------------------------------------------------------------------------------------------------------------
Designing Meaningful
And Fair Tests and Assignments
Copyright © 2005 by Cynthia L. A. Crump
All rights reserved
[Revision made to Bloom’s taxonomy in 2012]
Printed by Antigua Printing and Publishing Ltd.
Tel. 481-1500 Fax 481-1515 Email: antprint@candw.ag
i
PREFACE
Dear Teacher / Trainee
This handbook is prepared especially for practitioners like you and me.
As educators, we need to be constantly exploring ways in which we can improve on the on the
methods and forms of assessment used in our classrooms.
The major elements of assessment – Testing, Measurement and Evaluation – are presented in
simple language for everyday application, even for the new teacher to understand.
The information is presented in four parts:-
Part 1: Teachers are exposed to relevant knowledge and skills pertaining to assessment.
 Exploring the process of assessment and other related concepts
 Planning the test
 Designing the test
Part 2: Presents readings, on selected topics, related to approaches to assessment, which are
clarified by examples
 Authentic assessment: alternatives to the traditional approach
Part 3: Provides readings and practical examples of analyzing, interpreting and reporting
student performance.
 Marking, Evaluating and Reporting.
Part 4:Shares with the reader two essential topics to assist in assessing exceptionalities.
 Extra! Extra!
My expectation is that you will find this handbook useful in your quest to engage in effective
assessment procedures. Then you can be actively involved in the ‘good’ practice of designing
and selecting meaningful and fair tests and / or assignments which will provide valid
measures of your lessons’ objectives. In addition, you will be exposed to the two main methods
of reporting accurately to stakeholders – parents, administrators and students – about student
performance and patterns of behaviour.
Cynthia Crump
January 2005
ii
ACKNOWLEDGMENTS
Special appreciation is extended to the following individuals for their advice, support,
encouragement and / or suggestions.
Colin Hanley, Instructor, Antigua and Barbuda Institute of Technology;
Jessie Kentish
Patricia Benn,
Dawn Joseph,
Esther Utoh, Tutor,
colleagues at the Department of Education, Antigua State College, who reviewed the ‘first’
drafts of this handbook.
Arthur G. Richardson (Professor), Director of the School of Education UWI
Barbados
Peecheeta Spencer, Principal Antigua State College
Edrys Joseph, Education Officer, Zone Three, Ministry of Education, Human
Development and Culture
Thanks must also be extended to teachers and students whose work served as practical examples
of assessment:
Primary School Principals, Workshop exercises on performance Assessment
Temika Christian, Primary Teacher Trainee, 2001 – 2003, exercise on Writing
Specific Objectives
Michael Collins, Secondary Teacher Trainee, 2002 – 2004, Aspects of Criterion-
referenced analysis
Cynthia Crump
iii
TABLE OF CONTENTS
PART ONE:
Section One: Introduction: Exploring The Process Of Assessment And Other Related Concepts 1
The nature of assessment 1
The definition of assessment 3
The difference between testing, measurement and evaluation 4
Characteristic of assessment, measurement and evaluation
Section Two: Planning the Test 8
Why do we test 8
Planning to test 9
Purposes and consequences – Kinds of test 9
General and specific objectives 11
Table of specifications 19
Instruments and devices 21
Section Three: Designing The Test 22
Types of items 23
Making meaningful and fair tests and assignments 29
Major steps in preparing tests/assignments 31
PART TWO:
Section Four: Authentic Assessment; Alternatives To The Traditional Approach To Testing 32
Authentic assessment 33
Student evaluation form 35
Performance assessment – Why? 37
Performance vs. traditional assessment 43
Portfolio assessment 49
PART THREE: Marking, Evaluating and Reporting 53
Section Five: Marking and Grading: Collecting Information
Section Six: Evaluating: Making Judgements on the Basis of Information Collected 54
Reporting Student Performance: Interpreting Results To Provide Feedback 55
Norm-referenced vs. criterion-referenced measurements 56
Criterion-referenced evaluation 57
Table of specifications 57
Sample analysis 58
Follow up action 59
Test itemanalysis 60
Norm-referenced evaluation 61
Test itemanalysis 63
Norm-referenced interpretation 66
Measures of variability 66
Measures of central tendency 66
Interpreting the standard deviation 67
Graphical representation of scores 68
PART FOUR:
Section Six: Extra! Extra! 69
Educational assessment and the exceptional learner 69
Creativity 70
iv
Bibliography
LIST OF TABLES
Table:
1.1 Differentiating between Tests, Measurement and Evaluation 4
1.2 Characteristics of assessment, Measurement and evaluation 5
2.1 Similarities and differences Between Kinds of Test 11
2.2:1 Cognitive Domain: Taxonomies/Descriptions 15
2.2:2 Affective Domain: Taxonomies/Descriptions 15
2.2:3 Psychomotor Domain: Taxonomies/descriptions 15
2.3 Identifying the Components of a Specific Objective 17
2.4 Sample: General and Specific Objectives 18
2.5 Sample (Two-Way) Table of Specifications for a Summative Test 19
2.6 Testing methods for Varying Purposes 21
2.7 Testing and non-testing Devices 21
3.1 Review Suggestions for itemTypes 25
3.1:1 Multiple Choice 25
3.1:2 True / False 26
3.1:3 Matching 26
3.1:4 Fill in the Blanks / Completion 27
3.1:5 Essays 27
3.2 A comparison Table (Selection Items and Essays) 28
4.1 Sample Evaluation Rating Form 36
4.2 Speaking Checklist / Rating Scale – Nursery Rhymes 41
4.3 Evaluation Rubric: Social Studies Practicum
5.1 Table of Specifications: Topics, Objectives and Items for Mathematics Test 55
5.2 Criterion-referenced Analysis of Students’ Mathematics Score 57
5.3 Follow-up Action with Whole Class 58
5.4 Students’ Performance on IQ Test: Scores and Tally 63
5.5: Calculating the Standard Deviation 64
5.5:1 Example 1 64
5.5:2 Example 2 66
5.6 Interpretation of Student Performance 66
5.6:1 Range of Scores and Interpretations 66
5.6:2 % Performance and Interpretations 66
5.7 Class Intervals: Tally and Frequency 67
v
LIST OF FIGURES
Figure
1 Domain and Taxonomies 14
2 Designing a Table of Specifications 19
3 Types of Items 23
4 Main Aspects of Cover Sheet for portfolio Entry 51
5 IQ Test Scores 63
6:1 Histogram – Distribution of IQ Scores 67
6:2 Frequency Polygon – Distribution of IQ Scores 67
7 Circle Test 72
Introduction: Exploring The Process Of Assessment And Other Related Concepts
_____________________________________________________________________________________________1
SECTION 1
INTRODUCTION:
EXPLORING
THE
PROCESS
OF
ASSESSMENT
AND
OTHER RELATED
CONCEPTS
The Nature Of Assessment
The Definition Of Assessment
The Difference Between Testing, Measurement And Evaluation
Characteristics of Assessment, Measurement And Evaluation
Assessment of student learning requires that the classroom teacher review the
nature of assessment in order to effectively link teaching, learning and assessment.
Before we proceed, here are seven principles which emphasize the importance of
assessment – The Nature of Assessment.
Introduction: Exploring The Process Of Assessment And Other Related Concepts
_____________________________________________________________________________________________2
The classroom teacher must
know: (Rowntree, 1997);Assessing students
1. How to assess:
Teachers must select from among all the
techniques at their disposal.
Traditional
 Oral
 Written
Alternate
 Authentic
o Performance
 Process
 Product
2. What to assess:
Teachers must be aware and decide what
they are looking for in the individuals
involved in the learning process.
Student
 Achievement
 Performance
 Behaviour
 Personality
 Interests
 Values
 Attitudes
Teacher
 Methods
 Approaches
 Enthusiasm
3. When to assess:
Teachers must establish the purpose for
assessment to be administered.
 Before instruction
 During instruction
 After Instruction
4. What instruments to use:
Teachers must be knowledgeable of the
variety of methods available to assess
students’ performance and patterns of
behaviour.
 Standardized Tests
 Teacher-made Tests
 Observation schedules
 Questionnaires
 Inventories
5. The developmental level of
the students:
Teachers must use their knowledge of
learning theories to plan appropriate
assessment corresponding to students’ level
of development, as well as individual
differences.
 Chronological
 Mental
 Physical
 Emotional
6. How to interpret results:
Teachers must consider the purpose and
consequence of assessment to facilitate
the method of interpreting scores.
 Norm-referenced
 Criterion-referenced
7. Then provide feedback:
Teachers must share strengths and
weaknesses with the stakeholders of
education.
 Students
 Parents
 Administrators
 Policy makers
Introduction: Exploring The Process Of Assessment And Other Related Concepts
_____________________________________________________________________________________________3
DEFINITION OF ASSESSMENT:
ASSESSMENT of student learning requires the use
of a number of techniques for measuring
achievement. This is done through a systematic
process that plays a significant role in effective
teaching. It begins with the identification of learning
goals and ends with a judgement concerning how
well those goals have been attained. Thus for Linn
and Gronlund (2000, 31-32) assessment is:
“A general term that includes the full range
of procedures used to gain information
about student learning (observations,
ratings of performances or projects, paper-
and-pencil tests) and the formation of value
judgments concerning learning progress….”
For Savage & Armstrong (1987):
“Assessment includes objective data from
measurement … (and) from other types of
information, some of which are subjective
(anecdotal records and teacher observations
and ratings of student performance). In
addition … assessment also includes
arriving at value judgments made on the
basis of subjective information.”
N.B. Some authors may use assessment
synonymously with evaluation. For example,
Mehrens & Lehmann (1984,5) who define evaluation
as the “process of delineating, obtaining, and
providing useful information for judging decision
alternatives.”
In each of the definitions above, a process is outlined.
It is clear that some sort of instrument/technique must
be administered/used in order to obtain
data/information. This data/information can then be
used to judge the level of understanding or standard
of student performance in relation to knowledge,
skills, attitude and pattern of behaviour.
In considering the process of assessment the
following view is very important.
“Measurement is the handmaiden of instruction.
Without measurement, there cannot be
evaluation. Without evaluation, there cannot be
feedback. Without feedback, there cannot be
good knowledge of results. Without knowledge
of results, there cannot be systematic
improvement in learning (Parnell, 1973, 2698;
in Mehrens & Lehmann 1984,7).
Assessment of student performance and patterns of
behaviour may be associated with negative effects
such as anxiety, bias, unfairness, labeling, and
traditionalism. However, there are many benefits
associated with the purposes of assessment.
PURPOSES OF ASSESSMENT:
The purposes of assessment can be outlined as
follows:
Judging pupils’ mastery of skill and knowledge;
Evaluating the instructional method;
Ascertaining effectiveness of curriculum;
Encouraging good study habits;
Measuring growth;
Ranking pupils;
Diagnosing difficulties;
Providing feedback;
Motivating students;
Reporting to stakeholders;
Certifying examinees.
Mehrens & Lehmann (1984, 7–12) conclude that
the main purpose of assessment, therefore, is
to make EDUCATIONAL DECISIONS.
These include the following:
o Instructional decisions (teacher &
students)
o Guidance decisions
o Administrative decisions
o Research decisions
Generally, we want to find out about our students in
order to make decisions related to:
 Placement
 Selection
 Aptitude
 Achievement
 Classification
 Guidance
 Promotion
In order to answer the above questions, that is, “How
well does the individual perform?” we must conduct
frequent assessment activities.
When conducting assessment – test, measurement
and evaluation - we should ask the following
questions to guide the purpose and decision-making.
Introduction: Exploring The Process Of Assessment And Other Related Concepts
_____________________________________________________________________________________________4
Placement: (entry behaviour)
“Have the students already
achieved the intended
outcomes?”
“Do the students have the
prerequisite skills to proceed to
the next topic or unit?”
Formative: (during instruction)
“Which learning tasks are
students handling satisfactorily?
… Need help with?”
Diagnostic:(during instruction)
“Which students need remedial
work?
Summative: (end of instruction)
What grade should I assign to
each student?”
“Is the method I am using
effective?”
DIFFERENTIATINGBETWEEN TEST, MEAS UREMENT AND EVALUATION
In this handbook evaluation is viewed as the final stage in the assessment process, which is preceded by testing and
measurement. Here is an example to clarify the difference/link between Test, Measurement and Evaluation.
Mrs. H is the teacher at Grade 3. She has new students who were promoted from Grade 2.
Consider the following assessment process: - Based on the definition by Linn and Gronlund (2000)
Step 1.
She establishes Purpose: She wishes to conduct an assessment to find out “Can the students add one digit
numbers to two digit numbers up to fifteen successfully?”
Step 2:
She administers a set of questions: a ‘Test’ or an instrument or specific procedure for sampling a set of questions.
This will help her to find out “How well’ each student performs in comparison to each other (norm-referenced) or in
comparison with a domain of performance tasks (criterion-referenced).
Step 3:
She marks students’ work: She obtains a numerical value or score called the ‘Measurement’. Thus she finds out
“How much” each student scores.
Step 4:
She makes value judgment: That is, she makes an ‘Evaluation’ of students’ performance. She judges whether
they have the prerequisite skills to proceed to the next level or if she has to re-teach the concept re. the purpose.
N.B When a teacher sifts and interprets the measurement he/she has obtained,
he/she is performing an evaluation exercise
Table 1.1 Differentiating Between
Test, Measurement And Evaluation
TESTS MEASUREMENT EVALUATION
A subject teacher constructs
and administers a set of items
to assess student performance
in (any subject area)
N.B. student characteristics
can also be obtained using
non-testing devices
The guidance counselor has
each student complete an
interest inventory, attitude
scale and a personality test
The items are scored. This
produces a set of numbers
that indicate how each
student is performing in
relation to other students or
in comparison to a
standard.
 High performing and
low performing
students are identified.
 Positive and negative
attitudes, interest and
different personalities
are also identified.
If a student lacks
perseverance, is failing
(subject area) and has a
negative attitude towards
the subject, then he/she can
be advised that his/her
choice of career in
(profession) is hopelessly
unrealistic.
If a student is creative, loves
(subject area) and does
well, then she can be
advised in her ambition to
become a (profession).
Exploring the Process of Assessment And Other Related Concepts
___________________________________________________________________________
5
DECISIONS SHOULD BE BASED ON SOUND CRITERIA!!!.
Four main characteristics – reliability, suitability, objectivity and validity - should be
considered when preparing to assess. These characteristics, therefore, are also essential in
planning testing, measurement and evaluation.
Table 1.2 Characteristics of Assessment, Measurement and Evaluation
Reliability Suitability Objectivity Validity
*Refers to the
assessment obtained
with an assessment
instrument
*Consistency of test
scores or assessment
results from one
measurement to another
*Inter rater –
consistency of scores
between raters
*Intra rater -
Consistency of scores
given by the same rater
at different times
*Appropriateness of the
item in relation to:
 Age level of students
 Objective being
tested
 Content taught
*Free of subjective
judgment
*Degree to which
equally competent
scorers obtain the same
measurement
*Can affect reliability
and validity of scores
*Accuracy
*Concerned with
adequacy and
appropriateness of the
interpretation and use of
assessment results –
Criterion-related
*How well the sample
tasks are representative
of the domain of tasks
or content to be
measured- content-
related
*The correspondence
between achievement
test items and the
instruction for which the
test is built. *Construct
–related
*Does the test measure
what it sets out to
measure?
In order to ensure a high degree of reliability, suitability, objectivity and validity there are
several approaches the teacher can utilize.
Exploring the Process of Assessment And Other Related Concepts
___________________________________________________________________________
6
How can the teacher improve Reliability?
 Avoid ambiguous questions and directions or instructions.
 Sample more items with similar content.
 Use well defined scoring/marking schemes.
 Train raters/markers in an effort to standardize marking or interpretation of
students’ work
How can the teacher improve Suitability?
 Match items to objectives.
 Keep students’ reading level and age in mind when designing tests/exams.
 Give enough time to complete tasks.
How can the teacher improve Objectivity?
 Provide clear scoring scheme or criteria especially for performance tasks and
supply items e.g. essays.
 Design (select) items to ensure only one correct response e.g. multiple choice.
How can the teacher improve Validity?
 Design a table of specifications.
 Test only what is taught.
 Consider ‘for whom’ and ‘for what’.
 EEnnss uurree tthhaatt iinnssttrruuccttiioonnss aarree cclleeaarr..
 UUssee iittee mm ttyyppeess tthhaatt eennhhaannccee rreelliiaabbiilliittyy ooff tteess ttss –– bbootthh ssuubbjjeeccttiivvee aanndd oobbjjeeccttiivvee iittee mmss ..
 EEnnss uurree aapppprroopprriiaattee ssaammpplliinngg ccoonntteenntt..
 DDeetteerrmmiinnee wwhh iicchh lloo ww ddiissccrriimmiinnaattiinngg iittee mmss ttoo ddiiss ccaarrdd aafftteerr iittee mm aannaallyyssiiss..
 PPaayy aatttteennttiioonn ttoo ssccoorriinngg pprroocceedduurreess aanndd tteesstt aaddmmiinniissttrraattiioonn..
Gronlund (2000) points out: “The degree of validity is the single most important aspect of a test”.
Furthermore, the teacher must be aware of the many factors which may influence the validity of tests
measurement, or evaluation results at any given time in the assessment process. Therefore, the teacher must pay
attention to:
(1) the test;
(2) administration and scoring;
(3) pupil’s responses;
(4) the group and the criterion.
These factors are outlined below.
Exploring the Process of Assessment And Other Related Concepts
___________________________________________________________________________
7
VALIDITY:
Factors which may influence
Validity:
1. Factors in the test:
a. Unclear directions
b. Poor sentence structure
c. Inappropriate level of difficulty
of items
d. Poorly constructed test items
e. Ambiguity
f. Test items inappropriate for
items being measured
g. Test too short
h. Improper arrangement of items
i. Identifiable patterns of items
2. Factors in test administration and
scoring:
a. Insufficient time to complete
test
b. Unfair aid to individuals
c. Cheating
d. Unreliable scoring of items e.g.
essays
e. Adverse conditions (physical;
psychological)
3. Factors in pupils’ responses:
a. Invalid test interpretations
b. Emotional disturbances
c. Test anxiety
d. Set pattern of answering
4. Nature of the group and the criterion:
a. Age
b. Sex
c. Ability level
c. Educational background
d. Cultural background
Planning The Test
___________________________________________________________________________
8
SECTION 2:
PLANNING
THE
TEST
Why Test
Kinds Of Tests, Measurement And Evaluation
General And Specific Objectives
Testing And Non-Testing Devices
Table Of Specifications
As a preview to planning any test, the
assessment techniques should be clearly
related to the instructional plan. Thus
the teacher must ensure there is a link
between teaching, learning and
assessment.
Firstly, we must know the reason why
we are testing - the purpose or the
consequences. Secondly, we must
clearly specify the leaning outcomes
we wish students to achieve; and
thirdly, we must provide well-designed
instruments which parallel the
characteristics of effective instruction.
Planning The Test
___________________________________________________________________________
9
WHY DO WE TEST?
 To control the condition for all students: e.g.
 Same time;
 Same access or non access to resources;
 All students can rely on their own efforts.
Planning To Test
In this section we will focus on the main activities in planning a ‘fair’ test – the first step in the
assessment process.
1. Purpose and consequences;
2. General and specific objectives;
3. Instruments and devices.
1. PURPOSE AND CONSEQUENCES (KINDS OF TESTS):
The teacher must be aware of the kinds of test available, and which are most
suitable for the decisions which will be made. The major types of tests are
outlined below.
Kinds of Tests / Assessment:
(Mehrens and Lehmann 1984; Richardson,
1997; Linn & Gronlund 2000
Achievement Tests – Teacher-Made:
Concerned only about what is taught – or else the teacher must make provision for other extraneous
factors. For example: untidiness, lateness, incorrect spelling.
However, do not limit students’ education by teaching the test
Achievement Tests – Standardized:
These tests have been developed by educational and test specialists in relation to a clearly defined
achievement domain, pretested, revised and selected based on their difficulty and discrimination. There
are precise directions for administration. These are formal tests that allow the teacher to compare
students with other students in the country, who are representative of a “norm’ group. However, the
content of standardized test does not always match what is taught in a certain school or classroom.
Planning The Test
___________________________________________________________________________
10
Selection or Aptitude Tests:
Tests administered in order to:
(i) Select students on the basis of special aptitude; or
(ii) Identify top scorers especially when there is a lack of space; or
(iii) Predict future performance.
Diagnostic Tests:
Administered at the beginning of a course in order to pinpoint
the precise areas of the curriculum that students have or have not achieved.
The test items may be similar to those on an achievement test
but usually test a smaller area of knowledge.
Criterion-referenced interpretation is usually applied to the results of diagnostic tests.
This enables the teacher to:
(i) Plan future strategies or
(ii) Give more practice in an area before moving on to new work.
Placement Tests:
These types of tests are similar to achievement tests, but cover more than one subject area. They are
administered in the case of student transfers – from one school or country to another.
The main purpose is to ensure that a student is being placed in the grade level which is most appropriate
to the student’s present educational achievement.
Performance Tests:
Can be termed practical (laboratory work in Science subjects) or orals (Modern languages). These
procedures/processes are judged using specific criteria. In addition ‘end’ products are also judged.
They must also meet the ten criteria offered for a ‘good’ test.
Formative:
This kind of test is administered during instruction
to find out which learning outcomes students are handling or which they need help with;
Done in order to shape, and improve performance and behaviour.
Summative:
This kind of test is administered at the end of a specified period of time: -course, unit, year.
This is to identify whether students have achieved the objectives of the course.
Emphasis can be placed on assigning grades.
Norm-referenced:
This test is given to compare students’ score with the average score of the other students in the
class. The teacher can include a large number of easy items
Criterion-referenced:
This test is given to compare student performance against a standard or a set of performance
tasks. A student’s outcome is dependent on what he/she can do – what objectives each student
has mastered. The teacher can use some very easy and some very difficult items.
Planning The Test
___________________________________________________________________________
11
Below is a summary of three main kinds of test. The tests described above can be placed in
any of the three categories, as outlined in the table, depending on the purpose of the
exercise.
Table 2.1: Similarities and Differences Between:
KINDS OF TEST
DIAGNOSTIC FORMATIVE SUMMATIVE
TIME
 For placement at the outset of a unit,
semester, or year’s work
 During instruction when student
evidences repeated inability to profit fully
form instruction
 During instruction  At the end of a unit,
term or year’s work
INSTRU-
MENTATION
 Formative and summative instruments
for pretest
 Standardized achievement tests
 Standardized diagnostic tests
 Teacher-made instruments
 Observation checklists
 Specially designed
formative
instruments
 Final or summative
examination
SAMPLING
 Specific sample of each prerequisite
entry behaviour
 Sample of weighted course objectives
 Sample of physically, emotionally or
environmentally related behaviours
 Specific sample of
all related tasks in the
hierarchy of the unit
 A sample of
weighted objectives
ITEM
DIFFICULTY
 Diagnosis of prerequisite skills and
abilities: a large number of easy items,
65% difficulty or higher
 Cannot be specified
beforehand
 Average difficulty,
ranging from 35% to
70%, with some very
easy and some very
difficult item
An Adaptation of
Bloom et al., 1971
2. General and Specific Objectives
After you have decided on the purpose of your test, you must now clearly specify the
instructional outcomes you wish students to achieve.
““TThhee ffiirrsstt sstteepp iinn pprreeppaarriinngg ffoorr aa ccoouurrssee iiss wwoorrkkiinngg oouutt
ccoouurrssee oobbjjeeccttiivveess,, bbeeccaauussee tthhee cchhooiiccee ooff tteexxttss,, tthhee sseelleeccttiioonn
aanndd oorrddeerr ooff aassssiiggnnmmeennttss,, tthhee cchhooiiccee ooff tteeaacchhiinngg
tteecchhnniiqquueess,, aanndd aallll tthhee ddeecciissiioonnss iinnvvoollvveedd iinn ccoouurrssee
ppllaannnniinngg sshhoouulldd ddeerriivvee ffrroomm yyoouurr oobbjjeeccttiivveess”” ((MMccKKeeaacchhiiee,,
11998866,, 88))..
"WHY DO YOU NEED LEARNING OBJECTIVES?"
Mager 1962 reiterates:
“Clear objectives can help the teacher design lessons that will be
easier for the students to understand and the teacher to evaluate.”
Planning The Test
___________________________________________________________________________
12
Therefore, objectives, as a guide to planning, are beneficial to the teacher as well
as the students. Generally, all stakeholders can have a yardstick with which to
measure the extent to which there is a valid link between teaching, learning and
assessment.
We can further classify the main reasons for writing objectives as follows:
1) They provide a sound basis for selection of learning materials, content, methods.
2) They provide a way to measure whether the learning has been attained.
3) They give the student an opportunity to organize their efforts and activities before
and during instruction.
Objectives can be classified as two main types a) General and b) Specific. Although useful in planning
instruction, they serve different purposes.
General Objectives: Non-behavioural expressions of learning outcomes to be achieved after a sequence
of teaching; denote general educational goals. ‘Action’ words are not used to denote non-behavioural
objectives.
The following are some covert (unobservable) verbs used when stating general objectives.
Appreciate
Believe
Comprehend
Understand
Value
Recognize
Students will appreciate
music.
Can you measure when a
child is appreciating,
enjoying, grasping, etc.?
AMBIGUOUS!!
AMBIGUOUS!!
Familiarize
Grasp
Indicate
Know
Imagine
Think
Students will grasp the
functions of the computer hard
drive
Do these verbs give you any
indication of the kind of changes
to look for in students to show
that they have achieved the
stipulated goal?
Students will understand
how to add, subtract,
multiply…
AMBIGUOUS!!
Students will enjoy
physical education
Realize
Cope
Learn
Enjoy
Apply
Like
Are these
performance
verbs?
DIFFERENTIATING BETWEEN GENERAL AND SPECIFIC OBJECTIVES
(Mager 1962; Moore, 1995)
Planning The Test
___________________________________________________________________________
13
Specific Objectives:Behavioural/instructional outcomes of units and lessons.
THEY SPECIFICALLY STATE THE OVERT BEHAVIOUR THAT STUDENTS WILL PERFORM IN ORDER
FOR THE TEACHER TO OBSERVE AND MEASURE TO WHAT EXTENT THE STUDENT HAS
MASTERED THE OBJECTIVES. FOR EXAMPLE WHAT BEHAVIOUR DO STUDENTS DEMONSTRATE
FOR THE TEACHER TO MEASURE UNDERSTANDING, APPRECIATION, AND ENJOYMENT ETC.?
Despite the benefits of writing specific objectives, there are several criticisms that must be considered:
SOME CRITICISMS ABOUT WRITING SPECIFIC OBJECTIVES:
1. They lead to neglect of important goals of education;
2. The emphasis on precision and observable student behaviour could cause the
number of objectives for almost any subject to be an unmanageable list; that is,
too long to complete for any given time;
3. Many of the more complex cognitive processes are not readily observable.
Several educators (Ward & Murray-Ward; Chatterji 2003; Anderson & Krathwohl 2001; Marzano 2001)
have proposed new taxonomies over the past five years. One that I find simpler as the functional
taxonomy of knowledge, skills and behaviours was designed by challerji (2003).
Factual Knowledge Reproduction of information in a different form
Application Involves one-step procedure
Complex Multi-step procedure – hypothesizing, reasoning, making
Procedural Skills judgement to make decisions to solve complex problems
Higher Order Thinking Combination of analysis, synthesis and evaluation
and Problem Solving
Attitude and Values Taking action based on his/her value system
Social Behaviour Demonstration of behaviours in line with social conventions
Motor Skills Demonstration of coordination, strength and skills related to
physical task
It seems, however, although some educators claim “better fit with current thinking and research”
each successive taxonomy or classification bears resemblance to Bloom’s taxonomy which has
significantly impacted the developmental activities in our classrooms.
Planning The Test
___________________________________________________________________________
14
Below is an outline of Bloom’s Taxonomy of the cognitive, affective and psychomotor domains
Bloom et al., 1956 classified behavioural objectives into three domains: (Savage & Armstrong 1987, 82 - 90;
Arends, 1994, 51 – 53)
Figure 1 Domains and Taxonomies
Cognitive: These objectives are
concerned with exposing
students to knowledge and
thinking skills. [Revised]
Levels of objectives:
Knowledge/Remember
Comprehension/Understand
Application/Apply
Analysis/Analyze
Synthesis/Evaluate
Evaluation/Create
Performance Verbs:
define distinguish identify
restate explain infer use
choose classify categorize
write design assess
compare contrast rearrange
sort
Affective: These objectives deal
with feelings, attitudes, values
and emotions.
Levels of objectives:
Receiving
Responding
Valuing
Organization
Characterization by value
Performance Verbs:
Act adopt greet help join
give recite follow accept
participate dispute relate
read defend challenge
complete perform
Psychomotor: These objectives
focus on the development or
manipulation of motor skills.
Levels of objectives:
Perception
Set
Imitation
Manipulation
Precision
Adaptation
Origination
Performance Verbs:
Fix mix write connect
grip fasten construct
manipulate sketch compose
design assemble correct
paint repair create sew
As practitioners, teachers must be aware of the interrelationship between the three domains –
cognitive, affective, and psychomotor. The focus of the assessment will be dependent on the
element within the exercise, which the teacher is most interested in for a particular purpose.
Therefore the teacher must consider: “What is the main learning outcome which I expect
students to achieve as I write this objective? For example, “Students will (i) draw and (ii) label
the parts of the hibiscus flower”. Is it the knowledge of the parts; the skill of drawing
accurately; or the value gained from doing the task? Taking the time to write the objective
specifically can help clarify the expected focus for someone else who might use the objective
another time.
Below are three tables which outline and describe the three main domains
and their levels of thinking, feeling or doing
Planning The Test
___________________________________________________________________________
15
Table 2.2:1 Cognitive Domain: Taxonomy/Descriptions
Taxonomy Description
Knowledge/Remembering
Recalling previously learned material;
definitions, specific facts, concepts theories
Comprehension/Explaining
grasping meaning, explaining, restating ideas.
Summarizing information from one form to
another; interpreting or deducing the
significance of data.
Application/Applying
Using learned material in new situations.
Applying knowledge to novel situations
presented in an unfamiliar way.
Analysis/Analysing
Separating material into component parts and
show relationships between parts.
Evaluation/Evaluating
Judging the worth of material against stated
criteria. …Checking, experimenting,
hypothesizing, critiquing.
Creating
Generating ideas, or the way things are
done…Planning, inventing, producing
Table 2.2:2 Affective Domain: Taxonomy/Descriptions
Taxonomy Description
Receiving Becomes aware of an idea, process or thing;
Willingness to be exposed to new content,
behaviour with an open mind.
Approaching/Responding Suspend judgment until evidence has been
weighed carefully; Actively participates;
responds obediently.
Deciding/Valuing Arriving at personal decisions; Accepts worth
of belief, attitude, value or ideal.
Characterization/Sharing Allows values to guide or control behaviour;
deeply committed and share decisions
publicly without hesitation.
Table 2.2:3 Psychomotor Domain: Taxonomy/Descriptions
Taxonomy Description
Awareness/Perception Becomes aware of actions to be performed;
must be able to correctly describe what is to
be done to perform a given psychomotor task
properly.
Set Becomes ready to act mentally, physically and
emotionally.
Guided Response /
Integration / Imitation
Performs action under supervision through
trial and error; the teacher should be available
to provide help
Mechanism/ Manipulation Performs action habitually with some degree
of confidence.
Complex overt Response/
Precision
Performs action automatically with a high
degree of skill
Adaptation Modify action and skill to suit problem
situations
Origination Creates new…to fit a particular situation or
problem
Note the
revised
Bloom’s
taxonomy
Planning The Test
___________________________________________________________________________
16
Components of a Specific Objective
Below are some views of how a specific objective can be identified or categorized.
Mager (1962) argued that:
“A meaningfully stated objective is one that succeeds in
communicating … the writer’s instructional intent”.
Such behavioural objectives require three parts (Arends, 1994, 49). These three parts are the (i)
Testing Condition, (ii) Student Behaviour, (iii) Performance Criteria. For this
purpose we may refer to these parts as TSP.
(T) Testing Condition: The condition under which the behaviour will be
observed or expected to occur. (Limitations or constraints which will affect the
students’ performance of the task).
(S) Student Behaviour: What the student will be doing or the kinds of behaviour
the teacher will accept as evidence that the objective has been achieved (the task –
identify the precise behavioural term to express the desired outcome).
(P) Performance Criterion: The standard or performance level defined as
acceptable. (Evidence which is desired in order to be confident that the learners have
achieved the objective).
Kibler, Barker and Miles, 1970 and Mager, 1984 also posit the view that a well-stated objective should include
FOUR components: Condition, Performance, Product, Criterion. …CPPC
There are similarities between TSP and CPPC
Condition  Testing condition
Performance  Student behaviour
[Product  Outcome, Task]
Criterion  Performance criterion
Debra Jones (1997) has suggested the following categorization:
To prepare an objective consider the ABCD:
Audience: plan for your learners.
Behavior: describe what they will be able to do.
Condition: specify the circumstances, limit or material.
Degree: how will the learner's performance be measured, and to what degree?
Planning The Test
___________________________________________________________________________
17
Example Of A Specific Objective:
"Given the measurements of three rectangles, the student will use a formula, to
calculate the area of at least two, correctly.
The cells below are filled in to identify the main parts of the specific
objective above.
Table 2.3 Identifying Components of a Specific Objective
Components of a specific
objective
Question to ask Example
Performance Do what? Calculate
Product What result? Area of three triangles
Condition Under what conditions? Limit? Given the measurements
Criteria How well? At least two correctly
The box below shows objectives from the three domains – cognitive, psychomotor and affective –
formulated to match a given general objective.
General Objective: Students will understand the
concept of growth.
Specific Objectives:
1. Given a diagramof a young seedling and
a mature pea plant, the student will
identify FOUR differences between them.
2. Students will draw diagrams showing the
stages of development in the frog.
3. Each pupil will explain, in one paragraph
of no less than fifty words, the importance
of ONE condition for successful growth of
plants.
WRITE
ONE
EXAMPLE
OF YOUR
OWN!!!
Table 2.4: Sample: General and Specific Objectives
Planning The Test
___________________________________________________________________________
18
Consider the exercise below. Can you improve on the specific objectives in any way?
The following exercise was done by a first year student (2002) - Temika Christian
For each of the general objectives given, formulate appropriate specific objective, as indicated, for each subject area.
Class: Grade 6 (10 –12 yrs)
Mathematics: After instruction, students will know how to find area of quadrilaterals.
Having formulated an algorithm for calculating the area of quadrilateral,
Cognitive: (Application)
Affective ( Receiving)
Psychomotor (free practice)
Pupils should be able to apply the formula to find the area of four quadrilaterals correctly
understand that knowing the formula is essential in order to calculate the area of quadrilaterals
construct a model quadrilateral, using specified measurements
Language: At the end of the term, students will grasp how to use the past tense appropriately
Given a list of six verbs
Cognitive: (Knowledge)
Affective ( Responding)
Psychomotor (Imitation)
Pupils should be able to state orally the past tense of each
pupils will practise to use the past tense of verbs correctly in their daily lives
Given written instructions pupils should be able to complete four sentences by correctly inserting the
past tense of the verbs in brackets
Social Studies: At the end of the unit, students will recognize the purpose of street signs and other signs that are designed to
protect children.
Having observed a video presentation on the purpose of street signs
Cognitive: (Evaluation)
Affective ( Valuing)
Psychomotor (Awareness)
Pupils should be able to give four reasons to justify the usefulness of street signs
express in writing three reasons why it is important for streets to have signs
draw two street signs which they think are very important, using given materials.
Science: Before entering Grade 7, students will appreciate that the development of amphibians is essential
After studying pictures showing the development of amphibians
Cognitive: (Knowledge)
Affective ( Responding)
Psychomotor (Imitation)
Pupils should be able to explain in their own words, each stage of development
pupils will use a column in the school’s newspaper to inform people about the development of
amphibians
sketch the first two stages of development with accuracy, using a pencil and drafting paper
============================================================================================
Planning The Test
___________________________________________________________________________
19
After the teacher has compiled the topics/content and classified the list of objectives, the
next step is to design a table of specifications.
TABLE OF SPECIFICATIONS:
In its simplest form, the table of specifications is a two-way chart or test blueprint.
It is useful in guiding instruction and assessment – the time spent on a
topic/content in terms of its importance and the demands of the curriculum and the
match between levels of thinking, feelings and skills and the type of items on the
test.
What is the Purpose of the Table of Specifications?
To ensure that the test is a valid measure of instructionally relevant tasks/course content and
objectives:
 The emphasis in the test should be reflected in the table of specifications: re:
weighting of topics and levels/taxonomies;
 Avoid the tendency to overload the test with lower order items and ignore more
complex outcomes;
 Aids in obtaining an adequate sample of tasks which represents the set or domain
of content and objectives.
Figure 2 Designing a Table of Specifications
1. List the content areas /topics
2. List the objectives
3. Classify the objectives - domains & taxonomies
4. Prepare a grid
5. Total scores for each content area
6. Weight each objective
7. Total scores for each level
Planning The Test
___________________________________________________________________________
20
Table 2.5:A Sample (Two-way) Table of Specifications For A
Summative Test:
Cognitive Domain/ Taxonomies (only);
Content Areas and Weighting of Objectives
There may be variations in the stipulation of domains and levels of thinking for specific
core areas.
 Social Studies: –Cognitive: all levels especially Comprehension, Application and
evaluation; however, there is also focus on the affective and psychomotor
domains
 Mathematics: - Recall / Comprehension, Computation / Algorithm, Problem
Solving
 Science: - Recall, Comprehension, Use of Knowledge
 Language Arts: - Recall, Comprehension, Analysis and Synthesis
3. Instruments and Devices: When conducting assessment activities, do remember that
you can utilize a “… range of procedures” to gain information concerning student performance and
patterns of behaviour.
Level
Content
Knowledge Compre
hension
Analysis Synthesis Evaluation Total
Marks
Types of
Items
Obj. (i)
(12)
Obj.
(ii)
(8)
20
Kinds of
Tests
Obj. (iii)
(10)
Obj. (v)
(8)
Obj. (iv)
(5)
Obj. (vi)
(5)
28
Total
Marks 22 8 8 5 5 48
Planning The Test
___________________________________________________________________________
21
Table 2.6 Testing Methods For Varying Purposes
(Ebel & Frisbie, 1991, 29)
Type of
Information
LEVEL OF INSTRUCTION
Course Unit Daily Lesson
Entering
Behaviour
Formative
Evaluation
Summative
Evaluation
Cumulative folders,
questionnaires, observation,
oral questioning
Unit tests, projects, papers,
observation, participation
patterns
Final examination,
comprehensive project,
research paper,
performance ratings
Pretest,
oral questioning, checklist,
observation
Quizzes,
oral questioning,
results
participation records
Unit test,
Written project,
Work product,
Presentation,
Participation record,
Performance checklist
Observation,
oral questioning,
homework results
Teacher questioning
student questioning
quizzes
activity observation
nonverbal observation
(Not applicable)
Table 2.7 Testing And Non-Testing Devices.
These “… range of procedures” to gain information concerning student performance and patterns
of behaviour can be categorized as Testing and Non-Testing devices.
N.B. The testing devices are most useful when assessing traditional student achievement/behaviour
The non-testing devices are most useful when assessing performance tasks
TESTING DEVICES NON-TESTING DEVICES
o Standardized tests
o Achievement tests
o Intelligence tests
o Personality tests
o Creativity tests
o Learning style /cognitive
style inventories
o Teacher made-tests
(essays, objective,
diagnostic)
o Questionnaires
o Direct observation
(schedules)
o Anecdotal records
o Case studies
o Check lists
o Rating scales
o Journals
o Portfolios
o Profiles
Designing The Test
_____________________________________________________________________
22
Section 3:
Designing The
Test
Types of items
Making meaningful assignments/tests
Steps in preparing assignments/tests
Monitoring
Designing The Test
_____________________________________________________________________
23
THE KINDS OF QUESTIONS A TEACHER ASKS WILL REVEAL TO THE
STUDENTS THE LEVEL OF THINKING WHICH IS REQUIRED OF THEM!!!!
Figure 3
OBJECTIVE this is in reference to marking SUBJECTIVE
one correct response variety of responses & marks
may be influenced by bias,
handwriting, mood, student…
SELECT student chooses one correct response SUPPLY student supplies the full
response from a number of choices
-short or extended
Multiple Choice students can
True/False ESSAY organize, integrate ideas
Matching [COMPLETION]
Fill In The Blanks may be select or supply
Designing The Test
_____________________________________________________________________
24
Here is a brief description of selected item types.
These types of items represent the traditional way of testing.
That is, the sit-down-at-the-desk-paper-and-pencil-test.
However, the essay item can also be classified as a performance
task.
Multiple-choice: Student selects the correct answer from among
some possible answers. (E.g. A B C D) - Consists of the STEM;
OPTIONS (possible answers or choices); DISTRACTORS
(incorrect responses); KEY (correct response).
True/False: (alternate response) Contains a statement about
which the student is asked to make a judgment – right/wrong;
correct/incorrect; yes/no; agree/disagree; smile/frown.
Matching: Consists of two parallel lists/columns – words, phrases
or sentences. Matching column contains premises; selection
column contains responses.
Completion – Fill in the blanks: Students are expected to
complete a statement by supplying a word, phrase, number or
symbol in the blanks provided.
Essays: Classified into two types: Extended and Restricted. Give
students the opportunity to organize, integrate and evaluate ideas.
N.B.
Stimuli – picture, diagram, paragraph, map, etc. can be used with
the above types of items in order to create an interpretive
exercise.
Designing The Test
_____________________________________________________________________
25
REVIEWSUGGESTIONS FOR EACH OF THE ABOVE ITEM TYPES
“The goal … to write clear, concise, unambiguous items.”
Table 3.1:1
MULTIPLE CHOICE
1. Make the stem meaningful.
2. Phrase the stem so that it presents a definite problem or task.
3. Do not repeat words or phrases in each option.
4. Avoid clues.
5. Write items at an appropriate reading level.
6. Highlight negative phrases. E.g. NOT LEAST
7. Make all options grammatically consistent with the stem of the
item.
8. Ensure only ONE correct or clearly BEST answer.
9. Make all options about the same length.
10. Use special options such as ‘none of the above’ or ‘all of the
above’ sparingly.
Tick the correct answer.
Which of the following is an advantage of multiple-choice items on a test?
They:
A. assess how well a student can organize knowledge
B. can cover a wide range of knowledge
C. promote guessing
D. lend themselves easily to testing complete problem-solving skills
Designing The Test
_____________________________________________________________________
26
Table 3.1:2
TRUE/FALSE
1. Do not use broad general statements.
2. Avoid the use of trivial statements.
3. Do not use negative statements.
4. Avoid long complex sentences.
5. Avoid including two ideas.
6. Make all statements equal length.
7. Avoid patterns.
Write True or False in the space provided at the end of
the following statement.
For the majority of people, normal body
temperature is 98.6ºF. __________
Table 3.1:3
MATCHING
1. Use only homogeneous or related materials.
2. Clearly indicate the basis for matching.
3. List of responses – on the right – should consist of
single words or short phrases.
4. Arrange responses in chronological or alphabetical
order.
5. Limit choices: from five (5) to ten (10).
6. Set items to hold on one page.
Table 3.1:4
Designing The Test
_____________________________________________________________________
27
FILL IN THE BLANKS/COMPLETION
1. Word the item so that the required answer is
definite.
2. Do not use direct statements from
textbooks/notes.
3. Make the blanks for the responses equal in
length.
4. Limit the number of blanks.
5. Place blanks preferably towards the end.
E.G. Fill in each blank with the most appropriate word to complete
the following sentences about objective type items.
When we measure factual information based on simple associations, it
is important to use homogeneous premises and __________.
Table 3.1:5
ESSAYS
1. Restrict the use to learning outcomes that
cannot be satisfactorily measured by objective
items.
2. Formulate questions that will measure the
specified learning outcome.
3. Phrase each question so that the task is clearly
indicated.
4. Indicate the approximate time limit for each
question.
5. Avoid the use of optional questions.
Answer each of the following questions
a. Describe a table of specifications. (5 Marks)
b. State THREE main reasons why the TOS is important to
the classroom teacher. (3 marks)
WHICH TYPE DO
YOU PREFER?
Designing The Test
_____________________________________________________________________
28
N.B EACH TYPE HAS ITS STRENGTHS AND WEAKNESSES
Table 3.2: A COMPARISON TABLE
(Gronlund, 1998, 101)
SELECTION-TYPE ESSAYS
Learning outcomes
measured
Sampling content
Preparation of items
Scoring
Factors distorting
scores
Probable effect on
learning
Good for measuring outcomes at the knowledge,
comprehension and application levels of learning;
inadequate for organizing and expressing ideas.
The use of a large number of items results in broad
coverage, which makes representative sampling
feasible.
Preparation of good items is difficult and time
consuming.
Objective, simple and highly reliable
Reading ability and guessing
Encourages students to remember, interpret and
use the ideas of others.
Inefficient for measuring knowledge outcomes;
best for ability to organize, integrate and express
ideas.
The use of a small number of items limits
coverage, which makes representative sampling of
content infeasible.
Preparation of good items is difficult but easier
than selection-type
Subjective, difficult and less reliable.
Writing ability and bluffing
Encourages students to organize, integrate and
express their ideas.
Designing The Test
_____________________________________________________________________
29
LEARN DETAILS INVOLVED IN MAKING
MEANINGFUL AND FAIR EXAMS/TESTS.
KNOW HOW TO MAKE MEANINGFUL
ASSESSMENT
_________________________________
____________________________
CLASSROOM TESTING
KKNNOOWW WWHHYY YYOOUU AARREE TTEESSTTIINNGG!!
TTHHEE TTEESSTT SSHHOOUULLDD AASSSSEESSSS
WWHHEETTHHEERR TTHHEE SSTTUUDD EENNTTSS HHAAVVEE
MMAASSTTEERREEDD TTHHEE PPRRIIMMAARR YY
CCOOUURRSSEE OOBBJJEECCTTIIVVEESS..
TThhoossee wwhhoo ssttuuddyy aasssseessssmmeenntt aanndd eevvaalluuaattiioonn
tteecchhnniiqquueess aarree qquuiicckk ttoo ppooiinntt oouutt tthhaatt tthhee rroollee ooff
ssttaannddaarrddiizzeedd tteessttiinngg hhaass rreecceeiivveedd ccoonnssiiddeerraabbllyy
mmoorree rreesseeaarrcchh aatttteennttiioonn tthhaann hhaavvee ccllaassssrroooomm
tteessttiinngg aanndd ootthheerr ccllaassssrroooomm--lleevveell aasssseessssmmeenntt
mmeetthhooddss.. TThhee eexxiissttiinngg rreesseeaarrcchh ddooeess iinnddiiccaattee,,
hhoowweevveerr,, tthhaatt wweellll--ddeessiiggnneedd ccllaassssrroooomm tteessttiinngg
pprrooggrraammmmeess bbeeaarr aa ppoossiittiivvee rreellaattiioonnsshhiipp ttoo llaatteerr
ssttuuddeenntt aacchhiieevveemmeenntt..
BBeenneeffiicciiaall eeffffeeccttss aarree nnootteedd wwhheenn
tteessttss aarree::
 AAddmmiinniisstteerreedd rreegguullaarrllyy aanndd
ffrreeqquueennttllyy..
 AAnn iinntteeggrraall ppaarrtt ooff tthhee iinnssttrruuccttiioonnaall
aapppprrooaacchh ((ii..ee..,, wweellll aalliiggnneedd wwiitthh tthhee
mmaatteerriiaall bbeeiinngg ttaauugghhtt))..
 CCoolllleecctteedd,, ssccoorreedd,, rreeccoorrddeedd aanndd
rreettuurrnneedd ttoo ssttuuddeennttss pprroommppttllyy ssoo tthheeyy
ccaann ccoorrrreecctt eerrrroorrss ooff uunnddeerrssttaannddiinngg
bbeeffoorree tthhoossee bbeeccoommee iinnggrraaiinneedd..
Designing The Test
_____________________________________________________________________
30
TThhee pprroocceedduurreess aabboovvee aarree iimmppoorrttaanntt iinn eennssuurriinngg
tthheerree iiss aa hhiigghh ddeeggrreeee ooff vvaalliiddiittyy aanndd ffaaiirrnneessss..
FFAAIIRRNNEESSSS:: ……rreeffeerrss ttoo ssuucchh aassppeecctt ooff tthhee aasssseessssmmeenntt
pprrooggrraammmmee aanndd eevvaalluuaattiioonn ssyysstteemm aass::
 EEqquuaall ooppppoorrttuunniittyy ttoo aaccqquuiirree kknnoowwlleeddggee aanndd sskkiillllss ttoo
bbee aasssseesssseedd;;
 UUssee ooff ddeevveellooppmmeennttaallllyy aapppprroopprriiaattee aasssseessssmmeennttss;;
 SSoouunndd pprroocceedduurree;;
 AApppprroopprriiaattee uussee ooff eevvaalluuaattiioonn rreessuullttss;; aanndd
 RReeaassoonnaabbllee ddeemmaannddss oonn tthhee tteeaacchheerrss bbeeiinngg eevvaalluuaatteedd
iinn tteerrmmss ooff ssuucchh ffaaccttoorrss aass ttiimmee,, ccoosstt aanndd ppeerrssoonnaall
rreessoouurrcceess rreeqquuiirreedd..
FFaaiirrnneessss iinn eexxaammss iiss cchhaarraacctteerriizzeedd bbyy::
 AAbbsseennccee ooff bbiiaass;;
 PPrroocceedduurraall ffaaiirrnneessss;;
 AAddeeqquuaattee oorr eeqquuaall ooppppoorrttuunniittyy;;
 EEqquuaalliittyy ooff rreessuullttss..
Designing The Test
_____________________________________________________________________
31
MMAAJJOORR SSTTEEPPSS IINN DDEESSIIGGNNIINNGG
TTEESSTTSS//EEXXAAMMSS!!!!!!
11.. EEssttaabblliisshh tthhee ppuurrppoossee ffoorr tthhee
ttaasskk..
22.. IIddeennttiiffyy aanndd ddeeffiinnee tthhee
iinntteennddeedd lleeaarrnniinngg oouuttccoommeess..
33.. PPrreeppaarree tteesstt ssppeecciiffiiccaattiioonnss..
44.. RReevviieeww aanndd eeddiitt iitteemmss..
55.. AArrrraannggee tthhee iitteemmss..
66.. PPrreeppaarree ddiirreeccttiioonnss
KKnnooww wwhhyy yyoouu aarree tteessttiinngg!!
TTeessttss sshhoouulldd aasssseessss wwhheetthheerr tthhee
ssttuuddeennttss
hhaavvee mmaasstteerreedd tthhee pprriimmaarryy
oobbjjeeccttiivveess!!!!!!
SSuummmmaarryy
AAssssiiggnnmmeennttss sshhoouulldd
hheellpp ssttuuddeennttss
uunnddeerrssttaanndd tthhee mmaatteerriiaall
bbeetttteerr,, aanndd ccoommmmeennttss
oonn tthheeiirr wwoorrkk sshhoouulldd
aallssoo bbee uusseeffuull ttoo tthheemm..
PPlleeaassee NNoottee::
 TTeesstt iitteemmss sshhoouulldd
rreefflleecctt yyoouurr oobbjjeeccttiivveess
ffoorr tthhee uunniitt
 EEaacchh iitteemm sshhoouulldd
pprreesseenntt aa cclleeaarr ttaasskk
 SSttaattee eeaacchh iitteemm iinn
ssiimmppllee cclleeaarr llaanngguuaaggee,,
ffrreeee ooff bbiiaass
 OOnnee iitteemm sshhoouulldd nnoott
aaiidd iinn aannsswweerriinngg
aannootthheerr
 AAllllooww aammppllee ttiimmee
 AAssssiiggnn ppooiinnttss bbeeffoorree
aaddmmiinniisstteerriinngg tthhee tteesstt
 PPllaaccee ssiimmiillaarr iitteemm
ttyyppeess ttooggeetthheerr
 BBaallaannccee tthhee pprrooppoorrttiioonn
ooff ccoorrrreecctt aannsswweerrss;;
aavvooiidd ppaatttteerrnnss
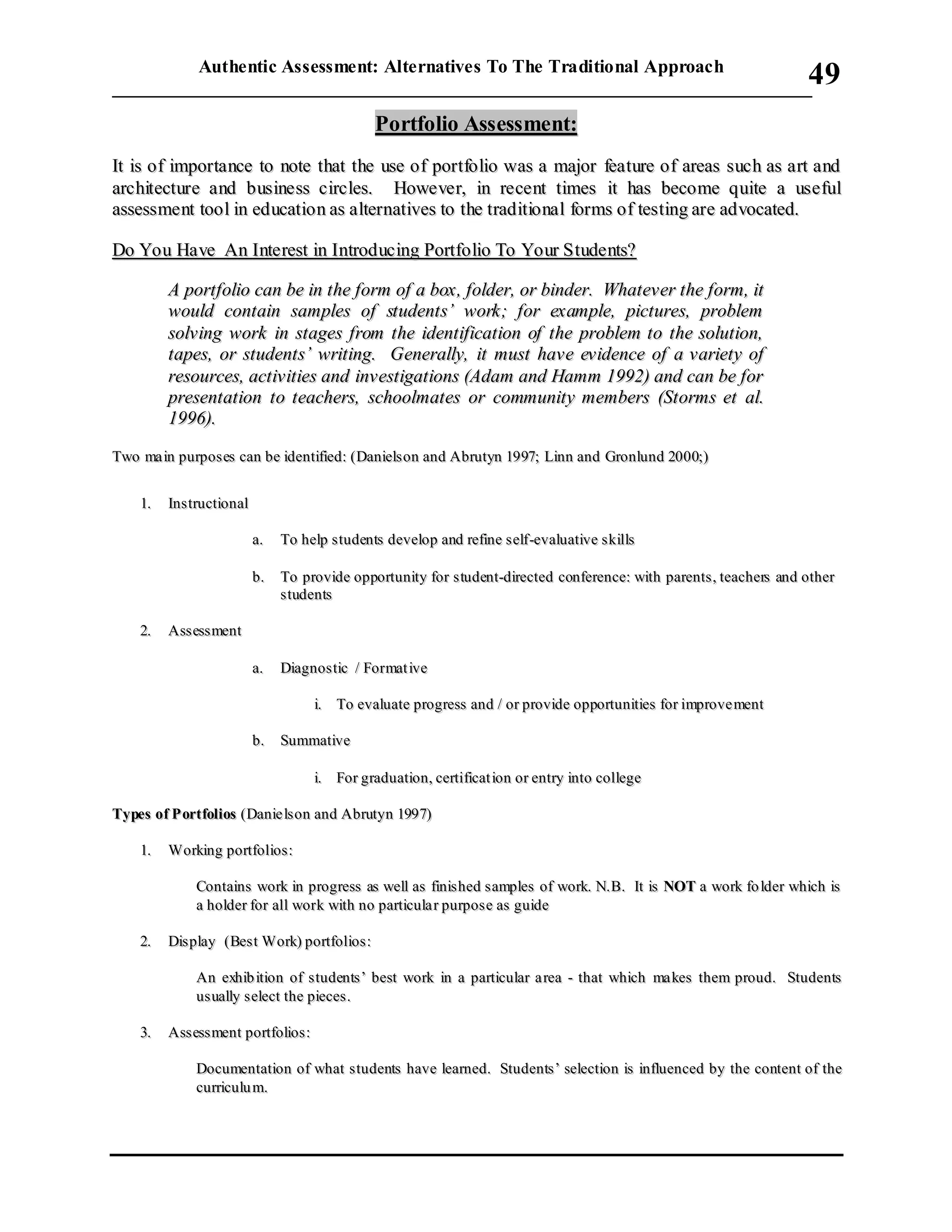
Authentic Assessment: Alternatives To The Traditional Approach
___________________________________________________________________________
32
PPAARRTT 22
SSeeccttiioonn 44::
AAuutthheennttiicc
AAsssseessssmmeenntt::
AAlltteerrnnaattiivveess
TToo TThhee
TTrraaddiittiioonnaall
AApppprrooaacchh ttoo
TTeessttiinngg
DDeeffiinniinngg AAuutthheennttiicc AAsssseessssmmeenntt
SSttuuddeenntt EEvvaalluuaattiioonn FFoorrmm
PPeerrffoorrmmaannccee AAsssseessssmmeenntt.. WWhhyy??
PPeerrffoorrmmaannccee VVss.. TTrraaddiittiioonnaall AAsssseessssmmeenntt
PPoorrttffoolliioo AAsssseessssmmeenntt
Authentic Assessment: Alternatives To The Traditional Approach
___________________________________________________________________________
33
DDeeffiinniinngg AAuutthheennttiicc
AAsssseessssmmeenntt::
““AAnn aasssseessssmmeenntt iiss aauutthheennttiicc wwhheenn iitt
iinnvvoollvveess ssttuuddeennttss iinn ttaasskkss tthhaatt aarree
wwoorrtthhwwhhiillee,, ssiiggnniiffiiccaanntt,, aanndd mmeeaanniinnggffuull..
SSuucchh aasssseessssmmeennttss …… ccoommmmuunniiccaattee ttoo
ssttuuddeennttss wwhhaatt iitt mmeeaannss ttoo wwoorrkk wweellll bbyy
mmaakkiinngg eexxpplliicciitt tthhee ssttaannddaarrddss bbyy wwhhiicchh wwoorrkk
wwiillll bbee jjuuddggeedd”” ((HHaarrtt,, 11999944,, 99))..
OOvveerr tthhee yyeeaarrss,, rreesseeaarrcchheerrss hhaavvee ccooiinneedd
sseevveerraall wwoorrddss oorr pphhrraasseess iinn aann aatttteemmpptt ttoo
ccllaarriiffyy tthhee mmeeaanniinngg oorr ppoowweerr ooff AAuutthheennttiicc
AAsssseessssmmeenntt:: PPeerrffoorrmmaannccee tteessttiinngg;;
aalltteerrnnaattiivvee tteessttiinngg ((HHaammbblleettoonn aanndd MMuurrpphhyy
11999922));; EExxhhiibbiittiioonn ooff mmaasstteerryy ((WWiiggggiinnss iinn
NNiicckkeell 11999922));; MMeeaanniinnggffuull aasssseessssmmeenntt
((AAddaammss aanndd HHaammmm 11999922));; NNaattuurraall
aasssseessssmmeenntt ((BBiieemmeerr 11999933))..
BByy ddeeffiinniittiioonn,, aauutthheennttiicc aasssseessssmmeenntt ((LLee
MMaahhiieeuu eett aall.. 11999955)) eennggaaggeess ssttuuddeennttss iinn
mmoorree ccoommpprreehheennssiivvee ttaasskkss,, wwhhiicchh pprroovviiddee
ddeettaaiilleedd eevviiddeennccee aabboouutt ssttuuddeennttss’’ tthhiinnkkiinngg
aanndd ‘‘eennccoouurraaggee ssttuuddeennttss ttoo ttaakkee aann aaccttiivvee
rroollee iinn aasssseessssmmeenntt ooff tthheeiirr wwoorrkk’’.. TThhiiss iiss
ssuuppppoorrtteedd bbyy AAddaammss aanndd HHaammmm ((11999922)) wwhhoo
bbeelliieevvee tthhaatt ssuucchh aaccttiivvee iinnvvoollvveemmeenntt iiss
nneecceessssaarryy ffoorr ssttuuddeennttss ttoo ffuunnccttiioonn iinn tthhee
ffuuttuurree.. IInn tthhiiss eexxeerrcciissee tthheeyy bbeeccoommee ppaarrttnneerrss
wwiitthh tthheeiirr tteeaacchheerrss iinn tthhee eevvaalluuaattiioonn pprroocceessss
((HHaarrtt 11999944)).. FFuurrtthheerrmmoorree,, HHaarrtt iiddeennttiiffiieess
tthhrreeee ccoommppoonneennttss ooff aauutthheennttiicc aasssseessssmmeenntt::
((ii)) tthhee ‘‘ddeessiiggnn’’ wwhhiicchh vvaalluueess tthhee mmuullttiippllee
aabbiilliittiieess ooff ssttuuddeennttss aanndd wwhhiicchh pprroommootteess
hhiigghheerr ssttaannddaarrddss ooff kknnoowwiinngg;; ((iiii)) tthhee
‘‘ssttrruuccttuurree’’ wwhhiicchh rreeqquuiirreess ssttuuddeenntt ttoo
ccoollllaabboorraattee oonn ttaasskkss wwhhiicchh aarree kknnoowwnn ttoo
tthheemm iinn aaddvvaannccee;; ((iiiiii)) tthhee ‘‘ggrraaddiinngg’’ wwhhiicchh
eemmpphhaassiizzeess ssccoorriinngg bbaasseedd oonn cclleeaarrllyy ssttaatteedd,,
sshhaarreedd ssttaannddaarrddss ooff ppeerrffoorrmmaannccee ccrriitteerriiaa aanndd
eennccoouurraaggeess tthhee hhaabbiitt ooff sseellff aasssseessssmmeenntt,,
wwhhiicchh ccaann ffuurrtthheerr eennccoouurraaggee ppeeeerr
aasssseessssmmeenntt..
EEvviiddeennttllyy,, aauutthheennttiicc aasssseessssmmeenntt
mmaaggnniiffiieess aaccttiivviittyy aanndd ddyynnaammiissmm.. TThhiiss
aapppprrooaacchh ssuuppppoorrttss tteeaacchhiinngg,, lleeaarrnniinngg aanndd
eevvaalluuaattiioonn iinn aa pprroocceessss wwhhiicchh aalllloowwss tthhee
ssttuuddeenntt ttoo::
11.. PPeerrffoorrmm,, rreessppoonndd oorr pprroodduuccee
kknnoowwlleeddggee iinn aa ggeennuuiinnee rraatthheerr tthhaann
ccoonnttrriivveedd ssiittuuaattiioonn,, tthhaatt iiss,, iinn rreeaall
wwoorrlldd ccoonntteexxtt;;
22.. EEnnggaaggee iinn ccaarreeeerr ddeevveellooppmmeenntt
aaccttiivviittiieess,, ssoo lleeaarrnniinngg hhaass
mmeeaanniinngg//vvaalluuee oouuttssiiddee ooff sscchhooooll;;
33.. CCoollllaabboorraattee oonn ccoommpplleexx eexxtteennddeedd
ttaasskkss,, uussiinngg ddiisscciipplliinneedd iinnqquuiirryy..
IInn tthhee eenndd,, tthhee ssttuuddeenntt iiss jjuuddggeedd oonn wwhhaatt
hhee oorr sshhee ccaann ddoo wwiitthh kknnoowwlleeddggee,, sskkiillllss
aanndd vvaalluueess aanndd tthhee aabbiilliittyy ttoo ““mmaakkee
ddeecciissiioonnss,, ssoollvvee pprroobblleemmss,, tthhiinnkk
ccrriittiiccaallllyy,, sseeppaarraattee ffaaccttss ffrroomm ooppiinniioonnss
…… ggeett((ttiinngg)) aalloonngg wwiitthh ootthheerr ppeeooppllee””
((BBiieemmeerr 11999933,,8811..
TThhuuss OOrrssmmoonndd eett aall.. ((11999966)) ssttrreessss iiff
““ssttuuddeennttss aarree ttoo bbeeccoommee mmoorree sseellff-- rreelliiaanntt
wwiitthh rreeggaarrdd ttoo tthheeiirr aaccaaddeemmiicc ddeevveellooppmmeenntt,,
cchhaannggeess iinn ssttaaffff aasssseessssmmeenntt pprraaccttiicceess wwiillll
hhaavvee ttoo bbee mmaaddee,, iinn tthhaatt ssoommee ppoowweerr wwiillll
hhaavvee ttoo bbee hhaannddeedd oovveerr ttoo ssttuuddeennttss””.. TThhiiss
iinnvvoollvveess ttuurrnniinngg ttoo aalltteerrnnaattiivveess ssuucchh aass ppeeeerr--
aanndd sseellff--aasssseessssmmeenntt..
AAuutthheennttiicc aasssseessssmmeenntt ggiivveess ooppppoorrttuunniittyy ffoorr
ssttuuddeennttss ttoo::
 LEARN HOW TO EVALUATE THEMSELVES
OBJECTIVELY
 HANDLE STUDENT AND TUTOR
EVALUATIONS
Authentic Assessment: Alternatives To The Traditional Approach
___________________________________________________________________________
34
Self-assessment:
Self-assessment refers to the ‘involvement of
learners in making judgment about their own
learning, particularly about their achievement
and the outcomes of their learning” (Boud and
Falchikov, 1989, 529).
The term self-assessment can be used
interchangeably with self-marking, self-ratings
or self-evaluations. The basic understanding of
this practice is that students engage in a process
to review, rate or mark their performance or
evaluate their own learning. In effect, there has
been increasing interest in ways to encourage
students to take responsibility for their learning.
The literature shows that they should be able to
work independently and also assess their own
performance (Boud and Falchikov, 1989). Since
students need to be involved actively in
evaluating and providing examples of their own
learning, Adams and Hamm (1992, 105) believe
they should be given the opportunity, among
other things, to identify their thoughts and
reflect on what they understand; this allows
them to ‘create, evaluate and act upon matters
that they and others value’.
Two main motives for promoting student self-
assessment have been identified by Boud and
Falchikov, (1989). The first is educational, as
students become involved in assessing their
competence; the second is expedience or
practicality, influenced by the need to give
teachers more time to plan, monitor and
moderate assessment activities, therefore
promoting more effective use of resources.
It is apparent that these motives are also
applicable to peer assessment, which
Sommervell (1993) sees as part of the self-
assessment process as it ‘serves to inform self-
assessment’.
Peer Assessment
Peer assessment is based on the same premise
of students’ involvement in grading, but engages
students in making judgement about the work of
other students.
Such an exercise has a two-pronged effect, for as
Zariski (1996) posits, the process allows
students to practise assessment and also observe
how others evaluate the results of learning.
Teachers have always witnessed informal peer
assessment in their classrooms. For example,
when teachers return papers, students usually
evaluate their performance against another
pupil’s. There are instances when they have
been bold enough to point out teachers’
shortcoming. Or, sometimes when work is put
on display, they too can determine and
appreciate what is appropriate and acceptable
(Hart, 1994).
Sommervell (1993) believes that peer review as
part of summative assessment helps not only to
develop students’ skills of reflection but also to
develop attitudes of responsibility towards other
members of the group.
Authentic Assessment: Alternatives To The Traditional Approach
___________________________________________________________________________
35
Student Evaluation Form:
This is a form used to solicit student
evaluations of a course since it is now
commonplace to find out what students
think about their experiences in the class
over the term / semester / course.
Davis (1993) notes the following based on
research:
 Ratings of overall teaching effectiveness
are moderately correlated with
independent measures of student
learning and achievement.
 Ratings tend to be relatively constant.
 There is little or no relation between
student evaluation and age; years in
college; or amount of homework.
 Gender of instructor may have an
impact.
GUIDELINES FOR
CONSTRUCTING A STUDENT
EVALUATION FORM:
Use forms that give students the opportunity
to provide quantitative ratings and to
comment narratively on an instructor’s
performance.
Select items that reflect the criteria of
effective teaching of the department or
institution and that are within students’
range of judgment.
State each item clearly.
Provide numerical rating scale.
Include at least one item that asks students
the effects of the course.
At least one quantitative measure on the
overall effectiveness of the instructor.
Limit the number of questions about student
characteristics.
Keep the form short.
S
K
I
L
L
S
A
T
T
I
T
U
D
E
K
N
O
W
L
E
D
G
E
Authentic Assessment: Alternatives To The Traditional Approach
___________________________________________________________________________
36
Table 4.1: Tick () the most appropriate choice, which represents your perception
STATEMENTS SA A U D SD
A.
My instructor:
includes everyone by encouraging them to speak
does all the talking and directing
makes the whole class revolve on class activities
is not fair in comments on writing
always gives instructive and helpful comments
is well prepared for class
runs the class very well in every way.
B.
Lectures seem too boring
Class time is long
A great deal of my papers had no comments on them
I would like to see more conference time
I feel peer evaluation helps
C. Write a comment, which BEST describes your view of
your teacher’s effectiveness in the classroom.
Authentic Assessment: Alternatives To The Traditional Approach
___________________________________________________________________________
37

PERFORMANCE ASSESSMENT: WHY?
Teachers consider the following thought provoking questions!!
Have you ever given students a project to complete individually or in groups?
Did you give the students a mark scheme? Checklist? Rating scale? Specific criteria? so they could
reflect on task(s) as the project progressed?
Did the students work feverishly and diligently to research and complete this project?
Did groups or individuals present the finished project to the class?
Did you assign a mark or grade for end product? for the presentation? for group work? for the outline of
the process?
Or, did you just tell the students to prepare the information for a written test on the same topic another
time?
Why is the answer to each of the above questions important?
There is great emphasis on testing in our schools. Regrettably, a very high percentage of testing is the
“sit-down-at-the-desk-paper-and-pencil” test. That is, the testing is mainly concerned with measuring
students’ ability to recall enormous amounts of information at one sitting, preferably at the end of the
term, at the end of the school year, or at the end of their five – six year stint in primary school. However,
educators advocate the use of other types of assessment to balance the emphasis on paper and pencil tests.
These include:
1. Performance Assessment: This requires pupils to demonstrate their achievement of
understandings and skills by actually performing a task or set of tasks - for example, writing
a story, giving a speech, conducting an experiment, operating a machine.
2. Alternate Assessment: A title for performance assessment that emphasizes that these
assessment methods provide an alternative to traditional paper and pencil testing.
3. Authentic Assessment: A title for performance assessment that emphasizes the importance of
focusing on the application of understanding and skills to real problems in ‘real world’
contextual settings.
(Gronlund, 1998, 2)
Authentic Assessment: Alternatives To The Traditional Approach
___________________________________________________________________________
38
Of the three types of assessment described above, performance assessment is the all-inclusive category.
Consider the following definition!!!
To summarize, performance assessment can be defined as an innovative view to the structure of
learning. Teaching, learning and evaluation are connected in a variety of extended tasks, subject to
students’ differing backgrounds. The students engage in critical thinking, exposed to real-life
situations, and are given opportunity to utilize all their senses to generate knowledge. On-going
assessment of the process or performance is based on human judgement, whose subjectivity is controlled
by specific criteria of standards.
NOTE WELL:
PERFORMANCE TASKS ASK STUDENTS TO:
 Restructure information rather than simply recall and reproduce.
 Understand and use information in new and unfamiliar contexts.
 Integrate and connect their conceptual understanding as they
 Observe
 Reason
 Experiment
 Interpret
 Make decisions
 Draw conclusions.
 Demonstrate persistence, imagination and creativity.
 Approach a problem in novel ways.
(Capper, 1996, 53,57)
Limitations of performance assessment: (Gronlund, 1998, 137)
1. Time consuming - evaluation must frequently be done individually, rather than in groups.
2. Judgment and scoring performance is subjective, burdensome and typically has low reliability.
USING GUIDELINES TO CONSTRUCT WELL DESIGNED
PERFORMANCE ASSESSMENTS:
(Gallagher, 1998, 279-280)
The steps in designing a performance assessment are:
1. Determine the purpose of the assessment.
2. Determine what skills and outcomes the assessment will cover and specify in detail, including
taxonomic domain and level.
3. Develop a task that is illustrative of and calls for the behaviour specified in the outcomes.
Record the task and write directions for the students.
4. Determine judging criteria.
5. Create the scoring scheme.
6. Pilot test the assessment.
7. Revise the outcomes, the task, the judging criteria and the scoring scheme as necessary based
on pilot-test data.
Authentic Assessment: Alternatives To The Traditional Approach
___________________________________________________________________________
39
The following common scoring schemes can be used:
 Checklist – A set of phrases or statements that describe either the sequential steps in a
procedure or the most important elements of a product. …Enables the assessor to identify
whether a student has demonstrated a characteristic or not.
 Rating scale – A method of recording how frequently a (certain) behaviour occurs or
how high in quality a characteristic seems to be. …Allows the assessor to indicate the
level at which the student has demonstrated the characteristic; can assess product or
procedure.
 Anecdotal records – Brief description of observed behaviour, the settings in which they
occurred and an interpretation of the events. …Allow the assessor to provide a narrative
account/comment of the students’ progress with each demonstration/behaviour.
 Rubric: enables the assessor to evaluate students’ work (a performance or a product)
using a printed set of scoring guidelines. It is also useful for giving feedback.
The critical components of a rubric: (Easy to use rubric and assessment software.
File:///A|/1_1.html.)
1. Performance element: the major, critical attributes which focus on best
practice.
2. Scale: The possible points to be assigned. Can be numerical or verbal.
3. Criteria: The conditions of a performance that must be met for it to be
considered successful.
4. Standard: A description of how well the criteria must be met for the
performance to be considered “good”.
5. Descriptors: statements that describe each level of the performance.
6. Indicators: specific, concrete examples of what we look for at each level of the
performance.
Please note that the characteristics/criteria on the scoring
schemes can vary; and importantly, the students must be
aware of the criteria.
Authentic Assessment: Alternatives To The Traditional Approach
___________________________________________________________________________
40
Some guidelines for scoring schemes are:
1. Make the scoring approach (either analytic or holistic) congruent with the assessment purpose.
2. Base the scheme on judging criteria for the performance task.
3. Use observation instruments to record assessment of performance where possible.
4. Familiarize judges with the scheme and any related observation instruments.
5. Ensure agreement among judges on meaning of criteria.
The set of judging criteria associated with a performance assessment should:
1. Be present for each outcome assessed.
2. Sufficiently describe the critical aspects of performance – what is necessary to observe to determine
successful performance.
3. Be shared with students when appropriate.
CHECKLISTS AND RATING SCALES ARE THE TWOMOST COMMON SCORING SCHEMES FOR
BOTH ADULTS AND CHILDREN. A THIRD, LESS COMMON OBSERVATIONAL TOOL IS THE
ANECDOTAL RECORD
GUIDELINES FOR EFFECTIVE AND FAIR GRADING

1. Inform students at the beginning of instruction what grading procedures will be used.
2. Base grades on student achievement, and achievement only.
3. Base grades on a wide variety of valid assessment data.
4. When combining scores for grading, use a proper weighting technique.
5. Select an appropriate frame of reference.
6. Review borderline cases by re-examining all achievement evidence.
LET’S
OBSERVE
FAIRLY!
Authentic Assessment: Alternatives To The Traditional Approach
___________________________________________________________________________
41
Below is an example of a performance task prepared by a group of Primary school teachers at a measurement and
evaluation workshop –2000 – targeting the design of performance tasks. This was a first but commendable attempt.
LISTENING:
LEVEL 1 – GRADES k –1
Nursery rhymes:
Boys’ boots are big
So when boys jump
Boys’ big boots go
Bump, Bump, Bump.
Objectives:
 To develop auditory and discriminating skills (Cognitive; understanding)
 To appreciate the rhythmic expressions of language (Affective; appreciation)
Students will: listen to and recite the nursery rhyme
Identify similarities and differences
E.g. What words begin with the same sound?
What is the difference between these words? – bump/jump
Call all the word that end with the ‘s’ sound
Give a list of other words with the following:
‘B’ as initial sound
‘IG” ending
‘UMP’ ending
Fill in the blanks (orally)
E.g. Ben sleeps on a _ig _ed.
I _ig a hole
Table 4.2 Speaking Checklist / Rating Scale - Nursery Rhymes
3 – Very good 2 – Satisfactory 1 – Needs Improving
YES NO COMMENTS
TASKS: Ability to 1 2 3
Identify similarities
Identify differences
Identify beginning sounds
Identify ending sounds
Give other words with the
same ending sound
Give other words with the
same beginning sound
Can you identify other characteristics/criteria that could be assessed for
this exercise?
Would the above approach to assessment change any of the answers you
gave at the beginning of this article? (Page 43)
Now Design An Example Of Your Own!!!
Authentic Assessment: Alternatives To The Traditional Approach
___________________________________________________________________________
42
Below is an example of a rubric designed by Utoh & Hanley 2002. (One criterion –
Teaching Act - is described). The other criteria are Organization, Teaching Materials and
Aids, Classroom Management, Manner and Deportment.
Table 4.3
EVALUATION RUBRIC:
SOCIAL STUDIES PRACTICUM
CRITERIA PROFICIENT (4) SATISFACTORY (3) LIMITED (2) POOR (1)
Demonstrates
mastery of the
strategies and
skills
Carries out the
important strategies
and skills without
significant errors and
with relative ease
Displays an
incomplete
understanding
of the strategies
and skills
Little or no
evidence of
how to perform
strategies and
skills. -Makes
many critical
errors
TEACHING ACT
 Student
Readiness
 Interest
 Preparation/
Subject
Matter
 Evaluation
Adequately ensures
readiness of all
pupils for
instruction
Maintains students’
interest throughout
the lesson
Demonstrates
effective preparation
in the delivery of
information
Links evaluation to
all objectives stated
Makes significant
attempt to ensure
readiness of all pupils
for instruction
Maintains students’
interest for most of the
lesson
Demonstrates adequate
preparation in the
delivery of information
Links evaluation to two
objectives stated
Makes minimal
attempt to ensure
readiness of all
pupils for
instruction
Maintains
students’ interest
for a small
portion of the
lesson
Demonstrates
limited
preparation in the
delivery of
information
Links evaluation
to one of the
objectives stated
Makes no
attempt to
ensure readiness
of pupils for
instruction
Makes no effort
to maintain
students’
interest
Demonstrates
little preparation
in the delivery
of information
Makes no link
between
evaluation and
objectives
Can you identify the components of the rubric?
Authentic Assessment: Alternatives To The Traditional Approach
___________________________________________________________________________
43
PPEERRFFOORRMMAANNCCEE VVEERRSSUUSS TTRRAADDIITTIIOONNAALL AASSSSEESSSSMMEENNTT
PPeerrffoorrmmaannccee aasssseessssmmeenntt hhaass ggaaiinneedd ppooppuullaarriittyy mmaa iinnllyy bbeeccaauussee ooff oovveerraallll ddiissssaattiissffaaccttiioonn wwiitthh ttrraaddiittiioonnaall
ssttaannddaarrddiizzeedd tteessttiinngg pprroocceedduurreess ((DDuunnbbaarr,, KKoorreettzz aanndd HHoooovveerr,, 11999911)) aanndd ssppeecciiffiiccaallllyy ffaaccttuuaall oorriieenntteedd
mmuullttiippllee--cchhooiiccee tteessttss ((SSwwaannssoonn,, NNoorrmmaann aanndd LLiinnnn,, 11999955)).. OOtthheerr ttyyppeess ooff ttrraaddiittiioonnaall tteessttiinngg wwoouulldd
iinncc lluuddee tthhee bbaassiicc ssiitt--ddoowwnn--aatt--tthhee--ddeesskk--ppaappeerr--aanndd--ppeenncciill--tteessttss ssuucchh aass tthhee ffiillll iinn tthhee bbllaannkkss,, mmaattcchhiinngg,, aanndd
ttrruuee//ffaallssee iitteemmss.. IInn tthhee AAnnttiigguuaann ccoonntteexxtt,, tthheerree iiss mmuucchh ccoonncceerrnn rreeggaarrddiinngg tthhee llooccaall hhiigghh ssttaakkeess
eexxaammiinnaattiioonnss ssuucchh aass tthhee pprriimmaarryy aanndd ppoosstt pprriimmaarryy eexxaammiinnaattiioonnss.. MMuucchh rreesseeaarrcchh hhaass bbeeeenn ddoonnee iinn
ppeerrffoorrmmaannccee aasssseessssmmeenntt iinn aann aatttteemmpptt ttoo ccoouunntteerr ssoommee ooff tthheessee ccoonncceerrnnss..
TThhee ffoolllloowwiinngg aarreeaass ooff ccoonncceerrnn eemmeerrggeedd ffrroomm tthhee lliitteerraattuurree::
11.. SSaammpplliinngg aanndd ffoorrmmaatt
22.. FFaaiilluurree ttoo lliinnkk tteesstt ttoo ssppeecciiffiicc ccuurrrriiccuullaarr;;
33.. TTeessttss wwhhiicchh aarree eexxtteerrnnaall ttoo sscchhoooollss;;
44.. UUnnddeerr rreepprreesseennttaattiioonn ooff tthhee ppeerrffoorrmmaannccee ooff llooww ssoocciiooeeccoonnoommiicc eexxaammiinneess..
11.. SSaammpplliinngg aanndd FFoorrmmaatt::
FFiirrsstt ooff aa llll,, BBaakkeerr ((11999966)) iiss ooff tthhee ooppiinniioonn tthhaatt ccoommmmeerrcciiaalliizzeedd ssttaannddaarrddiizzeedd tteessttss rreellyy ttoooo mmuucchh oonn
ssaammpplliinngg ooff bbrrooaadd ccoonntteenntt aarreeaass.. TThhee rreessuulltt iiss tthhaatt iinnssttrruuccttiioonn iiss ffooccuusseedd oonn ccoovveerriinngg aa wwiiddee kknnoowwlleeddggee
bbaassee ssuuppeerrffiicciiaallllyy.. TThheerree iiss aallssoo tthhee nneeggaattiivvee iimmppaacctt oonn tteeaacchhiinngg,, eessppeecciiaallllyy bbeeccaauussee ooff tthhee mmuullttiippllee--
cchhooiiccee ffoorrmmaatt.. TThhiiss iiss ccrriittiicc iizzeedd oonn tthhee ggrroouunnddss tthhaatt mmuullttiippllee cchhooiiccee iitteemmss lliimmiitt ssttuuddeennttss tthhiinnkkiinngg
pprroocceesssseess,, ffooccuussiinngg oonn lloowweerr oorrddeerr iitteemmss ((HHaammbblleettoonn aanndd MMuurrpphhyy,, 11999922)) –– MMAAIINNLLYY RREECCAALLLL AANNDD
CCOOMMPPRREEHHEENNSSIIOONN.. TThhiiss oonnllyy eennccoouurraaggeess tteeaacchheerrss ttoo ffooccuuss oonn tthhee ffaacctt--oonnllyy aapppprrooaacchh ((BBeeiimmeerr,, 11999922))
ssoo ssttuuddeennttss mmaayy bbee oovveerreexxppoosseedd ttoo ddrriillll ttyyppee lleeaarrnniinngg ttoo eennssuurree tthheeyy mmaasstteerr tthhee ffaaccttss.. TThheenn,, tthheeiirr
ppeerrffoorrmmaannccee wwiillll bbee jjuuddggeedd oonn ssccoorreess ddeerriivveedd ffrroomm ssiimmppllyy aa ppeenn aanndd ppaappeerr tteesstt..
WWiiggggiinnss ((NNiicckkllee,, 11999922)) rreemmiinnddss uuss tthhaatt ppuuppiillss’’ eexxppeerriieennccee iinn tthhee rreeaall wwoorrlldd wwiillll nnoott bbee wwiitthh mmuullttiippllee
cchhooiiccee,, bbuutt hhooww ttoo aacctt aass pprrooffeessssiioonnaallss aanndd pprroodduuccee iinn tthhee wwoorrkk ppllaaccee.. HHee tthheerreeffoorree bbeelliieevveess ppeerrffoorrmmaannccee
aasssseessssmmeenntt wwiillll cchhaalllleennggee ssttuuddeennttss ttoo mmaakkee tthheemm uussee kknnoowwlleeddggee,, aass tthheeyy wwoouulldd bbee eexxppoosseedd ttoo aannaa llyyzziinngg
iinnffoorrmmaattiioonn aanndd uussiinngg ccrriittiiccaall tthhiinnkkiinngg aanndd pprroobblleemm ssoollvviinngg sskkiillllss ttoo pprroodduuccee rraatthheerr tthheenn rreepprroodduuccee..
DDuunnbbaarr eett aall.. ((11999955)) jjuussttiiffyy tthhee ssccooppee ooff ppeerrffoorrmmaannccee aasssseessssmmeenntt ttoo pprroovviiddee iinnffoorrmmaattiioonn aabboouutt
pprrooffiicciieennccyy oovveerr tthhee ttrraaddiittiioonnaa ll mmeetthhoodd.. AAss ssttaatteedd bbyy tthhee NNaattiioonnaall CCoommmmiitttteeee ffoorr SSoocc iiaall SSttuuddiieess ((NNCCSSSS,,
221166)),, ccllaassssrroooomm iinnssttrruuccttiioonn ““wwoouulldd ffooccuuss oonn ssuussttaaiinneedd iinn--ddeepptthh eexxaammiinnaattiioonn ooff ffeeww iimmppoorrttaanntt ttooppiiccss tthhaann
oonn tthhee ssuuppeerrffiicc iiaa ll ccoovveerraaggee ooff mmaannyy””.. AAllssoo aaddmmiinniissttrraattiioonn ooff ppeerrffoorrmmaannccee tteessttss iiss ddyynnaammiicc aanndd pprroovviiddeess
Authentic Assessment: Alternatives To The Traditional Approach
___________________________________________________________________________
44
ssccooppee ffoorr cchhaannggee aanndd ccoonnttiinnuuoouuss rreeccoorrddiinngg ooff bbeehhaavviioouurrss iinn aanndd oouutt ooff tthhee ccllaassssrroooomm.. AAddddiittiioonnaa llllyy,, tthheeyy
pprroovviiddee iinnffoorrmmaattiioonn ttoo ppaarreennttss aabboouutt tthheeiirr cchhiillddrreenn’’ss ppeerrffoorrmmaannccee oovveerr ttiimmee..
22.. FFaaiilluurree ttoo lliinnkk tteesstt ttoo ssppeecciiffiicc ccuurrrriiccuullaarr..
NNeexxtt,, tteesstt ddeevveellooppeerrss ddoo nnoott lliinnkk tteessttss ttoo ssppeecciiffiicc ccuurrrriiccuullaa ((NNiittkkoo,, 11999955)).. HHee nnootteess iinn tthhee lloonngg rruunn,, tthheeyy
pprroodduuccee ppoooorr qquuaa lliittyy tteessttss.. TThhuuss,, tthhee iinntteerrpprreettaattiioonn ooff tthhee tteesstt ssccoorreess ddooeess nnoott pprroovviiddee aannsswweerraabbllee
iinntteerrpprreettaattiioonnss,, ssoo ggeenneerraalliizzaabbiilliittyy iiss lliimmiitteedd.. TThhee vvaalliiddiittyy ooff aannyy tteesstt iiss ddeeppeennddeenntt oonn tthhee eexxtteenntt ttoo wwhhiicchh
wweellll--ddeeffiinneedd oobbjjeeccttiivveess aarree ssuuppppoorrtteedd bbyy rreepprreesseennttaattiivvee iitteemmss//ttaasskkss,, ssoo tteeaacchheerrss mmuusstt bbee aawwaarree ooff tthheessee
ggooaallss,, aanndd tthhee ppeerrffoorrmmaannccee tthhaatt iiss rreeqquuiirreedd.. WWiitthh ppeerrffoorrmmaannccee aasssseessssmmeenntt,, tteeaacchheerrss aarree eexxppeecctteedd ttoo kknnooww
tthhee ssttaannddaarrddss.. IInn aaddddiittiioonn,, tthhee aaddvvooccaatteess iinnssiisstt tthhee tteeaacchheerrss bbee aa ppaarrtt ooff tteesstt ddeevveellooppmmeenntt aass tthheeyy kknnooww
tthheeiirr ssttuuddeennttss,, aanndd tthhiiss ccoouulldd eennhhaannccee bbootthh iinnssttrruuccttiioonn aanndd lleeaarrnniinngg aanndd eevvaalluuaattiioonn..
33.. TTeessttss wwhhiicchh aarree eexxttee rrnnaall ttoo sscchhoooollss
TThheenn,, ccoouupplleedd wwiitthh tthhee tteesstt ccuurrrriiccuullaarr lliinnkk,, iiss tthhee ccoonncceerrnn tthhaatt ttrraaddiittiioonnaa ll ssttaannddaarrddiizzeedd tteessttss aarree eexxtteerrnnaall ttoo
aannyy ppaarrttiiccuullaarr sscchhooooll ssyysstteemm.. TThheerree iiss sshhoorrttccoommiinngg iinn tthhee nnaattiioonnaall aasssseessssmmeenntt bbaasseedd ccuurrrriiccuulluumm.. SScchhoooollss
mmaayy hhaavvee tthhee iirr oowwnn pprrooggrraammmmee,, bbuutt aarree eexxppeecctteedd ttoo mmeeeett sseett ddeemmaannddss iinn tthhee nnaattiioonnaa ll tteessttss;; ffoorr eexxaammppllee,,
1111++ eexxaammiinnaattiioonnss –– uunnlleessss aa lliinnkk iiss mmaaddee tthhrroouugghh aa NNaattiioonnaall HHaarrmmoonniizzeedd CCuurrrriiccuulluumm hhooww ddoo wwee kknnooww
wwee aarree tteessttiinngg wwhhaatt iiss ttaauugghhtt iinn oouurr cc llaassssrroooommss.. TThhuuss,, tthhee ffooccuuss ooff wwhhaatt tteessttss ddeemmaanndd hhaass aa ddiissttoorrttiinngg
eeffffeecctt oonn sscchhooooll ccuurrrriiccuullaarr,, nnaarrrroowwiinngg iitt ffuurrtthheerr ttoo bbaassiicc llooww--lleevveell sskkiillllss.. CCoonnsseeqquueennttllyy,, tteeaacchheerrss aarree
ffoorrcceedd ttoo tteeaacchh ttoo tthhee tteesstt,, tthhaatt iiss,, tthhee iirr iinnssttrruuccttiioonnss aarree mmiirrrroorr iimmaaggeess ooff tthhee tteesstt ffoorrmmaatt ((BBaakkeerr,, 11999966))..
IImmppoorrttaanntt kknnoowwlleeddggee aanndd sskkiillllss aanndd eevveenn ssoommee ooff tthheeiirr ssttaatteedd oouuttccoommeess aarree iiggnnoorreedd ((NNiicckkeell,, 11999922))..
PPeerrffoorrmmaannccee aasssseessssmmeenntt pprroovviiddeess gguuiiddeess ttoo ffoosstteerr eeffffeeccttiivvee iinnssttrruuccttiioonnaa ll tteecchhnniiqquueess.. AAlltthhoouugghh tthhee rraannggee
aanndd ssccooppee ffoorr ccuurrrriiccuulluumm--bbaasseedd oobbjjeeccttiivveess lliinnkkeedd ttoo tthheessee ssttrraatteeggiieess aarree ffoorrmmiiddaabbllee ttaasskkss,, oonnee hhooppeess tthhaatt
tthhee ssttaattee ccaann aaddoopptt aa sseett ooff ssttaannddaarrddss,, tthheenn ssaannccttiioonn llooccaall aauutthhoorriittiieess ttoo eennssuurree ssttuuddeennttss aanndd tteeaacchheerrss kknnooww
tthheessee ssttaannddaarrddss ((NNiittkkoo,, 11999955)).. IItt iiss tthhee wwrriitteerr’’ss vviieeww tthhaatt tthhee aaddvvaannttaaggeess ttoo ssttuuddeennttss wwoouulldd bbee lleessss tteesstt
aannxxiieettyy,, aanndd ggrreeaatteerr ssttuuddeenntt iinnvvoollvveemmeenntt iinn hhiigghheerr--lleevvee ll tthhiinnkkiinngg aanndd mmeettaaccooggnniittiivvee sskkiillllss –– iinn wwhhiicchh tthheeyy
wwoouulldd bbee iinnvvoollvveedd iinn ‘‘ppllaannnniinngg aanndd mmoonniittoorriinngg tthhee iirr ccooggnniittiivvee ssttrraatteeggiieess aanndd aawwaarreenneessss’’..
Authentic Assessment: Alternatives To The Traditional Approach
___________________________________________________________________________
45
44.. UUnnddee rr rree pprreesseennttaattiioonn ooff tthhee ppee rrffoorrmmaannccee ooff llooww ssoocciiooeeccoonnoommiicc eexxaammiinneess
FFiinnaallllyy,, ssttaannddaarrddiizzeedd tteessttss llaacckk ffaaiirrnneessss ((BBaakkeerr,, 11999966)).. SSppeecciiffiiccaallllyy,, tthheeyy hhaavvee uunnddeerrrreepprreesseenntteedd tthhee
ppeerrffoorrmmaannccee ooff llooww--ssoocciiooeeccoonnoommiicc ssttuuddeennttss,, wwhhoo hhaavvee aallwwaayyss ppeerrffoorrmmeedd lleessss wweellll tthhaann tthhee ssttuuddeennttss iinn
tthhee hhiigghheerr ssoocciioo--eeccoonnoommiicc ggrroouuppss.. SSoommee aarreeaass ooff ccoonncceerrnn aarree tthhee nnoorrmmss ffoorr iinntteerrpprreettiinngg tthhee tteessttss,, ccoonntteenntt
bbiiaass,, aanndd llaanngguuaaggee ddeemmaannddss ooff tthhee iitteemmss.. SSoommee ggrroouuppss ooff ssttuuddeennttss aarree aatt aa ddiissaaddvvaannttaaggee –– mmaannyy hhaavvee
bbeeeenn tteerrmmeedd ‘‘aatt--rriisskk’’ ((HHaammbblleettoonn aanndd MMuurrpphhyy,, 11999922)) aanndd iinn ssoommee ccaasseess ssttuuddeennttss hhaavvee bbeeeenn ppllaacceedd iinn
ccllaasssseess ffoorr tthhee mmeennttaallllyy rreettaarrddeedd.. AAss BBiieemmeerr ((11999933)) ssttaatteess,, tthhee vvaalliiddiittyy ooff ssttaannddaarrddiizzeedd nnoorrmm--rreeffeerreenncceedd
tteessttss wweerree ssuucchh tthhaatt iitt wwaass ttaakkeenn ffoorr ggrraanntteedd ““cchhiillddrreenn ddoonn’’tt kknnooww vveerryy mmuucchh””.. AAllll wwee ggeett aaccccoorrddiinngg ttoo
BBoonndd ((11999955)) iiss aa ssnnaapp sshhoott ooff tthheeiirr aacchhiieevveemmeenntt.. OOnn tthhee ootthheerr hhaanndd,, ppeerrffoorrmmaannccee aasssseessssmmeenntt ssttrraatteeggiieess
hhaavvee bbeeeenn uusseedd aammoonngg ‘‘aatt rriisskk’’ ssttuuddeennttss wwiitthh pprroommiissiinngg rreessuullttss.. TThheerree iiss eevviiddeennccee ttoo sshhooww tthhaatt pprroojjeecctt
bbaasseedd aassssiiggnnmmeennttss aanndd ppoorrttffoolliioo ccaann mmoottiivvaattee ssttuuddeennttss aanndd iimmpprroovvee tteeaacchhiinngg aanndd lleeaarrnniinngg ((AAddaammss aanndd
HHaammmm,, 11999922;; LLee MMaahhiieeuu,, GGiittoommeerr aanndd EErraasshh,, 11999955)).. GGeenneerraallllyy,, tthhee iirr sseellff--eesstteeeemm aanndd sseellff ccoonnffiiddeennccee aarree
eennhhaanncceedd,, aass eevvaalluuaattiioonn ooff tthheeiirr wwoorrkk iinnddiiccaattee iimmpprroovveemmeenntt iinn ppeerrffoorrmmaannccee..
IItt iiss wwiiddee llyy aacccceepptteedd tthhaatt eevveenn iiff ppeerrffoorrmmaannccee aasssseessssmmeenntt ddooeess nnoott rreeppllaaccee ttrraaddiittiioonnaall tteessttiinngg mmeetthhooddss,, tthhee
aapppprrooaacchh ccaann hhaavvee aa mmoorree ppoossiittiivvee eeffffeecctt oonn tteeaacchhiinngg lleeaarrnniinngg aanndd eevvaalluuaattiioonn.. TThhee CCaarriibbbbeeaann
EExxaammiinnaattiioonnss CCoouunncciill ((CCXXCC)) hhaass uusseedd bbootthh tthhee ttrraaddiittiioonnaall aanndd tthhee aalltteerrnnaattiivvee aapppprrooaacchh iinn tthhee aasssseessssmmeenntt
ooff sseevveerraall ooff tthheeiirr eexxaammiinnaattiioonnss wwiitthh ppoossiittiivvee bbeenneeffiittss.. HHoowweevveerr,, tthheerree aarree pprroobblleemmss,, wwhhiicchh nneeeedd ttoo bbee
ccoonnssiiddeerreedd wwhheenn uussiinngg ppeerrffoorrmmaannccee aasssseessssmmeenntt ssttrraatteeggiieess.. AAmmoonngg tthheessee pprroobblleemmss aarree eessttaabblliisshhiinngg ((ii))
rree lliiaabbiilliittyy,, ((iiii)) ccoommppaarraabbiilliittyy aanndd ((iiiiii)) ffaaiirrnneessss..
PPaarrtt 22::
((ii)) RRee lliiaabbiilliittyy
IInn tthhee ccoonntteexxtt ooff ppeerrffoorrmmaannccee aasssseessssmmeenntt,, rreelliiaabbiilliittyy rreellaatteess ttoo tthhee eexxtteenntt tthhaatt mmeeaassuurreess ooff ppeerrffoorrmmaannccee
aasssseessssmmeenntt aarree ccoonnssiisstteenntt oorr aaggrreeeeaabbllee bbeettwweeeenn rraatteerrss oonn tthhee ssaammee ttaasskk,, oorr oonn sseevveerraall iinnddeeppeennddeenntt ssccoorreess
ooff tthhee ssaammee rraatteerr ((DDuunnbbaarr,, KKoorreettzz aanndd HHoooovveerr 11999911)),, oorr tthhee aaccccuurraaccyy ooff tthhee mmeeaassuurriinngg iinnssttrruummeenntt
((KKeerrlliinnggeerr 11998866)) wwhhiicchh iinncc lluuddeess tthhee aaddeeqquuaaccyy aanndd tthhee aapppprroopprriiaatteenneessss ooff ccoonntteenntt ttoo bbee uusseedd oovveerrttiimmee oorr
bbeettwweeeenn ffoorrmmss.. TThhuuss ssccoorriinngg pprroocceedduurreess aanndd tthhee iinntteerrpprreettaattiioonn ooff tthhee ssccoorreess ((SSwwaannssoonn,, NNoorrmmaann,, LLiinnnn
11999955)) aarree vveerryy iimmppoorrttaanntt..
Authentic Assessment: Alternatives To The Traditional Approach
___________________________________________________________________________
46
RRaatteerrss ooff ppeerrffoorrmmaannccee aasssseessssmmeenntt ccaann bbee tteeaacchheerrss,, bboosssseess,, ppeeeerrss oorr tthhee eexxaammiinneess tthheemmsseellvveess.. TThhiiss
rraattiinngg//ggrraaddiinngg ccaannnnoott bbee ddoonnee bbyy mmaacchhiinneess,, nnoorr iiss tthheerree oonnee--rriigghhtt aannsswweerr rreessppoonnssee aass rreeqquuiirreedd ooff
oobbjjeeccttiivvee ttyyppee tteessttss.. SSuubbjjeeccttiivviittyy -- oonn aaccccoouunntt ooff bbiiaass,, iinneexxppeerriieennccee,, llaacckk ooff ttrraaiinniinngg,, ssee llff--iinntteerreesstt,,
eemmoottiioonnaa ll iinnvvoollvveemmeenntt oorr llaacckk ooff ccoonnffiiddeennccee -- iiss aa llaarrggee ppaarrtt ooff hhuummaann jjuuddggmmeenntt,, aanndd tthhuuss,, hhaass aa ggrreeaatt
iimmppaacctt oonn tthhee rreelliiaabbiilliittyy ooff ppeerrffoorrmmaannccee aasssseessssmmeenntt.. TThheerreeffoorree iitt iiss aaddvviisseedd tthhaatt rraatteerrss bbee ttrraaiinneedd aanndd
ggiivveenn tthhee eexxppeerriieennccee iinn ssttaannddaarrddiizzeedd sseessssiioonnss wwhhiicchh ffooccuuss tthhee iirr sskkiillllss oonn tthhee ccrriitteerriiaa ffoorr mmeeaassuurriinngg
ppeerrffoorrmmaannccee.. HHaarrtt ((11999944)) aallssoo ssuuggggeessttss ggrroouupp ggrraaddiinngg iinnsstteeaadd ooff rreellyyiinngg oonn oonnee ssccoorree ttoo aasssseessss ssttuuddeennttss’’
ppeerrffoorrmmaannccee..
IInn rreellaattiioonn ttoo nnuummbbeerr ooff rraatteerrss,, rreessppoonnssee ssttyylleess ccaann bbee aass ddiiffffeerreenntt aass tthhee nnuummbbeerr ooff eexxaammiinneeeess.. SSoo tthheerree iiss
ccoonncceerrnn iinn ddeevvee llooppiinngg ssccoorriinngg kkeeyyss ttoo mmeeaassuurree ssaattiissffaaccttoorryy ssaammpplleess ooff tthheessee ppoossssiibbllee
bbeehhaavviioouurrss//rreessppoonnsseess ccoommppeetteennttllyy ((SSwwaannssoonn,, NNoorrmmaann,, LLiinnnn 11999955)).. KKoonn aanndd MMaarrttiinn--KKnniieepp ((11999922))
ssuuggggeesstt tthhaatt tthhee rraannggee ooff aacccceeppttaabbllee rreessppoonnsseess ccaann bbee ddeeffiinneedd oonn aa pprreeccooddeedd lliisstt aatt tthhee oonnsseett.. TThhiiss wwoouulldd
mmiittiiggaattee tthhee vvaarriiaannccee aass aa rreessuulltt ooff ddiiffffeerriinngg iinntteerrpprreettaattiioonn ooff uunneexxppeecctteedd rreessppoonnsseess.. TThhee pprroobblleemm bbee iinngg
tthhaatt iitt iiss nnoott ppoossssiibbllee ttoo lliisstt aallll ppoossssiibbllee rreessppoonnsseess ffoorr aannyy oonnee--tteesstt sseessssiioonn..
AAddddiittiioonnaa llllyy,, llooww rreelliiaabbiilliittyy ccaann rreessuulltt ffrroomm tthhee uussee ooff tthhee mmeeaassuurriinngg iinnssttrruummeenntt -- cchheecckklliisstt,,
qquueessttiioonnnnaa iirree,, oorr oobbsseerrvvaattiioonn sscchheedduullee.. TThhiiss ccaann bbee aaffffeecctteedd bbyy tthhee llaacckk ooff ssppeecciiffiicc ccrriitteerriiaa;; tthhee ccoonnddiittiioonnss
uunnddeerr wwhhiicchh tthhee tteesstt iiss ccoonndduucctteedd aanndd tthhee nnuummbbeerr ooff ppooiinnttss oonn tthhee ssccaalleess ((DDuunnbbaarr,, KKoorreettzz,, HHoooovveerr 11999911;;
KKoonn aanndd mmaarrttiinn--KKnniieepppp 11999922)).. TThhee hhoolliissttiicc mmeetthhoodd hhaass bbeeeenn pprroovveenn ttoo bbee lleessss rreelliiaabbllee :: tthhee gguuiiddee lliinneess ffoorr
mmaarrkkiinngg aarree bbrrooaadd oorr nnoonn--eexxiisstteenntt ssoo ssccoorriinngg iiss mmoorree ssuubbjjeeccttiivvee tthhaann iiff tthhee ccrriitteerriiaa ffoorr ssccoorriinngg eeaacchh
bbeehhaavviioouurr//rreessppoonnssee wweerree vveerryy ssppeecciiffiicc.. AA ggoooodd eexxaammppllee ccaann bbee ttaakkeenn ffrroomm tthhee uussee ooff mmaarrkkiinngg sscchheemmeess
ffoorr mmaarrkkiinngg eessssaayyss,, wwhhiicchh pprroodduuccee mmoorree rreelliiaabbllee ssccoorreess tthhaann mmaarrkkiinngg eessssaayyss bbyy jjuusstt rreeaaddiinngg hhoolliissttiiccaallllyy
((GGrroonnlluunndd 11998811)).. DDuunnbbaarr eett aall.. ((11999911)) ffoouunndd tthhaatt aa tteesstt wwiitthh ssppeecciiffiicc ccrriitteerriiaa ,, wwhhiicchh hhaadd rreelliiaabbiilliittyy ccoo--
eeffffiicciieenntt ooff ..9911 iinn aa ccoonnttrroolllleedd eexxppeerriimmeennttaall ccoonnddiittiioonn,, wwaass ..6677 ffoorr aa ffiieelldd ssttuuddyy;; aa 1100--ppooiinntt hhoolliissttiicc ssccaallee
iinn tthhee ssaammee ccoonnddiittiioonn ggaavvee aa ccoo--eeffffiicciieenntt ooff ..3333..
TThhee lleennggtthh ooff tthhee tteesstt,, tthhee ttaasskk ssaammppllee,, aanndd aaddddiittiioonnaa ll rraatteerrss aarree ccrriittiiccaa ll iissssuueess iinn tthhee rreelliiaabbiilliittyy ooff tthhee tteesstt
((DDuunnbbaarr eett aall.. 11999911)).. TThhee mmaaiinn ccoonncceerrnn hheerree iiss tthhee ddeeggrreeee ttoo wwhhiicchh tthhee rraatteerr ccaann ‘‘gguueessss’’ hhiiss wwaayy oouutt ((aass
tthhee eexxaammiinneeee)) iinn aann oobbjjeeccttiivvee tteesstt –– ppaarrttiiccuullaarrllyy aa mmuullttiippllee cchhooiiccee tteesstt.. AA lloonnggeerr tteesstt wwiillll ccuutt ddoowwnn oonn tthhee
cchhaannccee ooff eerrrroorr ffrroomm gguueessssiinngg.. DDuunnbbaarr eett aall.. ((11999911)) iinnddiiccaattee tthhaatt tthhee aaddddiittiioonn ooff ttaasskkss ccaauusseess tthhee
ttrruussttwwoorrtthhiinneessss ooff aa tteesstt ttoo iimmpprroovvee aass ssccoorree rreelliiaabbiilliittiieess iinnccrreeaassee sstteeaaddiillyy.. HHoowweevveerr,, tthhee iinnccrreeaassee ooff
rreelliiaabbiilliittyy ooff aaddddiittiioonnaa ll rraatteerrss ddeeppeennddss aa ggrreeaatt ddeeaall oonn tthhee ccoommppaarraattiivvee aannaallyyssiiss ooff rraatteerrss aanndd ssccoorreess.. TThhee
nnaattuurree ooff ppeerrffoorrmmaannccee aasssseessssmmeenntt wwoouulldd ccaauussee tthhee pprroocceesssseess ttaakkeenn ttoo iimmpprroovvee rreelliiaabbiilliittyy ttoo bbee vveerryy ccoossttllyy
aanndd ttiimmee ccoonnssuummiinngg ((SSwwaannssoonn eett aall.. 11999955)).. IItt iiss nnoott aass eeaassyy aass ttaakkiinngg iitteemmss ffrroomm aann iitteemm bbaannkk oorr jjuusstt
Authentic Assessment: Alternatives To The Traditional Approach
___________________________________________________________________________
47
pprroovviiddiinngg aa kkeeyy ooff ccoorrrreecctt rreessppoonnsseess.. TToo uussee aaddddiittiioonnaa ll rraatteerrss iinn ppeerrffoorrmmaannccee aasssseessssmmeenntt,, eexxttrraa ttoooollss,,
eeqquuiippmmeenntt aanndd ttrraaiinniinngg aarree rreeqquuiirreedd..
IInn ppeerrffoorrmmaannccee aasssseessssmmeenntt,, tthheerree mmuusstt bbee aa rreellaattiioonnsshhiipp bbeettwweeeenn ttaasskk,, ttaasskk ddoommaa iinn,, ppeerrffoorrmmaannccee pprroocceessss
aanndd eevvaalluuaattiioonn ccrriitteerriiaa.. IItt iiss nnoottiicceeaabbllee tthhaatt wwhheerree tthhiiss rreellaattiioonnsshhiipp iiss nnoott cclleeaarr,, tthhee rreelliiaabbiilliittyy iiss aaffffeecctteedd
nneeggaattiivvee llyy.. TThheerree aarree hhoowweevveerr,, mmeetthhooddss iinn mmiinniimmiizziinngg vvaarriiaannccee oorr eerrrroorrss iinn ssccoorreess;; ppaarrttiiccuullaarrllyy bbyy
pprreeppaarriinngg ssppeecciiffiicc ccrriitteerriiaa ffoorr ssttaannddaarrddss,, oorr rruubbrriiccss pprroovviiddiinngg aapppprroopprriiaattee ttaasskk ssaammpplleess iinn qquuaalliittyy aanndd
aammoouunntt aanndd ttrraaiinniinngg rraatteerrss ttoo mmeeaassuurree bbeehhaavviioouurrss//rreessppoonnsseess mmoorree ccoommppeetteennttllyy..
DDeessppiittee tthhee ssttrreennggtthh ooff tthheessee mmeetthhooddss iinn eennssuurriinngg rreelliiaabbiilliittyy,, tthheerree aarree ssoommee ccoonncceerrnnss ffoorr tthhee
ccoommppaarraabbiilliittyy ooff ppeerrffoorrmmaannccee,, ffrroomm yyeeaarr ttoo yyeeaarr,, wwiitthhiinn ggrroouuppss aanndd bbeettwweeeenn ggrroouuppss.. TThheerree iiss aa nneeeedd ffoorr
tthhee ssuubbttllee ccoonnttrrooll ooff tteecchhnniiccaall pprroobblleemmss iinnhheerreenntt iinn ccoonnssttrruuccttiinngg ppaarraallllee ll ttaasskkss aanndd ccrriitteerriiaa oorr ssttaannddaarrddss
aanndd cchhaannggee ssppeecciiffiiccaattiioonnss,, bbeeccaauussee ooff tthhee iinnfflluueennccee oonn ssttuuddeenntt ppeerrffoorrmmaannccee..
((iiii)) CCoommppaarraabbiilliittyy
FFiirrsstt ooff aallll,, ssccoorreess ccaannnnoott bbee ccoommppaarraabbllee iiff tthheeyy ddoo nnoott mmeeaann tthhee ssaammee tthhiinngg ((GGrreeeenn 11999955)).. AAtt ssoommee ttiimmee,,
tthheerree mmaayy bbee aa sshhiifftt iinn ttooppiiccss oorr ttaasskk,, aanndd tthhiiss cchhaannggee mmaayy nnoott bbee aaccccoouunntteedd ffoorr iinn tthhee tteesstt ssppeecciiffiiccaattiioonnss..
AAddddiittiioonnaa llllyy,, aallll tteesstt ddeevveellooppeerrss mmaayy nnoott bbee aawwaarree ooff tthheessee cchhaannggeess tthhaatt aarree mmaaddee iinn tteesstt ssppeecciiffiiccaattiioonnss..
TThhuuss ttaasskkss ccaann hhaarrddllyy bbee ttrruullyy eeqquuiivvaa lleenntt ffoorrmmss aaccrroossss ggrroouuppss.. TThhee mmoosstt eeffffeeccttiivvee mmeetthhoodd ttoo eennssuurree
eeqquuiittyy iiss ttoo ccoonnssttrruucctt tteesstt ssppeecciiffiiccaattiioonnss eeqquuaattiinngg iitteemmss//ccoonnssttrruuccttss ffrroomm oonnee ttaasskk ddoommaa iinn uusseedd oovveerr ttiimmee
aanndd bbeettwweeeenn ggrroouuppss oorr sscchhoooollss..
TThhee ccrriitteerriiaa ooff rruubbrriiccss sshhoouulldd rreellaattee ccoommppaarraattiivveellyy ttoo nneeww ttooppiiccss.. FFoorr eexxaammppllee tthhee ccoonnddiittiioonnss uunnddeerr
wwhhiicchh tthheessee ttaasskkss aarree pprroocceesssseedd sshhoouulldd nnoott vvaarryy ttoooo wwiiddee llyy.. IInn tthheessee ddiiffffeerriinngg ccoonnddiittiioonnss,, rraatteerrss’’
ssuubbjjeeccttiivvee iinntteerrpprreettaattiioonnss ooff ssttaannddaarrddss aanndd ssttuuddeennttss’’ rreessppoonnsseess wwiillll aaffffeecctt tthhee uussaabbiilliittyy ooff tthhee mmeeaassuurreess ––
tthhiiss mmaakkeess eeqquuaattiinngg ssccoorreess qquueessttiioonnaabbllee..
TThhee nnaattuurree ooff ppeerrffoorrmmaannccee aasssseessssmmeenntt iiss ddyynnaammiicc –– nnoott sseeccuurree aanndd sseeccrreett lliikkee ttrraaddiittiioonnaa ll ssttaannddaarrddiizzeedd
tteesstt.. SSttuuddeennttss aanndd tteeaacchheerrss mmuusstt bbee aawwaarree ooff tthhee rreeqquuiirreemmeennttss//ssttaannddaarrddss.. GGrreeeenn ((11999955)) iiss ooff tthhee vviieeww tthhaatt
eexxppoossuurree ttoo ssaammppllee ttaasskkss ccaann iinnfflluueennccee ssttuuddeenntt ppeerrffoorrmmaannccee.. TThhiiss ppeerrffoorrmmaannccee tthheenn mmaayy nnoott bbee aa ttrruuee
rreefflleeccttiioonn ooff tthhee iirr kknnoowwlleeddggee oorr aapppplliiccaattiioonn ooff tthhee ttaasskk.. IItt iiss oobbvviioouuss,, tthhaatt ssoommee ssttuuddeennttss mmaannyy bbee
ddiissaaddvvaannttaaggeedd bbeeccaauussee ooff tthhee qquuaalliittyy aanndd aammoouunntt ooff eexxppoossuurree aaffffoorrddeedd tthheemm..
((iiiiii)).. FFaaiirrnnee ssss
FFaaiirrnneessss sshhoouulldd bbee aa ssttrroonngg ppooiinntt ooff ppeerrffoorrmmaannccee aasssseessssmmeenntt.. HHoowweevveerr,, tthhee ssaammee ffaaccttoorrss wwhhiicchh aarree uusseedd
ttoo eennssuurree ffaaiirrnneessss ccaann lleeaavvee lloooopphhoolleess ffoorr bbiiaass..
Authentic Assessment: Alternatives To The Traditional Approach
___________________________________________________________________________
48
IItt iiss eexxppeecctteedd tthhaatt tthheessee aasssseessssmmeennttss wwiillll bbee ccoonndduucctteedd oonn aa nnaattiioonnaa ll lleevveell.. IInn tthhiiss ccoonntteexxtt iiddeennttiiccaall
ssccoorriinngg ((BBoonndd 11999955)) tthhaatt iiss,, ssccoorriinngg ddoonnee aatt tthhee ssaammee ttiimmee iiss nnoott ppoossssiibbllee.. AAtt tthhee ssaammee ttiimmee ,, aa llaarrggee
pprrooppoorrttiioonn ooff mmaarrkkeerrss wwiillll bbee uusseedd aanndd hhuummaann jjuuddggmmeenntt ccaann bbee jjuusstt aass vvaarriieedd.. TThhee iinntteerrpprreettaattiioonn ooff
rreessppoonnssee ssttyyllee iiss ooppeenn ttoo rraatteerr’’ss bbiiaass aanndd ssuubbjjeeccttiivviittyy.. TThhiiss ccaann bbee uunnffaaiirr ttoo ssttuuddeennttss wwhheenn tthhee ssaammee
iinntteerrpprreettaattiioonn iiss uusseedd iinn mmaakkiinngg ccoommppaarriissoonnss aaccrroossss ccoonnddiittiioonnss pprreesseenntt iinn tthhee ddiiffffeerreenntt sscchhooooll sseettttiinnggss aanndd
ffoorr ppuubblliicc aaccccoouunnttiinngg ((GGuuiioonn 11999955)).. BBaakkeerr ((11999955)) aallssoo ppaarraallllee llss tthhiiss ttoo iinneeqquuiittyy ooff ooppppoorrttuunniittiieess ttoo
ffuunnccttiioonn iinn ssiimmiillaarr eennvviirroonnmmeennttaall ccoonnddiittiioonnss.. TThheerree iiss aallwwaayyss tthhee lliikkeelliihhoooodd ooff iinneeqquuiittyy bbeettwweeeenn
oovveerrccrroowwddeedd sscchhoooollss wwiitthh iinnaaddeeqquuaattee mmaatteerriiaallss aanndd rreessoouurrcceess vveerrssuuss tthhee mmoorree ccoommffoorrttaabbllee aaddeeqquuaattee
ccllaassssrroooommss oorr ccoonnddiittiioonnss ooff tthhee uuppppeerr ssoocciioo--eeccoonnoommiicc ggrroouuppss..
TThheerree iiss tthheerreeffoorree tthhee nneeeedd ffoorr cclleeaarr ssccoorriinngg ccrriitteerriiaa ((KKoonn aanndd mmaarrttiinn--KKnniieepppp 11999922)).. TThhee rreesseeaarrcchheerrss
rreeiitteerraattee tthhee iimmppoorrttaannccee ooff lleettttiinngg ssttuuddeennttss,, tteeaacchheerrss aanndd rraatteerrss kknnooww tthhee rreeqquuiirreemmeennttss.. HHoowweevveerr,, iiff tthhee
ssttaannddaarrddss aarree aarrbbiittrraarryy tthheeyy wwiillll llaacckk oobbjjeeccttiivviittyy ooff hhuummaann jjuuddggmmeenntt.. TThhuuss ssppeecciiffiicciittyy ooff ccrriitteerriiaa iiss
nneecceessssaarryy iinn oorrddeerr ttoo ggiivvee eeaacchh eexxaammiinneeee aa ffaaiirr cchhaannccee.. TThhiiss iiss tthhee eelleemmeenntt ooff ffaaiirrnneessss,, aanndd WWiiggggiinnss ((HHaarrtt
11999944)) ssttaatteess tthhaatt tthhiiss iiss nneecceessssaarryy iiff oouurr mmaaiinn ggooaa ll iiss ttoo mmaakkee ssttuuddeennttss ssuucccceeeedd..
FFaaiirrnneessss iiss aallssoo iinnccrreeaasseedd wwhheenn tthhee tteesstt ddeevveellooppeerrss ccoonnssiiddeerr tthhee ssccaallee aanndd iittss aapppprroopprriiaatteenneessss iinn ddiiffffeerreenntt
tteesstt ccoonnddiittiioonnss ((DDuunnbbaarr eett aall.. 11999911));; ccooggnniizzaanntt ooff wwhhaatt iiss eexxppeecctteedd ooff ssttaannddaarrddss iinn tteerrmmss ooff ttooppiiccss,, aanndd
ddeemmaannddss ooff tthhee sscchhooooll ccuurrrriiccuulluumm..
SSuummmmaarryy::
IItt iiss aallwwaayyss iimmppoorrttaanntt ttoo ccoonnssiiddeerr tthhee iinnddiivviidduuaall ddiiffffeerreenncceess ooff ssttuuddeennttss:: iinntteerreesstt,, aabbiilliittyy,, aanndd
ssoocciioo--eeccoonnoommiicc bbaacckkggrroouunnddss ttoo pprroovviiddee mmeeaanniinnggffuull ffaaiirr aasssseessssmmeenntt.. FFiirrsstt ooff aallll tthheerree mmuusstt bbee aa
rreellaattiioonnsshhiipp bbeettwweeeenn iinnssttrruuccttiioonn aanndd aasssseessssmmeenntt ssoo tthhee aapppprroopprriiaattee ttaasskk ddoommaaiinn mmuusstt bbee
sseelleecctteedd.. SSeeccoonnddllyy,, iinn sseelleeccttiinngg ttaasskk ddoommaaiinnss,, tteeaacchheerrss mmuusstt ccoonnssiiddeerr tthhee rreelleevvaannccee ttoo tthheeiirr
ssiittuuaattiioonn aanndd aallssoo aasssseessss tthhee mmaatteerriiaall aanndd rreessoouurrcceess ttoo uussee iinn tthheeiirr ccoonnddiittiioonnss;; ffoorr ttoooo lloonngg tteessttss
hhaavvee pprroovveenn ttoo bbee bbiiaass aaggaaiinnsstt lloowweerr ssoocciioo--eeccoonnoommiicc ggrroouupp..
TThheerree iiss aa ccoonnsseennssuuss aammoonngg tthhee aaddvvooccaatteess tthhaatt ppeerrffoorrmmaannccee aasssseessssmmeenntt cchhaannggeess tthhee aattmmoosspphheerree
ooff tthhee ccllaassssrroooomm aanndd iimmpprroovveess lleeaarrnniinngg.. IItt iiss nnoottiicceeaabbllee hhoowweevveerr,, hhooww pprroobblleemmaattiicc
aaccccoouunnttaabbiilliittyy ccaann bbee.. AAss BBaakkeerr ((11999955,, 119977)) ppuuttss iitt ““TThheerree iiss ssttiillll ssuubbssttaannttiiaall ggaapp bbeettwweeeenn tthhee
rrhheettoorriicc aanndd tthhee mmeeaassuurreemmeenntt rreeaalliittyy ooff ppeerrffoorrmmaannccee aasssseessssmmeenntt””.. TThheerree iiss ssttiillll aa lloott ooff wwoorrkk ttoo
bbee ddoonnee ttoo ssuuppppoorrtt tthhee ccllaaiimmss aanndd eennssuurree aa hhiigghheerr ddeeggrreeee ooff rreelliiaabbiilliittyy,, ccoommppaarraabbiilliittyy aanndd
ffaaiirrnneessss aanndd aabboovvee aallll aaccccoouunnttaabbiilliittyy..
Authentic Assessment: Alternatives To The Traditional Approach
___________________________________________________________________________
49
PPoorrttffoolliioo AAsssseessssmmeenntt::
IItt iiss ooff iimmppoorrttaannccee ttoo nnoottee tthhaatt tthhee uussee ooff ppoorrttffoolliioo wwaass aa mmaajjoorr ffeeaattuurree ooff aarreeaass ssuucchh aass aarrtt aanndd
aarrcchhiitteeccttuurree aanndd bbuussiinneessss cciirrcclleess.. HHoowweevveerr,, iinn rreecceenntt ttiimmeess iitt hhaass bbeeccoommee qquuiittee aa uusseeffuull
aasssseessssmmeenntt ttooooll iinn eedduuccaattiioonn aass aalltteerrnnaattiivveess ttoo tthhee ttrraaddiittiioonnaall ffoorrmmss ooff tteessttiinngg aarree aaddvvooccaatteedd..
DDoo YYoouu HHaavvee AAnn IInntteerreesstt iinn IInnttrroodduucciinngg PPoorrttffoolliioo TToo YYoouurr SSttuuddeennttss??
AA ppoorrttffoolliioo ccaann bbee iinn tthhee ffoorrmm ooff aa bbooxx,, ffoollddeerr,, oorr bbiinnddeerr.. WWhhaatteevveerr tthhee ffoorrmm,, iitt
wwoouulldd ccoonnttaaiinn ssaammpplleess ooff ssttuuddeennttss’’ wwoorrkk;; ffoorr eexxaammppllee,, ppiiccttuurreess,, pprroobblleemm
ssoollvviinngg wwoorrkk iinn ssttaaggeess ffrroomm tthhee iiddeennttiiffiiccaattiioonn ooff tthhee pprroobblleemm ttoo tthhee ssoolluuttiioonn,,
ttaappeess,, oorr ssttuuddeennttss’’ wwrriittiinngg.. GGeenneerraallllyy,, iitt mmuusstt hhaavvee eevviiddeennccee ooff aa vvaarriieettyy ooff
rreessoouurrcceess,, aaccttiivviittiieess aanndd iinnvveessttiiggaattiioonnss ((AAddaamm aanndd HHaammmm 11999922)) aanndd ccaann bbee ffoorr
pprreesseennttaattiioonn ttoo tteeaacchheerrss,, sscchhoooollmmaatteess oorr ccoommmmuunniittyy mmeemmbbeerrss ((SSttoorrmmss eett aall..
11999966))..
TTwwoo mmaa iinn ppuurrppoosseess ccaann bbee iiddeennttiiffiieedd:: ((DDaanniieellssoonn aanndd AAbbrruuttyynn 11999977;; LLiinnnn aanndd GGrroonnlluunndd 22000000;;))
11.. IInnssttrruuccttiioonnaall
aa.. TToo hheellpp ssttuuddeennttss ddeevveelloopp aanndd rreeffiinnee sseellff--eevvaalluuaattiivvee sskkiillllss
bb.. TToo pprroovviiddee ooppppoorrttuunniittyy ffoorr ss ttuuddeenntt--ddiirreecctteedd ccoonnffeerreennccee:: wwiitthh ppaarreennttss ,, tteeaacchheerrss aanndd ootthheerr
ssttuuddeennttss
22.. AAsssseessss mmeenntt
aa.. DDiiaaggnnooss ttiicc // FFoorrmmaatt iivvee
ii.. TToo eevvaalluuaattee pprrooggrreessss aanndd // oorr pprroovviiddee ooppppoorrttuunniittiieess ffoorr iimmpprroovvee mmeenntt
bb.. SSuummmmaattiivvee
ii.. FFoorr ggrraadduuaattiioonn,, cceerrttiiffiiccaatt iioonn oorr eennttrryy iinnttoo ccoolllleeggee
TTyyppeess ooff PP oorrttffoolliiooss ((DDaanniiee llssoonn aanndd AAbbrruuttyynn 11999977))
11.. WWoorrkkiinngg ppoorrttffoolliiooss::
CCoonnttaaiinnss wwoorrkk iinn pprrooggrreessss aass wweellll aass ffiinniiss hheedd ss aammpplleess ooff wwoorrkk.. NN..BB.. IItt iiss NNOOTT aa wwoorrkk ffoo llddeerr wwhhiicchh iiss
aa hhoollddeerr ffoorr aallll wwoorrkk wwiitthh nnoo ppaarrttiiccuullaa rr ppuurrppoossee aass gguuiiddee
22.. DDiissppllaayy ((BBeesstt WWoorrkk)) ppoorrttffoolliiooss ::
AAnn eexxhhiibb iittiioonn ooff ssttuuddeennttss’’ bbeesstt wwoorrkk iinn aa ppaarrttiiccuullaarr aa rreeaa -- tthhaatt wwhhiicchh mmaa kkeess tthheemm pprroouudd.. SSttuuddeennttss
uuss uuaallllyy sseelleecctt tthhee ppiieecceess..
33.. AAsssseessss mmeenntt ppoorrttffoolliiooss ::
DDooccuummeennttaattiioonn ooff wwhhaatt ssttuuddeennttss hhaavvee lleeaarrnneedd.. SSttuuddeennttss ’’ sseelleeccttiioonn iiss iinnfflluueenncceedd bbyy tthhee ccoonntteenntt ooff tthhee
ccuurrrriiccuulluu mm..
Authentic Assessment: Alternatives To The Traditional Approach
___________________________________________________________________________
50
SSoommee PPoottee nnttiiaall SSttrree nnggtthhss OOff PPoorrttffoolliiooss ((LLiinnnn aanndd GGrroonnlluunndd 22000000))
PPoorrttffoolliiooss ccaann::
 PPrroovviiddee ssttuuddeennttss wwiitthh ooppppoorrttuunniittyy ttoo sshhooww wwhhaatt tthheeyy ccaann ddoo
 EEnnccoouurraaggee ssttuuddeennttss ttoo ddeevveelloopp sskkiillllss iinn eevvaalluuaattiinngg tthhee ssttrreennggtthhss aanndd wweeaakknneess sseess ooff tthheeiirr wwoorrkk
 HHeellpp ss ttuuddeennttss ttaakkee rreess ppoonnss iibbiilliittyy ffoorr sseettttiinngg ggooaallss aanndd eevvaalluuaattiinngg tthheeiirr pprrooggrreessss
 PPrroovviiddee tteeaacchheerrss aanndd ssttuuddeennttss wwiitthh ooppppoorrttuunniittyy ttoo ccoollllaabboorraattee aanndd ttoo rreefflleecctt oonn ssttuuddeennttss ’’ pprrooggrreessss
 BBee aann eeffffeeccttiivvee wwaayy ooff ccoo mmmmuunniiccaattiinngg wwiitthh ppaarreennttss bbyy sshhoowwiinngg ccoonnccrreettee eexxaa mmpplleess ooff ssttuuddeennttss ’’ wwoorrkk aanndd
ddeemmoonnssttrraattiioonn ooff pprrooggrreessss
 GGiivvee ppaarreennttss ccoonnccrreettee eexxaa mmpp lleess ooff ss ttuuddeennttss’’ ddeevveellooppmmeenntt oovveerr ttiimmee aass wweellll aass tthheeiirr ccuurrrreenntt ss kkiillllss ..
WWeeaakknneesssseess::
 TTiimmee ccoonnssuummiinngg ttoo aasssseemmbbllee
 RRaattiinnggss hhaavvee llooww rree lliiaabbiilliittyy –– dduuee ttoo uunncclleeaarr ssccoorriinngg ccrriitteerriiaa aanndd llaacc kk ooff ss ttaannddaarrddiizzaatt iioonn..
GGUUIIDDEELLIINNEESS FFOORR PPUUTTTTIINNGG TTOOGGEETTHHEERR AA PPOORRTTFFOOLLIIOO ::
NN..BB.. ““TThhee gguuiiddeelliinneess nneeeedd ttoo bbee ssppeecciiffiicc eennoouugghh ssoo tthhaatt ssttuuddeennttss kknnooww wwhhaatt iiss eexxppeecctteedd wwiitthhoouutt
bbeeiinngg oovveerrllyy ccoonnssttrraaiinniinngg…….. TToooo mmuucchh ssppeecciiffiiccaattiioonn ccaann ssttiiffllee ssttuuddeenntt ccrreeaattiivviittyy aanndd tthhwwaarrtt tthhee
ggooaallss ooff sseellff--rreefflleeccttiioonn aanndd bbeeiinngg rreessppoonnssiibbllee ffoorr tthheeiirr oowwnn lleeaarrnniinngg.. ……TToooo lliittttllee ssppeecciiffiicciittyy
lleeaavveess ssttuuddeennttss iinn tthhee ddaarrkk aabboouutt wwhhaatt iiss ccoonnssiiddeerreedd aann aapppprroopprriiaattee eennttrryy”” ((LLiinnnn aanndd GGrroonnlluunndd
22000000,, 229977))..
AAtt aa mmiinniimmuumm,, gguuiiddeelliinneess sshhoouulldd ssppeecciiffyy::
11.. TThhee uuss eess tthhaatt wwiillll bbee mmaaddee ooff tthhee ppoorrttffoolliioo
22.. WWhhoo wwiillll hhaavvee aacccceessss ttoo iitt
33.. WWhhaatt ttyyppee ooff wwoorrkk aarree aapppprroopprriiaattee ttoo iinncclluuddee
44.. WWhhaatt ccrriitteerriiaa wwiillll bbee uusseedd iinn eevvaalluuaattiinngg tthhee wwoorrkk
OOtthheerr gg uuii ddeelliinneess ::
55.. TThhee rroollee ooff ccoollllaabboorraattiioonn wwiitthh ootthheerrss
66.. TTiimmee lliinnee aanndd tthhee mmiinn iimmuu mm aanndd mmaa xxiimmuu mm eennttrriieess
77.. PPhhyyssiiccaall ssttrruuccttuurree ooff tthhee ppoorrttffoolliioo..
Authentic Assessment: Alternatives To The Traditional Approach
___________________________________________________________________________
51
NN..BB.. PPoorrttffoolliioo aallssoo hhaass ddiirreecctt aapppplliiccaattiioonnss ttoo ssoommee ssttuuddeennttss wwiitthh ddiissaabbiilliittyy.. ““PPoorrttffoolliioo
aasssseessssmmeenntt ccaann bbee uusseedd ttoo ddooccuummeenntt tthhee ppeerrffoorrmmaannccee ooff ssttuuddeennttss wwhhoo hhaavvee bbeeeenn rreeffeerrrreedd ttoo
ssppeecciiaall eedduuccaattiioonn””..
FFiigguurree 44 MMaaiinn AAssppeeccttss OOff CCoovveerr SShheeeett FFoorr PPoorrttffoolliioo EEnnttrryy:: ((LLiinnnn aanndd GGrroonnlluunndd 22000000,, 330066))
SSttuuddeenntt’’ss NNaammee______________________________________ DDaattee______________________________
DDeessccrriippttiioonn ooff EEnnttrryy::
______________________________________________________________________________________________________________________________________________________
SSttuuddeenntt’’ss CCoommmmeennttss::
______________________________________________________________________________________________________________________________________________________
II cchhoooossee tthhiiss iitteemm ffoorr mmyy ppoorrttffoolliioo bbeeccaauussee::
PPlleeaassee nnoottiiccee::
OOtthheerr ccoommmmeennttss
________________________________________________________________________________________________________________________________________________________
TTeeaacchheerr CCoommmmeennttss::
________________________________________________________________________________________________________________________________________________________
TTeeaacchheerr’’ss NNaammee:: ____________________________________ DDaattee________________________________
SSttrroonngg ppooiinnttss ooff eennttrryy::
SSoommee tthhiinnggss ttoo ccoonnssiiddeerr oorr aarreeaass nneeeeddiinngg wwoorrkk aarree::
GGiivvee yyoouurr ssttuuddeennttss ooppppoorrttuunniittyy ttoo rreefflleecctt oonn tthheeiirr wwoorrkk!!!!!!
Authentic Assessment: Alternatives To The Traditional Approach
___________________________________________________________________________
52
VViiee wwss oonn tthhee UUssee ooff PPoorrttffoolliiooss::
WWhheenn LLee MMaahhiieeuu,, GGiittoommeerr aanndd EErreesshh ((11999955)) rreesseeaarrcchheedd tthhee uussee ooff ppoorrttffoolliioo,, ttwwoo pprroobblleemmss tthheeyy
wweerree iinntteerreesstteedd iinn cceenntteerreedd oonn tthhee iinntteeggrraattiivvee nnaattuurree aanndd aaccccoouunnttaabbiilliittyy.. DDuunnbbaarr,, KKoorreettzz aanndd
HHoooovveerr ((11999911)) ccoonncclluuddeedd tthhaatt wwhheenn aa ppoorrttffoolliioo iiss ppaasssseedd oonnttoo aannootthheerr tteeaacchheerr,, oorr ppaasssseedd oonn ffrroomm
oonnee yyeeaarr ttoo tthhee nneexxtt oonn tteesstt ffoorr nnaattiioonnaall aaccccoouunnttaabbiilliittyy tthheeyy lloossee ssoommee ffaalllliibbiilliittyy,, aass tthhee ccoonntteexxtt iinn
wwhhiicchh tthheeyy wweerree uunnddeerrssttoooodd cchhaannggeess.. LLee MMaahhiieeuu eett aall.. aarree nnoott iinn aaggrreeeemmeenntt.. TThheeiirr aannaallyyssiiss
sshhoowweedd tthhaatt ““ppoorrttffoolliioo aasssseessssmmeenntt ccaann hhaavvee ssuuffffiicciieenntt iinntteeggrriittyy ttoo ssuuppppoorrtt ppuurrppoosseess ooff ppuubblliicc
aaccccoouunnttiinngg””.. SSoommee ccoolllleeggeess aarree nnooww uussiinngg tthhee ppoorrttffoolliioo aass aaddmmiissssiioonn rreeqquuiirreemmeenntt.. OOnn tthhee ootthheerr
iissssuuee,, iinn aann iinntteerrvviieeww wwiitthh HHoorroowwiittzz ((11999955)) TTyylleerr,, aa lloonngg ssttaannddiinngg pprrooppoonneenntt ooff aaccttiivvee
mmeeaanniinnggffuull lleeaarrnniinngg,, vviieewweedd ppoorrttffoolliioo aass aann aasssseessssmmeenntt ttooooll wwhhiicchh ddeemmaannddss oonnllyy aa lliimmiitteedd
ssaammpplliinngg ooff ssttuuddeennttss’’ wwoorrkk,, aanndd tthhuuss mmaayy nnoott rreeaallllyy ddeemmoonnssttrraattee aallll tthhee kknnoowwlleeddggee tthhee ssttuuddeenntt
hhaass aaccqquuiirreedd.. AAddaamm aanndd HHaammmm rreemmiinndd uuss,, hhoowweevveerr,, tthhaatt tthhee uussee ooff ppoorrttffoolliioo iiss nnoott aa oonneettiimmee
aaccttiivviittyy –– aass aaddmmiitttteeddllyy iitt wwoouulldd nnoott bbee aa ggoooodd mmeeaassuurree ooff ssttuuddeennttss’’ uunnddeerrssttaannddiinngg.. OOnn tthhee
ccoonnttrraarryy iitt ‘‘pprroovviiddeess aa mmeeaannss ooff ggaatthheerriinngg rreepprreesseennttaattiivvee mmaatteerriiaall oovveerr ttiimmee””.. LLee MMaahhiieeuu eett aall..
ssuuppppoorrtt tthhiiss vviieeww aanndd ffuurrtthheerr oouuttlliinneess ffoouurr rreellaatteedd ccoommppoonneennttss aappaarrtt ffrroomm ssttrruuccttuurree aanndd ssccoorriinngg
pprraaccttiicceess.. TThheessee iinncclluuddee ppuurrppoossee,, ffrraammeewwoorrkk,, ggooaallss,, aanndd qquuaalliittyy.. WWiitthh tthheessee iinn mmiinndd,, tthhee
tteeaacchheerr iinn hheerr ccllaassssrroooomm sshhoouulldd ccoonnssiiddeerr –– FFiirrssttllyy,, tthheerree sshhoouulldd bbee cclleeaarr ppuurrppoosseess ffoorr tthhee
aasssseessssmmeenntt;; sseeccoonnddllyy,, tthhee iinntteerrpprreettiivvee ffrraammeewwoorrkk mmuusstt bbee sshhaarreedd wwiitthh ssttuuddeennttss;; tthhiirrddllyy,,
ccllaassssrroooomm ggooaallss mmuusstt bbee ccoonnssiisstteenntt wwiitthh aaccccoouunnttaabbiilliittyy ggooaallss aanndd ffiinnaallllyy,, iissssuueess ooff qquuaalliittyy iinn
iinnssttrruuccttiioonnaall aanndd ppssyycchhoommeettrriicc tteerrmmss mmuusstt bbee aaddhheerreedd ttoo iinn oorrddeerr ttoo eennssuurree ccoonnssiisstteennccyy aanndd
uussaabbiilliittyy..
Marking, Evaluating and Reporting
___________________________________________________________________________
53
PPaarrtt 33
SSeeccttiioonn 55::
MMaarrkkiinngg AAnndd GGrraaddiinngg:: CCoolllleeccttiinngg IInnffoorrmmaattiioonn
OObbjjeeccttiivvee ttyyppee iitteemmss
EEssssaayy ttyyppee iitteemmss
TThhee mmaaiinn ppuurr ppoossee ffoorr mmaarrkkiinngg oorr ggrraaddiinngg iiss ttoo oobbttaaiinn qquuaannttiittaattii vvee aanndd qquuaalliittaattii vvee mmee aassuurreess // iinnffoorr mmaattiioonn oonn
wwhhiicchh ttoo bbaassee ee vvaalluuaattiioonn..
HHeerree iiss aa bbrriieeff ddiissccuussssiioonn oonn mmaarrkkiinngg oobbjjeeccttii vvee aanndd eessssaayy ttyyppee ii ttee mmss..
IItt iiss vveerryy eeaassyy ttoo mmaarrkk tthhee oobbjjeeccttiivvee ttyyppee iitteemmss,, eessppeecciiaa llllyy tthhee mmuullttiippllee cchhooiiccee aanndd ttrruuee aanndd ffaallssee.. TThhiiss iiss
ssoo,, aass tthhee kkeeyy gguuiiddeess tthhee mmaarrkkeerr aanndd tthheerreeffoorree pprroommootteess oobbjjeeccttiivvee mmaarrkkiinngg.. TThhiiss pprroodduucceess aa hhiigghh ddeeggrreeee
ooff rreelliiaabbiilliittyy aass oonnee wwoouulldd eexxppeecctt eeaacchh mmaarrkkeerr ttoo hhaavvee tthhee ssaammee mmaarrkk ffoorr aannyy ggiivveenn iinnddiivviidduuaall,, uussiinngg tthhee
ssaammee aannsswweerr kkeeyy..
TThheerree iiss ggrreeaatteerr ssccooppee ffoorr ssuubbjjeeccttiivvee mmaarrkkiinngg wwhheenn ggrraaddiinngg eessssaayy iitteemmss oorr ffiillll iinn tthhee bbllaannkkss // ccoommpplleettiioonn..
FFoorr ffiillll iinn tthhee bbllaannkkss // ccoommpplleettiioonn,, tthhee wwrriitteerr mmuusstt eennssuurree tthhee qquueessttiioonn iiss aasskkeedd iinn ssuucchh aa wwaayy tthhaatt oonnllyy
oonnee aannsswweerr ccaann bbee ffiilllleedd iinnttoo tthhee ssppaaccee.. TThhaatt iiss,, aavvooiidd aammbbiigguuiittyy.. IInn mmaarrkkiinngg tthhee eessssaayy,, oonnee ccaann uussee ttwwoo
mmeetthhooddss –– AAnnaallyyttiicc aanndd HHoolliissttiicc mmaarrkkiinngg..
 IInn aannaallyyttiicc mmaarrkkiinngg,, aa mmaa rrkk ss cchheemmee aass ssiissttss tthhee mmaarrkkeerrss;; tthhee ccrriitteerriiaa,, tthhee ppooiinnttss ttoo bbee aawwaarrddeedd aanndd aa
ddeessccrriippttiioonn ooff hhooww tthhee ppooiinnttss aarree ttoo bbee aallllooccaatteedd ttoo eeaacchh ppooiinntt oorr ccrriitteerriioonn aarree gg iivveenn..
 IInn hhoolliissttiicc mmaarrkkiinngg ss ttuuddeennttss aarree ggrraaddeedd bbaasseedd oonn tthhee rreellaattiivvee qquuaalliittyy ooff aa ggrroouupp ppeerrffoorrmmaannccee oonn tthhee eessssaayy..
SSoo tthhee eessssaayyss wwiillll bbee rreeaadd ffiirrsstt,, tthheenn ppllaacceedd iinn ttoo sseettss bbaass eedd oonn hhooww iitt ccoo mmppaarreess wwiitthh ootthheerrss iinn tthhee ggrroouupp;; ffoorr
ee xxaa mmppllee ,, PPoooorr FFaaiirr GGoooodd
TThheenn tthhee eessssaayyss ccaann bbee rreeaadd aaggaaiinn aanndd rreeaassssiiggnneedd ttoo aann aapppprroopprriiaattee sseett.. NNee xxtt tthheeyy ccaann bbee rraannkk oorrddeerreedd iinn
eeaacchh ss eett.. TThheerree ccaann bbee ssoommee vvaarriiaattiioonnss iinn rreeaass ss iiggnniinngg ttoo iiddeennttiiffyy ttoopp ppeerrffoorrmmeerr aanndd llooww ppeerrffoorrmmee rr..
TToo pprroommoottee aa hhiigghh ddeeggrreeee ooff rreelliiaabbiilliittyy tthheerreeffoorree,, tthhee ffoolllloowwiinngg gguuiiddeelliinneess ccaann bbee aaddhheerreedd ttoo::
 EEvvaalluuaattee aannsswweerrss bbaasseedd oonn lleeaarrnniinngg oouuttccoommeess
 SSccoorree rreessttrriicctteedd--rreessppoonnssee aannsswweerrss uussiinngg tthhee aannaallyyttiicc mmeetthhoodd,, uussiinngg aa mmooddeell aannsswweerr aass aa gguuiiddee
 GGrraaddee eexxtteennddeedd--rreessppoonnssee aannsswweerrss uussiinngg tthhee hhoolliissttiicc mmeetthhoodd,, uussiinngg aa ddeeffiinneedd ccrriitteerriiaa aass aa gguuiiddee
 EEvvaalluuaattee oonnee qquueessttiioonn aatt aa ttiimmee
 MMaarrkk bblliinndd –– aavvooiidd llooookkiinngg aatt nnaammeess
 HHaavvee ttwwoo oorr mmoorree rraatteerrss iiff ppoossssiibbllee
Marking, Evaluating and Reporting
___________________________________________________________________________
54
PPaarrtt 33
SSeeccttiioonn 66
EEvvaalluuaattiinngg::
MMaakkiinngg JJuuddggeemmeennttss
OOnn
TThhee BBaassiiss ooff
IInnffoorrmmaattiioonn CCoolllleecctteedd
NNoorrmm--rreeffeerreenncceedd
CCrriitteerriioonn--rreeffeerreenncceedd
IInnffoorrmmaattiioonn ((ggrraaddeess,, mmaarrkk,, aanneeccddootteess)) aarree ccoolllleecctteedd tthhrroouugghh tthhee uussee ooff tteessttiinngg
aanndd nnoonn--tteessttiinngg ddeevviicceess –– aasssseessssmmeenntt iinnssttrruummeennttss.. TThheessee mmeeaassuurreess aarree tthheenn
uusseedd ttoo mmaakkee jjuuddggeemmeennttss aabboouutt ssttuuddeennttss’’ pprrooggrreessss..
RReemmeemmbbeerr eevvaalluuaattiioonn ccaann bbee ddiiaaggnnoossttiicc,, ffoorrmmaattiivvee oorr
ssuummmmaattiivvee..
Marking, Evaluating and Reporting
___________________________________________________________________________
55
NNoorrmm--RReeffeerreenncceedd VVss.. CCrriitteerriioonn--RReeffeerreenncceedd MMeeaassuurreemmeenntt
AAfftteerr aaddmmiinniisstteerriinngg aa sseett ooff iitteemmss iinn aa ttrraaddiittiioonnaall tteessttss oorr aa sseett ooff ppeerrffoorrmmaannccee ttaasskkss,, mmoosstt lliikkeellyy,,
mmeeaassuurreess wwiillll bbee oobbttaaiinneedd aanndd uusseedd ttoo mmaakkee vvaalluuee jjuuddggmmeenntt rreeggaarrddiinngg ssttuuddeennttss’’ ppeerrffoorrmmaannccee oorr
bbeehhaavviioouurr ppaatttteerrnnss.. IItt mmuusstt bbee nnootteedd aallssoo tthhaatt nnoorrmm--rreeffeerreenncceedd aanndd ccrriitteerriioonn--rreeffeerreenncceedd mmeeaassuurreess
oorr ssccoorreess ccaann bbee aapppplliieedd ttoo ssttaannddaarrddiizzeedd aass wweellll aass tteeaacchheerr--mmaaddee tteessttss.. TThhee tteessttss mmaayy llooookk tthhee
ssaammee –– ffoorr eexxaammppllee iinn tthhee mmuullttiippllee--cchhooiiccee ffoorrmmaatt –– bbuutt tthheeiirr ppuurrppoosseess mmaayy ddiiffffeerr ((HHaarrtt 11999922)) ssoo
tthheerree iiss mmoorree ccoonncceerrnn wwiitthh tthhee ccoonnsseeqquueenncceess oorr oouuttccoommeess..
NNoorrmm--rreeffeerreenncceedd mmeeaassuurreess aarree ddiissccrriimmiinnaattiivvee.. TThhee mmeeaassuurreess aarree iinntteerrpprreetteedd,, tthheenn uusseedd ttoo
ccoommppaarree eeaacchh iinnddiivviidduuaall ssccoorree wwiitthh ssoommee ooff tthhee ssaammee ggrroouupp.. TThhiiss iiss ccaalllleedd aa nnoorrmm ggrroouupp.. FFrroomm
aammoonngg tthhiiss ggrroouupp,, tthhee rreellaattiivvee ssttaannddiinngg iiss ggiivveenn aass ppeerrcceennttiillee,, bbaasseedd oonn tthheeiirr aacchhiieevveemmeenntt wwiitthhiinn
tthhee ggrroouupp ((GGrroonnlluunndd 11998855)).. TThhee ffooccuuss ooff tthheessee mmeeaassuurreess iiss hhooww aann iinnddiivviidduuaall’’ss ppeerrcceennttaaggee ssccoorree
iiss mmoorree oorr lleessss tthhaann aannootthheerr.. TThhiiss ppeerrcceennttiillee ssccoorree vvaarriieess ffrroomm oonnee nnoorrmm ggrroouupp ttoo tthhee ootthheerr.. FFoorr
eexxaammppllee,, iiff aann iinnddiivviidduuaall’’ss rraaww ssccoorree iinn mmaatthheemmaattiiccss ppllaacceess hheerr aatt tthhee ssiixxttiieetthh ((6600tthh
)) ppeerrcceennttiillee,, iitt
mmeeaannss sshhee hhaass ppeerrffoorrmmeedd bbeetttteerr tthhaann ssiixxttyy ppeerrcceenntt ((6600%%)) ooff tthhee ssttuuddeennttss iinn tthhee ggrroouupp.. HHoowweevveerr,,
tthhee ssaammee rraaww ssccoorree oonn aa ssppeelllliinngg tteesstt mmaayy ccaauussee tthhee ppeerrcceennttiillee ssccoorree ttoo cchhaannggee ttoo rreefflleecctt eeiitthheerr aa
bbeetttteerr oorr wwoorrssee ppeerrffoorrmmaannccee wwhheenn ccoommppaarreedd ttoo ootthheerr ssttuuddeennttss.. IItt aallll ddeeppeennddss oonn tthhee sspprreeaadd ooff
tthhee ssccoorreess..
CCrriitteerriioonn--rreeffeerreenncceedd mmeeaassuurreess aarree ddeessccrriippttiivvee.. TThheeyy aarree uusseedd ttoo ddeessccrriibbee lleeaarrnniinngg ttaasskkss
wwhhiicchh ppuuppiillss hhaavvee mmaasstteerreedd ffrroomm aa ggiivveenn sseett ooff oobbjjeeccttiivveess.. TThhiiss,, aaccccoorrddiinngg ttoo MMeehhrreennss aanndd
LLeehhmmaannnn ((11998844)),, mmeeaannss tthhaatt aann iinnddiivviidduuaall’’ss ppeerrffoorrmmaannccee iiss ccoommppaarreedd ttoo tthhee eexxtteenntt tthhaatt hhee//sshhee
hhaass aaccqquuiirreedd pprrooffiicciieennccyy ooff ssppeecciiffiieedd ccrriitteerriiaa.. TThhuuss tthhee iinnddiivviidduuaall’’ss ssttaattuuss iiss ccoommppaarreedd aaggaaiinnsstt aa
sseett ooff ssttaannddaarrddss oorr ccrriitteerriiaa –– tthhee ffooccuuss iiss oonn wwhhaatt tthhee iinnddiivviidduuaall ccaann ddoo ((GGrroonnlluunndd 11998855)),, tthhaatt iiss,,
ggiivveenn aa tteesstt ooff 110000 iitteemmss mmeeaassuurriinngg ssppeecciiffiicc oobbjjeeccttiivveess aanndd tthhee iinnddiivviidduuaall ggeettss ssiixxttyy ((6600)) iitteemmss
ccoorrrreecctt,, tthheenn hheerr ssccoorree wwoouulldd bbee iinntteerrpprreetteedd aass sshhee hhaass mmaasstteerreedd ssiixxttyy ppeerrcceenntt ((6600%%)) ooff tthhee
oobbjjeeccttiivveess.. SSiimmuullttaanneeoouussllyy,, oonnee wwoouulldd bbee aabbllee ttoo iiddeennttiiffyy wwhhaatt ssppeecciiffiicc kknnoowwlleeddggee aanndd sskkiillllss tthhee
iinnddiivviidduuaall hhaass aattttaaiinneedd iinn tthhaatt ssaammppllee ddoommaaiinn..
AA tteesstt ddeessiiggnneedd ttoo oobbttaaiinn nnoorrmm--rreeffeerreenncceedd mmeeaassuurreess wwoouulldd ccoovveerr aa bbrrooaadd ddoommaaiinn ooff ccoonntteenntt,,
wwhhiillee oonn tthhee ootthheerr hhaanndd,, ffoorr ccrriitteerriioonn--rreeffeerreenncceedd mmeeaassuurreess,, tthhee ccoonntteenntt ddoommaaiinn wwoouulldd bbee nnaarrrrooww..
BBeeccaauussee tthhee nnoorrmm--rreeffeerreenncceedd mmeeaassuurreess wwoouulldd bbeetttteerr pprroovviiddee iinnffoorrmmaattiioonn ffoorr sseelleeccttiioonn ooff
bbeetttteerr ssttuuddeennttss,, tthhee tteesstt ddeessiiggnneerr wwoouulldd mmaakkee eevveerryy eeffffoorrtt ttoo pprroodduuccee vvaarriiaannccee.. TThheerreeffoorree vveerryy
Marking, Evaluating and Reporting
___________________________________________________________________________
56
ddiiffffiiccuulltt oorr eeaassyy iitteemmss wwoouulldd bbee ddiissccaarrddeedd aafftteerr iitteemm aannaallyyssiiss.. TThheerree wwoouulldd bbee ccoonncceerrnn iiff aallll tthhee
ssttuuddeennttss ggoott oonnee hhuunnddrreedd ppeerrcceenntt ((110000%%)),, eessppeecciiaallllyy wwhheenn ‘‘ffiixxeedd--qquuoottaa’’ sseelleeccttiioonn ffoorr ppllaacceemmeenntt
iiss iimmppoorrttaanntt ((MMeehhrreennss aanndd LLeehhmmaannnn 11998844)).. TThhiiss ttyyppee ooff iinntteerrpprreettaattiioonn iiss iimmppoorrttaanntt iinn sseelleeccttiinngg
tthhee bbeetttteerr ccaannddiiddaattee//iinnddiivviidduuaall ttoo ffiillll aa ssppaaccee -- ffoorr eexxaammppllee,, wwhheerree cchhooiicceess aarree mmaaddee ttoo sseelleecctt tthhee
‘‘ttoopp ssiixxttyy’’ ssttuuddeennttss ffoorr ppllaacceemmeenntt iinn SSeeccoonnddaarryy sscchhoooollss iinn AAnnttiigguuaa aanndd BBaarrbbuuddaa.. TThhiiss ttyyppee ooff
mmeeaassuurreemmeenntt iiss aallssoo mmoosstt uusseeffuull ttoo mmoonniittoorr tthhee pprrooggrreessss ooff sscchhoooollss.. IInn tthhiiss wwaayy oonnee ccaann mmeeaassuurree
ttoo wwhhaatt eexxtteenntt tthhee ppeerrffoorrmmaannccee aatt aa ppaarrttiiccuullaarr sscchhooooll iiss iimmpprroovviinngg oorr nnoott..
WWhhiillee ccrriitteerriioonn--rreeffeerreenncceedd mmeeaassuurreemmeenntt sseerrvveess aass iinnddiiccaattiioonn ooff aacchhiieevveemmeenntt eessppeecciiaallllyy oonn
nnaarrrrooww ttaasskk ddoommaaiinnss,, tthheeyy pprroovviiddee vveerryy lliittttllee iinnffoorrmmaattiioonn oonn wwhhaatt hhaass bbeeeenn lleeaarrnntt.. MMeehhrreennss aanndd
LLeehhmmaannnn ((11998844)) ccllaarriiffyy tthhaatt tthhiiss ddooeess nnoott pprroovviiddee tthhee ssccooppee ttoo iinnffeerr tthhee ssttuuddeennttss’’ kknnoowwlleeddggee jjuusstt
ffrroomm hhiiss ppeerrcceennttaaggee mmaarrkk.. GGaaiinniinngg 6600%% oonn aa ssaammppllee ooff iitteemmss ooff tthhee ddoommaaiinn ddooeess nnoott mmeeaann tthhee
eexxaammiinneeee hhaass 6600%% ooff aallll tthhee kknnoowwlleeddggee iinn tthhaatt ddoommaaiinn.. TThhee eexxcceeppttiioonn ooccccuurrss iinn vveerryy nnaarrrrooww
ddoommaaiinnss wwhheenn tthhee ssaammppllee aanndd tthhee ppooppuullaattiioonn aarree eeqquuaall.. AAllssoo,, iiff aa hhiigghh ssttaakkee tteesstt wweerree ddeessiiggnneedd
jjuusstt ttoo ddiiffffeerreennttiiaattee bbeettwweeeenn tthhoossee ssttuuddeennttss wwhhoo kknnooww aanndd tthhoossee wwhhoo ddoo nnoott,, bbaasseedd oonn aa nnaarrrrooww
ssaammppllee sseelleeccttiioonn ooff oobbjjeeccttiivveess,, iinn aallll lliikkeelliihhoooodd iitt wwoouulldd bbee aa sshhoorrtteerr tteesstt..
CCrriitteerriioonn--rreeffeerreenncceedd mmeeaassuurreess aarree mmoorree uusseeffuull wwhheenn iinntteerrpprreettaattiioonnss aarree ttoo bbee mmaaddee iinn bbrrooaadd
eedduuccaattiioonnaall ssuurrvveeyyss ttoo eevvaalluuaattee tthhee aaccccoommpplliisshhmmeennttss ooff ssttuuddeennttss,, oorr aann eedduuccaattiioonnaall pprrooggrraammmmee
oorr ccuurrrriiccuulluumm ttoo mmaakkee cchhaannggeess ffoorr ppuubblliicc aaccccoouunnttiinngg;; tthheenn pprreeddiiccttiioonnss ccaann bbee mmaaddee aabboouutt ffuuttuurree
ssuucccceessss iinn ttrraaiinniinngg oorr iinn aa jjoobb rreellaatteedd ttoo aa ppaarrttiiccuullaarr aarreeaa.. YYeett tthheerree aarree ssoo mmaannyy ffaaccttoorrss ttoo aaffffeecctt
ppeerrffoorrmmaannccee tthhaatt GGrroonnlluunndd ppooiinnttss oouutt tthhaatt oonnee mmuusstt bbee ccaauuttiioouuss wwhheenn pprreeddiiccttiinngg ssccoorreess.. IInn ssoommee
ccaasseess rreetteessttiinngg iiss aaddvviisseedd,, iinn oorrddeerr ttoo sseeee iiff tthheerree iiss ccoonnssiisstteennccyy ooff eeqquuiivvaalleenntt ffoorrmmss ooff tthhee tteesstt
eessppeecciiaallllyy ffoorr eevvaalluuaattiioonn ooff ssttuuddeennttss’’ pprrooggrreessss..
BBootthh nnoorrmm--rreeffeerreenncceedd aanndd ccrriitteerriioonn--rreeffeerreenncceedd tteessttss hhaavvee tthheeiirr rroollee ttoo ppllaayy.. IItt iiss iimmppoorrttaanntt
tthhaatt tthhee iinntteerrpprreettaattiioonn ooff tteesstt ssccoorreess bbee ddoonnee wwiitthh ccaarree ttoo aasscceerrttaaiinn tthhee bbeesstt ppoossssiibbllee ddeecciissiioonnss..
SSppeecciiffiiccaallllyy,, nnoorrmm--rreeffeerreenncceedd mmeeaassuurreess wwiillll iinnddiiccaattee aann iinnddiivviidduuaall’’ss ppeerrffoorrmmaannccee iinn ccoommppaarriissoonn
ttoo ootthheerrss wwhhiillee ccrriitteerriioonn--rreeffeerreenncceedd mmeeaassuurreess aassssiisstt iinn sseeppaarraattiinngg tthhee ccoommppeetteenntt ffrroomm tthhee
iinnccoommppeetteenntt.. HHoowweevveerr,, aass PPoopphhaamm ((11999955)) ssttaatteess,, uusseeffuull iinnffoorrmmaattiioonn ccaann bbee ddeerriivveedd ffrroomm oonnee
ttyyppee ooff tteesstt eevveenn iiff iitt wwaass ddeevveellooppeedd ffoorr aannootthheerr ppuurrppoossee.. PPoopphhaamm aallssoo aaddvviisseess tthhaatt tteesstt
ddeevveellooppeerrss mmuusstt ppaayy aatttteennttiioonn ttoo iitteemm ccoonnssttrruuccttiioonn aanndd iitteemm aannaallyyssiiss ttoo eennssuurree hhiigghheerr ddeeggrreeee ooff
rreelliiaabbiilliittyy aanndd vvaalliiddiittyy.. TThhiiss wwoouulldd eennhhaannccee tthhee aaccccoouunnttaabbiilliittyy ooff hhiigghh ssttaakkeess tteesstt ttoo tthhee ppuubblliicc
aanndd ttoo aaddmmiinniissttrraattoorrss..
Marking, Evaluating and Reporting
___________________________________________________________________________
57
CCrriitteerriioonn--rreeffeerreenncceedd
AAnnaallyysseess::
TTaabbllee ooff SSppeecciiffiiccaattiioonnss
SSaammppllee AAnnaallyyssiiss
FFoollllooww--uupp AAccttiioonn
CCrriitteerriioonn rreeffeerreenncceedd IItteemm AAnnaallyyssiiss
TTaabbllee 55..11 TTaabbllee ooff SSppeecciiffiiccaattiioonnss::
TTooppiiccss,, OObbjjeeccttiivveess aanndd IItteemmss FFoorr MMaatthheemmaattiiccss TTeesstt
IItteemmss TTooppiiccss//CCoonntteenntt OObbjjeeccttiivveess
II 11,,33,,1100,,1111,,1122
((55 mmaarrkkss))
IInnttrroodduuccttiioonn ttoo EElleemmeennttaarryy
ssttaattiissttiiccss
CCaallccuullaattee tthhee mmeeaann,, mmeeddiiaann,,
rraannggee aanndd iinntteerr--qquuaarrttiillee rraannggee ffoorr
aa sseett ooff ddaattaa
IIII 44
((11 MMaarrkk))
IInnttrroodduuccttiioonn ttoo bbaassiicc
pprroobbaabbiilliittyy
OObbttaaiinn tthhee EExxppeerriimmeennttaall aanndd
tthheeoorreettiiccaall pprroobbaabbiilliittyy ooff aa ssiimmppllee
eevveenntt
IIIIII 99,,1133,,1155,,1177,,1199,,2200 BBaassiicc aallggeebbrraaiicc CCoonncceeppttss
aanndd PPrroocceesssseess
PPeerrffoorrmm aallggeebbrraaiicc ooppeerraattiioonnss
IIVV 77,,88
((22 MMaarrkkss))
BBaassiicc TTrriiggoonnoommeettrriicc RRaattiioo SSoollvvee ssiimmppllee pprroobblleemmss ppeerrttaaiinniinngg
ttoo rriigghhtt aanngglleedd ttrriiaanngglleess
VV 55
((11 MMaarrkkss))
IInnttrroodduuccttiioonn ttoo CCoooorrddiinnaattee
GGeeoommeettrryy
CCaallccuullaattee tthhee mmiiddppooiinntt,, ggrraaddiieenntt
aanndd eeqquuaattiioonn ooff aa ssttrraaiigghhtt lliinnee
VVII 1144,,1166,,1188
((33 MMaarrkkss))
IInnttrroodduuccttiioonn ttoo tthhee LLaawwss ooff
IInnddiicceess
AAppppllyy tthhee llaawwss ooff iinnddiicceess
aapppprroopprriiaatteellyy ttoo ggiivveenn ssiittuuaattiioonnss
VVIIII 22,,66
((22 MMaarrkkss))
CCoonnssuummeerr AArriitthhmmeettiicc AAppppllyy ccoonnssuummeerr mmaatthheemmaattiiccss ttoo
ssiittuuaattiioonnss iinn eevveerryy ddaayy lliiffee
((AAnn aaddaappttaattiioonn ooff CCoolllliinnss,, AAllbbeerrtt.. 22nndd
.. YYeeaarr SSeeccoonnddaarryy TTeeaacchheerr TTrraaiinneeee 22000044))
Marking, Evaluating and Reporting
___________________________________________________________________________
58
TTaabbllee 55..22 AA CCrriitteerriioonn--RReeffeerreenncceedd aannaallyyssiiss ooff tthhee SSttuuddeennttss’’ MMaatthheemmaattiiccss SSccoorreess
((MMuullttiippllee CChhooiiccee))
((SSaammppllee –– oobbjjeeccttiivvee 11))-- nnaammeess hhaavvee bbeeeenn rreeppllaacceedd bbyy nnuummbbeerrss
OObbjjeeccttiivveess 11
IItteemmss 11 33 1100 1111 1122
KKeeyy DD BB CC BB AA
SSttuuddeennttss
11 ?? ?? ?? ?? ??
22 ?? ?? ?? DD BB
33 ?? ?? ?? ?? CC
44 ?? ?? ?? DD ??
55 ?? AA ?? ?? DD
66 ?? ?? ?? AA ??
77 ?? ?? ?? ?? ??
88 ?? ?? ?? ?? ??
99 ?? ?? ?? AA ??
1100 ?? ?? ?? ?? ??
1111 ?? ?? ?? DD ??
1122 ?? CC ?? AA DD
1133 ?? ?? ?? DD ??
1144 ?? CC ?? CC DD
1155 ?? DD ?? DD BB
1166 ?? DD ?? ?? BB
1177 ?? AA ?? DD BB
1188 ?? DD ?? ?? DD
1199 ?? DD ?? AA CC
2200 AA DD AA CC BB
2211 BB DD BB ?? CC
2222 AA DD ?? CC DD
NNoo.. ooff ssttuuddeennttss wwiitthh
ccoorrrreecctt rreess ppoonnss ee
1199 1111 2200 99 99
%% ooff ssttuuddeennttss wwiitthh ccoorrrreecctt
rreessppoonnssee
8866 5500 9911 4411 4411
NNuu mmbbeerr ooff ssttuuddeennttss wwhhoo
mmeeeett ggrroouupp ccrriitteerriiaa
1144
%% ss ttuuddeennttss wwhhoo mmeeeett
ggrroouupp ccrriitteerriioonn
6644
EEssttaabblliisshheedd ggrroouupp
ccrriitteerriioonn ((%% ))
6600
%% ddeevviiaattiioonn ==44
FFoollllooww--uupp aaccttiioonn NNOO
Marking, Evaluating and Reporting
___________________________________________________________________________
59
AAnn aannaallyyssiiss ooff tthhee ssttuuddeennttss’’ ppeerrffoorrmmaannccee oonn oobbjjeeccttiivvee oonnee iinnddiiccaatteess tthhee ffoolllloowwiinngg::
 FFiivvee ((55)) iitteemmss wweerree ddeessiiggnneedd ttoo aasssseessss oobbjjeeccttiivvee oonnee..
 TThhee ccrriitteerriioonn sseett wwaass ssiixxttyy ppeerrcceenntt ((6600%%)) oorr tthhrreeee ((33)) iitteemmss ccoorrrreecctt..
 FFoouurrtteeeenn ((1144)) oorr ssiixxttyy--ffoouurr ppeerrcceenntt ((6644%%)) ssttuuddeennttss mmeett tthhee ccrriitteerriioonn..
 TThheerree wwiillll bbee nnoo ffoollllooww--uupp aaccttiioonn..
 EEiigghhtt ((88)) ssttuuddeennttss ((1122,, 1144,, 1155,, 1177,, 1199,, 2200,, 2211,, 2222)) ddiidd nnoott aacchhiieevvee mmaasstteerryy ooff oobbjjeeccttiivvee oonnee..
AAnn aannaallyyssiiss ooff eeaacchh oobbjjeeccttiivvee wwiillll ttaakkee ssiimmiillaarr ffoorrmm.. TThhee aannaallyyssiiss wwiillll aallssoo sshhooww hhooww mmaannyy
oobbjjeeccttiivveess eeaacchh ssttuuddeenntt ddiidd oorr ddiidd nnoott mmaasstteerr.. TThhee tteeaacchheerr ccaann tthheenn iiddeennttiiffyy tthhee ffoollllooww--uupp aaccttiioonn ffoorr
tthhee ccllaassss aanndd ffoorr eeaacchh ssttuuddeenntt..
FFOOLLLLOOWW--UUPP AACCTTIIOONN
BBeellooww ddeemmoonnssttrraatteess tthhee ttyyppee ooff ffoollllooww--uupp aaccttiioonnss tthhee tteeaacchheerr wwiisshheess ttoo ttaakkee:: ((CCoolllliinnss,, AAllbbeerrtt:: SSttuuddeenntt
TTeeaacchheerr -- MMaayy 22000044))
TTaabbllee 55..33 FFoollllooww--UUpp AAccttiioonn wwiitthh TThhee CCllaassss::
OObbjj.. FFoollllooww
-- uupp??
AArreeaass iinn wwhhiicchh ffoollllooww--uupp ddee vveellooppmmee nnttaall wwoorrkk wwhhiicchh nneeee ddss ttoo
bbee ddoonnee wwiitthh tthhee ccllaassss..
II NNOO HHoowweevveerr,, rraannggee,, mmeeddiiaann aanndd iinntteerr--qquuaarrttiillee rraannggee wwiillll bbee rreevviieewweedd
bbaasseedd oonn tthhee llooww ccoorrrreecctt rreessppoonnssee ttoo iitteemmss rree llaatteedd ttoo tthheess ee aarreeaass..
IIII NNOO HHoowweevveerr,, tthhee ccoonncceepptt wwiillll bbee aapppplliieedd oonn aa ccoonnttiinnuuoouuss bbaass iiss ttoo
ss iittuuaattiioonnss ffoorr rreeiinn ffoorrccee mmeenntt ppuurrppoosseess..
IIIIII YYEESS MMaanniippuullaattiioonn ooff aallggeebbrraa iicc ee xxpp rreessssiioonnss aanndd eeqquuaattiioonnss
IIVV YYEESS AApppplliiccaattiioonn ooff ggeeoommeettrriicc rraattiiooss ttoo rriigghhtt aanngglleess
VV YYEESS RReevviiee ww ooff ggrraaddiieenntt,, mmiiddppooiinntt aanndd eeqquuaattiioonn ooff aa ssttrraaiigghhtt lliinnee uussiinngg
bbootthh ggrraapphhiiccaall aanndd aannaallyyttiiccaall mmeetthhooddss
VVII YYEESS AApppplliiccaattiioonn ooff llaaww ooff iinnddiicceess ttoo tthhee ssoolluuttiioonnss ooff ssiimmpp llee rreellaatteedd
mmaatthhee mmaattiiccaa ll pprroobbllee mmss
VVIIII YYEESS PPrrooffiitt aanndd lloossss,, ppeerrcceennttaaggeess,, rraattiioo aanndd pprrooppoorrttiioonn
FFoollllooww--uupp aaccttiioonn wwiitthh iinnddiivviidduuaall ssttuuddeennttss:: ((ffoorr tthhiiss pprreesseennttaattiioonn,, nnaammeess hhaavvee bbeeeenn rreeppllaacceedd wwiitthh
nnuummbbeerrss))
BBaasseedd oonn tthhee aannaallyyssiiss aabboovvee,, aa lloott ooff ffoollllooww--uupp ddeevveellooppmmeennttaa ll wwoorrkk nneeeeddss ttoo bbee ddoonnee eessppeecciiaallllyy wwiitthh
tthhee ssttuuddeennttss1155,, 1199,, 2211,, 2222 aass tthheessee ssttuuddeennttss oonnllyy mmaannaaggeedd ttoo mmeeeett tthhee mmiinniimmuumm aacccceeppttaabbllee
ppeerrffoorrmmaannccee lleevveell iinn oonnllyy oonnee ooff tthhee sseevveenn oobbjjeeccttiivveess.. IInn aaddddiittiioonn,, ffoollllooww--uupp ddeevveellooppmmeennttaa ll wwoorrkk
hhaass ttoo bbee ddoonnee wwiitthh ssttuuddeennttss 1166,, 1177,, 2200,, 1144,, 1188..
Marking, Evaluating and Reporting
___________________________________________________________________________
60
AA ppoossssiibbllee ccoouurrssee ooff aaccttiioonn wwoouulldd bbee ttoo ppllaaccee tthheessee iinnddiivviidduuaa llss iinn ggrroouuppss ooff tthhrreeee ((33)) aanndd aappppooiinntt tthhee
ttoopp ssttuuddeennttss ((11,, 22,, 55)) aass lleeaaddeerrss ooff tthhee tthhrreeee ggrroouuppss ttoo eennccoouurraaggee aann aattmmoosspphheerree ooff ccooooppeerraattiivvee
lleeaarrnniinngg wwiitthhiinn eeaacchh ggrroouupp.. TThhee tteeaacchheerr wwiillll mmoonniittoorr tthhee aaccttiivviittiieess ttoo eennssuurree tthhaatt lleeaarrnniinngg ttaakkeess ppllaaccee..
IItteemmss 1166 aanndd 2200,, eeaacchh wwiitthh 3322%% ccoorrrreecctt rreessppoonnsseess;; iitteemm 1100 hhaadd 9911%% ccoorrrreecctt rreessppoonnsseess..
TThhee tteeaacchheerr ffuurrtthheerr nnootteedd:: ““TThhee nnuummbbeerr ooff oobbjjeeccttiivveess tteesstteedd sseeeemmss ttoo bbee ttoooo mmaannyy aanndd mmaayy aaccccoouunntt
ffoorr tthhee eexxtteenntt ooff tthhee ffoollllooww--uupp wwoorrkk tthhaatt nneeeeddss ttoo bbee ddoonnee””..
TTEESSTT IITTEEMM AANNAALLYYSSIISS::
CCrriittee rriioonn rreeffeerreenncceedd iitteemm aannaallyyssiiss:: TThhee mmaaiinn aaiimm iiss ttoo ffiinndd oouutt wwhhaatt ssttuuddeennttss ccaann ddoo iinn rreellaattiioonn
ttoo aa ssppeecciiffiieedd sseett ooff ccoonntteenntt.. IInn tthhee pprroocceessss,, oonnee mmaayy iiddeennttiiffyy oobbjjeeccttiivveess wwhhiicchh ssttuuddeennttss ddiidd nnoott
lleeaarrnn pprrooppeerrllyy;; tthheessee oobbjjeeccttiivveess wwiillll nneeeedd ttoo bbee ttaauugghhtt aaggaaiinn oorr rreeaasssseesssseedd.. EEsssseennttiiaallllyy,, oonnee iiss
ccoonncceerrnneedd wwiitthh tthhee eeffffeeccttss ooff iinnssttrruuccttiioonn.. IInn tthhiiss ccaassee iitt iiss aallrriigghhtt ttoo hhaavvee eeaassyy iitteemmss oonn tthhee tteesstt..
CCoommppaarree tthhee ppeerrffoorrmmaannccee ooff tthhee ssttuuddeennttss bbeeffoorree aanndd aafftteerr iinnssttrruuccttiioonn..
MMaarrkk tthhee tteesstt
PPeerrffoorrmm ccaallccuullaattiioonn –– sseennssiittiivviittyy ttoo iinnssttrruuccttiioonn
SSeennssiittiivviittyy ((SS)) == RRaa –– RRbb//TT
RRaa == tthhee nnuummbbeerr ooff ssttuuddeennttss wwhhoo aannsswweerreedd tthhee iitteemm ccoorrrreeccttllyy aafftteerr iinnssttrruuccttiioonn
RRbb== tthhee nnuummbbeerr ooff ssttuuddeennttss wwhhoo aannsswweerreedd tthhee iitteemm ccoorrrreeccttllyy bbeeffoorree iinnssttrruuccttiioonn
TT== tthhee ttoottaall nnuummbbeerr ooff ssttuuddeennttss wwhhoo aannsswweerreedd tthhee qquueessttiioonn..
NN..BB AA ttoottaall aanndd oorr ppeerrcceennttaaggee ccaann aallssoo bbee ccaallccuullaatteedd ffoorr eeaacchh ssttuuddeenntt wwhhiicchh ccaann bbee ffuurrtthheerr uusseedd
ffoorr aa nnoorrmm--rreeffeerreenncceedd eevvaalluuaattiioonn..
Marking, Evaluating and Reporting
___________________________________________________________________________
61
NNoorrmm –– RReeffeerreenncceedd
AAnnaallyysseess
TTeesstt IItteemm AAnnaallyyssiiss
MMeeaassuurreess ooff VVaarriiaabbiilliittyy
MMeeaassuurreess ooff CCeennttrraall TTeennddeennccyy
GGrraapphhiiccaall RReepprreesseennttaattiioonn ooff SSccoorreess
SSttaannddaarrdd DDeevviiaattiioonn
Marking, Evaluating and Reporting
___________________________________________________________________________
62
TTEESSTT IITTEEMM AANNAALLYYSSIISS::
AA ffuurrtthheerr nnoorrmm--rreeffeerreenncceedd iitteemm aannaallyyssiiss ccaann bbee ddoonnee.. NNoorrmm--rreeffeerreenncceedd iitteemm aannaallyyssiiss iiss tthhee
pprroocceessss ooff eexxaammiinniinngg ssttuuddeennttss’’ rreessppoonnsseess ttoo eeaacchh tteesstt iitteemm iinn oorrddeerr ttoo jjuuddggee tthhee qquuaalliittyy ooff tthhee
iitteemm.. AAnn iitteemm aannaallyyssiiss ccaann bbee ddoonnee iinn oorrddeerr ttoo ttrryyoouutt iitteemmss,, iinnddiivviidduuaallllyy,, bbeeffoorree tthheeyy aarree
aaccttuuaallllyy ppllaacceedd oonn aa tteesstt,, oorr aafftteerr aa tteesstt..
TThhee mmaaiinn ppuurrppoosseess aarree::
11.. TToo iiddeennttiiffyy wweeaakk oorr ddeeffeeccttiivvee iitteemmss.. TThheessee iitteemmss mmaayy bbee aammbbiigguuoouuss oorr hhaavvee
iimmppllaauussiibbllee ddiissttrraaccttoorrss –– HHooww mmaannyy ppeeooppllee cchhoooossee eeaacchh rreessppoonnssee..
22.. TToo ddeetteerrmmiinnee tthhee DDiiffffiiccuullttyy IInnddeexx:: TThhee ddiiffffiiccuullttyy lleevveell ooff tthhee iitteemmss –– hhooww eeaassyy oorr
ddiiffffiiccuulltt –– HHooww mmaannyy ppeeooppllee aannsswweerreedd tthhee qquueessttiioonn ccoorrrreeccttllyy..
33.. TToo ddeetteerrmmiinnee tthhee DDiissccrriimmiinnaattiioonn IInnddeexx:: TThhee ddeeggrreeee ttoo wwhhiicchh tthhee iitteemmss ddiissttiinngguuiisshh
bbeettwweeeenn tthhee ssttuuddeennttss wwhhoo aacchhiieevvee aann oobbjjeeccttiivvee aanndd tthhoossee wwhhoo ddoo nnoott –– AArree tthhee
rreessppoonnsseess ttoo tthhee iitteemm rreellaatteedd ttoo tthhee ootthheerr iitteemmss oonn tthhee tteesstt..
44.. TToo ddeetteerrmmiinnee tthhee eeffffiicciieennccyy ooff ddiissttrraaccttoorrss :: TThhee eexxtteenntt ttoo wwhhiicchh ddiissttrraaccttoorrss aarree nnoott
ppeerrffoorrmmiinngg wweellll
FFoorr eexxaammppllee::
 TThheerree aarree ttwweennttyy--ttwwoo ssttuuddeennttss iinn tthhee ssaammppllee..
 SSttuuddeennttss aarree lliisstteedd iinn oorrddeerr ffrroomm hhiigghheesstt ssccoorree ttoo lloowweesstt ssccoorree,, tthhaatt iiss,, iinn ddeesscceennddiinngg
oorrddeerr..
 SSeelleecctt ttwwoo ggrroouuppss ttoo rreepprreesseenntt aann uuppppeerr ggrroouupp aanndd aa lloowweerr ggrroouupp.. IItt iiss tthhee nnoorrmm ttoo
ddiivviiddee aa llaarrggee ggrroouupp iinnttoo tthhiirrddss aanndd uussee tthhee uuppppeerr oonnee tthhiirrdd aanndd lloowweerr oonnee tthhiirrdd;; ssoommee
mmaayy eevveenn ssuuggggeesstt tthhee uuppppeerr 2277%% aanndd lloowweerr 2277%%.. HHoowweevveerr,, tthhiiss iiss aa ssmmaallll ggrroouupp
tthheerreeffoorree wwee wwiillll jjuusstt ddiivviiddee tthheemm iinnttoo hhaallvveess –– UUppppeerr 1111 ((11--1111)) aanndd LLoowweerr 1111 ((1122--2222))..
((SSeeee PPaaggee 5577))
 TToottaall tthhee nnuummbbeerr ooff ssttuuddeennttss wwhhoo ggeett eeaacchh iitteemm ccoorrrreecctt iinn tthhee uuppppeerr aanndd lloowweerr ggrroouuppss..
 PPeerrffoorrmm ccaallccuullaattiioonnss
TThhee iitteemm hhaass ffoouurr cchhooiicceess ((AA,, BB,, CC,, DD));; tthhee ccoorrrreecctt rreessppoonnssee iiss **DD..
NNoorrmm--rreeffeerreenncceedd SSuummmmaarryy TTaabbllee ((ssaammppllee IItteemm 11))
AA BB CC **DD
UUppppee rr 1111 00 00 00 1111
LLoowweerr 1111 22 11 00 88
Marking, Evaluating and Reporting
___________________________________________________________________________
63
TThhee ttaabbllee aabboovvee iinnddiiccaatteess tthhaatt eelleevveenn ((1111)) ssttuuddeennttss iinn tthhee uuppppeerr ggrroouupp,, aanndd eeiigghhtt ((88)) ssttuuddeennttss iinn
tthhee lloowweerr ggrroouupp hhaadd tthhee iitteemm rriigghhtt..
UU 1111 ++ LL 88 == 1199
11.. DDiiffffiiccuullttyy IInnddeexx:: AAdddd tthhee nnuummbbeerr ooff ssttuuddeennttss ffrroomm tthhee uuppppeerr ggrroouupp wwhhoo ggoott tthhee iitteemm ccoorrrreecctt
((1111)) ttoo tthhee nnuummbbeerr wwhhoo ggoott tthhee iitteemm ccoorrrreecctt iinn tthhee lloowweerr ggrroouupp ((88)).. DDiivviiddee tthhee ssuumm ((1199)) bbyy tthhee
nnuummbbeerr ooff ppeerrssoonnss iinn tthhee uuppppeerr aanndd lloowweerr ggrroouuppss ccoommbbiinneedd ((2222))..
MMuullttiippllyy tthhee rreessuulltt bbyy 110000..
aa.. 1199 //2222 == ..8866 oorr 1199//2222 XX110000 == 8866%%
IInntteerrpprreettaattiioonn ooff tthhee DDiiffffiiccuullttyy iinnddeexx:: FFoorr eexxaammppllee ffoorr tthhee MMuullttiippllee CChhooiiccee ––
FFoorr mmaatt IIddeeaall ddii ffffiiccuullttyy
FFiivvee ooppttiioonnss 7700%% aarrbbiittrraarriillyy::
FFoouurr ooppttiioonnss 7744%% 8855%% oorr aabboovvee tthhee iittee mm iiss eeaass yy
TThhrreeee ooppttiioonnss 7777%% 5511 %% aanndd 8844%% tthhee iittee mm iiss mmooddeerraattee
TTwwoo ooppttiioonnss ((TTrruuee//FFaallssee)) 8855%% 5500%% oorr lloowwee rr tthhee iittee mm iiss hhaarrdd
NN..BB mmooddeerraattee iittee mmss ggiivvee aa wwiiddeerr sspprreeaadd ooff ssttuuddeennttss ’’ ssccoorreess..
22.. DDiissccrriimmiinnaattiioonn IInnddeexx:: CCaallccuullaattee tthhee ddiiffffeerreennccee bbeettwweeeenn tthhee nnuummbbeerr ooff ssttuuddeennttss wwhhoo ggoott tthhee
iitteemm ccoorrrreecctt iinn tthhee uuppppeerr ((1111)) aanndd lloowweerr ((44)) ggrroouuppss.. DDiivviiddee tthhiiss ddiiffffeerreennccee bbyy tthhee nnuummbbeerr iinn eeaacchh
ggrroouupp ((1111))
bb.. 1111 –– 44 == 77
cc.. 77 // 1111 == 00..6644
TThhiiss iitteemm iiss aacccceeppttaabbllee.. TThhee aannaallyyssiiss sshhoowwss tthhaatt iitteemm 11 iiss ffaaiirrllyy eeaassyy,, aanndd iiss ddiissccrriimmiinnaattiinngg wweellll;;
DDiissttrraaccttoorr CC ddiidd nnoott ffuunnccttiioonn aatt aallll aanndd ssoo sshhoouulldd nnoott bbee uusseedd wwhheenn tthhee iitteemm iiss rreevviieewweedd;; AA aanndd
BB ddiidd nnoott ddiissttrraacctt aannyy ssttuuddeenntt iinn tthhee uuppppeerr ggrroouupp..
HHee rree aarree ttwwoo iinnttee rrpprree ttaattiioonnss ooff tthhee DDiissccrriimmiinnaattiioonn iinnddeexx::
AA.. MMoodduullee 11::
II.. GGrree aattee rr tthhaann ..4400,, tthhee iittee mm iiss aacccceeppttaabbllee
IIII.. 1199 -- ..4400 tthhee iittee mm rree qquuiirreess rreevviissiioonn
IIIIII.. LLeessss tthhaann ..1199,, tthhee iittee mm iiss iinnaapppprroopprriiaattee ,, sshhoouulldd bbee rree jjeeccttee dd oorr rree vviisseedd
BB.. hhttttpp::////wwwwww..wwaasshhiinnggttoonn..eedduu//ooeeaa//iittee mm..hhttmm
II.. AAbboovvee ..3300 tthhee iitteemm iiss ggoooodd
IIII.. BBeettwweeeenn ..1100 aanndd ..3300 tthhee iitteemm iiss ffaaiirr
IIIIII.. BBeellooww ..1100 tthhee iitteemm iiss ppoooorr
Marking, Evaluating and Reporting
___________________________________________________________________________
64
NNoorrmm--rreeffeerreenncceedd iinntteerrpprreettaattiioonn ooff
aa sseett ooff ssccoorreess::
AA.. MMeeaassuurreess ooff cceennttrraall
tteennddeennccyy
BB.. MMeeaassuurreess ooff vvaarriiaabbiilliittyy
FFiigguurree 55 IIQQ TTeesstt SSccoorreess ((nn==4422))
6666
7722
5577
6677
7722
6655
7744
6655
5599
6666
7799
5599
4499
5533
6666
6633
5533
6633
6699
7700
5533
7766
7766
5599
7788
4400
3344
4422
7777
7788
8822
9900
8888
9900
9955
7799
8877
9944
8800
8866
7799
8899
11.. PPllaaccee ssccoorreess iinn aasscceennddiinngg oorr
ddeesscceennddiinngg oorrddeerr
22.. TTaallllyy ssccoorreess ((// -- hhooww mmaannyy ttiimmeess
eeaacchh ssccoorree aappppeeaarrss))
TTaabbllee 55..44 SSttuuddeennttss’’ PPeerrffoorrmmaannccee oonn
IIQQ tteesstt:: SSccoorreess aanndd TTaallllyy
NNoo..//ttaallllyy NNoo..//ttaallllyy NNoo..//ttaallllyy NNoo..//ttaallllyy
3344 //
4400 //
4422 //
4499 //
5533 //////
5577 //
5599 //////
6633 ////
6655 ////
6666 //////
6677 //
6699 //
7700 //
7722 ////
7744 //
7766 ////
7777 //
7788 ////
7799 //////
8800 //
8822 //
8866 //
8877 //
8888 //
8899 //
9900 ////
9944 //
9955 //
AA..
33..CCaallccuullaattee::((mmeeaassuurreess ooff cceennttrraall tteennddeennccyy))
aa.. TThhee ssuumm –– aadddd oorr ttoottaall tthhee
sseett ooff nnuummbbeerrss:: 22993399
bb.. TThhee mmeeaann –– ddiivviiddee tthhee ssuumm bbyy
tthhee nnuummbbeerr ooff ssccoorreess::
22993399÷÷4422== 6699..9988
44.. FFiinndd tthhee mmeeddiiaann ssccoorree:: tthhee mmiidd ssccoorree iiss
tthhee mmeeddiiaann.. IInn oouurr eexxaammppllee,, tthhee nnuummbbeerr ooff
ssccoorreess iiss 4422 tthheerreeffoorree tthhee mmiidd ssccoorree wwiillll bbee
tthhee 2211sstt
ssccoorree ((4422÷÷22==2211)) ffrroomm bbootthh eennddss
wwhheenn tthhee ttaallllyy ffoorr eeaacchh ssccoorree iiss aaddddeedd.. IItt
ssoo hhaappppeennss,, tthhaatt tthhee 2211sstt
ssccoorree ffrroomm tthhee
lloowweesstt eenndd iiss 7700 aanndd tthhee 2211sstt
ssccoorree ffrroomm tthhee
hhiigghheesstt eenndd iiss 7722,, tthheerreeffoorree tthhee mmeeddiiaann iiss
((7700++7722)) ÷÷ 22 == 114422÷÷22==7711..
55.. FFiinndd tthhee mmooddee:: TThhee ssccoorree tthhaatt ooccccuurrss
mmoosstt ffrreeqquueennttllyy.. IInn oouurr eexxaammppllee tthheerree aarree
tthhrreeee ssccoorreess wwiitthh aa ffrreeqquueennccyy ooff tthhrreeee --
bbaasseedd oonn tthhee ttaalllliieess.. –– 5599 ,, 6666 ,, 7799
BB CCaallccuullaattee:: ((mmeeaassuurreess ooff vvaarriiaabbiilliittyy))
11..
aa.. TThhee rraannggee -- tthhee ddiiffffeerreennccee
bbeettwweeeenn tthhee hhiigghheesstt aanndd lloowweesstt
ssccoorreess:: 9955--3344==6611
bb.. TThhee SSttaannddaarrdd ddeevviiaattiioonn::
IInnddiiccaatteess hhooww ssccoorreess ddeevviiaattee
ffrroomm tthhee mmeeaann..
ii.. AArree tthhee ssccoorreess
ggrroouuppeedd cclloosseellyy
ttooggeetthheerr??
iiii.. AArree tthhee ssccoorreess sspprreeaadd
wwiiddee aappaarrtt??
CCoonnssiiddeerr tthhee ffoolllloowwiinngg eexxaammpplleess //
ccaallccuullaattiioonnss!!!!
Marking, Evaluating and Reporting
___________________________________________________________________________
65
CCaallccuullaattiinngg TThhee SSttaannddaarrdd DDeevviiaattiioonn
TTaabbllee 55..55::11 EExxaammppllee 11
SSccoorree
((XX))
SSccoorree xx SSccoorree
((XX²²))
3344
4400
4422
4499
5533
5533
5533
5577
5599
5599
5599
6633
6633
6655
6655
6666
6666
6666
6677
6699
7700
7722
7722
7744
11115566
11660000
11776644
22440011
22880099
22880099
22880099
33224499
33448811
33448811
33448811
33996699
33996699
44222255
44222255
44335566
44335566
44335566
44448899
44776611
44990000
55118844
55118844
55447766
7766
7766
7777
7788
7788
7799
7799
7799
8800
8822
8866
8877
8888
8899
9900
9900
9944
9955
ΣΣXX==22993399
ΣΣXX²²==22993399 xx 22332299
55777766
55777766
55992299
66008844
66008844
66224411
66224411
66224411
66440000
66772244
77339966
77556699
77774444
77992211
88110000
88110000
88883366
99002255
((ΣΣXX))²²==221133667744
NN == 4422
((ii)) SSDD == ΣΣ XX -- ((ΣΣXX))(( ΣΣXX)) ÷÷ NN
NN –– 11
((ii)) 221133667744 –– 22993399 xx 22993399 ÷÷ 4422
88663377772211÷÷4422==220055666600
221133667744 –– 220055666600..0022 == 88001133..9988
88001133..9988 ÷÷ 4411 == 119955..4466
SSqquuaarree RRoooott ooff 119955..4466 == 1133..9988 ((SSDD))
Marking, Evaluating and Reporting
___________________________________________________________________________
66
TTaabbllee 55..55::22 EExxaammppllee 22
XX 
DD
((XX--MMeeaann))
DD²² 
3344
4400
4422
4499
5533
5533
5533
5577
5599
5599
5599
6633
6633
6655
6655
6666
6666
6666
6677
6699
7700
7722
7722
7744
7766
--3344..9988
--2299..9988
--2277..9988
--2200..9988
--1166..9988
--1166..9988
--1166..9988
--1122..9988
--1100..9988
--1100..9988
--1100..9988
--0066..9988
--0066..9988
--0044..9988
--0044..9988
--0033..9988
--0033..9988
--0033..9988
--0022..9988
--0000..9988
00..0022
22..0022
22..0022
44..0022
66..0022
11222233..66000044
889988..88000044
778822..88880044
444400..11660044
228888..33220044
228888..33220044
228888..33220044
116688..44880044
112200..55660044
112200..55660044
112200..55660044
4488..77220044
4488..77220044
2244..88000044
2244..88000044
1155..88440044
1155..88440044
1155..88440044
88..88880044
00..99660044
00..00000044
44..00880044
44..00880044
1166..11660044
3366..22440044
7766
7777
7788
7788
7799
7799
7799
8800
8822
8866
8877
8888
8899
9900
9900
9944
9955
66..0022
77..0022
88..0022
88..0022
99..0022
99..0022
99..0022
1100..0022
1122..0022
1166..0022
1177..0022
1188..0022
1199..0022
2200..0022
2200..0022
2244..0022
2255..0022
3366..22440044
4499..22880044
6644..33220044
6644..33220044
8811..33660044
8811..33660044
8811..33660044
110000..44000044
114488..44880044
225566..66440044
228899..66880044
332244..77220044
336611..77660044
440000..88000044
440000..88000044
557766..99660044
662266..00000044
ΣΣ((XX))²²==77885500..00ii6688
((iiii)) SSDD == ΣΣ((XX -- XX))²²
NN
77885500..00116688÷÷4422==118866..99005511
118866..99005511 == 1133..6677 ((sstt.. ddeevv..))
NNoottee tthhee mmiinniimmaall ddiiffffeerreennccee iinn tthhee SSttaannddaarrdd
ddeevviiaattiioonnss ooff tthhee ttwwoo mmeetthhooddss//eexxaammpplleess..
Marking, Evaluating and Reporting
___________________________________________________________________________
67
IInntteerrpprreettiinngg TThhee SSttaannddaarrdd
DDeevviiaattiioonn
BBaasseedd oonn tthhee mmeeaann ssccoorree ((6699..9988)) aanndd tthhee
ssttaannddaarrdd ddeevviiaattiioonn ((1133..9988)) wwee ccaann oobbttaaiinn
mmeeaassuurreemmeenntt wwiitthh wwhhiicchh ttoo iinntteerrpprreett tthhee
ppeerrffoorrmmaannccee ooff tthhee ssttuuddeennttss::
RRiigghhtt OOff TThhee MMeeaann ((oonn tthhee nnoorrmmaall ccuurrvvee))::
MM ++ 11 SSDD.. == 6699..9988 ++ 1133..9988 == 8833..9966
MM ++ 22 SSDD.. == 6699..9988 ++ 1133..9988 ++ 1133..9988 == 9977..9944
LLeefftt OOff TThhee MMeeaann
MM –– 11 SSDD.. == 6699..9988 –– 1133..9988 == 5566
MM –– 22 SSDD.. ==6699..9988 –– 1133..9988 --1133..9988 == 4422..0022
AA SSttuuddeenntt’’ss ssccoorree ccaann tthheenn bbee ccaatteeggoorriizzeedd iinn
oorrddeerr ttoo ccoommppaarree hhiiss//hheerr ppeerrffoorrmmaannccee wwiitthh
tthhee ootthheerr mmeemmbbeerrss ooff tthhee nnoorrmm ggrroouupp..
TTaabbllee 55..66::11 IInntteerrpprreettaattiioonn ooff SSttuuddeenntt
PPeerrffoorrmmaannccee
SSccoorreess IInntteerrpprreettaattiioonn
3300 –– 4422 PPoooorr
4499 –– 5533 BBeellooww AAvveerraaggee
5577 –– 6699 AAvveerraaggee
7700 –– 8822 AAvveerraaggee
8866 –– 9955 AAbboovvee AAvveerraaggee
TTaabbllee 55..66::22 IInntteerrpprreettaattiioonn ooff SSttuuddeenntt
PPeerrffoorrmmaannccee
%% SSttuuddeenntt
((ppeerrffoorrmmaannccee))
IInntteerrpprreettaattiioonn
ooff ppeerrffoorrmmaannccee
((33)) 77%% PPoooorr
((44)) 99%% BBeellooww AAvveerraaggee
((1133)) 3311%% AAvveerraaggee
((1144)) 3333%% AAvveerraaggee
((88)) 1199%% AAbboovvee AAvveerraaggee
CCoommmmeenntt oonn tthhee aabboovvee iinnffoorrmmaattiioonn.. CCaann yyoouu sseeee tthhee
ccoonnnneeccttiioonn ttoo tthhee nnoorrmmaall ccuurrvvee??
CC.. SStteeppss iinn pprreesseennttiinngg ddaattaa ggrraapphhiiccaallllyy
66.. FFiinnddiinngg tthhee ccllaassss iinntteerrvvaall aanndd ccllaassss ssiizzee::
 CCaallccuullaattee tthhee rraannggee
 DDeecciiddee oonn aa tthhee nnuummbbeerr ooff
iinntteerrvvaa llss ddeessiirreedd
 DDiivviiddee tthhee rraannggee bbyy tthhee ddeessiirreedd
nnuummbbeerr ooff ccllaassss iinntteerrvvaallss
 UUssee oonnee nnuummeerraall hhiigghheerr tthhaann tthhee
qquuoottiieenntt oorr ffrraaccttiioonn oobbttaaiinneedd ttoo
rreepprreesseenntt tthhee ccllaassss ssiizzee
EExxaammppllee::
9955 –– 3344 == 6611
NNoo.. ooff iinntteerrvvaallss ddeessiirreedd == 88
6611 ÷÷ 88 == 77.. 99
((CCllaassss ssiizzee == 88))
Marking, Evaluating and Reporting
___________________________________________________________________________
68
TTaabbllee 55..77
CCllaassss IInntteerrvvaall:: TTaallllyy aanndd FFrreeqquueennccyy
CCllaassss
IInntteerrvvaall
TTaallllyy FFrreeqq..
3322 ––3399
4400 –– 4477
4488 –– 5555
5566 –– 5533
6644 –– 7711
7722 –– 7799
8800 –– 8877
8888 –– 9955
//
////
////////
//////// //
//////// //////
//////// //////// //
////////
//////// //
11
22
44
66
88
1111
44
66
GGrraapphhiiccaall RReepprreesseennttaattiioonn ooff SSccoorreess
FFiigguurree 66::11 HISTOGRAM
DDiissttrriibbuuttiioonn ooff IIQQ SSccoorreess((nn==4422))
FFiigguurree 66::22 FFRREEQQUUEENNCCYY PPOOLLYYGGOONN
DDiissttrriibbuuttiioonn ooff IIQQ SSccoorreess((nn==4422))
Frequency Polygon:Distribution of IQ Scores
0
2
4
6
8
10
12
32-39 40-47 48-55 56-63 64-71 72-79 80-87 88-95
Class Intervals
No.ofStudents
TTaasskkss::
11..
ii.. CCaallccuullaattee // ffiinndd tthhee mmeeaann,, mmooddee,,
mmeeddiiaann,, rraannggee aanndd ssttaannddaarrdd
ddeevviiaattiioonn ooff aa sseett ooff ssccoorreess..
iiii.. FFoollllooww tthhee sstteeppss aanndd ggiivvee aa
ggrraapphhiiccaall vviieeww ooff tthhee ssccoorreess..
22.. CCoommmmeenntt oonn tthhee ddiissttrriibbuuttiioonn ooff tthhee
ssccoorreess aass rreepprreesseenntteedd oonn tthhee hhiissttooggrraamm aanndd
tthhee ffrreeqquueennccyy ppoollyyggoonn.. IIss tthhee ddiissttrriibbuuttiioonn::
ii.. NNeeggaattiivveellyy sskkeewweedd?? AArree mmoosstt ooff
tthhee ssccoorreess ttoo tthhee rriigghhtt ooff tthhee
mmiiddddllee//cceennttrree//mmeeaann?? MMaajjoorriittyy ooff
ssttuuddeennttss ddiidd wweellll oonn tthhee tteesstt;;
mmaarrkkss aarree sskkeewweedd // ttaaiilleedd ttoo tthhee
lleefftt..
iiii.. PPoossiittiivveellyy sskkeewweedd?? AArree mmoosstt ooff
tthhee ssccoorreess ttoo tthhee lleefftt ooff tthhee
mmiiddddllee//cceennttrree//mmeeaann?? MMaajjoorriittyy ooff
tthhee ssttuuddeennttss ddiidd ppoooorrllyy oonn tthhee
tteesstt;; mmaarrkkss aarree sskkeewweedd // ttaaiilleedd ttoo
tthhee rriigghhtt..
iiiiii.. SSyymmmmeettrriiccaall DDiissttrriibbuuttiioonn?? AArree
mmoosstt ooff tthhee hhiigghh ssccoorreess cclluusstteerreedd
aarroouunndd tthhee mmiiddddllee//cceennttrree//mmeeaann??
TThhee ssccoorreess ffoorrmm aa BBeellll--sshhaappeedd
ccuurrvvee..
EXTRA!!! EXTRA!!!
___________________________________________________________________________
69
SSeeccttiioonn 77
RReeppoorrttiinngg::
IInntteerrpprreettiinngg RReessuullttss
TToo
PPrroovviiddee FFeeeeddbbaacckk
RReeppoorrttiinngg iinnvvoollvveess ccoommmmuunniiccaattiinngg tthhee rreessuullttss mmaaddee dduurriinngg tthhee pprroocceessss ooff
eevvaalluuaattiioonn.. TThhaatt iiss,, aafftteerr aaddmmiinniisstteerriinngg tthhee tteessttss // eexxaammss,, aa mmaarrkk oorr ggrraaddee iiss
aassssiiggnneedd ttoo ssttuuddeennttss’’ wwoorrkk.. TThheenn jjuuddggeemmeenntt iiss mmaaddee bbaasseedd oonn tthhee nnoorrmmss oorr
ssttaannddaarrddss// ccrriitteerriiaa..
PPlleeaassee nnoottee tthhaatt ttiimmeellyy ffeeeeddbbaacckk iiss eesssseennttiiaall ffoorr eeffffeeccttiivvee aasssseessssmmeenntt.. TThhiiss
ffeeeeddbbaacckk mmuusstt bbee mmaaddee ttoo ssttuuddeennttss,, ppaarreennttss,, aaddmmiinniissttrraattoorrss,, ppoolliiccyy mmaakkeerrss oorr
mmeemmbbeerrss ooff tthhee ppuubblliicc..
TThhiiss ffeeeeddbbaacckk ccaann bbee iinn tthhee ffoorrmm ooff rreeppoorrtt bbooookkss,, lleetttteerrss // nnootteess,, ccoonnffeerreenncciinngg
wwiitthh ppaarreennttss//gguuaarrddiiaannss..
EXTRA!!! EXTRA!!!
___________________________________________________________________________
70
Educational Assessment
And
The Exceptional Learner
(Hivron and Tinzman 1990; Mastropeiri & Scruggs 2000)
The exceptional learner is any individual whose physical, mental, or behavioral performance
substantially deviates from the norm – thus requiring additional services to meet this individual’s
needs.
Categories of exceptional learners include:
 At-risk students/learning disabled – learners of average intelligence, but who have difficulty in
learning…. Usually recognized by a teacher as early as kindergarten or first grade. Assessment of
at-risk students is a teameffort and involves a variety of tests. The teacher can provide:
o Data from cumulative folder
o Previous reports
o Health records
o Academic records
 Disabled – a learner with a functional limitation that interferes with his/her abilities
o Hearing impaired
o Visual impaired
o Learning disabled
o Speech impairment
 Handicapped – a learner on whom a condition is imposed
o Physically impaired
 Gifted and talented – these students have/are
o High degree of creativity
o Intellectual superiority
o Outstanding in any field
Teachers have problems identifying the gifted. Sometimes a very creative learner may be branded a nuisance or
troublemaker because he/she may be bored in class.
Adapting Tests/Instruction For Students With Special Needs
Some students with special needs exhibit difficulties with norm-referenced tests that may limit
the reliability of their tests scores. Problems may include:
 Language or communication styles (e.g. need for a sign language interpreter or communication
board);
 The length of the testing;
 Attention difficulties;
 Reading difficulties when reading competence is not being tested.
Another threat to the validity of individual scores of students with disabilities is that in some
cases they are not included in the test’s standardization sample.
EXTRA!!! EXTRA!!!
___________________________________________________________________________
71
Inclusion of all students (in the regular classroom setting) requires multiple strategies.
Accommodations depend on the kind of severity of a student’s disability or handicap:
 Extended time to complete tasks;
 Un-timed tasks;
 Generous time limits;
 Oral reading of directions/instructions
Some assessment strategies:
1. USE OF TEST MODIFICATION:
 Altering the timing or scheduling of the test;
 Spreading the test over several shorter time sessions;
 Administering the test over several days;
 Changing the setting; Changing to a smaller room;
 Moving to a distraction-free room; testing individually;
 Altering the presentation of the test;
 Simplifying the language;
 Providing prompts and feedback (including reinforcement;
 Allowing teachers to read the test and turn the test pages;
 Allowing audio-tape and large print;
 Changing the response format; Allowing verbal vs. written responses;
2. Use individually administered test
 One-on-one
 Oral or pointing responses to tasks
 Perform manipulative tasks
N.B. The advantages of Individual achievement Tests:
 To controlmore carefully, factors such as motivation;
 To assess more accurately, the extent to which disabling behaviours are influencing the scores;
 To more readily obtain clinical insights, re. Students’methods of attacking problems and problems in solving them.
3. Assess students in small groups
4. Teach test-taking skills
5. Increase motivation
6. Increase examiner familiarity
7. Request modification for college entrance examinations.
Some Standards Teachers Should be Skilled In
 Choosing assessment methods appropriate for instructional decisions
 Designing assessment methods appropriate for instructional decisions
 Developing valid pupil grading procedures which use pupil assessment
 Communicating assessment results to students, parents, other lay audiences and other
educators.
EXTRA!!! EXTRA!!!
___________________________________________________________________________
72
CCRREEAATTIIVVIITTYY::
Creativity is generally defined as the process of bringing new, different, and unexpected
responses to a situation -- i.e. being a productive thinker and a problem solver. “The ability to
think about something in novel and unusual ways and to come up with unique solutions to
problems” (Santrock 1994, 289).
Creativity can be defined as proficiency in four distinct areas. Torrance, 1969 stressed creative
thinking ability as a criterion for giftedness and identified four significant characteristics:
Fluency (of ideas): (the number of responses produced by a stimulus); ability to produce without interruption,
numerous responses to a stimulus or problem; to use stored information when it is needed
Flexibility: (shifts in thinking from one category to another); ability to approach a problem from a variety of
angles without getting fixed on any one in particular; an aptitude for being able to restructure materials in ways
which are free fromconventions.
Originality: (unusual or clever responses); ability to make an out of ordinary response; ability to deviate from
the norm.
Elaboration: (adding details to basic thoughts or ideas); ability to add richness or detail to response; ability to
produce additional detailed information to basic material.
Daniel Perkins, 1984 identifies six characteristics in his Snowflake Model (Santrock 1994, 290-
291). Creative thinking involves:
 Aesthetic and practical standards
 An ability to excel in finding problems
 Willingness to take risks
 Mental ability
 Objectivity
 Inner motivation.
Myers (1989, 334-335) outlined four components of creativity -explained in work done by Kohn,
1987; Sternberg, 1988; Amabile & Hennessey, 1988, Slavin, 1994 -:
 Intelligence – general aptitude for learning, often measured by the ability to deal with abstractions and to
solve problems.
 Expertise – well developed base of knowledge
 Imaginative thinking skills – ability to see things in new ways, to recognize patterns, to make connections
 Intrinsic motivation principle – “People will be most creative when they feel motivated primarily by interest,
enjoyment, satisfaction and challenge.”
N.B. “Although most creative people are quite intelligent the reverse is not
necessarily true.”
EXTRA!!! EXTRA!!!
___________________________________________________________________________
73
SSEELLEECCTTEEDD EEXXAAMMPPLLEESS OOFF CCRREEAATTIIVVIITTYY TTEESSTTSS::
Guilford Tests
Word Fluency
(Author: Christensen-Paul-R; Guilford-J-P.)
Measures the factor known as divergent production of symbolic units. In this test the respondent is to produce as
rapidly as possible words which fulfill specified symbolic (letter) properties. In other words, the test requires a rapid
selection and production of words through an associational process based upon the structure of the words rather than
upon their meanings. Testing Time: 4 minutes. Age Range: AGE 12-17, Adults.
Ideational Fluency
(Author: Christensen-Paul-R; Guilford-J-P.)
Measures the factor known as divergent production of semantic units, which is defined as the ability to produce with
efficiency many ideas which fulfill meaningful specifications. One is to write down as quickly as possible ideas
about a given topic; the emphasis is upon quantity rather than quality of the ideas expressed. Testing Time: 12
minutes. Age Range: AGE 14-17, Adults.
Associational Fluency
(Author: Christensen-Paul-R; Guilford-J-P.)
Designed to measure one factor of divergent production of semantic relations, which is defined as the ability to
produce efficiently ideas bearing prescribed relations to other ideas or to produce alternative relations. The
respondent is given a word and asked to list as many words as possible which are similar in meaning to the given
word. FormA uses adjectives and Form B uses verbs. Testing Time: 4 minutes. Age Range: AGE 11-17, Adults.
Expressional Fluency
(Author: Christensen-Paul-R; Guilford-J-P.)
Measures the factor known as divergent production of semantic systems. The respondent is to write as many four-
word sentences as he or she can by using words which begin with the letters given in the test. Testing Time: 8
minutes. Age Range: AGE 12-17, Adults.
Match Problems
(Author: Berger-Raymond-M; Guilford-J-P.)
Measures the factor known as divergent production of figural transformations, this factor was formerly known as
adaptive flexibility, and represents the ability to revise conceptions of figures. Testing Time: 14 minutes. Age
Range: AGE 12-17, Adults.
For additional information, please contact Consulting Psychologists Press; 3803 East Bayshore Road, Palo Alto, CA
94303 or http://www.cpp-db.com/cpp4.htm
Two Classic Creativity Tests which can be easily applied by the classroom teacher.
(i) Uses of Objects Test (Guilford): a brick, toothpick, stick etc. For example in indicating the uses of a brick, if the
individual indicates that the brick is used to build things, their score would be relatively low. However, if an
individual responds that it can be used to break a window, or hit a thief over the head, the score would be relatively
high. The more creative the responses the more the point value will be awarded.
EXTRA!!! EXTRA!!!
___________________________________________________________________________
74
Instruction: Listed below are five (5) objects. Write down as many different uses as you can think for each of the
objects. Be sure to write down some uses for each object. Write down anything that comes to mind no matter how
strange it may seem.
1. Tin of black shoe polish 4. Old cardboard box
2. Coconut 5. Concrete block
3. Wire clothes hanger
(ii). Circle Test (Torrance): Individuals can be given sixteen (16) or twenty (20) circles. Figure 7
Instruction:
See how many objects you can make from the circles below by adding lines inside or outside or both inside and
outside. Try to think of as many different things as you can which no one else will think of. Put as many ideas as
you can into each. If your idea is not very clear you may put a title underneath the circle.
The description of fluency, flexibility, originality and elaboration outlined earlier can be
used to assess students’ presentation. You can also check Birdwhistle (2001).
EXTRA!!! EXTRA!!!
___________________________________________________________________________
75
BIBLIOGRAPHY
Adams, D.M., & Hamm, M.E. (1992). Portfolio assessment and Social Studies: Collecting, selecting and reflecting on what is
significant. Social Education. 56(2), 103 –105.
Arends, R. I. (1994). Learning to teach. Third Edition. New York: McGraw-Hill Inc.
Baker, Eva Dr. (1996). A paper related to dissatisfaction with commercial standardized test. Edited by Mary Heller and James
Rath.
Biemer, Linda. (1993). Authentic assessment. Trends Social Studies. May, 81-83.
Birdwhistle, Daniel M. (2001). Creativity with 3rd
and 5th
Graders: The effects of standards of production and extrinsic rewards:
An introduction to present research.
Bloom, Benjamin S., Hastings, J. Thomas, & Madaus, George F. (1971). Handbook on formative and summative evaluation of
student learning. New York: McGraw-Hill Book Company.
Bond, Lloyd. (Winter, 1995). Unintended consequences of performance assessment: Issues of bias and fairness. Educational
Measurement: Issues and Practices. 21 – 24.
Boud, D. & Falchikov, N. (1989). Quantitative studies of student self-assessment in higher education: A critical analysis of
findings. Higher Education, 18. 529 – 549.
Cangelosi, James S. (1991). Evaluating classroom instruction. New York; Longman.
Capper, Joanne. (1996). Testing to learn. Learning to test. Newark, DE: International Reading Association.
Childs, Ruth Axman. Constructing classroom tests. (ED315426)
Consulting Psychologists Press; 3803 East Bayshore Road, Palo Alto, CA 94303 or http://www.cpp-db.com/cpp4.htm
Cotton, Kathleen. Monitoring student learning in the classroom. School Improvement Series (SIRS). (cu4)
Cross Davis, Barbara. (1993). Student rating form. Tools for teaching.
Crump, Cynthia L A. (1996). Performance Assessment: Why? Unpublished Paper.
Crump, C. L. A. (1996). A Comparison of Teacher, Self- and Peer Ratings of Social Studies School-Based Assessment Project.
Unpublished Project. University of the West Indies.
Daneilson, Charlotte. & Abrutyn Leslye. (1977). An introduction to using portfolios in the classroom. (Introduction pp. v–vii;
The Types of Portfolios pp. 1-9).
Dunbar, S.B., Koretz, D.M., & Hoover, H.D. (1991). Quality control in the development and use of performance assessment.
Applied Measurement in Education. 4(1), 289 – 303.
Ebel, R.L. & Frisbie, D.A. (1991). Essentials of educational measurement. (5th
ed.). Needham heights, MA: Allyn & Bacon.
How to write Rubrics. Easy to use rubric and assessment software. File:///A|/1_1.html.
Elliot, Stephen N. Creating meaningful performance assessment. Eric Digest E531. (ED381985).
Fuchs, Lynn S. (1995). Connecting performance assessment to instruction: A comparison of behavioural assessment, mastery
learning, curriculum-based measurement, and performance assessment. (ED381984).
Gay, L.R. (1996). Educational research: Competencies for analysis and application. (5th
Ed.). New Jersey: Merril an Imprint of
Prentice Hall.
Gallagher, Jo D. (1998). Classroom assessment for teachers. Upper Saddle River, NJ: Merrill/Prentice Hall.
EXTRA!!! EXTRA!!!
___________________________________________________________________________
76
Guion, Robert M. (Winter, 1995). Commentary on values and standards in performance assessment. Educational Measurement:
Issues and Practices. 25 – 27.
Green, Bert F. (Winter, 1995). Comparability of scores from performance assessments. Educational Measurement. Issues and
Practices. 13-15.
Gronlund, N. E. (1995). Assessment of student achievement. (5th
. Ed.) Boston: Allyn and Bacon.
Gronlund, N. E. (1998). Assessment of student achievement. (6th
. Ed.) Boston: Allyn and Bacon.
Hambleton, R.K., & Murphy, E. (1992). A psychometric perspective on authentic assessment. Applied Measurement in
Education. 5(1), 1- 16.
Hivron, J. & Tinzman, M.B. (1990). Who are “At-risk” students of the 1900’s. NCREL. Oak Brook.
Jones, Debra. (June, 1997). Focus on the student; Designing library instruction for central thinkers. Gabrillo College, Aptos,
California.
Kaplan, M., Mets, L. A., & Cook, C. E. Questions frequently asked about student ratings forms: Summary of research
findings. (umich.edu/-crltmich/crlt.faq.)
Kerlinger, Fred N. (1986). Foundations of behavioural research. (3rd
. Ed.). New York: CBS College Publisher.
Le Mahieu, P.G., Gitomer, D.H., & Eresh, J.T. (1995). Portfolios in large-scale assessment: Different but not impossible.
Educational Measurement: Issues and Practice. Fall, 11-28.
Lemlech, J. K. 1984). Curriculum and instructional methods for the elementary school. New York: McMillan Publishing.
Lewis, Allison Y., Ragoonan, Selwyn, & Saint-Victor, Rosalind. (1984). Teaching human sexuality in Caribbean schools: A
teacher’s handbook. International Planned Parenthood Federation Western hemisphere Region.
Linn, R. L., & Gronlund, N. E. (2000). Measurement and assessment in teaching. Eight Edition. New Jersey. Merrill, Prentice
Hall.
Mager, Robert F. (1962). Preparing instructional objectives. California: Fearon Publishers, Inc.
Mason, Jean B., & Bruning, Roger. Providing feedback in computer-based instruction: What the research tells us. Center For
Instructional innovations: University of Nebraska-Lincoln. (MasonBruning).
Mastropeiri, M.A. & Scruggs, T.E. (2000). The inclusive classroom: Strategies for effective instruction. New Jersey: Prentice.
Messick, Samuel. (Winter, 1995). Standards of validity and the validity of standards in performance assessment. Educational
Measurement: Issues and Practice. 5-8.
McKeachie (1986). CTL teaching tips: Testing and grading. (tt8).
Moore, Kenneth D. (1995). Classroom teaching skills. (3rd
. Ed.). New York: MCGraw Hills Inc.
NNaattiioonnaall CCoommmmiitttteeee ffoorr SSoo cciiaall SSttuuddiieess ((NNCCSSSS))
Nickel, Pat. (1992). Doing the stuff of Social Studies: A conversation with Grant Wiggins. Social Education. 56(2), 91- 94.
Niels, Gary. Academic Practices, school culture and cheating behaviour. (Cheating).
Nitko, Anthony J. (1995). Is the curriculum a reasonable basis for assessment reform? Educational Measurement: Issues and
Practice. Fall, 5 – 10.
Popham, W.J. (1995). Classroom assessment: What teachers need to know. Boston: Allyn & Bacon.
Revised Bloom’s Taxonomy. Retrieved from sup.ujf-
grenoble.fr/spip.php?action=acceder_document&arg=424&cle=aa535d13f95a2472539dab3766368bde83bbd
6a6&file=pdf%2FRevised_Blooms_Info.pdf
EXTRA!!! EXTRA!!!
___________________________________________________________________________
77
Richardson, M. (Dr.). (1997). Classroom testing and evaluation. University of the West Indies.
Santrock, John, W. (1994). Child development. (6th
Ed.). Madison: Brown & Benchmark Publishers.
Rudman, H. C. (1989). Integrating testing with teaching. (ED 315432).
Savage Tom V. & Armstrong, David G. (1987). Effective teaching in Elementary Social Studies. New York: McMillan
Publishing Compan.
Silins, H., & Murray-Harvey, R. Students a central concern: The relationship between schools, students, and outcome
measures. (sil98292).
Simmonds, Michael. (May, 1998). Thepedagogy of ability grouping adolescent girls in mathematics. (Simmonds).
Slavin, Robert S. (1997). Educational psychology: Theory and practice. (5th
ed.). Boston: allyn and Bacon.
Sommervell, Hugh. (1993). Issues in assessment, enterprise and higher education: The case for self-, peer and collaborative
assessment. Assessment and Evaluation in Higher Education. 18(3), 221 – 233.
Stahl, Robert J. (1994). The essential elements of co-operative learning in the classroom. (ED370881)
Stiggins, Richard J. (1977). Student-centered classroom assessment. (2nd
. Ed.) Upper Saddle,NJ: Merril/Prentice Hall.
Storms, Barbara A., Nune, Athena M. & Thomas, William H. (May/June 1996). Demonstrating Success: Using portfolios to
demonstrate student skills. Thrust for Education Leadership. 25,(7). 6-9.
Swanson, D.B, Norman, G.R., & Linn, R.L. (1995). Performance-based assessment: Lessons from the health professions.
Educational Researcher. 24(5), 5-11.
Teacher evaluation rubric. (te_appendix_b)
Teaching effectively. (teaching_effectively)
Tomlinson, Carol Ann. (October, 1995). Differentiating instruction (for the gifted). Advanced learners in the mixed ability
middle classroom. Eric Digest: (diff. Instruction).
Utoh E, & Hanley, C.L.A. (2002). Evaluation Rubric: Social Studies practicum. Teacher Training Department: Antigua State
College.
Wildemuth, Barbara. Alternatives to standardized tests. (ED286938).
Wittrock, Merlin C. (Ed.) (1985). Handbook on research in teaching. New York: Macmillan Publishing Co.
Woolfolk, A.E. (1993). Educational psychology. (5th
ed.). Boston: Allyn and Bacon.
Zariski, A. (1996). Student peer assessment in tertiary education: Promise, perils and practice.

Meaningful test and assignments crumpcla

  • 1.
  • 2.
    Designing Meaningful And FairTests and Assignments Copyright © 2005 by Cynthia L. A. Crump All rights reserved [Revision made to Bloom’s taxonomy in 2012] Printed by Antigua Printing and Publishing Ltd. Tel. 481-1500 Fax 481-1515 Email: antprint@candw.ag
  • 3.
    i PREFACE Dear Teacher /Trainee This handbook is prepared especially for practitioners like you and me. As educators, we need to be constantly exploring ways in which we can improve on the on the methods and forms of assessment used in our classrooms. The major elements of assessment – Testing, Measurement and Evaluation – are presented in simple language for everyday application, even for the new teacher to understand. The information is presented in four parts:- Part 1: Teachers are exposed to relevant knowledge and skills pertaining to assessment.  Exploring the process of assessment and other related concepts  Planning the test  Designing the test Part 2: Presents readings, on selected topics, related to approaches to assessment, which are clarified by examples  Authentic assessment: alternatives to the traditional approach Part 3: Provides readings and practical examples of analyzing, interpreting and reporting student performance.  Marking, Evaluating and Reporting. Part 4:Shares with the reader two essential topics to assist in assessing exceptionalities.  Extra! Extra! My expectation is that you will find this handbook useful in your quest to engage in effective assessment procedures. Then you can be actively involved in the ‘good’ practice of designing and selecting meaningful and fair tests and / or assignments which will provide valid measures of your lessons’ objectives. In addition, you will be exposed to the two main methods of reporting accurately to stakeholders – parents, administrators and students – about student performance and patterns of behaviour. Cynthia Crump January 2005
  • 4.
    ii ACKNOWLEDGMENTS Special appreciation isextended to the following individuals for their advice, support, encouragement and / or suggestions. Colin Hanley, Instructor, Antigua and Barbuda Institute of Technology; Jessie Kentish Patricia Benn, Dawn Joseph, Esther Utoh, Tutor, colleagues at the Department of Education, Antigua State College, who reviewed the ‘first’ drafts of this handbook. Arthur G. Richardson (Professor), Director of the School of Education UWI Barbados Peecheeta Spencer, Principal Antigua State College Edrys Joseph, Education Officer, Zone Three, Ministry of Education, Human Development and Culture Thanks must also be extended to teachers and students whose work served as practical examples of assessment: Primary School Principals, Workshop exercises on performance Assessment Temika Christian, Primary Teacher Trainee, 2001 – 2003, exercise on Writing Specific Objectives Michael Collins, Secondary Teacher Trainee, 2002 – 2004, Aspects of Criterion- referenced analysis Cynthia Crump
  • 5.
    iii TABLE OF CONTENTS PARTONE: Section One: Introduction: Exploring The Process Of Assessment And Other Related Concepts 1 The nature of assessment 1 The definition of assessment 3 The difference between testing, measurement and evaluation 4 Characteristic of assessment, measurement and evaluation Section Two: Planning the Test 8 Why do we test 8 Planning to test 9 Purposes and consequences – Kinds of test 9 General and specific objectives 11 Table of specifications 19 Instruments and devices 21 Section Three: Designing The Test 22 Types of items 23 Making meaningful and fair tests and assignments 29 Major steps in preparing tests/assignments 31 PART TWO: Section Four: Authentic Assessment; Alternatives To The Traditional Approach To Testing 32 Authentic assessment 33 Student evaluation form 35 Performance assessment – Why? 37 Performance vs. traditional assessment 43 Portfolio assessment 49 PART THREE: Marking, Evaluating and Reporting 53 Section Five: Marking and Grading: Collecting Information Section Six: Evaluating: Making Judgements on the Basis of Information Collected 54 Reporting Student Performance: Interpreting Results To Provide Feedback 55 Norm-referenced vs. criterion-referenced measurements 56 Criterion-referenced evaluation 57 Table of specifications 57 Sample analysis 58 Follow up action 59 Test itemanalysis 60 Norm-referenced evaluation 61 Test itemanalysis 63 Norm-referenced interpretation 66 Measures of variability 66 Measures of central tendency 66 Interpreting the standard deviation 67 Graphical representation of scores 68 PART FOUR: Section Six: Extra! Extra! 69 Educational assessment and the exceptional learner 69 Creativity 70
  • 6.
    iv Bibliography LIST OF TABLES Table: 1.1Differentiating between Tests, Measurement and Evaluation 4 1.2 Characteristics of assessment, Measurement and evaluation 5 2.1 Similarities and differences Between Kinds of Test 11 2.2:1 Cognitive Domain: Taxonomies/Descriptions 15 2.2:2 Affective Domain: Taxonomies/Descriptions 15 2.2:3 Psychomotor Domain: Taxonomies/descriptions 15 2.3 Identifying the Components of a Specific Objective 17 2.4 Sample: General and Specific Objectives 18 2.5 Sample (Two-Way) Table of Specifications for a Summative Test 19 2.6 Testing methods for Varying Purposes 21 2.7 Testing and non-testing Devices 21 3.1 Review Suggestions for itemTypes 25 3.1:1 Multiple Choice 25 3.1:2 True / False 26 3.1:3 Matching 26 3.1:4 Fill in the Blanks / Completion 27 3.1:5 Essays 27 3.2 A comparison Table (Selection Items and Essays) 28 4.1 Sample Evaluation Rating Form 36 4.2 Speaking Checklist / Rating Scale – Nursery Rhymes 41 4.3 Evaluation Rubric: Social Studies Practicum 5.1 Table of Specifications: Topics, Objectives and Items for Mathematics Test 55 5.2 Criterion-referenced Analysis of Students’ Mathematics Score 57 5.3 Follow-up Action with Whole Class 58 5.4 Students’ Performance on IQ Test: Scores and Tally 63 5.5: Calculating the Standard Deviation 64 5.5:1 Example 1 64 5.5:2 Example 2 66 5.6 Interpretation of Student Performance 66 5.6:1 Range of Scores and Interpretations 66 5.6:2 % Performance and Interpretations 66 5.7 Class Intervals: Tally and Frequency 67
  • 7.
    v LIST OF FIGURES Figure 1Domain and Taxonomies 14 2 Designing a Table of Specifications 19 3 Types of Items 23 4 Main Aspects of Cover Sheet for portfolio Entry 51 5 IQ Test Scores 63 6:1 Histogram – Distribution of IQ Scores 67 6:2 Frequency Polygon – Distribution of IQ Scores 67 7 Circle Test 72
  • 8.
    Introduction: Exploring TheProcess Of Assessment And Other Related Concepts _____________________________________________________________________________________________1 SECTION 1 INTRODUCTION: EXPLORING THE PROCESS OF ASSESSMENT AND OTHER RELATED CONCEPTS The Nature Of Assessment The Definition Of Assessment The Difference Between Testing, Measurement And Evaluation Characteristics of Assessment, Measurement And Evaluation Assessment of student learning requires that the classroom teacher review the nature of assessment in order to effectively link teaching, learning and assessment. Before we proceed, here are seven principles which emphasize the importance of assessment – The Nature of Assessment.
  • 9.
    Introduction: Exploring TheProcess Of Assessment And Other Related Concepts _____________________________________________________________________________________________2 The classroom teacher must know: (Rowntree, 1997);Assessing students 1. How to assess: Teachers must select from among all the techniques at their disposal. Traditional  Oral  Written Alternate  Authentic o Performance  Process  Product 2. What to assess: Teachers must be aware and decide what they are looking for in the individuals involved in the learning process. Student  Achievement  Performance  Behaviour  Personality  Interests  Values  Attitudes Teacher  Methods  Approaches  Enthusiasm 3. When to assess: Teachers must establish the purpose for assessment to be administered.  Before instruction  During instruction  After Instruction 4. What instruments to use: Teachers must be knowledgeable of the variety of methods available to assess students’ performance and patterns of behaviour.  Standardized Tests  Teacher-made Tests  Observation schedules  Questionnaires  Inventories 5. The developmental level of the students: Teachers must use their knowledge of learning theories to plan appropriate assessment corresponding to students’ level of development, as well as individual differences.  Chronological  Mental  Physical  Emotional 6. How to interpret results: Teachers must consider the purpose and consequence of assessment to facilitate the method of interpreting scores.  Norm-referenced  Criterion-referenced 7. Then provide feedback: Teachers must share strengths and weaknesses with the stakeholders of education.  Students  Parents  Administrators  Policy makers
  • 10.
    Introduction: Exploring TheProcess Of Assessment And Other Related Concepts _____________________________________________________________________________________________3 DEFINITION OF ASSESSMENT: ASSESSMENT of student learning requires the use of a number of techniques for measuring achievement. This is done through a systematic process that plays a significant role in effective teaching. It begins with the identification of learning goals and ends with a judgement concerning how well those goals have been attained. Thus for Linn and Gronlund (2000, 31-32) assessment is: “A general term that includes the full range of procedures used to gain information about student learning (observations, ratings of performances or projects, paper- and-pencil tests) and the formation of value judgments concerning learning progress….” For Savage & Armstrong (1987): “Assessment includes objective data from measurement … (and) from other types of information, some of which are subjective (anecdotal records and teacher observations and ratings of student performance). In addition … assessment also includes arriving at value judgments made on the basis of subjective information.” N.B. Some authors may use assessment synonymously with evaluation. For example, Mehrens & Lehmann (1984,5) who define evaluation as the “process of delineating, obtaining, and providing useful information for judging decision alternatives.” In each of the definitions above, a process is outlined. It is clear that some sort of instrument/technique must be administered/used in order to obtain data/information. This data/information can then be used to judge the level of understanding or standard of student performance in relation to knowledge, skills, attitude and pattern of behaviour. In considering the process of assessment the following view is very important. “Measurement is the handmaiden of instruction. Without measurement, there cannot be evaluation. Without evaluation, there cannot be feedback. Without feedback, there cannot be good knowledge of results. Without knowledge of results, there cannot be systematic improvement in learning (Parnell, 1973, 2698; in Mehrens & Lehmann 1984,7). Assessment of student performance and patterns of behaviour may be associated with negative effects such as anxiety, bias, unfairness, labeling, and traditionalism. However, there are many benefits associated with the purposes of assessment. PURPOSES OF ASSESSMENT: The purposes of assessment can be outlined as follows: Judging pupils’ mastery of skill and knowledge; Evaluating the instructional method; Ascertaining effectiveness of curriculum; Encouraging good study habits; Measuring growth; Ranking pupils; Diagnosing difficulties; Providing feedback; Motivating students; Reporting to stakeholders; Certifying examinees. Mehrens & Lehmann (1984, 7–12) conclude that the main purpose of assessment, therefore, is to make EDUCATIONAL DECISIONS. These include the following: o Instructional decisions (teacher & students) o Guidance decisions o Administrative decisions o Research decisions Generally, we want to find out about our students in order to make decisions related to:  Placement  Selection  Aptitude  Achievement  Classification  Guidance  Promotion In order to answer the above questions, that is, “How well does the individual perform?” we must conduct frequent assessment activities. When conducting assessment – test, measurement and evaluation - we should ask the following questions to guide the purpose and decision-making.
  • 11.
    Introduction: Exploring TheProcess Of Assessment And Other Related Concepts _____________________________________________________________________________________________4 Placement: (entry behaviour) “Have the students already achieved the intended outcomes?” “Do the students have the prerequisite skills to proceed to the next topic or unit?” Formative: (during instruction) “Which learning tasks are students handling satisfactorily? … Need help with?” Diagnostic:(during instruction) “Which students need remedial work? Summative: (end of instruction) What grade should I assign to each student?” “Is the method I am using effective?” DIFFERENTIATINGBETWEEN TEST, MEAS UREMENT AND EVALUATION In this handbook evaluation is viewed as the final stage in the assessment process, which is preceded by testing and measurement. Here is an example to clarify the difference/link between Test, Measurement and Evaluation. Mrs. H is the teacher at Grade 3. She has new students who were promoted from Grade 2. Consider the following assessment process: - Based on the definition by Linn and Gronlund (2000) Step 1. She establishes Purpose: She wishes to conduct an assessment to find out “Can the students add one digit numbers to two digit numbers up to fifteen successfully?” Step 2: She administers a set of questions: a ‘Test’ or an instrument or specific procedure for sampling a set of questions. This will help her to find out “How well’ each student performs in comparison to each other (norm-referenced) or in comparison with a domain of performance tasks (criterion-referenced). Step 3: She marks students’ work: She obtains a numerical value or score called the ‘Measurement’. Thus she finds out “How much” each student scores. Step 4: She makes value judgment: That is, she makes an ‘Evaluation’ of students’ performance. She judges whether they have the prerequisite skills to proceed to the next level or if she has to re-teach the concept re. the purpose. N.B When a teacher sifts and interprets the measurement he/she has obtained, he/she is performing an evaluation exercise Table 1.1 Differentiating Between Test, Measurement And Evaluation TESTS MEASUREMENT EVALUATION A subject teacher constructs and administers a set of items to assess student performance in (any subject area) N.B. student characteristics can also be obtained using non-testing devices The guidance counselor has each student complete an interest inventory, attitude scale and a personality test The items are scored. This produces a set of numbers that indicate how each student is performing in relation to other students or in comparison to a standard.  High performing and low performing students are identified.  Positive and negative attitudes, interest and different personalities are also identified. If a student lacks perseverance, is failing (subject area) and has a negative attitude towards the subject, then he/she can be advised that his/her choice of career in (profession) is hopelessly unrealistic. If a student is creative, loves (subject area) and does well, then she can be advised in her ambition to become a (profession).
  • 12.
    Exploring the Processof Assessment And Other Related Concepts ___________________________________________________________________________ 5 DECISIONS SHOULD BE BASED ON SOUND CRITERIA!!!. Four main characteristics – reliability, suitability, objectivity and validity - should be considered when preparing to assess. These characteristics, therefore, are also essential in planning testing, measurement and evaluation. Table 1.2 Characteristics of Assessment, Measurement and Evaluation Reliability Suitability Objectivity Validity *Refers to the assessment obtained with an assessment instrument *Consistency of test scores or assessment results from one measurement to another *Inter rater – consistency of scores between raters *Intra rater - Consistency of scores given by the same rater at different times *Appropriateness of the item in relation to:  Age level of students  Objective being tested  Content taught *Free of subjective judgment *Degree to which equally competent scorers obtain the same measurement *Can affect reliability and validity of scores *Accuracy *Concerned with adequacy and appropriateness of the interpretation and use of assessment results – Criterion-related *How well the sample tasks are representative of the domain of tasks or content to be measured- content- related *The correspondence between achievement test items and the instruction for which the test is built. *Construct –related *Does the test measure what it sets out to measure? In order to ensure a high degree of reliability, suitability, objectivity and validity there are several approaches the teacher can utilize.
  • 13.
    Exploring the Processof Assessment And Other Related Concepts ___________________________________________________________________________ 6 How can the teacher improve Reliability?  Avoid ambiguous questions and directions or instructions.  Sample more items with similar content.  Use well defined scoring/marking schemes.  Train raters/markers in an effort to standardize marking or interpretation of students’ work How can the teacher improve Suitability?  Match items to objectives.  Keep students’ reading level and age in mind when designing tests/exams.  Give enough time to complete tasks. How can the teacher improve Objectivity?  Provide clear scoring scheme or criteria especially for performance tasks and supply items e.g. essays.  Design (select) items to ensure only one correct response e.g. multiple choice. How can the teacher improve Validity?  Design a table of specifications.  Test only what is taught.  Consider ‘for whom’ and ‘for what’.  EEnnss uurree tthhaatt iinnssttrruuccttiioonnss aarree cclleeaarr..  UUssee iittee mm ttyyppeess tthhaatt eennhhaannccee rreelliiaabbiilliittyy ooff tteess ttss –– bbootthh ssuubbjjeeccttiivvee aanndd oobbjjeeccttiivvee iittee mmss ..  EEnnss uurree aapppprroopprriiaattee ssaammpplliinngg ccoonntteenntt..  DDeetteerrmmiinnee wwhh iicchh lloo ww ddiissccrriimmiinnaattiinngg iittee mmss ttoo ddiiss ccaarrdd aafftteerr iittee mm aannaallyyssiiss..  PPaayy aatttteennttiioonn ttoo ssccoorriinngg pprroocceedduurreess aanndd tteesstt aaddmmiinniissttrraattiioonn.. Gronlund (2000) points out: “The degree of validity is the single most important aspect of a test”. Furthermore, the teacher must be aware of the many factors which may influence the validity of tests measurement, or evaluation results at any given time in the assessment process. Therefore, the teacher must pay attention to: (1) the test; (2) administration and scoring; (3) pupil’s responses; (4) the group and the criterion. These factors are outlined below.
  • 14.
    Exploring the Processof Assessment And Other Related Concepts ___________________________________________________________________________ 7 VALIDITY: Factors which may influence Validity: 1. Factors in the test: a. Unclear directions b. Poor sentence structure c. Inappropriate level of difficulty of items d. Poorly constructed test items e. Ambiguity f. Test items inappropriate for items being measured g. Test too short h. Improper arrangement of items i. Identifiable patterns of items 2. Factors in test administration and scoring: a. Insufficient time to complete test b. Unfair aid to individuals c. Cheating d. Unreliable scoring of items e.g. essays e. Adverse conditions (physical; psychological) 3. Factors in pupils’ responses: a. Invalid test interpretations b. Emotional disturbances c. Test anxiety d. Set pattern of answering 4. Nature of the group and the criterion: a. Age b. Sex c. Ability level c. Educational background d. Cultural background
  • 15.
    Planning The Test ___________________________________________________________________________ 8 SECTION2: PLANNING THE TEST Why Test Kinds Of Tests, Measurement And Evaluation General And Specific Objectives Testing And Non-Testing Devices Table Of Specifications As a preview to planning any test, the assessment techniques should be clearly related to the instructional plan. Thus the teacher must ensure there is a link between teaching, learning and assessment. Firstly, we must know the reason why we are testing - the purpose or the consequences. Secondly, we must clearly specify the leaning outcomes we wish students to achieve; and thirdly, we must provide well-designed instruments which parallel the characteristics of effective instruction.
  • 16.
    Planning The Test ___________________________________________________________________________ 9 WHYDO WE TEST?  To control the condition for all students: e.g.  Same time;  Same access or non access to resources;  All students can rely on their own efforts. Planning To Test In this section we will focus on the main activities in planning a ‘fair’ test – the first step in the assessment process. 1. Purpose and consequences; 2. General and specific objectives; 3. Instruments and devices. 1. PURPOSE AND CONSEQUENCES (KINDS OF TESTS): The teacher must be aware of the kinds of test available, and which are most suitable for the decisions which will be made. The major types of tests are outlined below. Kinds of Tests / Assessment: (Mehrens and Lehmann 1984; Richardson, 1997; Linn & Gronlund 2000 Achievement Tests – Teacher-Made: Concerned only about what is taught – or else the teacher must make provision for other extraneous factors. For example: untidiness, lateness, incorrect spelling. However, do not limit students’ education by teaching the test Achievement Tests – Standardized: These tests have been developed by educational and test specialists in relation to a clearly defined achievement domain, pretested, revised and selected based on their difficulty and discrimination. There are precise directions for administration. These are formal tests that allow the teacher to compare students with other students in the country, who are representative of a “norm’ group. However, the content of standardized test does not always match what is taught in a certain school or classroom.
  • 17.
    Planning The Test ___________________________________________________________________________ 10 Selectionor Aptitude Tests: Tests administered in order to: (i) Select students on the basis of special aptitude; or (ii) Identify top scorers especially when there is a lack of space; or (iii) Predict future performance. Diagnostic Tests: Administered at the beginning of a course in order to pinpoint the precise areas of the curriculum that students have or have not achieved. The test items may be similar to those on an achievement test but usually test a smaller area of knowledge. Criterion-referenced interpretation is usually applied to the results of diagnostic tests. This enables the teacher to: (i) Plan future strategies or (ii) Give more practice in an area before moving on to new work. Placement Tests: These types of tests are similar to achievement tests, but cover more than one subject area. They are administered in the case of student transfers – from one school or country to another. The main purpose is to ensure that a student is being placed in the grade level which is most appropriate to the student’s present educational achievement. Performance Tests: Can be termed practical (laboratory work in Science subjects) or orals (Modern languages). These procedures/processes are judged using specific criteria. In addition ‘end’ products are also judged. They must also meet the ten criteria offered for a ‘good’ test. Formative: This kind of test is administered during instruction to find out which learning outcomes students are handling or which they need help with; Done in order to shape, and improve performance and behaviour. Summative: This kind of test is administered at the end of a specified period of time: -course, unit, year. This is to identify whether students have achieved the objectives of the course. Emphasis can be placed on assigning grades. Norm-referenced: This test is given to compare students’ score with the average score of the other students in the class. The teacher can include a large number of easy items Criterion-referenced: This test is given to compare student performance against a standard or a set of performance tasks. A student’s outcome is dependent on what he/she can do – what objectives each student has mastered. The teacher can use some very easy and some very difficult items.
  • 18.
    Planning The Test ___________________________________________________________________________ 11 Belowis a summary of three main kinds of test. The tests described above can be placed in any of the three categories, as outlined in the table, depending on the purpose of the exercise. Table 2.1: Similarities and Differences Between: KINDS OF TEST DIAGNOSTIC FORMATIVE SUMMATIVE TIME  For placement at the outset of a unit, semester, or year’s work  During instruction when student evidences repeated inability to profit fully form instruction  During instruction  At the end of a unit, term or year’s work INSTRU- MENTATION  Formative and summative instruments for pretest  Standardized achievement tests  Standardized diagnostic tests  Teacher-made instruments  Observation checklists  Specially designed formative instruments  Final or summative examination SAMPLING  Specific sample of each prerequisite entry behaviour  Sample of weighted course objectives  Sample of physically, emotionally or environmentally related behaviours  Specific sample of all related tasks in the hierarchy of the unit  A sample of weighted objectives ITEM DIFFICULTY  Diagnosis of prerequisite skills and abilities: a large number of easy items, 65% difficulty or higher  Cannot be specified beforehand  Average difficulty, ranging from 35% to 70%, with some very easy and some very difficult item An Adaptation of Bloom et al., 1971 2. General and Specific Objectives After you have decided on the purpose of your test, you must now clearly specify the instructional outcomes you wish students to achieve. ““TThhee ffiirrsstt sstteepp iinn pprreeppaarriinngg ffoorr aa ccoouurrssee iiss wwoorrkkiinngg oouutt ccoouurrssee oobbjjeeccttiivveess,, bbeeccaauussee tthhee cchhooiiccee ooff tteexxttss,, tthhee sseelleeccttiioonn aanndd oorrddeerr ooff aassssiiggnnmmeennttss,, tthhee cchhooiiccee ooff tteeaacchhiinngg tteecchhnniiqquueess,, aanndd aallll tthhee ddeecciissiioonnss iinnvvoollvveedd iinn ccoouurrssee ppllaannnniinngg sshhoouulldd ddeerriivvee ffrroomm yyoouurr oobbjjeeccttiivveess”” ((MMccKKeeaacchhiiee,, 11998866,, 88)).. "WHY DO YOU NEED LEARNING OBJECTIVES?" Mager 1962 reiterates: “Clear objectives can help the teacher design lessons that will be easier for the students to understand and the teacher to evaluate.”
  • 19.
    Planning The Test ___________________________________________________________________________ 12 Therefore,objectives, as a guide to planning, are beneficial to the teacher as well as the students. Generally, all stakeholders can have a yardstick with which to measure the extent to which there is a valid link between teaching, learning and assessment. We can further classify the main reasons for writing objectives as follows: 1) They provide a sound basis for selection of learning materials, content, methods. 2) They provide a way to measure whether the learning has been attained. 3) They give the student an opportunity to organize their efforts and activities before and during instruction. Objectives can be classified as two main types a) General and b) Specific. Although useful in planning instruction, they serve different purposes. General Objectives: Non-behavioural expressions of learning outcomes to be achieved after a sequence of teaching; denote general educational goals. ‘Action’ words are not used to denote non-behavioural objectives. The following are some covert (unobservable) verbs used when stating general objectives. Appreciate Believe Comprehend Understand Value Recognize Students will appreciate music. Can you measure when a child is appreciating, enjoying, grasping, etc.? AMBIGUOUS!! AMBIGUOUS!! Familiarize Grasp Indicate Know Imagine Think Students will grasp the functions of the computer hard drive Do these verbs give you any indication of the kind of changes to look for in students to show that they have achieved the stipulated goal? Students will understand how to add, subtract, multiply… AMBIGUOUS!! Students will enjoy physical education Realize Cope Learn Enjoy Apply Like Are these performance verbs? DIFFERENTIATING BETWEEN GENERAL AND SPECIFIC OBJECTIVES (Mager 1962; Moore, 1995)
  • 20.
    Planning The Test ___________________________________________________________________________ 13 SpecificObjectives:Behavioural/instructional outcomes of units and lessons. THEY SPECIFICALLY STATE THE OVERT BEHAVIOUR THAT STUDENTS WILL PERFORM IN ORDER FOR THE TEACHER TO OBSERVE AND MEASURE TO WHAT EXTENT THE STUDENT HAS MASTERED THE OBJECTIVES. FOR EXAMPLE WHAT BEHAVIOUR DO STUDENTS DEMONSTRATE FOR THE TEACHER TO MEASURE UNDERSTANDING, APPRECIATION, AND ENJOYMENT ETC.? Despite the benefits of writing specific objectives, there are several criticisms that must be considered: SOME CRITICISMS ABOUT WRITING SPECIFIC OBJECTIVES: 1. They lead to neglect of important goals of education; 2. The emphasis on precision and observable student behaviour could cause the number of objectives for almost any subject to be an unmanageable list; that is, too long to complete for any given time; 3. Many of the more complex cognitive processes are not readily observable. Several educators (Ward & Murray-Ward; Chatterji 2003; Anderson & Krathwohl 2001; Marzano 2001) have proposed new taxonomies over the past five years. One that I find simpler as the functional taxonomy of knowledge, skills and behaviours was designed by challerji (2003). Factual Knowledge Reproduction of information in a different form Application Involves one-step procedure Complex Multi-step procedure – hypothesizing, reasoning, making Procedural Skills judgement to make decisions to solve complex problems Higher Order Thinking Combination of analysis, synthesis and evaluation and Problem Solving Attitude and Values Taking action based on his/her value system Social Behaviour Demonstration of behaviours in line with social conventions Motor Skills Demonstration of coordination, strength and skills related to physical task It seems, however, although some educators claim “better fit with current thinking and research” each successive taxonomy or classification bears resemblance to Bloom’s taxonomy which has significantly impacted the developmental activities in our classrooms.
  • 21.
    Planning The Test ___________________________________________________________________________ 14 Belowis an outline of Bloom’s Taxonomy of the cognitive, affective and psychomotor domains Bloom et al., 1956 classified behavioural objectives into three domains: (Savage & Armstrong 1987, 82 - 90; Arends, 1994, 51 – 53) Figure 1 Domains and Taxonomies Cognitive: These objectives are concerned with exposing students to knowledge and thinking skills. [Revised] Levels of objectives: Knowledge/Remember Comprehension/Understand Application/Apply Analysis/Analyze Synthesis/Evaluate Evaluation/Create Performance Verbs: define distinguish identify restate explain infer use choose classify categorize write design assess compare contrast rearrange sort Affective: These objectives deal with feelings, attitudes, values and emotions. Levels of objectives: Receiving Responding Valuing Organization Characterization by value Performance Verbs: Act adopt greet help join give recite follow accept participate dispute relate read defend challenge complete perform Psychomotor: These objectives focus on the development or manipulation of motor skills. Levels of objectives: Perception Set Imitation Manipulation Precision Adaptation Origination Performance Verbs: Fix mix write connect grip fasten construct manipulate sketch compose design assemble correct paint repair create sew As practitioners, teachers must be aware of the interrelationship between the three domains – cognitive, affective, and psychomotor. The focus of the assessment will be dependent on the element within the exercise, which the teacher is most interested in for a particular purpose. Therefore the teacher must consider: “What is the main learning outcome which I expect students to achieve as I write this objective? For example, “Students will (i) draw and (ii) label the parts of the hibiscus flower”. Is it the knowledge of the parts; the skill of drawing accurately; or the value gained from doing the task? Taking the time to write the objective specifically can help clarify the expected focus for someone else who might use the objective another time. Below are three tables which outline and describe the three main domains and their levels of thinking, feeling or doing
  • 22.
    Planning The Test ___________________________________________________________________________ 15 Table2.2:1 Cognitive Domain: Taxonomy/Descriptions Taxonomy Description Knowledge/Remembering Recalling previously learned material; definitions, specific facts, concepts theories Comprehension/Explaining grasping meaning, explaining, restating ideas. Summarizing information from one form to another; interpreting or deducing the significance of data. Application/Applying Using learned material in new situations. Applying knowledge to novel situations presented in an unfamiliar way. Analysis/Analysing Separating material into component parts and show relationships between parts. Evaluation/Evaluating Judging the worth of material against stated criteria. …Checking, experimenting, hypothesizing, critiquing. Creating Generating ideas, or the way things are done…Planning, inventing, producing Table 2.2:2 Affective Domain: Taxonomy/Descriptions Taxonomy Description Receiving Becomes aware of an idea, process or thing; Willingness to be exposed to new content, behaviour with an open mind. Approaching/Responding Suspend judgment until evidence has been weighed carefully; Actively participates; responds obediently. Deciding/Valuing Arriving at personal decisions; Accepts worth of belief, attitude, value or ideal. Characterization/Sharing Allows values to guide or control behaviour; deeply committed and share decisions publicly without hesitation. Table 2.2:3 Psychomotor Domain: Taxonomy/Descriptions Taxonomy Description Awareness/Perception Becomes aware of actions to be performed; must be able to correctly describe what is to be done to perform a given psychomotor task properly. Set Becomes ready to act mentally, physically and emotionally. Guided Response / Integration / Imitation Performs action under supervision through trial and error; the teacher should be available to provide help Mechanism/ Manipulation Performs action habitually with some degree of confidence. Complex overt Response/ Precision Performs action automatically with a high degree of skill Adaptation Modify action and skill to suit problem situations Origination Creates new…to fit a particular situation or problem Note the revised Bloom’s taxonomy
  • 23.
    Planning The Test ___________________________________________________________________________ 16 Componentsof a Specific Objective Below are some views of how a specific objective can be identified or categorized. Mager (1962) argued that: “A meaningfully stated objective is one that succeeds in communicating … the writer’s instructional intent”. Such behavioural objectives require three parts (Arends, 1994, 49). These three parts are the (i) Testing Condition, (ii) Student Behaviour, (iii) Performance Criteria. For this purpose we may refer to these parts as TSP. (T) Testing Condition: The condition under which the behaviour will be observed or expected to occur. (Limitations or constraints which will affect the students’ performance of the task). (S) Student Behaviour: What the student will be doing or the kinds of behaviour the teacher will accept as evidence that the objective has been achieved (the task – identify the precise behavioural term to express the desired outcome). (P) Performance Criterion: The standard or performance level defined as acceptable. (Evidence which is desired in order to be confident that the learners have achieved the objective). Kibler, Barker and Miles, 1970 and Mager, 1984 also posit the view that a well-stated objective should include FOUR components: Condition, Performance, Product, Criterion. …CPPC There are similarities between TSP and CPPC Condition  Testing condition Performance  Student behaviour [Product  Outcome, Task] Criterion  Performance criterion Debra Jones (1997) has suggested the following categorization: To prepare an objective consider the ABCD: Audience: plan for your learners. Behavior: describe what they will be able to do. Condition: specify the circumstances, limit or material. Degree: how will the learner's performance be measured, and to what degree?
  • 24.
    Planning The Test ___________________________________________________________________________ 17 ExampleOf A Specific Objective: "Given the measurements of three rectangles, the student will use a formula, to calculate the area of at least two, correctly. The cells below are filled in to identify the main parts of the specific objective above. Table 2.3 Identifying Components of a Specific Objective Components of a specific objective Question to ask Example Performance Do what? Calculate Product What result? Area of three triangles Condition Under what conditions? Limit? Given the measurements Criteria How well? At least two correctly The box below shows objectives from the three domains – cognitive, psychomotor and affective – formulated to match a given general objective. General Objective: Students will understand the concept of growth. Specific Objectives: 1. Given a diagramof a young seedling and a mature pea plant, the student will identify FOUR differences between them. 2. Students will draw diagrams showing the stages of development in the frog. 3. Each pupil will explain, in one paragraph of no less than fifty words, the importance of ONE condition for successful growth of plants. WRITE ONE EXAMPLE OF YOUR OWN!!! Table 2.4: Sample: General and Specific Objectives
  • 25.
    Planning The Test ___________________________________________________________________________ 18 Considerthe exercise below. Can you improve on the specific objectives in any way? The following exercise was done by a first year student (2002) - Temika Christian For each of the general objectives given, formulate appropriate specific objective, as indicated, for each subject area. Class: Grade 6 (10 –12 yrs) Mathematics: After instruction, students will know how to find area of quadrilaterals. Having formulated an algorithm for calculating the area of quadrilateral, Cognitive: (Application) Affective ( Receiving) Psychomotor (free practice) Pupils should be able to apply the formula to find the area of four quadrilaterals correctly understand that knowing the formula is essential in order to calculate the area of quadrilaterals construct a model quadrilateral, using specified measurements Language: At the end of the term, students will grasp how to use the past tense appropriately Given a list of six verbs Cognitive: (Knowledge) Affective ( Responding) Psychomotor (Imitation) Pupils should be able to state orally the past tense of each pupils will practise to use the past tense of verbs correctly in their daily lives Given written instructions pupils should be able to complete four sentences by correctly inserting the past tense of the verbs in brackets Social Studies: At the end of the unit, students will recognize the purpose of street signs and other signs that are designed to protect children. Having observed a video presentation on the purpose of street signs Cognitive: (Evaluation) Affective ( Valuing) Psychomotor (Awareness) Pupils should be able to give four reasons to justify the usefulness of street signs express in writing three reasons why it is important for streets to have signs draw two street signs which they think are very important, using given materials. Science: Before entering Grade 7, students will appreciate that the development of amphibians is essential After studying pictures showing the development of amphibians Cognitive: (Knowledge) Affective ( Responding) Psychomotor (Imitation) Pupils should be able to explain in their own words, each stage of development pupils will use a column in the school’s newspaper to inform people about the development of amphibians sketch the first two stages of development with accuracy, using a pencil and drafting paper ============================================================================================
  • 26.
    Planning The Test ___________________________________________________________________________ 19 Afterthe teacher has compiled the topics/content and classified the list of objectives, the next step is to design a table of specifications. TABLE OF SPECIFICATIONS: In its simplest form, the table of specifications is a two-way chart or test blueprint. It is useful in guiding instruction and assessment – the time spent on a topic/content in terms of its importance and the demands of the curriculum and the match between levels of thinking, feelings and skills and the type of items on the test. What is the Purpose of the Table of Specifications? To ensure that the test is a valid measure of instructionally relevant tasks/course content and objectives:  The emphasis in the test should be reflected in the table of specifications: re: weighting of topics and levels/taxonomies;  Avoid the tendency to overload the test with lower order items and ignore more complex outcomes;  Aids in obtaining an adequate sample of tasks which represents the set or domain of content and objectives. Figure 2 Designing a Table of Specifications 1. List the content areas /topics 2. List the objectives 3. Classify the objectives - domains & taxonomies 4. Prepare a grid 5. Total scores for each content area 6. Weight each objective 7. Total scores for each level
  • 27.
    Planning The Test ___________________________________________________________________________ 20 Table2.5:A Sample (Two-way) Table of Specifications For A Summative Test: Cognitive Domain/ Taxonomies (only); Content Areas and Weighting of Objectives There may be variations in the stipulation of domains and levels of thinking for specific core areas.  Social Studies: –Cognitive: all levels especially Comprehension, Application and evaluation; however, there is also focus on the affective and psychomotor domains  Mathematics: - Recall / Comprehension, Computation / Algorithm, Problem Solving  Science: - Recall, Comprehension, Use of Knowledge  Language Arts: - Recall, Comprehension, Analysis and Synthesis 3. Instruments and Devices: When conducting assessment activities, do remember that you can utilize a “… range of procedures” to gain information concerning student performance and patterns of behaviour. Level Content Knowledge Compre hension Analysis Synthesis Evaluation Total Marks Types of Items Obj. (i) (12) Obj. (ii) (8) 20 Kinds of Tests Obj. (iii) (10) Obj. (v) (8) Obj. (iv) (5) Obj. (vi) (5) 28 Total Marks 22 8 8 5 5 48
  • 28.
    Planning The Test ___________________________________________________________________________ 21 Table2.6 Testing Methods For Varying Purposes (Ebel & Frisbie, 1991, 29) Type of Information LEVEL OF INSTRUCTION Course Unit Daily Lesson Entering Behaviour Formative Evaluation Summative Evaluation Cumulative folders, questionnaires, observation, oral questioning Unit tests, projects, papers, observation, participation patterns Final examination, comprehensive project, research paper, performance ratings Pretest, oral questioning, checklist, observation Quizzes, oral questioning, results participation records Unit test, Written project, Work product, Presentation, Participation record, Performance checklist Observation, oral questioning, homework results Teacher questioning student questioning quizzes activity observation nonverbal observation (Not applicable) Table 2.7 Testing And Non-Testing Devices. These “… range of procedures” to gain information concerning student performance and patterns of behaviour can be categorized as Testing and Non-Testing devices. N.B. The testing devices are most useful when assessing traditional student achievement/behaviour The non-testing devices are most useful when assessing performance tasks TESTING DEVICES NON-TESTING DEVICES o Standardized tests o Achievement tests o Intelligence tests o Personality tests o Creativity tests o Learning style /cognitive style inventories o Teacher made-tests (essays, objective, diagnostic) o Questionnaires o Direct observation (schedules) o Anecdotal records o Case studies o Check lists o Rating scales o Journals o Portfolios o Profiles
  • 29.
    Designing The Test _____________________________________________________________________ 22 Section3: Designing The Test Types of items Making meaningful assignments/tests Steps in preparing assignments/tests Monitoring
  • 30.
    Designing The Test _____________________________________________________________________ 23 THEKINDS OF QUESTIONS A TEACHER ASKS WILL REVEAL TO THE STUDENTS THE LEVEL OF THINKING WHICH IS REQUIRED OF THEM!!!! Figure 3 OBJECTIVE this is in reference to marking SUBJECTIVE one correct response variety of responses & marks may be influenced by bias, handwriting, mood, student… SELECT student chooses one correct response SUPPLY student supplies the full response from a number of choices -short or extended Multiple Choice students can True/False ESSAY organize, integrate ideas Matching [COMPLETION] Fill In The Blanks may be select or supply
  • 31.
    Designing The Test _____________________________________________________________________ 24 Hereis a brief description of selected item types. These types of items represent the traditional way of testing. That is, the sit-down-at-the-desk-paper-and-pencil-test. However, the essay item can also be classified as a performance task. Multiple-choice: Student selects the correct answer from among some possible answers. (E.g. A B C D) - Consists of the STEM; OPTIONS (possible answers or choices); DISTRACTORS (incorrect responses); KEY (correct response). True/False: (alternate response) Contains a statement about which the student is asked to make a judgment – right/wrong; correct/incorrect; yes/no; agree/disagree; smile/frown. Matching: Consists of two parallel lists/columns – words, phrases or sentences. Matching column contains premises; selection column contains responses. Completion – Fill in the blanks: Students are expected to complete a statement by supplying a word, phrase, number or symbol in the blanks provided. Essays: Classified into two types: Extended and Restricted. Give students the opportunity to organize, integrate and evaluate ideas. N.B. Stimuli – picture, diagram, paragraph, map, etc. can be used with the above types of items in order to create an interpretive exercise.
  • 32.
    Designing The Test _____________________________________________________________________ 25 REVIEWSUGGESTIONSFOR EACH OF THE ABOVE ITEM TYPES “The goal … to write clear, concise, unambiguous items.” Table 3.1:1 MULTIPLE CHOICE 1. Make the stem meaningful. 2. Phrase the stem so that it presents a definite problem or task. 3. Do not repeat words or phrases in each option. 4. Avoid clues. 5. Write items at an appropriate reading level. 6. Highlight negative phrases. E.g. NOT LEAST 7. Make all options grammatically consistent with the stem of the item. 8. Ensure only ONE correct or clearly BEST answer. 9. Make all options about the same length. 10. Use special options such as ‘none of the above’ or ‘all of the above’ sparingly. Tick the correct answer. Which of the following is an advantage of multiple-choice items on a test? They: A. assess how well a student can organize knowledge B. can cover a wide range of knowledge C. promote guessing D. lend themselves easily to testing complete problem-solving skills
  • 33.
    Designing The Test _____________________________________________________________________ 26 Table3.1:2 TRUE/FALSE 1. Do not use broad general statements. 2. Avoid the use of trivial statements. 3. Do not use negative statements. 4. Avoid long complex sentences. 5. Avoid including two ideas. 6. Make all statements equal length. 7. Avoid patterns. Write True or False in the space provided at the end of the following statement. For the majority of people, normal body temperature is 98.6ºF. __________ Table 3.1:3 MATCHING 1. Use only homogeneous or related materials. 2. Clearly indicate the basis for matching. 3. List of responses – on the right – should consist of single words or short phrases. 4. Arrange responses in chronological or alphabetical order. 5. Limit choices: from five (5) to ten (10). 6. Set items to hold on one page. Table 3.1:4
  • 34.
    Designing The Test _____________________________________________________________________ 27 FILLIN THE BLANKS/COMPLETION 1. Word the item so that the required answer is definite. 2. Do not use direct statements from textbooks/notes. 3. Make the blanks for the responses equal in length. 4. Limit the number of blanks. 5. Place blanks preferably towards the end. E.G. Fill in each blank with the most appropriate word to complete the following sentences about objective type items. When we measure factual information based on simple associations, it is important to use homogeneous premises and __________. Table 3.1:5 ESSAYS 1. Restrict the use to learning outcomes that cannot be satisfactorily measured by objective items. 2. Formulate questions that will measure the specified learning outcome. 3. Phrase each question so that the task is clearly indicated. 4. Indicate the approximate time limit for each question. 5. Avoid the use of optional questions. Answer each of the following questions a. Describe a table of specifications. (5 Marks) b. State THREE main reasons why the TOS is important to the classroom teacher. (3 marks) WHICH TYPE DO YOU PREFER?
  • 35.
    Designing The Test _____________________________________________________________________ 28 N.BEACH TYPE HAS ITS STRENGTHS AND WEAKNESSES Table 3.2: A COMPARISON TABLE (Gronlund, 1998, 101) SELECTION-TYPE ESSAYS Learning outcomes measured Sampling content Preparation of items Scoring Factors distorting scores Probable effect on learning Good for measuring outcomes at the knowledge, comprehension and application levels of learning; inadequate for organizing and expressing ideas. The use of a large number of items results in broad coverage, which makes representative sampling feasible. Preparation of good items is difficult and time consuming. Objective, simple and highly reliable Reading ability and guessing Encourages students to remember, interpret and use the ideas of others. Inefficient for measuring knowledge outcomes; best for ability to organize, integrate and express ideas. The use of a small number of items limits coverage, which makes representative sampling of content infeasible. Preparation of good items is difficult but easier than selection-type Subjective, difficult and less reliable. Writing ability and bluffing Encourages students to organize, integrate and express their ideas.
  • 36.
    Designing The Test _____________________________________________________________________ 29 LEARNDETAILS INVOLVED IN MAKING MEANINGFUL AND FAIR EXAMS/TESTS. KNOW HOW TO MAKE MEANINGFUL ASSESSMENT _________________________________ ____________________________ CLASSROOM TESTING KKNNOOWW WWHHYY YYOOUU AARREE TTEESSTTIINNGG!! TTHHEE TTEESSTT SSHHOOUULLDD AASSSSEESSSS WWHHEETTHHEERR TTHHEE SSTTUUDD EENNTTSS HHAAVVEE MMAASSTTEERREEDD TTHHEE PPRRIIMMAARR YY CCOOUURRSSEE OOBBJJEECCTTIIVVEESS.. TThhoossee wwhhoo ssttuuddyy aasssseessssmmeenntt aanndd eevvaalluuaattiioonn tteecchhnniiqquueess aarree qquuiicckk ttoo ppooiinntt oouutt tthhaatt tthhee rroollee ooff ssttaannddaarrddiizzeedd tteessttiinngg hhaass rreecceeiivveedd ccoonnssiiddeerraabbllyy mmoorree rreesseeaarrcchh aatttteennttiioonn tthhaann hhaavvee ccllaassssrroooomm tteessttiinngg aanndd ootthheerr ccllaassssrroooomm--lleevveell aasssseessssmmeenntt mmeetthhooddss.. TThhee eexxiissttiinngg rreesseeaarrcchh ddooeess iinnddiiccaattee,, hhoowweevveerr,, tthhaatt wweellll--ddeessiiggnneedd ccllaassssrroooomm tteessttiinngg pprrooggrraammmmeess bbeeaarr aa ppoossiittiivvee rreellaattiioonnsshhiipp ttoo llaatteerr ssttuuddeenntt aacchhiieevveemmeenntt.. BBeenneeffiicciiaall eeffffeeccttss aarree nnootteedd wwhheenn tteessttss aarree::  AAddmmiinniisstteerreedd rreegguullaarrllyy aanndd ffrreeqquueennttllyy..  AAnn iinntteeggrraall ppaarrtt ooff tthhee iinnssttrruuccttiioonnaall aapppprrooaacchh ((ii..ee..,, wweellll aalliiggnneedd wwiitthh tthhee mmaatteerriiaall bbeeiinngg ttaauugghhtt))..  CCoolllleecctteedd,, ssccoorreedd,, rreeccoorrddeedd aanndd rreettuurrnneedd ttoo ssttuuddeennttss pprroommppttllyy ssoo tthheeyy ccaann ccoorrrreecctt eerrrroorrss ooff uunnddeerrssttaannddiinngg bbeeffoorree tthhoossee bbeeccoommee iinnggrraaiinneedd..
  • 37.
    Designing The Test _____________________________________________________________________ 30 TThheepprroocceedduurreess aabboovvee aarree iimmppoorrttaanntt iinn eennssuurriinngg tthheerree iiss aa hhiigghh ddeeggrreeee ooff vvaalliiddiittyy aanndd ffaaiirrnneessss.. FFAAIIRRNNEESSSS:: ……rreeffeerrss ttoo ssuucchh aassppeecctt ooff tthhee aasssseessssmmeenntt pprrooggrraammmmee aanndd eevvaalluuaattiioonn ssyysstteemm aass::  EEqquuaall ooppppoorrttuunniittyy ttoo aaccqquuiirree kknnoowwlleeddggee aanndd sskkiillllss ttoo bbee aasssseesssseedd;;  UUssee ooff ddeevveellooppmmeennttaallllyy aapppprroopprriiaattee aasssseessssmmeennttss;;  SSoouunndd pprroocceedduurree;;  AApppprroopprriiaattee uussee ooff eevvaalluuaattiioonn rreessuullttss;; aanndd  RReeaassoonnaabbllee ddeemmaannddss oonn tthhee tteeaacchheerrss bbeeiinngg eevvaalluuaatteedd iinn tteerrmmss ooff ssuucchh ffaaccttoorrss aass ttiimmee,, ccoosstt aanndd ppeerrssoonnaall rreessoouurrcceess rreeqquuiirreedd.. FFaaiirrnneessss iinn eexxaammss iiss cchhaarraacctteerriizzeedd bbyy::  AAbbsseennccee ooff bbiiaass;;  PPrroocceedduurraall ffaaiirrnneessss;;  AAddeeqquuaattee oorr eeqquuaall ooppppoorrttuunniittyy;;  EEqquuaalliittyy ooff rreessuullttss..
  • 38.
    Designing The Test _____________________________________________________________________ 31 MMAAJJOORRSSTTEEPPSS IINN DDEESSIIGGNNIINNGG TTEESSTTSS//EEXXAAMMSS!!!!!! 11.. EEssttaabblliisshh tthhee ppuurrppoossee ffoorr tthhee ttaasskk.. 22.. IIddeennttiiffyy aanndd ddeeffiinnee tthhee iinntteennddeedd lleeaarrnniinngg oouuttccoommeess.. 33.. PPrreeppaarree tteesstt ssppeecciiffiiccaattiioonnss.. 44.. RReevviieeww aanndd eeddiitt iitteemmss.. 55.. AArrrraannggee tthhee iitteemmss.. 66.. PPrreeppaarree ddiirreeccttiioonnss KKnnooww wwhhyy yyoouu aarree tteessttiinngg!! TTeessttss sshhoouulldd aasssseessss wwhheetthheerr tthhee ssttuuddeennttss hhaavvee mmaasstteerreedd tthhee pprriimmaarryy oobbjjeeccttiivveess!!!!!! SSuummmmaarryy AAssssiiggnnmmeennttss sshhoouulldd hheellpp ssttuuddeennttss uunnddeerrssttaanndd tthhee mmaatteerriiaall bbeetttteerr,, aanndd ccoommmmeennttss oonn tthheeiirr wwoorrkk sshhoouulldd aallssoo bbee uusseeffuull ttoo tthheemm.. PPlleeaassee NNoottee::  TTeesstt iitteemmss sshhoouulldd rreefflleecctt yyoouurr oobbjjeeccttiivveess ffoorr tthhee uunniitt  EEaacchh iitteemm sshhoouulldd pprreesseenntt aa cclleeaarr ttaasskk  SSttaattee eeaacchh iitteemm iinn ssiimmppllee cclleeaarr llaanngguuaaggee,, ffrreeee ooff bbiiaass  OOnnee iitteemm sshhoouulldd nnoott aaiidd iinn aannsswweerriinngg aannootthheerr  AAllllooww aammppllee ttiimmee  AAssssiiggnn ppooiinnttss bbeeffoorree aaddmmiinniisstteerriinngg tthhee tteesstt  PPllaaccee ssiimmiillaarr iitteemm ttyyppeess ttooggeetthheerr  BBaallaannccee tthhee pprrooppoorrttiioonn ooff ccoorrrreecctt aannsswweerrss;; aavvooiidd ppaatttteerrnnss
  • 39.
    Authentic Assessment: AlternativesTo The Traditional Approach ___________________________________________________________________________ 32 PPAARRTT 22 SSeeccttiioonn 44:: AAuutthheennttiicc AAsssseessssmmeenntt:: AAlltteerrnnaattiivveess TToo TThhee TTrraaddiittiioonnaall AApppprrooaacchh ttoo TTeessttiinngg DDeeffiinniinngg AAuutthheennttiicc AAsssseessssmmeenntt SSttuuddeenntt EEvvaalluuaattiioonn FFoorrmm PPeerrffoorrmmaannccee AAsssseessssmmeenntt.. WWhhyy?? PPeerrffoorrmmaannccee VVss.. TTrraaddiittiioonnaall AAsssseessssmmeenntt PPoorrttffoolliioo AAsssseessssmmeenntt
  • 40.
    Authentic Assessment: AlternativesTo The Traditional Approach ___________________________________________________________________________ 33 DDeeffiinniinngg AAuutthheennttiicc AAsssseessssmmeenntt:: ““AAnn aasssseessssmmeenntt iiss aauutthheennttiicc wwhheenn iitt iinnvvoollvveess ssttuuddeennttss iinn ttaasskkss tthhaatt aarree wwoorrtthhwwhhiillee,, ssiiggnniiffiiccaanntt,, aanndd mmeeaanniinnggffuull.. SSuucchh aasssseessssmmeennttss …… ccoommmmuunniiccaattee ttoo ssttuuddeennttss wwhhaatt iitt mmeeaannss ttoo wwoorrkk wweellll bbyy mmaakkiinngg eexxpplliicciitt tthhee ssttaannddaarrddss bbyy wwhhiicchh wwoorrkk wwiillll bbee jjuuddggeedd”” ((HHaarrtt,, 11999944,, 99)).. OOvveerr tthhee yyeeaarrss,, rreesseeaarrcchheerrss hhaavvee ccooiinneedd sseevveerraall wwoorrddss oorr pphhrraasseess iinn aann aatttteemmpptt ttoo ccllaarriiffyy tthhee mmeeaanniinngg oorr ppoowweerr ooff AAuutthheennttiicc AAsssseessssmmeenntt:: PPeerrffoorrmmaannccee tteessttiinngg;; aalltteerrnnaattiivvee tteessttiinngg ((HHaammbblleettoonn aanndd MMuurrpphhyy 11999922));; EExxhhiibbiittiioonn ooff mmaasstteerryy ((WWiiggggiinnss iinn NNiicckkeell 11999922));; MMeeaanniinnggffuull aasssseessssmmeenntt ((AAddaammss aanndd HHaammmm 11999922));; NNaattuurraall aasssseessssmmeenntt ((BBiieemmeerr 11999933)).. BByy ddeeffiinniittiioonn,, aauutthheennttiicc aasssseessssmmeenntt ((LLee MMaahhiieeuu eett aall.. 11999955)) eennggaaggeess ssttuuddeennttss iinn mmoorree ccoommpprreehheennssiivvee ttaasskkss,, wwhhiicchh pprroovviiddee ddeettaaiilleedd eevviiddeennccee aabboouutt ssttuuddeennttss’’ tthhiinnkkiinngg aanndd ‘‘eennccoouurraaggee ssttuuddeennttss ttoo ttaakkee aann aaccttiivvee rroollee iinn aasssseessssmmeenntt ooff tthheeiirr wwoorrkk’’.. TThhiiss iiss ssuuppppoorrtteedd bbyy AAddaammss aanndd HHaammmm ((11999922)) wwhhoo bbeelliieevvee tthhaatt ssuucchh aaccttiivvee iinnvvoollvveemmeenntt iiss nneecceessssaarryy ffoorr ssttuuddeennttss ttoo ffuunnccttiioonn iinn tthhee ffuuttuurree.. IInn tthhiiss eexxeerrcciissee tthheeyy bbeeccoommee ppaarrttnneerrss wwiitthh tthheeiirr tteeaacchheerrss iinn tthhee eevvaalluuaattiioonn pprroocceessss ((HHaarrtt 11999944)).. FFuurrtthheerrmmoorree,, HHaarrtt iiddeennttiiffiieess tthhrreeee ccoommppoonneennttss ooff aauutthheennttiicc aasssseessssmmeenntt:: ((ii)) tthhee ‘‘ddeessiiggnn’’ wwhhiicchh vvaalluueess tthhee mmuullttiippllee aabbiilliittiieess ooff ssttuuddeennttss aanndd wwhhiicchh pprroommootteess hhiigghheerr ssttaannddaarrddss ooff kknnoowwiinngg;; ((iiii)) tthhee ‘‘ssttrruuccttuurree’’ wwhhiicchh rreeqquuiirreess ssttuuddeenntt ttoo ccoollllaabboorraattee oonn ttaasskkss wwhhiicchh aarree kknnoowwnn ttoo tthheemm iinn aaddvvaannccee;; ((iiiiii)) tthhee ‘‘ggrraaddiinngg’’ wwhhiicchh eemmpphhaassiizzeess ssccoorriinngg bbaasseedd oonn cclleeaarrllyy ssttaatteedd,, sshhaarreedd ssttaannddaarrddss ooff ppeerrffoorrmmaannccee ccrriitteerriiaa aanndd eennccoouurraaggeess tthhee hhaabbiitt ooff sseellff aasssseessssmmeenntt,, wwhhiicchh ccaann ffuurrtthheerr eennccoouurraaggee ppeeeerr aasssseessssmmeenntt.. EEvviiddeennttllyy,, aauutthheennttiicc aasssseessssmmeenntt mmaaggnniiffiieess aaccttiivviittyy aanndd ddyynnaammiissmm.. TThhiiss aapppprrooaacchh ssuuppppoorrttss tteeaacchhiinngg,, lleeaarrnniinngg aanndd eevvaalluuaattiioonn iinn aa pprroocceessss wwhhiicchh aalllloowwss tthhee ssttuuddeenntt ttoo:: 11.. PPeerrffoorrmm,, rreessppoonndd oorr pprroodduuccee kknnoowwlleeddggee iinn aa ggeennuuiinnee rraatthheerr tthhaann ccoonnttrriivveedd ssiittuuaattiioonn,, tthhaatt iiss,, iinn rreeaall wwoorrlldd ccoonntteexxtt;; 22.. EEnnggaaggee iinn ccaarreeeerr ddeevveellooppmmeenntt aaccttiivviittiieess,, ssoo lleeaarrnniinngg hhaass mmeeaanniinngg//vvaalluuee oouuttssiiddee ooff sscchhooooll;; 33.. CCoollllaabboorraattee oonn ccoommpplleexx eexxtteennddeedd ttaasskkss,, uussiinngg ddiisscciipplliinneedd iinnqquuiirryy.. IInn tthhee eenndd,, tthhee ssttuuddeenntt iiss jjuuddggeedd oonn wwhhaatt hhee oorr sshhee ccaann ddoo wwiitthh kknnoowwlleeddggee,, sskkiillllss aanndd vvaalluueess aanndd tthhee aabbiilliittyy ttoo ““mmaakkee ddeecciissiioonnss,, ssoollvvee pprroobblleemmss,, tthhiinnkk ccrriittiiccaallllyy,, sseeppaarraattee ffaaccttss ffrroomm ooppiinniioonnss …… ggeett((ttiinngg)) aalloonngg wwiitthh ootthheerr ppeeooppllee”” ((BBiieemmeerr 11999933,,8811.. TThhuuss OOrrssmmoonndd eett aall.. ((11999966)) ssttrreessss iiff ““ssttuuddeennttss aarree ttoo bbeeccoommee mmoorree sseellff-- rreelliiaanntt wwiitthh rreeggaarrdd ttoo tthheeiirr aaccaaddeemmiicc ddeevveellooppmmeenntt,, cchhaannggeess iinn ssttaaffff aasssseessssmmeenntt pprraaccttiicceess wwiillll hhaavvee ttoo bbee mmaaddee,, iinn tthhaatt ssoommee ppoowweerr wwiillll hhaavvee ttoo bbee hhaannddeedd oovveerr ttoo ssttuuddeennttss””.. TThhiiss iinnvvoollvveess ttuurrnniinngg ttoo aalltteerrnnaattiivveess ssuucchh aass ppeeeerr-- aanndd sseellff--aasssseessssmmeenntt.. AAuutthheennttiicc aasssseessssmmeenntt ggiivveess ooppppoorrttuunniittyy ffoorr ssttuuddeennttss ttoo::  LEARN HOW TO EVALUATE THEMSELVES OBJECTIVELY  HANDLE STUDENT AND TUTOR EVALUATIONS
  • 41.
    Authentic Assessment: AlternativesTo The Traditional Approach ___________________________________________________________________________ 34 Self-assessment: Self-assessment refers to the ‘involvement of learners in making judgment about their own learning, particularly about their achievement and the outcomes of their learning” (Boud and Falchikov, 1989, 529). The term self-assessment can be used interchangeably with self-marking, self-ratings or self-evaluations. The basic understanding of this practice is that students engage in a process to review, rate or mark their performance or evaluate their own learning. In effect, there has been increasing interest in ways to encourage students to take responsibility for their learning. The literature shows that they should be able to work independently and also assess their own performance (Boud and Falchikov, 1989). Since students need to be involved actively in evaluating and providing examples of their own learning, Adams and Hamm (1992, 105) believe they should be given the opportunity, among other things, to identify their thoughts and reflect on what they understand; this allows them to ‘create, evaluate and act upon matters that they and others value’. Two main motives for promoting student self- assessment have been identified by Boud and Falchikov, (1989). The first is educational, as students become involved in assessing their competence; the second is expedience or practicality, influenced by the need to give teachers more time to plan, monitor and moderate assessment activities, therefore promoting more effective use of resources. It is apparent that these motives are also applicable to peer assessment, which Sommervell (1993) sees as part of the self- assessment process as it ‘serves to inform self- assessment’. Peer Assessment Peer assessment is based on the same premise of students’ involvement in grading, but engages students in making judgement about the work of other students. Such an exercise has a two-pronged effect, for as Zariski (1996) posits, the process allows students to practise assessment and also observe how others evaluate the results of learning. Teachers have always witnessed informal peer assessment in their classrooms. For example, when teachers return papers, students usually evaluate their performance against another pupil’s. There are instances when they have been bold enough to point out teachers’ shortcoming. Or, sometimes when work is put on display, they too can determine and appreciate what is appropriate and acceptable (Hart, 1994). Sommervell (1993) believes that peer review as part of summative assessment helps not only to develop students’ skills of reflection but also to develop attitudes of responsibility towards other members of the group.
  • 42.
    Authentic Assessment: AlternativesTo The Traditional Approach ___________________________________________________________________________ 35 Student Evaluation Form: This is a form used to solicit student evaluations of a course since it is now commonplace to find out what students think about their experiences in the class over the term / semester / course. Davis (1993) notes the following based on research:  Ratings of overall teaching effectiveness are moderately correlated with independent measures of student learning and achievement.  Ratings tend to be relatively constant.  There is little or no relation between student evaluation and age; years in college; or amount of homework.  Gender of instructor may have an impact. GUIDELINES FOR CONSTRUCTING A STUDENT EVALUATION FORM: Use forms that give students the opportunity to provide quantitative ratings and to comment narratively on an instructor’s performance. Select items that reflect the criteria of effective teaching of the department or institution and that are within students’ range of judgment. State each item clearly. Provide numerical rating scale. Include at least one item that asks students the effects of the course. At least one quantitative measure on the overall effectiveness of the instructor. Limit the number of questions about student characteristics. Keep the form short. S K I L L S A T T I T U D E K N O W L E D G E
  • 43.
    Authentic Assessment: AlternativesTo The Traditional Approach ___________________________________________________________________________ 36 Table 4.1: Tick () the most appropriate choice, which represents your perception STATEMENTS SA A U D SD A. My instructor: includes everyone by encouraging them to speak does all the talking and directing makes the whole class revolve on class activities is not fair in comments on writing always gives instructive and helpful comments is well prepared for class runs the class very well in every way. B. Lectures seem too boring Class time is long A great deal of my papers had no comments on them I would like to see more conference time I feel peer evaluation helps C. Write a comment, which BEST describes your view of your teacher’s effectiveness in the classroom.
  • 44.
    Authentic Assessment: AlternativesTo The Traditional Approach ___________________________________________________________________________ 37  PERFORMANCE ASSESSMENT: WHY? Teachers consider the following thought provoking questions!! Have you ever given students a project to complete individually or in groups? Did you give the students a mark scheme? Checklist? Rating scale? Specific criteria? so they could reflect on task(s) as the project progressed? Did the students work feverishly and diligently to research and complete this project? Did groups or individuals present the finished project to the class? Did you assign a mark or grade for end product? for the presentation? for group work? for the outline of the process? Or, did you just tell the students to prepare the information for a written test on the same topic another time? Why is the answer to each of the above questions important? There is great emphasis on testing in our schools. Regrettably, a very high percentage of testing is the “sit-down-at-the-desk-paper-and-pencil” test. That is, the testing is mainly concerned with measuring students’ ability to recall enormous amounts of information at one sitting, preferably at the end of the term, at the end of the school year, or at the end of their five – six year stint in primary school. However, educators advocate the use of other types of assessment to balance the emphasis on paper and pencil tests. These include: 1. Performance Assessment: This requires pupils to demonstrate their achievement of understandings and skills by actually performing a task or set of tasks - for example, writing a story, giving a speech, conducting an experiment, operating a machine. 2. Alternate Assessment: A title for performance assessment that emphasizes that these assessment methods provide an alternative to traditional paper and pencil testing. 3. Authentic Assessment: A title for performance assessment that emphasizes the importance of focusing on the application of understanding and skills to real problems in ‘real world’ contextual settings. (Gronlund, 1998, 2)
  • 45.
    Authentic Assessment: AlternativesTo The Traditional Approach ___________________________________________________________________________ 38 Of the three types of assessment described above, performance assessment is the all-inclusive category. Consider the following definition!!! To summarize, performance assessment can be defined as an innovative view to the structure of learning. Teaching, learning and evaluation are connected in a variety of extended tasks, subject to students’ differing backgrounds. The students engage in critical thinking, exposed to real-life situations, and are given opportunity to utilize all their senses to generate knowledge. On-going assessment of the process or performance is based on human judgement, whose subjectivity is controlled by specific criteria of standards. NOTE WELL: PERFORMANCE TASKS ASK STUDENTS TO:  Restructure information rather than simply recall and reproduce.  Understand and use information in new and unfamiliar contexts.  Integrate and connect their conceptual understanding as they  Observe  Reason  Experiment  Interpret  Make decisions  Draw conclusions.  Demonstrate persistence, imagination and creativity.  Approach a problem in novel ways. (Capper, 1996, 53,57) Limitations of performance assessment: (Gronlund, 1998, 137) 1. Time consuming - evaluation must frequently be done individually, rather than in groups. 2. Judgment and scoring performance is subjective, burdensome and typically has low reliability. USING GUIDELINES TO CONSTRUCT WELL DESIGNED PERFORMANCE ASSESSMENTS: (Gallagher, 1998, 279-280) The steps in designing a performance assessment are: 1. Determine the purpose of the assessment. 2. Determine what skills and outcomes the assessment will cover and specify in detail, including taxonomic domain and level. 3. Develop a task that is illustrative of and calls for the behaviour specified in the outcomes. Record the task and write directions for the students. 4. Determine judging criteria. 5. Create the scoring scheme. 6. Pilot test the assessment. 7. Revise the outcomes, the task, the judging criteria and the scoring scheme as necessary based on pilot-test data.
  • 46.
    Authentic Assessment: AlternativesTo The Traditional Approach ___________________________________________________________________________ 39 The following common scoring schemes can be used:  Checklist – A set of phrases or statements that describe either the sequential steps in a procedure or the most important elements of a product. …Enables the assessor to identify whether a student has demonstrated a characteristic or not.  Rating scale – A method of recording how frequently a (certain) behaviour occurs or how high in quality a characteristic seems to be. …Allows the assessor to indicate the level at which the student has demonstrated the characteristic; can assess product or procedure.  Anecdotal records – Brief description of observed behaviour, the settings in which they occurred and an interpretation of the events. …Allow the assessor to provide a narrative account/comment of the students’ progress with each demonstration/behaviour.  Rubric: enables the assessor to evaluate students’ work (a performance or a product) using a printed set of scoring guidelines. It is also useful for giving feedback. The critical components of a rubric: (Easy to use rubric and assessment software. File:///A|/1_1.html.) 1. Performance element: the major, critical attributes which focus on best practice. 2. Scale: The possible points to be assigned. Can be numerical or verbal. 3. Criteria: The conditions of a performance that must be met for it to be considered successful. 4. Standard: A description of how well the criteria must be met for the performance to be considered “good”. 5. Descriptors: statements that describe each level of the performance. 6. Indicators: specific, concrete examples of what we look for at each level of the performance. Please note that the characteristics/criteria on the scoring schemes can vary; and importantly, the students must be aware of the criteria.
  • 47.
    Authentic Assessment: AlternativesTo The Traditional Approach ___________________________________________________________________________ 40 Some guidelines for scoring schemes are: 1. Make the scoring approach (either analytic or holistic) congruent with the assessment purpose. 2. Base the scheme on judging criteria for the performance task. 3. Use observation instruments to record assessment of performance where possible. 4. Familiarize judges with the scheme and any related observation instruments. 5. Ensure agreement among judges on meaning of criteria. The set of judging criteria associated with a performance assessment should: 1. Be present for each outcome assessed. 2. Sufficiently describe the critical aspects of performance – what is necessary to observe to determine successful performance. 3. Be shared with students when appropriate. CHECKLISTS AND RATING SCALES ARE THE TWOMOST COMMON SCORING SCHEMES FOR BOTH ADULTS AND CHILDREN. A THIRD, LESS COMMON OBSERVATIONAL TOOL IS THE ANECDOTAL RECORD GUIDELINES FOR EFFECTIVE AND FAIR GRADING  1. Inform students at the beginning of instruction what grading procedures will be used. 2. Base grades on student achievement, and achievement only. 3. Base grades on a wide variety of valid assessment data. 4. When combining scores for grading, use a proper weighting technique. 5. Select an appropriate frame of reference. 6. Review borderline cases by re-examining all achievement evidence. LET’S OBSERVE FAIRLY!
  • 48.
    Authentic Assessment: AlternativesTo The Traditional Approach ___________________________________________________________________________ 41 Below is an example of a performance task prepared by a group of Primary school teachers at a measurement and evaluation workshop –2000 – targeting the design of performance tasks. This was a first but commendable attempt. LISTENING: LEVEL 1 – GRADES k –1 Nursery rhymes: Boys’ boots are big So when boys jump Boys’ big boots go Bump, Bump, Bump. Objectives:  To develop auditory and discriminating skills (Cognitive; understanding)  To appreciate the rhythmic expressions of language (Affective; appreciation) Students will: listen to and recite the nursery rhyme Identify similarities and differences E.g. What words begin with the same sound? What is the difference between these words? – bump/jump Call all the word that end with the ‘s’ sound Give a list of other words with the following: ‘B’ as initial sound ‘IG” ending ‘UMP’ ending Fill in the blanks (orally) E.g. Ben sleeps on a _ig _ed. I _ig a hole Table 4.2 Speaking Checklist / Rating Scale - Nursery Rhymes 3 – Very good 2 – Satisfactory 1 – Needs Improving YES NO COMMENTS TASKS: Ability to 1 2 3 Identify similarities Identify differences Identify beginning sounds Identify ending sounds Give other words with the same ending sound Give other words with the same beginning sound Can you identify other characteristics/criteria that could be assessed for this exercise? Would the above approach to assessment change any of the answers you gave at the beginning of this article? (Page 43) Now Design An Example Of Your Own!!!
  • 49.
    Authentic Assessment: AlternativesTo The Traditional Approach ___________________________________________________________________________ 42 Below is an example of a rubric designed by Utoh & Hanley 2002. (One criterion – Teaching Act - is described). The other criteria are Organization, Teaching Materials and Aids, Classroom Management, Manner and Deportment. Table 4.3 EVALUATION RUBRIC: SOCIAL STUDIES PRACTICUM CRITERIA PROFICIENT (4) SATISFACTORY (3) LIMITED (2) POOR (1) Demonstrates mastery of the strategies and skills Carries out the important strategies and skills without significant errors and with relative ease Displays an incomplete understanding of the strategies and skills Little or no evidence of how to perform strategies and skills. -Makes many critical errors TEACHING ACT  Student Readiness  Interest  Preparation/ Subject Matter  Evaluation Adequately ensures readiness of all pupils for instruction Maintains students’ interest throughout the lesson Demonstrates effective preparation in the delivery of information Links evaluation to all objectives stated Makes significant attempt to ensure readiness of all pupils for instruction Maintains students’ interest for most of the lesson Demonstrates adequate preparation in the delivery of information Links evaluation to two objectives stated Makes minimal attempt to ensure readiness of all pupils for instruction Maintains students’ interest for a small portion of the lesson Demonstrates limited preparation in the delivery of information Links evaluation to one of the objectives stated Makes no attempt to ensure readiness of pupils for instruction Makes no effort to maintain students’ interest Demonstrates little preparation in the delivery of information Makes no link between evaluation and objectives Can you identify the components of the rubric?
  • 50.
    Authentic Assessment: AlternativesTo The Traditional Approach ___________________________________________________________________________ 43 PPEERRFFOORRMMAANNCCEE VVEERRSSUUSS TTRRAADDIITTIIOONNAALL AASSSSEESSSSMMEENNTT PPeerrffoorrmmaannccee aasssseessssmmeenntt hhaass ggaaiinneedd ppooppuullaarriittyy mmaa iinnllyy bbeeccaauussee ooff oovveerraallll ddiissssaattiissffaaccttiioonn wwiitthh ttrraaddiittiioonnaall ssttaannddaarrddiizzeedd tteessttiinngg pprroocceedduurreess ((DDuunnbbaarr,, KKoorreettzz aanndd HHoooovveerr,, 11999911)) aanndd ssppeecciiffiiccaallllyy ffaaccttuuaall oorriieenntteedd mmuullttiippllee--cchhooiiccee tteessttss ((SSwwaannssoonn,, NNoorrmmaann aanndd LLiinnnn,, 11999955)).. OOtthheerr ttyyppeess ooff ttrraaddiittiioonnaall tteessttiinngg wwoouulldd iinncc lluuddee tthhee bbaassiicc ssiitt--ddoowwnn--aatt--tthhee--ddeesskk--ppaappeerr--aanndd--ppeenncciill--tteessttss ssuucchh aass tthhee ffiillll iinn tthhee bbllaannkkss,, mmaattcchhiinngg,, aanndd ttrruuee//ffaallssee iitteemmss.. IInn tthhee AAnnttiigguuaann ccoonntteexxtt,, tthheerree iiss mmuucchh ccoonncceerrnn rreeggaarrddiinngg tthhee llooccaall hhiigghh ssttaakkeess eexxaammiinnaattiioonnss ssuucchh aass tthhee pprriimmaarryy aanndd ppoosstt pprriimmaarryy eexxaammiinnaattiioonnss.. MMuucchh rreesseeaarrcchh hhaass bbeeeenn ddoonnee iinn ppeerrffoorrmmaannccee aasssseessssmmeenntt iinn aann aatttteemmpptt ttoo ccoouunntteerr ssoommee ooff tthheessee ccoonncceerrnnss.. TThhee ffoolllloowwiinngg aarreeaass ooff ccoonncceerrnn eemmeerrggeedd ffrroomm tthhee lliitteerraattuurree:: 11.. SSaammpplliinngg aanndd ffoorrmmaatt 22.. FFaaiilluurree ttoo lliinnkk tteesstt ttoo ssppeecciiffiicc ccuurrrriiccuullaarr;; 33.. TTeessttss wwhhiicchh aarree eexxtteerrnnaall ttoo sscchhoooollss;; 44.. UUnnddeerr rreepprreesseennttaattiioonn ooff tthhee ppeerrffoorrmmaannccee ooff llooww ssoocciiooeeccoonnoommiicc eexxaammiinneess.. 11.. SSaammpplliinngg aanndd FFoorrmmaatt:: FFiirrsstt ooff aa llll,, BBaakkeerr ((11999966)) iiss ooff tthhee ooppiinniioonn tthhaatt ccoommmmeerrcciiaalliizzeedd ssttaannddaarrddiizzeedd tteessttss rreellyy ttoooo mmuucchh oonn ssaammpplliinngg ooff bbrrooaadd ccoonntteenntt aarreeaass.. TThhee rreessuulltt iiss tthhaatt iinnssttrruuccttiioonn iiss ffooccuusseedd oonn ccoovveerriinngg aa wwiiddee kknnoowwlleeddggee bbaassee ssuuppeerrffiicciiaallllyy.. TThheerree iiss aallssoo tthhee nneeggaattiivvee iimmppaacctt oonn tteeaacchhiinngg,, eessppeecciiaallllyy bbeeccaauussee ooff tthhee mmuullttiippllee-- cchhooiiccee ffoorrmmaatt.. TThhiiss iiss ccrriittiicc iizzeedd oonn tthhee ggrroouunnddss tthhaatt mmuullttiippllee cchhooiiccee iitteemmss lliimmiitt ssttuuddeennttss tthhiinnkkiinngg pprroocceesssseess,, ffooccuussiinngg oonn lloowweerr oorrddeerr iitteemmss ((HHaammbblleettoonn aanndd MMuurrpphhyy,, 11999922)) –– MMAAIINNLLYY RREECCAALLLL AANNDD CCOOMMPPRREEHHEENNSSIIOONN.. TThhiiss oonnllyy eennccoouurraaggeess tteeaacchheerrss ttoo ffooccuuss oonn tthhee ffaacctt--oonnllyy aapppprrooaacchh ((BBeeiimmeerr,, 11999922)) ssoo ssttuuddeennttss mmaayy bbee oovveerreexxppoosseedd ttoo ddrriillll ttyyppee lleeaarrnniinngg ttoo eennssuurree tthheeyy mmaasstteerr tthhee ffaaccttss.. TThheenn,, tthheeiirr ppeerrffoorrmmaannccee wwiillll bbee jjuuddggeedd oonn ssccoorreess ddeerriivveedd ffrroomm ssiimmppllyy aa ppeenn aanndd ppaappeerr tteesstt.. WWiiggggiinnss ((NNiicckkllee,, 11999922)) rreemmiinnddss uuss tthhaatt ppuuppiillss’’ eexxppeerriieennccee iinn tthhee rreeaall wwoorrlldd wwiillll nnoott bbee wwiitthh mmuullttiippllee cchhooiiccee,, bbuutt hhooww ttoo aacctt aass pprrooffeessssiioonnaallss aanndd pprroodduuccee iinn tthhee wwoorrkk ppllaaccee.. HHee tthheerreeffoorree bbeelliieevveess ppeerrffoorrmmaannccee aasssseessssmmeenntt wwiillll cchhaalllleennggee ssttuuddeennttss ttoo mmaakkee tthheemm uussee kknnoowwlleeddggee,, aass tthheeyy wwoouulldd bbee eexxppoosseedd ttoo aannaa llyyzziinngg iinnffoorrmmaattiioonn aanndd uussiinngg ccrriittiiccaall tthhiinnkkiinngg aanndd pprroobblleemm ssoollvviinngg sskkiillllss ttoo pprroodduuccee rraatthheerr tthheenn rreepprroodduuccee.. DDuunnbbaarr eett aall.. ((11999955)) jjuussttiiffyy tthhee ssccooppee ooff ppeerrffoorrmmaannccee aasssseessssmmeenntt ttoo pprroovviiddee iinnffoorrmmaattiioonn aabboouutt pprrooffiicciieennccyy oovveerr tthhee ttrraaddiittiioonnaa ll mmeetthhoodd.. AAss ssttaatteedd bbyy tthhee NNaattiioonnaall CCoommmmiitttteeee ffoorr SSoocc iiaall SSttuuddiieess ((NNCCSSSS,, 221166)),, ccllaassssrroooomm iinnssttrruuccttiioonn ““wwoouulldd ffooccuuss oonn ssuussttaaiinneedd iinn--ddeepptthh eexxaammiinnaattiioonn ooff ffeeww iimmppoorrttaanntt ttooppiiccss tthhaann oonn tthhee ssuuppeerrffiicc iiaa ll ccoovveerraaggee ooff mmaannyy””.. AAllssoo aaddmmiinniissttrraattiioonn ooff ppeerrffoorrmmaannccee tteessttss iiss ddyynnaammiicc aanndd pprroovviiddeess
  • 51.
    Authentic Assessment: AlternativesTo The Traditional Approach ___________________________________________________________________________ 44 ssccooppee ffoorr cchhaannggee aanndd ccoonnttiinnuuoouuss rreeccoorrddiinngg ooff bbeehhaavviioouurrss iinn aanndd oouutt ooff tthhee ccllaassssrroooomm.. AAddddiittiioonnaa llllyy,, tthheeyy pprroovviiddee iinnffoorrmmaattiioonn ttoo ppaarreennttss aabboouutt tthheeiirr cchhiillddrreenn’’ss ppeerrffoorrmmaannccee oovveerr ttiimmee.. 22.. FFaaiilluurree ttoo lliinnkk tteesstt ttoo ssppeecciiffiicc ccuurrrriiccuullaarr.. NNeexxtt,, tteesstt ddeevveellooppeerrss ddoo nnoott lliinnkk tteessttss ttoo ssppeecciiffiicc ccuurrrriiccuullaa ((NNiittkkoo,, 11999955)).. HHee nnootteess iinn tthhee lloonngg rruunn,, tthheeyy pprroodduuccee ppoooorr qquuaa lliittyy tteessttss.. TThhuuss,, tthhee iinntteerrpprreettaattiioonn ooff tthhee tteesstt ssccoorreess ddooeess nnoott pprroovviiddee aannsswweerraabbllee iinntteerrpprreettaattiioonnss,, ssoo ggeenneerraalliizzaabbiilliittyy iiss lliimmiitteedd.. TThhee vvaalliiddiittyy ooff aannyy tteesstt iiss ddeeppeennddeenntt oonn tthhee eexxtteenntt ttoo wwhhiicchh wweellll--ddeeffiinneedd oobbjjeeccttiivveess aarree ssuuppppoorrtteedd bbyy rreepprreesseennttaattiivvee iitteemmss//ttaasskkss,, ssoo tteeaacchheerrss mmuusstt bbee aawwaarree ooff tthheessee ggooaallss,, aanndd tthhee ppeerrffoorrmmaannccee tthhaatt iiss rreeqquuiirreedd.. WWiitthh ppeerrffoorrmmaannccee aasssseessssmmeenntt,, tteeaacchheerrss aarree eexxppeecctteedd ttoo kknnooww tthhee ssttaannddaarrddss.. IInn aaddddiittiioonn,, tthhee aaddvvooccaatteess iinnssiisstt tthhee tteeaacchheerrss bbee aa ppaarrtt ooff tteesstt ddeevveellooppmmeenntt aass tthheeyy kknnooww tthheeiirr ssttuuddeennttss,, aanndd tthhiiss ccoouulldd eennhhaannccee bbootthh iinnssttrruuccttiioonn aanndd lleeaarrnniinngg aanndd eevvaalluuaattiioonn.. 33.. TTeessttss wwhhiicchh aarree eexxttee rrnnaall ttoo sscchhoooollss TThheenn,, ccoouupplleedd wwiitthh tthhee tteesstt ccuurrrriiccuullaarr lliinnkk,, iiss tthhee ccoonncceerrnn tthhaatt ttrraaddiittiioonnaa ll ssttaannddaarrddiizzeedd tteessttss aarree eexxtteerrnnaall ttoo aannyy ppaarrttiiccuullaarr sscchhooooll ssyysstteemm.. TThheerree iiss sshhoorrttccoommiinngg iinn tthhee nnaattiioonnaall aasssseessssmmeenntt bbaasseedd ccuurrrriiccuulluumm.. SScchhoooollss mmaayy hhaavvee tthhee iirr oowwnn pprrooggrraammmmee,, bbuutt aarree eexxppeecctteedd ttoo mmeeeett sseett ddeemmaannddss iinn tthhee nnaattiioonnaa ll tteessttss;; ffoorr eexxaammppllee,, 1111++ eexxaammiinnaattiioonnss –– uunnlleessss aa lliinnkk iiss mmaaddee tthhrroouugghh aa NNaattiioonnaall HHaarrmmoonniizzeedd CCuurrrriiccuulluumm hhooww ddoo wwee kknnooww wwee aarree tteessttiinngg wwhhaatt iiss ttaauugghhtt iinn oouurr cc llaassssrroooommss.. TThhuuss,, tthhee ffooccuuss ooff wwhhaatt tteessttss ddeemmaanndd hhaass aa ddiissttoorrttiinngg eeffffeecctt oonn sscchhooooll ccuurrrriiccuullaarr,, nnaarrrroowwiinngg iitt ffuurrtthheerr ttoo bbaassiicc llooww--lleevveell sskkiillllss.. CCoonnsseeqquueennttllyy,, tteeaacchheerrss aarree ffoorrcceedd ttoo tteeaacchh ttoo tthhee tteesstt,, tthhaatt iiss,, tthhee iirr iinnssttrruuccttiioonnss aarree mmiirrrroorr iimmaaggeess ooff tthhee tteesstt ffoorrmmaatt ((BBaakkeerr,, 11999966)).. IImmppoorrttaanntt kknnoowwlleeddggee aanndd sskkiillllss aanndd eevveenn ssoommee ooff tthheeiirr ssttaatteedd oouuttccoommeess aarree iiggnnoorreedd ((NNiicckkeell,, 11999922)).. PPeerrffoorrmmaannccee aasssseessssmmeenntt pprroovviiddeess gguuiiddeess ttoo ffoosstteerr eeffffeeccttiivvee iinnssttrruuccttiioonnaa ll tteecchhnniiqquueess.. AAlltthhoouugghh tthhee rraannggee aanndd ssccooppee ffoorr ccuurrrriiccuulluumm--bbaasseedd oobbjjeeccttiivveess lliinnkkeedd ttoo tthheessee ssttrraatteeggiieess aarree ffoorrmmiiddaabbllee ttaasskkss,, oonnee hhooppeess tthhaatt tthhee ssttaattee ccaann aaddoopptt aa sseett ooff ssttaannddaarrddss,, tthheenn ssaannccttiioonn llooccaall aauutthhoorriittiieess ttoo eennssuurree ssttuuddeennttss aanndd tteeaacchheerrss kknnooww tthheessee ssttaannddaarrddss ((NNiittkkoo,, 11999955)).. IItt iiss tthhee wwrriitteerr’’ss vviieeww tthhaatt tthhee aaddvvaannttaaggeess ttoo ssttuuddeennttss wwoouulldd bbee lleessss tteesstt aannxxiieettyy,, aanndd ggrreeaatteerr ssttuuddeenntt iinnvvoollvveemmeenntt iinn hhiigghheerr--lleevvee ll tthhiinnkkiinngg aanndd mmeettaaccooggnniittiivvee sskkiillllss –– iinn wwhhiicchh tthheeyy wwoouulldd bbee iinnvvoollvveedd iinn ‘‘ppllaannnniinngg aanndd mmoonniittoorriinngg tthhee iirr ccooggnniittiivvee ssttrraatteeggiieess aanndd aawwaarreenneessss’’..
  • 52.
    Authentic Assessment: AlternativesTo The Traditional Approach ___________________________________________________________________________ 45 44.. UUnnddee rr rree pprreesseennttaattiioonn ooff tthhee ppee rrffoorrmmaannccee ooff llooww ssoocciiooeeccoonnoommiicc eexxaammiinneess FFiinnaallllyy,, ssttaannddaarrddiizzeedd tteessttss llaacckk ffaaiirrnneessss ((BBaakkeerr,, 11999966)).. SSppeecciiffiiccaallllyy,, tthheeyy hhaavvee uunnddeerrrreepprreesseenntteedd tthhee ppeerrffoorrmmaannccee ooff llooww--ssoocciiooeeccoonnoommiicc ssttuuddeennttss,, wwhhoo hhaavvee aallwwaayyss ppeerrffoorrmmeedd lleessss wweellll tthhaann tthhee ssttuuddeennttss iinn tthhee hhiigghheerr ssoocciioo--eeccoonnoommiicc ggrroouuppss.. SSoommee aarreeaass ooff ccoonncceerrnn aarree tthhee nnoorrmmss ffoorr iinntteerrpprreettiinngg tthhee tteessttss,, ccoonntteenntt bbiiaass,, aanndd llaanngguuaaggee ddeemmaannddss ooff tthhee iitteemmss.. SSoommee ggrroouuppss ooff ssttuuddeennttss aarree aatt aa ddiissaaddvvaannttaaggee –– mmaannyy hhaavvee bbeeeenn tteerrmmeedd ‘‘aatt--rriisskk’’ ((HHaammbblleettoonn aanndd MMuurrpphhyy,, 11999922)) aanndd iinn ssoommee ccaasseess ssttuuddeennttss hhaavvee bbeeeenn ppllaacceedd iinn ccllaasssseess ffoorr tthhee mmeennttaallllyy rreettaarrddeedd.. AAss BBiieemmeerr ((11999933)) ssttaatteess,, tthhee vvaalliiddiittyy ooff ssttaannddaarrddiizzeedd nnoorrmm--rreeffeerreenncceedd tteessttss wweerree ssuucchh tthhaatt iitt wwaass ttaakkeenn ffoorr ggrraanntteedd ““cchhiillddrreenn ddoonn’’tt kknnooww vveerryy mmuucchh””.. AAllll wwee ggeett aaccccoorrddiinngg ttoo BBoonndd ((11999955)) iiss aa ssnnaapp sshhoott ooff tthheeiirr aacchhiieevveemmeenntt.. OOnn tthhee ootthheerr hhaanndd,, ppeerrffoorrmmaannccee aasssseessssmmeenntt ssttrraatteeggiieess hhaavvee bbeeeenn uusseedd aammoonngg ‘‘aatt rriisskk’’ ssttuuddeennttss wwiitthh pprroommiissiinngg rreessuullttss.. TThheerree iiss eevviiddeennccee ttoo sshhooww tthhaatt pprroojjeecctt bbaasseedd aassssiiggnnmmeennttss aanndd ppoorrttffoolliioo ccaann mmoottiivvaattee ssttuuddeennttss aanndd iimmpprroovvee tteeaacchhiinngg aanndd lleeaarrnniinngg ((AAddaammss aanndd HHaammmm,, 11999922;; LLee MMaahhiieeuu,, GGiittoommeerr aanndd EErraasshh,, 11999955)).. GGeenneerraallllyy,, tthhee iirr sseellff--eesstteeeemm aanndd sseellff ccoonnffiiddeennccee aarree eennhhaanncceedd,, aass eevvaalluuaattiioonn ooff tthheeiirr wwoorrkk iinnddiiccaattee iimmpprroovveemmeenntt iinn ppeerrffoorrmmaannccee.. IItt iiss wwiiddee llyy aacccceepptteedd tthhaatt eevveenn iiff ppeerrffoorrmmaannccee aasssseessssmmeenntt ddooeess nnoott rreeppllaaccee ttrraaddiittiioonnaall tteessttiinngg mmeetthhooddss,, tthhee aapppprrooaacchh ccaann hhaavvee aa mmoorree ppoossiittiivvee eeffffeecctt oonn tteeaacchhiinngg lleeaarrnniinngg aanndd eevvaalluuaattiioonn.. TThhee CCaarriibbbbeeaann EExxaammiinnaattiioonnss CCoouunncciill ((CCXXCC)) hhaass uusseedd bbootthh tthhee ttrraaddiittiioonnaall aanndd tthhee aalltteerrnnaattiivvee aapppprrooaacchh iinn tthhee aasssseessssmmeenntt ooff sseevveerraall ooff tthheeiirr eexxaammiinnaattiioonnss wwiitthh ppoossiittiivvee bbeenneeffiittss.. HHoowweevveerr,, tthheerree aarree pprroobblleemmss,, wwhhiicchh nneeeedd ttoo bbee ccoonnssiiddeerreedd wwhheenn uussiinngg ppeerrffoorrmmaannccee aasssseessssmmeenntt ssttrraatteeggiieess.. AAmmoonngg tthheessee pprroobblleemmss aarree eessttaabblliisshhiinngg ((ii)) rree lliiaabbiilliittyy,, ((iiii)) ccoommppaarraabbiilliittyy aanndd ((iiiiii)) ffaaiirrnneessss.. PPaarrtt 22:: ((ii)) RRee lliiaabbiilliittyy IInn tthhee ccoonntteexxtt ooff ppeerrffoorrmmaannccee aasssseessssmmeenntt,, rreelliiaabbiilliittyy rreellaatteess ttoo tthhee eexxtteenntt tthhaatt mmeeaassuurreess ooff ppeerrffoorrmmaannccee aasssseessssmmeenntt aarree ccoonnssiisstteenntt oorr aaggrreeeeaabbllee bbeettwweeeenn rraatteerrss oonn tthhee ssaammee ttaasskk,, oorr oonn sseevveerraall iinnddeeppeennddeenntt ssccoorreess ooff tthhee ssaammee rraatteerr ((DDuunnbbaarr,, KKoorreettzz aanndd HHoooovveerr 11999911)),, oorr tthhee aaccccuurraaccyy ooff tthhee mmeeaassuurriinngg iinnssttrruummeenntt ((KKeerrlliinnggeerr 11998866)) wwhhiicchh iinncc lluuddeess tthhee aaddeeqquuaaccyy aanndd tthhee aapppprroopprriiaatteenneessss ooff ccoonntteenntt ttoo bbee uusseedd oovveerrttiimmee oorr bbeettwweeeenn ffoorrmmss.. TThhuuss ssccoorriinngg pprroocceedduurreess aanndd tthhee iinntteerrpprreettaattiioonn ooff tthhee ssccoorreess ((SSwwaannssoonn,, NNoorrmmaann,, LLiinnnn 11999955)) aarree vveerryy iimmppoorrttaanntt..
  • 53.
    Authentic Assessment: AlternativesTo The Traditional Approach ___________________________________________________________________________ 46 RRaatteerrss ooff ppeerrffoorrmmaannccee aasssseessssmmeenntt ccaann bbee tteeaacchheerrss,, bboosssseess,, ppeeeerrss oorr tthhee eexxaammiinneess tthheemmsseellvveess.. TThhiiss rraattiinngg//ggrraaddiinngg ccaannnnoott bbee ddoonnee bbyy mmaacchhiinneess,, nnoorr iiss tthheerree oonnee--rriigghhtt aannsswweerr rreessppoonnssee aass rreeqquuiirreedd ooff oobbjjeeccttiivvee ttyyppee tteessttss.. SSuubbjjeeccttiivviittyy -- oonn aaccccoouunntt ooff bbiiaass,, iinneexxppeerriieennccee,, llaacckk ooff ttrraaiinniinngg,, ssee llff--iinntteerreesstt,, eemmoottiioonnaa ll iinnvvoollvveemmeenntt oorr llaacckk ooff ccoonnffiiddeennccee -- iiss aa llaarrggee ppaarrtt ooff hhuummaann jjuuddggmmeenntt,, aanndd tthhuuss,, hhaass aa ggrreeaatt iimmppaacctt oonn tthhee rreelliiaabbiilliittyy ooff ppeerrffoorrmmaannccee aasssseessssmmeenntt.. TThheerreeffoorree iitt iiss aaddvviisseedd tthhaatt rraatteerrss bbee ttrraaiinneedd aanndd ggiivveenn tthhee eexxppeerriieennccee iinn ssttaannddaarrddiizzeedd sseessssiioonnss wwhhiicchh ffooccuuss tthhee iirr sskkiillllss oonn tthhee ccrriitteerriiaa ffoorr mmeeaassuurriinngg ppeerrffoorrmmaannccee.. HHaarrtt ((11999944)) aallssoo ssuuggggeessttss ggrroouupp ggrraaddiinngg iinnsstteeaadd ooff rreellyyiinngg oonn oonnee ssccoorree ttoo aasssseessss ssttuuddeennttss’’ ppeerrffoorrmmaannccee.. IInn rreellaattiioonn ttoo nnuummbbeerr ooff rraatteerrss,, rreessppoonnssee ssttyylleess ccaann bbee aass ddiiffffeerreenntt aass tthhee nnuummbbeerr ooff eexxaammiinneeeess.. SSoo tthheerree iiss ccoonncceerrnn iinn ddeevvee llooppiinngg ssccoorriinngg kkeeyyss ttoo mmeeaassuurree ssaattiissffaaccttoorryy ssaammpplleess ooff tthheessee ppoossssiibbllee bbeehhaavviioouurrss//rreessppoonnsseess ccoommppeetteennttllyy ((SSwwaannssoonn,, NNoorrmmaann,, LLiinnnn 11999955)).. KKoonn aanndd MMaarrttiinn--KKnniieepp ((11999922)) ssuuggggeesstt tthhaatt tthhee rraannggee ooff aacccceeppttaabbllee rreessppoonnsseess ccaann bbee ddeeffiinneedd oonn aa pprreeccooddeedd lliisstt aatt tthhee oonnsseett.. TThhiiss wwoouulldd mmiittiiggaattee tthhee vvaarriiaannccee aass aa rreessuulltt ooff ddiiffffeerriinngg iinntteerrpprreettaattiioonn ooff uunneexxppeecctteedd rreessppoonnsseess.. TThhee pprroobblleemm bbee iinngg tthhaatt iitt iiss nnoott ppoossssiibbllee ttoo lliisstt aallll ppoossssiibbllee rreessppoonnsseess ffoorr aannyy oonnee--tteesstt sseessssiioonn.. AAddddiittiioonnaa llllyy,, llooww rreelliiaabbiilliittyy ccaann rreessuulltt ffrroomm tthhee uussee ooff tthhee mmeeaassuurriinngg iinnssttrruummeenntt -- cchheecckklliisstt,, qquueessttiioonnnnaa iirree,, oorr oobbsseerrvvaattiioonn sscchheedduullee.. TThhiiss ccaann bbee aaffffeecctteedd bbyy tthhee llaacckk ooff ssppeecciiffiicc ccrriitteerriiaa;; tthhee ccoonnddiittiioonnss uunnddeerr wwhhiicchh tthhee tteesstt iiss ccoonndduucctteedd aanndd tthhee nnuummbbeerr ooff ppooiinnttss oonn tthhee ssccaalleess ((DDuunnbbaarr,, KKoorreettzz,, HHoooovveerr 11999911;; KKoonn aanndd mmaarrttiinn--KKnniieepppp 11999922)).. TThhee hhoolliissttiicc mmeetthhoodd hhaass bbeeeenn pprroovveenn ttoo bbee lleessss rreelliiaabbllee :: tthhee gguuiiddee lliinneess ffoorr mmaarrkkiinngg aarree bbrrooaadd oorr nnoonn--eexxiisstteenntt ssoo ssccoorriinngg iiss mmoorree ssuubbjjeeccttiivvee tthhaann iiff tthhee ccrriitteerriiaa ffoorr ssccoorriinngg eeaacchh bbeehhaavviioouurr//rreessppoonnssee wweerree vveerryy ssppeecciiffiicc.. AA ggoooodd eexxaammppllee ccaann bbee ttaakkeenn ffrroomm tthhee uussee ooff mmaarrkkiinngg sscchheemmeess ffoorr mmaarrkkiinngg eessssaayyss,, wwhhiicchh pprroodduuccee mmoorree rreelliiaabbllee ssccoorreess tthhaann mmaarrkkiinngg eessssaayyss bbyy jjuusstt rreeaaddiinngg hhoolliissttiiccaallllyy ((GGrroonnlluunndd 11998811)).. DDuunnbbaarr eett aall.. ((11999911)) ffoouunndd tthhaatt aa tteesstt wwiitthh ssppeecciiffiicc ccrriitteerriiaa ,, wwhhiicchh hhaadd rreelliiaabbiilliittyy ccoo-- eeffffiicciieenntt ooff ..9911 iinn aa ccoonnttrroolllleedd eexxppeerriimmeennttaall ccoonnddiittiioonn,, wwaass ..6677 ffoorr aa ffiieelldd ssttuuddyy;; aa 1100--ppooiinntt hhoolliissttiicc ssccaallee iinn tthhee ssaammee ccoonnddiittiioonn ggaavvee aa ccoo--eeffffiicciieenntt ooff ..3333.. TThhee lleennggtthh ooff tthhee tteesstt,, tthhee ttaasskk ssaammppllee,, aanndd aaddddiittiioonnaa ll rraatteerrss aarree ccrriittiiccaa ll iissssuueess iinn tthhee rreelliiaabbiilliittyy ooff tthhee tteesstt ((DDuunnbbaarr eett aall.. 11999911)).. TThhee mmaaiinn ccoonncceerrnn hheerree iiss tthhee ddeeggrreeee ttoo wwhhiicchh tthhee rraatteerr ccaann ‘‘gguueessss’’ hhiiss wwaayy oouutt ((aass tthhee eexxaammiinneeee)) iinn aann oobbjjeeccttiivvee tteesstt –– ppaarrttiiccuullaarrllyy aa mmuullttiippllee cchhooiiccee tteesstt.. AA lloonnggeerr tteesstt wwiillll ccuutt ddoowwnn oonn tthhee cchhaannccee ooff eerrrroorr ffrroomm gguueessssiinngg.. DDuunnbbaarr eett aall.. ((11999911)) iinnddiiccaattee tthhaatt tthhee aaddddiittiioonn ooff ttaasskkss ccaauusseess tthhee ttrruussttwwoorrtthhiinneessss ooff aa tteesstt ttoo iimmpprroovvee aass ssccoorree rreelliiaabbiilliittiieess iinnccrreeaassee sstteeaaddiillyy.. HHoowweevveerr,, tthhee iinnccrreeaassee ooff rreelliiaabbiilliittyy ooff aaddddiittiioonnaa ll rraatteerrss ddeeppeennddss aa ggrreeaatt ddeeaall oonn tthhee ccoommppaarraattiivvee aannaallyyssiiss ooff rraatteerrss aanndd ssccoorreess.. TThhee nnaattuurree ooff ppeerrffoorrmmaannccee aasssseessssmmeenntt wwoouulldd ccaauussee tthhee pprroocceesssseess ttaakkeenn ttoo iimmpprroovvee rreelliiaabbiilliittyy ttoo bbee vveerryy ccoossttllyy aanndd ttiimmee ccoonnssuummiinngg ((SSwwaannssoonn eett aall.. 11999955)).. IItt iiss nnoott aass eeaassyy aass ttaakkiinngg iitteemmss ffrroomm aann iitteemm bbaannkk oorr jjuusstt
  • 54.
    Authentic Assessment: AlternativesTo The Traditional Approach ___________________________________________________________________________ 47 pprroovviiddiinngg aa kkeeyy ooff ccoorrrreecctt rreessppoonnsseess.. TToo uussee aaddddiittiioonnaa ll rraatteerrss iinn ppeerrffoorrmmaannccee aasssseessssmmeenntt,, eexxttrraa ttoooollss,, eeqquuiippmmeenntt aanndd ttrraaiinniinngg aarree rreeqquuiirreedd.. IInn ppeerrffoorrmmaannccee aasssseessssmmeenntt,, tthheerree mmuusstt bbee aa rreellaattiioonnsshhiipp bbeettwweeeenn ttaasskk,, ttaasskk ddoommaa iinn,, ppeerrffoorrmmaannccee pprroocceessss aanndd eevvaalluuaattiioonn ccrriitteerriiaa.. IItt iiss nnoottiicceeaabbllee tthhaatt wwhheerree tthhiiss rreellaattiioonnsshhiipp iiss nnoott cclleeaarr,, tthhee rreelliiaabbiilliittyy iiss aaffffeecctteedd nneeggaattiivvee llyy.. TThheerree aarree hhoowweevveerr,, mmeetthhooddss iinn mmiinniimmiizziinngg vvaarriiaannccee oorr eerrrroorrss iinn ssccoorreess;; ppaarrttiiccuullaarrllyy bbyy pprreeppaarriinngg ssppeecciiffiicc ccrriitteerriiaa ffoorr ssttaannddaarrddss,, oorr rruubbrriiccss pprroovviiddiinngg aapppprroopprriiaattee ttaasskk ssaammpplleess iinn qquuaalliittyy aanndd aammoouunntt aanndd ttrraaiinniinngg rraatteerrss ttoo mmeeaassuurree bbeehhaavviioouurrss//rreessppoonnsseess mmoorree ccoommppeetteennttllyy.. DDeessppiittee tthhee ssttrreennggtthh ooff tthheessee mmeetthhooddss iinn eennssuurriinngg rreelliiaabbiilliittyy,, tthheerree aarree ssoommee ccoonncceerrnnss ffoorr tthhee ccoommppaarraabbiilliittyy ooff ppeerrffoorrmmaannccee,, ffrroomm yyeeaarr ttoo yyeeaarr,, wwiitthhiinn ggrroouuppss aanndd bbeettwweeeenn ggrroouuppss.. TThheerree iiss aa nneeeedd ffoorr tthhee ssuubbttllee ccoonnttrrooll ooff tteecchhnniiccaall pprroobblleemmss iinnhheerreenntt iinn ccoonnssttrruuccttiinngg ppaarraallllee ll ttaasskkss aanndd ccrriitteerriiaa oorr ssttaannddaarrddss aanndd cchhaannggee ssppeecciiffiiccaattiioonnss,, bbeeccaauussee ooff tthhee iinnfflluueennccee oonn ssttuuddeenntt ppeerrffoorrmmaannccee.. ((iiii)) CCoommppaarraabbiilliittyy FFiirrsstt ooff aallll,, ssccoorreess ccaannnnoott bbee ccoommppaarraabbllee iiff tthheeyy ddoo nnoott mmeeaann tthhee ssaammee tthhiinngg ((GGrreeeenn 11999955)).. AAtt ssoommee ttiimmee,, tthheerree mmaayy bbee aa sshhiifftt iinn ttooppiiccss oorr ttaasskk,, aanndd tthhiiss cchhaannggee mmaayy nnoott bbee aaccccoouunntteedd ffoorr iinn tthhee tteesstt ssppeecciiffiiccaattiioonnss.. AAddddiittiioonnaa llllyy,, aallll tteesstt ddeevveellooppeerrss mmaayy nnoott bbee aawwaarree ooff tthheessee cchhaannggeess tthhaatt aarree mmaaddee iinn tteesstt ssppeecciiffiiccaattiioonnss.. TThhuuss ttaasskkss ccaann hhaarrddllyy bbee ttrruullyy eeqquuiivvaa lleenntt ffoorrmmss aaccrroossss ggrroouuppss.. TThhee mmoosstt eeffffeeccttiivvee mmeetthhoodd ttoo eennssuurree eeqquuiittyy iiss ttoo ccoonnssttrruucctt tteesstt ssppeecciiffiiccaattiioonnss eeqquuaattiinngg iitteemmss//ccoonnssttrruuccttss ffrroomm oonnee ttaasskk ddoommaa iinn uusseedd oovveerr ttiimmee aanndd bbeettwweeeenn ggrroouuppss oorr sscchhoooollss.. TThhee ccrriitteerriiaa ooff rruubbrriiccss sshhoouulldd rreellaattee ccoommppaarraattiivveellyy ttoo nneeww ttooppiiccss.. FFoorr eexxaammppllee tthhee ccoonnddiittiioonnss uunnddeerr wwhhiicchh tthheessee ttaasskkss aarree pprroocceesssseedd sshhoouulldd nnoott vvaarryy ttoooo wwiiddee llyy.. IInn tthheessee ddiiffffeerriinngg ccoonnddiittiioonnss,, rraatteerrss’’ ssuubbjjeeccttiivvee iinntteerrpprreettaattiioonnss ooff ssttaannddaarrddss aanndd ssttuuddeennttss’’ rreessppoonnsseess wwiillll aaffffeecctt tthhee uussaabbiilliittyy ooff tthhee mmeeaassuurreess –– tthhiiss mmaakkeess eeqquuaattiinngg ssccoorreess qquueessttiioonnaabbllee.. TThhee nnaattuurree ooff ppeerrffoorrmmaannccee aasssseessssmmeenntt iiss ddyynnaammiicc –– nnoott sseeccuurree aanndd sseeccrreett lliikkee ttrraaddiittiioonnaa ll ssttaannddaarrddiizzeedd tteesstt.. SSttuuddeennttss aanndd tteeaacchheerrss mmuusstt bbee aawwaarree ooff tthhee rreeqquuiirreemmeennttss//ssttaannddaarrddss.. GGrreeeenn ((11999955)) iiss ooff tthhee vviieeww tthhaatt eexxppoossuurree ttoo ssaammppllee ttaasskkss ccaann iinnfflluueennccee ssttuuddeenntt ppeerrffoorrmmaannccee.. TThhiiss ppeerrffoorrmmaannccee tthheenn mmaayy nnoott bbee aa ttrruuee rreefflleeccttiioonn ooff tthhee iirr kknnoowwlleeddggee oorr aapppplliiccaattiioonn ooff tthhee ttaasskk.. IItt iiss oobbvviioouuss,, tthhaatt ssoommee ssttuuddeennttss mmaannyy bbee ddiissaaddvvaannttaaggeedd bbeeccaauussee ooff tthhee qquuaalliittyy aanndd aammoouunntt ooff eexxppoossuurree aaffffoorrddeedd tthheemm.. ((iiiiii)).. FFaaiirrnnee ssss FFaaiirrnneessss sshhoouulldd bbee aa ssttrroonngg ppooiinntt ooff ppeerrffoorrmmaannccee aasssseessssmmeenntt.. HHoowweevveerr,, tthhee ssaammee ffaaccttoorrss wwhhiicchh aarree uusseedd ttoo eennssuurree ffaaiirrnneessss ccaann lleeaavvee lloooopphhoolleess ffoorr bbiiaass..
  • 55.
    Authentic Assessment: AlternativesTo The Traditional Approach ___________________________________________________________________________ 48 IItt iiss eexxppeecctteedd tthhaatt tthheessee aasssseessssmmeennttss wwiillll bbee ccoonndduucctteedd oonn aa nnaattiioonnaa ll lleevveell.. IInn tthhiiss ccoonntteexxtt iiddeennttiiccaall ssccoorriinngg ((BBoonndd 11999955)) tthhaatt iiss,, ssccoorriinngg ddoonnee aatt tthhee ssaammee ttiimmee iiss nnoott ppoossssiibbllee.. AAtt tthhee ssaammee ttiimmee ,, aa llaarrggee pprrooppoorrttiioonn ooff mmaarrkkeerrss wwiillll bbee uusseedd aanndd hhuummaann jjuuddggmmeenntt ccaann bbee jjuusstt aass vvaarriieedd.. TThhee iinntteerrpprreettaattiioonn ooff rreessppoonnssee ssttyyllee iiss ooppeenn ttoo rraatteerr’’ss bbiiaass aanndd ssuubbjjeeccttiivviittyy.. TThhiiss ccaann bbee uunnffaaiirr ttoo ssttuuddeennttss wwhheenn tthhee ssaammee iinntteerrpprreettaattiioonn iiss uusseedd iinn mmaakkiinngg ccoommppaarriissoonnss aaccrroossss ccoonnddiittiioonnss pprreesseenntt iinn tthhee ddiiffffeerreenntt sscchhooooll sseettttiinnggss aanndd ffoorr ppuubblliicc aaccccoouunnttiinngg ((GGuuiioonn 11999955)).. BBaakkeerr ((11999955)) aallssoo ppaarraallllee llss tthhiiss ttoo iinneeqquuiittyy ooff ooppppoorrttuunniittiieess ttoo ffuunnccttiioonn iinn ssiimmiillaarr eennvviirroonnmmeennttaall ccoonnddiittiioonnss.. TThheerree iiss aallwwaayyss tthhee lliikkeelliihhoooodd ooff iinneeqquuiittyy bbeettwweeeenn oovveerrccrroowwddeedd sscchhoooollss wwiitthh iinnaaddeeqquuaattee mmaatteerriiaallss aanndd rreessoouurrcceess vveerrssuuss tthhee mmoorree ccoommffoorrttaabbllee aaddeeqquuaattee ccllaassssrroooommss oorr ccoonnddiittiioonnss ooff tthhee uuppppeerr ssoocciioo--eeccoonnoommiicc ggrroouuppss.. TThheerree iiss tthheerreeffoorree tthhee nneeeedd ffoorr cclleeaarr ssccoorriinngg ccrriitteerriiaa ((KKoonn aanndd mmaarrttiinn--KKnniieepppp 11999922)).. TThhee rreesseeaarrcchheerrss rreeiitteerraattee tthhee iimmppoorrttaannccee ooff lleettttiinngg ssttuuddeennttss,, tteeaacchheerrss aanndd rraatteerrss kknnooww tthhee rreeqquuiirreemmeennttss.. HHoowweevveerr,, iiff tthhee ssttaannddaarrddss aarree aarrbbiittrraarryy tthheeyy wwiillll llaacckk oobbjjeeccttiivviittyy ooff hhuummaann jjuuddggmmeenntt.. TThhuuss ssppeecciiffiicciittyy ooff ccrriitteerriiaa iiss nneecceessssaarryy iinn oorrddeerr ttoo ggiivvee eeaacchh eexxaammiinneeee aa ffaaiirr cchhaannccee.. TThhiiss iiss tthhee eelleemmeenntt ooff ffaaiirrnneessss,, aanndd WWiiggggiinnss ((HHaarrtt 11999944)) ssttaatteess tthhaatt tthhiiss iiss nneecceessssaarryy iiff oouurr mmaaiinn ggooaa ll iiss ttoo mmaakkee ssttuuddeennttss ssuucccceeeedd.. FFaaiirrnneessss iiss aallssoo iinnccrreeaasseedd wwhheenn tthhee tteesstt ddeevveellooppeerrss ccoonnssiiddeerr tthhee ssccaallee aanndd iittss aapppprroopprriiaatteenneessss iinn ddiiffffeerreenntt tteesstt ccoonnddiittiioonnss ((DDuunnbbaarr eett aall.. 11999911));; ccooggnniizzaanntt ooff wwhhaatt iiss eexxppeecctteedd ooff ssttaannddaarrddss iinn tteerrmmss ooff ttooppiiccss,, aanndd ddeemmaannddss ooff tthhee sscchhooooll ccuurrrriiccuulluumm.. SSuummmmaarryy:: IItt iiss aallwwaayyss iimmppoorrttaanntt ttoo ccoonnssiiddeerr tthhee iinnddiivviidduuaall ddiiffffeerreenncceess ooff ssttuuddeennttss:: iinntteerreesstt,, aabbiilliittyy,, aanndd ssoocciioo--eeccoonnoommiicc bbaacckkggrroouunnddss ttoo pprroovviiddee mmeeaanniinnggffuull ffaaiirr aasssseessssmmeenntt.. FFiirrsstt ooff aallll tthheerree mmuusstt bbee aa rreellaattiioonnsshhiipp bbeettwweeeenn iinnssttrruuccttiioonn aanndd aasssseessssmmeenntt ssoo tthhee aapppprroopprriiaattee ttaasskk ddoommaaiinn mmuusstt bbee sseelleecctteedd.. SSeeccoonnddllyy,, iinn sseelleeccttiinngg ttaasskk ddoommaaiinnss,, tteeaacchheerrss mmuusstt ccoonnssiiddeerr tthhee rreelleevvaannccee ttoo tthheeiirr ssiittuuaattiioonn aanndd aallssoo aasssseessss tthhee mmaatteerriiaall aanndd rreessoouurrcceess ttoo uussee iinn tthheeiirr ccoonnddiittiioonnss;; ffoorr ttoooo lloonngg tteessttss hhaavvee pprroovveenn ttoo bbee bbiiaass aaggaaiinnsstt lloowweerr ssoocciioo--eeccoonnoommiicc ggrroouupp.. TThheerree iiss aa ccoonnsseennssuuss aammoonngg tthhee aaddvvooccaatteess tthhaatt ppeerrffoorrmmaannccee aasssseessssmmeenntt cchhaannggeess tthhee aattmmoosspphheerree ooff tthhee ccllaassssrroooomm aanndd iimmpprroovveess lleeaarrnniinngg.. IItt iiss nnoottiicceeaabbllee hhoowweevveerr,, hhooww pprroobblleemmaattiicc aaccccoouunnttaabbiilliittyy ccaann bbee.. AAss BBaakkeerr ((11999955,, 119977)) ppuuttss iitt ““TThheerree iiss ssttiillll ssuubbssttaannttiiaall ggaapp bbeettwweeeenn tthhee rrhheettoorriicc aanndd tthhee mmeeaassuurreemmeenntt rreeaalliittyy ooff ppeerrffoorrmmaannccee aasssseessssmmeenntt””.. TThheerree iiss ssttiillll aa lloott ooff wwoorrkk ttoo bbee ddoonnee ttoo ssuuppppoorrtt tthhee ccllaaiimmss aanndd eennssuurree aa hhiigghheerr ddeeggrreeee ooff rreelliiaabbiilliittyy,, ccoommppaarraabbiilliittyy aanndd ffaaiirrnneessss aanndd aabboovvee aallll aaccccoouunnttaabbiilliittyy..
  • 56.
    Authentic Assessment: AlternativesTo The Traditional Approach ___________________________________________________________________________ 49 PPoorrttffoolliioo AAsssseessssmmeenntt:: IItt iiss ooff iimmppoorrttaannccee ttoo nnoottee tthhaatt tthhee uussee ooff ppoorrttffoolliioo wwaass aa mmaajjoorr ffeeaattuurree ooff aarreeaass ssuucchh aass aarrtt aanndd aarrcchhiitteeccttuurree aanndd bbuussiinneessss cciirrcclleess.. HHoowweevveerr,, iinn rreecceenntt ttiimmeess iitt hhaass bbeeccoommee qquuiittee aa uusseeffuull aasssseessssmmeenntt ttooooll iinn eedduuccaattiioonn aass aalltteerrnnaattiivveess ttoo tthhee ttrraaddiittiioonnaall ffoorrmmss ooff tteessttiinngg aarree aaddvvooccaatteedd.. DDoo YYoouu HHaavvee AAnn IInntteerreesstt iinn IInnttrroodduucciinngg PPoorrttffoolliioo TToo YYoouurr SSttuuddeennttss?? AA ppoorrttffoolliioo ccaann bbee iinn tthhee ffoorrmm ooff aa bbooxx,, ffoollddeerr,, oorr bbiinnddeerr.. WWhhaatteevveerr tthhee ffoorrmm,, iitt wwoouulldd ccoonnttaaiinn ssaammpplleess ooff ssttuuddeennttss’’ wwoorrkk;; ffoorr eexxaammppllee,, ppiiccttuurreess,, pprroobblleemm ssoollvviinngg wwoorrkk iinn ssttaaggeess ffrroomm tthhee iiddeennttiiffiiccaattiioonn ooff tthhee pprroobblleemm ttoo tthhee ssoolluuttiioonn,, ttaappeess,, oorr ssttuuddeennttss’’ wwrriittiinngg.. GGeenneerraallllyy,, iitt mmuusstt hhaavvee eevviiddeennccee ooff aa vvaarriieettyy ooff rreessoouurrcceess,, aaccttiivviittiieess aanndd iinnvveessttiiggaattiioonnss ((AAddaamm aanndd HHaammmm 11999922)) aanndd ccaann bbee ffoorr pprreesseennttaattiioonn ttoo tteeaacchheerrss,, sscchhoooollmmaatteess oorr ccoommmmuunniittyy mmeemmbbeerrss ((SSttoorrmmss eett aall.. 11999966)).. TTwwoo mmaa iinn ppuurrppoosseess ccaann bbee iiddeennttiiffiieedd:: ((DDaanniieellssoonn aanndd AAbbrruuttyynn 11999977;; LLiinnnn aanndd GGrroonnlluunndd 22000000;;)) 11.. IInnssttrruuccttiioonnaall aa.. TToo hheellpp ssttuuddeennttss ddeevveelloopp aanndd rreeffiinnee sseellff--eevvaalluuaattiivvee sskkiillllss bb.. TToo pprroovviiddee ooppppoorrttuunniittyy ffoorr ss ttuuddeenntt--ddiirreecctteedd ccoonnffeerreennccee:: wwiitthh ppaarreennttss ,, tteeaacchheerrss aanndd ootthheerr ssttuuddeennttss 22.. AAsssseessss mmeenntt aa.. DDiiaaggnnooss ttiicc // FFoorrmmaatt iivvee ii.. TToo eevvaalluuaattee pprrooggrreessss aanndd // oorr pprroovviiddee ooppppoorrttuunniittiieess ffoorr iimmpprroovvee mmeenntt bb.. SSuummmmaattiivvee ii.. FFoorr ggrraadduuaattiioonn,, cceerrttiiffiiccaatt iioonn oorr eennttrryy iinnttoo ccoolllleeggee TTyyppeess ooff PP oorrttffoolliiooss ((DDaanniiee llssoonn aanndd AAbbrruuttyynn 11999977)) 11.. WWoorrkkiinngg ppoorrttffoolliiooss:: CCoonnttaaiinnss wwoorrkk iinn pprrooggrreessss aass wweellll aass ffiinniiss hheedd ss aammpplleess ooff wwoorrkk.. NN..BB.. IItt iiss NNOOTT aa wwoorrkk ffoo llddeerr wwhhiicchh iiss aa hhoollddeerr ffoorr aallll wwoorrkk wwiitthh nnoo ppaarrttiiccuullaa rr ppuurrppoossee aass gguuiiddee 22.. DDiissppllaayy ((BBeesstt WWoorrkk)) ppoorrttffoolliiooss :: AAnn eexxhhiibb iittiioonn ooff ssttuuddeennttss’’ bbeesstt wwoorrkk iinn aa ppaarrttiiccuullaarr aa rreeaa -- tthhaatt wwhhiicchh mmaa kkeess tthheemm pprroouudd.. SSttuuddeennttss uuss uuaallllyy sseelleecctt tthhee ppiieecceess.. 33.. AAsssseessss mmeenntt ppoorrttffoolliiooss :: DDooccuummeennttaattiioonn ooff wwhhaatt ssttuuddeennttss hhaavvee lleeaarrnneedd.. SSttuuddeennttss ’’ sseelleeccttiioonn iiss iinnfflluueenncceedd bbyy tthhee ccoonntteenntt ooff tthhee ccuurrrriiccuulluu mm..
  • 57.
    Authentic Assessment: AlternativesTo The Traditional Approach ___________________________________________________________________________ 50 SSoommee PPoottee nnttiiaall SSttrree nnggtthhss OOff PPoorrttffoolliiooss ((LLiinnnn aanndd GGrroonnlluunndd 22000000)) PPoorrttffoolliiooss ccaann::  PPrroovviiddee ssttuuddeennttss wwiitthh ooppppoorrttuunniittyy ttoo sshhooww wwhhaatt tthheeyy ccaann ddoo  EEnnccoouurraaggee ssttuuddeennttss ttoo ddeevveelloopp sskkiillllss iinn eevvaalluuaattiinngg tthhee ssttrreennggtthhss aanndd wweeaakknneess sseess ooff tthheeiirr wwoorrkk  HHeellpp ss ttuuddeennttss ttaakkee rreess ppoonnss iibbiilliittyy ffoorr sseettttiinngg ggooaallss aanndd eevvaalluuaattiinngg tthheeiirr pprrooggrreessss  PPrroovviiddee tteeaacchheerrss aanndd ssttuuddeennttss wwiitthh ooppppoorrttuunniittyy ttoo ccoollllaabboorraattee aanndd ttoo rreefflleecctt oonn ssttuuddeennttss ’’ pprrooggrreessss  BBee aann eeffffeeccttiivvee wwaayy ooff ccoo mmmmuunniiccaattiinngg wwiitthh ppaarreennttss bbyy sshhoowwiinngg ccoonnccrreettee eexxaa mmpplleess ooff ssttuuddeennttss ’’ wwoorrkk aanndd ddeemmoonnssttrraattiioonn ooff pprrooggrreessss  GGiivvee ppaarreennttss ccoonnccrreettee eexxaa mmpp lleess ooff ss ttuuddeennttss’’ ddeevveellooppmmeenntt oovveerr ttiimmee aass wweellll aass tthheeiirr ccuurrrreenntt ss kkiillllss .. WWeeaakknneesssseess::  TTiimmee ccoonnssuummiinngg ttoo aasssseemmbbllee  RRaattiinnggss hhaavvee llooww rree lliiaabbiilliittyy –– dduuee ttoo uunncclleeaarr ssccoorriinngg ccrriitteerriiaa aanndd llaacc kk ooff ss ttaannddaarrddiizzaatt iioonn.. GGUUIIDDEELLIINNEESS FFOORR PPUUTTTTIINNGG TTOOGGEETTHHEERR AA PPOORRTTFFOOLLIIOO :: NN..BB.. ““TThhee gguuiiddeelliinneess nneeeedd ttoo bbee ssppeecciiffiicc eennoouugghh ssoo tthhaatt ssttuuddeennttss kknnooww wwhhaatt iiss eexxppeecctteedd wwiitthhoouutt bbeeiinngg oovveerrllyy ccoonnssttrraaiinniinngg…….. TToooo mmuucchh ssppeecciiffiiccaattiioonn ccaann ssttiiffllee ssttuuddeenntt ccrreeaattiivviittyy aanndd tthhwwaarrtt tthhee ggooaallss ooff sseellff--rreefflleeccttiioonn aanndd bbeeiinngg rreessppoonnssiibbllee ffoorr tthheeiirr oowwnn lleeaarrnniinngg.. ……TToooo lliittttllee ssppeecciiffiicciittyy lleeaavveess ssttuuddeennttss iinn tthhee ddaarrkk aabboouutt wwhhaatt iiss ccoonnssiiddeerreedd aann aapppprroopprriiaattee eennttrryy”” ((LLiinnnn aanndd GGrroonnlluunndd 22000000,, 229977)).. AAtt aa mmiinniimmuumm,, gguuiiddeelliinneess sshhoouulldd ssppeecciiffyy:: 11.. TThhee uuss eess tthhaatt wwiillll bbee mmaaddee ooff tthhee ppoorrttffoolliioo 22.. WWhhoo wwiillll hhaavvee aacccceessss ttoo iitt 33.. WWhhaatt ttyyppee ooff wwoorrkk aarree aapppprroopprriiaattee ttoo iinncclluuddee 44.. WWhhaatt ccrriitteerriiaa wwiillll bbee uusseedd iinn eevvaalluuaattiinngg tthhee wwoorrkk OOtthheerr gg uuii ddeelliinneess :: 55.. TThhee rroollee ooff ccoollllaabboorraattiioonn wwiitthh ootthheerrss 66.. TTiimmee lliinnee aanndd tthhee mmiinn iimmuu mm aanndd mmaa xxiimmuu mm eennttrriieess 77.. PPhhyyssiiccaall ssttrruuccttuurree ooff tthhee ppoorrttffoolliioo..
  • 58.
    Authentic Assessment: AlternativesTo The Traditional Approach ___________________________________________________________________________ 51 NN..BB.. PPoorrttffoolliioo aallssoo hhaass ddiirreecctt aapppplliiccaattiioonnss ttoo ssoommee ssttuuddeennttss wwiitthh ddiissaabbiilliittyy.. ““PPoorrttffoolliioo aasssseessssmmeenntt ccaann bbee uusseedd ttoo ddooccuummeenntt tthhee ppeerrffoorrmmaannccee ooff ssttuuddeennttss wwhhoo hhaavvee bbeeeenn rreeffeerrrreedd ttoo ssppeecciiaall eedduuccaattiioonn””.. FFiigguurree 44 MMaaiinn AAssppeeccttss OOff CCoovveerr SShheeeett FFoorr PPoorrttffoolliioo EEnnttrryy:: ((LLiinnnn aanndd GGrroonnlluunndd 22000000,, 330066)) SSttuuddeenntt’’ss NNaammee______________________________________ DDaattee______________________________ DDeessccrriippttiioonn ooff EEnnttrryy:: ______________________________________________________________________________________________________________________________________________________ SSttuuddeenntt’’ss CCoommmmeennttss:: ______________________________________________________________________________________________________________________________________________________ II cchhoooossee tthhiiss iitteemm ffoorr mmyy ppoorrttffoolliioo bbeeccaauussee:: PPlleeaassee nnoottiiccee:: OOtthheerr ccoommmmeennttss ________________________________________________________________________________________________________________________________________________________ TTeeaacchheerr CCoommmmeennttss:: ________________________________________________________________________________________________________________________________________________________ TTeeaacchheerr’’ss NNaammee:: ____________________________________ DDaattee________________________________ SSttrroonngg ppooiinnttss ooff eennttrryy:: SSoommee tthhiinnggss ttoo ccoonnssiiddeerr oorr aarreeaass nneeeeddiinngg wwoorrkk aarree:: GGiivvee yyoouurr ssttuuddeennttss ooppppoorrttuunniittyy ttoo rreefflleecctt oonn tthheeiirr wwoorrkk!!!!!!
  • 59.
    Authentic Assessment: AlternativesTo The Traditional Approach ___________________________________________________________________________ 52 VViiee wwss oonn tthhee UUssee ooff PPoorrttffoolliiooss:: WWhheenn LLee MMaahhiieeuu,, GGiittoommeerr aanndd EErreesshh ((11999955)) rreesseeaarrcchheedd tthhee uussee ooff ppoorrttffoolliioo,, ttwwoo pprroobblleemmss tthheeyy wweerree iinntteerreesstteedd iinn cceenntteerreedd oonn tthhee iinntteeggrraattiivvee nnaattuurree aanndd aaccccoouunnttaabbiilliittyy.. DDuunnbbaarr,, KKoorreettzz aanndd HHoooovveerr ((11999911)) ccoonncclluuddeedd tthhaatt wwhheenn aa ppoorrttffoolliioo iiss ppaasssseedd oonnttoo aannootthheerr tteeaacchheerr,, oorr ppaasssseedd oonn ffrroomm oonnee yyeeaarr ttoo tthhee nneexxtt oonn tteesstt ffoorr nnaattiioonnaall aaccccoouunnttaabbiilliittyy tthheeyy lloossee ssoommee ffaalllliibbiilliittyy,, aass tthhee ccoonntteexxtt iinn wwhhiicchh tthheeyy wweerree uunnddeerrssttoooodd cchhaannggeess.. LLee MMaahhiieeuu eett aall.. aarree nnoott iinn aaggrreeeemmeenntt.. TThheeiirr aannaallyyssiiss sshhoowweedd tthhaatt ““ppoorrttffoolliioo aasssseessssmmeenntt ccaann hhaavvee ssuuffffiicciieenntt iinntteeggrriittyy ttoo ssuuppppoorrtt ppuurrppoosseess ooff ppuubblliicc aaccccoouunnttiinngg””.. SSoommee ccoolllleeggeess aarree nnooww uussiinngg tthhee ppoorrttffoolliioo aass aaddmmiissssiioonn rreeqquuiirreemmeenntt.. OOnn tthhee ootthheerr iissssuuee,, iinn aann iinntteerrvviieeww wwiitthh HHoorroowwiittzz ((11999955)) TTyylleerr,, aa lloonngg ssttaannddiinngg pprrooppoonneenntt ooff aaccttiivvee mmeeaanniinnggffuull lleeaarrnniinngg,, vviieewweedd ppoorrttffoolliioo aass aann aasssseessssmmeenntt ttooooll wwhhiicchh ddeemmaannddss oonnllyy aa lliimmiitteedd ssaammpplliinngg ooff ssttuuddeennttss’’ wwoorrkk,, aanndd tthhuuss mmaayy nnoott rreeaallllyy ddeemmoonnssttrraattee aallll tthhee kknnoowwlleeddggee tthhee ssttuuddeenntt hhaass aaccqquuiirreedd.. AAddaamm aanndd HHaammmm rreemmiinndd uuss,, hhoowweevveerr,, tthhaatt tthhee uussee ooff ppoorrttffoolliioo iiss nnoott aa oonneettiimmee aaccttiivviittyy –– aass aaddmmiitttteeddllyy iitt wwoouulldd nnoott bbee aa ggoooodd mmeeaassuurree ooff ssttuuddeennttss’’ uunnddeerrssttaannddiinngg.. OOnn tthhee ccoonnttrraarryy iitt ‘‘pprroovviiddeess aa mmeeaannss ooff ggaatthheerriinngg rreepprreesseennttaattiivvee mmaatteerriiaall oovveerr ttiimmee””.. LLee MMaahhiieeuu eett aall.. ssuuppppoorrtt tthhiiss vviieeww aanndd ffuurrtthheerr oouuttlliinneess ffoouurr rreellaatteedd ccoommppoonneennttss aappaarrtt ffrroomm ssttrruuccttuurree aanndd ssccoorriinngg pprraaccttiicceess.. TThheessee iinncclluuddee ppuurrppoossee,, ffrraammeewwoorrkk,, ggooaallss,, aanndd qquuaalliittyy.. WWiitthh tthheessee iinn mmiinndd,, tthhee tteeaacchheerr iinn hheerr ccllaassssrroooomm sshhoouulldd ccoonnssiiddeerr –– FFiirrssttllyy,, tthheerree sshhoouulldd bbee cclleeaarr ppuurrppoosseess ffoorr tthhee aasssseessssmmeenntt;; sseeccoonnddllyy,, tthhee iinntteerrpprreettiivvee ffrraammeewwoorrkk mmuusstt bbee sshhaarreedd wwiitthh ssttuuddeennttss;; tthhiirrddllyy,, ccllaassssrroooomm ggooaallss mmuusstt bbee ccoonnssiisstteenntt wwiitthh aaccccoouunnttaabbiilliittyy ggooaallss aanndd ffiinnaallllyy,, iissssuueess ooff qquuaalliittyy iinn iinnssttrruuccttiioonnaall aanndd ppssyycchhoommeettrriicc tteerrmmss mmuusstt bbee aaddhheerreedd ttoo iinn oorrddeerr ttoo eennssuurree ccoonnssiisstteennccyy aanndd uussaabbiilliittyy..
  • 60.
    Marking, Evaluating andReporting ___________________________________________________________________________ 53 PPaarrtt 33 SSeeccttiioonn 55:: MMaarrkkiinngg AAnndd GGrraaddiinngg:: CCoolllleeccttiinngg IInnffoorrmmaattiioonn OObbjjeeccttiivvee ttyyppee iitteemmss EEssssaayy ttyyppee iitteemmss TThhee mmaaiinn ppuurr ppoossee ffoorr mmaarrkkiinngg oorr ggrraaddiinngg iiss ttoo oobbttaaiinn qquuaannttiittaattii vvee aanndd qquuaalliittaattii vvee mmee aassuurreess // iinnffoorr mmaattiioonn oonn wwhhiicchh ttoo bbaassee ee vvaalluuaattiioonn.. HHeerree iiss aa bbrriieeff ddiissccuussssiioonn oonn mmaarrkkiinngg oobbjjeeccttii vvee aanndd eessssaayy ttyyppee ii ttee mmss.. IItt iiss vveerryy eeaassyy ttoo mmaarrkk tthhee oobbjjeeccttiivvee ttyyppee iitteemmss,, eessppeecciiaa llllyy tthhee mmuullttiippllee cchhooiiccee aanndd ttrruuee aanndd ffaallssee.. TThhiiss iiss ssoo,, aass tthhee kkeeyy gguuiiddeess tthhee mmaarrkkeerr aanndd tthheerreeffoorree pprroommootteess oobbjjeeccttiivvee mmaarrkkiinngg.. TThhiiss pprroodduucceess aa hhiigghh ddeeggrreeee ooff rreelliiaabbiilliittyy aass oonnee wwoouulldd eexxppeecctt eeaacchh mmaarrkkeerr ttoo hhaavvee tthhee ssaammee mmaarrkk ffoorr aannyy ggiivveenn iinnddiivviidduuaall,, uussiinngg tthhee ssaammee aannsswweerr kkeeyy.. TThheerree iiss ggrreeaatteerr ssccooppee ffoorr ssuubbjjeeccttiivvee mmaarrkkiinngg wwhheenn ggrraaddiinngg eessssaayy iitteemmss oorr ffiillll iinn tthhee bbllaannkkss // ccoommpplleettiioonn.. FFoorr ffiillll iinn tthhee bbllaannkkss // ccoommpplleettiioonn,, tthhee wwrriitteerr mmuusstt eennssuurree tthhee qquueessttiioonn iiss aasskkeedd iinn ssuucchh aa wwaayy tthhaatt oonnllyy oonnee aannsswweerr ccaann bbee ffiilllleedd iinnttoo tthhee ssppaaccee.. TThhaatt iiss,, aavvooiidd aammbbiigguuiittyy.. IInn mmaarrkkiinngg tthhee eessssaayy,, oonnee ccaann uussee ttwwoo mmeetthhooddss –– AAnnaallyyttiicc aanndd HHoolliissttiicc mmaarrkkiinngg..  IInn aannaallyyttiicc mmaarrkkiinngg,, aa mmaa rrkk ss cchheemmee aass ssiissttss tthhee mmaarrkkeerrss;; tthhee ccrriitteerriiaa,, tthhee ppooiinnttss ttoo bbee aawwaarrddeedd aanndd aa ddeessccrriippttiioonn ooff hhooww tthhee ppooiinnttss aarree ttoo bbee aallllooccaatteedd ttoo eeaacchh ppooiinntt oorr ccrriitteerriioonn aarree gg iivveenn..  IInn hhoolliissttiicc mmaarrkkiinngg ss ttuuddeennttss aarree ggrraaddeedd bbaasseedd oonn tthhee rreellaattiivvee qquuaalliittyy ooff aa ggrroouupp ppeerrffoorrmmaannccee oonn tthhee eessssaayy.. SSoo tthhee eessssaayyss wwiillll bbee rreeaadd ffiirrsstt,, tthheenn ppllaacceedd iinn ttoo sseettss bbaass eedd oonn hhooww iitt ccoo mmppaarreess wwiitthh ootthheerrss iinn tthhee ggrroouupp;; ffoorr ee xxaa mmppllee ,, PPoooorr FFaaiirr GGoooodd TThheenn tthhee eessssaayyss ccaann bbee rreeaadd aaggaaiinn aanndd rreeaassssiiggnneedd ttoo aann aapppprroopprriiaattee sseett.. NNee xxtt tthheeyy ccaann bbee rraannkk oorrddeerreedd iinn eeaacchh ss eett.. TThheerree ccaann bbee ssoommee vvaarriiaattiioonnss iinn rreeaass ss iiggnniinngg ttoo iiddeennttiiffyy ttoopp ppeerrffoorrmmeerr aanndd llooww ppeerrffoorrmmee rr.. TToo pprroommoottee aa hhiigghh ddeeggrreeee ooff rreelliiaabbiilliittyy tthheerreeffoorree,, tthhee ffoolllloowwiinngg gguuiiddeelliinneess ccaann bbee aaddhheerreedd ttoo::  EEvvaalluuaattee aannsswweerrss bbaasseedd oonn lleeaarrnniinngg oouuttccoommeess  SSccoorree rreessttrriicctteedd--rreessppoonnssee aannsswweerrss uussiinngg tthhee aannaallyyttiicc mmeetthhoodd,, uussiinngg aa mmooddeell aannsswweerr aass aa gguuiiddee  GGrraaddee eexxtteennddeedd--rreessppoonnssee aannsswweerrss uussiinngg tthhee hhoolliissttiicc mmeetthhoodd,, uussiinngg aa ddeeffiinneedd ccrriitteerriiaa aass aa gguuiiddee  EEvvaalluuaattee oonnee qquueessttiioonn aatt aa ttiimmee  MMaarrkk bblliinndd –– aavvooiidd llooookkiinngg aatt nnaammeess  HHaavvee ttwwoo oorr mmoorree rraatteerrss iiff ppoossssiibbllee
  • 61.
    Marking, Evaluating andReporting ___________________________________________________________________________ 54 PPaarrtt 33 SSeeccttiioonn 66 EEvvaalluuaattiinngg:: MMaakkiinngg JJuuddggeemmeennttss OOnn TThhee BBaassiiss ooff IInnffoorrmmaattiioonn CCoolllleecctteedd NNoorrmm--rreeffeerreenncceedd CCrriitteerriioonn--rreeffeerreenncceedd IInnffoorrmmaattiioonn ((ggrraaddeess,, mmaarrkk,, aanneeccddootteess)) aarree ccoolllleecctteedd tthhrroouugghh tthhee uussee ooff tteessttiinngg aanndd nnoonn--tteessttiinngg ddeevviicceess –– aasssseessssmmeenntt iinnssttrruummeennttss.. TThheessee mmeeaassuurreess aarree tthheenn uusseedd ttoo mmaakkee jjuuddggeemmeennttss aabboouutt ssttuuddeennttss’’ pprrooggrreessss.. RReemmeemmbbeerr eevvaalluuaattiioonn ccaann bbee ddiiaaggnnoossttiicc,, ffoorrmmaattiivvee oorr ssuummmmaattiivvee..
  • 62.
    Marking, Evaluating andReporting ___________________________________________________________________________ 55 NNoorrmm--RReeffeerreenncceedd VVss.. CCrriitteerriioonn--RReeffeerreenncceedd MMeeaassuurreemmeenntt AAfftteerr aaddmmiinniisstteerriinngg aa sseett ooff iitteemmss iinn aa ttrraaddiittiioonnaall tteessttss oorr aa sseett ooff ppeerrffoorrmmaannccee ttaasskkss,, mmoosstt lliikkeellyy,, mmeeaassuurreess wwiillll bbee oobbttaaiinneedd aanndd uusseedd ttoo mmaakkee vvaalluuee jjuuddggmmeenntt rreeggaarrddiinngg ssttuuddeennttss’’ ppeerrffoorrmmaannccee oorr bbeehhaavviioouurr ppaatttteerrnnss.. IItt mmuusstt bbee nnootteedd aallssoo tthhaatt nnoorrmm--rreeffeerreenncceedd aanndd ccrriitteerriioonn--rreeffeerreenncceedd mmeeaassuurreess oorr ssccoorreess ccaann bbee aapppplliieedd ttoo ssttaannddaarrddiizzeedd aass wweellll aass tteeaacchheerr--mmaaddee tteessttss.. TThhee tteessttss mmaayy llooookk tthhee ssaammee –– ffoorr eexxaammppllee iinn tthhee mmuullttiippllee--cchhooiiccee ffoorrmmaatt –– bbuutt tthheeiirr ppuurrppoosseess mmaayy ddiiffffeerr ((HHaarrtt 11999922)) ssoo tthheerree iiss mmoorree ccoonncceerrnn wwiitthh tthhee ccoonnsseeqquueenncceess oorr oouuttccoommeess.. NNoorrmm--rreeffeerreenncceedd mmeeaassuurreess aarree ddiissccrriimmiinnaattiivvee.. TThhee mmeeaassuurreess aarree iinntteerrpprreetteedd,, tthheenn uusseedd ttoo ccoommppaarree eeaacchh iinnddiivviidduuaall ssccoorree wwiitthh ssoommee ooff tthhee ssaammee ggrroouupp.. TThhiiss iiss ccaalllleedd aa nnoorrmm ggrroouupp.. FFrroomm aammoonngg tthhiiss ggrroouupp,, tthhee rreellaattiivvee ssttaannddiinngg iiss ggiivveenn aass ppeerrcceennttiillee,, bbaasseedd oonn tthheeiirr aacchhiieevveemmeenntt wwiitthhiinn tthhee ggrroouupp ((GGrroonnlluunndd 11998855)).. TThhee ffooccuuss ooff tthheessee mmeeaassuurreess iiss hhooww aann iinnddiivviidduuaall’’ss ppeerrcceennttaaggee ssccoorree iiss mmoorree oorr lleessss tthhaann aannootthheerr.. TThhiiss ppeerrcceennttiillee ssccoorree vvaarriieess ffrroomm oonnee nnoorrmm ggrroouupp ttoo tthhee ootthheerr.. FFoorr eexxaammppllee,, iiff aann iinnddiivviidduuaall’’ss rraaww ssccoorree iinn mmaatthheemmaattiiccss ppllaacceess hheerr aatt tthhee ssiixxttiieetthh ((6600tthh )) ppeerrcceennttiillee,, iitt mmeeaannss sshhee hhaass ppeerrffoorrmmeedd bbeetttteerr tthhaann ssiixxttyy ppeerrcceenntt ((6600%%)) ooff tthhee ssttuuddeennttss iinn tthhee ggrroouupp.. HHoowweevveerr,, tthhee ssaammee rraaww ssccoorree oonn aa ssppeelllliinngg tteesstt mmaayy ccaauussee tthhee ppeerrcceennttiillee ssccoorree ttoo cchhaannggee ttoo rreefflleecctt eeiitthheerr aa bbeetttteerr oorr wwoorrssee ppeerrffoorrmmaannccee wwhheenn ccoommppaarreedd ttoo ootthheerr ssttuuddeennttss.. IItt aallll ddeeppeennddss oonn tthhee sspprreeaadd ooff tthhee ssccoorreess.. CCrriitteerriioonn--rreeffeerreenncceedd mmeeaassuurreess aarree ddeessccrriippttiivvee.. TThheeyy aarree uusseedd ttoo ddeessccrriibbee lleeaarrnniinngg ttaasskkss wwhhiicchh ppuuppiillss hhaavvee mmaasstteerreedd ffrroomm aa ggiivveenn sseett ooff oobbjjeeccttiivveess.. TThhiiss,, aaccccoorrddiinngg ttoo MMeehhrreennss aanndd LLeehhmmaannnn ((11998844)),, mmeeaannss tthhaatt aann iinnddiivviidduuaall’’ss ppeerrffoorrmmaannccee iiss ccoommppaarreedd ttoo tthhee eexxtteenntt tthhaatt hhee//sshhee hhaass aaccqquuiirreedd pprrooffiicciieennccyy ooff ssppeecciiffiieedd ccrriitteerriiaa.. TThhuuss tthhee iinnddiivviidduuaall’’ss ssttaattuuss iiss ccoommppaarreedd aaggaaiinnsstt aa sseett ooff ssttaannddaarrddss oorr ccrriitteerriiaa –– tthhee ffooccuuss iiss oonn wwhhaatt tthhee iinnddiivviidduuaall ccaann ddoo ((GGrroonnlluunndd 11998855)),, tthhaatt iiss,, ggiivveenn aa tteesstt ooff 110000 iitteemmss mmeeaassuurriinngg ssppeecciiffiicc oobbjjeeccttiivveess aanndd tthhee iinnddiivviidduuaall ggeettss ssiixxttyy ((6600)) iitteemmss ccoorrrreecctt,, tthheenn hheerr ssccoorree wwoouulldd bbee iinntteerrpprreetteedd aass sshhee hhaass mmaasstteerreedd ssiixxttyy ppeerrcceenntt ((6600%%)) ooff tthhee oobbjjeeccttiivveess.. SSiimmuullttaanneeoouussllyy,, oonnee wwoouulldd bbee aabbllee ttoo iiddeennttiiffyy wwhhaatt ssppeecciiffiicc kknnoowwlleeddggee aanndd sskkiillllss tthhee iinnddiivviidduuaall hhaass aattttaaiinneedd iinn tthhaatt ssaammppllee ddoommaaiinn.. AA tteesstt ddeessiiggnneedd ttoo oobbttaaiinn nnoorrmm--rreeffeerreenncceedd mmeeaassuurreess wwoouulldd ccoovveerr aa bbrrooaadd ddoommaaiinn ooff ccoonntteenntt,, wwhhiillee oonn tthhee ootthheerr hhaanndd,, ffoorr ccrriitteerriioonn--rreeffeerreenncceedd mmeeaassuurreess,, tthhee ccoonntteenntt ddoommaaiinn wwoouulldd bbee nnaarrrrooww.. BBeeccaauussee tthhee nnoorrmm--rreeffeerreenncceedd mmeeaassuurreess wwoouulldd bbeetttteerr pprroovviiddee iinnffoorrmmaattiioonn ffoorr sseelleeccttiioonn ooff bbeetttteerr ssttuuddeennttss,, tthhee tteesstt ddeessiiggnneerr wwoouulldd mmaakkee eevveerryy eeffffoorrtt ttoo pprroodduuccee vvaarriiaannccee.. TThheerreeffoorree vveerryy
  • 63.
    Marking, Evaluating andReporting ___________________________________________________________________________ 56 ddiiffffiiccuulltt oorr eeaassyy iitteemmss wwoouulldd bbee ddiissccaarrddeedd aafftteerr iitteemm aannaallyyssiiss.. TThheerree wwoouulldd bbee ccoonncceerrnn iiff aallll tthhee ssttuuddeennttss ggoott oonnee hhuunnddrreedd ppeerrcceenntt ((110000%%)),, eessppeecciiaallllyy wwhheenn ‘‘ffiixxeedd--qquuoottaa’’ sseelleeccttiioonn ffoorr ppllaacceemmeenntt iiss iimmppoorrttaanntt ((MMeehhrreennss aanndd LLeehhmmaannnn 11998844)).. TThhiiss ttyyppee ooff iinntteerrpprreettaattiioonn iiss iimmppoorrttaanntt iinn sseelleeccttiinngg tthhee bbeetttteerr ccaannddiiddaattee//iinnddiivviidduuaall ttoo ffiillll aa ssppaaccee -- ffoorr eexxaammppllee,, wwhheerree cchhooiicceess aarree mmaaddee ttoo sseelleecctt tthhee ‘‘ttoopp ssiixxttyy’’ ssttuuddeennttss ffoorr ppllaacceemmeenntt iinn SSeeccoonnddaarryy sscchhoooollss iinn AAnnttiigguuaa aanndd BBaarrbbuuddaa.. TThhiiss ttyyppee ooff mmeeaassuurreemmeenntt iiss aallssoo mmoosstt uusseeffuull ttoo mmoonniittoorr tthhee pprrooggrreessss ooff sscchhoooollss.. IInn tthhiiss wwaayy oonnee ccaann mmeeaassuurree ttoo wwhhaatt eexxtteenntt tthhee ppeerrffoorrmmaannccee aatt aa ppaarrttiiccuullaarr sscchhooooll iiss iimmpprroovviinngg oorr nnoott.. WWhhiillee ccrriitteerriioonn--rreeffeerreenncceedd mmeeaassuurreemmeenntt sseerrvveess aass iinnddiiccaattiioonn ooff aacchhiieevveemmeenntt eessppeecciiaallllyy oonn nnaarrrrooww ttaasskk ddoommaaiinnss,, tthheeyy pprroovviiddee vveerryy lliittttllee iinnffoorrmmaattiioonn oonn wwhhaatt hhaass bbeeeenn lleeaarrnntt.. MMeehhrreennss aanndd LLeehhmmaannnn ((11998844)) ccllaarriiffyy tthhaatt tthhiiss ddooeess nnoott pprroovviiddee tthhee ssccooppee ttoo iinnffeerr tthhee ssttuuddeennttss’’ kknnoowwlleeddggee jjuusstt ffrroomm hhiiss ppeerrcceennttaaggee mmaarrkk.. GGaaiinniinngg 6600%% oonn aa ssaammppllee ooff iitteemmss ooff tthhee ddoommaaiinn ddooeess nnoott mmeeaann tthhee eexxaammiinneeee hhaass 6600%% ooff aallll tthhee kknnoowwlleeddggee iinn tthhaatt ddoommaaiinn.. TThhee eexxcceeppttiioonn ooccccuurrss iinn vveerryy nnaarrrrooww ddoommaaiinnss wwhheenn tthhee ssaammppllee aanndd tthhee ppooppuullaattiioonn aarree eeqquuaall.. AAllssoo,, iiff aa hhiigghh ssttaakkee tteesstt wweerree ddeessiiggnneedd jjuusstt ttoo ddiiffffeerreennttiiaattee bbeettwweeeenn tthhoossee ssttuuddeennttss wwhhoo kknnooww aanndd tthhoossee wwhhoo ddoo nnoott,, bbaasseedd oonn aa nnaarrrrooww ssaammppllee sseelleeccttiioonn ooff oobbjjeeccttiivveess,, iinn aallll lliikkeelliihhoooodd iitt wwoouulldd bbee aa sshhoorrtteerr tteesstt.. CCrriitteerriioonn--rreeffeerreenncceedd mmeeaassuurreess aarree mmoorree uusseeffuull wwhheenn iinntteerrpprreettaattiioonnss aarree ttoo bbee mmaaddee iinn bbrrooaadd eedduuccaattiioonnaall ssuurrvveeyyss ttoo eevvaalluuaattee tthhee aaccccoommpplliisshhmmeennttss ooff ssttuuddeennttss,, oorr aann eedduuccaattiioonnaall pprrooggrraammmmee oorr ccuurrrriiccuulluumm ttoo mmaakkee cchhaannggeess ffoorr ppuubblliicc aaccccoouunnttiinngg;; tthheenn pprreeddiiccttiioonnss ccaann bbee mmaaddee aabboouutt ffuuttuurree ssuucccceessss iinn ttrraaiinniinngg oorr iinn aa jjoobb rreellaatteedd ttoo aa ppaarrttiiccuullaarr aarreeaa.. YYeett tthheerree aarree ssoo mmaannyy ffaaccttoorrss ttoo aaffffeecctt ppeerrffoorrmmaannccee tthhaatt GGrroonnlluunndd ppooiinnttss oouutt tthhaatt oonnee mmuusstt bbee ccaauuttiioouuss wwhheenn pprreeddiiccttiinngg ssccoorreess.. IInn ssoommee ccaasseess rreetteessttiinngg iiss aaddvviisseedd,, iinn oorrddeerr ttoo sseeee iiff tthheerree iiss ccoonnssiisstteennccyy ooff eeqquuiivvaalleenntt ffoorrmmss ooff tthhee tteesstt eessppeecciiaallllyy ffoorr eevvaalluuaattiioonn ooff ssttuuddeennttss’’ pprrooggrreessss.. BBootthh nnoorrmm--rreeffeerreenncceedd aanndd ccrriitteerriioonn--rreeffeerreenncceedd tteessttss hhaavvee tthheeiirr rroollee ttoo ppllaayy.. IItt iiss iimmppoorrttaanntt tthhaatt tthhee iinntteerrpprreettaattiioonn ooff tteesstt ssccoorreess bbee ddoonnee wwiitthh ccaarree ttoo aasscceerrttaaiinn tthhee bbeesstt ppoossssiibbllee ddeecciissiioonnss.. SSppeecciiffiiccaallllyy,, nnoorrmm--rreeffeerreenncceedd mmeeaassuurreess wwiillll iinnddiiccaattee aann iinnddiivviidduuaall’’ss ppeerrffoorrmmaannccee iinn ccoommppaarriissoonn ttoo ootthheerrss wwhhiillee ccrriitteerriioonn--rreeffeerreenncceedd mmeeaassuurreess aassssiisstt iinn sseeppaarraattiinngg tthhee ccoommppeetteenntt ffrroomm tthhee iinnccoommppeetteenntt.. HHoowweevveerr,, aass PPoopphhaamm ((11999955)) ssttaatteess,, uusseeffuull iinnffoorrmmaattiioonn ccaann bbee ddeerriivveedd ffrroomm oonnee ttyyppee ooff tteesstt eevveenn iiff iitt wwaass ddeevveellooppeedd ffoorr aannootthheerr ppuurrppoossee.. PPoopphhaamm aallssoo aaddvviisseess tthhaatt tteesstt ddeevveellooppeerrss mmuusstt ppaayy aatttteennttiioonn ttoo iitteemm ccoonnssttrruuccttiioonn aanndd iitteemm aannaallyyssiiss ttoo eennssuurree hhiigghheerr ddeeggrreeee ooff rreelliiaabbiilliittyy aanndd vvaalliiddiittyy.. TThhiiss wwoouulldd eennhhaannccee tthhee aaccccoouunnttaabbiilliittyy ooff hhiigghh ssttaakkeess tteesstt ttoo tthhee ppuubblliicc aanndd ttoo aaddmmiinniissttrraattoorrss..
  • 64.
    Marking, Evaluating andReporting ___________________________________________________________________________ 57 CCrriitteerriioonn--rreeffeerreenncceedd AAnnaallyysseess:: TTaabbllee ooff SSppeecciiffiiccaattiioonnss SSaammppllee AAnnaallyyssiiss FFoollllooww--uupp AAccttiioonn CCrriitteerriioonn rreeffeerreenncceedd IItteemm AAnnaallyyssiiss TTaabbllee 55..11 TTaabbllee ooff SSppeecciiffiiccaattiioonnss:: TTooppiiccss,, OObbjjeeccttiivveess aanndd IItteemmss FFoorr MMaatthheemmaattiiccss TTeesstt IItteemmss TTooppiiccss//CCoonntteenntt OObbjjeeccttiivveess II 11,,33,,1100,,1111,,1122 ((55 mmaarrkkss)) IInnttrroodduuccttiioonn ttoo EElleemmeennttaarryy ssttaattiissttiiccss CCaallccuullaattee tthhee mmeeaann,, mmeeddiiaann,, rraannggee aanndd iinntteerr--qquuaarrttiillee rraannggee ffoorr aa sseett ooff ddaattaa IIII 44 ((11 MMaarrkk)) IInnttrroodduuccttiioonn ttoo bbaassiicc pprroobbaabbiilliittyy OObbttaaiinn tthhee EExxppeerriimmeennttaall aanndd tthheeoorreettiiccaall pprroobbaabbiilliittyy ooff aa ssiimmppllee eevveenntt IIIIII 99,,1133,,1155,,1177,,1199,,2200 BBaassiicc aallggeebbrraaiicc CCoonncceeppttss aanndd PPrroocceesssseess PPeerrffoorrmm aallggeebbrraaiicc ooppeerraattiioonnss IIVV 77,,88 ((22 MMaarrkkss)) BBaassiicc TTrriiggoonnoommeettrriicc RRaattiioo SSoollvvee ssiimmppllee pprroobblleemmss ppeerrttaaiinniinngg ttoo rriigghhtt aanngglleedd ttrriiaanngglleess VV 55 ((11 MMaarrkkss)) IInnttrroodduuccttiioonn ttoo CCoooorrddiinnaattee GGeeoommeettrryy CCaallccuullaattee tthhee mmiiddppooiinntt,, ggrraaddiieenntt aanndd eeqquuaattiioonn ooff aa ssttrraaiigghhtt lliinnee VVII 1144,,1166,,1188 ((33 MMaarrkkss)) IInnttrroodduuccttiioonn ttoo tthhee LLaawwss ooff IInnddiicceess AAppppllyy tthhee llaawwss ooff iinnddiicceess aapppprroopprriiaatteellyy ttoo ggiivveenn ssiittuuaattiioonnss VVIIII 22,,66 ((22 MMaarrkkss)) CCoonnssuummeerr AArriitthhmmeettiicc AAppppllyy ccoonnssuummeerr mmaatthheemmaattiiccss ttoo ssiittuuaattiioonnss iinn eevveerryy ddaayy lliiffee ((AAnn aaddaappttaattiioonn ooff CCoolllliinnss,, AAllbbeerrtt.. 22nndd .. YYeeaarr SSeeccoonnddaarryy TTeeaacchheerr TTrraaiinneeee 22000044))
  • 65.
    Marking, Evaluating andReporting ___________________________________________________________________________ 58 TTaabbllee 55..22 AA CCrriitteerriioonn--RReeffeerreenncceedd aannaallyyssiiss ooff tthhee SSttuuddeennttss’’ MMaatthheemmaattiiccss SSccoorreess ((MMuullttiippllee CChhooiiccee)) ((SSaammppllee –– oobbjjeeccttiivvee 11))-- nnaammeess hhaavvee bbeeeenn rreeppllaacceedd bbyy nnuummbbeerrss OObbjjeeccttiivveess 11 IItteemmss 11 33 1100 1111 1122 KKeeyy DD BB CC BB AA SSttuuddeennttss 11 ?? ?? ?? ?? ?? 22 ?? ?? ?? DD BB 33 ?? ?? ?? ?? CC 44 ?? ?? ?? DD ?? 55 ?? AA ?? ?? DD 66 ?? ?? ?? AA ?? 77 ?? ?? ?? ?? ?? 88 ?? ?? ?? ?? ?? 99 ?? ?? ?? AA ?? 1100 ?? ?? ?? ?? ?? 1111 ?? ?? ?? DD ?? 1122 ?? CC ?? AA DD 1133 ?? ?? ?? DD ?? 1144 ?? CC ?? CC DD 1155 ?? DD ?? DD BB 1166 ?? DD ?? ?? BB 1177 ?? AA ?? DD BB 1188 ?? DD ?? ?? DD 1199 ?? DD ?? AA CC 2200 AA DD AA CC BB 2211 BB DD BB ?? CC 2222 AA DD ?? CC DD NNoo.. ooff ssttuuddeennttss wwiitthh ccoorrrreecctt rreess ppoonnss ee 1199 1111 2200 99 99 %% ooff ssttuuddeennttss wwiitthh ccoorrrreecctt rreessppoonnssee 8866 5500 9911 4411 4411 NNuu mmbbeerr ooff ssttuuddeennttss wwhhoo mmeeeett ggrroouupp ccrriitteerriiaa 1144 %% ss ttuuddeennttss wwhhoo mmeeeett ggrroouupp ccrriitteerriioonn 6644 EEssttaabblliisshheedd ggrroouupp ccrriitteerriioonn ((%% )) 6600 %% ddeevviiaattiioonn ==44 FFoollllooww--uupp aaccttiioonn NNOO
  • 66.
    Marking, Evaluating andReporting ___________________________________________________________________________ 59 AAnn aannaallyyssiiss ooff tthhee ssttuuddeennttss’’ ppeerrffoorrmmaannccee oonn oobbjjeeccttiivvee oonnee iinnddiiccaatteess tthhee ffoolllloowwiinngg::  FFiivvee ((55)) iitteemmss wweerree ddeessiiggnneedd ttoo aasssseessss oobbjjeeccttiivvee oonnee..  TThhee ccrriitteerriioonn sseett wwaass ssiixxttyy ppeerrcceenntt ((6600%%)) oorr tthhrreeee ((33)) iitteemmss ccoorrrreecctt..  FFoouurrtteeeenn ((1144)) oorr ssiixxttyy--ffoouurr ppeerrcceenntt ((6644%%)) ssttuuddeennttss mmeett tthhee ccrriitteerriioonn..  TThheerree wwiillll bbee nnoo ffoollllooww--uupp aaccttiioonn..  EEiigghhtt ((88)) ssttuuddeennttss ((1122,, 1144,, 1155,, 1177,, 1199,, 2200,, 2211,, 2222)) ddiidd nnoott aacchhiieevvee mmaasstteerryy ooff oobbjjeeccttiivvee oonnee.. AAnn aannaallyyssiiss ooff eeaacchh oobbjjeeccttiivvee wwiillll ttaakkee ssiimmiillaarr ffoorrmm.. TThhee aannaallyyssiiss wwiillll aallssoo sshhooww hhooww mmaannyy oobbjjeeccttiivveess eeaacchh ssttuuddeenntt ddiidd oorr ddiidd nnoott mmaasstteerr.. TThhee tteeaacchheerr ccaann tthheenn iiddeennttiiffyy tthhee ffoollllooww--uupp aaccttiioonn ffoorr tthhee ccllaassss aanndd ffoorr eeaacchh ssttuuddeenntt.. FFOOLLLLOOWW--UUPP AACCTTIIOONN BBeellooww ddeemmoonnssttrraatteess tthhee ttyyppee ooff ffoollllooww--uupp aaccttiioonnss tthhee tteeaacchheerr wwiisshheess ttoo ttaakkee:: ((CCoolllliinnss,, AAllbbeerrtt:: SSttuuddeenntt TTeeaacchheerr -- MMaayy 22000044)) TTaabbllee 55..33 FFoollllooww--UUpp AAccttiioonn wwiitthh TThhee CCllaassss:: OObbjj.. FFoollllooww -- uupp?? AArreeaass iinn wwhhiicchh ffoollllooww--uupp ddee vveellooppmmee nnttaall wwoorrkk wwhhiicchh nneeee ddss ttoo bbee ddoonnee wwiitthh tthhee ccllaassss.. II NNOO HHoowweevveerr,, rraannggee,, mmeeddiiaann aanndd iinntteerr--qquuaarrttiillee rraannggee wwiillll bbee rreevviieewweedd bbaasseedd oonn tthhee llooww ccoorrrreecctt rreessppoonnssee ttoo iitteemmss rree llaatteedd ttoo tthheess ee aarreeaass.. IIII NNOO HHoowweevveerr,, tthhee ccoonncceepptt wwiillll bbee aapppplliieedd oonn aa ccoonnttiinnuuoouuss bbaass iiss ttoo ss iittuuaattiioonnss ffoorr rreeiinn ffoorrccee mmeenntt ppuurrppoosseess.. IIIIII YYEESS MMaanniippuullaattiioonn ooff aallggeebbrraa iicc ee xxpp rreessssiioonnss aanndd eeqquuaattiioonnss IIVV YYEESS AApppplliiccaattiioonn ooff ggeeoommeettrriicc rraattiiooss ttoo rriigghhtt aanngglleess VV YYEESS RReevviiee ww ooff ggrraaddiieenntt,, mmiiddppooiinntt aanndd eeqquuaattiioonn ooff aa ssttrraaiigghhtt lliinnee uussiinngg bbootthh ggrraapphhiiccaall aanndd aannaallyyttiiccaall mmeetthhooddss VVII YYEESS AApppplliiccaattiioonn ooff llaaww ooff iinnddiicceess ttoo tthhee ssoolluuttiioonnss ooff ssiimmpp llee rreellaatteedd mmaatthhee mmaattiiccaa ll pprroobbllee mmss VVIIII YYEESS PPrrooffiitt aanndd lloossss,, ppeerrcceennttaaggeess,, rraattiioo aanndd pprrooppoorrttiioonn FFoollllooww--uupp aaccttiioonn wwiitthh iinnddiivviidduuaall ssttuuddeennttss:: ((ffoorr tthhiiss pprreesseennttaattiioonn,, nnaammeess hhaavvee bbeeeenn rreeppllaacceedd wwiitthh nnuummbbeerrss)) BBaasseedd oonn tthhee aannaallyyssiiss aabboovvee,, aa lloott ooff ffoollllooww--uupp ddeevveellooppmmeennttaa ll wwoorrkk nneeeeddss ttoo bbee ddoonnee eessppeecciiaallllyy wwiitthh tthhee ssttuuddeennttss1155,, 1199,, 2211,, 2222 aass tthheessee ssttuuddeennttss oonnllyy mmaannaaggeedd ttoo mmeeeett tthhee mmiinniimmuumm aacccceeppttaabbllee ppeerrffoorrmmaannccee lleevveell iinn oonnllyy oonnee ooff tthhee sseevveenn oobbjjeeccttiivveess.. IInn aaddddiittiioonn,, ffoollllooww--uupp ddeevveellooppmmeennttaa ll wwoorrkk hhaass ttoo bbee ddoonnee wwiitthh ssttuuddeennttss 1166,, 1177,, 2200,, 1144,, 1188..
  • 67.
    Marking, Evaluating andReporting ___________________________________________________________________________ 60 AA ppoossssiibbllee ccoouurrssee ooff aaccttiioonn wwoouulldd bbee ttoo ppllaaccee tthheessee iinnddiivviidduuaa llss iinn ggrroouuppss ooff tthhrreeee ((33)) aanndd aappppooiinntt tthhee ttoopp ssttuuddeennttss ((11,, 22,, 55)) aass lleeaaddeerrss ooff tthhee tthhrreeee ggrroouuppss ttoo eennccoouurraaggee aann aattmmoosspphheerree ooff ccooooppeerraattiivvee lleeaarrnniinngg wwiitthhiinn eeaacchh ggrroouupp.. TThhee tteeaacchheerr wwiillll mmoonniittoorr tthhee aaccttiivviittiieess ttoo eennssuurree tthhaatt lleeaarrnniinngg ttaakkeess ppllaaccee.. IItteemmss 1166 aanndd 2200,, eeaacchh wwiitthh 3322%% ccoorrrreecctt rreessppoonnsseess;; iitteemm 1100 hhaadd 9911%% ccoorrrreecctt rreessppoonnsseess.. TThhee tteeaacchheerr ffuurrtthheerr nnootteedd:: ““TThhee nnuummbbeerr ooff oobbjjeeccttiivveess tteesstteedd sseeeemmss ttoo bbee ttoooo mmaannyy aanndd mmaayy aaccccoouunntt ffoorr tthhee eexxtteenntt ooff tthhee ffoollllooww--uupp wwoorrkk tthhaatt nneeeeddss ttoo bbee ddoonnee””.. TTEESSTT IITTEEMM AANNAALLYYSSIISS:: CCrriittee rriioonn rreeffeerreenncceedd iitteemm aannaallyyssiiss:: TThhee mmaaiinn aaiimm iiss ttoo ffiinndd oouutt wwhhaatt ssttuuddeennttss ccaann ddoo iinn rreellaattiioonn ttoo aa ssppeecciiffiieedd sseett ooff ccoonntteenntt.. IInn tthhee pprroocceessss,, oonnee mmaayy iiddeennttiiffyy oobbjjeeccttiivveess wwhhiicchh ssttuuddeennttss ddiidd nnoott lleeaarrnn pprrooppeerrllyy;; tthheessee oobbjjeeccttiivveess wwiillll nneeeedd ttoo bbee ttaauugghhtt aaggaaiinn oorr rreeaasssseesssseedd.. EEsssseennttiiaallllyy,, oonnee iiss ccoonncceerrnneedd wwiitthh tthhee eeffffeeccttss ooff iinnssttrruuccttiioonn.. IInn tthhiiss ccaassee iitt iiss aallrriigghhtt ttoo hhaavvee eeaassyy iitteemmss oonn tthhee tteesstt.. CCoommppaarree tthhee ppeerrffoorrmmaannccee ooff tthhee ssttuuddeennttss bbeeffoorree aanndd aafftteerr iinnssttrruuccttiioonn.. MMaarrkk tthhee tteesstt PPeerrffoorrmm ccaallccuullaattiioonn –– sseennssiittiivviittyy ttoo iinnssttrruuccttiioonn SSeennssiittiivviittyy ((SS)) == RRaa –– RRbb//TT RRaa == tthhee nnuummbbeerr ooff ssttuuddeennttss wwhhoo aannsswweerreedd tthhee iitteemm ccoorrrreeccttllyy aafftteerr iinnssttrruuccttiioonn RRbb== tthhee nnuummbbeerr ooff ssttuuddeennttss wwhhoo aannsswweerreedd tthhee iitteemm ccoorrrreeccttllyy bbeeffoorree iinnssttrruuccttiioonn TT== tthhee ttoottaall nnuummbbeerr ooff ssttuuddeennttss wwhhoo aannsswweerreedd tthhee qquueessttiioonn.. NN..BB AA ttoottaall aanndd oorr ppeerrcceennttaaggee ccaann aallssoo bbee ccaallccuullaatteedd ffoorr eeaacchh ssttuuddeenntt wwhhiicchh ccaann bbee ffuurrtthheerr uusseedd ffoorr aa nnoorrmm--rreeffeerreenncceedd eevvaalluuaattiioonn..
  • 68.
    Marking, Evaluating andReporting ___________________________________________________________________________ 61 NNoorrmm –– RReeffeerreenncceedd AAnnaallyysseess TTeesstt IItteemm AAnnaallyyssiiss MMeeaassuurreess ooff VVaarriiaabbiilliittyy MMeeaassuurreess ooff CCeennttrraall TTeennddeennccyy GGrraapphhiiccaall RReepprreesseennttaattiioonn ooff SSccoorreess SSttaannddaarrdd DDeevviiaattiioonn
  • 69.
    Marking, Evaluating andReporting ___________________________________________________________________________ 62 TTEESSTT IITTEEMM AANNAALLYYSSIISS:: AA ffuurrtthheerr nnoorrmm--rreeffeerreenncceedd iitteemm aannaallyyssiiss ccaann bbee ddoonnee.. NNoorrmm--rreeffeerreenncceedd iitteemm aannaallyyssiiss iiss tthhee pprroocceessss ooff eexxaammiinniinngg ssttuuddeennttss’’ rreessppoonnsseess ttoo eeaacchh tteesstt iitteemm iinn oorrddeerr ttoo jjuuddggee tthhee qquuaalliittyy ooff tthhee iitteemm.. AAnn iitteemm aannaallyyssiiss ccaann bbee ddoonnee iinn oorrddeerr ttoo ttrryyoouutt iitteemmss,, iinnddiivviidduuaallllyy,, bbeeffoorree tthheeyy aarree aaccttuuaallllyy ppllaacceedd oonn aa tteesstt,, oorr aafftteerr aa tteesstt.. TThhee mmaaiinn ppuurrppoosseess aarree:: 11.. TToo iiddeennttiiffyy wweeaakk oorr ddeeffeeccttiivvee iitteemmss.. TThheessee iitteemmss mmaayy bbee aammbbiigguuoouuss oorr hhaavvee iimmppllaauussiibbllee ddiissttrraaccttoorrss –– HHooww mmaannyy ppeeooppllee cchhoooossee eeaacchh rreessppoonnssee.. 22.. TToo ddeetteerrmmiinnee tthhee DDiiffffiiccuullttyy IInnddeexx:: TThhee ddiiffffiiccuullttyy lleevveell ooff tthhee iitteemmss –– hhooww eeaassyy oorr ddiiffffiiccuulltt –– HHooww mmaannyy ppeeooppllee aannsswweerreedd tthhee qquueessttiioonn ccoorrrreeccttllyy.. 33.. TToo ddeetteerrmmiinnee tthhee DDiissccrriimmiinnaattiioonn IInnddeexx:: TThhee ddeeggrreeee ttoo wwhhiicchh tthhee iitteemmss ddiissttiinngguuiisshh bbeettwweeeenn tthhee ssttuuddeennttss wwhhoo aacchhiieevvee aann oobbjjeeccttiivvee aanndd tthhoossee wwhhoo ddoo nnoott –– AArree tthhee rreessppoonnsseess ttoo tthhee iitteemm rreellaatteedd ttoo tthhee ootthheerr iitteemmss oonn tthhee tteesstt.. 44.. TToo ddeetteerrmmiinnee tthhee eeffffiicciieennccyy ooff ddiissttrraaccttoorrss :: TThhee eexxtteenntt ttoo wwhhiicchh ddiissttrraaccttoorrss aarree nnoott ppeerrffoorrmmiinngg wweellll FFoorr eexxaammppllee::  TThheerree aarree ttwweennttyy--ttwwoo ssttuuddeennttss iinn tthhee ssaammppllee..  SSttuuddeennttss aarree lliisstteedd iinn oorrddeerr ffrroomm hhiigghheesstt ssccoorree ttoo lloowweesstt ssccoorree,, tthhaatt iiss,, iinn ddeesscceennddiinngg oorrddeerr..  SSeelleecctt ttwwoo ggrroouuppss ttoo rreepprreesseenntt aann uuppppeerr ggrroouupp aanndd aa lloowweerr ggrroouupp.. IItt iiss tthhee nnoorrmm ttoo ddiivviiddee aa llaarrggee ggrroouupp iinnttoo tthhiirrddss aanndd uussee tthhee uuppppeerr oonnee tthhiirrdd aanndd lloowweerr oonnee tthhiirrdd;; ssoommee mmaayy eevveenn ssuuggggeesstt tthhee uuppppeerr 2277%% aanndd lloowweerr 2277%%.. HHoowweevveerr,, tthhiiss iiss aa ssmmaallll ggrroouupp tthheerreeffoorree wwee wwiillll jjuusstt ddiivviiddee tthheemm iinnttoo hhaallvveess –– UUppppeerr 1111 ((11--1111)) aanndd LLoowweerr 1111 ((1122--2222)).. ((SSeeee PPaaggee 5577))  TToottaall tthhee nnuummbbeerr ooff ssttuuddeennttss wwhhoo ggeett eeaacchh iitteemm ccoorrrreecctt iinn tthhee uuppppeerr aanndd lloowweerr ggrroouuppss..  PPeerrffoorrmm ccaallccuullaattiioonnss TThhee iitteemm hhaass ffoouurr cchhooiicceess ((AA,, BB,, CC,, DD));; tthhee ccoorrrreecctt rreessppoonnssee iiss **DD.. NNoorrmm--rreeffeerreenncceedd SSuummmmaarryy TTaabbllee ((ssaammppllee IItteemm 11)) AA BB CC **DD UUppppee rr 1111 00 00 00 1111 LLoowweerr 1111 22 11 00 88
  • 70.
    Marking, Evaluating andReporting ___________________________________________________________________________ 63 TThhee ttaabbllee aabboovvee iinnddiiccaatteess tthhaatt eelleevveenn ((1111)) ssttuuddeennttss iinn tthhee uuppppeerr ggrroouupp,, aanndd eeiigghhtt ((88)) ssttuuddeennttss iinn tthhee lloowweerr ggrroouupp hhaadd tthhee iitteemm rriigghhtt.. UU 1111 ++ LL 88 == 1199 11.. DDiiffffiiccuullttyy IInnddeexx:: AAdddd tthhee nnuummbbeerr ooff ssttuuddeennttss ffrroomm tthhee uuppppeerr ggrroouupp wwhhoo ggoott tthhee iitteemm ccoorrrreecctt ((1111)) ttoo tthhee nnuummbbeerr wwhhoo ggoott tthhee iitteemm ccoorrrreecctt iinn tthhee lloowweerr ggrroouupp ((88)).. DDiivviiddee tthhee ssuumm ((1199)) bbyy tthhee nnuummbbeerr ooff ppeerrssoonnss iinn tthhee uuppppeerr aanndd lloowweerr ggrroouuppss ccoommbbiinneedd ((2222)).. MMuullttiippllyy tthhee rreessuulltt bbyy 110000.. aa.. 1199 //2222 == ..8866 oorr 1199//2222 XX110000 == 8866%% IInntteerrpprreettaattiioonn ooff tthhee DDiiffffiiccuullttyy iinnddeexx:: FFoorr eexxaammppllee ffoorr tthhee MMuullttiippllee CChhooiiccee –– FFoorr mmaatt IIddeeaall ddii ffffiiccuullttyy FFiivvee ooppttiioonnss 7700%% aarrbbiittrraarriillyy:: FFoouurr ooppttiioonnss 7744%% 8855%% oorr aabboovvee tthhee iittee mm iiss eeaass yy TThhrreeee ooppttiioonnss 7777%% 5511 %% aanndd 8844%% tthhee iittee mm iiss mmooddeerraattee TTwwoo ooppttiioonnss ((TTrruuee//FFaallssee)) 8855%% 5500%% oorr lloowwee rr tthhee iittee mm iiss hhaarrdd NN..BB mmooddeerraattee iittee mmss ggiivvee aa wwiiddeerr sspprreeaadd ooff ssttuuddeennttss ’’ ssccoorreess.. 22.. DDiissccrriimmiinnaattiioonn IInnddeexx:: CCaallccuullaattee tthhee ddiiffffeerreennccee bbeettwweeeenn tthhee nnuummbbeerr ooff ssttuuddeennttss wwhhoo ggoott tthhee iitteemm ccoorrrreecctt iinn tthhee uuppppeerr ((1111)) aanndd lloowweerr ((44)) ggrroouuppss.. DDiivviiddee tthhiiss ddiiffffeerreennccee bbyy tthhee nnuummbbeerr iinn eeaacchh ggrroouupp ((1111)) bb.. 1111 –– 44 == 77 cc.. 77 // 1111 == 00..6644 TThhiiss iitteemm iiss aacccceeppttaabbllee.. TThhee aannaallyyssiiss sshhoowwss tthhaatt iitteemm 11 iiss ffaaiirrllyy eeaassyy,, aanndd iiss ddiissccrriimmiinnaattiinngg wweellll;; DDiissttrraaccttoorr CC ddiidd nnoott ffuunnccttiioonn aatt aallll aanndd ssoo sshhoouulldd nnoott bbee uusseedd wwhheenn tthhee iitteemm iiss rreevviieewweedd;; AA aanndd BB ddiidd nnoott ddiissttrraacctt aannyy ssttuuddeenntt iinn tthhee uuppppeerr ggrroouupp.. HHee rree aarree ttwwoo iinnttee rrpprree ttaattiioonnss ooff tthhee DDiissccrriimmiinnaattiioonn iinnddeexx:: AA.. MMoodduullee 11:: II.. GGrree aattee rr tthhaann ..4400,, tthhee iittee mm iiss aacccceeppttaabbllee IIII.. 1199 -- ..4400 tthhee iittee mm rree qquuiirreess rreevviissiioonn IIIIII.. LLeessss tthhaann ..1199,, tthhee iittee mm iiss iinnaapppprroopprriiaattee ,, sshhoouulldd bbee rree jjeeccttee dd oorr rree vviisseedd BB.. hhttttpp::////wwwwww..wwaasshhiinnggttoonn..eedduu//ooeeaa//iittee mm..hhttmm II.. AAbboovvee ..3300 tthhee iitteemm iiss ggoooodd IIII.. BBeettwweeeenn ..1100 aanndd ..3300 tthhee iitteemm iiss ffaaiirr IIIIII.. BBeellooww ..1100 tthhee iitteemm iiss ppoooorr
  • 71.
    Marking, Evaluating andReporting ___________________________________________________________________________ 64 NNoorrmm--rreeffeerreenncceedd iinntteerrpprreettaattiioonn ooff aa sseett ooff ssccoorreess:: AA.. MMeeaassuurreess ooff cceennttrraall tteennddeennccyy BB.. MMeeaassuurreess ooff vvaarriiaabbiilliittyy FFiigguurree 55 IIQQ TTeesstt SSccoorreess ((nn==4422)) 6666 7722 5577 6677 7722 6655 7744 6655 5599 6666 7799 5599 4499 5533 6666 6633 5533 6633 6699 7700 5533 7766 7766 5599 7788 4400 3344 4422 7777 7788 8822 9900 8888 9900 9955 7799 8877 9944 8800 8866 7799 8899 11.. PPllaaccee ssccoorreess iinn aasscceennddiinngg oorr ddeesscceennddiinngg oorrddeerr 22.. TTaallllyy ssccoorreess ((// -- hhooww mmaannyy ttiimmeess eeaacchh ssccoorree aappppeeaarrss)) TTaabbllee 55..44 SSttuuddeennttss’’ PPeerrffoorrmmaannccee oonn IIQQ tteesstt:: SSccoorreess aanndd TTaallllyy NNoo..//ttaallllyy NNoo..//ttaallllyy NNoo..//ttaallllyy NNoo..//ttaallllyy 3344 // 4400 // 4422 // 4499 // 5533 ////// 5577 // 5599 ////// 6633 //// 6655 //// 6666 ////// 6677 // 6699 // 7700 // 7722 //// 7744 // 7766 //// 7777 // 7788 //// 7799 ////// 8800 // 8822 // 8866 // 8877 // 8888 // 8899 // 9900 //// 9944 // 9955 // AA.. 33..CCaallccuullaattee::((mmeeaassuurreess ooff cceennttrraall tteennddeennccyy)) aa.. TThhee ssuumm –– aadddd oorr ttoottaall tthhee sseett ooff nnuummbbeerrss:: 22993399 bb.. TThhee mmeeaann –– ddiivviiddee tthhee ssuumm bbyy tthhee nnuummbbeerr ooff ssccoorreess:: 22993399÷÷4422== 6699..9988 44.. FFiinndd tthhee mmeeddiiaann ssccoorree:: tthhee mmiidd ssccoorree iiss tthhee mmeeddiiaann.. IInn oouurr eexxaammppllee,, tthhee nnuummbbeerr ooff ssccoorreess iiss 4422 tthheerreeffoorree tthhee mmiidd ssccoorree wwiillll bbee tthhee 2211sstt ssccoorree ((4422÷÷22==2211)) ffrroomm bbootthh eennddss wwhheenn tthhee ttaallllyy ffoorr eeaacchh ssccoorree iiss aaddddeedd.. IItt ssoo hhaappppeennss,, tthhaatt tthhee 2211sstt ssccoorree ffrroomm tthhee lloowweesstt eenndd iiss 7700 aanndd tthhee 2211sstt ssccoorree ffrroomm tthhee hhiigghheesstt eenndd iiss 7722,, tthheerreeffoorree tthhee mmeeddiiaann iiss ((7700++7722)) ÷÷ 22 == 114422÷÷22==7711.. 55.. FFiinndd tthhee mmooddee:: TThhee ssccoorree tthhaatt ooccccuurrss mmoosstt ffrreeqquueennttllyy.. IInn oouurr eexxaammppllee tthheerree aarree tthhrreeee ssccoorreess wwiitthh aa ffrreeqquueennccyy ooff tthhrreeee -- bbaasseedd oonn tthhee ttaalllliieess.. –– 5599 ,, 6666 ,, 7799 BB CCaallccuullaattee:: ((mmeeaassuurreess ooff vvaarriiaabbiilliittyy)) 11.. aa.. TThhee rraannggee -- tthhee ddiiffffeerreennccee bbeettwweeeenn tthhee hhiigghheesstt aanndd lloowweesstt ssccoorreess:: 9955--3344==6611 bb.. TThhee SSttaannddaarrdd ddeevviiaattiioonn:: IInnddiiccaatteess hhooww ssccoorreess ddeevviiaattee ffrroomm tthhee mmeeaann.. ii.. AArree tthhee ssccoorreess ggrroouuppeedd cclloosseellyy ttooggeetthheerr?? iiii.. AArree tthhee ssccoorreess sspprreeaadd wwiiddee aappaarrtt?? CCoonnssiiddeerr tthhee ffoolllloowwiinngg eexxaammpplleess // ccaallccuullaattiioonnss!!!!
  • 72.
    Marking, Evaluating andReporting ___________________________________________________________________________ 65 CCaallccuullaattiinngg TThhee SSttaannddaarrdd DDeevviiaattiioonn TTaabbllee 55..55::11 EExxaammppllee 11 SSccoorree ((XX)) SSccoorree xx SSccoorree ((XX²²)) 3344 4400 4422 4499 5533 5533 5533 5577 5599 5599 5599 6633 6633 6655 6655 6666 6666 6666 6677 6699 7700 7722 7722 7744 11115566 11660000 11776644 22440011 22880099 22880099 22880099 33224499 33448811 33448811 33448811 33996699 33996699 44222255 44222255 44335566 44335566 44335566 44448899 44776611 44990000 55118844 55118844 55447766 7766 7766 7777 7788 7788 7799 7799 7799 8800 8822 8866 8877 8888 8899 9900 9900 9944 9955 ΣΣXX==22993399 ΣΣXX²²==22993399 xx 22332299 55777766 55777766 55992299 66008844 66008844 66224411 66224411 66224411 66440000 66772244 77339966 77556699 77774444 77992211 88110000 88110000 88883366 99002255 ((ΣΣXX))²²==221133667744 NN == 4422 ((ii)) SSDD == ΣΣ XX -- ((ΣΣXX))(( ΣΣXX)) ÷÷ NN NN –– 11 ((ii)) 221133667744 –– 22993399 xx 22993399 ÷÷ 4422 88663377772211÷÷4422==220055666600 221133667744 –– 220055666600..0022 == 88001133..9988 88001133..9988 ÷÷ 4411 == 119955..4466 SSqquuaarree RRoooott ooff 119955..4466 == 1133..9988 ((SSDD))
  • 73.
    Marking, Evaluating andReporting ___________________________________________________________________________ 66 TTaabbllee 55..55::22 EExxaammppllee 22 XX  DD ((XX--MMeeaann)) DD²²  3344 4400 4422 4499 5533 5533 5533 5577 5599 5599 5599 6633 6633 6655 6655 6666 6666 6666 6677 6699 7700 7722 7722 7744 7766 --3344..9988 --2299..9988 --2277..9988 --2200..9988 --1166..9988 --1166..9988 --1166..9988 --1122..9988 --1100..9988 --1100..9988 --1100..9988 --0066..9988 --0066..9988 --0044..9988 --0044..9988 --0033..9988 --0033..9988 --0033..9988 --0022..9988 --0000..9988 00..0022 22..0022 22..0022 44..0022 66..0022 11222233..66000044 889988..88000044 778822..88880044 444400..11660044 228888..33220044 228888..33220044 228888..33220044 116688..44880044 112200..55660044 112200..55660044 112200..55660044 4488..77220044 4488..77220044 2244..88000044 2244..88000044 1155..88440044 1155..88440044 1155..88440044 88..88880044 00..99660044 00..00000044 44..00880044 44..00880044 1166..11660044 3366..22440044 7766 7777 7788 7788 7799 7799 7799 8800 8822 8866 8877 8888 8899 9900 9900 9944 9955 66..0022 77..0022 88..0022 88..0022 99..0022 99..0022 99..0022 1100..0022 1122..0022 1166..0022 1177..0022 1188..0022 1199..0022 2200..0022 2200..0022 2244..0022 2255..0022 3366..22440044 4499..22880044 6644..33220044 6644..33220044 8811..33660044 8811..33660044 8811..33660044 110000..44000044 114488..44880044 225566..66440044 228899..66880044 332244..77220044 336611..77660044 440000..88000044 440000..88000044 557766..99660044 662266..00000044 ΣΣ((XX))²²==77885500..00ii6688 ((iiii)) SSDD == ΣΣ((XX -- XX))²² NN 77885500..00116688÷÷4422==118866..99005511 118866..99005511 == 1133..6677 ((sstt.. ddeevv..)) NNoottee tthhee mmiinniimmaall ddiiffffeerreennccee iinn tthhee SSttaannddaarrdd ddeevviiaattiioonnss ooff tthhee ttwwoo mmeetthhooddss//eexxaammpplleess..
  • 74.
    Marking, Evaluating andReporting ___________________________________________________________________________ 67 IInntteerrpprreettiinngg TThhee SSttaannddaarrdd DDeevviiaattiioonn BBaasseedd oonn tthhee mmeeaann ssccoorree ((6699..9988)) aanndd tthhee ssttaannddaarrdd ddeevviiaattiioonn ((1133..9988)) wwee ccaann oobbttaaiinn mmeeaassuurreemmeenntt wwiitthh wwhhiicchh ttoo iinntteerrpprreett tthhee ppeerrffoorrmmaannccee ooff tthhee ssttuuddeennttss:: RRiigghhtt OOff TThhee MMeeaann ((oonn tthhee nnoorrmmaall ccuurrvvee)):: MM ++ 11 SSDD.. == 6699..9988 ++ 1133..9988 == 8833..9966 MM ++ 22 SSDD.. == 6699..9988 ++ 1133..9988 ++ 1133..9988 == 9977..9944 LLeefftt OOff TThhee MMeeaann MM –– 11 SSDD.. == 6699..9988 –– 1133..9988 == 5566 MM –– 22 SSDD.. ==6699..9988 –– 1133..9988 --1133..9988 == 4422..0022 AA SSttuuddeenntt’’ss ssccoorree ccaann tthheenn bbee ccaatteeggoorriizzeedd iinn oorrddeerr ttoo ccoommppaarree hhiiss//hheerr ppeerrffoorrmmaannccee wwiitthh tthhee ootthheerr mmeemmbbeerrss ooff tthhee nnoorrmm ggrroouupp.. TTaabbllee 55..66::11 IInntteerrpprreettaattiioonn ooff SSttuuddeenntt PPeerrffoorrmmaannccee SSccoorreess IInntteerrpprreettaattiioonn 3300 –– 4422 PPoooorr 4499 –– 5533 BBeellooww AAvveerraaggee 5577 –– 6699 AAvveerraaggee 7700 –– 8822 AAvveerraaggee 8866 –– 9955 AAbboovvee AAvveerraaggee TTaabbllee 55..66::22 IInntteerrpprreettaattiioonn ooff SSttuuddeenntt PPeerrffoorrmmaannccee %% SSttuuddeenntt ((ppeerrffoorrmmaannccee)) IInntteerrpprreettaattiioonn ooff ppeerrffoorrmmaannccee ((33)) 77%% PPoooorr ((44)) 99%% BBeellooww AAvveerraaggee ((1133)) 3311%% AAvveerraaggee ((1144)) 3333%% AAvveerraaggee ((88)) 1199%% AAbboovvee AAvveerraaggee CCoommmmeenntt oonn tthhee aabboovvee iinnffoorrmmaattiioonn.. CCaann yyoouu sseeee tthhee ccoonnnneeccttiioonn ttoo tthhee nnoorrmmaall ccuurrvvee?? CC.. SStteeppss iinn pprreesseennttiinngg ddaattaa ggrraapphhiiccaallllyy 66.. FFiinnddiinngg tthhee ccllaassss iinntteerrvvaall aanndd ccllaassss ssiizzee::  CCaallccuullaattee tthhee rraannggee  DDeecciiddee oonn aa tthhee nnuummbbeerr ooff iinntteerrvvaa llss ddeessiirreedd  DDiivviiddee tthhee rraannggee bbyy tthhee ddeessiirreedd nnuummbbeerr ooff ccllaassss iinntteerrvvaallss  UUssee oonnee nnuummeerraall hhiigghheerr tthhaann tthhee qquuoottiieenntt oorr ffrraaccttiioonn oobbttaaiinneedd ttoo rreepprreesseenntt tthhee ccllaassss ssiizzee EExxaammppllee:: 9955 –– 3344 == 6611 NNoo.. ooff iinntteerrvvaallss ddeessiirreedd == 88 6611 ÷÷ 88 == 77.. 99 ((CCllaassss ssiizzee == 88))
  • 75.
    Marking, Evaluating andReporting ___________________________________________________________________________ 68 TTaabbllee 55..77 CCllaassss IInntteerrvvaall:: TTaallllyy aanndd FFrreeqquueennccyy CCllaassss IInntteerrvvaall TTaallllyy FFrreeqq.. 3322 ––3399 4400 –– 4477 4488 –– 5555 5566 –– 5533 6644 –– 7711 7722 –– 7799 8800 –– 8877 8888 –– 9955 // //// //////// //////// // //////// ////// //////// //////// // //////// //////// // 11 22 44 66 88 1111 44 66 GGrraapphhiiccaall RReepprreesseennttaattiioonn ooff SSccoorreess FFiigguurree 66::11 HISTOGRAM DDiissttrriibbuuttiioonn ooff IIQQ SSccoorreess((nn==4422)) FFiigguurree 66::22 FFRREEQQUUEENNCCYY PPOOLLYYGGOONN DDiissttrriibbuuttiioonn ooff IIQQ SSccoorreess((nn==4422)) Frequency Polygon:Distribution of IQ Scores 0 2 4 6 8 10 12 32-39 40-47 48-55 56-63 64-71 72-79 80-87 88-95 Class Intervals No.ofStudents TTaasskkss:: 11.. ii.. CCaallccuullaattee // ffiinndd tthhee mmeeaann,, mmooddee,, mmeeddiiaann,, rraannggee aanndd ssttaannddaarrdd ddeevviiaattiioonn ooff aa sseett ooff ssccoorreess.. iiii.. FFoollllooww tthhee sstteeppss aanndd ggiivvee aa ggrraapphhiiccaall vviieeww ooff tthhee ssccoorreess.. 22.. CCoommmmeenntt oonn tthhee ddiissttrriibbuuttiioonn ooff tthhee ssccoorreess aass rreepprreesseenntteedd oonn tthhee hhiissttooggrraamm aanndd tthhee ffrreeqquueennccyy ppoollyyggoonn.. IIss tthhee ddiissttrriibbuuttiioonn:: ii.. NNeeggaattiivveellyy sskkeewweedd?? AArree mmoosstt ooff tthhee ssccoorreess ttoo tthhee rriigghhtt ooff tthhee mmiiddddllee//cceennttrree//mmeeaann?? MMaajjoorriittyy ooff ssttuuddeennttss ddiidd wweellll oonn tthhee tteesstt;; mmaarrkkss aarree sskkeewweedd // ttaaiilleedd ttoo tthhee lleefftt.. iiii.. PPoossiittiivveellyy sskkeewweedd?? AArree mmoosstt ooff tthhee ssccoorreess ttoo tthhee lleefftt ooff tthhee mmiiddddllee//cceennttrree//mmeeaann?? MMaajjoorriittyy ooff tthhee ssttuuddeennttss ddiidd ppoooorrllyy oonn tthhee tteesstt;; mmaarrkkss aarree sskkeewweedd // ttaaiilleedd ttoo tthhee rriigghhtt.. iiiiii.. SSyymmmmeettrriiccaall DDiissttrriibbuuttiioonn?? AArree mmoosstt ooff tthhee hhiigghh ssccoorreess cclluusstteerreedd aarroouunndd tthhee mmiiddddllee//cceennttrree//mmeeaann?? TThhee ssccoorreess ffoorrmm aa BBeellll--sshhaappeedd ccuurrvvee..
  • 76.
    EXTRA!!! EXTRA!!! ___________________________________________________________________________ 69 SSeeccttiioonn 77 RReeppoorrttiinngg:: IInntteerrpprreettiinnggRReessuullttss TToo PPrroovviiddee FFeeeeddbbaacckk RReeppoorrttiinngg iinnvvoollvveess ccoommmmuunniiccaattiinngg tthhee rreessuullttss mmaaddee dduurriinngg tthhee pprroocceessss ooff eevvaalluuaattiioonn.. TThhaatt iiss,, aafftteerr aaddmmiinniisstteerriinngg tthhee tteessttss // eexxaammss,, aa mmaarrkk oorr ggrraaddee iiss aassssiiggnneedd ttoo ssttuuddeennttss’’ wwoorrkk.. TThheenn jjuuddggeemmeenntt iiss mmaaddee bbaasseedd oonn tthhee nnoorrmmss oorr ssttaannddaarrddss// ccrriitteerriiaa.. PPlleeaassee nnoottee tthhaatt ttiimmeellyy ffeeeeddbbaacckk iiss eesssseennttiiaall ffoorr eeffffeeccttiivvee aasssseessssmmeenntt.. TThhiiss ffeeeeddbbaacckk mmuusstt bbee mmaaddee ttoo ssttuuddeennttss,, ppaarreennttss,, aaddmmiinniissttrraattoorrss,, ppoolliiccyy mmaakkeerrss oorr mmeemmbbeerrss ooff tthhee ppuubblliicc.. TThhiiss ffeeeeddbbaacckk ccaann bbee iinn tthhee ffoorrmm ooff rreeppoorrtt bbooookkss,, lleetttteerrss // nnootteess,, ccoonnffeerreenncciinngg wwiitthh ppaarreennttss//gguuaarrddiiaannss..
  • 77.
    EXTRA!!! EXTRA!!! ___________________________________________________________________________ 70 Educational Assessment And TheExceptional Learner (Hivron and Tinzman 1990; Mastropeiri & Scruggs 2000) The exceptional learner is any individual whose physical, mental, or behavioral performance substantially deviates from the norm – thus requiring additional services to meet this individual’s needs. Categories of exceptional learners include:  At-risk students/learning disabled – learners of average intelligence, but who have difficulty in learning…. Usually recognized by a teacher as early as kindergarten or first grade. Assessment of at-risk students is a teameffort and involves a variety of tests. The teacher can provide: o Data from cumulative folder o Previous reports o Health records o Academic records  Disabled – a learner with a functional limitation that interferes with his/her abilities o Hearing impaired o Visual impaired o Learning disabled o Speech impairment  Handicapped – a learner on whom a condition is imposed o Physically impaired  Gifted and talented – these students have/are o High degree of creativity o Intellectual superiority o Outstanding in any field Teachers have problems identifying the gifted. Sometimes a very creative learner may be branded a nuisance or troublemaker because he/she may be bored in class. Adapting Tests/Instruction For Students With Special Needs Some students with special needs exhibit difficulties with norm-referenced tests that may limit the reliability of their tests scores. Problems may include:  Language or communication styles (e.g. need for a sign language interpreter or communication board);  The length of the testing;  Attention difficulties;  Reading difficulties when reading competence is not being tested. Another threat to the validity of individual scores of students with disabilities is that in some cases they are not included in the test’s standardization sample.
  • 78.
    EXTRA!!! EXTRA!!! ___________________________________________________________________________ 71 Inclusion ofall students (in the regular classroom setting) requires multiple strategies. Accommodations depend on the kind of severity of a student’s disability or handicap:  Extended time to complete tasks;  Un-timed tasks;  Generous time limits;  Oral reading of directions/instructions Some assessment strategies: 1. USE OF TEST MODIFICATION:  Altering the timing or scheduling of the test;  Spreading the test over several shorter time sessions;  Administering the test over several days;  Changing the setting; Changing to a smaller room;  Moving to a distraction-free room; testing individually;  Altering the presentation of the test;  Simplifying the language;  Providing prompts and feedback (including reinforcement;  Allowing teachers to read the test and turn the test pages;  Allowing audio-tape and large print;  Changing the response format; Allowing verbal vs. written responses; 2. Use individually administered test  One-on-one  Oral or pointing responses to tasks  Perform manipulative tasks N.B. The advantages of Individual achievement Tests:  To controlmore carefully, factors such as motivation;  To assess more accurately, the extent to which disabling behaviours are influencing the scores;  To more readily obtain clinical insights, re. Students’methods of attacking problems and problems in solving them. 3. Assess students in small groups 4. Teach test-taking skills 5. Increase motivation 6. Increase examiner familiarity 7. Request modification for college entrance examinations. Some Standards Teachers Should be Skilled In  Choosing assessment methods appropriate for instructional decisions  Designing assessment methods appropriate for instructional decisions  Developing valid pupil grading procedures which use pupil assessment  Communicating assessment results to students, parents, other lay audiences and other educators.
  • 79.
    EXTRA!!! EXTRA!!! ___________________________________________________________________________ 72 CCRREEAATTIIVVIITTYY:: Creativity isgenerally defined as the process of bringing new, different, and unexpected responses to a situation -- i.e. being a productive thinker and a problem solver. “The ability to think about something in novel and unusual ways and to come up with unique solutions to problems” (Santrock 1994, 289). Creativity can be defined as proficiency in four distinct areas. Torrance, 1969 stressed creative thinking ability as a criterion for giftedness and identified four significant characteristics: Fluency (of ideas): (the number of responses produced by a stimulus); ability to produce without interruption, numerous responses to a stimulus or problem; to use stored information when it is needed Flexibility: (shifts in thinking from one category to another); ability to approach a problem from a variety of angles without getting fixed on any one in particular; an aptitude for being able to restructure materials in ways which are free fromconventions. Originality: (unusual or clever responses); ability to make an out of ordinary response; ability to deviate from the norm. Elaboration: (adding details to basic thoughts or ideas); ability to add richness or detail to response; ability to produce additional detailed information to basic material. Daniel Perkins, 1984 identifies six characteristics in his Snowflake Model (Santrock 1994, 290- 291). Creative thinking involves:  Aesthetic and practical standards  An ability to excel in finding problems  Willingness to take risks  Mental ability  Objectivity  Inner motivation. Myers (1989, 334-335) outlined four components of creativity -explained in work done by Kohn, 1987; Sternberg, 1988; Amabile & Hennessey, 1988, Slavin, 1994 -:  Intelligence – general aptitude for learning, often measured by the ability to deal with abstractions and to solve problems.  Expertise – well developed base of knowledge  Imaginative thinking skills – ability to see things in new ways, to recognize patterns, to make connections  Intrinsic motivation principle – “People will be most creative when they feel motivated primarily by interest, enjoyment, satisfaction and challenge.” N.B. “Although most creative people are quite intelligent the reverse is not necessarily true.”
  • 80.
    EXTRA!!! EXTRA!!! ___________________________________________________________________________ 73 SSEELLEECCTTEEDD EEXXAAMMPPLLEESSOOFF CCRREEAATTIIVVIITTYY TTEESSTTSS:: Guilford Tests Word Fluency (Author: Christensen-Paul-R; Guilford-J-P.) Measures the factor known as divergent production of symbolic units. In this test the respondent is to produce as rapidly as possible words which fulfill specified symbolic (letter) properties. In other words, the test requires a rapid selection and production of words through an associational process based upon the structure of the words rather than upon their meanings. Testing Time: 4 minutes. Age Range: AGE 12-17, Adults. Ideational Fluency (Author: Christensen-Paul-R; Guilford-J-P.) Measures the factor known as divergent production of semantic units, which is defined as the ability to produce with efficiency many ideas which fulfill meaningful specifications. One is to write down as quickly as possible ideas about a given topic; the emphasis is upon quantity rather than quality of the ideas expressed. Testing Time: 12 minutes. Age Range: AGE 14-17, Adults. Associational Fluency (Author: Christensen-Paul-R; Guilford-J-P.) Designed to measure one factor of divergent production of semantic relations, which is defined as the ability to produce efficiently ideas bearing prescribed relations to other ideas or to produce alternative relations. The respondent is given a word and asked to list as many words as possible which are similar in meaning to the given word. FormA uses adjectives and Form B uses verbs. Testing Time: 4 minutes. Age Range: AGE 11-17, Adults. Expressional Fluency (Author: Christensen-Paul-R; Guilford-J-P.) Measures the factor known as divergent production of semantic systems. The respondent is to write as many four- word sentences as he or she can by using words which begin with the letters given in the test. Testing Time: 8 minutes. Age Range: AGE 12-17, Adults. Match Problems (Author: Berger-Raymond-M; Guilford-J-P.) Measures the factor known as divergent production of figural transformations, this factor was formerly known as adaptive flexibility, and represents the ability to revise conceptions of figures. Testing Time: 14 minutes. Age Range: AGE 12-17, Adults. For additional information, please contact Consulting Psychologists Press; 3803 East Bayshore Road, Palo Alto, CA 94303 or http://www.cpp-db.com/cpp4.htm Two Classic Creativity Tests which can be easily applied by the classroom teacher. (i) Uses of Objects Test (Guilford): a brick, toothpick, stick etc. For example in indicating the uses of a brick, if the individual indicates that the brick is used to build things, their score would be relatively low. However, if an individual responds that it can be used to break a window, or hit a thief over the head, the score would be relatively high. The more creative the responses the more the point value will be awarded.
  • 81.
    EXTRA!!! EXTRA!!! ___________________________________________________________________________ 74 Instruction: Listedbelow are five (5) objects. Write down as many different uses as you can think for each of the objects. Be sure to write down some uses for each object. Write down anything that comes to mind no matter how strange it may seem. 1. Tin of black shoe polish 4. Old cardboard box 2. Coconut 5. Concrete block 3. Wire clothes hanger (ii). Circle Test (Torrance): Individuals can be given sixteen (16) or twenty (20) circles. Figure 7 Instruction: See how many objects you can make from the circles below by adding lines inside or outside or both inside and outside. Try to think of as many different things as you can which no one else will think of. Put as many ideas as you can into each. If your idea is not very clear you may put a title underneath the circle. The description of fluency, flexibility, originality and elaboration outlined earlier can be used to assess students’ presentation. You can also check Birdwhistle (2001).
  • 82.
    EXTRA!!! EXTRA!!! ___________________________________________________________________________ 75 BIBLIOGRAPHY Adams, D.M.,& Hamm, M.E. (1992). Portfolio assessment and Social Studies: Collecting, selecting and reflecting on what is significant. Social Education. 56(2), 103 –105. Arends, R. I. (1994). Learning to teach. Third Edition. New York: McGraw-Hill Inc. Baker, Eva Dr. (1996). A paper related to dissatisfaction with commercial standardized test. Edited by Mary Heller and James Rath. Biemer, Linda. (1993). Authentic assessment. Trends Social Studies. May, 81-83. Birdwhistle, Daniel M. (2001). Creativity with 3rd and 5th Graders: The effects of standards of production and extrinsic rewards: An introduction to present research. Bloom, Benjamin S., Hastings, J. Thomas, & Madaus, George F. (1971). Handbook on formative and summative evaluation of student learning. New York: McGraw-Hill Book Company. Bond, Lloyd. (Winter, 1995). Unintended consequences of performance assessment: Issues of bias and fairness. Educational Measurement: Issues and Practices. 21 – 24. Boud, D. & Falchikov, N. (1989). Quantitative studies of student self-assessment in higher education: A critical analysis of findings. Higher Education, 18. 529 – 549. Cangelosi, James S. (1991). Evaluating classroom instruction. New York; Longman. Capper, Joanne. (1996). Testing to learn. Learning to test. Newark, DE: International Reading Association. Childs, Ruth Axman. Constructing classroom tests. (ED315426) Consulting Psychologists Press; 3803 East Bayshore Road, Palo Alto, CA 94303 or http://www.cpp-db.com/cpp4.htm Cotton, Kathleen. Monitoring student learning in the classroom. School Improvement Series (SIRS). (cu4) Cross Davis, Barbara. (1993). Student rating form. Tools for teaching. Crump, Cynthia L A. (1996). Performance Assessment: Why? Unpublished Paper. Crump, C. L. A. (1996). A Comparison of Teacher, Self- and Peer Ratings of Social Studies School-Based Assessment Project. Unpublished Project. University of the West Indies. Daneilson, Charlotte. & Abrutyn Leslye. (1977). An introduction to using portfolios in the classroom. (Introduction pp. v–vii; The Types of Portfolios pp. 1-9). Dunbar, S.B., Koretz, D.M., & Hoover, H.D. (1991). Quality control in the development and use of performance assessment. Applied Measurement in Education. 4(1), 289 – 303. Ebel, R.L. & Frisbie, D.A. (1991). Essentials of educational measurement. (5th ed.). Needham heights, MA: Allyn & Bacon. How to write Rubrics. Easy to use rubric and assessment software. File:///A|/1_1.html. Elliot, Stephen N. Creating meaningful performance assessment. Eric Digest E531. (ED381985). Fuchs, Lynn S. (1995). Connecting performance assessment to instruction: A comparison of behavioural assessment, mastery learning, curriculum-based measurement, and performance assessment. (ED381984). Gay, L.R. (1996). Educational research: Competencies for analysis and application. (5th Ed.). New Jersey: Merril an Imprint of Prentice Hall. Gallagher, Jo D. (1998). Classroom assessment for teachers. Upper Saddle River, NJ: Merrill/Prentice Hall.
  • 83.
    EXTRA!!! EXTRA!!! ___________________________________________________________________________ 76 Guion, RobertM. (Winter, 1995). Commentary on values and standards in performance assessment. Educational Measurement: Issues and Practices. 25 – 27. Green, Bert F. (Winter, 1995). Comparability of scores from performance assessments. Educational Measurement. Issues and Practices. 13-15. Gronlund, N. E. (1995). Assessment of student achievement. (5th . Ed.) Boston: Allyn and Bacon. Gronlund, N. E. (1998). Assessment of student achievement. (6th . Ed.) Boston: Allyn and Bacon. Hambleton, R.K., & Murphy, E. (1992). A psychometric perspective on authentic assessment. Applied Measurement in Education. 5(1), 1- 16. Hivron, J. & Tinzman, M.B. (1990). Who are “At-risk” students of the 1900’s. NCREL. Oak Brook. Jones, Debra. (June, 1997). Focus on the student; Designing library instruction for central thinkers. Gabrillo College, Aptos, California. Kaplan, M., Mets, L. A., & Cook, C. E. Questions frequently asked about student ratings forms: Summary of research findings. (umich.edu/-crltmich/crlt.faq.) Kerlinger, Fred N. (1986). Foundations of behavioural research. (3rd . Ed.). New York: CBS College Publisher. Le Mahieu, P.G., Gitomer, D.H., & Eresh, J.T. (1995). Portfolios in large-scale assessment: Different but not impossible. Educational Measurement: Issues and Practice. Fall, 11-28. Lemlech, J. K. 1984). Curriculum and instructional methods for the elementary school. New York: McMillan Publishing. Lewis, Allison Y., Ragoonan, Selwyn, & Saint-Victor, Rosalind. (1984). Teaching human sexuality in Caribbean schools: A teacher’s handbook. International Planned Parenthood Federation Western hemisphere Region. Linn, R. L., & Gronlund, N. E. (2000). Measurement and assessment in teaching. Eight Edition. New Jersey. Merrill, Prentice Hall. Mager, Robert F. (1962). Preparing instructional objectives. California: Fearon Publishers, Inc. Mason, Jean B., & Bruning, Roger. Providing feedback in computer-based instruction: What the research tells us. Center For Instructional innovations: University of Nebraska-Lincoln. (MasonBruning). Mastropeiri, M.A. & Scruggs, T.E. (2000). The inclusive classroom: Strategies for effective instruction. New Jersey: Prentice. Messick, Samuel. (Winter, 1995). Standards of validity and the validity of standards in performance assessment. Educational Measurement: Issues and Practice. 5-8. McKeachie (1986). CTL teaching tips: Testing and grading. (tt8). Moore, Kenneth D. (1995). Classroom teaching skills. (3rd . Ed.). New York: MCGraw Hills Inc. NNaattiioonnaall CCoommmmiitttteeee ffoorr SSoo cciiaall SSttuuddiieess ((NNCCSSSS)) Nickel, Pat. (1992). Doing the stuff of Social Studies: A conversation with Grant Wiggins. Social Education. 56(2), 91- 94. Niels, Gary. Academic Practices, school culture and cheating behaviour. (Cheating). Nitko, Anthony J. (1995). Is the curriculum a reasonable basis for assessment reform? Educational Measurement: Issues and Practice. Fall, 5 – 10. Popham, W.J. (1995). Classroom assessment: What teachers need to know. Boston: Allyn & Bacon. Revised Bloom’s Taxonomy. Retrieved from sup.ujf- grenoble.fr/spip.php?action=acceder_document&arg=424&cle=aa535d13f95a2472539dab3766368bde83bbd 6a6&file=pdf%2FRevised_Blooms_Info.pdf
  • 84.
    EXTRA!!! EXTRA!!! ___________________________________________________________________________ 77 Richardson, M.(Dr.). (1997). Classroom testing and evaluation. University of the West Indies. Santrock, John, W. (1994). Child development. (6th Ed.). Madison: Brown & Benchmark Publishers. Rudman, H. C. (1989). Integrating testing with teaching. (ED 315432). Savage Tom V. & Armstrong, David G. (1987). Effective teaching in Elementary Social Studies. New York: McMillan Publishing Compan. Silins, H., & Murray-Harvey, R. Students a central concern: The relationship between schools, students, and outcome measures. (sil98292). Simmonds, Michael. (May, 1998). Thepedagogy of ability grouping adolescent girls in mathematics. (Simmonds). Slavin, Robert S. (1997). Educational psychology: Theory and practice. (5th ed.). Boston: allyn and Bacon. Sommervell, Hugh. (1993). Issues in assessment, enterprise and higher education: The case for self-, peer and collaborative assessment. Assessment and Evaluation in Higher Education. 18(3), 221 – 233. Stahl, Robert J. (1994). The essential elements of co-operative learning in the classroom. (ED370881) Stiggins, Richard J. (1977). Student-centered classroom assessment. (2nd . Ed.) Upper Saddle,NJ: Merril/Prentice Hall. Storms, Barbara A., Nune, Athena M. & Thomas, William H. (May/June 1996). Demonstrating Success: Using portfolios to demonstrate student skills. Thrust for Education Leadership. 25,(7). 6-9. Swanson, D.B, Norman, G.R., & Linn, R.L. (1995). Performance-based assessment: Lessons from the health professions. Educational Researcher. 24(5), 5-11. Teacher evaluation rubric. (te_appendix_b) Teaching effectively. (teaching_effectively) Tomlinson, Carol Ann. (October, 1995). Differentiating instruction (for the gifted). Advanced learners in the mixed ability middle classroom. Eric Digest: (diff. Instruction). Utoh E, & Hanley, C.L.A. (2002). Evaluation Rubric: Social Studies practicum. Teacher Training Department: Antigua State College. Wildemuth, Barbara. Alternatives to standardized tests. (ED286938). Wittrock, Merlin C. (Ed.) (1985). Handbook on research in teaching. New York: Macmillan Publishing Co. Woolfolk, A.E. (1993). Educational psychology. (5th ed.). Boston: Allyn and Bacon. Zariski, A. (1996). Student peer assessment in tertiary education: Promise, perils and practice.