then , 0, 0, , 0, 0, , 0 1 Note the res N kn N n N N L x n x n N L N k X k X k W else N k X k X k X k else x n N n N − = = = =  = = =    = =   ⇔ = ≤ ≤ − ∑ ult we get in Figure 8.15 is different from that of linear convolution
  • 45.
    Example 2: CircularConvolution (Alias-free) EEEC20034: Intro. to Digital Signal Processing 45 [ ] [ ] [ ] [ ] [ ] [ ] [ ] 1 2 1 2 3 1 2 If we now perform a 2 -point circular convolution with and by appending zeros to both sequences, then 1 . 1 So the result becomes 1 1 Lk N k N LK N k N N L x n x n L W X k X k W W X k X k X k W = − = = − − = = − 2 , where . N L       = Now the result in Figure 8.16 matches the result we would have obtained if we were to perform linear convolution between x1[n] and x2[n]. Therefore, unlike the relationship between linear convolution and multiplication for the DTFT, linear convolution and DFT multiplication may result in different sequences depending on the number of points of DFT we perform. This is due to the inherent periodic nature of the 2 sequences x1[n] and x2[n].
  • 46.
    Linear Convolution UsingDFT  Why use the DFT? There are fast DFT algorithms (FFT), so it might be more computational efficient to do all your processing in the transformed domain, followed by inverse operation to transform the result back into time-domain. However, we do not want the result of circular convolution, but rather, that of linear convolution. As seen in the preceding example, this can be accomplished by choosing the appropriate value for N.  How do we do it? 1. Compute the N-point DFT of x1[n] and x2[n], separately 2. Compute the product X3[k] = X1[k]X2[k] 3. Compute the N-point IDFT of X3[k]x3[n]  Problems  Aliasing  Very long sequence EEEC20034: Intro. to Digital Signal Processing 46
  • 47.
    Aliasing  Let x1[n]be an length L sequence  Let x2[n] be an length P sequence  In order to avoid aliasing, N ≥ L+P-1 where x3[n] is the result of the linear convolution between x1[n] and x2[n]. x3p[n] is of this form because of the inherent periodicity of x1[n] and x2[n]. So when the circular convolution is performed, the tail of x1[n]/x2[n] will wrap around to the head of x1[n]/x2[n]. Therefore, aliasing in time will occur if N < L+P. EEEC20034: Intro. to Digital Signal Processing 47 [ ] [ ] [ ] [ ] 3 1 2 3 , 0 1, 0, p r x n x n x n x n rN n N else =  − ≤ ≤ −  =    ∑
  • 48.
    Aliasing (Partial Distortion) If N=L=P, then all the samples of x3p[n] are corrupted by aliasing. However, if P < L=N, then only some of the samples in x3p[n] are corrupted, while the rest of it will equal to x3[n]. Specifically, the first P-1 points of the result are incorrect, while the remaining points are identical to those that would be obtained from linear convolution (see Figure 8.21). EEEC20034: Intro. to Digital Signal Processing 48
  • 49.
    Aliasing (cont’d)  x1[n]pad with zeros  length N  x2[n] pad with zeros  length N  Interpretation: (Why call it aliasing?)  X3[k] has a (time domain) bandwidth of size L+P-1. That is, the nonzero values of x3[n] can be at most L+P- 1. Therefore, X3[k] should have at least L+P-1 samples. If the sampling rate is insufficient, aliasing occurs on x3[n]. EEEC20034: Intro. to Digital Signal Processing 49
  • 50.
    EEEC20034: Intro. toDigital Signal Processing 50
  • 51.
    FIR Filtering  Howdo we obtain output of filter if the input sequence is “infinitely” long (or unknown length)  E.g. speech recognition system  Solution (block convolution)  Partition input sequence into blocks  Perform convolution for each block of data  Somehow combine the results from each block processed  Efficient block convolution can be carried out in frequency domain  Two methods  Overlap and add (overlap-add)  Overlap and save (overlap-save) EEEC20034: Intro. to Digital Signal Processing 51
  • 52.
    Overlap-Add EEEC20034: Intro. toDigital Signal Processing 52 [ ] [ ] [ ] Partition the long sequence into sections of shorter length. For example, the filter impulse response has finite length and the input data is nearly "infinite" no . n-overlapping Let r h n P x n x n x n = [ ] [ ] [ ] 0 , 0 1 where 0, otherwise The system (filter) output is a linear convolution. Since linear convolution is a time-invariant operation, then r r rL x n rL n L - x n ∞ = −  + ≤ ≤  =    ∑ [ ] [ ] [ ] [ ] [ ] [ ] [ ] [ ] [ ] [ ] [ ] [ ] [ ] [ ] [ ] [ ] 0 0 0 where r r k r k r r r k x n rL h n y n rL r r r r y n x n h n x k h n k x k rL h n k x k rL h n k y n rL y n x n h n ∞ = ∞ = − ∗ = − ∞ = = ∗ = − = − − = − − = − = ∗ ∑ ∑∑ ∑∑ ∑  Remark: The convolution length is L+P-1. That is, the L+P-1 point DFT is used. yr[n] has L+P-1 data points, among them, (P-1) points should be added to the next section. Hence, the input sequences are each padded with extra zeros at the end to make them both to have length L+P-1.
  • 53.
    Overlap-Add (cont’d) EEEC20034: Intro.to Digital Signal Processing 53 Key idea: the input data are partitioned into nonoverlapping sections  the section outputs are overlapped and added together
  • 54.
    Overlap-Save  O&S implementsan L-point (O&A implements an L+P-1 circular convolution) circular convolution for a length L and length P sequence, where P < L. Let N = L, then (as seen earlier) only the first P-1 points of the result are incorrect. Taking this into consideration, a new strategy is devised for filtering a long length signal (of length L).  Steps 1. Partition the long sequence into overlapping sections 2. After computing DFT and IDFT, throw away some (incorrect) outputs 3. For each section (length L, which is also the DFT size), we want to retain the correct data of length L-(P-1) points EEEC20034: Intro. to Digital Signal Processing 54
  • 55.
    Overlap-Save (cont’d) EEEC20034: Intro.to Digital Signal Processing 55 [ ] [ ] [ ] [ ] Let be of length . Let be of length ( ) Then, contains 1 incorrect points at the beginning. Therefore, we divide into sections of length but each section overlaps the preceding section r r h n P x n L L P y n P x n L > − [ ] ( ) ( ) by 1 points, that is, we define the sequence of each section to be 1 1 , 0 -1 r P x n x n r L P P n L − = + − + − − ≤ ≤    
  • 56.
    Overlap-Save (cont’d) EEEC20034: Intro.to Digital Signal Processing 56 [ ] [ ] Then, circularly convolve each section, , with . Since the first -1 samples are incorrect, after the (circular) convolution has taken place, simply discard these samples. The remaining samples f r x n h n P [ ] [ ] ( ) [ ] [ ] 0 rom successive sections are put adjacent to each other to form the final output , i.e. 1 1 where , 1 1 r r rp r y n y n y n r L P P y n P n L y n ∞ = = − − + + −     − ≤ ≤ − = ∑ [ ] , 0, where is the result of the circular convolution for the section. th rp else y n r   
  • 57.
    EEEC20034: Intro. toDigital Signal Processing 57
  • 58.
    Overlap-Save: Matrix Representation EEEC20034:Intro. to Digital Signal Processing 58 [ ] [ ] [ ] [ ] [ ] [ ] [ ] [ ] [ ] [ ] [ ] [ ] [ ] [ ] [ ] [ ] [ ] [ ] [ ] [ ] [ ] [ ] If you recall, assuming that 3 and 5, the linear convolution between and can be written in matrix form as 0 0 1 1 0 2 2 1 0 3 2 1 0 4 2 1 0 5 2 6 P L h n x n y h y h h y h h h y h h h y h h h y h y = =           =             [ ] [ ] [ ] [ ] [ ] [ ] [ ] 0 1 2 3 1 4 2 Since convolution is a commutative operation, we can also write x x x x h x h                                       = y Hx [ ] [ ] [ ] [ ] [ ] [ ] [ ] [ ] [ ] [ ] [ ] [ ] [ ] [ ] [ ] [ ] [ ] [ ] [ ] [ ] [ ] [ ] [ ] [ ] [ ] 0 0 1 1 0 2 2 1 0 0 3 3 2 1 1 4 4 3 2 2 5 4 3 6 4 y x y x x y x x x h y x x x h y x x x h y x x y x                         =                               = y Xh
  • 59.
    Overlap-Save: Matrix Representation(cont’d) EEEC20034: Intro. to Digital Signal Processing 59 For N = L, the N-point circular convolution will be equal to the linear convolution except for the initial P-1 points in the result. The figures above show the (periodic extension with 2 periods only) impulse responses of x[n] (blue) and h[n] (red). Therefore, the circular convolution can be written in matrix form as x[n] h[n] 1st block 2nd block 1st block 2nd block [ ] [ ] ( ) ( ) [ ] [ ] [ ] ( ) ( ) [ ] [ ] 1 0 1 0 , 0 1. , 0 1 N N m N N m y n x m h n m h h m x n n N x n n n N h n x n m − = − =   = − ≤ ≤ −     = −  ≤ ≤ −  = = ∑ ∑
  • 60.
    h[0] h[-1] h[-2] h[-1] h[-2] h[0] h[0] h[-1] h[-2] h[-1] h[-2] h[0] Overlap-Save: Matrix Representation(cont’d) EEEC20034: Intro. to Digital Signal Processing 60 x[4] x[3] x[0] x[4] x[3] x[0] [ ] [ ] ( ) ( ) 1 0 , 0 1 N N m y n x m h n m n N − =   =  ≤  ≤ − − ∑ h[n] is regarded as a finite-duration sequence, but for ease of visualization, we create another cycle n=0 n=1 n=2 h[0] h[-1] h[-2] h[-1] h[-2] h[0] At n = 2 (3 and 4), output of circular convolution equals to that of linear convolution due to the 2 zeros inserted in each cycle
  • 61.
    Overlap-Save: Matrix Representation(cont’d) EEEC20034: Intro. to Digital Signal Processing 61 [ ] [ ] [ ] [ ] [ ] [ ] [ ] [ ] [ ] [ ] [ ] [ ] [ ] [ ] [ ] [ ] [ ] [ ] [ ] [ ] [ ] [ ] [ ] [ ] [ ] [ ] [ ] [ ] [ ] [ ] [ ] [ ] [ ] [ ] [ ] [ ] [ ] [ ] [ ] [ ] [ ] [ ] [ ] [ ] [ ] [ ] [ ] [ ] [ ] [ ] 3 2 1 0 4 2 1 0 0 2 2 1 0 1 3 2 1 0 2 4 2 1 0 3 4 0 0 1 0 1 2 2 1 2 1 0 2 3 2 1 0 4 1 0 1 2 0 2 0 1 x h h h x h h h x y h h h x y h h h x y h h h x x h x h h x y h h h x y h h h x h h y h h y h y y h y                           =                                             ⇔ =                           [ ] [ ] 3 4 x         =         = y y Hx    add
  • 62.
    x[0] x[-1] x[-4] Overlap-Save: Matrix Representation(cont’d) EEEC20034: Intro. to Digital Signal Processing 62 x[0] x[-1] x[-4] x[0] x[-1] x[-4] [ ] [ ] ( ) ( ) 1 0 , 0 1 N N m y n h m x n m n N − =   =  ≤  ≤ − − ∑ h[0] h[1] h[2] h[1] h[2] x[n] is regarded as a finite-duration sequence, but for ease of visualization, we create another cycle n=0 x[0] x[-1] x[-4] n=1 x[-4] x[0] x[-1] x[-4] n=2 x[0] x[-1] x[-4] x[0] x[-1] x[-4]
  • 63.
    Overlap-Save: Matrix Representation (cont’d) EEEC20034:Intro. to Digital Signal Processing 63 shift [ ] [ ] [ ] [ ] [ ] [ ] [ ] [ ] [ ] [ ] [ ] [ ] [ ] [ ] [ ] [ ] [ ] [ ] [ ] [ ] [ ] [ ] [ ] [ ] [ ] [ ] [ ] [ ] [ ] [ ] [ ] [ ] [ ] Due to the commutative property of the convolution, I can also write this as 4 3 2 1 0 1 0 4 3 2 1 2 2 1 0 4 3 2 0 3 2 1 0 4 3 0 4 3 2 1 0 4 0 0 1 y y y x x x x x h x x x x x h y x x x x x y x x x x x y x x x x x h                         =                         ⇔      [ ] [ ] [ ] [ ] [ ] [ ] [ ] [ ] [ ] [ ] [ ] [ ] [ ] [ ] [ ] [ ] [ ] [ ] [ ] [ ] [ ] [ ] [ ] [ ] [ ] [ ] [ ] [ ] [ ] [ ] [ ] [ ] [ ] 4 3 2 1 0 0 1 0 1 2 2 1 0 2 3 3 2 1 0 0 4 4 3 2 1 0 0 4 0 1 3 2 4 3 4 x x x x x x x x x x h x x h y x x x h y x x x x y x x x x x y x                         =                         y y = Xh        
  • 64.
    Overlap-Save: Matrix Representation (cont’d) EEEC20034:Intro. to Digital Signal Processing 64 [ ] [ ] [ ] [ ] [ ] [ ] [ ] [ ] [ ] [ ] Note that 0 and 1 are corrupted by samples from the previous block. These are the first 1 samples of the output. Only 2 2 , 3 3 and 4 4 are valid. Also, 5 and 6 (not shown) will be y y P y y y y y y y y − = = =        ( ) [ ] 2 corrupted by the next block, so they will be discarded as well. For any circulant matrix , it can be diagonalized by IFFT matrix , i.e. , where the , element of is , for 1 N j kn N N N kn H N H N k n e N π = = H W W W H W Λ W   , 0,1, -1. That is, the diagonal elements of contains the DFT coefficients of the first column vector of . : This can always be done regardless of the values of as long as is circulan H k n N = … Λ H Note H H    t, i.e. structure requirement is the only requirement.