MODAL AND RESPONSE SPECTRUM (IS 1893:2002) ANALYSIS 0F R.C
FRAME BUILDING (IT OFFICE, ALMORA) IN SAP 2000 V14
CHAPTER 1
INTRODUCTION
1
MODAL AND RESPONSE SPECTRUM (IS 1893:2002) ANALYSIS 0F R.C
FRAME BUILDING (IT OFFICE, ALMORA) IN SAP 2000 V14
1.1 INTRODUCTION
A large portion of India is susceptible to damaging levels of seismic hazards. Hence, it is
necessary to take in to account the seismic load for the design of structures. In buildings the
lateral loads due to earthquake are a matter of concern. These lateral forces can produce
critical stresses in the structure, induce undesirable stresses in the structure, induce
undesirable vibrations or cause excessive lateral sway of the structure.
Sway or drift is the magnitude of the lateral displacement at the top of the building relative to
its base. Traditionally, seismic design approaches are stated, as the structure should be able to
ensure the minor and frequent shaking intensity without sustaining any damage, thus leaving
the structure serviceable after the event.
The structure should withstand moderate level of earthquake ground motion without
structural damage, but possibly with some structural as well as non-structural damage. This
limit state may correspond to earthquake intensity equal to the strongest either experienced or
forecast at the site. In present study the results are studied for response spectrum method. The
main parameters considered in this study to compare the seismic performance of different
models are base shear and time period.
1.2 Earthquake:
Rocks are made of elastic material, and so
elastic strain energy is stored in them
during the deformations that occur due to
the gigantic tectonic plate actions that
occur in the Earth. But, the material
contained in rocks is also very brittle.
Thus, when the rocks along a weak region
in the Earth’s Crust reach their strength, a
sudden movement takes place there opposite sides of the fault (a crack in the rocks where
movement has taken place) suddenly slip and release the large elastic strain energy stored in
the interface rocks. The sudden slip at the fault causes the earthquake - a violent shaking of
the Earth when large elastic strain energy released spreads out through seismic waves that
travel through the body and along the surface of the Earth. And, after the earthquake is over,
the process of strain build-up at this modified interface between the rocks starts all over
2
MODAL AND RESPONSE SPECTRUM (IS 1893:2002) ANALYSIS 0F R.C
FRAME BUILDING (IT OFFICE, ALMORA) IN SAP 2000 V14
again. Earth scientists know this as the Elastic Rebound Theory. The material points at the
fault over which slip occurs usually constitute an oblong three-dimensional volume, with its
long dimension often running into tens of kilometers.
1.3 Seismic Zones of India
The varying geology at different locations
in the country implies that the likelihood of
damaging earthquakes taking place at
different locations is different. Thus, a
seismic zone map is required to identify
these regions. Based on the levels of
intensities sustained during damaging past
earthquakes, the 1970 version of the zone
map subdivided India into five zones – I, II,
III, IV and V. The seismic zone maps are
revised from time to time as more
understanding is gained on the geology, the
seismotectonics and the seismic activity in the country. The Indian Standards provided the
first seismic zone map in 1962, which was later revised in 1967 and again in 1970. The map
has been revised again in 2002, and it now has only four seismic zones – II, III, IV and V.
1.4 Indian Seismic Codes
Seismic codes are unique to a particular region or country. They take into account the local
seismology, accepted level of seismic risk, building typologies, and materials and methods
used in construction. Further, they are indicative of the level of progress a country has made
in the field of earthquake engineering. The first formal seismic code in India, namely IS
1893, was published in 1962. Today, the Bureau of Indian Standards (BIS) has the following
seismic codes:
• IS 1893 (Part I), 2002, Indian Standard Criteria for Earthquake Resistant Design of
Structures (5th
Revision)
• IS 4326, 1993, Indian Standard Code of Practice for Earthquake Resistant Design and
Construction of Buildings (2nd
Revision) 
3
MODAL AND RESPONSE SPECTRUM (IS 1893:2002) ANALYSIS 0F R.C
FRAME BUILDING (IT OFFICE, ALMORA) IN SAP 2000 V14
• IS 13827, 1993, Indian Standard Guidelines for Improving Earthquake Resistance of
Earthen Buildings.
• IS 13828, 1993, Indian Standard Guidelines for Improving Earthquake Resistance of Low
Strength Masonry Buildings.
• IS 13920, 1993, Indian Standard Code of Practice for Ductile Detailing of Reinforced
Concrete Structures Subjected to Seismic Forces
1.5 Seismic Analysis of Structure
In our study of the structure the analysis is being done using the response spectrum method in
SAP 2000 v14 and modal mass analysis.
1.5.1 Response Spectrum Method
In order to perform the seismic analysis and design of a structure to be built at a particular
location, the actual time history record is required. However, it is not possible to have such
records at each and every location. Further, the seismic analysis of structures cannot be
carried out simply based on the peak value of the ground acceleration as the response of the
structure depend upon the frequency content of ground motion and its own dynamic
properties. To overcome the above difficulties, earthquake response spectrum is the most
popular tool in the seismic analysis of structures. There are computational advantages in
using the response spectrum method of seismic analysis for prediction of displacements and
member forces in structural systems. The method involves the calculation of only the
maximum values of the displacements and member forces in each mode of vibration using
smooth design spectra that are the average of several earthquake motions.
It will deal with response spectrum method and its application to various types of the
structures. The codal provisions as per IS: 1893 (Part 1)-2002 code for response spectrum
analysis of multi-story building is also summarized.
1.5.2 Modal Analysis Method
Modal analysis is the study of the dynamic properties of structures under vibration excitation.
Modal analysis is the field of measuring and analyzing the dynamic response of structures
and or fluids when excited by an input. In structural engineering, modal analysis uses the
4
MODAL AND RESPONSE SPECTRUM (IS 1893:2002) ANALYSIS 0F R.C
FRAME BUILDING (IT OFFICE, ALMORA) IN SAP 2000 V14
overall mass and stiffness of a structure to find the various periods at which it will naturally
resonate. These periods of vibration are very important to note in earthquake engineering, as
it is imperative that a building's natural frequency does not match the frequency of expected
earthquakes in the region in which the building is to be constructed. If a structure's natural
frequency matches an earthquake's frequency, the structure may continue to resonate and
experience structural damage.
Although modal analysis is usually carried out by computers, it is possible to hand-calculate
the period of vibration of any high-rise building through idealization as a fixed-ended
cantilever with lumped masses.
1.6 Objective
1. Modeling – The modeling of I.T. office situated in Almora will be done using SAP 2000
v14.
2. Model Analysis - Dynamic characteristics of structure (Mode Shapes and Time Periods)
3. Seismic Analysis (ESLM & RSM) – Comparison is done between the two methods for
calculating the base shear.
4. Calculation of Correction Factor
1.7 Scheme of Presentation
The scheme of the project is presented as follows:
1.7.1 Introduction:
The introduction i.e. Chapter 1, refer the basics of earthquake engineering in which we have
discussed about the basics of earthquake, how it occurs and its effects on the buildings. The
different seismic zones of India and the different seismic codes used in earthquake resistant
design of structures also been discussed. The seismic analysis procedure, i.e. equivalent static
load method and response spectrum method is bruised up in the chapter along with the
objective of study the project.
1.7.2 Modeling of R. C. Framed Building:
In Chapter 2 the elements of modeling i.e. beam elements and column elements are described
precisely. The basics of the diaphragm i.e. flexible diaphragm and rigid diaphragm are
5
MODAL AND RESPONSE SPECTRUM (IS 1893:2002) ANALYSIS 0F R.C
FRAME BUILDING (IT OFFICE, ALMORA) IN SAP 2000 V14
described and also 2D and 3D frame elements and lumped mass model are elaborately
mentioned.
1.7.3 Seismic Analysis of Structure:
In Chapter 3 it is elaborately described how seismic analysis of a structure is done using
Equivalent Static Load Method and Response Spectrum Method. The factors affecting
response of a structure i.e. Importance Factor (I), Zone Factor (Z), Ductility (R), Structural
Response Factor (Sa/g), Foundation, Vertical Irregularity, Horizontal Irregularity are
elaborately mentioned.
1.7.4 Modeling:
In Chapter 4 the steps used to model the structure using SAP 2000 v14 is shown. The seismic
analysis of the building has been carried out by Response Spectrum Method in SAP 2000 v
14.
1.7.5 Dynamic Analysis and Result Comparison:
Chapter 5 shows the results of Modal Analysis of the structure, i.e., mode shapes and
respective time periods. Finally the results are concluded by comparing the results obtained
by Equivalent Static Lateral Load Method and Response Spectrum Method.
6
MODAL AND RESPONSE SPECTRUM (IS 1893:2002) ANALYSIS 0F R.C
FRAME BUILDING (IT OFFICE, ALMORA) IN SAP 2000 V14
CHAPTER 2
MODELLING OF REINFORCED
FRAMED CONCRETE BUILDING
7
MODAL AND RESPONSE SPECTRUM (IS 1893:2002) ANALYSIS 0F R.C
FRAME BUILDING (IT OFFICE, ALMORA) IN SAP 2000 V14
2.1 INTRODUCTION
Earthquake response analysis is an art to simulate the behavior of a structure subjected to an
earthquake ground motion based on dynamics and a mathematical model of the structure. The
correct analysis will depend upon the proper modeling of the behavior of materials, elements,
connection and structure. Models may be classified mainly by essential difference in the
degree-of-freedom. The model, or the number of degree of freedom, should be selected
carefully considering the objective of the analysis. Sometimes sophistication or complicated
models are not only useless but also create misunderstanding to interpret the results in
practical problems. Therefore, it is important to select an appropriate and simple model to
match the purpose of the analysis. Analytical models should also be based on physical
observations and its behavior under dynamic load.
The most important step in the design process of a building is to create an appropriate
mathematical model that will adequately represent its stiffness, mass distribution and energy
dissipation so that its response to earthquake could be predicted with sufficient accuracy. The
model and its degree of sophistication are dependent upon the analysis and design
requirements specified in the code. Some of the common types of models employed for
buildings are 2D plane frame model, 3D space frame model, and reduced 3D model with
three degree of freedom storey. A practice commonly followed is to employ 3D space frame
models for static solution and reduced 3D model for dynamic solution. If the main purpose of
analysis is to calculate seismic actions for proportioning a designing of RC members, a
member-by-member type of model is most suitable. In such a model, beams, columns and
walls between successive floors are represented as 3D beam element.
2.2 ELEMENTS OF MODELLING
If the layout of the building is unsymmetrical, the building can be best analyzed by a 3D
frame mode. Any combination of frame and walls can be idealized as a frame consisting of
assemblage of:
1. Beam elements, and
8
MODAL AND RESPONSE SPECTRUM (IS 1893:2002) ANALYSIS 0F R.C
FRAME BUILDING (IT OFFICE, ALMORA) IN SAP 2000 V14
2. Column elements.
Each element of a model in space frame consists of a beam element with six degree of
freedom at each joint. Any torsional effects are automatically considered in this model. The
ground motions can be applied in one, two or three directions, individually or simultaneously.
2.3 DEGREE OF FREEDOM
The number of degree is the number of coordinates necessary to specify the position or
geometry of mass point at any instant during its vibration. Hence, infinite number of
coordinates is necessary to specify the positions of the structure completely at any instant of
time. Each degree of freedom is having corresponding natural frequency. Therefore, a
structure possesses as many natural frequencies as it has the degrees of freedom. For each
natural frequency, the structure has its own way of vibration. The vibrating shape is known as
characteristics shape or mode of vibration.
Depending on the independent coordinates required to describe the motion, the vibratory
system is divided into following categories:
(a) Single Degree Of Freedom System(SDOF)
(b) Multiple Degree Of Freedom System(MDOF)
(c) Continuous System
2.3.1 2D AND 3D FRAME ELEMENTS
2-D Beam Element:
Structural systems are made up of a number of structural elements which forms a multistory
frame. Beams are one of the commonest structural elements and carry loads by developing
shear forces and bending moments along their length. A 2D beam element carries loads in
two directions. The local displacement coordinates in 2D beam element are shown in figure
2.1.
9
MODAL AND RESPONSE SPECTRUM (IS 1893:2002) ANALYSIS 0F R.C
FRAME BUILDING (IT OFFICE, ALMORA) IN SAP 2000 V14
Figure 2.1: Local Displacement Coordinates in 2D Beam Element
10
MODAL AND RESPONSE SPECTRUM (IS 1893:2002) ANALYSIS 0F R.C
FRAME BUILDING (IT OFFICE, ALMORA) IN SAP 2000 V14
Figure: 2.2 Reactions in 2D beam
For 2-d beams, we get a normal stress normal to the cross section and transverse shear acting
on the face of the cross section. We can use rotation matrices to get stiffness matrix for beams
in any orientation.
3D – Beam Element
To develop 3-d beam elements, must also add capability for torsional loads about the axis of
the element, and flexural loading in x-z plane.
Figure: 2.3 Displacement in Local Coordinates for a 3D Beam
11
MODAL AND RESPONSE SPECTRUM (IS 1893:2002) ANALYSIS 0F R.C
FRAME BUILDING (IT OFFICE, ALMORA) IN SAP 2000 V14
Figure: 2.4 Reactions in 3D Beam
12
MODAL AND RESPONSE SPECTRUM (IS 1893:2002) ANALYSIS 0F R.C
FRAME BUILDING (IT OFFICE, ALMORA) IN SAP 2000 V14
To derive the 3-d beam element, set up the beam with the x axis along its length, and y and z
axes as lateral directions. Torsion behavior is added by superposition of simple strength of
materials.
where,
G = shear modulus
L = length
fxi, fxj are nodal degrees of freedom of angle of twist at each end
Ti, Tj is torques about the x axis at each end
2.4 DIAPHRAGM
A diaphragm is horizontal structural component and it functions as transferring story shears
and torsional moments to lateral force-resisting members as well as distributing gravity loads
to vertical members. Relative stiffness of the diaphragm with respect to stiffness of lateral
members at the diaphragm level determines how it transfers shears and torsional moments. In
addition, it distributes gravity loads based on either one-way or two-way load distribution. To
this end, diaphragm action for lateral analysis can be defined as Rigid, Semirigid or Pseudo-
flexible. For gravity analysis, type of deck placed inside a diaphragm determines how gravity
loads on the deck are distributed. Diaphragm’s in-plane stiffness plays a major role in
transferring shears and torsional moments generated by applied lateral loads.
2.4.1 TYPES OF DIAPHRAGM
2.4.1.1 RIGID DIAPHRAGM
A diaphragm may be considered rigid when its midpoint displacement, under lateral load, is
less than twice the average displacements at its ends. Rigid diaphragm distributes the
horizontal forces to the vertical resisting elements in direct proportion to the relative
rigidities. It is based on the assumption that the diaphragm does not deform itself and will
cause each vertical element to deflect the same amount. Rigid diaphragms capable of
transferring torsional and shear deflections and forces are also based on the assumption that
the diaphragm and shear walls undergo rigid body rotation and this produces additional shear
forces in the shear wall. Rigid diaphragms consist of reinforced concrete diaphragms, precast
concrete diaphragms, and composite steel deck.
2.4.1.2 FLEXIBLE DIAPHRAGM
13
MODAL AND RESPONSE SPECTRUM (IS 1893:2002) ANALYSIS 0F R.C
FRAME BUILDING (IT OFFICE, ALMORA) IN SAP 2000 V14
Metal decks with lightweight fill may or may not be flexible. Diaphragms are considered
flexible when the maximum lateral deformation of the diaphragm is more than two times the
average story drift of the associated story. This may be determined by comparing the
computed midpoint in-plane deflection of the diaphragm itself under lateral load with the
drift to adjoining vertical elements under tributary lateral load.
A diaphragm is considered flexible, when the midpoint displacement, under lateral load,
exceeds twice the average displacement of the end supports. It is assumed here that the
relative stiffness of these non-yielding end supports is very great compared to that of the
diaphragm. Therefore, diaphragms are often designed as simple beams between end supports,
and distribution of the lateral forces to the vertical resisting elements on a tributary width,
rather than relative stiffness.
Flexible diaphragm is not considered to be capable of distributing torsional and rotational
forces. Flexible diaphragms consist of diagonally sheeted wood diaphragms, sheathed
diaphragms etc.
The rigidity of the diaphragms is classified into two groups on relative flexibility: rigid and
flexible diaphragm.
2.4.2 ROLE OF DIAPHRAGMS
1. To transfer lateral inertial forces to vertical elements of the seismic force-resisting system - The floor
system commonly comprises most of the mass of the building. Consequently, significant inertial forces can
develop in the plane of the diaphragm. One of the primary roles of the diaphragm in an earthquake is to
transfer these lateral inertial forces, including those due to tributary portions of walls and columns, to the
vertical elements of the seismic force-resisting system.
2. Resist vertical loads – Most diaphragms are part of the floor and roof framing and therefore support
gravity loads. They also assist in distributing inertial loads due to vertical response during earthquakes.
3. Provide lateral support to vertical elements – Diaphragms connect to vertical elements of the
seismic force-resisting system at each floor level, thereby providing lateral support to resist buckling as well
as second-order forces associated with axial forces acting through lateral displacements. Furthermore, by
tying together the vertical elements of the lateral force-resisting system, the diaphragms complete the three-
dimensional framework to resist lateral loads.
4. Resist out-of-plane forces – Exterior walls and cladding develop out-of-plane lateral
inertial forces as a building responds to an earthquake. Out-of-plane forces also develop
14
MODAL AND RESPONSE SPECTRUM (IS 1893:2002) ANALYSIS 0F R.C
FRAME BUILDING (IT OFFICE, ALMORA) IN SAP 2000 V14
due to wind pressure acting on exposed wall surfaces. The diaphragm-to-wall connections
provide resistance to these out-of-plane forces.
5. Transfer forces through the diaphragm – As a building responds to earthquake loading,
lateral shears often must be transferred from one vertical element of the seismic force-
resisting system to another. The largest transfers commonly occur at discontinuities in the
vertical elements, including in-plane and out-of-plane offsets in these elements.
2.5 LUMPED MASS MODEL
A lumped mass mode is simple and most frequently used in early times for practical design of
multistory buildings. It reduces the amount of calculation and comparison to two-dimensional
frame model. In this model the ground is represented by horizontal linked lumped masses as
shown in Figure (c). Each lumped mass, with its spring constant and damping constant and
damping coefficient, represents one ground layer. These properties are difficult to determine,
however, and the model does not take energy dissipation into account.
Figure: 2.5 Lumped Mass Model
15
MODAL AND RESPONSE SPECTRUM (IS 1893:2002) ANALYSIS 0F R.C
FRAME BUILDING (IT OFFICE, ALMORA) IN SAP 2000 V14
CHAPTER 3
SEISMIC ANALYSIS OF
STRUCTURE
16
MODAL AND RESPONSE SPECTRUM (IS 1893:2002) ANALYSIS 0F R.C
FRAME BUILDING (IT OFFICE, ALMORA) IN SAP 2000 V14
3.1 INTRODUCTION
Seismic Analysis is a subset of structural analysis and is the calculation of the response of a
building structure to earthquakes. It is part of the process of structural design, earthquake
engineering or structural assessment in regions where earthquakes are prevalent.
A building has the potential to ‘wave’ back and forth during an earthquake (or even a severe
wind storm). This is called the ‘fundamental mode’, and is the lowest frequency of building
response. Most buildings, however, have higher modes of response, which are uniquely
activated during earthquakes.
3.2 Methods of Seismic Analysis
3.2.1 Equivalent Static Load Method:
This approach defines a series of forces acting on a building to represent the effect of
earthquake ground motion, typically defined by a seismic design response spectrum. It
assumes that the building responds in its fundamental mode. For this to be true, the building
must be low-rise and must not twist significantly when the ground moves. The response is
read from a design response spectrum, given the natural frequency of the building. The
applicability of this method is extended in many building codes by applying factors to
account for higher buildings with some higher modes, and for low levels of twisting. To
account for effects due to "yielding" of the structure, many codes apply modification factors
that reduce the design forces (e.g. force reduction factors).
3.2.2 Response Spectrum Analysis:
17
MODAL AND RESPONSE SPECTRUM (IS 1893:2002) ANALYSIS 0F R.C
FRAME BUILDING (IT OFFICE, ALMORA) IN SAP 2000 V14
This approach permits the multiple modes of response of a building to be taken into account.
This is required in many building codes for all except for very simple or very complex
structures. The response of a structure can be defined as a combination of many special
shapes (modes) that in a vibrating string correspond to the "harmonics". Computer analysis
can be used to determine these modes for a structure. For each mode, a response is read from
the design spectrum, based on the modal frequency and the modal mass, and they are then
combined to provide an estimate of the total response of the structure. In this we have to
calculate the magnitude of forces in all directions i.e. X, Y & Z and then see the effects on the
building. Combination methods include the following:
• Absolute - Peak values are added together
• Square Root Sum of Squares (SRSS)
• Complete Quadratic Combination (CQC).
3.2.3 Modal Analysis:
A modal analysis calculates the frequency modes or natural frequencies of a given system,
but not necessarily its full time history response to a given input. The natural frequency of a
system is dependent only on the stiffness of the structure and the mass which participates
with the structure (including self-weight). It is not dependent on the load function.
Modal analysis uses the overall mass and stiffness of a structure to find the various periods at
which it will naturally resonate. These periods of vibration are very important to note in
earthquake engineering, as it is imperative that a building's natural frequency does not match
the frequency of expected earthquakes in the region in which the building is to be
constructed. If a structure's natural frequency matches an earthquake's frequency, the
structure may continue to resonate and experience structural damage.
18
MODAL AND RESPONSE SPECTRUM (IS 1893:2002) ANALYSIS 0F R.C
FRAME BUILDING (IT OFFICE, ALMORA) IN SAP 2000 V14
Fig: 3.1 Mode Shapes
3.3 Factors Affecting Response of Structure
3.3.1 Importance Factor (I):
Ensures higher design seismic force for more important structures.
Table 3.1 Importance Factor
19
Sl No. Structure Importance Factor
1 Important service and community buildings, such
as hospitals; schools; monumental structures;
emergency buildings like telephone exchange,
television stations, radio stations, railway stations,
tire station buildings~ large community halls like
cinemas, assembly halls and subway stations,
power stations
1.5
2 All other buildings 1.0
MODAL AND RESPONSE SPECTRUM (IS 1893:2002) ANALYSIS 0F R.C
FRAME BUILDING (IT OFFICE, ALMORA) IN SAP 2000 V14
3.3.2 Zone Factor (Z):
It is a factor to obtain the design spectrum depending on the perceived maximum seismic risk
characterized by Maximum Considered Earthquake (MCE) in the zone in which the structure
is located. The basic zone factors included in this standard are reasonable estimate of
effective peak ground acceleration.
Depends on severity of ground motion
India is divided into four seismic zones (II to V)
Refer Table 2 of IS 1893 (part1):2002
Z = 0.1 for zone II and Z = 0.36 for zone V
Zone II
This region is liable to MSK VI or less and is classified as the Low Damage Risk Zone. The
IS code assigns zone factor of 0.10 (maximum horizontal acceleration that can be
experienced by a structure in this zone is 10% of gravitational acceleration) for Zone II.
Zone III
The Andaman and Nicobar Islands, parts of Kashmir, Western Himalayas fall under this
zone. This zone is classified as Moderate Damage Risk Zone which is liable to MSK VII.
And also 7.8 The IS code assigns zone factor of 0.16 for Zone III.
Zone IV
This zone is called the High Damage Risk Zone and covers areas liable to MSK VIII. The IS
code assigns zone factor of 0.24 for Zone 4. The Indo-Gangetic basin and the capital of the
country (Delhi), Jammu and Kashmir fall in Zone IV.
Zone V
Zone V covers the areas with the highest risks zone that suffers earthquakes of intensity MSK
IX or greater. The IS code assigns zone factor of 0.36 for Zone 5. Structural designers use
this factor for earthquake resistant design of structures in Zone 5. The zone factor of 0.36 is
indicative of effective (zero periods) peak horizontal ground accelerations of 0.36 g (36% of
gravity) that may be generated during MCE level earthquake in this zone. It is referred to as
20
MODAL AND RESPONSE SPECTRUM (IS 1893:2002) ANALYSIS 0F R.C
FRAME BUILDING (IT OFFICE, ALMORA) IN SAP 2000 V14
the Very High Damage Risk Zone. The state of Kashmir, western and central Himalayas,
North-East Indian region and the Rann of Kutch fall in this zone. Generally, the areas having
trap or basaltic rock are prone to earthquakes.
3.3.3 Response Reduction Factor/Ductility(R):
It is the factor by which the actual base shears force that would be generated if the structure
were to remain elastic during its response to the Design Basis Earthquake (DBE) shaking,
shall be reduced to obtain the design lateral force. Earthquake resistant structures are
designed for much smaller seismic forces than actual seismic forces that may act on them.
3.3.3.1 Ductility:
Ductility of a structure, or its members, is the capacity to undergo large inelastic
deformations without significant loss of strength or stiffness. Ductility in concrete is
defined by the percentage of steel reinforcement within it. Mild steel is an example of
a ductile material that can be bent and twisted without rupture. Member or structural
ductility is al so defined as the ratio of absolute maximum deformation to the
corresponding yield. This can be defined with respect to strains, rotations, curvature or
deflections. Strain based ductility definition depends almost on the material , while
rotation or curvature based ductility definition al so includes the effect of shape and size of
the cross-sections. Each design code recognizes the importance of ductility in design
because if a structure is ductile it ability to absorb energy without critical failure
increases. Ductility behavior allows a structure to undergo large plastic deformations with
little decrease in strength.
Ductility is increased by,
• An increase in compression steel content.
• An increase in concrete compressive strength.
• An increase in ultimate concrete strain.
Ductility is decreased by,
• An increase in tension steel content.
• An increase in steel yield strength.
• An increase in axial load.
21
MODAL AND RESPONSE SPECTRUM (IS 1893:2002) ANALYSIS 0F R.C
FRAME BUILDING (IT OFFICE, ALMORA) IN SAP 2000 V14
Significance of Ductility
If ductile members are used to form a structure, the structure can undergo large
deformations before failure. This is beneficial to the users of the structures, as in case
of overloading, if the structure is to collapse, it will undergo large deformations
before failure and thus provides warning to the occupants. This gives a notice to the
occupants and provides sufficient time for taking preventive measures. This will reduce
loss of life.
Structures are subjected to unexpected overloads, load reversals, impact and structural
movements due to foundation settlement and volume changes. These items are generally
ignored in the analysis and design. If a structure is ductile than taken care by the
presence of some ductility in the structure.
The limit state design procedure assumes that all the critical sections in the structure
will reach their maximum capacities at design load for the structure. For this to occur,
all joints and splices must be able to withstand forces and deformations corresponding
to yielding of the reinforcement.
3.3.3.2 Redundancy:
The intent of the redundancy coefficient is to encourage the design of more redundant
structures, with a greater number of elements provided to resist lateral forces. Introduction of
the redundancy coefficient into the building code was a direct reaction of the observation of
structures damaged by the Northridge earthquake and the resulting conclusion that economic
pressures had led many engineers to design structures with very little redundancy. This was
particularly observed to be a problem for certain classes of moment-resisting steel frame and
concrete shear wall buildings.
3.3.3.3 Overstrength:
Observations during many earthquakes have shown that building structures are able to sustain
without damage earthquake forces considerably larger than those they were designed for.
This is explained by the presence in such structures of significant reserve strength not
accounted for in design. Relying on such overstrength, many seismic codes permit a
reduction in design loads. The possible sources of reserve strength are outlined in this paper,
and it is reasoned that a more rational basis for design would be to account for such sources
in assessing the capacity rather than in reducing the design loads. As an exception, one
22
MODAL AND RESPONSE SPECTRUM (IS 1893:2002) ANALYSIS 0F R.C
FRAME BUILDING (IT OFFICE, ALMORA) IN SAP 2000 V14
possible source of reserve strength, the redistribution of internal forces, may be used in
scaling down the design forces. This is because such scaling allows the determination of
design forces through an elastic analysis rather than through a limit analysis. To assess the
extent of reserve strength attributable to redistribution, steel building structures having
moment-resisting frames or concentrically braced frames and from 2 to 30 storeys in height
are analyzed for their response to lateral loading. A static nonlinear push-over analysis is
used in which the gravity loads are held constant while the earthquake forces are gradually
increased until a mechanism forms or the specified limit on inter storey drift is exceeded. It is
noted that in moment-resisting frames the reserve strength reduces with an increase in the
number of storeys as well as in the level of design earthquake forces.
Fig: 3.2 Graphs between Total Horizontal Load and Roof Displacement (Δ)
A structure with good ductility, redundancy and overstrength is designed for smaller seismic
force and has higher value of R. For example, building with SMRF has good ductility and has
R = 5.0 as against R = 1.5 for unreinforced masonry building which does not have good
ductility.
3.3.4 Structural Response Factors (Sa /g):
It is a factor denoting the acceleration response spectrum of the structure subjected to
earthquake ground vibrations, and depends on natural period of vibration and damping of the
structure.Depends on structural characteristics and soil condition. Structural characteristics
include time period and damping.
23
MODAL AND RESPONSE SPECTRUM (IS 1893:2002) ANALYSIS 0F R.C
FRAME BUILDING (IT OFFICE, ALMORA) IN SAP 2000 V14
Fig: 3.3 Response Spectra
3.3.5 Foundation:
The role of soil-structure interaction (SSI) in the seismic response of structures is re-explored
using recorded motions and theoretical considerations. Firstly, the way current seismic
provisions treat SSI effects is briefly discussed. The idealized design spectra of the codes
along with the increased fundamental period and effective damping due to SSI lead
invariably to reduce forces in the structure. Reality, however, often differs from this view. It
is shown that, in certain seismic and soil environments, an increase in the fundamental natural
period of a moderately flexible structure due to SSI may have a detrimental effect on the
imposed seismic demand. Secondly, a widely used structural model for assessing SSI effects
on inelastic bridge piers is examined. Using theoretical arguments and rigorous numerical
analyses it is shown that indiscriminate use of ductility concepts and geometric relations may
lead to erroneous conclusions in the assessment of seismic performance.
3.3.6 Vertical Irregularity:
Seismic building codes such as the Uniform Building Code (UBC) do not allow the
equivalent lateral force (ELF) procedure to be used for structures with vertical irregularities.
The purpose of this study is to investigate the definition of irregular structures for different
vertical irregularities: stiffness, strength, mass, and that due to the presence of nonstructural
masonry infills. An ensemble of 78 buildings with various interstory stiffness, strength, and
mass ratios is considered for a detailed parametric study. The lateral force-resisting systems
(LFRS) considered are special moment-resisting frames (SMRF). These LFRS are designed
based on the forces obtained from the ELF procedure. The results from linear and nonlinear
dynamic analyses of these engineered buildings exhibit that most structures considered in this
24
MODAL AND RESPONSE SPECTRUM (IS 1893:2002) ANALYSIS 0F R.C
FRAME BUILDING (IT OFFICE, ALMORA) IN SAP 2000 V14
study performed well when subjected to the design earthquake. Hence, the restrictions on the
applicability of the equivalent lateral force procedure are unnecessarily conservative for
certain types of vertical irregularities considered.
Vertical geometric irregularity shall be considered to exist where the horizontal dimension of
the lateral force resisting system in any storey is more than 150 percent of that in its adjacent
storey.
Vertical Geometric irregularity: Vertical geometric irregularity shall be considered to exist
where the horizontal dimension of the lateral force resisting system in any storey is more than
150 percent of that in its adjacent storey.
Fig: 3.4(a) Vertical Geometric Irregularity
In-Plane Discontinuity in Vertical Elements Resisting Lateral Force: An in plane offset
of the lateral force resisting elements greater than the length of those elements.
25
MODAL AND RESPONSE SPECTRUM (IS 1893:2002) ANALYSIS 0F R.C
FRAME BUILDING (IT OFFICE, ALMORA) IN SAP 2000 V14
Fig: 3.4(b) In-Plane Discontinuity in Vertical Elements Resisting Lateral Force When b>a
Discontinuity in Capacity - Weak Storey: A weak storey is one in which the storey lateral
strength is less than 80 percent of that in the storey above. The storey lateral strength is the
total strength of all seismic force resisting elements sharing the storey shear in the considered
direction.
Fig: 3.4(c) Weak Storey
3.3.7 Horizontal Irregularity:
Torsional Irregularity: It is defined to exist where the maximum story drift, computed
including accidental torsion, at one end of the structure transverse to an axis is more than 1.2
26
MODAL AND RESPONSE SPECTRUM (IS 1893:2002) ANALYSIS 0F R.C
FRAME BUILDING (IT OFFICE, ALMORA) IN SAP 2000 V14
times the average of the story drifts at the two ends of the structure. Torsional irregularity
requirements in the reference sections apply only to structures in which the diaphragms are
rigid or semi rigid.
Fig: 3.5(a) Torsional Irregularity
Diaphragm Discontinuity Irregularity:
It is defined to exist where there are diaphragms with abrupt discontinuities or variations in
stiffness, including those having cut out or open areas greater than 50% of the gross enclosed
diaphragm area, or changes in effective diaphragm stiffness of more than 50% from one story
to the next.
Fig: 3.5(b) Diaphragm Discontinuity Irregularity
27
MODAL AND RESPONSE SPECTRUM (IS 1893:2002) ANALYSIS 0F R.C
FRAME BUILDING (IT OFFICE, ALMORA) IN SAP 2000 V14
Out-of-Plane Offsets Irregularity: It is defined to exist where there are
discontinuities in a lateral force-resistance path, such as out-of-plane offsets of the vertical
elements.
Fig: 3.5(c) Diaphragm Discontinuity Irregularity
28
MODAL AND RESPONSE SPECTRUM (IS 1893:2002) ANALYSIS 0F R.C
FRAME BUILDING (IT OFFICE, ALMORA) IN SAP 2000 V14
CHAPTER 4
MODELING USING SAP 2000 v14
4.1 BUILDING SPECIFICATIONS
The building is 4 storeys RC framed with live load of 3 kN/m2
are to be analyzed in Almora. It
lies in zone V. It is an office building of the Income Tax Department.
The properties of the considered building configurations in the present study are summarized
below:
1. Zone : IV
2. Importance of Building : Office Building
3. Number of Stories : Four ( G+3)
29
MODAL AND RESPONSE SPECTRUM (IS 1893:2002) ANALYSIS 0F R.C
FRAME BUILDING (IT OFFICE, ALMORA) IN SAP 2000 V14
4. Floor-to-floor height : 3 meter
5. Depth of slab : 150 mm
6. Thickness of external wall : 230 mm
7. Thickness of interior wall : 115 mm
8. Live load (roof) : 3 KN/m2
9. Live load (floor) : 1.5 KN/m2
10. Materials : M25 and Fe500
11. Seismic Analysis : Equivalent Static Load Method as per IS code
Density of concrete: 25 KN/m2
Poisson’s Ratio: 0.15
Size of column: C 1- 450mm х 300mm, C-2- 600mmx300mm
Size of beams: B 1- 230mm х 450mm, B 2- 230mmx600mm
4.2 GROUND FLOOR PLAN
30
MODAL AND RESPONSE SPECTRUM (IS 1893:2002) ANALYSIS 0F R.C
FRAME BUILDING (IT OFFICE, ALMORA) IN SAP 2000 V14
Figure 4.1 Plan of the Income Tax Office Building
4.3 BEAM DETAILS
TABLE 4.1: Beam Details
BEAM NAME WIDTH(mm) DEPTH(mm) DESIGNATED BY
B 101 230 450 B 1
B 102 230 450 B 1
B 103 230 450 B 1
B 105 230 450 B 1
B 106 230 600 B 2
B 109 230 450 B 1
B 110 230 450 B 1
B 111 230 600 B 2
B 113 230 600 B 2
B 115 230 600 B 2
B 116 230 600 B 2
B 117 230 450 B 1
B 118 230 450 B 1
B 119 230 450 B 1
B 120 230 450 B 1
B 121 230 450 B 1
B 122 230 450 B 1
4.4 COLUMN DETAILS
Table: 4.2 Column Details
31
MODAL AND RESPONSE SPECTRUM (IS 1893:2002) ANALYSIS 0F R.C
FRAME BUILDING (IT OFFICE, ALMORA) IN SAP 2000 V14
COLUMN NO. CROSS SECTION(mm2
) HEIGHT(m)
C 1 450x300 3
C 2 450x300 3
C 3 450x300 3
C 4 600x300 3
C 5 600x300 3
C 6 600x300 3
C 7 600x300 3
4.5 MODELLING WITH SAP 2000 v14:
4.5.1 Begin a New Model
In this Step, the basic grid that will serve as a template for developing the model will be
defined. Then a material will be defined and sections will be selected.
A. Click the File menu > New Model command or the New Model button. The form
shown in Figure 1 will display. Verify that the default units are set to KN, m, c.
Figure: 4.2 Selection of Grid View to Begin the Model
B. Select the Grid only template in order to get the dialog box shown in Figure 2. It should
be noted that the defined geometry should accurately represents the major geometrical
32
MODAL AND RESPONSE SPECTRUM (IS 1893:2002) ANALYSIS 0F R.C
FRAME BUILDING (IT OFFICE, ALMORA) IN SAP 2000 V14
aspects of the model; hence the number and spacing of the grid lines should be carefully
planned.
Figure: 4.3 Enter the Required number of Grid Lines and Spacing
C. The Quick Grid Lines form is used to specify the grids and spacing in the X, Y, and Z
directions. Set the number of grid lines to 8 for both X and Y direction, and to 5 for the Z
direction and grid spacing as 10 for X Y and Z axis.
D. Click the OK button to accept the changes, and the program will appear as shown in
Figure 3. Note that the grids appear in two view windows tiled vertically, an X-Y “Plan”
View on the left and a 3-D View on the right.
33
MODAL AND RESPONSE SPECTRUM (IS 1893:2002) ANALYSIS 0F R.C
FRAME BUILDING (IT OFFICE, ALMORA) IN SAP 2000 V14
Figure: 4.4 Grid Lines in Plan and 3D
E. Click the Define menu > Coordinate Systems/Grids command to display the
Coordinate/Grid Systems form. In the Systems area, highlight GLOBAL and then click
the Modify/Show System button to display the Define Grid System Data and enter the
coordinates for various grid lines in X Y and Z axis.
Figure: 4.5 Modifications of the Grid Lines
F. Click the OK button twice and a modified grid will now be displayed. This modified grid
is shown in Figure 5.
34
MODAL AND RESPONSE SPECTRUM (IS 1893:2002) ANALYSIS 0F R.C
FRAME BUILDING (IT OFFICE, ALMORA) IN SAP 2000 V14
Figure: 4.6 Modified Grid Lines
4.5.2 DEFINE MATERIAL
A. Click the Define menu > Materials command to display the Define Materials form
shown in Figure 6.
B. Enter the Material Name as M25 and enter the properties of the material such as
Modulus of Elasticity, Poisons Ratio, and Shear Modulus of concrete.
35
MODAL AND RESPONSE SPECTRUM (IS 1893:2002) ANALYSIS 0F R.C
FRAME BUILDING (IT OFFICE, ALMORA) IN SAP 2000 V14
Figure: 4.7 Define Material and its Properties
4.5.3 DEFINE FRAME SECTIONS
A frame section will be defined for both beams and columns. Frame sections must be defined
before they can be assigned to frame objects in the model.
A. Click the Define menu > Section Properties > Frame Sections command, which will
display the Frame Properties form shown in Figure 7.
36
MODAL AND RESPONSE SPECTRUM (IS 1893:2002) ANALYSIS 0F R.C
FRAME BUILDING (IT OFFICE, ALMORA) IN SAP 2000 V14
Figure: 4.8 Define Frame Sections
C. Select rectangular cross section for the members.
D. Name the beam members as B1 and B2 and the column members as C1 and C2 and their
cross sections are defined. This is shown in Figure 9.
Figure: 4.9 Define Beams
37
MODAL AND RESPONSE SPECTRUM (IS 1893:2002) ANALYSIS 0F R.C
FRAME BUILDING (IT OFFICE, ALMORA) IN SAP 2000 V14
Figure: 4.10 Properties of Frame Members
4.5.4 ASSIGNING OF FRAME ELEMENTS
4.5.4.1 ASSIGNING BEAMS:
A. Select Quick draw frame element.
B. Select cross section of beams as B1 or B2 and assign the beams.
C. Replicate the beams to all the floors.
4.5.4.2 ASSIGNING COLUMNS:
A. Set x-z view of the plan.
B. Select Quick draw/ Frame element.
C. Select cross section of columns as C1 or C2 and assign the columns.
D. Replicate the columns to all the floors.
4.5.4.3 ASSIGNING RESTRAINTS TO JOINTS
A. Select all the joints at z=0.
B. Select ASSIGN> JOINT> RESTRAINTS.
38
MODAL AND RESPONSE SPECTRUM (IS 1893:2002) ANALYSIS 0F R.C
FRAME BUILDING (IT OFFICE, ALMORA) IN SAP 2000 V14
C. Dialog box will open; select fixed support as shown in Figure 10.
Figure: 4.11 Assign Restraints to Foundation (Fixed Base)
4.6 DEFINE LOAD PATTERNS
The loads used in this modeling consist of dead and live load patterns. The dead and live
loads act in the gravity direction. Dead load consists of slab load, wall load, floor finishing
load and roof treatment. Following is the procedure to define the various load patterns.
A. Click the Define menu > Load Patterns command to access the Define Load Patterns
form shown in Figure: 11. Note there is only a single default load pattern defined which is
a dead load pattern with self-weight (DEAD).
[Note that the self-weight multiplier is set to 1 for the default pattern. This indicates that this
load pattern will automatically include 1.0 times the self-weight of all members. In SAP2000,
both Load Patterns and Load Cases exist, and they may be different. However, the program
automatically creates a corresponding load case when a load pattern is defined, and the load
cases are available for review at the time the analysis is run.]
B. Click in the edit box for the Load Pattern Name column. Type the name of the new
pattern, LIVE. Select a Type of load pattern from the drop-down list; in this case, select
39
MODAL AND RESPONSE SPECTRUM (IS 1893:2002) ANALYSIS 0F R.C
FRAME BUILDING (IT OFFICE, ALMORA) IN SAP 2000 V14
LIVE. Make sure that the Self Weight Multiplier is set to 0.25. Click the Add New Load
Pattern button to add the LIVE load pattern to the load list.
C. The Define Load Patterns form should now appear as shown in Figure: 11. Click the
OK button in that form to accept the newly defined load patterns.
Figure: 4.12 Different load patterns
4.7 ASSIGN LOADS
In this step, the dead and live and wind loads will be applied to the model. Make sure that the
X-Y Plane @ Z=3 view is still active, and that the program is in the Select mode.
A. First select Draw Rectangular Area element and click on each of the panel and then
select all the panels. Figure 12 shows the selected panel to which the loads has to be
assigned.
40
MODAL AND RESPONSE SPECTRUM (IS 1893:2002) ANALYSIS 0F R.C
FRAME BUILDING (IT OFFICE, ALMORA) IN SAP 2000 V14
Figure: 4.13 Selected Panel for Assigning Loads
B. Select the Assign menu > Area Loads >Uniform to frame (shell) command to access
load from the Load Pattern Name drop-down list as shown in Figure 4.14.
Figure: 4.14 Assigning of Area Load pattern
C. Select the Slab load from the dropdown list as shown in figure: 14 and set the slab load
as 3.75 KN/m2
. Also set the Coordinate system as Global and Direction as Gravity and
41
MODAL AND RESPONSE SPECTRUM (IS 1893:2002) ANALYSIS 0F R.C
FRAME BUILDING (IT OFFICE, ALMORA) IN SAP 2000 V14
Distribution as Two Way. The direction is set as gravity because the slab load acts in the
direction of gravity.
Figure: 4.14 Assigning Area Uniform Load to Frame.
D. Similarly repeat the above set of steps for the other load patterns defined such as dead
wall load, roof finishing, roof treatment, live loads.
E. Replicate command to transfer the above loads on all the floors @ Z=6, 9 and 12. Figure
15 shows the dead wall load on all the floors.
42
MODAL AND RESPONSE SPECTRUM (IS 1893:2002) ANALYSIS 0F R.C
FRAME BUILDING (IT OFFICE, ALMORA) IN SAP 2000 V14
Figure: 4.16 Dead Wall Load on the Frame.
4.8 DEFINE LOAD COMBINATIONS
A. Select Define> load combination to access the load combinations according to IS
CODE.
B. Select Add new combination to make a combination.
43
MODAL AND RESPONSE SPECTRUM (IS 1893:2002) ANALYSIS 0F R.C
FRAME BUILDING (IT OFFICE, ALMORA) IN SAP 2000 V14
Figure: 4.17 Different Load Combinations
C. Select a name for the first combination.
D. Four combination according to IS CODE (1893:2002) are:
 1.5( DL+LL) = COMB1
 1.2( DL+ZL+EL) = COMB2
 1.5( DL+EL) = COMB3
 0.9DL+ 1.5EL = COMB4
Figure: 4.18 Load Combinations Data
E. Similarly for all four combinations modify the load case and scale factor.
44
MODAL AND RESPONSE SPECTRUM (IS 1893:2002) ANALYSIS 0F R.C
FRAME BUILDING (IT OFFICE, ALMORA) IN SAP 2000 V14
4.9 DEFINE RESPONSE SPECTRA
A response-spectrum function is simply a list of period versus spectral acceleration values. In
SAP2000, the acceleration values in the function are assumed to be normalized; that is, the
functions themselves are not assumed to have units. Instead, the units are associated with a
scale factor that multiplies the function and that is specified when the response-spectrum
analysis case is defined.
A. Click the Define menu> Functions> Response Spectrum Functions command which
will display Define Response Spectrum Functions form (Figure 4.19).
B. In the Choose the Function Type to Add area, select Spectrum file from drop down list.
C. Click the Add New Function button, which will display Response Spectrum function
Definition (Figure 20).
1. In Function Name edit box, type IS 1893 RS HS.
Figure: 4.19 Define Response Spectrum Function (IS 1893: 2002)
2. In Function file area click the Browse function in this area and pick the text file that
includes the Response-Spectrum data. The path of the selected file will display in File
Name display box. Click the View File button to display the selected file in WordPad.
3. Select Period Vs Values option.
45
MODAL AND RESPONSE SPECTRUM (IS 1893:2002) ANALYSIS 0F R.C
FRAME BUILDING (IT OFFICE, ALMORA) IN SAP 2000 V14
4. Click the Display Graph option that will display the Response-spectrum graph (Figure
19).
5. Click the Convert to User Defined button which will display the response-spectrum
form.
Figure: 4.20 Response Spectrum graph
4.9.1 DEFINE EQ-X:
A. Click the Define menu> Load Cases command, which will display the Define Load
Cases form.
B. Click the Add New Case button, which will display Define load Case data form
(Figure: 23).
C. In Load Case Name Area, Type EQ-X.
46
MODAL AND RESPONSE SPECTRUM (IS 1893:2002) ANALYSIS 0F R.C
FRAME BUILDING (IT OFFICE, ALMORA) IN SAP 2000 V14
D. In Load Case Type Area, select Response Spectrum from drop-down list.
E. In Modal Combination Area, Select SRSS option.
F. In Load applied area
1. In Load Type area, select Accel from drop down list.
2. In Load area, select U1 from dropdown list.
3. In Function area, select IS1893 RS HS from drop down list.
4. In Scale factor edit box, Type 0.3532.
Figure: 4.21 Defining EQ-X (before correction)
4.9.2 DEFINE EQ-Y:
A. Click the Define menu> Load Cases command, which will display the Define Load
Cases form.
47
MODAL AND RESPONSE SPECTRUM (IS 1893:2002) ANALYSIS 0F R.C
FRAME BUILDING (IT OFFICE, ALMORA) IN SAP 2000 V14
B. Click the Add New Case button, which will display Define load Case data form (Figure:
4.24).
C. In Load Case Name area, Type EQ-Y.
D. In Load Case Type area, select Response Spectrum from drop-down list.
E. In Modal Combination area, Select SRSS option.
F. In Load Applied area
1. In Load Type area, select Accel from drop down list.
2. In Load area, select U1 from dropdown list.
3. In Function area, select IS1893 RS HS from drop down list.
4. In Scale factor edit box, Type 0.3532.
5. Click Add button.
4.10 APPLY CORRECTION FACTOR
A. Click the Display Menu > Show Tables command, which will display chose table for
display window.
B. Check the Structural Output option.
C. Click OK button on the choose tables for Display, which will display for Base Reaction
and Modal Information.
Note Base reaction for DEAD, DEAD SLAB, DEAD WALL, DEAD FF, DEAD RT, LIVE
AND LIVE ROOF and compare it with manual load calculation.
D. Also note the Base Shear in X direction and in Y direction.
E. Evaluate VBx /VB and VBy/VB, where VBx is manually calculated base reaction in X
direction and VBy is in Y direction.
48
MODAL AND RESPONSE SPECTRUM (IS 1893:2002) ANALYSIS 0F R.C
FRAME BUILDING (IT OFFICE, ALMORA) IN SAP 2000 V14
F. After applying correction type 0.67 for EQ-X load case and type 0.52 for EQ-Y in Scale
Factor edit box as shown in figure for EQ-X load case (Figure 4.22)
Figure: 4.22 Defining EQ-X (after correction)
4.11 ANALYZE THE MODEL
A. Click on Analyze> Run analysis in order to run the analysis. Dialog box shown in
Figure: 25 will display.
B. Click on Run now to run analysis.
49
MODAL AND RESPONSE SPECTRUM (IS 1893:2002) ANALYSIS 0F R.C
FRAME BUILDING (IT OFFICE, ALMORA) IN SAP 2000 V14
Figure: 4.23 Running Analysis
50
MODAL AND RESPONSE SPECTRUM (IS 1893:2002) ANALYSIS 0F R.C
FRAME BUILDING (IT OFFICE, ALMORA) IN SAP 2000 V14
51
MODAL AND RESPONSE SPECTRUM (IS 1893:2002) ANALYSIS 0F R.C
FRAME BUILDING (IT OFFICE, ALMORA) IN SAP 2000 V14
52
MODAL AND RESPONSE SPECTRUM (IS 1893:2002) ANALYSIS 0F R.C
FRAME BUILDING (IT OFFICE, ALMORA) IN SAP 2000 V14
4.12 GRAPHICAL REPRESENTATION OF RESULTS
A. Make sure that the X-Y Plane @ Z=0 is active. Click on XZ view button to reset the
view to an elevation.
B. Click the Show Forces/Stresses> Frames/Cables button or the Display MENU>
SHOW FORCES/stresses> Frames/Cables command to bring up the Member Force
Diagram For the frame elements (Figure: 23 )
1. Select DEAD from the Case/Combo Name from drop-down list.
2. Select the Shear 2-2 option.
3. Check the Fill Diagram check box.
53
MODAL AND RESPONSE SPECTRUM (IS 1893:2002) ANALYSIS 0F R.C
FRAME BUILDING (IT OFFICE, ALMORA) IN SAP 2000 V14
C. Click on ok button to generate the Shear force diagram shown in Figure 24.
Figure: 4.24 Member Force Diagram for Frame form
54
MODAL AND RESPONSE SPECTRUM (IS 1893:2002) ANALYSIS 0F R.C
FRAME BUILDING (IT OFFICE, ALMORA) IN SAP 2000 V14
Figure: 4.25 Shear Force Diagram
CHAPTER 5
DYNAMIC ANALYSIS
AND
RESULT COMPARISION
55
MODAL AND RESPONSE SPECTRUM (IS 1893:2002) ANALYSIS 0F R.C
FRAME BUILDING (IT OFFICE, ALMORA) IN SAP 2000 V14
5.1 INTRODUCTION:
In the study of vibration in engineering, a mode shape describes the expected curvature (or
displacement) of a surface vibrating at a particular mode. To determine the vibration of a
system, the mode shape is multiplied by a function that varies with time, thus the mode shape
always describes the curvature of vibration at all points in time, but the magnitude of the
curvature will change. The mode Shape is dependent on the shape of the surface as well as
the boundary conditions of that surface.
5.1.1 Mode Shapes:
A mode of vibration is characterized by a modal frequency and a mode shape, and is
numbered according to the number of half waves in the vibration. For example, if a vibrating
beam with both ends pinned displayed a mode shape of half of a sine wave (one peak on the
vibrating beam) it would be vibrating in mode 1. If it had a full sine wave (one peak and one
valley) it would be vibrating in mode 2.
Each mode is entirely independent of all other modes. Thus all modes have different
frequencies (with lower modes having lower frequencies) and different mode shapes (with
lower modes having greater amplitude).
56
MODAL AND RESPONSE SPECTRUM (IS 1893:2002) ANALYSIS 0F R.C
FRAME BUILDING (IT OFFICE, ALMORA) IN SAP 2000 V14
Since the lower modes vibrate with greater amplitude, they cause the most displacement and
stress in a structure. Thus they are called fundamental modes.
Figure: 5.1 Different Mode Shapes
5.2 Different Mode Shapes in SAP 2000 v14:
Mode 1: Time period=0.8394 sec, Frequency=0.92256 / sec
PLAN @ Z=3 ELEVATION (XZ VIEW)
Figure 5.2: Mode 1
57
MODAL AND RESPONSE SPECTRUM (IS 1893:2002) ANALYSIS 0F R.C
FRAME BUILDING (IT OFFICE, ALMORA) IN SAP 2000 V14
Mode 2: Time period =0.91691 sec, frequency=1.09062 / sec
PLAN @ Z=3 ELEVATION (XZ VIEW)
Figure 5.3: Mode 2
Mode 3: Time period=0.85921 sec, frequency=1.16386 / sec
PLAN @ Z=3 ELEVATION (XZ VIEW)
Figure 5.4: Mode 3
Mode 4: Time period =0.36358 sec, frequency=2.75039 / sec
58
MODAL AND RESPONSE SPECTRUM (IS 1893:2002) ANALYSIS 0F R.C
FRAME BUILDING (IT OFFICE, ALMORA) IN SAP 2000 V14
PLAN @ Z=3 ELEVATION (XZ VIEW)
Figure 5.5: Mode 4
Mode 5: Time period =0.30423 sec, frequency=3.28701 / sec
PLAN @ Z=3 ELEVATION (XZ VIEW)
Figure 5.6: Mode 5
Mode 6: Time period=0.26627 sec, frequency=3.75557 /sec
59
MODAL AND RESPONSE SPECTRUM (IS 1893:2002) ANALYSIS 0F R.C
FRAME BUILDING (IT OFFICE, ALMORA) IN SAP 2000 V14
PLAN @ Z=3 ELEVATION (XZ VIEW)
Figure 5.7: Mode 6
Mode 7: Time period=0.22245 sec, frequency=4.49541 /sec
PLAN @ Z=3 ELEVATION (XZ VIEW)
Figure 5.8: Mode 7
Mode 8: Time period=0.18259, frequency=5.47663
60
MODAL AND RESPONSE SPECTRUM (IS 1893:2002) ANALYSIS 0F R.C
FRAME BUILDING (IT OFFICE, ALMORA) IN SAP 2000 V14
PLAN @ Z=3 ELEVATION (XZ VIEW)
Figure 5.9: Mode 8
Mode 9: Time period =0.16878 sec, frequency=5.92492 /sec.
PLAN @ Z=3 ELEVATION (XZ VIEW)
Figure 5.10: Mode 9
Mode 10: Time period=0.14562 sec, frequency=6.86736 /sec
61
MODAL AND RESPONSE SPECTRUM (IS 1893:2002) ANALYSIS 0F R.C
FRAME BUILDING (IT OFFICE, ALMORA) IN SAP 2000 V14
PLAN @ Z=3 ELEVATION (XZ VIEW)
Figure 5.11: Mode 10
Mode 11: Time period=0.13154 sec, frequency=7.60239 /sec
PLAN @ Z=3 ELEVATION (XZ VIEW)
Figure 5.12: Mode 11
Mode 12: Time period=0.10600 sec, frequency=9.43436 /sec
62
MODAL AND RESPONSE SPECTRUM (IS 1893:2002) ANALYSIS 0F R.C
FRAME BUILDING (IT OFFICE, ALMORA) IN SAP 2000 V14
PLAN @ Z=3 ELEVATION (XZ VIEW)
Figure 5.13: Mode 12
TABLE 5.1: MODE, TIME PERIOD AND FREQENCY
Output
Case
Step
Type
Step Num Period Frequency Circ Freq Eigen value
Sec Cycle /sec rad/sec rad2/sec2
MODAL Mode 1.000000 1.083936 0.92256 5.7966 33.601
MODAL Mode 2.000000 0.916913 1.0906 6.8525 46.957
MODAL Mode 3.000000 0.859208 1.1639 7.3128 53.476
MODAL Mode 4.000000 0.363585 2.7504 17.281 298.64
MODAL Mode 5.000000 0.304227 3.2870 20.653 426.54
MODAL Mode 6.000000 0.266271 3.7556 23.597 556.82
MODAL Mode 7.000000 0.222449 4.4954 28.246 797.81
MODAL Mode 8.000000 0.182594 5.4766 34.411 1184.1
MODAL Mode 9.000000 0.168779 5.9249 37.227 1385.9
MODAL Mode 10.000000 0.145616 6.8674 43.149 1861.8
MODAL Mode 11.000000 0.131538 7.6024 47.767 2281.7
MODAL Mode 12.000000 0.105996 9.4344 59.278 3513.9
63
MODAL AND RESPONSE SPECTRUM (IS 1893:2002) ANALYSIS 0F R.C
FRAME BUILDING (IT OFFICE, ALMORA) IN SAP 2000 V14
5.3 Seismic Analysis of Building:
Earthquake motion causes horizontal and vertical ground motion .Vertical ground motion
having much smaller magnitude is the most usual .In general; all structures are
conventionally designed to carry gravity loads. Most of the area in India is prone to severe
shaking by earthquakes. India has witnessed some of the world’s greatest earthquake in
recent century. Current seismic codes help to design the structure in such a way that they can
withstand the effect of a moderate to strong earthquake shaking. The basic purpose of a
seismic code is to avoid loss of life and property. Indian seismic codes give more importance
for structural configuration, lateral strength, ductility and seismic weight of structure
Earthquake response of system would be affected by different types of foundation systems in
addition to variation of ground motion due to various types of soils. Considering the effect in
gross manner, the standards gives guideline for arriving at design seismic coefficient based
on stiffness of soil .it provides general principal and specifies seismic design lateral forces.
The following are the some of the relevant codes to improve the earthquake resistance of
different categories of structures:
IS13827: 1993 – Indian standard guidelines for improving earthquake resistance of earthen
building.
5.4 METHODS OF SEISMIC ANALYSIS
5.4.1 INTRODUCTION
Equivalent static method of analysis is a linear static procedure, in which the response of
building is assumed as linearly elastic manner. The analysis is carried out as per IS 1893-
2002 (Part 1)
A step by step procedure for analysis of the frame by equivalent static lateral force method is
as follows:
Step 1: Calculation of lumped masses to various floor levels.
64
MODAL AND RESPONSE SPECTRUM (IS 1893:2002) ANALYSIS 0F R.C
FRAME BUILDING (IT OFFICE, ALMORA) IN SAP 2000 V14
The earthquake forces shall be calculated for the full dead load plus the percentage of
imposed load as given in table 8 of IS 1893 (part 1): 2002. The imposed load on roof is
assumed to be zero. The lumped masses of each floor are worked out follows:
Roof
Mass of infill + mass of column + mass of beams in longitudinal and transverse direction of
that floor + mass of slab + imposed load of that floor if possible.
• Imposed load on roof not considered.
• 50% of imposed load, if imposed load is greater than 3 KN/
Seismic weight of building = seismic weight of all floors
The seismic weight of each floor is its full dead plus appropriate of imposed load, as
specified in clause 7.3.1 and 7.3.2 of IS 1893 (part 1): 2002. Any weight supported in
between stories shall be distributed to the floors above and below in inverse proportion to its
distance from the floors.
Step 2: Determination of fundamental natural period.
The approximate fundamental natural period of vibration ( ), second, of a moment resisting
frame building without brick infill panels may be estimated by the empirical expression.
Where h is the height of the building in meters.
Step 3: Determination of design base shear.
Design seismic base shear,
65
MODAL AND RESPONSE SPECTRUM (IS 1893:2002) ANALYSIS 0F R.C
FRAME BUILDING (IT OFFICE, ALMORA) IN SAP 2000 V14
Step 4: Vertical distribution of base shear.
The design base shear ( ) computed shall be distributed along the height of the building as
per the expression,
Where,
=height of the floor i, measured from base, and
n=Number of stories
Determine the design base shear for a R.C. frame (I.T. office, Almora) building.
The given data are as shown below:
66
MODAL AND RESPONSE SPECTRUM (IS 1893:2002) ANALYSIS 0F R.C
FRAME BUILDING (IT OFFICE, ALMORA) IN SAP 2000 V14
Figure: 5.14 Plan
Data:
12. Type of structure : Multi Storey SMRF frame
13. Zone : IV
14. Importance of Building : Office Building
15. Number of Stories : Four ( G+3)
16. Floor-to-floor height : 3 meter
17. Depth of slab : 150 mm
18. Thickness of external wall : 230 mm
19. Thickness of interior wall : 115 mm
20. Live load (roof) : 3 KN/m2
21. Live load (floor) : 1.5 KN/m2
22. Materials : M25 and Fe500
23. Seismic Analysis : Equivalent Static Load Method as per IS code
67
MODAL AND RESPONSE SPECTRUM (IS 1893:2002) ANALYSIS 0F R.C
FRAME BUILDING (IT OFFICE, ALMORA) IN SAP 2000 V14
5.4.2 CALCULATIONS
STEP 1: Calculation of natural fundamental period (Ta)
=
= 0.2356 sec
STEP 2: Calculation of Design Horizontal Seismic Coefficient
The following expression is used to determine Ah:
= 0.06
STEP 3: Calculation of Seismic weight of the building (W)
Dead-Slab
a) Load due to dead slab on 1st
floor = (21x12.5x3.75)+(8.5x4.9x3.75) = 1140.56 KN
b) Load due to dead slab on 2nd
floor = (21x12.5x3.75)+(2.5x4.9x3.75) = 1030.31 KN
c) Load due to dead slab on 3rd
floor = (21x12.5x3.75)+(2.5x4.9x3.75) = 1030.31 KN
d) Load due to dead slab on 4th
floor = (21x12.5x3.75)+(2.5x4.9x3.75) = 1030.31 KN
Floor finish load (Dead FF)
a) Load due to Dead FF on 1st
floor = (21x12.5x1)+(8.5x4.9x1) = 304.15 KN
b) Load due to Dead FF on 2nd
floor = (21x12.5x1)+(2.5x4.9x1) = 274.75 KN
68
MODAL AND RESPONSE SPECTRUM (IS 1893:2002) ANALYSIS 0F R.C
FRAME BUILDING (IT OFFICE, ALMORA) IN SAP 2000 V14
c) Load due to Dead FF on 3rd
floor = (21x12.5x1)+(2.5x4.9x1) = 274.75 KN
d) Load due to Dead FF on 4th
floor = (21x12.5x1)+(2.5x4.9x1) = 274.75 KN
Roof Treatment (Dead RT)
a) Load due to Dead RT on roof = (21x12.5x1.5)+(2.5x4.9x1.5) = 412.13 KN
Total load due to slab: 5772.02 KN
Load due to dead wall (exterior)
a) Due to exterior wall on 1st
floor=
(21x15.2)+(12.5x15.2)+(3x8.5x15.2)+(7.6x15.2)+(4.9x15.2)+(12.5x15.2)
= 1276.72 KN
b) Due to exterior wall on 2nd
floor=
319.2+190+129.2+(2.5x15.2)+(4.9x15.2)+(2.5x15.2)+115.52+190
= 1094.4 KN
c) Due to exterior wall on 3rd
floor=
319.2+190+129.2+(2.5x15.2)+(4.9x15.2)+(2.5x15.2)+115.52+190
= 1094.4 KN
d) Due to exterior wall on 4th
floor=
319.2+190+129.2+(2.5x15.2)+(4.9x15.2)+(2.5x15.2)+115.52+190
= 1094.4 KN
Load due to dead wall (interior)
a) Due to interior wall on 1st
floor
= (21.76x7.6) + (21.76x7.6) + 4 (12.5x7.6) +2 (2.6x7.6) + (3.4x7.6) + (4.9x7.6)
=797.24
b) Due to interior wall on 2nd
floor
= (21.76x7.6) + (21.76x7.6) + 4 (12.5x7.6) + 2 (2.6x7.6) + (3.4x7.6) + (4.9x7.6)
69
MODAL AND RESPONSE SPECTRUM (IS 1893:2002) ANALYSIS 0F R.C
FRAME BUILDING (IT OFFICE, ALMORA) IN SAP 2000 V14
=797.24
c) Due to interior wall on 3rd
floor
= (21.76x7.6) + (21.76x7.6) + 4 (12.5x7.6) + 2 (2.6x7.6)+(3.4x7.6)+(4.9x7.6)
=797.24
d) Due to interior wall on 4th
floor
= (21.76x7.6) + (21.76x7.6) + 4 (12.5x7.6) +2 (2.6x7.6) + (3.4x7.6) + (4.9x7.6)
=797.24
Total load due to dead wall (exterior + interior): 4559.92+3188.96=7748.88 KN
Total Dead load on Frame Members
= Total load due to slab + Total load due to dead wall (exterior + interior)
= 7748.88 KN + 5772.02 KN = 13520.9 KN
Live Load
a) Load due to live floor on 1st
floor = (21x12.5x3)+(8.5x4.9x3) = 912.45 KN
b) Load due to live floor on 2nd
floor = (21x12.5x3)+(2.5x4.9x3) = 824.25 KN
c) Load due to live floor on 3rd
floor = (21x12.5x3)+(2.5x4.9x3) = 824.25 KN
d) Load due to live roof = (21x12.5x1.5)+(2.5x4.9x1.5) = 412.13 KN
Total live load = 2973.08 KN
Total Seismic Weight on Frame Elements
= Total load due to slab+ Total load due to dead wall (exterior + interior)+Total live load
= (5772.02+7748.88+2973.08) KN
= 16493.98 KN
STEP 4: Total Base Shear in X Direction (VBX)
= AhW
70
MODAL AND RESPONSE SPECTRUM (IS 1893:2002) ANALYSIS 0F R.C
FRAME BUILDING (IT OFFICE, ALMORA) IN SAP 2000 V14
= 0.06 x 16493.98 = 989.6 KN
Total Base Shear in Y Direction (VBY)
= AhW
= 0.06 x 16493.98 = 989.6 KN
5.5 Response Spectrum Analysis
Response spectrum method
For earthquake resistant design the entire time history of response may not be required.
Instead earthquake resistant design may be based on the maximum value of response of a
structure to a particular base motion. The response will depend on the mass, stiffness and
damping characteristics of the structure and on the characteristics of the base motion.
In the response spectrum method the peak response of a structure during an earthquake is
obtained directly from the earthquake response spectrum or design spectrum. This procedure
is quite accurate for structural design applications. In this approach multiple modes of
response of a building to an earthquake is taken into account. For each mode, a response is
read from the design spectrum, based on modal frequency and the modal mass. The responses
of different modes are combined to provide an estimate of total response of the structure
using modal combination methods such as complete quadratic combinations (CQC), square
root of sum of squares (SRSS), or absolute sum (ABS) method.
Response Spectrum Method of analysis should be performed using the design spectrum
specified in IS Code – 1893:2000 or by a site specific design spectrum, which is specifically
prepared for a structure at a particular project site. Frame without considering the stiffness of
infills.
5.5.1 PROCEDURE
A step by step procedure for analysis of the frame by response spectrum method is as
follows:
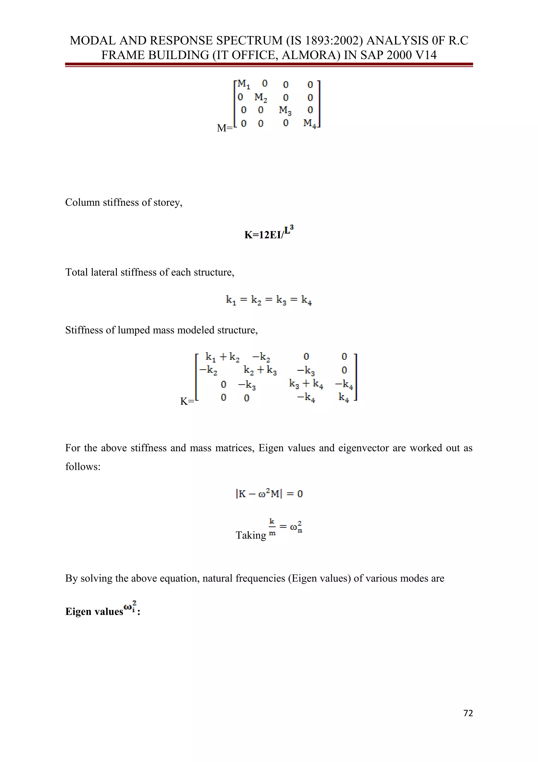
Step 1: Determination of Eigen values and Eigen vectors
Mass matrices, M and stiffness, K of the plain frame mass model are,
71
MODAL AND RESPONSE SPECTRUM (IS 1893:2002) ANALYSIS 0F R.C
FRAME BUILDING (IT OFFICE, ALMORA) IN SAP 2000 V14
M=
Column stiffness of storey,
K=12EI/
Total lateral stiffness of each structure,
Stiffness of lumped mass modeled structure,
K=
For the above stiffness and mass matrices, Eigen values and eigenvector are worked out as
follows:
Taking
By solving the above equation, natural frequencies (Eigen values) of various modes are
Eigen values :
72
MODAL AND RESPONSE SPECTRUM (IS 1893:2002) ANALYSIS 0F R.C
FRAME BUILDING (IT OFFICE, ALMORA) IN SAP 2000 V14
The quantity of , is called the Eigen values of the matrix each natural
frequency ( ) of the system has a corresponding eigenvector (mode shape), which is denoted
by .
Solving the above equation, modal vector (eigenvector), mode shapes and natural periods
under different modes are
Eigenvector
Now calculate natural time period T in sec.
Step 2: Determination of modal participation factors:
The modal participation factor ( ) of mode k is,
Step 3: Determination of modal mass:
The modal mass ( ) of mode k is given by,
Where g=acceleration due to gravity,
=mode shape coefficient at floor i in mode k, and
=seismic weight of floor i,
73
MODAL AND RESPONSE SPECTRUM (IS 1893:2002) ANALYSIS 0F R.C
FRAME BUILDING (IT OFFICE, ALMORA) IN SAP 2000 V14
Modal contribution of various modes.
Step 4: Determination of lateral force at each floor in each mode:
The design lateral force ( ) at floor i in mode k is given by,
where,
=design horizontal acceleration spectrum value as per clause 6.4.2 of IS 1893 (part 1):
2002 using the natural period of vibration ( of mode k.
The design horizontal seismic coefficient for various modes are,
The average response acceleration coefficient for rock sites as per IS 1893 (part 1): 2002 is
calculated as follows:
For rocky, or hard soil sites
Step 5: Determination of storey shear forces in each mode:
The peak shear force is given by,
Step 6: Determination of storey shear force due to all modes:
74
MODAL AND RESPONSE SPECTRUM (IS 1893:2002) ANALYSIS 0F R.C
FRAME BUILDING (IT OFFICE, ALMORA) IN SAP 2000 V14
The peak shear force ( ) in storey i due to all modes considered is obtained by combining
those due to each mode in accordance with modal combination i.e. SRSS (square root of sum
of squares) or CQC (complete quadratic combination) methods.
Square root of sum of squares (SRSS)
If the building does not have closely spaced modes, the peak response quantity ( ) due to all
modes considered shall be obtained as,
where,
=absolute value of quantity in mode ‘k’, and r is the number of modes being considered.
Complete quadratic combination (CQC)
where,
r= Number of modes being considered,
=Cross modal coefficient,
=Response quantity in mode i (including sign),
=Response quantity in mode j (including sign)
75
MODAL AND RESPONSE SPECTRUM (IS 1893:2002) ANALYSIS 0F R.C
FRAME BUILDING (IT OFFICE, ALMORA) IN SAP 2000 V14
where,
=Modal damping ratio (in fraction),
=Frequency ratio ,
=Circular frequency in mode, and
=Circular frequency in mode.
There for all the frequency ratios and cross modal components can be represented in matrix
form as,
=
The above quadratic combination i.e.
can also be written in matrix form as,
76
MODAL AND RESPONSE SPECTRUM (IS 1893:2002) ANALYSIS 0F R.C
FRAME BUILDING (IT OFFICE, ALMORA) IN SAP 2000 V14
Here the terms or represent the response of different modes of a certain storey level.
Now calculate the storey shear for every mode.
Step 7: Determination of lateral forces at each storey:
The design lateral forces , at roof and at floor, are calculated as,
And =
Frame considering the stiffness of infill.
The frame considering in previous section is again analyzed by considering the stiffness of
infill walls. The infill is modeled as equivalent diagonal strut. The mass matrix [M] for the
lumped plane frame model is,
Column stiffness of storey
K=12EI/
Stiffness of infill is determined by modeling the infill as an equivalent diagonal strut, in
which,
Width of strut
77
MODAL AND RESPONSE SPECTRUM (IS 1893:2002) ANALYSIS 0F R.C
FRAME BUILDING (IT OFFICE, ALMORA) IN SAP 2000 V14
And are given as,
, ,
where,
= Elastic modulus of frame material
= moment of inertia of column
= moment of inertia of beam
W=
A = Cross sectional area of diagonal stiffness= W*t
= diagonal length of strut =
Therefore, stiffness of infill is
Stiffness matrix [k] of lumped mass model is,
K=
78
MODAL AND RESPONSE SPECTRUM (IS 1893:2002) ANALYSIS 0F R.C
FRAME BUILDING (IT OFFICE, ALMORA) IN SAP 2000 V14
For the above stiffness mass matrices, Eigen values and eigenvectors are,
Taking
Calculate Eigen values
Calculate Eigen vector
Calculate natural frequency in various modes
Calculate natural time period T
Calculate modal participation factor
Calculate model mass
Modal contribution of various modes is
Now design lateral forces at each floor in each mode
The design lateral forces ( ) at floor i in each k is given by,
The design horizontal seismic coefficient for various modes are,
79
MODAL AND RESPONSE SPECTRUM (IS 1893:2002) ANALYSIS 0F R.C
FRAME BUILDING (IT OFFICE, ALMORA) IN SAP 2000 V14
The average response acceleration coefficient for rock sites as per IS 1893 (part 1): 2002 is
calculated as follows:
For rocky, or hard soil sites
Storey shear forces in each mode
The peak shear force is given by,
5.6 ANALYSIS IN SAP 2000 v14:
In SAP2000, the acceleration values in the function are assumed to be normalized; that is, the
functions themselves are not assumed to have units. Instead, the units are associated with a
scale factor that multiplies the function and that is specified when the response-spectrum
analysis case is defined.
5.6.1 DEFINING EQ-X:
A. Click the Define menu> Load Cases command, which will display the Define Load
Cases form.
B. Click the Add New Case button, which will display Define load Case data form.
C. In Load Case Name Area, Type EQ-X.
D. In Load Case Type Area, select Response Spectrum from drop-down list.
E. In Modal Combination Area, Select SRSS option.
80
MODAL AND RESPONSE SPECTRUM (IS 1893:2002) ANALYSIS 0F R.C
FRAME BUILDING (IT OFFICE, ALMORA) IN SAP 2000 V14
F. In Load applied area
1. In Load Type area, select Accel from drop down list.
2. In Load area, select U1 from dropdown list.
3. In Function area, select IS1893 RS HS from drop down list.
4. In Scale factor edit box, Type 0.2354.
5. Click Add button.
Figure: 5.15 Defining EQ-X (before correction)
5.6.2 DEFINING EQ-Y:
A. Click the Define menu> Load Cases command, which will display the Define Load
Cases form.
81
MODAL AND RESPONSE SPECTRUM (IS 1893:2002) ANALYSIS 0F R.C
FRAME BUILDING (IT OFFICE, ALMORA) IN SAP 2000 V14
B. Click the Add New Case button, which will display Define load Case data form (Figure:
24).
C. In Load Case Name area, Type EQ-Y.
D. In Load Case Type area, select Response Spectrum from drop-down list.
E. In Modal Combination area, Select SRSS option.
F. In Load Applied area
6. In Load Type area, select Accel from drop down list.
7. In Load area, select U1 from dropdown list.
8. In Function area, select IS1893 RS HS from drop down list.
9. In Scale factor edit box, Type 0.2354.
10. Click Add button.
5.6.3 Base Shear before correction
Table 5.2: Base Reactions before Correction
Output
Case
Case
Type
Step
Type
Global
FX
Global
FY
Global
FZ
Global
MX
Global
MY
Global
MZ
KN KN KN KN-m KN-m KN-m
EQ X Linear
Response
Spectra
Max 585.507 16.563 0.771 91.8241 4661.302
1
7226.038
0
EQ Y Linear
Response
Spectra
Max 16.563 753.840 2.725 6214.396
0
85.3625 5291.914
0
5.6.4 Application of Correction Factor
A. Click the Display Menu > Show Tables command, which will display chose table for
display window.
82
MODAL AND RESPONSE SPECTRUM (IS 1893:2002) ANALYSIS 0F R.C
FRAME BUILDING (IT OFFICE, ALMORA) IN SAP 2000 V14
B. Check the Structural Output option.
C. Click OK button on the choose tables for Display, which will display for Base Reaction
and Modal Information.
D. Note Base reaction for DEAD, DEAD SLAB, DEAD WALL, DEAD FF, DEAD RT,
LIVE AND LIVE ROOF and compare it with manual load calculation.
E. Also note the Base Shear in X direction and in Y direction.
F. Evaluate = 1.69 and = 1.31 , where manually calculated base reaction in
X direction and Vby is in Y direction.
G. Evaluate x = = 0.40
H. Evaluate x = x = 0.31
I. After applying correction type 0.40 for EQ-X load case and type 0.31 for EQ-Y in
Scale Factor edit box as shown in figure for EQ-X load case.
83
MODAL AND RESPONSE SPECTRUM (IS 1893:2002) ANALYSIS 0F R.C
FRAME BUILDING (IT OFFICE, ALMORA) IN SAP 2000 V14
Figure: 5.16 Defining EQ-X (after correction)
5.6.5Base Reactions after Correction:
Table 5.2: Base Reactions after Correction
Output
Case
Case
Type
Step
Type
Global
FX
Global
FY
Global
FZ
Global
MX
Global
MY
Global
MZ
KN KN KN KN-m KN-m KN-m
EQ X Linear
Response
Spectrum
Max 994.914 28.145 1.309 156.0308 7920.649 12278.73
EQ Y Linear
Response
Spectrum
Max 21.812 992.738 3.588 8183.784 112.4145 6968.960
84
MODAL AND RESPONSE SPECTRUM (IS 1893:2002) ANALYSIS 0F R.C
FRAME BUILDING (IT OFFICE, ALMORA) IN SAP 2000 V14
5.7 Results
Dynamic analysis has been carried out on the building by using two methods, i.e., Equivalent
Static Lateral Load Method and Response Spectrum Method as per suggested by the Indian
Standard Seismic Code (IS 1893: 2002) located in seismic zone IV in Almora, Uttarakhand
Himalayas. The result shows the differences in the Seismic Base Shear obtained by both the
methods and that is incorporated in terms of base shear correction factor in the analysis.
The base shear obtained by Equivalent Static Lateral Load method are on the higher side by
63% in X direction and 31% in Y direction as compare to the Response Spectrum Method.
So, to extract the correct results by dynamic analysis, i.e., Forces and Stresses, it is required
to apply the correction in both the direction (X & Y) by applying correction factor 1.63 and
1.31 in X and Y components of dynamic analysis respectively as suggested by the Indian
Seismic Code, IS 1893: 2002.
REFERENCES
1. IS 1893 (Part 1): (2002), “Criteria for Earthquake Resistant Design of Structures Part
1 General Provisions and Buildings”, Bureau of Indian Standards.
2. P. Aggarwal and Manish Srikhande, “Earthquake Resistant Design of Structures”,
PHI Publication 2010.
3. Prabhat Kumar, Ashwini Kumar, Amita Sinwahl “Assessment of Seismic Hazard in
Uttarakhand Himalaya” Department of Earthquake Engineering, IIT Roorkee.
4. S.R. Damodarsamy and S. Kavita “Basics of Structural Dynamics and asesimic
Design”, PHI publications 2012.
85
MODAL AND RESPONSE SPECTRUM (IS 1893:2002) ANALYSIS 0F R.C
FRAME BUILDING (IT OFFICE, ALMORA) IN SAP 2000 V14
5. CSI Computers and Structures INC. “Introductory Tutorial for Sap 2000: Linear and
Nonlinear Static and Dynamic Analysis and Design of Three-Dimensional Structures”
2011.
6. CSI (2009). “SAP 2000: Static and Dynamic Finite Element Analysis of Structures”
Nonlinear Version 14, Computers and Structures.
86

MODAL AND RESPONSE SPECTRUM (IS 18932002) ANALYSIS 0F R.C FRAME BUILDING (IT OFFICE, ALMORA) IN SAP 2000 V14

  • 1.
    MODAL AND RESPONSESPECTRUM (IS 1893:2002) ANALYSIS 0F R.C FRAME BUILDING (IT OFFICE, ALMORA) IN SAP 2000 V14 CHAPTER 1 INTRODUCTION 1
  • 2.
    MODAL AND RESPONSESPECTRUM (IS 1893:2002) ANALYSIS 0F R.C FRAME BUILDING (IT OFFICE, ALMORA) IN SAP 2000 V14 1.1 INTRODUCTION A large portion of India is susceptible to damaging levels of seismic hazards. Hence, it is necessary to take in to account the seismic load for the design of structures. In buildings the lateral loads due to earthquake are a matter of concern. These lateral forces can produce critical stresses in the structure, induce undesirable stresses in the structure, induce undesirable vibrations or cause excessive lateral sway of the structure. Sway or drift is the magnitude of the lateral displacement at the top of the building relative to its base. Traditionally, seismic design approaches are stated, as the structure should be able to ensure the minor and frequent shaking intensity without sustaining any damage, thus leaving the structure serviceable after the event. The structure should withstand moderate level of earthquake ground motion without structural damage, but possibly with some structural as well as non-structural damage. This limit state may correspond to earthquake intensity equal to the strongest either experienced or forecast at the site. In present study the results are studied for response spectrum method. The main parameters considered in this study to compare the seismic performance of different models are base shear and time period. 1.2 Earthquake: Rocks are made of elastic material, and so elastic strain energy is stored in them during the deformations that occur due to the gigantic tectonic plate actions that occur in the Earth. But, the material contained in rocks is also very brittle. Thus, when the rocks along a weak region in the Earth’s Crust reach their strength, a sudden movement takes place there opposite sides of the fault (a crack in the rocks where movement has taken place) suddenly slip and release the large elastic strain energy stored in the interface rocks. The sudden slip at the fault causes the earthquake - a violent shaking of the Earth when large elastic strain energy released spreads out through seismic waves that travel through the body and along the surface of the Earth. And, after the earthquake is over, the process of strain build-up at this modified interface between the rocks starts all over 2
  • 3.
    MODAL AND RESPONSESPECTRUM (IS 1893:2002) ANALYSIS 0F R.C FRAME BUILDING (IT OFFICE, ALMORA) IN SAP 2000 V14 again. Earth scientists know this as the Elastic Rebound Theory. The material points at the fault over which slip occurs usually constitute an oblong three-dimensional volume, with its long dimension often running into tens of kilometers. 1.3 Seismic Zones of India The varying geology at different locations in the country implies that the likelihood of damaging earthquakes taking place at different locations is different. Thus, a seismic zone map is required to identify these regions. Based on the levels of intensities sustained during damaging past earthquakes, the 1970 version of the zone map subdivided India into five zones – I, II, III, IV and V. The seismic zone maps are revised from time to time as more understanding is gained on the geology, the seismotectonics and the seismic activity in the country. The Indian Standards provided the first seismic zone map in 1962, which was later revised in 1967 and again in 1970. The map has been revised again in 2002, and it now has only four seismic zones – II, III, IV and V. 1.4 Indian Seismic Codes Seismic codes are unique to a particular region or country. They take into account the local seismology, accepted level of seismic risk, building typologies, and materials and methods used in construction. Further, they are indicative of the level of progress a country has made in the field of earthquake engineering. The first formal seismic code in India, namely IS 1893, was published in 1962. Today, the Bureau of Indian Standards (BIS) has the following seismic codes: • IS 1893 (Part I), 2002, Indian Standard Criteria for Earthquake Resistant Design of Structures (5th Revision) • IS 4326, 1993, Indian Standard Code of Practice for Earthquake Resistant Design and Construction of Buildings (2nd Revision) 3
  • 4.
    MODAL AND RESPONSESPECTRUM (IS 1893:2002) ANALYSIS 0F R.C FRAME BUILDING (IT OFFICE, ALMORA) IN SAP 2000 V14 • IS 13827, 1993, Indian Standard Guidelines for Improving Earthquake Resistance of Earthen Buildings. • IS 13828, 1993, Indian Standard Guidelines for Improving Earthquake Resistance of Low Strength Masonry Buildings. • IS 13920, 1993, Indian Standard Code of Practice for Ductile Detailing of Reinforced Concrete Structures Subjected to Seismic Forces 1.5 Seismic Analysis of Structure In our study of the structure the analysis is being done using the response spectrum method in SAP 2000 v14 and modal mass analysis. 1.5.1 Response Spectrum Method In order to perform the seismic analysis and design of a structure to be built at a particular location, the actual time history record is required. However, it is not possible to have such records at each and every location. Further, the seismic analysis of structures cannot be carried out simply based on the peak value of the ground acceleration as the response of the structure depend upon the frequency content of ground motion and its own dynamic properties. To overcome the above difficulties, earthquake response spectrum is the most popular tool in the seismic analysis of structures. There are computational advantages in using the response spectrum method of seismic analysis for prediction of displacements and member forces in structural systems. The method involves the calculation of only the maximum values of the displacements and member forces in each mode of vibration using smooth design spectra that are the average of several earthquake motions. It will deal with response spectrum method and its application to various types of the structures. The codal provisions as per IS: 1893 (Part 1)-2002 code for response spectrum analysis of multi-story building is also summarized. 1.5.2 Modal Analysis Method Modal analysis is the study of the dynamic properties of structures under vibration excitation. Modal analysis is the field of measuring and analyzing the dynamic response of structures and or fluids when excited by an input. In structural engineering, modal analysis uses the 4
  • 5.
    MODAL AND RESPONSESPECTRUM (IS 1893:2002) ANALYSIS 0F R.C FRAME BUILDING (IT OFFICE, ALMORA) IN SAP 2000 V14 overall mass and stiffness of a structure to find the various periods at which it will naturally resonate. These periods of vibration are very important to note in earthquake engineering, as it is imperative that a building's natural frequency does not match the frequency of expected earthquakes in the region in which the building is to be constructed. If a structure's natural frequency matches an earthquake's frequency, the structure may continue to resonate and experience structural damage. Although modal analysis is usually carried out by computers, it is possible to hand-calculate the period of vibration of any high-rise building through idealization as a fixed-ended cantilever with lumped masses. 1.6 Objective 1. Modeling – The modeling of I.T. office situated in Almora will be done using SAP 2000 v14. 2. Model Analysis - Dynamic characteristics of structure (Mode Shapes and Time Periods) 3. Seismic Analysis (ESLM & RSM) – Comparison is done between the two methods for calculating the base shear. 4. Calculation of Correction Factor 1.7 Scheme of Presentation The scheme of the project is presented as follows: 1.7.1 Introduction: The introduction i.e. Chapter 1, refer the basics of earthquake engineering in which we have discussed about the basics of earthquake, how it occurs and its effects on the buildings. The different seismic zones of India and the different seismic codes used in earthquake resistant design of structures also been discussed. The seismic analysis procedure, i.e. equivalent static load method and response spectrum method is bruised up in the chapter along with the objective of study the project. 1.7.2 Modeling of R. C. Framed Building: In Chapter 2 the elements of modeling i.e. beam elements and column elements are described precisely. The basics of the diaphragm i.e. flexible diaphragm and rigid diaphragm are 5
  • 6.
    MODAL AND RESPONSESPECTRUM (IS 1893:2002) ANALYSIS 0F R.C FRAME BUILDING (IT OFFICE, ALMORA) IN SAP 2000 V14 described and also 2D and 3D frame elements and lumped mass model are elaborately mentioned. 1.7.3 Seismic Analysis of Structure: In Chapter 3 it is elaborately described how seismic analysis of a structure is done using Equivalent Static Load Method and Response Spectrum Method. The factors affecting response of a structure i.e. Importance Factor (I), Zone Factor (Z), Ductility (R), Structural Response Factor (Sa/g), Foundation, Vertical Irregularity, Horizontal Irregularity are elaborately mentioned. 1.7.4 Modeling: In Chapter 4 the steps used to model the structure using SAP 2000 v14 is shown. The seismic analysis of the building has been carried out by Response Spectrum Method in SAP 2000 v 14. 1.7.5 Dynamic Analysis and Result Comparison: Chapter 5 shows the results of Modal Analysis of the structure, i.e., mode shapes and respective time periods. Finally the results are concluded by comparing the results obtained by Equivalent Static Lateral Load Method and Response Spectrum Method. 6
  • 7.
    MODAL AND RESPONSESPECTRUM (IS 1893:2002) ANALYSIS 0F R.C FRAME BUILDING (IT OFFICE, ALMORA) IN SAP 2000 V14 CHAPTER 2 MODELLING OF REINFORCED FRAMED CONCRETE BUILDING 7
  • 8.
    MODAL AND RESPONSESPECTRUM (IS 1893:2002) ANALYSIS 0F R.C FRAME BUILDING (IT OFFICE, ALMORA) IN SAP 2000 V14 2.1 INTRODUCTION Earthquake response analysis is an art to simulate the behavior of a structure subjected to an earthquake ground motion based on dynamics and a mathematical model of the structure. The correct analysis will depend upon the proper modeling of the behavior of materials, elements, connection and structure. Models may be classified mainly by essential difference in the degree-of-freedom. The model, or the number of degree of freedom, should be selected carefully considering the objective of the analysis. Sometimes sophistication or complicated models are not only useless but also create misunderstanding to interpret the results in practical problems. Therefore, it is important to select an appropriate and simple model to match the purpose of the analysis. Analytical models should also be based on physical observations and its behavior under dynamic load. The most important step in the design process of a building is to create an appropriate mathematical model that will adequately represent its stiffness, mass distribution and energy dissipation so that its response to earthquake could be predicted with sufficient accuracy. The model and its degree of sophistication are dependent upon the analysis and design requirements specified in the code. Some of the common types of models employed for buildings are 2D plane frame model, 3D space frame model, and reduced 3D model with three degree of freedom storey. A practice commonly followed is to employ 3D space frame models for static solution and reduced 3D model for dynamic solution. If the main purpose of analysis is to calculate seismic actions for proportioning a designing of RC members, a member-by-member type of model is most suitable. In such a model, beams, columns and walls between successive floors are represented as 3D beam element. 2.2 ELEMENTS OF MODELLING If the layout of the building is unsymmetrical, the building can be best analyzed by a 3D frame mode. Any combination of frame and walls can be idealized as a frame consisting of assemblage of: 1. Beam elements, and 8
  • 9.
    MODAL AND RESPONSESPECTRUM (IS 1893:2002) ANALYSIS 0F R.C FRAME BUILDING (IT OFFICE, ALMORA) IN SAP 2000 V14 2. Column elements. Each element of a model in space frame consists of a beam element with six degree of freedom at each joint. Any torsional effects are automatically considered in this model. The ground motions can be applied in one, two or three directions, individually or simultaneously. 2.3 DEGREE OF FREEDOM The number of degree is the number of coordinates necessary to specify the position or geometry of mass point at any instant during its vibration. Hence, infinite number of coordinates is necessary to specify the positions of the structure completely at any instant of time. Each degree of freedom is having corresponding natural frequency. Therefore, a structure possesses as many natural frequencies as it has the degrees of freedom. For each natural frequency, the structure has its own way of vibration. The vibrating shape is known as characteristics shape or mode of vibration. Depending on the independent coordinates required to describe the motion, the vibratory system is divided into following categories: (a) Single Degree Of Freedom System(SDOF) (b) Multiple Degree Of Freedom System(MDOF) (c) Continuous System 2.3.1 2D AND 3D FRAME ELEMENTS 2-D Beam Element: Structural systems are made up of a number of structural elements which forms a multistory frame. Beams are one of the commonest structural elements and carry loads by developing shear forces and bending moments along their length. A 2D beam element carries loads in two directions. The local displacement coordinates in 2D beam element are shown in figure 2.1. 9
  • 10.
    MODAL AND RESPONSESPECTRUM (IS 1893:2002) ANALYSIS 0F R.C FRAME BUILDING (IT OFFICE, ALMORA) IN SAP 2000 V14 Figure 2.1: Local Displacement Coordinates in 2D Beam Element 10
  • 11.
    MODAL AND RESPONSESPECTRUM (IS 1893:2002) ANALYSIS 0F R.C FRAME BUILDING (IT OFFICE, ALMORA) IN SAP 2000 V14 Figure: 2.2 Reactions in 2D beam For 2-d beams, we get a normal stress normal to the cross section and transverse shear acting on the face of the cross section. We can use rotation matrices to get stiffness matrix for beams in any orientation. 3D – Beam Element To develop 3-d beam elements, must also add capability for torsional loads about the axis of the element, and flexural loading in x-z plane. Figure: 2.3 Displacement in Local Coordinates for a 3D Beam 11
  • 12.
    MODAL AND RESPONSESPECTRUM (IS 1893:2002) ANALYSIS 0F R.C FRAME BUILDING (IT OFFICE, ALMORA) IN SAP 2000 V14 Figure: 2.4 Reactions in 3D Beam 12
  • 13.
    MODAL AND RESPONSESPECTRUM (IS 1893:2002) ANALYSIS 0F R.C FRAME BUILDING (IT OFFICE, ALMORA) IN SAP 2000 V14 To derive the 3-d beam element, set up the beam with the x axis along its length, and y and z axes as lateral directions. Torsion behavior is added by superposition of simple strength of materials. where, G = shear modulus L = length fxi, fxj are nodal degrees of freedom of angle of twist at each end Ti, Tj is torques about the x axis at each end 2.4 DIAPHRAGM A diaphragm is horizontal structural component and it functions as transferring story shears and torsional moments to lateral force-resisting members as well as distributing gravity loads to vertical members. Relative stiffness of the diaphragm with respect to stiffness of lateral members at the diaphragm level determines how it transfers shears and torsional moments. In addition, it distributes gravity loads based on either one-way or two-way load distribution. To this end, diaphragm action for lateral analysis can be defined as Rigid, Semirigid or Pseudo- flexible. For gravity analysis, type of deck placed inside a diaphragm determines how gravity loads on the deck are distributed. Diaphragm’s in-plane stiffness plays a major role in transferring shears and torsional moments generated by applied lateral loads. 2.4.1 TYPES OF DIAPHRAGM 2.4.1.1 RIGID DIAPHRAGM A diaphragm may be considered rigid when its midpoint displacement, under lateral load, is less than twice the average displacements at its ends. Rigid diaphragm distributes the horizontal forces to the vertical resisting elements in direct proportion to the relative rigidities. It is based on the assumption that the diaphragm does not deform itself and will cause each vertical element to deflect the same amount. Rigid diaphragms capable of transferring torsional and shear deflections and forces are also based on the assumption that the diaphragm and shear walls undergo rigid body rotation and this produces additional shear forces in the shear wall. Rigid diaphragms consist of reinforced concrete diaphragms, precast concrete diaphragms, and composite steel deck. 2.4.1.2 FLEXIBLE DIAPHRAGM 13
  • 14.
    MODAL AND RESPONSESPECTRUM (IS 1893:2002) ANALYSIS 0F R.C FRAME BUILDING (IT OFFICE, ALMORA) IN SAP 2000 V14 Metal decks with lightweight fill may or may not be flexible. Diaphragms are considered flexible when the maximum lateral deformation of the diaphragm is more than two times the average story drift of the associated story. This may be determined by comparing the computed midpoint in-plane deflection of the diaphragm itself under lateral load with the drift to adjoining vertical elements under tributary lateral load. A diaphragm is considered flexible, when the midpoint displacement, under lateral load, exceeds twice the average displacement of the end supports. It is assumed here that the relative stiffness of these non-yielding end supports is very great compared to that of the diaphragm. Therefore, diaphragms are often designed as simple beams between end supports, and distribution of the lateral forces to the vertical resisting elements on a tributary width, rather than relative stiffness. Flexible diaphragm is not considered to be capable of distributing torsional and rotational forces. Flexible diaphragms consist of diagonally sheeted wood diaphragms, sheathed diaphragms etc. The rigidity of the diaphragms is classified into two groups on relative flexibility: rigid and flexible diaphragm. 2.4.2 ROLE OF DIAPHRAGMS 1. To transfer lateral inertial forces to vertical elements of the seismic force-resisting system - The floor system commonly comprises most of the mass of the building. Consequently, significant inertial forces can develop in the plane of the diaphragm. One of the primary roles of the diaphragm in an earthquake is to transfer these lateral inertial forces, including those due to tributary portions of walls and columns, to the vertical elements of the seismic force-resisting system. 2. Resist vertical loads – Most diaphragms are part of the floor and roof framing and therefore support gravity loads. They also assist in distributing inertial loads due to vertical response during earthquakes. 3. Provide lateral support to vertical elements – Diaphragms connect to vertical elements of the seismic force-resisting system at each floor level, thereby providing lateral support to resist buckling as well as second-order forces associated with axial forces acting through lateral displacements. Furthermore, by tying together the vertical elements of the lateral force-resisting system, the diaphragms complete the three- dimensional framework to resist lateral loads. 4. Resist out-of-plane forces – Exterior walls and cladding develop out-of-plane lateral inertial forces as a building responds to an earthquake. Out-of-plane forces also develop 14
  • 15.
    MODAL AND RESPONSESPECTRUM (IS 1893:2002) ANALYSIS 0F R.C FRAME BUILDING (IT OFFICE, ALMORA) IN SAP 2000 V14 due to wind pressure acting on exposed wall surfaces. The diaphragm-to-wall connections provide resistance to these out-of-plane forces. 5. Transfer forces through the diaphragm – As a building responds to earthquake loading, lateral shears often must be transferred from one vertical element of the seismic force- resisting system to another. The largest transfers commonly occur at discontinuities in the vertical elements, including in-plane and out-of-plane offsets in these elements. 2.5 LUMPED MASS MODEL A lumped mass mode is simple and most frequently used in early times for practical design of multistory buildings. It reduces the amount of calculation and comparison to two-dimensional frame model. In this model the ground is represented by horizontal linked lumped masses as shown in Figure (c). Each lumped mass, with its spring constant and damping constant and damping coefficient, represents one ground layer. These properties are difficult to determine, however, and the model does not take energy dissipation into account. Figure: 2.5 Lumped Mass Model 15
  • 16.
    MODAL AND RESPONSESPECTRUM (IS 1893:2002) ANALYSIS 0F R.C FRAME BUILDING (IT OFFICE, ALMORA) IN SAP 2000 V14 CHAPTER 3 SEISMIC ANALYSIS OF STRUCTURE 16
  • 17.
    MODAL AND RESPONSESPECTRUM (IS 1893:2002) ANALYSIS 0F R.C FRAME BUILDING (IT OFFICE, ALMORA) IN SAP 2000 V14 3.1 INTRODUCTION Seismic Analysis is a subset of structural analysis and is the calculation of the response of a building structure to earthquakes. It is part of the process of structural design, earthquake engineering or structural assessment in regions where earthquakes are prevalent. A building has the potential to ‘wave’ back and forth during an earthquake (or even a severe wind storm). This is called the ‘fundamental mode’, and is the lowest frequency of building response. Most buildings, however, have higher modes of response, which are uniquely activated during earthquakes. 3.2 Methods of Seismic Analysis 3.2.1 Equivalent Static Load Method: This approach defines a series of forces acting on a building to represent the effect of earthquake ground motion, typically defined by a seismic design response spectrum. It assumes that the building responds in its fundamental mode. For this to be true, the building must be low-rise and must not twist significantly when the ground moves. The response is read from a design response spectrum, given the natural frequency of the building. The applicability of this method is extended in many building codes by applying factors to account for higher buildings with some higher modes, and for low levels of twisting. To account for effects due to "yielding" of the structure, many codes apply modification factors that reduce the design forces (e.g. force reduction factors). 3.2.2 Response Spectrum Analysis: 17
  • 18.
    MODAL AND RESPONSESPECTRUM (IS 1893:2002) ANALYSIS 0F R.C FRAME BUILDING (IT OFFICE, ALMORA) IN SAP 2000 V14 This approach permits the multiple modes of response of a building to be taken into account. This is required in many building codes for all except for very simple or very complex structures. The response of a structure can be defined as a combination of many special shapes (modes) that in a vibrating string correspond to the "harmonics". Computer analysis can be used to determine these modes for a structure. For each mode, a response is read from the design spectrum, based on the modal frequency and the modal mass, and they are then combined to provide an estimate of the total response of the structure. In this we have to calculate the magnitude of forces in all directions i.e. X, Y & Z and then see the effects on the building. Combination methods include the following: • Absolute - Peak values are added together • Square Root Sum of Squares (SRSS) • Complete Quadratic Combination (CQC). 3.2.3 Modal Analysis: A modal analysis calculates the frequency modes or natural frequencies of a given system, but not necessarily its full time history response to a given input. The natural frequency of a system is dependent only on the stiffness of the structure and the mass which participates with the structure (including self-weight). It is not dependent on the load function. Modal analysis uses the overall mass and stiffness of a structure to find the various periods at which it will naturally resonate. These periods of vibration are very important to note in earthquake engineering, as it is imperative that a building's natural frequency does not match the frequency of expected earthquakes in the region in which the building is to be constructed. If a structure's natural frequency matches an earthquake's frequency, the structure may continue to resonate and experience structural damage. 18
  • 19.
    MODAL AND RESPONSESPECTRUM (IS 1893:2002) ANALYSIS 0F R.C FRAME BUILDING (IT OFFICE, ALMORA) IN SAP 2000 V14 Fig: 3.1 Mode Shapes 3.3 Factors Affecting Response of Structure 3.3.1 Importance Factor (I): Ensures higher design seismic force for more important structures. Table 3.1 Importance Factor 19 Sl No. Structure Importance Factor 1 Important service and community buildings, such as hospitals; schools; monumental structures; emergency buildings like telephone exchange, television stations, radio stations, railway stations, tire station buildings~ large community halls like cinemas, assembly halls and subway stations, power stations 1.5 2 All other buildings 1.0
  • 20.
    MODAL AND RESPONSESPECTRUM (IS 1893:2002) ANALYSIS 0F R.C FRAME BUILDING (IT OFFICE, ALMORA) IN SAP 2000 V14 3.3.2 Zone Factor (Z): It is a factor to obtain the design spectrum depending on the perceived maximum seismic risk characterized by Maximum Considered Earthquake (MCE) in the zone in which the structure is located. The basic zone factors included in this standard are reasonable estimate of effective peak ground acceleration. Depends on severity of ground motion India is divided into four seismic zones (II to V) Refer Table 2 of IS 1893 (part1):2002 Z = 0.1 for zone II and Z = 0.36 for zone V Zone II This region is liable to MSK VI or less and is classified as the Low Damage Risk Zone. The IS code assigns zone factor of 0.10 (maximum horizontal acceleration that can be experienced by a structure in this zone is 10% of gravitational acceleration) for Zone II. Zone III The Andaman and Nicobar Islands, parts of Kashmir, Western Himalayas fall under this zone. This zone is classified as Moderate Damage Risk Zone which is liable to MSK VII. And also 7.8 The IS code assigns zone factor of 0.16 for Zone III. Zone IV This zone is called the High Damage Risk Zone and covers areas liable to MSK VIII. The IS code assigns zone factor of 0.24 for Zone 4. The Indo-Gangetic basin and the capital of the country (Delhi), Jammu and Kashmir fall in Zone IV. Zone V Zone V covers the areas with the highest risks zone that suffers earthquakes of intensity MSK IX or greater. The IS code assigns zone factor of 0.36 for Zone 5. Structural designers use this factor for earthquake resistant design of structures in Zone 5. The zone factor of 0.36 is indicative of effective (zero periods) peak horizontal ground accelerations of 0.36 g (36% of gravity) that may be generated during MCE level earthquake in this zone. It is referred to as 20
  • 21.
    MODAL AND RESPONSESPECTRUM (IS 1893:2002) ANALYSIS 0F R.C FRAME BUILDING (IT OFFICE, ALMORA) IN SAP 2000 V14 the Very High Damage Risk Zone. The state of Kashmir, western and central Himalayas, North-East Indian region and the Rann of Kutch fall in this zone. Generally, the areas having trap or basaltic rock are prone to earthquakes. 3.3.3 Response Reduction Factor/Ductility(R): It is the factor by which the actual base shears force that would be generated if the structure were to remain elastic during its response to the Design Basis Earthquake (DBE) shaking, shall be reduced to obtain the design lateral force. Earthquake resistant structures are designed for much smaller seismic forces than actual seismic forces that may act on them. 3.3.3.1 Ductility: Ductility of a structure, or its members, is the capacity to undergo large inelastic deformations without significant loss of strength or stiffness. Ductility in concrete is defined by the percentage of steel reinforcement within it. Mild steel is an example of a ductile material that can be bent and twisted without rupture. Member or structural ductility is al so defined as the ratio of absolute maximum deformation to the corresponding yield. This can be defined with respect to strains, rotations, curvature or deflections. Strain based ductility definition depends almost on the material , while rotation or curvature based ductility definition al so includes the effect of shape and size of the cross-sections. Each design code recognizes the importance of ductility in design because if a structure is ductile it ability to absorb energy without critical failure increases. Ductility behavior allows a structure to undergo large plastic deformations with little decrease in strength. Ductility is increased by, • An increase in compression steel content. • An increase in concrete compressive strength. • An increase in ultimate concrete strain. Ductility is decreased by, • An increase in tension steel content. • An increase in steel yield strength. • An increase in axial load. 21
  • 22.
    MODAL AND RESPONSESPECTRUM (IS 1893:2002) ANALYSIS 0F R.C FRAME BUILDING (IT OFFICE, ALMORA) IN SAP 2000 V14 Significance of Ductility If ductile members are used to form a structure, the structure can undergo large deformations before failure. This is beneficial to the users of the structures, as in case of overloading, if the structure is to collapse, it will undergo large deformations before failure and thus provides warning to the occupants. This gives a notice to the occupants and provides sufficient time for taking preventive measures. This will reduce loss of life. Structures are subjected to unexpected overloads, load reversals, impact and structural movements due to foundation settlement and volume changes. These items are generally ignored in the analysis and design. If a structure is ductile than taken care by the presence of some ductility in the structure. The limit state design procedure assumes that all the critical sections in the structure will reach their maximum capacities at design load for the structure. For this to occur, all joints and splices must be able to withstand forces and deformations corresponding to yielding of the reinforcement. 3.3.3.2 Redundancy: The intent of the redundancy coefficient is to encourage the design of more redundant structures, with a greater number of elements provided to resist lateral forces. Introduction of the redundancy coefficient into the building code was a direct reaction of the observation of structures damaged by the Northridge earthquake and the resulting conclusion that economic pressures had led many engineers to design structures with very little redundancy. This was particularly observed to be a problem for certain classes of moment-resisting steel frame and concrete shear wall buildings. 3.3.3.3 Overstrength: Observations during many earthquakes have shown that building structures are able to sustain without damage earthquake forces considerably larger than those they were designed for. This is explained by the presence in such structures of significant reserve strength not accounted for in design. Relying on such overstrength, many seismic codes permit a reduction in design loads. The possible sources of reserve strength are outlined in this paper, and it is reasoned that a more rational basis for design would be to account for such sources in assessing the capacity rather than in reducing the design loads. As an exception, one 22
  • 23.
    MODAL AND RESPONSESPECTRUM (IS 1893:2002) ANALYSIS 0F R.C FRAME BUILDING (IT OFFICE, ALMORA) IN SAP 2000 V14 possible source of reserve strength, the redistribution of internal forces, may be used in scaling down the design forces. This is because such scaling allows the determination of design forces through an elastic analysis rather than through a limit analysis. To assess the extent of reserve strength attributable to redistribution, steel building structures having moment-resisting frames or concentrically braced frames and from 2 to 30 storeys in height are analyzed for their response to lateral loading. A static nonlinear push-over analysis is used in which the gravity loads are held constant while the earthquake forces are gradually increased until a mechanism forms or the specified limit on inter storey drift is exceeded. It is noted that in moment-resisting frames the reserve strength reduces with an increase in the number of storeys as well as in the level of design earthquake forces. Fig: 3.2 Graphs between Total Horizontal Load and Roof Displacement (Δ) A structure with good ductility, redundancy and overstrength is designed for smaller seismic force and has higher value of R. For example, building with SMRF has good ductility and has R = 5.0 as against R = 1.5 for unreinforced masonry building which does not have good ductility. 3.3.4 Structural Response Factors (Sa /g): It is a factor denoting the acceleration response spectrum of the structure subjected to earthquake ground vibrations, and depends on natural period of vibration and damping of the structure.Depends on structural characteristics and soil condition. Structural characteristics include time period and damping. 23
  • 24.
    MODAL AND RESPONSESPECTRUM (IS 1893:2002) ANALYSIS 0F R.C FRAME BUILDING (IT OFFICE, ALMORA) IN SAP 2000 V14 Fig: 3.3 Response Spectra 3.3.5 Foundation: The role of soil-structure interaction (SSI) in the seismic response of structures is re-explored using recorded motions and theoretical considerations. Firstly, the way current seismic provisions treat SSI effects is briefly discussed. The idealized design spectra of the codes along with the increased fundamental period and effective damping due to SSI lead invariably to reduce forces in the structure. Reality, however, often differs from this view. It is shown that, in certain seismic and soil environments, an increase in the fundamental natural period of a moderately flexible structure due to SSI may have a detrimental effect on the imposed seismic demand. Secondly, a widely used structural model for assessing SSI effects on inelastic bridge piers is examined. Using theoretical arguments and rigorous numerical analyses it is shown that indiscriminate use of ductility concepts and geometric relations may lead to erroneous conclusions in the assessment of seismic performance. 3.3.6 Vertical Irregularity: Seismic building codes such as the Uniform Building Code (UBC) do not allow the equivalent lateral force (ELF) procedure to be used for structures with vertical irregularities. The purpose of this study is to investigate the definition of irregular structures for different vertical irregularities: stiffness, strength, mass, and that due to the presence of nonstructural masonry infills. An ensemble of 78 buildings with various interstory stiffness, strength, and mass ratios is considered for a detailed parametric study. The lateral force-resisting systems (LFRS) considered are special moment-resisting frames (SMRF). These LFRS are designed based on the forces obtained from the ELF procedure. The results from linear and nonlinear dynamic analyses of these engineered buildings exhibit that most structures considered in this 24
  • 25.
    MODAL AND RESPONSESPECTRUM (IS 1893:2002) ANALYSIS 0F R.C FRAME BUILDING (IT OFFICE, ALMORA) IN SAP 2000 V14 study performed well when subjected to the design earthquake. Hence, the restrictions on the applicability of the equivalent lateral force procedure are unnecessarily conservative for certain types of vertical irregularities considered. Vertical geometric irregularity shall be considered to exist where the horizontal dimension of the lateral force resisting system in any storey is more than 150 percent of that in its adjacent storey. Vertical Geometric irregularity: Vertical geometric irregularity shall be considered to exist where the horizontal dimension of the lateral force resisting system in any storey is more than 150 percent of that in its adjacent storey. Fig: 3.4(a) Vertical Geometric Irregularity In-Plane Discontinuity in Vertical Elements Resisting Lateral Force: An in plane offset of the lateral force resisting elements greater than the length of those elements. 25
  • 26.
    MODAL AND RESPONSESPECTRUM (IS 1893:2002) ANALYSIS 0F R.C FRAME BUILDING (IT OFFICE, ALMORA) IN SAP 2000 V14 Fig: 3.4(b) In-Plane Discontinuity in Vertical Elements Resisting Lateral Force When b>a Discontinuity in Capacity - Weak Storey: A weak storey is one in which the storey lateral strength is less than 80 percent of that in the storey above. The storey lateral strength is the total strength of all seismic force resisting elements sharing the storey shear in the considered direction. Fig: 3.4(c) Weak Storey 3.3.7 Horizontal Irregularity: Torsional Irregularity: It is defined to exist where the maximum story drift, computed including accidental torsion, at one end of the structure transverse to an axis is more than 1.2 26
  • 27.
    MODAL AND RESPONSESPECTRUM (IS 1893:2002) ANALYSIS 0F R.C FRAME BUILDING (IT OFFICE, ALMORA) IN SAP 2000 V14 times the average of the story drifts at the two ends of the structure. Torsional irregularity requirements in the reference sections apply only to structures in which the diaphragms are rigid or semi rigid. Fig: 3.5(a) Torsional Irregularity Diaphragm Discontinuity Irregularity: It is defined to exist where there are diaphragms with abrupt discontinuities or variations in stiffness, including those having cut out or open areas greater than 50% of the gross enclosed diaphragm area, or changes in effective diaphragm stiffness of more than 50% from one story to the next. Fig: 3.5(b) Diaphragm Discontinuity Irregularity 27
  • 28.
    MODAL AND RESPONSESPECTRUM (IS 1893:2002) ANALYSIS 0F R.C FRAME BUILDING (IT OFFICE, ALMORA) IN SAP 2000 V14 Out-of-Plane Offsets Irregularity: It is defined to exist where there are discontinuities in a lateral force-resistance path, such as out-of-plane offsets of the vertical elements. Fig: 3.5(c) Diaphragm Discontinuity Irregularity 28
  • 29.
    MODAL AND RESPONSESPECTRUM (IS 1893:2002) ANALYSIS 0F R.C FRAME BUILDING (IT OFFICE, ALMORA) IN SAP 2000 V14 CHAPTER 4 MODELING USING SAP 2000 v14 4.1 BUILDING SPECIFICATIONS The building is 4 storeys RC framed with live load of 3 kN/m2 are to be analyzed in Almora. It lies in zone V. It is an office building of the Income Tax Department. The properties of the considered building configurations in the present study are summarized below: 1. Zone : IV 2. Importance of Building : Office Building 3. Number of Stories : Four ( G+3) 29
  • 30.
    MODAL AND RESPONSESPECTRUM (IS 1893:2002) ANALYSIS 0F R.C FRAME BUILDING (IT OFFICE, ALMORA) IN SAP 2000 V14 4. Floor-to-floor height : 3 meter 5. Depth of slab : 150 mm 6. Thickness of external wall : 230 mm 7. Thickness of interior wall : 115 mm 8. Live load (roof) : 3 KN/m2 9. Live load (floor) : 1.5 KN/m2 10. Materials : M25 and Fe500 11. Seismic Analysis : Equivalent Static Load Method as per IS code Density of concrete: 25 KN/m2 Poisson’s Ratio: 0.15 Size of column: C 1- 450mm х 300mm, C-2- 600mmx300mm Size of beams: B 1- 230mm х 450mm, B 2- 230mmx600mm 4.2 GROUND FLOOR PLAN 30
  • 31.
    MODAL AND RESPONSESPECTRUM (IS 1893:2002) ANALYSIS 0F R.C FRAME BUILDING (IT OFFICE, ALMORA) IN SAP 2000 V14 Figure 4.1 Plan of the Income Tax Office Building 4.3 BEAM DETAILS TABLE 4.1: Beam Details BEAM NAME WIDTH(mm) DEPTH(mm) DESIGNATED BY B 101 230 450 B 1 B 102 230 450 B 1 B 103 230 450 B 1 B 105 230 450 B 1 B 106 230 600 B 2 B 109 230 450 B 1 B 110 230 450 B 1 B 111 230 600 B 2 B 113 230 600 B 2 B 115 230 600 B 2 B 116 230 600 B 2 B 117 230 450 B 1 B 118 230 450 B 1 B 119 230 450 B 1 B 120 230 450 B 1 B 121 230 450 B 1 B 122 230 450 B 1 4.4 COLUMN DETAILS Table: 4.2 Column Details 31
  • 32.
    MODAL AND RESPONSESPECTRUM (IS 1893:2002) ANALYSIS 0F R.C FRAME BUILDING (IT OFFICE, ALMORA) IN SAP 2000 V14 COLUMN NO. CROSS SECTION(mm2 ) HEIGHT(m) C 1 450x300 3 C 2 450x300 3 C 3 450x300 3 C 4 600x300 3 C 5 600x300 3 C 6 600x300 3 C 7 600x300 3 4.5 MODELLING WITH SAP 2000 v14: 4.5.1 Begin a New Model In this Step, the basic grid that will serve as a template for developing the model will be defined. Then a material will be defined and sections will be selected. A. Click the File menu > New Model command or the New Model button. The form shown in Figure 1 will display. Verify that the default units are set to KN, m, c. Figure: 4.2 Selection of Grid View to Begin the Model B. Select the Grid only template in order to get the dialog box shown in Figure 2. It should be noted that the defined geometry should accurately represents the major geometrical 32
  • 33.
    MODAL AND RESPONSESPECTRUM (IS 1893:2002) ANALYSIS 0F R.C FRAME BUILDING (IT OFFICE, ALMORA) IN SAP 2000 V14 aspects of the model; hence the number and spacing of the grid lines should be carefully planned. Figure: 4.3 Enter the Required number of Grid Lines and Spacing C. The Quick Grid Lines form is used to specify the grids and spacing in the X, Y, and Z directions. Set the number of grid lines to 8 for both X and Y direction, and to 5 for the Z direction and grid spacing as 10 for X Y and Z axis. D. Click the OK button to accept the changes, and the program will appear as shown in Figure 3. Note that the grids appear in two view windows tiled vertically, an X-Y “Plan” View on the left and a 3-D View on the right. 33
  • 34.
    MODAL AND RESPONSESPECTRUM (IS 1893:2002) ANALYSIS 0F R.C FRAME BUILDING (IT OFFICE, ALMORA) IN SAP 2000 V14 Figure: 4.4 Grid Lines in Plan and 3D E. Click the Define menu > Coordinate Systems/Grids command to display the Coordinate/Grid Systems form. In the Systems area, highlight GLOBAL and then click the Modify/Show System button to display the Define Grid System Data and enter the coordinates for various grid lines in X Y and Z axis. Figure: 4.5 Modifications of the Grid Lines F. Click the OK button twice and a modified grid will now be displayed. This modified grid is shown in Figure 5. 34
  • 35.
    MODAL AND RESPONSESPECTRUM (IS 1893:2002) ANALYSIS 0F R.C FRAME BUILDING (IT OFFICE, ALMORA) IN SAP 2000 V14 Figure: 4.6 Modified Grid Lines 4.5.2 DEFINE MATERIAL A. Click the Define menu > Materials command to display the Define Materials form shown in Figure 6. B. Enter the Material Name as M25 and enter the properties of the material such as Modulus of Elasticity, Poisons Ratio, and Shear Modulus of concrete. 35
  • 36.
    MODAL AND RESPONSESPECTRUM (IS 1893:2002) ANALYSIS 0F R.C FRAME BUILDING (IT OFFICE, ALMORA) IN SAP 2000 V14 Figure: 4.7 Define Material and its Properties 4.5.3 DEFINE FRAME SECTIONS A frame section will be defined for both beams and columns. Frame sections must be defined before they can be assigned to frame objects in the model. A. Click the Define menu > Section Properties > Frame Sections command, which will display the Frame Properties form shown in Figure 7. 36
  • 37.
    MODAL AND RESPONSESPECTRUM (IS 1893:2002) ANALYSIS 0F R.C FRAME BUILDING (IT OFFICE, ALMORA) IN SAP 2000 V14 Figure: 4.8 Define Frame Sections C. Select rectangular cross section for the members. D. Name the beam members as B1 and B2 and the column members as C1 and C2 and their cross sections are defined. This is shown in Figure 9. Figure: 4.9 Define Beams 37
  • 38.
    MODAL AND RESPONSESPECTRUM (IS 1893:2002) ANALYSIS 0F R.C FRAME BUILDING (IT OFFICE, ALMORA) IN SAP 2000 V14 Figure: 4.10 Properties of Frame Members 4.5.4 ASSIGNING OF FRAME ELEMENTS 4.5.4.1 ASSIGNING BEAMS: A. Select Quick draw frame element. B. Select cross section of beams as B1 or B2 and assign the beams. C. Replicate the beams to all the floors. 4.5.4.2 ASSIGNING COLUMNS: A. Set x-z view of the plan. B. Select Quick draw/ Frame element. C. Select cross section of columns as C1 or C2 and assign the columns. D. Replicate the columns to all the floors. 4.5.4.3 ASSIGNING RESTRAINTS TO JOINTS A. Select all the joints at z=0. B. Select ASSIGN> JOINT> RESTRAINTS. 38
  • 39.
    MODAL AND RESPONSESPECTRUM (IS 1893:2002) ANALYSIS 0F R.C FRAME BUILDING (IT OFFICE, ALMORA) IN SAP 2000 V14 C. Dialog box will open; select fixed support as shown in Figure 10. Figure: 4.11 Assign Restraints to Foundation (Fixed Base) 4.6 DEFINE LOAD PATTERNS The loads used in this modeling consist of dead and live load patterns. The dead and live loads act in the gravity direction. Dead load consists of slab load, wall load, floor finishing load and roof treatment. Following is the procedure to define the various load patterns. A. Click the Define menu > Load Patterns command to access the Define Load Patterns form shown in Figure: 11. Note there is only a single default load pattern defined which is a dead load pattern with self-weight (DEAD). [Note that the self-weight multiplier is set to 1 for the default pattern. This indicates that this load pattern will automatically include 1.0 times the self-weight of all members. In SAP2000, both Load Patterns and Load Cases exist, and they may be different. However, the program automatically creates a corresponding load case when a load pattern is defined, and the load cases are available for review at the time the analysis is run.] B. Click in the edit box for the Load Pattern Name column. Type the name of the new pattern, LIVE. Select a Type of load pattern from the drop-down list; in this case, select 39
  • 40.
    MODAL AND RESPONSESPECTRUM (IS 1893:2002) ANALYSIS 0F R.C FRAME BUILDING (IT OFFICE, ALMORA) IN SAP 2000 V14 LIVE. Make sure that the Self Weight Multiplier is set to 0.25. Click the Add New Load Pattern button to add the LIVE load pattern to the load list. C. The Define Load Patterns form should now appear as shown in Figure: 11. Click the OK button in that form to accept the newly defined load patterns. Figure: 4.12 Different load patterns 4.7 ASSIGN LOADS In this step, the dead and live and wind loads will be applied to the model. Make sure that the X-Y Plane @ Z=3 view is still active, and that the program is in the Select mode. A. First select Draw Rectangular Area element and click on each of the panel and then select all the panels. Figure 12 shows the selected panel to which the loads has to be assigned. 40
  • 41.
    MODAL AND RESPONSESPECTRUM (IS 1893:2002) ANALYSIS 0F R.C FRAME BUILDING (IT OFFICE, ALMORA) IN SAP 2000 V14 Figure: 4.13 Selected Panel for Assigning Loads B. Select the Assign menu > Area Loads >Uniform to frame (shell) command to access load from the Load Pattern Name drop-down list as shown in Figure 4.14. Figure: 4.14 Assigning of Area Load pattern C. Select the Slab load from the dropdown list as shown in figure: 14 and set the slab load as 3.75 KN/m2 . Also set the Coordinate system as Global and Direction as Gravity and 41
  • 42.
    MODAL AND RESPONSESPECTRUM (IS 1893:2002) ANALYSIS 0F R.C FRAME BUILDING (IT OFFICE, ALMORA) IN SAP 2000 V14 Distribution as Two Way. The direction is set as gravity because the slab load acts in the direction of gravity. Figure: 4.14 Assigning Area Uniform Load to Frame. D. Similarly repeat the above set of steps for the other load patterns defined such as dead wall load, roof finishing, roof treatment, live loads. E. Replicate command to transfer the above loads on all the floors @ Z=6, 9 and 12. Figure 15 shows the dead wall load on all the floors. 42
  • 43.
    MODAL AND RESPONSESPECTRUM (IS 1893:2002) ANALYSIS 0F R.C FRAME BUILDING (IT OFFICE, ALMORA) IN SAP 2000 V14 Figure: 4.16 Dead Wall Load on the Frame. 4.8 DEFINE LOAD COMBINATIONS A. Select Define> load combination to access the load combinations according to IS CODE. B. Select Add new combination to make a combination. 43
  • 44.
    MODAL AND RESPONSESPECTRUM (IS 1893:2002) ANALYSIS 0F R.C FRAME BUILDING (IT OFFICE, ALMORA) IN SAP 2000 V14 Figure: 4.17 Different Load Combinations C. Select a name for the first combination. D. Four combination according to IS CODE (1893:2002) are:  1.5( DL+LL) = COMB1  1.2( DL+ZL+EL) = COMB2  1.5( DL+EL) = COMB3  0.9DL+ 1.5EL = COMB4 Figure: 4.18 Load Combinations Data E. Similarly for all four combinations modify the load case and scale factor. 44
  • 45.
    MODAL AND RESPONSESPECTRUM (IS 1893:2002) ANALYSIS 0F R.C FRAME BUILDING (IT OFFICE, ALMORA) IN SAP 2000 V14 4.9 DEFINE RESPONSE SPECTRA A response-spectrum function is simply a list of period versus spectral acceleration values. In SAP2000, the acceleration values in the function are assumed to be normalized; that is, the functions themselves are not assumed to have units. Instead, the units are associated with a scale factor that multiplies the function and that is specified when the response-spectrum analysis case is defined. A. Click the Define menu> Functions> Response Spectrum Functions command which will display Define Response Spectrum Functions form (Figure 4.19). B. In the Choose the Function Type to Add area, select Spectrum file from drop down list. C. Click the Add New Function button, which will display Response Spectrum function Definition (Figure 20). 1. In Function Name edit box, type IS 1893 RS HS. Figure: 4.19 Define Response Spectrum Function (IS 1893: 2002) 2. In Function file area click the Browse function in this area and pick the text file that includes the Response-Spectrum data. The path of the selected file will display in File Name display box. Click the View File button to display the selected file in WordPad. 3. Select Period Vs Values option. 45
  • 46.
    MODAL AND RESPONSESPECTRUM (IS 1893:2002) ANALYSIS 0F R.C FRAME BUILDING (IT OFFICE, ALMORA) IN SAP 2000 V14 4. Click the Display Graph option that will display the Response-spectrum graph (Figure 19). 5. Click the Convert to User Defined button which will display the response-spectrum form. Figure: 4.20 Response Spectrum graph 4.9.1 DEFINE EQ-X: A. Click the Define menu> Load Cases command, which will display the Define Load Cases form. B. Click the Add New Case button, which will display Define load Case data form (Figure: 23). C. In Load Case Name Area, Type EQ-X. 46
  • 47.
    MODAL AND RESPONSESPECTRUM (IS 1893:2002) ANALYSIS 0F R.C FRAME BUILDING (IT OFFICE, ALMORA) IN SAP 2000 V14 D. In Load Case Type Area, select Response Spectrum from drop-down list. E. In Modal Combination Area, Select SRSS option. F. In Load applied area 1. In Load Type area, select Accel from drop down list. 2. In Load area, select U1 from dropdown list. 3. In Function area, select IS1893 RS HS from drop down list. 4. In Scale factor edit box, Type 0.3532. Figure: 4.21 Defining EQ-X (before correction) 4.9.2 DEFINE EQ-Y: A. Click the Define menu> Load Cases command, which will display the Define Load Cases form. 47
  • 48.
    MODAL AND RESPONSESPECTRUM (IS 1893:2002) ANALYSIS 0F R.C FRAME BUILDING (IT OFFICE, ALMORA) IN SAP 2000 V14 B. Click the Add New Case button, which will display Define load Case data form (Figure: 4.24). C. In Load Case Name area, Type EQ-Y. D. In Load Case Type area, select Response Spectrum from drop-down list. E. In Modal Combination area, Select SRSS option. F. In Load Applied area 1. In Load Type area, select Accel from drop down list. 2. In Load area, select U1 from dropdown list. 3. In Function area, select IS1893 RS HS from drop down list. 4. In Scale factor edit box, Type 0.3532. 5. Click Add button. 4.10 APPLY CORRECTION FACTOR A. Click the Display Menu > Show Tables command, which will display chose table for display window. B. Check the Structural Output option. C. Click OK button on the choose tables for Display, which will display for Base Reaction and Modal Information. Note Base reaction for DEAD, DEAD SLAB, DEAD WALL, DEAD FF, DEAD RT, LIVE AND LIVE ROOF and compare it with manual load calculation. D. Also note the Base Shear in X direction and in Y direction. E. Evaluate VBx /VB and VBy/VB, where VBx is manually calculated base reaction in X direction and VBy is in Y direction. 48
  • 49.
    MODAL AND RESPONSESPECTRUM (IS 1893:2002) ANALYSIS 0F R.C FRAME BUILDING (IT OFFICE, ALMORA) IN SAP 2000 V14 F. After applying correction type 0.67 for EQ-X load case and type 0.52 for EQ-Y in Scale Factor edit box as shown in figure for EQ-X load case (Figure 4.22) Figure: 4.22 Defining EQ-X (after correction) 4.11 ANALYZE THE MODEL A. Click on Analyze> Run analysis in order to run the analysis. Dialog box shown in Figure: 25 will display. B. Click on Run now to run analysis. 49
  • 50.
    MODAL AND RESPONSESPECTRUM (IS 1893:2002) ANALYSIS 0F R.C FRAME BUILDING (IT OFFICE, ALMORA) IN SAP 2000 V14 Figure: 4.23 Running Analysis 50
  • 51.
    MODAL AND RESPONSESPECTRUM (IS 1893:2002) ANALYSIS 0F R.C FRAME BUILDING (IT OFFICE, ALMORA) IN SAP 2000 V14 51
  • 52.
    MODAL AND RESPONSESPECTRUM (IS 1893:2002) ANALYSIS 0F R.C FRAME BUILDING (IT OFFICE, ALMORA) IN SAP 2000 V14 52
  • 53.
    MODAL AND RESPONSESPECTRUM (IS 1893:2002) ANALYSIS 0F R.C FRAME BUILDING (IT OFFICE, ALMORA) IN SAP 2000 V14 4.12 GRAPHICAL REPRESENTATION OF RESULTS A. Make sure that the X-Y Plane @ Z=0 is active. Click on XZ view button to reset the view to an elevation. B. Click the Show Forces/Stresses> Frames/Cables button or the Display MENU> SHOW FORCES/stresses> Frames/Cables command to bring up the Member Force Diagram For the frame elements (Figure: 23 ) 1. Select DEAD from the Case/Combo Name from drop-down list. 2. Select the Shear 2-2 option. 3. Check the Fill Diagram check box. 53
  • 54.
    MODAL AND RESPONSESPECTRUM (IS 1893:2002) ANALYSIS 0F R.C FRAME BUILDING (IT OFFICE, ALMORA) IN SAP 2000 V14 C. Click on ok button to generate the Shear force diagram shown in Figure 24. Figure: 4.24 Member Force Diagram for Frame form 54
  • 55.
    MODAL AND RESPONSESPECTRUM (IS 1893:2002) ANALYSIS 0F R.C FRAME BUILDING (IT OFFICE, ALMORA) IN SAP 2000 V14 Figure: 4.25 Shear Force Diagram CHAPTER 5 DYNAMIC ANALYSIS AND RESULT COMPARISION 55
  • 56.
    MODAL AND RESPONSESPECTRUM (IS 1893:2002) ANALYSIS 0F R.C FRAME BUILDING (IT OFFICE, ALMORA) IN SAP 2000 V14 5.1 INTRODUCTION: In the study of vibration in engineering, a mode shape describes the expected curvature (or displacement) of a surface vibrating at a particular mode. To determine the vibration of a system, the mode shape is multiplied by a function that varies with time, thus the mode shape always describes the curvature of vibration at all points in time, but the magnitude of the curvature will change. The mode Shape is dependent on the shape of the surface as well as the boundary conditions of that surface. 5.1.1 Mode Shapes: A mode of vibration is characterized by a modal frequency and a mode shape, and is numbered according to the number of half waves in the vibration. For example, if a vibrating beam with both ends pinned displayed a mode shape of half of a sine wave (one peak on the vibrating beam) it would be vibrating in mode 1. If it had a full sine wave (one peak and one valley) it would be vibrating in mode 2. Each mode is entirely independent of all other modes. Thus all modes have different frequencies (with lower modes having lower frequencies) and different mode shapes (with lower modes having greater amplitude). 56
  • 57.
    MODAL AND RESPONSESPECTRUM (IS 1893:2002) ANALYSIS 0F R.C FRAME BUILDING (IT OFFICE, ALMORA) IN SAP 2000 V14 Since the lower modes vibrate with greater amplitude, they cause the most displacement and stress in a structure. Thus they are called fundamental modes. Figure: 5.1 Different Mode Shapes 5.2 Different Mode Shapes in SAP 2000 v14: Mode 1: Time period=0.8394 sec, Frequency=0.92256 / sec PLAN @ Z=3 ELEVATION (XZ VIEW) Figure 5.2: Mode 1 57
  • 58.
    MODAL AND RESPONSESPECTRUM (IS 1893:2002) ANALYSIS 0F R.C FRAME BUILDING (IT OFFICE, ALMORA) IN SAP 2000 V14 Mode 2: Time period =0.91691 sec, frequency=1.09062 / sec PLAN @ Z=3 ELEVATION (XZ VIEW) Figure 5.3: Mode 2 Mode 3: Time period=0.85921 sec, frequency=1.16386 / sec PLAN @ Z=3 ELEVATION (XZ VIEW) Figure 5.4: Mode 3 Mode 4: Time period =0.36358 sec, frequency=2.75039 / sec 58
  • 59.
    MODAL AND RESPONSESPECTRUM (IS 1893:2002) ANALYSIS 0F R.C FRAME BUILDING (IT OFFICE, ALMORA) IN SAP 2000 V14 PLAN @ Z=3 ELEVATION (XZ VIEW) Figure 5.5: Mode 4 Mode 5: Time period =0.30423 sec, frequency=3.28701 / sec PLAN @ Z=3 ELEVATION (XZ VIEW) Figure 5.6: Mode 5 Mode 6: Time period=0.26627 sec, frequency=3.75557 /sec 59
  • 60.
    MODAL AND RESPONSESPECTRUM (IS 1893:2002) ANALYSIS 0F R.C FRAME BUILDING (IT OFFICE, ALMORA) IN SAP 2000 V14 PLAN @ Z=3 ELEVATION (XZ VIEW) Figure 5.7: Mode 6 Mode 7: Time period=0.22245 sec, frequency=4.49541 /sec PLAN @ Z=3 ELEVATION (XZ VIEW) Figure 5.8: Mode 7 Mode 8: Time period=0.18259, frequency=5.47663 60
  • 61.
    MODAL AND RESPONSESPECTRUM (IS 1893:2002) ANALYSIS 0F R.C FRAME BUILDING (IT OFFICE, ALMORA) IN SAP 2000 V14 PLAN @ Z=3 ELEVATION (XZ VIEW) Figure 5.9: Mode 8 Mode 9: Time period =0.16878 sec, frequency=5.92492 /sec. PLAN @ Z=3 ELEVATION (XZ VIEW) Figure 5.10: Mode 9 Mode 10: Time period=0.14562 sec, frequency=6.86736 /sec 61
  • 62.
    MODAL AND RESPONSESPECTRUM (IS 1893:2002) ANALYSIS 0F R.C FRAME BUILDING (IT OFFICE, ALMORA) IN SAP 2000 V14 PLAN @ Z=3 ELEVATION (XZ VIEW) Figure 5.11: Mode 10 Mode 11: Time period=0.13154 sec, frequency=7.60239 /sec PLAN @ Z=3 ELEVATION (XZ VIEW) Figure 5.12: Mode 11 Mode 12: Time period=0.10600 sec, frequency=9.43436 /sec 62
  • 63.
    MODAL AND RESPONSESPECTRUM (IS 1893:2002) ANALYSIS 0F R.C FRAME BUILDING (IT OFFICE, ALMORA) IN SAP 2000 V14 PLAN @ Z=3 ELEVATION (XZ VIEW) Figure 5.13: Mode 12 TABLE 5.1: MODE, TIME PERIOD AND FREQENCY Output Case Step Type Step Num Period Frequency Circ Freq Eigen value Sec Cycle /sec rad/sec rad2/sec2 MODAL Mode 1.000000 1.083936 0.92256 5.7966 33.601 MODAL Mode 2.000000 0.916913 1.0906 6.8525 46.957 MODAL Mode 3.000000 0.859208 1.1639 7.3128 53.476 MODAL Mode 4.000000 0.363585 2.7504 17.281 298.64 MODAL Mode 5.000000 0.304227 3.2870 20.653 426.54 MODAL Mode 6.000000 0.266271 3.7556 23.597 556.82 MODAL Mode 7.000000 0.222449 4.4954 28.246 797.81 MODAL Mode 8.000000 0.182594 5.4766 34.411 1184.1 MODAL Mode 9.000000 0.168779 5.9249 37.227 1385.9 MODAL Mode 10.000000 0.145616 6.8674 43.149 1861.8 MODAL Mode 11.000000 0.131538 7.6024 47.767 2281.7 MODAL Mode 12.000000 0.105996 9.4344 59.278 3513.9 63
  • 64.
    MODAL AND RESPONSESPECTRUM (IS 1893:2002) ANALYSIS 0F R.C FRAME BUILDING (IT OFFICE, ALMORA) IN SAP 2000 V14 5.3 Seismic Analysis of Building: Earthquake motion causes horizontal and vertical ground motion .Vertical ground motion having much smaller magnitude is the most usual .In general; all structures are conventionally designed to carry gravity loads. Most of the area in India is prone to severe shaking by earthquakes. India has witnessed some of the world’s greatest earthquake in recent century. Current seismic codes help to design the structure in such a way that they can withstand the effect of a moderate to strong earthquake shaking. The basic purpose of a seismic code is to avoid loss of life and property. Indian seismic codes give more importance for structural configuration, lateral strength, ductility and seismic weight of structure Earthquake response of system would be affected by different types of foundation systems in addition to variation of ground motion due to various types of soils. Considering the effect in gross manner, the standards gives guideline for arriving at design seismic coefficient based on stiffness of soil .it provides general principal and specifies seismic design lateral forces. The following are the some of the relevant codes to improve the earthquake resistance of different categories of structures: IS13827: 1993 – Indian standard guidelines for improving earthquake resistance of earthen building. 5.4 METHODS OF SEISMIC ANALYSIS 5.4.1 INTRODUCTION Equivalent static method of analysis is a linear static procedure, in which the response of building is assumed as linearly elastic manner. The analysis is carried out as per IS 1893- 2002 (Part 1) A step by step procedure for analysis of the frame by equivalent static lateral force method is as follows: Step 1: Calculation of lumped masses to various floor levels. 64
  • 65.
    MODAL AND RESPONSESPECTRUM (IS 1893:2002) ANALYSIS 0F R.C FRAME BUILDING (IT OFFICE, ALMORA) IN SAP 2000 V14 The earthquake forces shall be calculated for the full dead load plus the percentage of imposed load as given in table 8 of IS 1893 (part 1): 2002. The imposed load on roof is assumed to be zero. The lumped masses of each floor are worked out follows: Roof Mass of infill + mass of column + mass of beams in longitudinal and transverse direction of that floor + mass of slab + imposed load of that floor if possible. • Imposed load on roof not considered. • 50% of imposed load, if imposed load is greater than 3 KN/ Seismic weight of building = seismic weight of all floors The seismic weight of each floor is its full dead plus appropriate of imposed load, as specified in clause 7.3.1 and 7.3.2 of IS 1893 (part 1): 2002. Any weight supported in between stories shall be distributed to the floors above and below in inverse proportion to its distance from the floors. Step 2: Determination of fundamental natural period. The approximate fundamental natural period of vibration ( ), second, of a moment resisting frame building without brick infill panels may be estimated by the empirical expression. Where h is the height of the building in meters. Step 3: Determination of design base shear. Design seismic base shear, 65
  • 66.
    MODAL AND RESPONSESPECTRUM (IS 1893:2002) ANALYSIS 0F R.C FRAME BUILDING (IT OFFICE, ALMORA) IN SAP 2000 V14 Step 4: Vertical distribution of base shear. The design base shear ( ) computed shall be distributed along the height of the building as per the expression, Where, =height of the floor i, measured from base, and n=Number of stories Determine the design base shear for a R.C. frame (I.T. office, Almora) building. The given data are as shown below: 66
  • 67.
    MODAL AND RESPONSESPECTRUM (IS 1893:2002) ANALYSIS 0F R.C FRAME BUILDING (IT OFFICE, ALMORA) IN SAP 2000 V14 Figure: 5.14 Plan Data: 12. Type of structure : Multi Storey SMRF frame 13. Zone : IV 14. Importance of Building : Office Building 15. Number of Stories : Four ( G+3) 16. Floor-to-floor height : 3 meter 17. Depth of slab : 150 mm 18. Thickness of external wall : 230 mm 19. Thickness of interior wall : 115 mm 20. Live load (roof) : 3 KN/m2 21. Live load (floor) : 1.5 KN/m2 22. Materials : M25 and Fe500 23. Seismic Analysis : Equivalent Static Load Method as per IS code 67
  • 68.
    MODAL AND RESPONSESPECTRUM (IS 1893:2002) ANALYSIS 0F R.C FRAME BUILDING (IT OFFICE, ALMORA) IN SAP 2000 V14 5.4.2 CALCULATIONS STEP 1: Calculation of natural fundamental period (Ta) = = 0.2356 sec STEP 2: Calculation of Design Horizontal Seismic Coefficient The following expression is used to determine Ah: = 0.06 STEP 3: Calculation of Seismic weight of the building (W) Dead-Slab a) Load due to dead slab on 1st floor = (21x12.5x3.75)+(8.5x4.9x3.75) = 1140.56 KN b) Load due to dead slab on 2nd floor = (21x12.5x3.75)+(2.5x4.9x3.75) = 1030.31 KN c) Load due to dead slab on 3rd floor = (21x12.5x3.75)+(2.5x4.9x3.75) = 1030.31 KN d) Load due to dead slab on 4th floor = (21x12.5x3.75)+(2.5x4.9x3.75) = 1030.31 KN Floor finish load (Dead FF) a) Load due to Dead FF on 1st floor = (21x12.5x1)+(8.5x4.9x1) = 304.15 KN b) Load due to Dead FF on 2nd floor = (21x12.5x1)+(2.5x4.9x1) = 274.75 KN 68
  • 69.
    MODAL AND RESPONSESPECTRUM (IS 1893:2002) ANALYSIS 0F R.C FRAME BUILDING (IT OFFICE, ALMORA) IN SAP 2000 V14 c) Load due to Dead FF on 3rd floor = (21x12.5x1)+(2.5x4.9x1) = 274.75 KN d) Load due to Dead FF on 4th floor = (21x12.5x1)+(2.5x4.9x1) = 274.75 KN Roof Treatment (Dead RT) a) Load due to Dead RT on roof = (21x12.5x1.5)+(2.5x4.9x1.5) = 412.13 KN Total load due to slab: 5772.02 KN Load due to dead wall (exterior) a) Due to exterior wall on 1st floor= (21x15.2)+(12.5x15.2)+(3x8.5x15.2)+(7.6x15.2)+(4.9x15.2)+(12.5x15.2) = 1276.72 KN b) Due to exterior wall on 2nd floor= 319.2+190+129.2+(2.5x15.2)+(4.9x15.2)+(2.5x15.2)+115.52+190 = 1094.4 KN c) Due to exterior wall on 3rd floor= 319.2+190+129.2+(2.5x15.2)+(4.9x15.2)+(2.5x15.2)+115.52+190 = 1094.4 KN d) Due to exterior wall on 4th floor= 319.2+190+129.2+(2.5x15.2)+(4.9x15.2)+(2.5x15.2)+115.52+190 = 1094.4 KN Load due to dead wall (interior) a) Due to interior wall on 1st floor = (21.76x7.6) + (21.76x7.6) + 4 (12.5x7.6) +2 (2.6x7.6) + (3.4x7.6) + (4.9x7.6) =797.24 b) Due to interior wall on 2nd floor = (21.76x7.6) + (21.76x7.6) + 4 (12.5x7.6) + 2 (2.6x7.6) + (3.4x7.6) + (4.9x7.6) 69
  • 70.
    MODAL AND RESPONSESPECTRUM (IS 1893:2002) ANALYSIS 0F R.C FRAME BUILDING (IT OFFICE, ALMORA) IN SAP 2000 V14 =797.24 c) Due to interior wall on 3rd floor = (21.76x7.6) + (21.76x7.6) + 4 (12.5x7.6) + 2 (2.6x7.6)+(3.4x7.6)+(4.9x7.6) =797.24 d) Due to interior wall on 4th floor = (21.76x7.6) + (21.76x7.6) + 4 (12.5x7.6) +2 (2.6x7.6) + (3.4x7.6) + (4.9x7.6) =797.24 Total load due to dead wall (exterior + interior): 4559.92+3188.96=7748.88 KN Total Dead load on Frame Members = Total load due to slab + Total load due to dead wall (exterior + interior) = 7748.88 KN + 5772.02 KN = 13520.9 KN Live Load a) Load due to live floor on 1st floor = (21x12.5x3)+(8.5x4.9x3) = 912.45 KN b) Load due to live floor on 2nd floor = (21x12.5x3)+(2.5x4.9x3) = 824.25 KN c) Load due to live floor on 3rd floor = (21x12.5x3)+(2.5x4.9x3) = 824.25 KN d) Load due to live roof = (21x12.5x1.5)+(2.5x4.9x1.5) = 412.13 KN Total live load = 2973.08 KN Total Seismic Weight on Frame Elements = Total load due to slab+ Total load due to dead wall (exterior + interior)+Total live load = (5772.02+7748.88+2973.08) KN = 16493.98 KN STEP 4: Total Base Shear in X Direction (VBX) = AhW 70
  • 71.
    MODAL AND RESPONSESPECTRUM (IS 1893:2002) ANALYSIS 0F R.C FRAME BUILDING (IT OFFICE, ALMORA) IN SAP 2000 V14 = 0.06 x 16493.98 = 989.6 KN Total Base Shear in Y Direction (VBY) = AhW = 0.06 x 16493.98 = 989.6 KN 5.5 Response Spectrum Analysis Response spectrum method For earthquake resistant design the entire time history of response may not be required. Instead earthquake resistant design may be based on the maximum value of response of a structure to a particular base motion. The response will depend on the mass, stiffness and damping characteristics of the structure and on the characteristics of the base motion. In the response spectrum method the peak response of a structure during an earthquake is obtained directly from the earthquake response spectrum or design spectrum. This procedure is quite accurate for structural design applications. In this approach multiple modes of response of a building to an earthquake is taken into account. For each mode, a response is read from the design spectrum, based on modal frequency and the modal mass. The responses of different modes are combined to provide an estimate of total response of the structure using modal combination methods such as complete quadratic combinations (CQC), square root of sum of squares (SRSS), or absolute sum (ABS) method. Response Spectrum Method of analysis should be performed using the design spectrum specified in IS Code – 1893:2000 or by a site specific design spectrum, which is specifically prepared for a structure at a particular project site. Frame without considering the stiffness of infills. 5.5.1 PROCEDURE A step by step procedure for analysis of the frame by response spectrum method is as follows: Step 1: Determination of Eigen values and Eigen vectors Mass matrices, M and stiffness, K of the plain frame mass model are, 71
  • 72.
    MODAL AND RESPONSESPECTRUM (IS 1893:2002) ANALYSIS 0F R.C FRAME BUILDING (IT OFFICE, ALMORA) IN SAP 2000 V14 M= Column stiffness of storey, K=12EI/ Total lateral stiffness of each structure, Stiffness of lumped mass modeled structure, K= For the above stiffness and mass matrices, Eigen values and eigenvector are worked out as follows: Taking By solving the above equation, natural frequencies (Eigen values) of various modes are Eigen values : 72
  • 73.
    MODAL AND RESPONSESPECTRUM (IS 1893:2002) ANALYSIS 0F R.C FRAME BUILDING (IT OFFICE, ALMORA) IN SAP 2000 V14 The quantity of , is called the Eigen values of the matrix each natural frequency ( ) of the system has a corresponding eigenvector (mode shape), which is denoted by . Solving the above equation, modal vector (eigenvector), mode shapes and natural periods under different modes are Eigenvector Now calculate natural time period T in sec. Step 2: Determination of modal participation factors: The modal participation factor ( ) of mode k is, Step 3: Determination of modal mass: The modal mass ( ) of mode k is given by, Where g=acceleration due to gravity, =mode shape coefficient at floor i in mode k, and =seismic weight of floor i, 73
  • 74.
    MODAL AND RESPONSESPECTRUM (IS 1893:2002) ANALYSIS 0F R.C FRAME BUILDING (IT OFFICE, ALMORA) IN SAP 2000 V14 Modal contribution of various modes. Step 4: Determination of lateral force at each floor in each mode: The design lateral force ( ) at floor i in mode k is given by, where, =design horizontal acceleration spectrum value as per clause 6.4.2 of IS 1893 (part 1): 2002 using the natural period of vibration ( of mode k. The design horizontal seismic coefficient for various modes are, The average response acceleration coefficient for rock sites as per IS 1893 (part 1): 2002 is calculated as follows: For rocky, or hard soil sites Step 5: Determination of storey shear forces in each mode: The peak shear force is given by, Step 6: Determination of storey shear force due to all modes: 74
  • 75.
    MODAL AND RESPONSESPECTRUM (IS 1893:2002) ANALYSIS 0F R.C FRAME BUILDING (IT OFFICE, ALMORA) IN SAP 2000 V14 The peak shear force ( ) in storey i due to all modes considered is obtained by combining those due to each mode in accordance with modal combination i.e. SRSS (square root of sum of squares) or CQC (complete quadratic combination) methods. Square root of sum of squares (SRSS) If the building does not have closely spaced modes, the peak response quantity ( ) due to all modes considered shall be obtained as, where, =absolute value of quantity in mode ‘k’, and r is the number of modes being considered. Complete quadratic combination (CQC) where, r= Number of modes being considered, =Cross modal coefficient, =Response quantity in mode i (including sign), =Response quantity in mode j (including sign) 75
  • 76.
    MODAL AND RESPONSESPECTRUM (IS 1893:2002) ANALYSIS 0F R.C FRAME BUILDING (IT OFFICE, ALMORA) IN SAP 2000 V14 where, =Modal damping ratio (in fraction), =Frequency ratio , =Circular frequency in mode, and =Circular frequency in mode. There for all the frequency ratios and cross modal components can be represented in matrix form as, = The above quadratic combination i.e. can also be written in matrix form as, 76
  • 77.
    MODAL AND RESPONSESPECTRUM (IS 1893:2002) ANALYSIS 0F R.C FRAME BUILDING (IT OFFICE, ALMORA) IN SAP 2000 V14 Here the terms or represent the response of different modes of a certain storey level. Now calculate the storey shear for every mode. Step 7: Determination of lateral forces at each storey: The design lateral forces , at roof and at floor, are calculated as, And = Frame considering the stiffness of infill. The frame considering in previous section is again analyzed by considering the stiffness of infill walls. The infill is modeled as equivalent diagonal strut. The mass matrix [M] for the lumped plane frame model is, Column stiffness of storey K=12EI/ Stiffness of infill is determined by modeling the infill as an equivalent diagonal strut, in which, Width of strut 77
  • 78.
    MODAL AND RESPONSESPECTRUM (IS 1893:2002) ANALYSIS 0F R.C FRAME BUILDING (IT OFFICE, ALMORA) IN SAP 2000 V14 And are given as, , , where, = Elastic modulus of frame material = moment of inertia of column = moment of inertia of beam W= A = Cross sectional area of diagonal stiffness= W*t = diagonal length of strut = Therefore, stiffness of infill is Stiffness matrix [k] of lumped mass model is, K= 78
  • 79.
    MODAL AND RESPONSESPECTRUM (IS 1893:2002) ANALYSIS 0F R.C FRAME BUILDING (IT OFFICE, ALMORA) IN SAP 2000 V14 For the above stiffness mass matrices, Eigen values and eigenvectors are, Taking Calculate Eigen values Calculate Eigen vector Calculate natural frequency in various modes Calculate natural time period T Calculate modal participation factor Calculate model mass Modal contribution of various modes is Now design lateral forces at each floor in each mode The design lateral forces ( ) at floor i in each k is given by, The design horizontal seismic coefficient for various modes are, 79
  • 80.
    MODAL AND RESPONSESPECTRUM (IS 1893:2002) ANALYSIS 0F R.C FRAME BUILDING (IT OFFICE, ALMORA) IN SAP 2000 V14 The average response acceleration coefficient for rock sites as per IS 1893 (part 1): 2002 is calculated as follows: For rocky, or hard soil sites Storey shear forces in each mode The peak shear force is given by, 5.6 ANALYSIS IN SAP 2000 v14: In SAP2000, the acceleration values in the function are assumed to be normalized; that is, the functions themselves are not assumed to have units. Instead, the units are associated with a scale factor that multiplies the function and that is specified when the response-spectrum analysis case is defined. 5.6.1 DEFINING EQ-X: A. Click the Define menu> Load Cases command, which will display the Define Load Cases form. B. Click the Add New Case button, which will display Define load Case data form. C. In Load Case Name Area, Type EQ-X. D. In Load Case Type Area, select Response Spectrum from drop-down list. E. In Modal Combination Area, Select SRSS option. 80
  • 81.
    MODAL AND RESPONSESPECTRUM (IS 1893:2002) ANALYSIS 0F R.C FRAME BUILDING (IT OFFICE, ALMORA) IN SAP 2000 V14 F. In Load applied area 1. In Load Type area, select Accel from drop down list. 2. In Load area, select U1 from dropdown list. 3. In Function area, select IS1893 RS HS from drop down list. 4. In Scale factor edit box, Type 0.2354. 5. Click Add button. Figure: 5.15 Defining EQ-X (before correction) 5.6.2 DEFINING EQ-Y: A. Click the Define menu> Load Cases command, which will display the Define Load Cases form. 81
  • 82.
    MODAL AND RESPONSESPECTRUM (IS 1893:2002) ANALYSIS 0F R.C FRAME BUILDING (IT OFFICE, ALMORA) IN SAP 2000 V14 B. Click the Add New Case button, which will display Define load Case data form (Figure: 24). C. In Load Case Name area, Type EQ-Y. D. In Load Case Type area, select Response Spectrum from drop-down list. E. In Modal Combination area, Select SRSS option. F. In Load Applied area 6. In Load Type area, select Accel from drop down list. 7. In Load area, select U1 from dropdown list. 8. In Function area, select IS1893 RS HS from drop down list. 9. In Scale factor edit box, Type 0.2354. 10. Click Add button. 5.6.3 Base Shear before correction Table 5.2: Base Reactions before Correction Output Case Case Type Step Type Global FX Global FY Global FZ Global MX Global MY Global MZ KN KN KN KN-m KN-m KN-m EQ X Linear Response Spectra Max 585.507 16.563 0.771 91.8241 4661.302 1 7226.038 0 EQ Y Linear Response Spectra Max 16.563 753.840 2.725 6214.396 0 85.3625 5291.914 0 5.6.4 Application of Correction Factor A. Click the Display Menu > Show Tables command, which will display chose table for display window. 82
  • 83.
    MODAL AND RESPONSESPECTRUM (IS 1893:2002) ANALYSIS 0F R.C FRAME BUILDING (IT OFFICE, ALMORA) IN SAP 2000 V14 B. Check the Structural Output option. C. Click OK button on the choose tables for Display, which will display for Base Reaction and Modal Information. D. Note Base reaction for DEAD, DEAD SLAB, DEAD WALL, DEAD FF, DEAD RT, LIVE AND LIVE ROOF and compare it with manual load calculation. E. Also note the Base Shear in X direction and in Y direction. F. Evaluate = 1.69 and = 1.31 , where manually calculated base reaction in X direction and Vby is in Y direction. G. Evaluate x = = 0.40 H. Evaluate x = x = 0.31 I. After applying correction type 0.40 for EQ-X load case and type 0.31 for EQ-Y in Scale Factor edit box as shown in figure for EQ-X load case. 83
  • 84.
    MODAL AND RESPONSESPECTRUM (IS 1893:2002) ANALYSIS 0F R.C FRAME BUILDING (IT OFFICE, ALMORA) IN SAP 2000 V14 Figure: 5.16 Defining EQ-X (after correction) 5.6.5Base Reactions after Correction: Table 5.2: Base Reactions after Correction Output Case Case Type Step Type Global FX Global FY Global FZ Global MX Global MY Global MZ KN KN KN KN-m KN-m KN-m EQ X Linear Response Spectrum Max 994.914 28.145 1.309 156.0308 7920.649 12278.73 EQ Y Linear Response Spectrum Max 21.812 992.738 3.588 8183.784 112.4145 6968.960 84
  • 85.
    MODAL AND RESPONSESPECTRUM (IS 1893:2002) ANALYSIS 0F R.C FRAME BUILDING (IT OFFICE, ALMORA) IN SAP 2000 V14 5.7 Results Dynamic analysis has been carried out on the building by using two methods, i.e., Equivalent Static Lateral Load Method and Response Spectrum Method as per suggested by the Indian Standard Seismic Code (IS 1893: 2002) located in seismic zone IV in Almora, Uttarakhand Himalayas. The result shows the differences in the Seismic Base Shear obtained by both the methods and that is incorporated in terms of base shear correction factor in the analysis. The base shear obtained by Equivalent Static Lateral Load method are on the higher side by 63% in X direction and 31% in Y direction as compare to the Response Spectrum Method. So, to extract the correct results by dynamic analysis, i.e., Forces and Stresses, it is required to apply the correction in both the direction (X & Y) by applying correction factor 1.63 and 1.31 in X and Y components of dynamic analysis respectively as suggested by the Indian Seismic Code, IS 1893: 2002. REFERENCES 1. IS 1893 (Part 1): (2002), “Criteria for Earthquake Resistant Design of Structures Part 1 General Provisions and Buildings”, Bureau of Indian Standards. 2. P. Aggarwal and Manish Srikhande, “Earthquake Resistant Design of Structures”, PHI Publication 2010. 3. Prabhat Kumar, Ashwini Kumar, Amita Sinwahl “Assessment of Seismic Hazard in Uttarakhand Himalaya” Department of Earthquake Engineering, IIT Roorkee. 4. S.R. Damodarsamy and S. Kavita “Basics of Structural Dynamics and asesimic Design”, PHI publications 2012. 85
  • 86.
    MODAL AND RESPONSESPECTRUM (IS 1893:2002) ANALYSIS 0F R.C FRAME BUILDING (IT OFFICE, ALMORA) IN SAP 2000 V14 5. CSI Computers and Structures INC. “Introductory Tutorial for Sap 2000: Linear and Nonlinear Static and Dynamic Analysis and Design of Three-Dimensional Structures” 2011. 6. CSI (2009). “SAP 2000: Static and Dynamic Finite Element Analysis of Structures” Nonlinear Version 14, Computers and Structures. 86