METABOLISM OF SYNTHETIC
PYRETHROIDS
Kishor Pujar
First Ph.D.
PALB 9014
Agricultural Entomology
University of Agricultural Sciences Bangalore
Introduction
Many developed in 1970’s and 80’s by Bayer AG Co.
 Derived from Pyrethrins; natural compounds produced by chrysanthemum flowers
(C. cinerariaefolium and C. cineum)
 Pyrethrins will paralyze insect; animal will recover (enzyme detoxification)
 Pyrethroids are synthetic esters derived from pyrethrins; engineered for insect death,
“knockdown” effect
 Synthetic modifications (addition of synergists) make these compounds more toxic to
organisms, less degradable in environment
Pyrethroid Structures
Pyrethrins are esters of chrysanthemic (I) or pyrethric (II) acid; have been synthetically
modified into complex mixture of isomers
Type 1 and 2 pyrethroids
Very lipophilic, low water solubility
Structure of compound (I or II) has different effects and associated poisoning symptoms
Isomerism around the cyclopropane ring greatly influences toxicity
Half life
Half life for pyrethroids in aquatic medium has been reported between 19 hours
(permethrin in pond water, Rawn et al., 1982) to 13.5 weeks (Fenpropathrin in distilled
water, Takahashi et al., 1985)
Most pyrethroid half lives in water range from 1-2 days
Its speciation varies greatly with compound’s structure, exposure to sunlight, and pH,
temperature, and salinity of water medium
Mode of Entry into Organisms
Since pyrethroids are highly lipophilic, will readily be absorbed through the gills of aquatic
animals
In mammals, toxicity occurs when ingested, not readily absorbed through skin
Mode of Action
Most pyrethroids stimulate protein kinase C-dependant protein phosphorylation (channel activity
modulated by phosphorylation state)
Antagonism of GABA-mediated inhibition (seizures)
Enhancement of noradrenalin release
Direct actions on calcium or chloride ion channels (type II only)
Type II pyrethroids produce a more complex poisoning syndrome and act on wider range of
tissues
Metabolism
Steps
Biological activity destroyed by Ester Hydrolysis, major route, creates oxidative metabolites
Oxidative reactions catalyzed by cytochrome P450 (CYP) enzymes in all animals (CYP6 family
important for insects)
1- Ester cleavage
2- Oxidation
3- Oxidation
Metabolism is typically a two stage process
Phase I – Primary
Phase II – Secondary Xenobiotics
Oxidation, Hydrolysis,Reduction Primary
Primary Products
Secondary Products
Secondary
Conjugation with sugars, amino
acids, Glutathione, phosphate,
sulphate etc.
Excretion
Accumulated as
residues
Toxicity causes
death
SP *
SP *
Cytochrome P450 (CYPs)
Co- factor component in Electron transport chain
Can metabolize a large number of substrates
Exist in numerous different isoforms
They have several functional roles, in the metabolism of xenobiotics.
Dehydrogenase enzymes
Alcohol & Aldehyde dehydrogenases
Generally used for the oxidation of aldehyde & alcohol
ALCOHOL
ALDEHYDE
CARBOXYLIC ACID
Metabolism of Pyrethrin
 For many years, it is said that the detoxification is by hydrolyzing the ester linkage and
splitting the molecule into acids and alcohols.
 Methylene - di - oxyphenyl type synergist – inhibit oxidative metabolism.
 The major metabolic pathway – oxidation of MFO’s system of trans- methyl isobutenyl
group to the hydroxymethyl metabolite.
The initial oxidation step is sensitive to inhibition by synergists. Then it is conjugated and
excreted and further oxidized to aldehyde  acid form.
(Yamamoto and Cassida 1966)
In Mammals and Birds
Pyrethroids show lower toxicity when compared to other pesticides.
More than 90% of pyrethroids being excreted as metabolites in urine within 24
hours after exposure.
Rapid metabolism in the blood and liver.
Although extensively used, there are relatively few reports of human &
domestic animal
In Insects
Metabolic pathway include oxidation at one or more sites in the
molecule along with ester hydrolysis followed by secondary oxidation,
to yield a large number of polar and non polar metabolites
In soil
Pyrethroids strongly bind to soil and are rapidly degraded to CO2 in
moist soil types under both aerobic and anaerobic conditions
In Plants
In field – rapid degradation,
Green house- half-life 1-6 weeks.
Ester cleavage - Photo induced reactions.
Metabolites + sugars or amino acids.
Pyrethroids are not translocated inside the plant system.
Aerobic condition , the metabolite converts into
 CO2 - rapid degradation takes place
Allethrin
 Allethrin metabolized in housefly Mixed Function Oxidase system by attack at the trans
(major site) and cis trans (minor site) methyl groups of the iso butenyl side chain in the
acid forming in succession, the corresponding hydroxymethyl, aldehyde, and acid
compounds.
 No hydrolysis or attack on the alcoholic part of the ester is detected, but there are trace
amount of unidentified metabolites.
Piperonyl butoxide inhibits hydroxylation of the methyl groups by the MFO system.
Living house fly conjugate and excrete the hydroxy methyl compounds, probably a
glucosides .
Pyrethrin I ,phthalthrin and dimethrin are similarly metabolized in vitro and in vivo by
oxidation of trans methyl group.
Cyclo –propanoid pyrethroids
Permethrin, cypermethrin, decamethrin
Permethrin
 Ester cleavage gives cis and trans isomers of Dichloro
vinylchrysanthemic(DV) acid and m-phenoxybenzyl alchohol.
 cis permethrin is an active isomer first changes to trans permethrin and
finally gives the cleavage products as cis trans mixtures DV acids.
Cypermethrin and Decamethrin
 Same as permethrin, however the 3-phenoxybenzyl group in these
compounds acts as UV filter and imparts additional degree of
stability to them.
 Instead of dimeric products it will give methyl-m-phenoxy
benzoate and dibromochrysanthemic acid.
Step 3: Oxidation
Step 2: Oxidation
Step 4: Excretion
Step1: Ester cleavage
Metabolism of Permethrin
In rats, trans- isomer(susceptible to esterase attack) is metabolized and
eliminated faster than cis- isomer.
Major route – Ester cleavage, and oxidase attack as well as hydroxylation of
terminal aromatic ring
In Mammals (Metabolism of permethrin)
Step1: Ester cleavage
Hydrolytic oxidation at
aromatic ring
Step2: Oxidation
Step3: Oxidation
Deltamethrin:
When photolyzed (>290 nm) in
various solvents ,
cis-trans isomerization and ester
cleavage reactions.
The cis-trans isomerization is the
major reaction on glass or silica gel.
Pyrethroids undergo complex
reaction mechanisms and products.
Photoreaction
Photodegradation of deltamethrin
Chemical compound Major metabolite Short form
1 Most of pyrethroids 3-phenoxybenzoic acid 3PBA
2 Fluorine-substituted
pyrethroid insecticides
4fluoro-3-
phenoxybenzoic acid
4F3PBA
3 Cypermethrin and
cyfluthrin
cis- and trans-(2,2-
dichlorovinyl)-3,3
dimethylcyclopropane-
l-carboxylic acid
Cis- and trans-DCCA
4 Deltamethrin Cis(2,2-dibromovinyl)-
3,3-
dimethylcyclopropane-
l-carboxylic acid)
DBCA
Chemical Half –life period Metabolite change
to
Permethrin 5-55 days Carbon – di - oxide
Cypermethrin 1- 10 weeks Carbon – di –
oxide
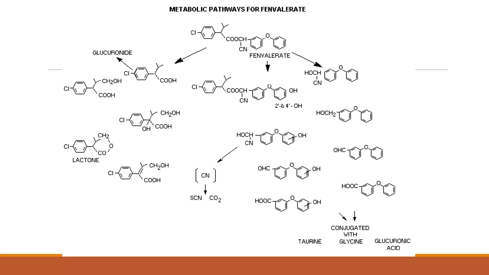
Fenvalerate 2 – 14 weeks Carbon – di - oxide
Immobile in soils( due to lipophilic in nature)
Will not translocate to any other part of the plant
Decarboxylation Dechlorinization- Dimerization
Fenvalerate
Fluvalinate Flucythrinate
⅄- cyhalothrin
References
 N.K.Roy (2002).Chemistry of pesticides. CBS publishers: New Delhi.
 Junshi Miyamoto (1976). Degradation, Metabolism and Toxicity of Synthetic
Pyrethroids. Environmental Health Perspectives Vol. 14, pp. 15-28.
 Pornpimol Rongnoparut, Sirikun Pethuan, Songklod Sarapusit and Panida
Lertkiatmongkol . Metabolism of Pyrethroids by Mosquito Cytochrome P450
Enzymes: Impact on Vector Control .
Thank you

Metabolism of synthetic pyrethroids

  • 1.
    METABOLISM OF SYNTHETIC PYRETHROIDS KishorPujar First Ph.D. PALB 9014 Agricultural Entomology University of Agricultural Sciences Bangalore
  • 2.
    Introduction Many developed in1970’s and 80’s by Bayer AG Co.  Derived from Pyrethrins; natural compounds produced by chrysanthemum flowers (C. cinerariaefolium and C. cineum)  Pyrethrins will paralyze insect; animal will recover (enzyme detoxification)  Pyrethroids are synthetic esters derived from pyrethrins; engineered for insect death, “knockdown” effect  Synthetic modifications (addition of synergists) make these compounds more toxic to organisms, less degradable in environment
  • 3.
    Pyrethroid Structures Pyrethrins areesters of chrysanthemic (I) or pyrethric (II) acid; have been synthetically modified into complex mixture of isomers Type 1 and 2 pyrethroids Very lipophilic, low water solubility Structure of compound (I or II) has different effects and associated poisoning symptoms Isomerism around the cyclopropane ring greatly influences toxicity
  • 6.
    Half life Half lifefor pyrethroids in aquatic medium has been reported between 19 hours (permethrin in pond water, Rawn et al., 1982) to 13.5 weeks (Fenpropathrin in distilled water, Takahashi et al., 1985) Most pyrethroid half lives in water range from 1-2 days Its speciation varies greatly with compound’s structure, exposure to sunlight, and pH, temperature, and salinity of water medium
  • 7.
    Mode of Entryinto Organisms Since pyrethroids are highly lipophilic, will readily be absorbed through the gills of aquatic animals In mammals, toxicity occurs when ingested, not readily absorbed through skin Mode of Action Most pyrethroids stimulate protein kinase C-dependant protein phosphorylation (channel activity modulated by phosphorylation state) Antagonism of GABA-mediated inhibition (seizures) Enhancement of noradrenalin release Direct actions on calcium or chloride ion channels (type II only) Type II pyrethroids produce a more complex poisoning syndrome and act on wider range of tissues
  • 8.
    Metabolism Steps Biological activity destroyedby Ester Hydrolysis, major route, creates oxidative metabolites Oxidative reactions catalyzed by cytochrome P450 (CYP) enzymes in all animals (CYP6 family important for insects) 1- Ester cleavage 2- Oxidation 3- Oxidation
  • 9.
    Metabolism is typicallya two stage process Phase I – Primary Phase II – Secondary Xenobiotics Oxidation, Hydrolysis,Reduction Primary Primary Products Secondary Products Secondary Conjugation with sugars, amino acids, Glutathione, phosphate, sulphate etc. Excretion Accumulated as residues Toxicity causes death SP * SP *
  • 11.
    Cytochrome P450 (CYPs) Co-factor component in Electron transport chain Can metabolize a large number of substrates Exist in numerous different isoforms They have several functional roles, in the metabolism of xenobiotics.
  • 12.
    Dehydrogenase enzymes Alcohol &Aldehyde dehydrogenases Generally used for the oxidation of aldehyde & alcohol ALCOHOL ALDEHYDE CARBOXYLIC ACID
  • 13.
    Metabolism of Pyrethrin For many years, it is said that the detoxification is by hydrolyzing the ester linkage and splitting the molecule into acids and alcohols.  Methylene - di - oxyphenyl type synergist – inhibit oxidative metabolism.  The major metabolic pathway – oxidation of MFO’s system of trans- methyl isobutenyl group to the hydroxymethyl metabolite. The initial oxidation step is sensitive to inhibition by synergists. Then it is conjugated and excreted and further oxidized to aldehyde  acid form. (Yamamoto and Cassida 1966)
  • 14.
    In Mammals andBirds Pyrethroids show lower toxicity when compared to other pesticides. More than 90% of pyrethroids being excreted as metabolites in urine within 24 hours after exposure. Rapid metabolism in the blood and liver. Although extensively used, there are relatively few reports of human & domestic animal
  • 15.
    In Insects Metabolic pathwayinclude oxidation at one or more sites in the molecule along with ester hydrolysis followed by secondary oxidation, to yield a large number of polar and non polar metabolites In soil Pyrethroids strongly bind to soil and are rapidly degraded to CO2 in moist soil types under both aerobic and anaerobic conditions
  • 16.
    In Plants In field– rapid degradation, Green house- half-life 1-6 weeks. Ester cleavage - Photo induced reactions. Metabolites + sugars or amino acids. Pyrethroids are not translocated inside the plant system. Aerobic condition , the metabolite converts into  CO2 - rapid degradation takes place
  • 17.
    Allethrin  Allethrin metabolizedin housefly Mixed Function Oxidase system by attack at the trans (major site) and cis trans (minor site) methyl groups of the iso butenyl side chain in the acid forming in succession, the corresponding hydroxymethyl, aldehyde, and acid compounds.  No hydrolysis or attack on the alcoholic part of the ester is detected, but there are trace amount of unidentified metabolites. Piperonyl butoxide inhibits hydroxylation of the methyl groups by the MFO system. Living house fly conjugate and excrete the hydroxy methyl compounds, probably a glucosides . Pyrethrin I ,phthalthrin and dimethrin are similarly metabolized in vitro and in vivo by oxidation of trans methyl group.
  • 18.
    Cyclo –propanoid pyrethroids Permethrin,cypermethrin, decamethrin Permethrin  Ester cleavage gives cis and trans isomers of Dichloro vinylchrysanthemic(DV) acid and m-phenoxybenzyl alchohol.  cis permethrin is an active isomer first changes to trans permethrin and finally gives the cleavage products as cis trans mixtures DV acids.
  • 19.
    Cypermethrin and Decamethrin Same as permethrin, however the 3-phenoxybenzyl group in these compounds acts as UV filter and imparts additional degree of stability to them.  Instead of dimeric products it will give methyl-m-phenoxy benzoate and dibromochrysanthemic acid.
  • 20.
    Step 3: Oxidation Step2: Oxidation Step 4: Excretion Step1: Ester cleavage Metabolism of Permethrin
  • 21.
    In rats, trans-isomer(susceptible to esterase attack) is metabolized and eliminated faster than cis- isomer. Major route – Ester cleavage, and oxidase attack as well as hydroxylation of terminal aromatic ring In Mammals (Metabolism of permethrin)
  • 22.
    Step1: Ester cleavage Hydrolyticoxidation at aromatic ring Step2: Oxidation Step3: Oxidation
  • 23.
    Deltamethrin: When photolyzed (>290nm) in various solvents , cis-trans isomerization and ester cleavage reactions. The cis-trans isomerization is the major reaction on glass or silica gel. Pyrethroids undergo complex reaction mechanisms and products. Photoreaction Photodegradation of deltamethrin
  • 25.
    Chemical compound Majormetabolite Short form 1 Most of pyrethroids 3-phenoxybenzoic acid 3PBA 2 Fluorine-substituted pyrethroid insecticides 4fluoro-3- phenoxybenzoic acid 4F3PBA 3 Cypermethrin and cyfluthrin cis- and trans-(2,2- dichlorovinyl)-3,3 dimethylcyclopropane- l-carboxylic acid Cis- and trans-DCCA 4 Deltamethrin Cis(2,2-dibromovinyl)- 3,3- dimethylcyclopropane- l-carboxylic acid) DBCA
  • 26.
    Chemical Half –lifeperiod Metabolite change to Permethrin 5-55 days Carbon – di - oxide Cypermethrin 1- 10 weeks Carbon – di – oxide Fenvalerate 2 – 14 weeks Carbon – di - oxide Immobile in soils( due to lipophilic in nature) Will not translocate to any other part of the plant
  • 27.
  • 30.
  • 31.
  • 33.
    References  N.K.Roy (2002).Chemistryof pesticides. CBS publishers: New Delhi.  Junshi Miyamoto (1976). Degradation, Metabolism and Toxicity of Synthetic Pyrethroids. Environmental Health Perspectives Vol. 14, pp. 15-28.  Pornpimol Rongnoparut, Sirikun Pethuan, Songklod Sarapusit and Panida Lertkiatmongkol . Metabolism of Pyrethroids by Mosquito Cytochrome P450 Enzymes: Impact on Vector Control .
  • 34.