SYNTHETIC PYRETHROIDS
A seminar by Meet Patel - 13DYE1001
TABLE OF CONTENTS
 Synthetic Pyrethroids – Discovery, Classification and Structures
o Novelty of synthetic pyrethroids
 Synthesis Process
o Application of synthetic pyrethroids
 Mode of action
o Mechanism of metabolism
 Recent developments
o Current market
1. SYNTHETIC PYRETHROIDS – DISCOVERY,
CLASSIFICATION AND STRUCTURES
DISCOVERY
 Pyrethroids insecticides are synthetic analogues of the naturally occurring insecticidal pyrethrins found in
extract of Chrysanthemum cinerariaefolium.
J. J. Schleier & R. K. Peterson, Green Trends in Insect Control, Ch. 3, Royal Society of Chemistry, 2011, 94-13
TIMELINE AND CLASSIFICATION
• Hermann Staudinger and Leopold Ruzicka in the 1920sPyrethrins
• Schechter in 1949
• First non-natural pyrethroids, Allenthrin
1st Generation
• Further classified as Type1- Permethrin,
1973 Type2- Cypermethrin, 1974
2nd Generation
Dr. Bhupinder Khambay, Pyrethroids Insecticides, Pesticide Outlook,13,2002,49-54
STRUCTURES
Allenthrin Resmethrin
Permethrin Cypermethrin
1st generation synthetic
pyrethroids
2nd generation synthetic
pyrethroids
Type I Type II
STRUCTURAL CHANGES
Etofenprox
Kadethrin Protriefenbute
Fenvalerate
Dr. Bhupinder Khambay, Pyrethroids Insecticides, Pesticide Outlook,13,2002,49-54
STEREOCHEMISTRY- TYPE I
 The 1R conformations about the cyclopropane ring are considerably more toxic than the 1S isomers.
Cis isomers
Trans isomers
STEREOCHEMISTRY- TYPE II
Pyrethroid Product Isomers Stereo-
chemistry
Cypermethrin Alpha 2 (1R)-cis, αS
(1S)-cis, αR
Beta 4 (1R)-cis, αS
(1S)-cis, αR
(1R)-trans, αS
(1S)-trans, αR
Cyhalothrin Lambda 2 (1R)-cis, αS
(1S)-cis, αR
Super 1 (1R)-cis, αS
Type II
 All type II pyrethroids possess an additional chiral
center at the α-C with the α S conformation
considerably more toxic towards insects when
compared to the α R conformation.
*
*
*
Table: Examples of commercial product based on isomers
i. Pyrethroids, Agrochemicals Analysis Technical Note, Coresta March 2014
ii. Dr. Bhupinder Khambay, Pyrethroids Insecticides, Pesticide Outlook,13,2002,49-54
2 . NOVELTY OF SYNTHETIC PYRETHROIDS
TOXICITY PROFILE
Noritada Matsuo & Tatsuya Mori, Pyrethroids:From Chrysanthemumto Modern Industrial Insecticide, 2012, Ch.1
Insecticides
LD50 (mg /kg)
Mammal (rat) Insects
Ratio of selectivity
Carbamate 45(15) 2.8(27) 16
Organophosphorus 67(83) 2.0(50) 33
Organochlorine 230(21) 2.6(26) 91
Pyrethroids 2000(27) 0.45(35) 4500
*Number of pesticides tested in parenthesis
TOXICITY DATA
The Pesticides Manual, Twelfth edition
Insecticide Oral LD50 (rats)
(mg/kg)
Dermal LD50
(rats) (mg/kg)
Chlorpyrifos 135-163 2000 (rabbit)
Diazinon 300-400 >2150
Deltamethrin 531-5000 >2000
Cypermethrin 251-4123 >2400 (rabbit)
Bioresmethrin 7070-8000 >10000 (female)
Allenthrin 1100 (male) >2300
TOXICITY TO NON-TARGET INSECTS
Fish
Bee
i. Noritada Matsuo & Tatsuya Mori, Pyrethroids:From Chrysanthemumto Modern Industrial Insecticide, 2012, Ch.1
i. F. Antwi, V. P. Reddy, Toxicology effects of pyrethroids on non-target aquatic insects, Environmental Toxicology and Pharmacology, September 2015
Pyrethroids
LC50 Value
Carp(ppm/48 h) Daphnid(ppm/3 h)
Silafluofen >100 7.66
Etofenprox 5 40
Cycloprothrin 8 >10
Fenvalerate 0.00075 0.3
Permethrin 0.043 >10
Cyfluthrin 0.012 0.94
Tralomethrin 0.008 0.22
Fluvalinate 0.00048 0.298
Pyrethroid
Acute Oral
LD50
(μg a.i./bee )
Acute Contact
LD50 (μg
a.i./bee )
Bifenthrin 0.01 0.002
Cypermethrin 0.03 0.02
Deltamethrin 0.08 0.001
Permethrin 0.03 0.1
TOXICITY TO HUMANS
Technical Report, Louise Hénault-Ethier, Canadian Association of Physicians for the Environment, 2016
Acute toxicity Chronic toxicity
Eye irritation Change in immunity
Mouth Ulcer Potential carcinogenicity
Irritation in nasal cavity Non-specific symptoms
Tremors Thyroid inactivity
Paraesthesia & Cutaneous
reactions
Estrogenic & anti-androgenic
activities
Coma, convulsions & Death Neurotoxicity
TOXICITY TO HUMANS – CASE STUDIES
Case study 1
 In a single case report, a 28-year-
old man who applied some 1.5g
permethrin in cream from neck
to toe and did not wash for
about 10 hours developed severe
torticollis and inability to tilt his
head to the left. This persisted
unchanged for 24 hours and no
cause other than the pesticide
was identified.
Case study 2
 Of 12 workers who
sprayed
lambda Cyhalothrin
indoors,11
complained of
nasal irritation and six
of throat irritation.
Case study 3
 A 45-year-old man died 3 hours
after eating beans and cheese
prepared using Cypermethrin 10%
instead of oil. He developed
symptoms within a few minutes,
including prolonged vomiting,
tenesmus, diarrhea, convulsions,
coma.
Death followed respiratory arrest.
A. Vale, Poisoning due to Pyrethroids, Toxicological Reviews, February, 2005
TOXICITY TO ENVIRONMENT
Noritada Matsuo & Tatsuya Mori, Pyrethroids:From Chrysanthemumto Modern Industrial Insecticide, 2012, Ch.1
Isomerization
Homolytic cleavage
SYNERGISTS
 Synergists are typically non toxic compounds at the dosage applied, but which enhance the toxicity
of the active pesticide ingredients.
 Methylenedioxyphenyl synergists, such as piperonyl butoxide, are thought to suppress primarily
oxidative detoxification by inhibiting enzymatic action of CYP enzyme within the insect.
C. Pasa, L. Arlian, M. Morgan, R. Gunning, L. Rossiter, D. Holt, S. Walton, S. Beckham, J. McCarthy, Synergists in Pyrethroid-Resistant
Scabies Mites, PLOS journal of neglected tropical diseases, January 2009, Volume 3, Issue 1
Treatment Sensitive mites Resistant mites
Permethrin 4 15
Permethrin + PBO 4 4
Permethrin + DEF 3.5 6
Permethrin + DEM 2 3
3 . SYNTHESIS PROCESS
SYNTHESIS OF CHRYSANTHEMIC ACID
Trans-chrysanthemic acid
 First industrial process and its still used with better catalysts giving specifically 1R isomer which
has more insecticidal activity.
Professor Dr. Bernd Schaefer, Natural Products in the Chemical Industry, Springer-Verlag Berlin Heidelberg 2014, 704-723
ISOMERIZATION OF CHRYSANTHEMIC ACID
Thionyl chloride
Lewis acid,150° to 170° C
Cis : Trans = 45:55
Cis : Trans = 18.8:81.2
 Cis : Trans ratio in the product depends on Lewis acid we use.
Process for isomerization of a cyclopropane carboxylic acid, US 4008268 A, Sumitomo Chemical Company, 15 Feb 1977
MECHANISM OF ISOMERIZATION
Dr. Klaus Naumann, Chemistry of Plant Protection, Ch. - Synthetic Pyrethroid Insecticides: Chemistry and Patents, 1990
GETTING 1R ISOMER
i. MeOH, H2O
ii. Acid hydrolysis
A process for the production of 1r pyrethroid esters, WO 2003053905 A1, Syngenta Limited, Jul 3, 2003
Major
product
SYNTHESIS OF GAMMA CYHALOTHRIN
Three step synthesis:-
 Chlorinating acid derivative
 Esterification
 Epimerizing the diastereoisomeric mixture
PRODUCTION PROCESS OF GAMMA-CYHALOTHRIN, Indian Patents: 219118, SYNGENTA LIMITED, Publication Date 06-Jun-2008
http://www.allindianpatents.com/patents/219118-production-process-of-gamma-cyhalothrin
(S)- α -cyano-3-phenoxybenzyl (Z)-(1R,3R)-3-(2-chloro-3,3,3-trifluoro-1-propenyl)-2,2-
dimethylcyclopropanecarboxylate
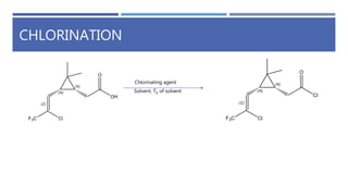
CHLORINATION
Chlorinating agent
Solvent, Tb of solvent
ESTERIFICATION
Cyanide source
Solvent
Organic base
0°C and 20°C.
Diastereoisomeric mixture of Cyhalothrin isomers
EPIMERIZING THE DIASTEREOISOMERIC MIXTURE
Diastereoisomeric mixture of Cyhalothrin isomers
Solvent, -10°C to 10°C Source of cyanide / tertiary amine / a
seed of gamma-Cyhalothrin
gamma-Cyhalothrin and a diastereomer ratio of 95:5.
 Second and third step can be done in a single reactor without any isolation but we
need to compromise with yield.
PRODUCTION PROCESS OF GAMMA-CYHALOTHRIN, Indian Patents: 219118, SYNGENTA LIMITED, Publication Date 06-Jun-2008
http://www.allindianpatents.com/patents/219118-production-process-of-gamma-cyhalothrin
FORMULATIONS
Pyrethroid Formulation
Permethrin
Emulsifiable concentrate (100-500 g a.i/l)
Wettable powders (100-500 g/kg)
Aerosol conc. & Fumigants ( household use)
Cypermethrin
Emulsifiable concentrate (25-200 g/l)
ULV concentrates (10-50 g/l)
Deltamethrin
Emulsifiable concentrate (25 g a.i/l)
Granules (0.5 g/kg)
Wettable powders (25 g/l)
Bioresmethrin
Aerosol concentrates (1 g/l)
Ready to use liquid (for oil/water based sprays, 2.5 g/l)
The Pesticides Manual, Twelfth edition
4 . APPLICATIONS OF SYNTHETIC PYRETHROIDS
AGRICULTURAL APPLICATIONS
Pyrethroids Insects Crops
Bifenthrin
Beetles, aphids, moths, locust,
lice, houseflies
Beans, cereals, corn, cotton,
melons
Cypermethrin
Cockroaches, flies, moths,
mosquitoes
Cotton, onions, pears, peaches
Deltamethrin
Aphids, bollworms, caterpillars,
cicadas
Alfalfa, beet, maize, cotton
potatoes, soyabean
Fluvalinate
Leafhoppers, thrips spider
mites, moths
Cereals, cotton, tobacco, apples
Permethrin Ants, termites, lice, weevils,
Cotton, lettuce, wheat,
tomatoes
OTHER APPLICATIONS
Pyrethroids
Households
Medical uses
Veterinary
uses
Ornamentals
Plants
i. A.J. Thatheyus, A.Deborah Gnana Selvam, Synthetic Pyrethroids: Toxicity and Biodegradation, App. Eco. & Env. Sci., 2013, Vol. 1, 33-36 ii
http://www.anapsid.org/pyrethroids.html
5 . MODE OF ACTION
MODE OF ACTION
SYMPTOMS
 Mammalian intoxication by type I pyrethroids causes symptoms characterized by tremor i.e. T-class,
exaggerated startle response, and hyperexcitability.
 Intoxication by type II pyrethroids results in burrowing and pawing behavior, followed by salivation and
coarse tremor, which evolves into choreoathetosis (involuntary movement and writhing). This second
type of poisoning is referred to as CS-class.
 Some pyrethroids, such as fenpropathrin and cyphenothrin can result in symptoms from both T and CS-
class, thus are called TS-class.
i. E. Wakeling, A. Neal & W. Atchison, Pesticides-Advances in Chemical and Botanical Pesticides, Ch. 3
ii. Technical Report, Louise Hénault-Ethier, Canadian Association of Physicians for the Environment, 2016
RESISTANCE TO PYRETHROIDS
 A major contributory factor is that pyrethroids exhibit cross-resistance to DDT, which is
thought to act at the same binding site on the voltage-gated sodium channel.
Resistance
Increased detoxification Target site Insensitivity
Dr. Bhupinder Khambay, Pyrethroids Insecticides, Pesticide Outlook,13,2002,49-54
6 . MECHANISM OF METABOLISM
METABOLIC PATHWAYS
Phase 1
reaction
• Ester hydrolysis
• Oxidation
Phase 2
reaction
• Hydrophilic conjugate
• Lipophilic conjugate
Hideo Kaneko, Pyrethroids: Mammalian Metabolism and Toxicity, J. Agric. Food Chem. 2011,59,2786–2791
ESTER HYDROLYSIS
Hideo Kaneko, Pyrethroids: Mammalian Metabolism and Toxicity, J. Agric. Food Chem. 2011,59,2786–2791
Trans isomer
Cis isomer
OXIDATION
i. Hideo Kaneko, Pyrethroids: Mammalian Metabolism and Toxicity, J. Agric. Food Chem. 2011,59,2786–2791
ii. Junshi Miyamoto, Degradation, Metabolism and Toxicity of Synthetic Pyrethroids, EHP, 1976, vol. 14,15-28
(1RS, trans)- tetramethrin
Deltamethrin
(1R, trans)- resmethrin
(1R, tans)- phenothrin
HYDROPHILIC CONJUGATION
 Thiocynates conjugates
 Sulfonic acid conjugates
Kaneko, H. Pyrethroid chemistry and metabolism, Hayes’ Handbook of Pesticide Toxicology, 3rd ed., 2010; Ch.76.
 Hydrophilic conjugates are often found as glucuronides, sulfates, or amino acid conjugates. But
in few pyrethroids other conjugates are also formed like
LIPOPHILIC CONJUGATES
Hideo Kaneko, Pyrethroids: Mammalian Metabolism and Toxicity, J. Agric. Food Chem. 2011,59,2786–2791
METABOLISM OF CYHALOTHRIN
Glucuronide
Glucuronide Glycerides
Sulfate
Kaneko, H. Pyrethroid chemistry and metabolism, Hayes’ Handbook of Pesticide Toxicology, 3rd ed., 2010; Ch.76.
7 . RECENT DEVELOPMENTS
DISCOVERY OF SILAFLUOFEN
 High insecticidal activity and low mammalian toxicity, this compound features low fish toxicity,
chemical stability under sunlight, in the soil and under alkaline environments.
 Acute oral toxicity for rat (LD50): >5,000 mg/kg
 Acute dermal toxicity for rat (LD50): >5,000 mg/kg
 Fish toxicity for carp (LC50 after 48 hours): >100 ppm
Y. Katsuda, Y. Minamite, and C. Vongkaluang, Development of Silafluofen-Based Termiticides in Japan and Thailand, December 2011
DISCOVERY OF METOFLUTHRIN
N. MATSUO, K. UJIHARA, Y. SHONO, T. IWASAKI, M. SUGANO, Discovery and Development of a Novel Pyrethroid Insecticide Metofluthrin
(SumiOne®, Eminence®), SUMITOMO KAGAKU, vol. 2005-II.
Compound Recovery rate(%)
Metofluthrin 98.2
Empenthrin 82.7
d - Allenthrin 6.9
Prallenthrin 11.2
Photo stability
Compound Culex pipiens
Adese
albopictus
Metofluthrin 0.0015 0.00047
d - Allenthrin 0.038 0.023
Prallenthrin 0.0056 0.0050
D-tetramethrin 0.0096 0.0036
permethrin 0.0028 0.0012
LD50 (μg/ female adult)
PROPERTIES OF METOFLUTHRIN
N. MATSUO, K. UJIHARA, Y. SHONO, T. IWASAKI, M. SUGANO, Discovery and Development of a Novel Pyrethroid Insecticide Metofluthrin
(SumiOne®, Eminence®), SUMITOMO KAGAKU, vol. 2005-II.
Efficacy
Acute toxicity to mammals
Species Route Lethal dose
Rat Oral >2000 mg/kg
Rat Dermal >2000 mg/kg
Rat Inhalation
Male: 1960 mg/m3
Female: 1080 mg/m3
Dog Oral >2000 mg/kg
Compound Conc. (%w/w) No. of mosquitoes
Pretreatment After treatment
Reduction
%
Metofluthrin 0.005 210 18 93
Transfluthrin 0.03 187 26 88
d - Allenthrin 0.3 188 27 88
7 . CURRENT MARKET & FUTURE SCOPE
CURRENT MARKET
 Pyrethroids account for up to 17% of global insecticide sales – a market worth more than $7Bn each
year.
Extermination
Vegetal Farming
Domestic
Animal Farming
Technical Report, Louise Hénault-Ethier, Canadian Association of Physicians for the Environment, 2016
http://www.foodsecurity.ac.uk/research/impact/pyrethroids.html
PROBLEMS FACED BY PYRETHROIDS
• Cancellation of Fenvalerate and
Esfenvalerate
Problem 1
• Increase in resistanceProblem 2
• Least commercial researchProblem 3
J. J. Schleier & R. K. Peterson, Green Trends in Insect Control, Ch. 3, Royal Society of Chemistry, 2011, 94-13
ALTERNATIVES TO PYRETHROIDS
 Silicon dioxide provides an effective and safer control against household and pet animal
pests.
 Bollcure – a biopesticides can be used on cotton.
 Biopesticides derived from vegetable oil can be used in grain
protection.
 Alternative to Pyrethroids are Biopesticides
A. Singh, A. Khare, A. P. Singh, Use of Vegetable Oils as Biopesticide in Grain Protection, J. of Fertilizers & Pesticides, January 25, 2012
THANK YOU

Synthetic Pyrethroids

  • 1.
    SYNTHETIC PYRETHROIDS A seminarby Meet Patel - 13DYE1001
  • 2.
    TABLE OF CONTENTS Synthetic Pyrethroids – Discovery, Classification and Structures o Novelty of synthetic pyrethroids  Synthesis Process o Application of synthetic pyrethroids  Mode of action o Mechanism of metabolism  Recent developments o Current market
  • 3.
    1. SYNTHETIC PYRETHROIDS– DISCOVERY, CLASSIFICATION AND STRUCTURES
  • 4.
    DISCOVERY  Pyrethroids insecticidesare synthetic analogues of the naturally occurring insecticidal pyrethrins found in extract of Chrysanthemum cinerariaefolium. J. J. Schleier & R. K. Peterson, Green Trends in Insect Control, Ch. 3, Royal Society of Chemistry, 2011, 94-13
  • 5.
    TIMELINE AND CLASSIFICATION •Hermann Staudinger and Leopold Ruzicka in the 1920sPyrethrins • Schechter in 1949 • First non-natural pyrethroids, Allenthrin 1st Generation • Further classified as Type1- Permethrin, 1973 Type2- Cypermethrin, 1974 2nd Generation Dr. Bhupinder Khambay, Pyrethroids Insecticides, Pesticide Outlook,13,2002,49-54
  • 6.
    STRUCTURES Allenthrin Resmethrin Permethrin Cypermethrin 1stgeneration synthetic pyrethroids 2nd generation synthetic pyrethroids Type I Type II
  • 7.
    STRUCTURAL CHANGES Etofenprox Kadethrin Protriefenbute Fenvalerate Dr.Bhupinder Khambay, Pyrethroids Insecticides, Pesticide Outlook,13,2002,49-54
  • 8.
    STEREOCHEMISTRY- TYPE I The 1R conformations about the cyclopropane ring are considerably more toxic than the 1S isomers. Cis isomers Trans isomers
  • 9.
    STEREOCHEMISTRY- TYPE II PyrethroidProduct Isomers Stereo- chemistry Cypermethrin Alpha 2 (1R)-cis, αS (1S)-cis, αR Beta 4 (1R)-cis, αS (1S)-cis, αR (1R)-trans, αS (1S)-trans, αR Cyhalothrin Lambda 2 (1R)-cis, αS (1S)-cis, αR Super 1 (1R)-cis, αS Type II  All type II pyrethroids possess an additional chiral center at the α-C with the α S conformation considerably more toxic towards insects when compared to the α R conformation. * * * Table: Examples of commercial product based on isomers i. Pyrethroids, Agrochemicals Analysis Technical Note, Coresta March 2014 ii. Dr. Bhupinder Khambay, Pyrethroids Insecticides, Pesticide Outlook,13,2002,49-54
  • 10.
    2 . NOVELTYOF SYNTHETIC PYRETHROIDS
  • 11.
    TOXICITY PROFILE Noritada Matsuo& Tatsuya Mori, Pyrethroids:From Chrysanthemumto Modern Industrial Insecticide, 2012, Ch.1 Insecticides LD50 (mg /kg) Mammal (rat) Insects Ratio of selectivity Carbamate 45(15) 2.8(27) 16 Organophosphorus 67(83) 2.0(50) 33 Organochlorine 230(21) 2.6(26) 91 Pyrethroids 2000(27) 0.45(35) 4500 *Number of pesticides tested in parenthesis
  • 12.
    TOXICITY DATA The PesticidesManual, Twelfth edition Insecticide Oral LD50 (rats) (mg/kg) Dermal LD50 (rats) (mg/kg) Chlorpyrifos 135-163 2000 (rabbit) Diazinon 300-400 >2150 Deltamethrin 531-5000 >2000 Cypermethrin 251-4123 >2400 (rabbit) Bioresmethrin 7070-8000 >10000 (female) Allenthrin 1100 (male) >2300
  • 13.
    TOXICITY TO NON-TARGETINSECTS Fish Bee i. Noritada Matsuo & Tatsuya Mori, Pyrethroids:From Chrysanthemumto Modern Industrial Insecticide, 2012, Ch.1 i. F. Antwi, V. P. Reddy, Toxicology effects of pyrethroids on non-target aquatic insects, Environmental Toxicology and Pharmacology, September 2015 Pyrethroids LC50 Value Carp(ppm/48 h) Daphnid(ppm/3 h) Silafluofen >100 7.66 Etofenprox 5 40 Cycloprothrin 8 >10 Fenvalerate 0.00075 0.3 Permethrin 0.043 >10 Cyfluthrin 0.012 0.94 Tralomethrin 0.008 0.22 Fluvalinate 0.00048 0.298 Pyrethroid Acute Oral LD50 (μg a.i./bee ) Acute Contact LD50 (μg a.i./bee ) Bifenthrin 0.01 0.002 Cypermethrin 0.03 0.02 Deltamethrin 0.08 0.001 Permethrin 0.03 0.1
  • 14.
    TOXICITY TO HUMANS TechnicalReport, Louise Hénault-Ethier, Canadian Association of Physicians for the Environment, 2016 Acute toxicity Chronic toxicity Eye irritation Change in immunity Mouth Ulcer Potential carcinogenicity Irritation in nasal cavity Non-specific symptoms Tremors Thyroid inactivity Paraesthesia & Cutaneous reactions Estrogenic & anti-androgenic activities Coma, convulsions & Death Neurotoxicity
  • 15.
    TOXICITY TO HUMANS– CASE STUDIES Case study 1  In a single case report, a 28-year- old man who applied some 1.5g permethrin in cream from neck to toe and did not wash for about 10 hours developed severe torticollis and inability to tilt his head to the left. This persisted unchanged for 24 hours and no cause other than the pesticide was identified. Case study 2  Of 12 workers who sprayed lambda Cyhalothrin indoors,11 complained of nasal irritation and six of throat irritation. Case study 3  A 45-year-old man died 3 hours after eating beans and cheese prepared using Cypermethrin 10% instead of oil. He developed symptoms within a few minutes, including prolonged vomiting, tenesmus, diarrhea, convulsions, coma. Death followed respiratory arrest. A. Vale, Poisoning due to Pyrethroids, Toxicological Reviews, February, 2005
  • 16.
    TOXICITY TO ENVIRONMENT NoritadaMatsuo & Tatsuya Mori, Pyrethroids:From Chrysanthemumto Modern Industrial Insecticide, 2012, Ch.1 Isomerization Homolytic cleavage
  • 17.
    SYNERGISTS  Synergists aretypically non toxic compounds at the dosage applied, but which enhance the toxicity of the active pesticide ingredients.  Methylenedioxyphenyl synergists, such as piperonyl butoxide, are thought to suppress primarily oxidative detoxification by inhibiting enzymatic action of CYP enzyme within the insect. C. Pasa, L. Arlian, M. Morgan, R. Gunning, L. Rossiter, D. Holt, S. Walton, S. Beckham, J. McCarthy, Synergists in Pyrethroid-Resistant Scabies Mites, PLOS journal of neglected tropical diseases, January 2009, Volume 3, Issue 1 Treatment Sensitive mites Resistant mites Permethrin 4 15 Permethrin + PBO 4 4 Permethrin + DEF 3.5 6 Permethrin + DEM 2 3
  • 18.
  • 19.
    SYNTHESIS OF CHRYSANTHEMICACID Trans-chrysanthemic acid  First industrial process and its still used with better catalysts giving specifically 1R isomer which has more insecticidal activity. Professor Dr. Bernd Schaefer, Natural Products in the Chemical Industry, Springer-Verlag Berlin Heidelberg 2014, 704-723
  • 20.
    ISOMERIZATION OF CHRYSANTHEMICACID Thionyl chloride Lewis acid,150° to 170° C Cis : Trans = 45:55 Cis : Trans = 18.8:81.2  Cis : Trans ratio in the product depends on Lewis acid we use. Process for isomerization of a cyclopropane carboxylic acid, US 4008268 A, Sumitomo Chemical Company, 15 Feb 1977
  • 21.
    MECHANISM OF ISOMERIZATION Dr.Klaus Naumann, Chemistry of Plant Protection, Ch. - Synthetic Pyrethroid Insecticides: Chemistry and Patents, 1990
  • 22.
    GETTING 1R ISOMER i.MeOH, H2O ii. Acid hydrolysis A process for the production of 1r pyrethroid esters, WO 2003053905 A1, Syngenta Limited, Jul 3, 2003 Major product
  • 23.
    SYNTHESIS OF GAMMACYHALOTHRIN Three step synthesis:-  Chlorinating acid derivative  Esterification  Epimerizing the diastereoisomeric mixture PRODUCTION PROCESS OF GAMMA-CYHALOTHRIN, Indian Patents: 219118, SYNGENTA LIMITED, Publication Date 06-Jun-2008 http://www.allindianpatents.com/patents/219118-production-process-of-gamma-cyhalothrin (S)- α -cyano-3-phenoxybenzyl (Z)-(1R,3R)-3-(2-chloro-3,3,3-trifluoro-1-propenyl)-2,2- dimethylcyclopropanecarboxylate
  • 24.
  • 25.
    ESTERIFICATION Cyanide source Solvent Organic base 0°Cand 20°C. Diastereoisomeric mixture of Cyhalothrin isomers
  • 26.
    EPIMERIZING THE DIASTEREOISOMERICMIXTURE Diastereoisomeric mixture of Cyhalothrin isomers Solvent, -10°C to 10°C Source of cyanide / tertiary amine / a seed of gamma-Cyhalothrin gamma-Cyhalothrin and a diastereomer ratio of 95:5.  Second and third step can be done in a single reactor without any isolation but we need to compromise with yield. PRODUCTION PROCESS OF GAMMA-CYHALOTHRIN, Indian Patents: 219118, SYNGENTA LIMITED, Publication Date 06-Jun-2008 http://www.allindianpatents.com/patents/219118-production-process-of-gamma-cyhalothrin
  • 27.
    FORMULATIONS Pyrethroid Formulation Permethrin Emulsifiable concentrate(100-500 g a.i/l) Wettable powders (100-500 g/kg) Aerosol conc. & Fumigants ( household use) Cypermethrin Emulsifiable concentrate (25-200 g/l) ULV concentrates (10-50 g/l) Deltamethrin Emulsifiable concentrate (25 g a.i/l) Granules (0.5 g/kg) Wettable powders (25 g/l) Bioresmethrin Aerosol concentrates (1 g/l) Ready to use liquid (for oil/water based sprays, 2.5 g/l) The Pesticides Manual, Twelfth edition
  • 28.
    4 . APPLICATIONSOF SYNTHETIC PYRETHROIDS
  • 29.
    AGRICULTURAL APPLICATIONS Pyrethroids InsectsCrops Bifenthrin Beetles, aphids, moths, locust, lice, houseflies Beans, cereals, corn, cotton, melons Cypermethrin Cockroaches, flies, moths, mosquitoes Cotton, onions, pears, peaches Deltamethrin Aphids, bollworms, caterpillars, cicadas Alfalfa, beet, maize, cotton potatoes, soyabean Fluvalinate Leafhoppers, thrips spider mites, moths Cereals, cotton, tobacco, apples Permethrin Ants, termites, lice, weevils, Cotton, lettuce, wheat, tomatoes
  • 30.
    OTHER APPLICATIONS Pyrethroids Households Medical uses Veterinary uses Ornamentals Plants i.A.J. Thatheyus, A.Deborah Gnana Selvam, Synthetic Pyrethroids: Toxicity and Biodegradation, App. Eco. & Env. Sci., 2013, Vol. 1, 33-36 ii http://www.anapsid.org/pyrethroids.html
  • 31.
    5 . MODEOF ACTION
  • 32.
  • 33.
    SYMPTOMS  Mammalian intoxicationby type I pyrethroids causes symptoms characterized by tremor i.e. T-class, exaggerated startle response, and hyperexcitability.  Intoxication by type II pyrethroids results in burrowing and pawing behavior, followed by salivation and coarse tremor, which evolves into choreoathetosis (involuntary movement and writhing). This second type of poisoning is referred to as CS-class.  Some pyrethroids, such as fenpropathrin and cyphenothrin can result in symptoms from both T and CS- class, thus are called TS-class. i. E. Wakeling, A. Neal & W. Atchison, Pesticides-Advances in Chemical and Botanical Pesticides, Ch. 3 ii. Technical Report, Louise Hénault-Ethier, Canadian Association of Physicians for the Environment, 2016
  • 34.
    RESISTANCE TO PYRETHROIDS A major contributory factor is that pyrethroids exhibit cross-resistance to DDT, which is thought to act at the same binding site on the voltage-gated sodium channel. Resistance Increased detoxification Target site Insensitivity Dr. Bhupinder Khambay, Pyrethroids Insecticides, Pesticide Outlook,13,2002,49-54
  • 35.
    6 . MECHANISMOF METABOLISM
  • 36.
    METABOLIC PATHWAYS Phase 1 reaction •Ester hydrolysis • Oxidation Phase 2 reaction • Hydrophilic conjugate • Lipophilic conjugate Hideo Kaneko, Pyrethroids: Mammalian Metabolism and Toxicity, J. Agric. Food Chem. 2011,59,2786–2791
  • 37.
    ESTER HYDROLYSIS Hideo Kaneko,Pyrethroids: Mammalian Metabolism and Toxicity, J. Agric. Food Chem. 2011,59,2786–2791 Trans isomer Cis isomer
  • 38.
    OXIDATION i. Hideo Kaneko,Pyrethroids: Mammalian Metabolism and Toxicity, J. Agric. Food Chem. 2011,59,2786–2791 ii. Junshi Miyamoto, Degradation, Metabolism and Toxicity of Synthetic Pyrethroids, EHP, 1976, vol. 14,15-28 (1RS, trans)- tetramethrin Deltamethrin (1R, trans)- resmethrin (1R, tans)- phenothrin
  • 39.
    HYDROPHILIC CONJUGATION  Thiocynatesconjugates  Sulfonic acid conjugates Kaneko, H. Pyrethroid chemistry and metabolism, Hayes’ Handbook of Pesticide Toxicology, 3rd ed., 2010; Ch.76.  Hydrophilic conjugates are often found as glucuronides, sulfates, or amino acid conjugates. But in few pyrethroids other conjugates are also formed like
  • 40.
    LIPOPHILIC CONJUGATES Hideo Kaneko,Pyrethroids: Mammalian Metabolism and Toxicity, J. Agric. Food Chem. 2011,59,2786–2791
  • 41.
    METABOLISM OF CYHALOTHRIN Glucuronide GlucuronideGlycerides Sulfate Kaneko, H. Pyrethroid chemistry and metabolism, Hayes’ Handbook of Pesticide Toxicology, 3rd ed., 2010; Ch.76.
  • 42.
    7 . RECENTDEVELOPMENTS
  • 43.
    DISCOVERY OF SILAFLUOFEN High insecticidal activity and low mammalian toxicity, this compound features low fish toxicity, chemical stability under sunlight, in the soil and under alkaline environments.  Acute oral toxicity for rat (LD50): >5,000 mg/kg  Acute dermal toxicity for rat (LD50): >5,000 mg/kg  Fish toxicity for carp (LC50 after 48 hours): >100 ppm Y. Katsuda, Y. Minamite, and C. Vongkaluang, Development of Silafluofen-Based Termiticides in Japan and Thailand, December 2011
  • 44.
    DISCOVERY OF METOFLUTHRIN N.MATSUO, K. UJIHARA, Y. SHONO, T. IWASAKI, M. SUGANO, Discovery and Development of a Novel Pyrethroid Insecticide Metofluthrin (SumiOne®, Eminence®), SUMITOMO KAGAKU, vol. 2005-II. Compound Recovery rate(%) Metofluthrin 98.2 Empenthrin 82.7 d - Allenthrin 6.9 Prallenthrin 11.2 Photo stability Compound Culex pipiens Adese albopictus Metofluthrin 0.0015 0.00047 d - Allenthrin 0.038 0.023 Prallenthrin 0.0056 0.0050 D-tetramethrin 0.0096 0.0036 permethrin 0.0028 0.0012 LD50 (μg/ female adult)
  • 45.
    PROPERTIES OF METOFLUTHRIN N.MATSUO, K. UJIHARA, Y. SHONO, T. IWASAKI, M. SUGANO, Discovery and Development of a Novel Pyrethroid Insecticide Metofluthrin (SumiOne®, Eminence®), SUMITOMO KAGAKU, vol. 2005-II. Efficacy Acute toxicity to mammals Species Route Lethal dose Rat Oral >2000 mg/kg Rat Dermal >2000 mg/kg Rat Inhalation Male: 1960 mg/m3 Female: 1080 mg/m3 Dog Oral >2000 mg/kg Compound Conc. (%w/w) No. of mosquitoes Pretreatment After treatment Reduction % Metofluthrin 0.005 210 18 93 Transfluthrin 0.03 187 26 88 d - Allenthrin 0.3 188 27 88
  • 46.
    7 . CURRENTMARKET & FUTURE SCOPE
  • 47.
    CURRENT MARKET  Pyrethroidsaccount for up to 17% of global insecticide sales – a market worth more than $7Bn each year. Extermination Vegetal Farming Domestic Animal Farming Technical Report, Louise Hénault-Ethier, Canadian Association of Physicians for the Environment, 2016 http://www.foodsecurity.ac.uk/research/impact/pyrethroids.html
  • 48.
    PROBLEMS FACED BYPYRETHROIDS • Cancellation of Fenvalerate and Esfenvalerate Problem 1 • Increase in resistanceProblem 2 • Least commercial researchProblem 3 J. J. Schleier & R. K. Peterson, Green Trends in Insect Control, Ch. 3, Royal Society of Chemistry, 2011, 94-13
  • 49.
    ALTERNATIVES TO PYRETHROIDS Silicon dioxide provides an effective and safer control against household and pet animal pests.  Bollcure – a biopesticides can be used on cotton.  Biopesticides derived from vegetable oil can be used in grain protection.  Alternative to Pyrethroids are Biopesticides A. Singh, A. Khare, A. P. Singh, Use of Vegetable Oils as Biopesticide in Grain Protection, J. of Fertilizers & Pesticides, January 25, 2012
  • 50.