Markov Analysis
by
Dr.V.V.HaraGopal
Professor,Dept of Statistics,
Osmania University,
Hyderabad-7
STOCHASTIC PROCESS:
Stochastic “denotes the process of selecting from
among a group of theoretically possible alternatives
those elements or factors whose combination will
most closely approximate a desired result”
Stochastic models are not always exact
Stochastic models are useful shorthand
representations of complicated processes.
Markov property
Only the current value of variable is relevant for
future predictions
No information from past prices or path
What's a Markov Process?
3
• A Markov analysis looks at a
sequence of events, and analyzes
the tendency of one event to be
followed by another. Using this
analysis, you can generate a new
sequence of random but related
events, which will look similar to the
original.
4
• A Markov process is useful for analyzing
dependent random events - that is, events
whose likelihood depends on what
happened last. It would NOT be a good
way to model a coin flip, for example, since
every time you toss the coin, it has no
memory of what happened before. The
sequence of heads and tails are not inter-
related. They are independent events.
5
• But many random events are affected by
what happened before. For example,
yesterday's weather does have an
influence on what today's weather is. They
are not independent events.
6
• A Markov model could look at a long sequence of
rainy and sunny days, and analyze the likelihood that
one kind of weather gets followed by another kind.
Let's say it was found that 25% of the time, a rainy
day was followed by a sunny day, and 75% of the
time, rain was followed by more rain. Let's say we
found out additionally, that sunny days were followed
50% of the time by rain, and 50% by sun. Given this
analysis, we could generate a new sequence of
statistically similar weather by following these steps:
1) Start with today's weather.
2) Given today's weather, choose a random number
to pick tomorrow's weather.
3) Make tomorrow's weather "today's weather" and
go back to step 2. 7
• What we'd get is a sequence of days like:
Sunny Sunny Rainy Rainy Rainy Rainy Sunny Rainy
Rainy Sunny Sunny...
• In other words, the "output chain" would reflect
statistically the transition probabilities derived from
weather we observed.
• This stream of events is called a Markov Chain. A
Markov Chain, while similar to the source in the
small, is often nonsensical in the large. (Which is why
it's a lousy way to predict weather.) That is, the
overall shape of the generated material will bear little
formal resemblance to the overall shape of the
source. But taken a few events at a time, things feel
familiar.
8
9
Markov Analysis
In an industry with 3 firms we could look at
the market share of each firm at any time and
the shares have to add up to 100%. If we
had information about how customers might
change from one firm to the next then we
could predict future market shares. This is
just one example of Markov Analysis. In
general we use current probabilities and
transitional information to figure future
probabilities. Here we study an accounts
receivable example.
10
Say in the accounts receivable department, accounts are in one of
4 states, or categories:
state 1 - s1, paid,
state 2 – s2, bad debt, here defined as overdue more than three
months and company writes off the debt,
state 3 – s3, overdue less than one month,
state 4 – s4, overdue between one and three months.
Note the states are mutually exclusive and collectively
exhaustive.
At any given time there will be a certain fraction of accounts in
each state. Say in the current period we have the % of accounts
receivable in each state. In general we have a row vector of
probabilities (s1, s2, s3, s4).
11
Say now there are 25% of the accounts in each state. We
would have (.25, .25, .25, .25). This set of numbers is called
the vector of state probabilities.
Next the matrix of transition probabilities:
1 0 0 0
0 1 0 0
.6 0 .2 .2
.4 .1 .3 .2
The first row is being in the first state in the current period,
the second row is being in the second state in the current
period, and so on down the rows.
12
Now, in the matrix of transition probabilities let’s think about
each column. The first column says an account is in state 1 in
the next period. The second column says an account is in
state 2 in the next period, and so on.
Note the first row has values 1, 0, 0, 0. The values add to one.
If an account is all paid this period then it must be all paid
next period. So the 1 means there is a 100% chance of being
all paid next period and 0 % chance in being in any other
category.
In the second row we have 0, 1, 0, 0. If an account starts as
bad it will always be bad. So it has a zero chance of being
paid, less than one period overdue or be between 1 and 3
periods overdue.
13
In row three we have .6, 0, .2, .2. If an account is less than 1
month overdue now, next period there is a 60% chance it will be
all paid, 0% chance it will be bad because it can not be over 3
months bad, 20% chance it will be less than a month - wait, wait
wait. How can an account be bad less than one month now and
less than one month next period? Any account can have more
than one unpaid bill and we keep track of the oldest unpaid bill
for the category.
Note that each row has to add up to 1.
Now we are ready to ask a question. If each state has 25% of the
accounts this period, what percent will be in each state next
period?
We take the row vector and multiply by the matrix of transition
probabilities, as seen on the next screen.
14
(t, u, v, w)
d e f g
h i j k
l m n o
p q r s
We will end up with (a1, a2, a3, a4), where
a1 = t(d) + u(h) + v(l) + w(p)
a2 = t(e) + u(i) + v(m) + w(q)
a3 = t(f) + u(j) + v(n) + w(r)
a4 = t(g) + u(k) + v(o) + w(s)
Matrix multiplication
15
(.25, .25, .25, .25)
1 0 0 0
0 1 0 0
.6 0 .2 .2
.4 .1 .3. .2
We will end up with (a1, a2, a3, a4), where
a1 = .25(1) + .25(0) + .25(.6) + .25(.4) = .5
a2 = .25(0) + .25(1) + .25(0) + .25(.1) = .275
a3 = .25(0) + .25(0) + .25(.2) + .25(.3) = .125
a4 = .25(0) + .25(0) + .25(.2) + .25(.2) = .1
16
So, if we start with 25% of accounts in state 1, then next period
we have 50 % of accounts in state 1, and so on.
If you wanted to see what the %’s in each state would be two
periods from the start we would do the same calculation, but use
the row vector that we ended with in the first period
(.5, .275, .125, .1)
If I wanted to see the probabilities of being in each state at the
end of two months I would put 2 for number of transitions and
would get (.615, .285, .055, .045).
17
Now, in this particular problem we have what are called
absorbing states. Not all problems have absorbing states and if
not just do what we have done up to now.
An absorbing state is one such that once in it one stays in that
state. For instance, once debt is bad it is always bad. Now, in
the long run all debt will either be bad or paid.
The Markov Analysis problem that has absorbing states, no
matter how many transitions you put there is always an output
section called matrices and it includes the FA matrix. In our
problem we have
.9655 .0345
.8621 .1379
The rows represent the non-absorbing
states and the columns represent the
absorbing states.
18
The first row is state 3, debt of less than one month, and row 2 is
state 4, debt of 1 to 3 months. Column 1 is paid debt and column
2 is bad debt.
So, the first row says 96.55% of less than one month debt will be
paid over the long term and only 3.45% of this debt will not be
paid.
The second row means that 86.21% of 1 to 3 month debt will be
paid over the long terms and 13.79% of this debt will go bad.
Say that there is $2000 in the less than one month overdue
category and $5000 in the 1 to 3 month overdue category. How
much can the company expect to collect of this $7000 and how
much will it not collect?
19
We have to do matrix multiplication, here
(2000, 5000) .9655 .0345
.8621 .1379
([{2000*.9655} + {5000*.8621}], [{2000*.0345} + {5000*.1379}])
or (6241.50, 758.5).
So of the $7000 in states 3 and 4, $6241.50 can be expected to be
collected and $758.5 would not be collected.
Markov Processes
• Markov process models are useful in
studying the evolution of systems over
repeated trials or sequential time periods
or stages.
• Examples:
– Brand Loyalty
– Equipment performance
– Stock performance
Markov Processes
• When utilized, they can state the
probability of switching from one state to
another at a given period of time
• Examples:
– The probability that a person buying Colgate
this period will purchase Crest next period
– The probability that a machine that is working
properly this period will break down the next
period
Markov Processes
• A Markov system (or Markov process or
Markov chain) is a system that can be in
one of several (numbered) states, and can
pass from one state to another each time
step according to fixed probabilities.
• If a Markov system is in state i, there is a
fixed probability, pij, of it going into state j
the next time step, and pij is called a
transition probability.
Markov Processes
• A Markov system can be illustrated by
means of a state transition diagram, which
is a diagram showing all the states and
transition probabilities– probabilities of
switching from one state to another.
Transition Diagram
1 2
3
.4
.8
.2
.35
.65
.50
.15
What does the
diagram mean?
Transition Matrix
• The matrix P whose ijth
entry is pij is called the
transition matrix
associated with the
system.
• The entries in each row
add up to 1.
• Thus, for instance, a 2
2 transition matrix P
would be set up as
shown at the right.
1 2
1 P11 P12
2 P21 P22
From
To
Diagram & Matrix
1 2
3
.4
.8
.2
.35
.6
.50
.15
1 2 3
1 .2 .8 0
2 .4 0 .6
3 .5 .35 .15
From
To
Vectors & Transition Matrix
• A probability vector is a row vector in
which the entries are nonnegative and add
up to 1.
• The entries in a probability vector can
represent the probabilities of finding a
system in each of the states.
Probability Vector
• Let P =
.2 .8 0
.4 0 .6
.5 .35 .15
State Probabilities
• The state probabilities at any stage of the
process can be recursively calculated by
multiplying the initial state probabilities by
the state of the process at stage n.
State Probabilities
Πi (n) Probability that the system is in
state i in period n
Π(n) = [ Π1 (n) Π2 (n) ] Denotes the vector of state
probabilities for the system in
period n
Π(n+1) = Π(n) P State probabilities for period
n+1 can be found by multiplying
the known state probabilities for
period n by the transition matrix
State Probabilities
• Example:
∀Π(n) = [π1 (n) π2 (n) ]
∀Π(1) = Π(0) P
∀Π(2) = Π(1) P
∀Π(3) = Π(2) P
∀Π(n+1) = Π(n) P
Steady State Probabilities
• The probabilities that we approach after a
large number of transitions are referred to
as steady state probabilities.
• As n gets large, the state probabilities at
the (n+1)th period are very close to those
at the nth period.
Steady State Probabilities
• Knowing this, we can compute steady
state probabilities without having to carry
out a large # of calculations
Π(n) = [π1 (n) π2 (n) ]
[ π1 (n+1) π2 (n+1) ] = p11 p12
[π1 (n) π2 (n)] p21 p22
Example
• Hari, a persistent salesman, calls ABC
Hardware Store once a week hoping to
speak with the store's buying agent,
Shyam. If Shyam does not accept Hari's
call this week, the probability he will do the
same next week (and not accept his call)
is .35. On the other hand, if he accepts
Hari's call this week, the probability he will
not accept his call next week is .20.
Example: Transition Matrix
Refuses Accepts
Refuses .35 .65
Accepts .20 .80
This Week’s
Call
Next Week’s
Call
Example
• How many times per year can Hari expect
to talk to Shyam?
• Answer: To find the expected number of
accepted calls per year, find the long-run
proportion (probability) of a call being
accepted and multiply it by 52 weeks.
Example
Let π1 = long run proportion of refused calls
π2 = long run proportion of accepted
calls
Then,
.35 .65
[π1 π2 ] .20 .80 = [π1 π2 ]
Example
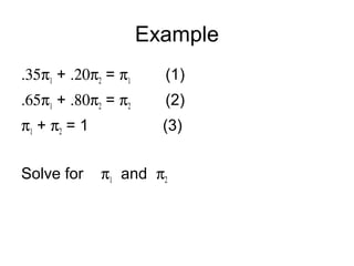
.35π1 + .20π2 = π1 (1)
.65π1 + .80π2 = π2 (2)
π1 + π2 = 1 (3)
Solve for π1 and π2
• The probability of the system being in a
particular state after a large number of
stages is called a steady-state probability.
Example: Machine Adjustment
ToTo
FromFrom
In adj. (1)In adj. (1)
Out of adj. (2)Out of adj. (2)
InIn
adjustmentadjustment
(state 1)(state 1)
0.70.7
0.60.6
Out ofOut of
adjustmentadjustment
(state 2)(state 2)
0.30.3
0.40.4
Example: Machine Adjustment
Day 1
11
22
11
.7.7
.3.3
Day 2
.7.7
.3.3
If the machine is found to be in adjustment on day 1,
what is the likelihood it will be in adjustment on day 3?
Not in adjustment?
Example: Machine Adjustment
11
22 11
22
11 22
11
.7.7
.3.3
.7.7
.3.3
.6.6
.4.4
.49.49
.21.21
.18.18
.12.12
Day 1
Day 2
.67.67
.33.33
Day 3
11
22 11
22
11 22
11
11
22
11
22
11
22
11
22.7.7
.3.3
.7.7
.3.3
.6.6
.4.4
.7.7
.3.3
.7.7
.3.3
.6.6
.4.4
.6.6
.4.4
Day 4
11
22 11
22
11 22
11
11
22
11
22
11
22
11
22.7.7
.3.3
.7.7
.3.3
.6.6
.4.4
.7.7
.3.3
.7.7
.3.3
.6.6
.4.4
.6.6
.4.4
Day 4
Example: Machine Adjustment
• Day 4:
P(S1|S1) = .7(.7)(.7) + .7(.3)(.6) +.3(.6)(.7)
+.3(.4)(.6)
= .667
P(S2|S1) = .7(.7)(.3) + .7(.3)(.4) + .3(.6)
(.3) + 3(.4)(.4)
= .333
Day 5
11
22 11
22
11 22
11
11
22
11
22
11
22
11
22
11
22
11
22
11
22
11
22
11
22
11
22
11
22
11
22.7.7
.3.3
.7.7
.3.3
.6.6
.4.4
.7.7
.3.3
.7.7
.3.3
.6.6
.4.4
.6.6
.4.4
.7.7
.3.3
.6.6
.4.4
.7.7
.3.3
.6.6
.4.4
.7.7
.3.3
.6.6
.4.4
.7.7
.3.3
.6.6
.4.4
Example: Machine Adjustment
• Day 5:
P(S1|S1) = .7(.7)(.7)(.7)+ .7(.7)(.3)(.6)
+.7(.3)(.6)(.7) +.7(.3)(.4)(.6)
+ .3(.6)(.7)(.7) + .3(.6)(.3)(.6)
+ .3(.4)(.6)(.7) + .3(.4)(.4)(.6)
= .666
P(S2|S1) = .7(.7)(.7)(.3) + .7(.7)(.3)(.4)
+ .7(.3)(.6)(.3) + .7(.3)(.4)(.4)
+ .3(.6)(.7)(.3) + .3(.6)(.3)(.4)
+ .3(.4)(.6)(.3) + .3(.4)(.4)(.4)
= .334 Notice anything interesting?
Steady State Probabilities
• These probabilities are called steady state
probabilities
• The long term probability of being in a
particular state no matter which state you
begin in
– Steady state prob. (state 1)= .667
– Steady state prob. (state 2) = .333
Example: Machine Adjustment
ToTo
FromFrom
In adj. (1)In adj. (1)
Out of adj. (2)Out of adj. (2)
InIn
adjustmentadjustment
(state 1)(state 1)
0.70.7
0.60.6
Out ofOut of
adjustmentadjustment
(state 2)(state 2)
0.30.3
0.40.4
Example: Machine Adjustment
ToTo
FromFrom
In adj. (1)In adj. (1)
Out of adj.Out of adj.
(2)(2)
InIn
adjustmentadjustment
(state 1)(state 1)
pp1111
pp2121
Out ofOut of
adjustmentadjustment
(state 2)(state 2)
pp1212
pp2222
Steady State Probabilities
P(S1 Day n+1|S1) =P(S1 Day n+1|S1) =
.7 P(S1 Day n|S1) + .6 P(S2 Day n|S1).7 P(S1 Day n|S1) + .6 P(S2 Day n|S1)
PP11
PP22
P(S2 Day n+1|S1) =P(S2 Day n+1|S1) =
.3 P(S1 Day n|S1) + .4 P(S2 Day n|S1).3 P(S1 Day n|S1) + .4 P(S2 Day n|S1)
PP11
PP22
Steady State Probabilities
PP11 == pp1111PP11 ++ pp2121PP22
PP11 = (1 -= (1 - pp1212 )) PP11 ++ pp2121 (1-(1- PP11))
PP11 = P= P11 -- pp1212 PP11 ++ pp2121 -- pp2121 PP11
pp1212 PP11 ++ pp2121 PP11 == pp2121
PP11 ==
pp2121
pp1212 ++ pp2121
Steady State Probabilities
p21
p12 + p21
P1 = = = =
.6
.3+.6
.6
.9
2
3
p12
p12 + p21
P2 = = = =
.3
.3+.6
.3
.9
1
3
Example – Steady State
Let p1 = long run proportion of refused calls
p2 = long run proportion of accepted
calls
Then,
.70 .30
[p1 p2 ] .60 .40 = [p1 p2 ]
Example – Steady State
.70p1 + .60p2 = p1 (1)
.30p1 + .40p2 = p2 (2)
p1 + p2 = 1 (3)
Solve for p1 and p2
p1 = 1 – p2
p2 = 1 – p1
Can be restated as:
Example – Steady State
Using equations (2) and (3), substitute p1 = 1 – p2
into (2):
.30(1 - p2) + .40p2 = p2
This gives p2 = .3333
Substituting back into equation (3) gives
p1 = .67 Thus the expected number of accepted calls
per year is: (.76471)(52) = 39.76 or about 40

Markov analysis

  • 1.
    Markov Analysis by Dr.V.V.HaraGopal Professor,Dept ofStatistics, Osmania University, Hyderabad-7
  • 2.
    STOCHASTIC PROCESS: Stochastic “denotesthe process of selecting from among a group of theoretically possible alternatives those elements or factors whose combination will most closely approximate a desired result” Stochastic models are not always exact Stochastic models are useful shorthand representations of complicated processes. Markov property Only the current value of variable is relevant for future predictions No information from past prices or path
  • 3.
    What's a MarkovProcess? 3
  • 4.
    • A Markovanalysis looks at a sequence of events, and analyzes the tendency of one event to be followed by another. Using this analysis, you can generate a new sequence of random but related events, which will look similar to the original. 4
  • 5.
    • A Markovprocess is useful for analyzing dependent random events - that is, events whose likelihood depends on what happened last. It would NOT be a good way to model a coin flip, for example, since every time you toss the coin, it has no memory of what happened before. The sequence of heads and tails are not inter- related. They are independent events. 5
  • 6.
    • But manyrandom events are affected by what happened before. For example, yesterday's weather does have an influence on what today's weather is. They are not independent events. 6
  • 7.
    • A Markovmodel could look at a long sequence of rainy and sunny days, and analyze the likelihood that one kind of weather gets followed by another kind. Let's say it was found that 25% of the time, a rainy day was followed by a sunny day, and 75% of the time, rain was followed by more rain. Let's say we found out additionally, that sunny days were followed 50% of the time by rain, and 50% by sun. Given this analysis, we could generate a new sequence of statistically similar weather by following these steps: 1) Start with today's weather. 2) Given today's weather, choose a random number to pick tomorrow's weather. 3) Make tomorrow's weather "today's weather" and go back to step 2. 7
  • 8.
    • What we'dget is a sequence of days like: Sunny Sunny Rainy Rainy Rainy Rainy Sunny Rainy Rainy Sunny Sunny... • In other words, the "output chain" would reflect statistically the transition probabilities derived from weather we observed. • This stream of events is called a Markov Chain. A Markov Chain, while similar to the source in the small, is often nonsensical in the large. (Which is why it's a lousy way to predict weather.) That is, the overall shape of the generated material will bear little formal resemblance to the overall shape of the source. But taken a few events at a time, things feel familiar. 8
  • 9.
    9 Markov Analysis In anindustry with 3 firms we could look at the market share of each firm at any time and the shares have to add up to 100%. If we had information about how customers might change from one firm to the next then we could predict future market shares. This is just one example of Markov Analysis. In general we use current probabilities and transitional information to figure future probabilities. Here we study an accounts receivable example.
  • 10.
    10 Say in theaccounts receivable department, accounts are in one of 4 states, or categories: state 1 - s1, paid, state 2 – s2, bad debt, here defined as overdue more than three months and company writes off the debt, state 3 – s3, overdue less than one month, state 4 – s4, overdue between one and three months. Note the states are mutually exclusive and collectively exhaustive. At any given time there will be a certain fraction of accounts in each state. Say in the current period we have the % of accounts receivable in each state. In general we have a row vector of probabilities (s1, s2, s3, s4).
  • 11.
    11 Say now thereare 25% of the accounts in each state. We would have (.25, .25, .25, .25). This set of numbers is called the vector of state probabilities. Next the matrix of transition probabilities: 1 0 0 0 0 1 0 0 .6 0 .2 .2 .4 .1 .3 .2 The first row is being in the first state in the current period, the second row is being in the second state in the current period, and so on down the rows.
  • 12.
    12 Now, in thematrix of transition probabilities let’s think about each column. The first column says an account is in state 1 in the next period. The second column says an account is in state 2 in the next period, and so on. Note the first row has values 1, 0, 0, 0. The values add to one. If an account is all paid this period then it must be all paid next period. So the 1 means there is a 100% chance of being all paid next period and 0 % chance in being in any other category. In the second row we have 0, 1, 0, 0. If an account starts as bad it will always be bad. So it has a zero chance of being paid, less than one period overdue or be between 1 and 3 periods overdue.
  • 13.
    13 In row threewe have .6, 0, .2, .2. If an account is less than 1 month overdue now, next period there is a 60% chance it will be all paid, 0% chance it will be bad because it can not be over 3 months bad, 20% chance it will be less than a month - wait, wait wait. How can an account be bad less than one month now and less than one month next period? Any account can have more than one unpaid bill and we keep track of the oldest unpaid bill for the category. Note that each row has to add up to 1. Now we are ready to ask a question. If each state has 25% of the accounts this period, what percent will be in each state next period? We take the row vector and multiply by the matrix of transition probabilities, as seen on the next screen.
  • 14.
    14 (t, u, v,w) d e f g h i j k l m n o p q r s We will end up with (a1, a2, a3, a4), where a1 = t(d) + u(h) + v(l) + w(p) a2 = t(e) + u(i) + v(m) + w(q) a3 = t(f) + u(j) + v(n) + w(r) a4 = t(g) + u(k) + v(o) + w(s) Matrix multiplication
  • 15.
    15 (.25, .25, .25,.25) 1 0 0 0 0 1 0 0 .6 0 .2 .2 .4 .1 .3. .2 We will end up with (a1, a2, a3, a4), where a1 = .25(1) + .25(0) + .25(.6) + .25(.4) = .5 a2 = .25(0) + .25(1) + .25(0) + .25(.1) = .275 a3 = .25(0) + .25(0) + .25(.2) + .25(.3) = .125 a4 = .25(0) + .25(0) + .25(.2) + .25(.2) = .1
  • 16.
    16 So, if westart with 25% of accounts in state 1, then next period we have 50 % of accounts in state 1, and so on. If you wanted to see what the %’s in each state would be two periods from the start we would do the same calculation, but use the row vector that we ended with in the first period (.5, .275, .125, .1) If I wanted to see the probabilities of being in each state at the end of two months I would put 2 for number of transitions and would get (.615, .285, .055, .045).
  • 17.
    17 Now, in thisparticular problem we have what are called absorbing states. Not all problems have absorbing states and if not just do what we have done up to now. An absorbing state is one such that once in it one stays in that state. For instance, once debt is bad it is always bad. Now, in the long run all debt will either be bad or paid. The Markov Analysis problem that has absorbing states, no matter how many transitions you put there is always an output section called matrices and it includes the FA matrix. In our problem we have .9655 .0345 .8621 .1379 The rows represent the non-absorbing states and the columns represent the absorbing states.
  • 18.
    18 The first rowis state 3, debt of less than one month, and row 2 is state 4, debt of 1 to 3 months. Column 1 is paid debt and column 2 is bad debt. So, the first row says 96.55% of less than one month debt will be paid over the long term and only 3.45% of this debt will not be paid. The second row means that 86.21% of 1 to 3 month debt will be paid over the long terms and 13.79% of this debt will go bad. Say that there is $2000 in the less than one month overdue category and $5000 in the 1 to 3 month overdue category. How much can the company expect to collect of this $7000 and how much will it not collect?
  • 19.
    19 We have todo matrix multiplication, here (2000, 5000) .9655 .0345 .8621 .1379 ([{2000*.9655} + {5000*.8621}], [{2000*.0345} + {5000*.1379}]) or (6241.50, 758.5). So of the $7000 in states 3 and 4, $6241.50 can be expected to be collected and $758.5 would not be collected.
  • 20.
    Markov Processes • Markovprocess models are useful in studying the evolution of systems over repeated trials or sequential time periods or stages. • Examples: – Brand Loyalty – Equipment performance – Stock performance
  • 21.
    Markov Processes • Whenutilized, they can state the probability of switching from one state to another at a given period of time • Examples: – The probability that a person buying Colgate this period will purchase Crest next period – The probability that a machine that is working properly this period will break down the next period
  • 22.
    Markov Processes • AMarkov system (or Markov process or Markov chain) is a system that can be in one of several (numbered) states, and can pass from one state to another each time step according to fixed probabilities. • If a Markov system is in state i, there is a fixed probability, pij, of it going into state j the next time step, and pij is called a transition probability.
  • 23.
    Markov Processes • AMarkov system can be illustrated by means of a state transition diagram, which is a diagram showing all the states and transition probabilities– probabilities of switching from one state to another.
  • 24.
  • 25.
    Transition Matrix • Thematrix P whose ijth entry is pij is called the transition matrix associated with the system. • The entries in each row add up to 1. • Thus, for instance, a 2 2 transition matrix P would be set up as shown at the right. 1 2 1 P11 P12 2 P21 P22 From To
  • 26.
    Diagram & Matrix 12 3 .4 .8 .2 .35 .6 .50 .15 1 2 3 1 .2 .8 0 2 .4 0 .6 3 .5 .35 .15 From To
  • 27.
    Vectors & TransitionMatrix • A probability vector is a row vector in which the entries are nonnegative and add up to 1. • The entries in a probability vector can represent the probabilities of finding a system in each of the states.
  • 28.
    Probability Vector • LetP = .2 .8 0 .4 0 .6 .5 .35 .15
  • 29.
    State Probabilities • Thestate probabilities at any stage of the process can be recursively calculated by multiplying the initial state probabilities by the state of the process at stage n.
  • 30.
    State Probabilities Πi (n)Probability that the system is in state i in period n Π(n) = [ Π1 (n) Π2 (n) ] Denotes the vector of state probabilities for the system in period n Π(n+1) = Π(n) P State probabilities for period n+1 can be found by multiplying the known state probabilities for period n by the transition matrix
  • 31.
    State Probabilities • Example: ∀Π(n)= [π1 (n) π2 (n) ] ∀Π(1) = Π(0) P ∀Π(2) = Π(1) P ∀Π(3) = Π(2) P ∀Π(n+1) = Π(n) P
  • 32.
    Steady State Probabilities •The probabilities that we approach after a large number of transitions are referred to as steady state probabilities. • As n gets large, the state probabilities at the (n+1)th period are very close to those at the nth period.
  • 33.
    Steady State Probabilities •Knowing this, we can compute steady state probabilities without having to carry out a large # of calculations Π(n) = [π1 (n) π2 (n) ] [ π1 (n+1) π2 (n+1) ] = p11 p12 [π1 (n) π2 (n)] p21 p22
  • 34.
    Example • Hari, apersistent salesman, calls ABC Hardware Store once a week hoping to speak with the store's buying agent, Shyam. If Shyam does not accept Hari's call this week, the probability he will do the same next week (and not accept his call) is .35. On the other hand, if he accepts Hari's call this week, the probability he will not accept his call next week is .20.
  • 35.
    Example: Transition Matrix RefusesAccepts Refuses .35 .65 Accepts .20 .80 This Week’s Call Next Week’s Call
  • 36.
    Example • How manytimes per year can Hari expect to talk to Shyam? • Answer: To find the expected number of accepted calls per year, find the long-run proportion (probability) of a call being accepted and multiply it by 52 weeks.
  • 37.
    Example Let π1 =long run proportion of refused calls π2 = long run proportion of accepted calls Then, .35 .65 [π1 π2 ] .20 .80 = [π1 π2 ]
  • 38.
    Example .35π1 + .20π2= π1 (1) .65π1 + .80π2 = π2 (2) π1 + π2 = 1 (3) Solve for π1 and π2
  • 39.
    • The probabilityof the system being in a particular state after a large number of stages is called a steady-state probability.
  • 40.
    Example: Machine Adjustment ToTo FromFrom Inadj. (1)In adj. (1) Out of adj. (2)Out of adj. (2) InIn adjustmentadjustment (state 1)(state 1) 0.70.7 0.60.6 Out ofOut of adjustmentadjustment (state 2)(state 2) 0.30.3 0.40.4
  • 41.
    Example: Machine Adjustment Day1 11 22 11 .7.7 .3.3 Day 2 .7.7 .3.3 If the machine is found to be in adjustment on day 1, what is the likelihood it will be in adjustment on day 3? Not in adjustment?
  • 42.
    Example: Machine Adjustment 11 2211 22 11 22 11 .7.7 .3.3 .7.7 .3.3 .6.6 .4.4 .49.49 .21.21 .18.18 .12.12 Day 1 Day 2 .67.67 .33.33 Day 3
  • 43.
  • 44.
  • 45.
    Example: Machine Adjustment •Day 4: P(S1|S1) = .7(.7)(.7) + .7(.3)(.6) +.3(.6)(.7) +.3(.4)(.6) = .667 P(S2|S1) = .7(.7)(.3) + .7(.3)(.4) + .3(.6) (.3) + 3(.4)(.4) = .333
  • 46.
    Day 5 11 22 11 22 1122 11 11 22 11 22 11 22 11 22 11 22 11 22 11 22 11 22 11 22 11 22 11 22 11 22.7.7 .3.3 .7.7 .3.3 .6.6 .4.4 .7.7 .3.3 .7.7 .3.3 .6.6 .4.4 .6.6 .4.4 .7.7 .3.3 .6.6 .4.4 .7.7 .3.3 .6.6 .4.4 .7.7 .3.3 .6.6 .4.4 .7.7 .3.3 .6.6 .4.4
  • 47.
    Example: Machine Adjustment •Day 5: P(S1|S1) = .7(.7)(.7)(.7)+ .7(.7)(.3)(.6) +.7(.3)(.6)(.7) +.7(.3)(.4)(.6) + .3(.6)(.7)(.7) + .3(.6)(.3)(.6) + .3(.4)(.6)(.7) + .3(.4)(.4)(.6) = .666 P(S2|S1) = .7(.7)(.7)(.3) + .7(.7)(.3)(.4) + .7(.3)(.6)(.3) + .7(.3)(.4)(.4) + .3(.6)(.7)(.3) + .3(.6)(.3)(.4) + .3(.4)(.6)(.3) + .3(.4)(.4)(.4) = .334 Notice anything interesting?
  • 48.
    Steady State Probabilities •These probabilities are called steady state probabilities • The long term probability of being in a particular state no matter which state you begin in – Steady state prob. (state 1)= .667 – Steady state prob. (state 2) = .333
  • 49.
    Example: Machine Adjustment ToTo FromFrom Inadj. (1)In adj. (1) Out of adj. (2)Out of adj. (2) InIn adjustmentadjustment (state 1)(state 1) 0.70.7 0.60.6 Out ofOut of adjustmentadjustment (state 2)(state 2) 0.30.3 0.40.4
  • 50.
    Example: Machine Adjustment ToTo FromFrom Inadj. (1)In adj. (1) Out of adj.Out of adj. (2)(2) InIn adjustmentadjustment (state 1)(state 1) pp1111 pp2121 Out ofOut of adjustmentadjustment (state 2)(state 2) pp1212 pp2222
  • 51.
    Steady State Probabilities P(S1Day n+1|S1) =P(S1 Day n+1|S1) = .7 P(S1 Day n|S1) + .6 P(S2 Day n|S1).7 P(S1 Day n|S1) + .6 P(S2 Day n|S1) PP11 PP22 P(S2 Day n+1|S1) =P(S2 Day n+1|S1) = .3 P(S1 Day n|S1) + .4 P(S2 Day n|S1).3 P(S1 Day n|S1) + .4 P(S2 Day n|S1) PP11 PP22
  • 52.
    Steady State Probabilities PP11== pp1111PP11 ++ pp2121PP22 PP11 = (1 -= (1 - pp1212 )) PP11 ++ pp2121 (1-(1- PP11)) PP11 = P= P11 -- pp1212 PP11 ++ pp2121 -- pp2121 PP11 pp1212 PP11 ++ pp2121 PP11 == pp2121 PP11 == pp2121 pp1212 ++ pp2121
  • 53.
    Steady State Probabilities p21 p12+ p21 P1 = = = = .6 .3+.6 .6 .9 2 3 p12 p12 + p21 P2 = = = = .3 .3+.6 .3 .9 1 3
  • 54.
    Example – SteadyState Let p1 = long run proportion of refused calls p2 = long run proportion of accepted calls Then, .70 .30 [p1 p2 ] .60 .40 = [p1 p2 ]
  • 55.
    Example – SteadyState .70p1 + .60p2 = p1 (1) .30p1 + .40p2 = p2 (2) p1 + p2 = 1 (3) Solve for p1 and p2 p1 = 1 – p2 p2 = 1 – p1 Can be restated as:
  • 56.
    Example – SteadyState Using equations (2) and (3), substitute p1 = 1 – p2 into (2): .30(1 - p2) + .40p2 = p2 This gives p2 = .3333 Substituting back into equation (3) gives p1 = .67 Thus the expected number of accepted calls per year is: (.76471)(52) = 39.76 or about 40