Embed presentation
Download to read offline













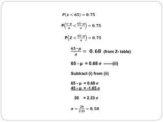
Nadeem Uddin is an associate professor of statistics who provides examples of calculating key statistical values like the mean, standard deviation, quartiles, deciles, and percentiles from normal distributions. In one example, he calculates the mean of a normal distribution given that 95% of items have a length less than 82cm. In another, he finds the standard deviation when 88.49% of values are below 106. Overall, the document provides step-by-step solutions for finding common statistical measures from normally distributed data.











