Lecture on
Marine Hydrodynamics
LECTURE 1 LECTURE 2 LECTURE 3 LECTURE 4
LECTURE 5 LECTURE 6 LECTURE 7 LECTURE 8
LECTURE 9 LECTURE 10 LECTURE 11 LECTURE 12
LECTURE 13 LECTURE 14 LECTURE 15 LECTURE 16
LECTURE 17 LECTURE 18 LECTURE 19 LECTURE 20
Student assessment
Conditions Frequency per
semester
Marks
1. Assignments 2 50
3. Mid term 1 50
4. Punctuality & good
behaviour
Every class 50
5. End semester 1 50
END OF LECTURE 1LECTURE 1
Course Overview
Wave hydrodynamics
Tides, currents and waves
Linear wave theory,
Standing wavesGroup velocity
Wave forces and
Morrison equation
LECTURE 2
1. Hydrodynamics of Offshore structures – S.K Chakrabarti - 2001
2. Marine hydrodynamics – J.N Newmann - 1977
3. Dynamics of marine vehicles – R. Bhattacharya – 1978
4. Water waves and ship hydrodynamics – R. Timman – 1985
5. Coastal hydrodynamics – J.S. Mani - 2012
References
Note: Essential notes will be given in the class
Assignment - 1
Submission 1 On or before September 08, 2014 25 marks
Submission 2 September 10, 2014 15 marks
Last date of submission September 11, 2014 5 marks
Date of submission – Assignment 1
Note:
o If copied a single assignment, no marks for assignments for the
respective semester, i.e., zero mark out of 50
 Marks will be published one week before the end semester exams
• Conservation of mass
• Euler equations of motion
• Navier-Stokes equations
• Rotation of fluid particle
• Bernoulli equation
 Include references for the assignments
Fundamentals of fluid flow using appropriate sketches
INTRODUCTION
 The oceans cover 71 percent of the Earth’s surface and contain 97 percent of
the Earth’s water.
 Less than 1 percent is fresh water and about 2-3 percent is contained in glaciers
and ice caps.
 The largest ocean on Earth is the Pacific Ocean, it covers around 30% of the
Earth’s surface. The third largest ocean on Earth is the Indian Ocean, it covers
around 14% of the Earth’s surface.
 Do you know what “Pacific” means?
 “Peaceful”. Actually when people first found it ,they found it very calm &
peaceful, so they named it “Pacific”.
 While there are hundreds of thousands of known marine life forms, there are
many that are yet to be discovered, some scientists suggest that there could
actually be millions of marine life forms out there.
 At the deepest point in the ocean the pressure is more than 8 tons per square
inch, which is equivalent to one person trying to support 50 jumbo jets.
 If the ocean’s total salt content were dried, it would cover the continents to a
depth of about 1.5 meters.
 The Antarctic ice sheet is almost twice the size of the United States
INTERESTING FACTS! Review 2
STUDY OF OCEAN WAVES – WHY?
 Oceans has enormous amount of living and non living resources.
 In order to explore and exploit the resources, a knowledge on the ocean
environment is certainly essential.
 To explore and exploit the resources a variety of structures are to be
installed. To design these structures, the environmental loads, i.e., the
forces due to waves and currents acting on these structures to be
evaluated.
 In this context, a thorough knowledge on the physics of waves, currents
and tides is vital for a Naval Architect/Ocean Engineer and hence the call
towards the subject, “Wave hydrodynamics” is extremely important.
Review 2
TIDES
WHAT CAUSES TIDES ?
 Gravity is one of the major force that creates tides.
 In 1687, Sir Isaac Newton explained that ocean tides result from the gravitational
attraction of the sun and moon on the oceans of the earth.
 What is Newton’s law of universal gravitation ?
1 2
2
m m
F
d

 Therefore, the greater the mass of the objects and the closer they are to each other,
the greater the gravitational attraction between them.
 What is the size of sun with respect to moon?
 27 million times larger than moon. So based on its mass, the sun's gravitational
attraction to the Earth is more than 177 times greater than that of the moon to the
Earth.
 However, the sun is 390 times away from the Earth than is the moon. Thus, its tide-
generating force is reduced by 3903, or about 59 million times less than the moon.
 Because of these conditions, the sun’s tide-generating force is about half that of the
moon
Review 2
 The rise and fall of the water surface in the ocean due to the
gravitational attraction between sun, moon and the earth is called as
tide
 Tides are very long period waves that originates in the oceans and
progress toward the coastlines where they appear as the regular rise
and fall of the sea surface.
 High tide, Low tide - Tidal cycle (similar to pendulum oscillating from a
mean position) (image)
 Tidal range – up to 15 meters.
 Chennai - 0.5 to 0.75 m, Hooghly – around 3 m, Gulf of Kutch – 5 to 8 m
and Bay of Fundy – 13 m.
 Tidal range is used for the generation of power, i.e., power stations using
tidal energy
WHY WE NEED THIS INFORMATION?
TIDES
At the time
of high tide
At the time
of low tide
Tidal flat
KEY FEATURES OF TIDES
• High Tide : Wave crest
• Low tide : Wave trough
• Tidal range : Wave height
• Tidal periods depending on location (i.e., stretching
for one cycle) :
• 12 hours, 25 minutes
• 24 hours, 30 minutes
TIDAL BULGES
 Gravity is one of the major force responsible for creating tides.
 Inertia, acts to counterbalance gravity.
 Gravity and inertias counterbalance results creating two major tidal bulges
 “Near side” – Gravitational attraction of moon is more and the force acts to draw the
water closer to the moon, same time the inertia attempts to keep the water in place. But
here the gravitational force exceeds it and the water is pulled toward the moon, causing
a “bulge” of water on the near side toward the moon.
 “Far side” - the gravitational attraction of the moon is less because it is farther away.
Here, inertia exceeds the gravitational force, and the water tries to keep going in a
straight line, moving away from the Earth, also forming a bulge.
 Focus only on the stronger celestial influence – moon. Sun also contribute in this cause,
and the forces created will be complex.
Review 2
 The Earth’s tidal bulges track, or follow, the position of the moon, and to a lesser extent,
the sun.
 As the moon revolves around the Earth, its angle increases and decreases in relation to
the equator
 Hence, the changes in their relative positions have a direct effect on daily tidal heights and
tidal current intensity.
CLASSIFICATION OF TIDES
Diurnal: have one high tide and
one low tide daily (high latitude)
Semidiurnal: have two high tides
and two low tides daily (low
latitude)
Mixed: there are two high tides
and two low tides daily, but of
unequal shape (mid latitude)
Review 2
TYPES OF TIDES AROUND THE WORLD
WHAT HAPPENS DURING THE PROCESS OF TIDES?
 The animation shows the relationship between the vertical and horizontal components of tides.
As the tide rises, water moves toward the shore. This is called a Flood current. As the tide
recedes, the waters move away from the shore. This is called an Ebb current.
 Water level goes up in the ocean, flow of water takes place towards the land
 Tidal flushing
 A horizontal movement of water often accompanies the rising and falling of the tide. This is
called the tidal current.
 The strongest flood and ebb currents usually occur before or near the time of the high and low
tides.
 The weakest currents occur between the flood and ebb currents and are called slack tides.
 In the open ocean tidal currents are relatively weak. Near estuary entrances, narrow straits and
inlets, the speed of tidal currents can reach up to several kilometers per hour
Review 2
TIDAL VARIATIONS
 The moon is a major influence on the Earth’s tides, but the sun also generates considerable tidal
forces.
 Solar tides are about half as large as lunar tides and are expressed as a variation of lunar tidal
patterns, not as a separate set of tides.
 When the sun, moon, and Earth are in alignment (at the time of the new or full moon), the solar
tide has an additive effect on the lunar tide, creating extra-high high tides, and very low, low
tides—both commonly called spring tides.
 One week later, when the sun and moon are at right angles to each other, the solar tide partially
cancels out the lunar tide and produces moderate tides known as neap tides.
 During each lunar month, two sets of spring tides and two sets of neap tides occur
END OF LECTURE 2
Review 2
REVIEW OF LECTURE 2
 Interesting facts
 Importance of Wave hydrodynamics for a Naval/Ocean Engineer
 Tides and what causes tides?
 Tidal bulge
 Classification of tides
 Flood current and Ebb current
 Spring and neap tides
LECTURE 3
TIDE GENERATING POTENTIAL
 The driving force for tides are the gradient of the gravity field of the moon and sun
 From the triangle OPA in the figure, 2 2 2
1 2 cosr r R rR    (2)
Fig. 1.1: Definition sketch
MoonEarth
 Ignoring Earth’s rotation, the rotation of moon about Earth produces a potential at
any point on Earth's surface:
G = Gravitational constant
M = Mass of the Moon
r1 = distance between the Moon and the given point on the Earth
1
GM
r
   (1)this can be expressed as:
TIDE GENERATING POTENTIAL
1
GM
r

  (1)
2 2 2
1 2 cosr r R rR    (2)
Adopting, Eq.(2) in (1) gives:
1
2 2
1 2 cos
GM r r
R R R


     
        
     
(3)
Repeating Eq. 1 & 2,
Eq.3 is expanded in terms of r/R by adopting
2
21
1 cos (3cos 1) ...
2
GM r r
R R R
 
       
            
       
(4)
Legendre polynomial:
Moon
Earth
 First term produces no force.
 Second term produces a constant force parallel to OA, this force keeps Earth in orbit
about the center of mass of the Earth-moon system.
 Only the third term produces tides.
2
21
(3cos 1)
2
GM r
R R

     
       
     
(5)
 Higher order terms are neglected
Fig. 1.1: Definition sketch
2
21
(3cos 1)
2
GM r
R R

     
       
     
(5)
TIDE GENERATING POTENTIAL
Again repeating Eq. 5,
 Force – a vertical component and a horizontal component
 The vertical component is balanced by pressure on the sea bed
 The tides are produced only by the component of the tide generating force in
horizontal direction
1
HF
r 

 
 (6)
3
3
sin 2
2
H
M r
F G
R
 (7)
 The horizontal component of force is given by
where, = latitude at which the tidal potential is calculated
= hour angle of the moon
= declination angle of moon
p


0
cos sin sin cos cos cos( 180 )p p        (8)
TIDE GENERATING POTENTIAL
 Now, let's allow Earth to spin about its polar axis.
 Tidal potential is to be computed along with the declination and hour angle of Moon.
 Defined by the changing potential at a fixed geographic coordinate on Earth.
 The changing potential is given by:
2 2
2
3
2 2
(3sin 1)(3sin 1)
1
3sin 2 .sin 2 .cos
4
3cos .cos .cos2
p
p
p
r
GM
R
 
  
  
  
   
     
    
  
(10)
Adopting Eq.(8) in (9) leads to,
We have the tide generating potential as:
2
21
(3cos 1)
2
GM r
R R

      
      
     
(9)
Importance of Monitoring Tides
 Navigating ships through shallow water ports, estuaries and other
narrow channels requires knowledge of the time and height of the
tides as well as the speed and direction of the tidal currents.
 Coastal zone engineering projects, including the construction of
bridges, docks, etc., require engineers to monitor fluctuating tide
levels.
 Projects involving the construction, demolition or movement of large
structures must be scheduled far in advance if an area experiences
wide fluctuations in water levels during its tidal cycle.
 Predicting tides has always been important to people who look to the
sea for their livelihood.
 Real-time water level, water current, and weather measurement
systems are being used in many major ports to provide mariners and
port.
What Affects Tides in Addition to the Sun and Moon?
 At a smaller scale, the magnitude of tides can be strongly influenced by
the shape of the shoreline.
 The shape of bays and estuaries also can magnify the intensity of tides.
Funnel-shaped bays in particular can dramatically alter tidal magnitude.
The Bay of Fundy in Nova Scotia is the classic example of this effect,
and has the highest tides in the world—around 15 meters.
 Local wind and weather patterns also can affect tides.
Ocean currents
 Flow of mass of water due to the existence of a gradient (variation in any of
the following)
 Temperature
 Salinity
 Pressure
 Waves
 Density
 Under the ocean waves, variety of currents are generated
 Current is just a flow of water mass, it will have a direction as well as
magnitude
CURRENTS
CLASSIFICATION OF CURRENTS
ACCORDING TO THE FORCES BY WHICH THEY ARE CREATED
Wind force Tides Waves Density differences
Permanent
Periodical
Accidental
Rotating
Reversing
Hydraulic
Shoreward
Longshore
Seaward
Surface
Sub surface
Deep
TIDAL CURRENTS
 Astronomical forces are responsible for tide induced currents in oceans and coastal
waters.
Rotary currents:
 In the open ocean, the tidal currents usually perform a rotary motion due to Coriolis
force over a tidal period, with constantly changing magnitude and direction
Reversing currents:
 Flood current and Ebb current – the tide generating force pushes water mass towards
upstream during flood cycle and drains out during an ebb cycle
Hydraulic currents:
 Hydraulic currents are generated due to the difference in tidal elevations between
two large ocean bodies connected through a narrow passage, for example Singapore
Strait connecting the South China Sea and Bay of Bengal
END OF LECTURE 3
REVIEW OF LECTURE 3
 Tide generating potential
 Importance of monitoring tides
 Other causes for tides
 Ocean currents and classification
 Tidal currents
LECTURE 3
WAVES
DESCRIPTION OF WAVES
 Waves are periodic undulations of the sea surface
 How is it generated?
 Winds pumps in energy for the growth of the ocean waves
 Wind generated waves starts to develop at wind speeds of approximately 1 m/s at the
surface, where the wind energy is partly transformed into wave energy by surface
shear.
 Ultimate strength depends on, fetch, wind velocity and duration of wind
 Within the fetch area, continuous energy transmitted helps in the growth of waves.
 The energy content keeps on increasing, the state of the sea also keeps on increasing,
this is referred as partially developed sea.
 At a certain stage, the energy from the wind no longer helps in the growth of the
waves, and such a situation is referred as fully developed sea.
DESCRIPTION OF WAVES
 Motion of the surface waves are considered to be oscillatory
Waves oscillatory motion
 Water droplet move in a vertical circle as the wave passes. The droplet moves forward
with the wave's crest and backward with the trough
 Impose variable and fatigue type loads on offshore and exposed coastal structures.
REGULAR WAVES
 The sine (or cosine) function defines what is called a regular wave.
 Regular waves are nothing but a simplified mathematical concept.
 In order to specify a regular wave we need its amplitude, a, its wavelength, λ , its
period, T.
 And in order to be fully specify it we also need its propagation direction and phase at
a given location and time.
 Detailed description of a sea surface is not possible hence we uses some necessary
simplifications.
 Depending on its directional spreading, waves are classified as:
Long crested waves Short crested waves
2-dimensional waves travel in the
same direction
3-dimensional waves travel in
different directions
WAVE DEFINITION AND SYMBOLS
BROAD CLASSIFICATION OF WAVES
CLASSIFICATION OF OCEAN WAVES
As per water depth As per originAs per apparent shape
CLASSIFICATION OF WAVES
ACCORDING TO APPARENT SHAPE
STANDING (Clapoitis)PROGRESSIVE
OSCILLATORY
SOLITARY
CLASSIFICATION OF WAVES
ACCORDING TO RELATIVE WATER DEPTH
SMALL AMPLITUDE WAVES
(AIRY’S THEORY)
FINITE AMPLITUDE WAVE
INTERMEDIATE DEPTH WAVES
(STOKE’S WAVES)
SHALLOW WATER WAVES
Relative water depth, d/L > 0.5
d/L between 0.05 and 0.5
d/L < 0.05
ACCORDING TO ORIGINCLASSIFICATION OF WAVES
END OF LECTURE 4
FLUID MECHANICS
GENERAL
 The behaviour of waves in the ocean governs the driving forces responsible for
the different kinds of phenomena in the marine environment.
 A variety of structures are deployed or installed in the ocean. The design of which
needs an in-depth knowledge on the characteristics of waves which in turn
require understanding of basics of fluid mechanics.
 The knowledge of fluid mechanics is essential to understand the principles
underlying the mechanics of ocean waves and its motion in deep or coastal
waters.
 Three states of matter that exists in nature namely solid, liquid and gas. Liquid
and gas are referred to as fluids. Fluids undergo continuous deformation under
the action of shear forces.
 The main distinction between a liquid and a gas lies in their rate of change in the
density, i.e., the density of gas changes more readily than that of the liquid.
 If the change of the density of a fluid is negligible, it is then defined as
incompressible.
TYPES OF FLUIDS
A fluid that has no viscosity, no surface tension and is
incompressible is defined as an Ideal fluid.
For such a fluid, no resistance is encountered as it moves.
Ideal fluid does not exist in nature however, fluids with low
viscosity such as air, water may however be treated as an
ideal fluid, which is a reasonable and well accepted
assumption.
A fluid that has viscosity, surface tension and is compressible
which exists in nature is called as practical or Real fluid.
COMPRESSIBLE AND INCOMPRESSIBLE FLUIDS
 The compressibility of a fluid is the reduction of the volume of the fluid due to an
external pressure acting on it.
 A compressible fluid will reduce its volume in the presence of external pressure.
 In nature all the fluids are compressible. Gases are highly compressible but
liquids are not highly compressible.
 Incompressible fluid is a fluid that does not change the volume of the fluid due
to external pressure.
 Incompressible fluids are hypothetical type of fluids, introduced for the
convenience of calculations.
 The approximation of incompressibility is acceptable for most of the liquids as
their compressibility is very low. However, gases cannot be approximated as
incompressible hence their compressibility is very high
HISTORY IN BRIEF
 The theories for a real or perfect fluid of Euler and Bernoulli established in the
mid 18th Century included the conservation laws for mass, momentum or kinetic
energy.
 The achievement was followed by considerable progress towards the formulation
of several empirical formulae in the field of fluid mechanics and hydraulics.
 Navier, a French Civil Engineer during the early 19th century found that the real or
perfect fluid theory did not yield a good estimation of the forces on structures due
to fluid flow for the design of a bridge across river Seine.
 Thus, the viscous flow theory by including a viscous term to momentum
conservation equation was developed by Navier in 1822.
 Stokes in 1845 from England also developed the viscous flow theory.
 The momentum conservation equation for viscous flow which is still in use is
therefore named after them and is termed as Navier-Stokes equation.
TYPES OF FLOW
Steady and Unsteady flow
Uniform and Non-uniform
Rotational and Irrotational
Laminar and Turbulent
STEADY AND UNSTEADY FLOW
 Steady flow: Fluid characteristics such as velocity (u), pressure (p),
density (ρ), temperature (T), etc… at any point do not change with
respect to time.
 E.g. Flow of water with constant discharge rate
i.e., at (x,y,z),
u p T
0, 0, 0, 0
t t t t
   
   
   
 Unsteady flow: Fluid characteristics do change with respect to time.
 E.g. Behaviour of ocean waves
i.e., at (x,y,z), u p T
0, 0, 0, 0
t t t t
   
   
   
UNIFORM FLOW AND NON-UNIFORM FLOW
 Uniform flow: At any given instant of time, when fluid properties does
not change both in magnitude and direction, from point to point within the
fluid, the flow is said to be uniform.
1
u
0
S t t
 
 
 
 Non-uniform flow: If properties of fluid changes from point to point at
any instant, the flow is non-uniform.
 E.g. Flow of liquid under pressure through long pipelines of varying
diameter
1
u
0
S t t
 
 
 
 Steady (or unsteady) and uniform (or non uniform) flow can exists
independently of each other, so that any of four combinations are
possible.
 Thus the flow of liquid at a constant rate in a long straight pipe of
constant diameter is steady, uniform flow.
 The flow of liquid at a constant rate through a conical pipe is
steady, non-uniform flow.
 With a changing rate of flow these cases become unsteady,
uniform and unsteady, non-uniform flow respectively.
COMBINATION OF FLOWS
ROTATIONAL AND IRROTATIONAL FLOW
 Rotational flow: A flow is said to be rotational if the fluid particles while
moving in the direction of flow rotate, about their mass centers.
 E.g. Liquid in a rotating tank
 Irrotational flow: The fluid particles while moving in the direction of flow
do not rotate about their mass centers.
 This type of flow exists only in the case of an ideal fluid for which no
tangential or shear stresses occur.
 The flow of real fluids may also be assumed to be irrotational, if the
viscosity of the fluid has little significance.
 For a fluid flow to be irrotational, the following conditions are to be
satisfied. It can be proved that the rotation components about the
axes parallel to x and y axes can be obtained as
x y
1 w v 1 u w
W , W
2 y z 2 z x
     
      
     
 If at every point in the flowing fluid, the rotation components Wx, Wy, Wz
equal to zero, then
where, u, v and w are velocities in the x, y and z directions respectively.
x
w v
W 0;
y z
 
 
 
y
u w
W 0;
z x
 
 
 
z
v u
W 0;
x y
 
 
 
 A flow is said to be laminar, if the fluid particles move along
straight paths in layers, such that the path of the individual fluid
particles do not cross those of the neighbouring particles.
 This type of flow occurs when the viscous forces dominate the
inertia forces at low velocities.
 Laminar flow can occur in flow through pipes, open channels and
even through porous media.
LAMINAR FLOW
 A fluid motion is said to be turbulent when the fluid particles move
in an entirely random or disorderly manner, that results in a rapid
and continuous mixing of the fluid leading to momentum transfer
as flow occurs.
 A distinguishing characteristic of turbulence is its irregularity, there
being no definite frequency, as in wave motion, and no observable
pattern, as in the case of large eddies.
 Eddies or vortices of different sizes and shapes are present
moving over large distances in such a fluid flow.
 Flow in natural streams, artificial channels, Sewers, etc are few
examples of turbulent flow.
TURBULENT FLOW
CONTINUITY EQUATION
( ) ( ) ( )
0
u v w
t x y z
      
   
   
 The continuity equation is given as,
 The continuity equation is applicable for steady , unsteady flows and uniform, non-
uniform flows and compressible and incompressible fluids.
 For incompressible fluids,
0
t



Above equation becomes,
( ) ( ) ( )
0
u v w
x y z
    
  
  
 For steady flows,
 The mass density of the fluid does not change with x, y, z
and t, hence the above equation simplifies to,
0
u v w
x y z
  
  
  
FORCES ACTING ON FLUIDS IN MOTION
 The different forces influencing the fluid motion are due to gravity, pressure,
viscosity, turbulence, surface tension and compressibility and are listed below;
• Fg (Gravity force) = Due to the weight of fluid
• Fp (Pressure force) = Due to pressure gradient
• Fv (Viscous force) = Due to viscosity
• Ft (Turbulent force) = Due to turbulence
• Fs (Surface tension force) = Due to surface tension
• Fe (Compressibility force) = Due to the elastic property
of the fluid
 If a certain mass of fluid in motion is influenced by all the above
mentioned forces then according to Newton’s law of motion, the
following equation of motion may be written;
Ma = Fg + Fp + Fv + Ft + Fs + Fe
 Further resolving these forces in x, y and z direction:
Max = Fgx + Fpx + Fvx + Ftx + Fsx + Fex
May = Fgy + Fpy + Fvy + Fty + Fsy + Fey
Maz = Fgz + Fpz + Fvz + Ftz + Fsz + Fez
where M is the mass of the fluid and ax, ay and az are fluid
acceleration in the x, y and z directions respectively
 In most of the fluid problems Fe and Fs may be neglected, hence
Ma = Fg + Fp + Fv + Ft
• Then above equation is known as Reynold’s Equation of
Motion
 For laminar flows, Ft is negligible, hence
Ma = Fg + Fp + Fv
• Then the above equation is known as Navier Stokes
Equation
 In case of ideal fluids, Fv is zero, hence
Ma = Fg + Fp
• Then the above equation is known as the Euler’s Equation of
Motion
EULER’S EQUATION OF MOTION
 Only pressure forces and the fluid weight or in general, the body force
are assumed to be acting on the mass of the fluid motion.
 Consider a point P (x, y, z) in a flowing mass of fluid at which let u, v and
w be the velocity components in directions x, y and z respectively. ‘ρ’ is
the mass density and ‘p’ be the pressure intensity.
 Let X, Y and Z be the components of the body force per unit mass at the
same point.
 Mass of fluid in the fluid medium considered is (ρ.Δx. Δy. Δz)
 Hence the total component of body force acting on,
x-direction = X (ρ.Δx. Δy. Δz)
y-direction = Y (ρ.Δx. Δy. Δz)
z-direction = Z (ρ.Δx. Δy. Δz)
 The total pressure force on PQR’S in x-direction = (p.Δy. Δz)
px
p
F p. y. z p . x y. z
x
 
        
 
 Net pressure force Fpx acting on the fluid mass in the x-direction is:
p
p . x y. z
x
 
    
 
 Therefore, the total pressure force acting on the face RS’P’Q’ in
the x-direction is:
p
p . x
x
 
  
 
 Since the ‘p’ vary with x, y and z, the pressure intensity on the
face RS’P’Q’ will be
px
p
F . x. y. z
x

    

py
p
F . x. y. z
y

    

pz
p
F . x. y. z
z

    

Further, the pressure force per unit volume are:
px
p
F
x

 

py
p
F
y

 

pz
p
F
z

 

Max = Fgx + Fpx
 For Euler equation of motion, we know in x-direction
 After solving we get,
x-direction = x
1 p
X a
x

 

 Similarly, y-direction =
z- direction =
y
1 p
Y a
y

 

z
1 p
Z a
z

 

These equations are called Euler equations of motion
 , and are termed as the total acceleration on respective directions.xa ya za
 Total acceleration has two components – w.r.t time and w.r.t space and can be
expressed in terms of u, v and w and this can be represented as:
x
u u u u
a u v w
t x y z
   
   
   
y
v v v v
a u v w
t x y z
   
   
   
z
w w w w
a u v w
t x y z
   
   
   
local acceleration
or
temporal acceleration convective acceleration
 Euler equations are applicable to compressible, incompressible, non-viscous in steady
or unsteady state of flow.
PROBLEM 1
 The rate at which water flows through a horizontal pipe of 20 cm is
increased linearly from 30 to 150 litres/s in 4.5 s. The change in the
velocity per second is found to be 3.81 m/sec. What pressure gradient
must exist to produce this acceleration? What difference in pressure
intensity will prevail between sections 8m apart? Take density as 1000
kg/m3 .
1 p u u
X u
x t x
  
  
  
Solution:
Euler equation along the pipe axis is written as,
Since the pipe has a constant diameter,
u
0
x



Since the pipe is horizontal, the body force per unit volume, X along the
flow direction is also zero.
The equation reduces:
u 1 p
t x
 
 
 
The change in velocity per second is = 3.81 m/s
2u 3.81
therefore, 0.847m/s
t 4.5

 

The pressure gradient:
p u
x t

 
 
 
2
1000 x 0.847 847 N/m /m   
Difference in pressure between sections 8m apart:
2 2p
x 8 847 x 8 N/m 6.77 kN/m
x

    

PATHLINES AND STREAMLINES
 A path line is the trace made by a single particle over a period of time.
The path line shows the direction of the velocity of the fluid particle at
successive instants of time.
 Streamlines show the mean direction of a number of particles at the
same instant of time.
 If a camera were to take a short time exposure of a flow in which there
were a large number of particles, each particle would trace a short path,
which would indicate its velocity during that brief interval.
 A series of curves drawn tangent to the means of the velocity vectors are
Streamlines
 Path lines and Streamlines are identical in a steady flow of a fluid in
which there are no fluctuating velocity components, in other words, for
truly steady flow.
VELOCITY POTENTIAL
 Velocity potential is defined as a scalar function of space and time such that its
derivative with respect to any direction yields velocity in that direction. Hence, for
any direction S, in which the velocity is Vs
sV
S



u , v
x y
  
 
 
 The continuity equation we know,
u v w
0
x y z
  
  
  
 Substituting the velocity potential in the continuity equation gives,
2
0 
Laplace Equation
LINEAR WAVE THEORY
Assumptions in deriving the expression for the
velocity potential
 Flow is said to be irrotational
 Fluid is ideal
 Surface tension is neglected
 Pressure at the free surface is uniform and constant
 The seabed is rigid, horizontal and impermeable
 Wave height is small compared to its wave length (H << L)
 Potential flow theory is applicable
 A velocity potential exists and the velocity components u and w in the x and z directions
can be obtained as and
x z
  
 
Derivation for velocity potential
 Governing equation is the Laplace equation,
2
0 
 The continuity equation and the Bernoulli’s
equation are used in the solution
procedure.
u v w
0
x y z
  
  
  
 The continuity equation is,
 The Bernoulli’s equation is,
2 2 21 p
(u + v + w ) gz 0
t 2



   

η
-η
Z=0
Z
x
a
L
H SWL
water
surface
h
0
Sea bed
Fig.1 Definition sketch for wave motion
w
v
u
-Z
Z= -h
Bottom boundary condition
h
x
Z = -h
Seabed
SWL
-w
u
Fig 2: Definition of sloping seabed
S(x, y,z,t) = 0
 Consider a stationery or moving surface
expressed as,
z = -h(x)
 For a sloping seabed, the bottom
boundary can be described as
h is the water depth at given
distance ‘x’ from the coastline
S(x) = z h(x) = 0
 The equation of the seabed can be written as,
(1)
dS S S S S
= u v w = 0
dt t x y z
   
  
   
 Also can be expressed as,dS
dt
(2)
 Also Eqn.2 is,
S S S S
u v w = 0
t x y z
   
  
   
(2)
h
w = u
x



 Substituting Eqn.3 in Eqn.2 gives,
(4)
 From the above equation, we have
and
and
S
= 0
t


S h
= (z+h(x)) =
x x x
  
  
S
= 0
y


S
= 1
z


S(x) = z h(x) = 0
 The equation of seabed is,
(1)
(3)
 Eqn.4 is,
h
w = u
x



(4)
w = 0
z



Z = -h
w =
z


h
0
x



 For a flat seabed, and hence with , Eqn.4 will result in,
(5)
 Eqn.5 indicates that vertical velocity at the seabed should be zero. This is in accordance
with the nature that no flow can pass through a solid boundary.
Kinematic free surface boundary condition
S(x, y,z,t) = z- (x,y,t) = 0
 Variations in water surface elevation can be expressed as,
(6)
• η representing the water surface elevation with respect to a reference level.
 Eqn.2 is,
S S S S
u v w = 0
t x y z
   
  
   
(2)
 From Eqn.6 we get,
S
=
x x
 

 
S
=
y y
 

 
S
= 1
z


(7)
 Substituting Eqn.7 in Eqn.2 yields,
 From Eqn.9, it is inferred that if and are negligible, the wave surface
variations w.r.t time is equal to vertical particle velocity
x

 y


u v + w =
x y t
    
 
  
(8)
w = u v
t x y
    
 
  
Z = η(x, y, t)
(9)
 Hence, the kinematic boundary condition is given as,
Dynamic free surface boundary condition
 The pressure distribution over the free surface is included using the dynamic free
surface boundary condition.
 Bernoulli Eqn. is considered with u and w components of water particle velocities in
the x and z directions,
 Bernoulli’s Eqn. is,
(10)2 2 21 p
(u + v + w ) gz 0
t 2



   

 With p as the gauge pressure (p = 0), the linear dynamic boundary condition at z = η
is given as,
or
(11)g 0
t



 

Z = η
(12)1
g t



 

Z = η
Assignment - 2
1. For a 6 m high wave with T = 10s, determine Maximum,
a. Water particle velocities, u and w
b. Water particle accelerations
c. Water particle displacements
over a depth of 1000 m. Adopt Δz = (20 m to 57 m with an interval of 1 m
per student). Draw profile variations w.r.t the phase angle θ at z = 0 for
water surface elevation and other parameters mentioned above. Give
conclusion with respect to the obtained results.
LINEAR WAVE THEORY
2. For a 2.8 m high wave with T = 10s, determine Maximum,
a. Water particle velocities, u and w
b. Water particle accelerations
c. Water particle displacements
over a depth of 8 m. Adopt Δz = (0.05 m to 0.975 m with an interval of
0.025 m per student). Draw profile variations w.r.t the phase angle θ at z =
0 for water surface elevation and other parameters mentioned above. Give
conclusion with respect to the obtained results.
Submission 1 On or before November 03, 2014 25 marks
Submission 2 November 05, 2014 15 marks
Last date of submission November 06, 2014 5 marks
Date of submission – Assignment 2
3. Determine the pressure variations under the crest of a progressive wave,
propagating in water depth of 25 m with H = 5m and T = 8s. Draw pressure
variations over the depth and tabulate the results. Assume density ρ = 1030
kg/m3
Note:
o If copied a single assignment, no marks for assignments for the
respective semester, i.e., zero mark out of 50
 Marks will be published one week before the end semester exams
Mode of submission – In person. Only graphs and tables can be taken print. At
least one hand calculation should include in the report.
 We are considering a 2-dimensional flow and hence the velocity
potential can be represented as a function of x, z and t.
 The velocity potential is assumed in the form of a product of terms
with each term as a function of only one variable,
(x,z,t) X(x).Z(z).T(t)  (14)
Solution to Laplace Equation
 Governing equation is the Laplace equation,
2
0 
2 2
2 2
0
x z
  
 
 
(13)
 Substituting Eqn.13 in the governing Laplace equation we get,
2 2
2 2
X Z
.Z.T .X.T 0
x z
 
 
  (15)
2 2
2 2
X Z
.Z.T .X.T 0
x z
 
 
 
(15)
 Eqn.15 is represented as,
'' ''X .Z.T Z .X.T 0  (16)
 Eqn.16 is dividing by X.Z.T and equating to a constant,
2
'' ''X Z
k
X Z
    (17)
 Now we can write two equations in terms of X and Z,
2''X k X 0  (18)
2''Z k Z 0  (19)
X Acoskx - Bsin kx
(20)
kz -kz
Z C + De e
 The standard solution to these two differential equations are,
where A, B, C and D are arbitrary constants.
kz -kz
(x,z,t) (Acos(kx) - Bsin (kx)) (C + D ) T(t)e e 
 Substituting Eqn.20 in Eqn.14 gives,
(21)
2
T

 cos t or sin t 
 T(t) is the time variable and is considered with respect to the
periodicity of the wave. The solutions are simple harmonic in time
and T(t) can be expressed as with
kz -kz
4 4A (C + D )cos(kx)sin ( t)e e 
kz -kz
3 3A (C + D )sin (kx)cos ( t)e e 
kz -kz
2 2A (C + D )sin (kx)sin ( t)e e 
kz -kz
1 1A (C + D )cos(kx)cos ( t)e e  (24)
(25)
(26)
(27)
 Eqn.21 can be expressed in four different combinations, namely:
 From the set of four equation, let us consider Eqn.26,
kz -kz
3 3A (C + D )sin (kx)cos ( t)e e  (26)
Determination of Constants
 The constants are determined by using the dynamic free surface
boundary condition and the kinematic bottom boundary condition.
 Applying the kinematic bottom boundary condition, i.e.,
3
w = 0
z



Z = -h
(5)
 We get,
kz -kz
3A (C + D )sin(kx)cos ( t) 0
z
e e 

   
(27)
 Differentiating Eqn.27 and substituting z = -h, we have
-kh kh
C = De e (28)
2kh
C = De (29)
 Substituting Eqn.27 in Eqn.26, we get
2kh kz -kz
3 3A (D + D )sin (kx)cos ( t)e e e 
kh k(h+z) -k(h+z)
3 32A D ( + ) / 2 sin(kx)cos ( t)e e e    
 kh
3 32A D coshk(h+z) sin(kx)cos ( t)e 
(30)
(31)
(32)
 Now applying the dynamic boundary condition specified at for
z = 0. The dynamic free surface boundary condition at z = 0 is,
31
g t



 

Z = 0
(33)
z 
 kh
3 32A D coshk(h+z) sin(kx)cos ( t)e  (32)
 We have as, i.e., Eqn.32:3
 kh3
32 A D cosh k(h+z) sin (kx)sin ( t)
t
e

 

 

 Differentiating Eqn.32 gives,
(33)
  kh
3
1
2 A D cosh k(h+z) sin (kx)sin ( t)
g
e  
 Hence, can be written as:
(34)
 kh
3
1
2 A D cosh (kh)sin (kx)sin ( t)
g
e  
and at z = 0
(35)
 Substituting Eqn.36 in Eqn. 32, the expression for velocity potential is,
3
agcosh k(h+z)
sin (kx)cos ( t)
cosh kh
 

 (37)
 The maximum value of the wave amplitude, will occur whena 
sin (kx)sin ( t) = 1
kh
3
ag
A D
2 cosh kh
e


, hence
(36)
 On assuming, where ‘a’ is the wave amplitude i.e.,
H/2.
asin kx.cos t 
 Similarly , , , and can be obtained as follows:1
4
agcosh k(h+z)
cos(kx)sin ( t)
cosh kh
 

  (38)
2 4
1
agcosh k(h+z)
cos(kx)cos ( t)
cosh kh
 

 (39)
2
agcosh k(h+z)
sin (kx)sin ( t)
cosh kh
 

  (40)
 Two elementary solutions can be combined to produce a new solution,
i.e., or3 4    1 2   
 Combining Eqn.37 and Eqn.38,
3 4    (41)
 
agcosh k(h+z)
sin (kx)cos( t) cos(kx)sin ( t)
cosh kh
  

  (42)
 Applying the rule of , sin A cos B – cos A sin B, the equation for the
velocity potential can be written as,
 
agcosh k(h+z)
sin (kx - t)
cosh kh
 

 (43)
1
g t



 

Z = 0
 Again we have the dynamic boundary condition as,
(44)
Expression for wave surface elevation
 The velocity potential is given by,
 
agcosh k(h+z)
sin (kx - t)
cosh kh
 

 (43)
 Differentiating Eqn.43 and at z = 0, we get the wave surface elevation
as,
a cos(kx - t)  (45)
Wave celerity
 If an observer travels along with wave such that the wave profile
remains stationery, then the following condition should be satisfied,
(kx- t) constant  (46)
 Therefore, the speed with which the observer must travel to achieve
this condition is given by,
kx t (46)
 In hydrodynamics, the wave speed is known as celerity
x 2 L L
C
t k T 2 T
 

   
 i.e., the wave speed, C is expressed as,
(47)
Dispersion Relation
 Assuming wave height is small compared to wave length.
 and can be ignored in the kinematic boundary condition.
 Kinematic boundary condition is,
x

 y


w = u v
t x y
    
 
  
Z = η(x, y, t)
(9)
 Then, Eqn.9 becomes,
w
t



(48)
1
g t



 

Z = 0
 From the dynamic free surface condition we have,
(12)
2
2
1
w
t g t
  
  
  Z = 0
 So,
(49)
 Also we have,
w
z



(50)
 From Eqn.49 and Eqn.50, we get
2
2
1
g t z
  
 
  Z = 0
(51)
 We have the velocity potential given by,
 
agcosh k(h+z)
sin (kx - t)
cosh kh
 

 (43)
 Substituting for velocity potential in Eqn.51 and differentiating twice
w.r.t time leads to,
 
2
2
2
1 1 agcosh k(h+z)
( ) sin (kx- t)
g t g cosh kh

 


 

(52)
or
 
2
2
1 a cosh k(h+z)
sin (kx- t)
g t cosh kh
 


 

(53)
 Now differentiating the velocity potential with respect to z leads to,
 
agksinh k(h+z)
sin (kx - t)
z cosh kh






(54)
 Substituting Eqn.53 and Eqn.54 in Eqn.51:
   
a cosh k(h+z) agksinh k(h+z)
sin (kx - t) sin (kx - t)
cosh kh cosh kh

 

 (55)
 From Eqn.47, we can relate the celerity as:
k C  (57)
 Eqn.59 indicates that wavelength is a function of time period ‘T’ and
water depth ‘h’.
 With z = 0, Eqn.55 leads to the Dispersion relation,
2
gk tanh (kh)  (56)
 Now the celerity can be expressed as:
2 g
C tanh (kh)
k
 
  
 
(58)
 With and , the above Eqn. can be re-written as:2
k
L


L
C
T

(59)
Variation of celerity in different water depth conditions
 Waves can be classified according to the water depth (h) and
wavelength (L), and the ratio (h/L) is called the relative depth.
 h/L less than 1/20 are classified as shallow water waves and h/L is
greater than 1/2 as deep water waves
Table 1: Classification of waves in terms of h/L
Classification h/L 2πh/L tanh 2πh/L
Deep waters > 1/2 > π 1
Intermediate
waters
1/20 to 1/2 π/10 to π tanh 2πh/L
Shallow waters < 1/20 0 to π/10 2πh/L
Deep water conditions
 We have the wave celerity and wave length expression as:
2 g
C tanh (kh)
k
 
  
 
(58)
(59)
 For deep water conditions, tanh (kh) = 1, then the wave celerity and
wave length becomes,
0
0
gL
C
2π
 (60)
2
0
gT
L
2
 (61)
 That is, when tanh (kh) approaches unity then the wave characteristics
are independent of the water depth, h while wave period remain
constant. Hence,
2
2
0
gT
L 1.56T
2
  meters (62)
Shallow water conditions
 In shallow water conditions, kh is π/10 or h/L < 1/20
2 g
C tanh (kh)
k
 
  
 
 Again, we have and
 In shallow waters, tanh (kh) is equal to kh or 2πh/L, then
C gh (63)
(64)
 The wave speed or wave celerity (C)is :
• In deep waters – C is NOT a function of depth . It is only a function of
wave period
• In intermediate waters – C is a function of depth and period
• In shallow waters – C is only a function of water depth
Water Particle Velocities
 We have the velocity potential given by,
 
agcosh k(h+z)
sin (kx - t)
cosh kh
 

 (43)
 The horizontal particle velocity is given as,
u
x



(61)
 Therefore,
agk cosh k(h+z)
u cos( )
cosh kh


 (62)
where, (kx- t) 
 Also we have,
2
gk tanh(kh) 
2
T

 
H 2a
(63)
 Substituting Eqn.63 in Eqn.62 leads to,
2
a cosh k(h+z)
u cos( )
tanh kh cosh kh



 (64)
 Which further reduces to,
H cosh k(h+z)
u cos( )
T sinh kh

 (65)
 Maximum horizontal velocity is given as,
or
max
H cosh k(h+z)
u
T sinh kh

 (66)
max
agk cosh k(h+z)
u
cosh kh
 (67)
 Similarly , the vertical water particle velocity ‘w’ and ‘wmax’ is
expressed as,
w
z



agk sinh k(h+z)
w sin ( )
cosh kh



(68)
 And the maximum vertical water particle velocity is expressed as,
max
agk sinh k(h+z)
w
cosh kh
 
  
 
max
H sinh k(h+z)
w
T sinh kh
 
  
 
or (69)
 From Eqns. 62 and 68, it can be understood that u and w are out of
phase by 90 degrees, i.e., when u is maximum, w is minimum and vice
versa.
Position of water particle in its orbit during wave propagation
 The process indicates that while the water surface at station X
performs one oscillation in the vertical direction over a wave period T
or a wave propagates by one wave length, water particle completes
its orbital path during the same period.
 This figure shows another way of visualizing motions of water
particles in fluid medium.
Water Particle Accelerations
 We have the horizontal particle velocity expression as,
agk cosh k(h+z)
u cos(kx t)
cosh kh


  (62)
 Differentiating Eqn.62 w.r.t time, water particle acceleration in x-
direction is,
where, (kx- t) 
  x
u agk cosh k(h+z)
a sin (kx t)
t cosh kh
 

 
       
(70)
x
cosh k(h+z)
a agk sin
cosh kh

 
  
 
(71)
 Maximum acceleration in horizontal direction is given as,
x,max
cosh k(h+z)
a agk
cosh kh
 
  
 
(72)
 Similarly , differentiating Eqn. 68 w.r.t time, we get the water particle
acceleration in z-direction,
  z
w agk sinh k(h+z)
a cos(kx t)
t cosh kh
 

 
      
(73)
z
sinh k(h+z)
a agk cos
cosh kh

 
   
 
(74)
 Maximum acceleration in vertical direction is given as,
z,max
sinh k(h+z)
a agk
cosh kh
 
   
 
(75)
Hyperbolic functions in different water depth conditions
Function Shallow waters Deep waters
Sinh (kh) kh ekh/2
Cosh (kh) 1 ekh/2
Tanh (kh) kh 1
Water Particle Displacements
 The expression for the horizontal and vertical water particle
displacement from its mean position is obtained by integrating the
water particle velocity in the x and z direction respectively.
 Horizontal particle velocity,
u dtH   (76)
 Substituting for u and integrating:
agk cosh k(h+z)
cos(kx t)dt
cosh kh
H 

  (77)
2
agk cosh k(h+z)
sin (kx t)
cosh kh
H 

   (78)
2
gk tanh (kh) 
 We know the dispersion relation,
(79)
 Then Eqn.78 can be written as,
a cosh k(h+z)
sin (kx t)
sinh kh
H    (80)
 Similarly, the vertical particle displacement can also obtained,
w dtV  
agk sinh k(h+z)
sin (kx t)dt
cosh kh
V 

  (81)
2
agk sinh k(h+z)
cos(kx t)
cosh kh
V 

  (82)
asinh k(h+z)
cos(kx t)
sinh kh
V  
 With dispersion relation,
(83)
asinh k(h+z)
cos(kx t)
sinh kh
V   (83)
a cosh k(h+z)
sin (kx t)
sinh kh
H    (80)
 Now we have the expression for horizontal and vertical particle
displacement as shown in Eqn.80 and 83:
 Let,
a sinh k(h+z)
B
sinh kh
 (85)
a cosh k(h+z)
A
sinh kh
 (84)
 Substituting Eqns.84 and 85 in Eqns.80 and 83, squaring and then re-
writing yields,
2
2
2
cos (kx t)
B
V
  (87)
2
2
2
sin (kx t)
A
H
  (86)
 Adding Eqns. 86 and 87, also since , we
have
2 2
sin (kx t) + cos (kx t) 1   
22
2 2
1
A B
VH 
  (88)
 This is an equation of an ellipse which indicates that the water
particles, moves in an elliptical orbit. Here A is the semi major axis
(i.e., the horizontal measure of particle displacement) and B is the
semi minor axis (i.e., the vertical measure of particle displacement)
2
2
2
cos (kx t)
B
V
  (87)
2
2
2
sin (kx t)
A
H
  (86)
 So we have,
Shallow water conditions
 We have,
a sinh k(h+z)
B
sinh kh
 (85)
a cosh k(h+z)
A
sinh kh
 (84)
 For shallow waters,
cosh k(h+z) 1
sinh k(h+z) k(h+z)
sinh kh kh
(89)
a
A
kh

k(h+z)
B a
kh
 
   
a (h +z)
h

 Then,
(90)
(91)
22
2 2
1
A B
VH 
  (88)
 We know,
 Substituting for A and B from Eqns.90 and 91, we get
2 2
1
a a (h +z)
kh h
VH 
   
   
    
      
            
(92)
 Thus A is independent of positional depth z, whereas B is dependent
on z, implying that horizontal displacements are same over the depth,
and vertical displacements vary from maximum of ‘a’ at the surface (z
= 0) to zero at the sea bed (z = -h).
 This shows that the water particle move in elliptical orbits (paths) in
shallow and intermediate waters with the equation of the above form,
i.e., Eqn.92.
Water particle orbits in shallow waters
Deep water conditions
 For deep waters, i.e., h/L > 1/2,
( )
cosh k(h+z)
2
k h z
e 

( )
sinh k(h+z)
2
k h z
e 

sinh kh
2
kh
e

(93)
kz
A ae
kz
B ae
 After substituting , we get,
(94)
(95)
 Substituting for A and B from Eqns.94 and 95, in Eqn.88, we get
2 2
kz kz
1
ae ae
VH    
    
   
(96)
 Thus, since A = B, it can be understood that in deep waters the water
particles move in circular path and their diameter keeps decreasing
exponentially.
 Since it is an exponential variation, the reduction in the displacement
for a wave in deep waters occur drastically.
 At a distance beyond – L0/2, (i.e., -1.56 x T2/2), the displacement is
negligible particularly in deep waters.
 And it is estimated that the decrease in A and B is less than 4% for z >
– L0/2.
Water particle orbits in deep waters
Problems
 Determine the wavelength in water depth of 8m for a deep water
wave with a period T = 10 sec.
 From the given data,
0
h
0.05128
L

 Deep water wavelength (L0) = 156 m
 From the wave table,
h
0.09548
L

 Then, L = 83.79 m
Problem - 1
Problem - 2
 A wave flume is filled with fresh water to a depth of 2 m. A wave of
height 0.3 m and period 2.2 sec is generated. Calculate the wave
celerity.
Problem - 3
 Oscillatory surface waves were observed in deep water and wave
period was found to be 8 sec.
1. At what bottom depth would the phase velocity begin to change
with decrease in water depth
2. What is the phase velocity at a bottom depth of 16 m and 4 m
3. Compute the ratio of celerity at the above water depth to deep
water celerity.
Deep water 16 m 4 m
Length 99.84 m 83.46 m 48.02 m
Celerity 12.48 m/s 10.43 m/s 6 m/s
C/C0 1 0.84 0.48
Results:
 It can be understood that the celerity decreases as the water depth
decreases.
 The ratio of the celerity shows that when the wave moves
shallower, the order of the difference is almost 50%.
 Hence it should be noted that, we should be very careful in
calculating the wavelength for the corresponding water depth, for
which we are interested in designing the structure.
Mid Exam
1. Question paper is for 30 marks. Total (30+20) Marks
2. 10 x 1 = 10 and 5 x 4 = 20
3. 1 mark question:
 It may be one word answer.
 Otherwise write in one sentence or maximum two.
4. 5 marks question:
 Derivation or explanation or problem type questions
 Necessary sketches has to be provided.
 Outline of the sketch is enough, properly marked. No need
to spent all time in making the sketch.
Special note:
 Do not make any noise inside the exam hall once you have
given the question paper. Start as early as possible, without
loosing the time making unnecessary noises. I will be
coming to the exam hall in 5 or 10 minutes.
 DO NOT COPY, No marks will be given and the student will
not be allowed to write the exam further.
Pressure within a Progressive wave
 We have the Bernoulli’s equation,
2 21 p
(u + w ) gz 0
t 2



   

(97)
 The linearized Bernoulli’s Eqn. can be given by,
p
gz
t



  

(98)
p ( z), where, g =
t

   
 
    
 
 Multiplying through out by , then the total pressure can be given as:
Dynamic + Static
(99)
 We have the velocity potential,
 
agcosh k(h+z)
sin (kx - t)
cosh kh
 

 (100)
 Substituting for velocity potential and differentiating w.r.t time,
 
agcosh k(h+z)
cos (kx - t) (- )
t cosh kh

 




 
agcosh k(h+z)
cos (kx - t)
t cosh kh



 

or (101)
t



 Now substituting for in Eqn.98 gives,
 
p agcosh k(h+z)
cos (kx - t) gz
cosh kh


  (102)
 Since, , the above Eqn.102 can be written as,acos(kx- t) 
p gcosh k(h+z)
gz
cosh kh


  (103)
cosh k(h+z)
p z
cosh kh


 
  
 
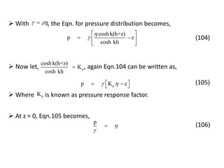
g  With , the Eqn. for pressure distribution becomes,
(104)
p
cosh k(h+z)
K
cosh kh
 Now let, , again Eqn.104 can be written as,
pp K z    
(105)
 Where is known as pressure response factor.pK
 At z = 0, Eqn.105 becomes,
p


 (106)
Gravity waves; Airy's wave; Free surface condition; Velocity
potential- Dispersion relation; Surface tension effects; Orbital
motion; Group velocity and its dynamical significance; Wave
energy; Standing waves; Loops and nodes, Wave forces and
Morison's equation, Long waves and waves in a canal; Tides.
Syllabus
Group Velocity
Wave groups are formed by superimposing any two wave trains
of same amplitude but slightly different wave lengths or wave
periods which progress in the same direction.
When the group of waves or wave train travels, its speed is
generally not identical to the speed with the individual waves
within the group of waves.
This resultant surface disturbance can be represented as the
sum of the individual disturbance.
Determination of Group Velocity
Consider two trains of regular waves, assuming same amplitude
1 1 1sin ( )a k x t   (107)
2 2 2sin ( )a k x t   (108)
The combination of two wave yields,
1 2T   
1 1 2 2[sin ( ) sin ( )]T a k x t k x t     
(109)
(110)
Eqn.110 is expanded using the trigonometric expression,
sin sin 2sin .cos
2 2
A B A B
A B
 
  (111)
1 2 1 2 1 2 1 2
2 cos .sin
2 2 2 2
T
k k k k
a x t x t
   

              
            
          
(110)
After rearranging,
Hence this is a form of a series of sine waves, the amplitude of
which varies slowly from 0 to 2a according to the cosine factor.
 This indicates that the surface due to the superposition of the two
sinusoidal components will again be a sine form with the
displacement proportional to,
1 2 1 2
sin
2 2
k k
x t
       
    
    
(111)
 And a variable amplitude of,
(112)1 2 1 2
2 cos
2 2
k k
a x t
       
    
    
Fig.1 Superposition of two waves with slightly different frequencies,
progressing in the same direction
Resultant wave
Nodes (points of
zero amplitude)
Wave envelope
The points of zero amplitude (nodes) of the wave envelope
are located by finding the zeroes of the cosine factorT
i.e., occurs when,0T 
1 2 1 2
(2 1)
2 2 2
k k
x t n
      
     
   
(113)
Hence depending on the value of ‘n’ we will have 0 points or 0
amplitudes.
In other words, the nodes will occur on ‘x’ distances as follows,
1 2
1 2 1 2
(2 1)
node
n
x t
k k k k
   
  
  
(114)
Since the position of all nodes is a function of time, they are not
stationery. At t = 0, there will be nodes at
1 2 1 2 1 2
3 5
, , , etc, i.e.,at n 0,1,2,3...
k k k k k k
  

  
Hence the distance between the nodes are given by,
1 2
2
x
k k



(115)
Which is again equal to,
1 2
2 1
L L
x
L L


(116)
Hence the distance between the nodes are now represented in
terms of wavelengths of two waves which are superposed.
The value of ‘x’, when differentiating with respect to time will give
the velocity.
This velocity is nothing but the velocity with which the entire
waves are going to move as a group, called as group velocity.
Group velocity is obviously different from the velocity with which
the individual waves will be moving.
node
G
d x
Wave group velocity, C
dt

Hence we can represent,
1 2
1 2k k
 


GC
d
dk

 (117)
2
k.C
T

  
We have,
(118)
Now we can write,
 
G
k C
C
k k
dd
d d

 
 
G
k C
C
k
d
d

dC
C+k.
dk

dC 1
C+k.
dkdL
dL
 
 
  
 
 
(119)
G
dC
C C L
dL
-  
  
 
After simplification,
(120)
For a general relationship for the group celerity, employing the
dispersion relationship with Eqn.120 yields,
G
C 2kh
C 1
2 sinh 2kh
 
  
 
(121)
Which can be expressed as
GC 1 2kh
1
C 2 sinh 2kh
n
 
   
 
(122)
where n can be defined as the ratio of group celerity to the
phase velocity or celerity
For shallow waters, GC C = gh (123)
For deep waters, G 0
1
C C
2
 (124)
Wave Energy
A wave system possesses both kinetic and potential energies, i.e.,
Total energy = K.E + P.E
The kinetic energy is due to the fact that the water particles have
an orbital motion and the potential energy is due to the elevation
of the water level.
For a sinusoidal wave, the potential energy is given as
2
p
1
E ga per unit area of wave surface
4
 (125)
Similarly, the kinetic energy can also be expressed as
2
k
1
E ga per unit area of wave surface
4
 (126)
Therefore the total energy for a regular wave is the sum of
Eqn.125 and 126. Hence the total energy per unit area of the
wave surface is expressed as,
21
E ga
2
 (127)
Surface tension effects
The dispersion relation can be expressed as,
2
gk tanh (kh)  (128)
This relationship is valid for the deep water waves where the
wave length is large.
On the other hand, for short wavelength waves where k is large,
the surface tension provides the primary restoring force leading
to wave motion.
After including the surface tension effect, the dispersion relation
can be written as,
2 2
g + k k tanh (kh)



 
  
 
(129)
where is the surface tension in N/m
The group velocity of capillary waves, the waves dominated
by surface tension effects, is greater than the phase velocity .
This is opposite to the situation of surface gravity waves (with
surface tension negligible compared to the effects of gravity)
where the phase velocity exceeds the group velocity.
d
dk

k

Surface tension only has influence for short waves with wave
length less than few centimetres and for very short wave lengths,
the gravity effects are negligible.
STANDING WAVES
Standing waves are formed due to reflection of waves.
A solid structure such as a vertical wall will reflect the incident
wave.
The amplitude of the reflected wave depends on the wave and
wall characteristics.
Standing waves are often occur when incoming waves are
completely reflected by vertical walls on both ends. When the
reflected wave passes through the incident wave a standing wave
will develop.
Consider two waves having the same height and period but
propagating in opposite directions along the x-axis.
When these two waves are superimposed the resulting motion is
a standing wave.
The water surface oscillates from one position to the other and
back to the original position in one wave period.
 The arrows indicate the paths of water particle oscillation.
Under a nodal point particles oscillate in a horizontal plane
while under an antinodal point they oscillate in a vertical plane.
 If the two component waves are identical, the net energy flux is
zero.
 The pressure is hydrostatic under a node where particle
acceleration is horizontal, but under antinode there is a
fluctuating vertical component of dynamic pressure.
Velocity potential
 The velocity potential for a standing wave can be obtained by
adding the velocity potentials for the two component waves that
move in opposite directions.
h
h
(130)
 This yields
This yields a surface profile given by
(131)
Horizontal and Vertical particle velocities
h
h
Horizontal,
(132)
h
h
Vertical,
(133)
Horizontal and Vertical particle displacements
h
h
Horizontal,
(134)
Vertical,
(135)
h
h
ENERGY
The energy in a standing wave per unit crest width and for one
wave length is
(136)
The component of P.E is,
(137)
The component of K.E is,
(138)
WAVE LOADS ON STRUCTURES
Loads on Offshore Structures
Static loads
Dynamic loads
Gravity Loads Environmental loads
due to
1. Waves
2. Winds
3. Currents
4. Ice
Gravity Loads
Structural dead loads
Facility dead loads
Fluid loads
Live loads
Drilling loads
• Includes all primary steel structural members
• Includes additional structural items such as boat
landing, handrails, small access platform etc.
• Includes fixed items but not structural
components
• Includes mechanical, electrical, piping between
each equipment, instrumentation equipment etc.
• Weight of the fluid on the platform during
operation.
• Include all the fluid in the equipment and piping.
• Movable loads and temporary in nature.
• Include open areas such as walkways, access
platforms, helicopter loads in the helipad etc.
• due to drill rigs placed on top of the platform for
drilling purposes, the weight of the structure
shall be applied as load on the structure
• additional loads due to drill operations
Precise evaluation of the wave forces exerted upon the structure
in the ocean is extremely complicated.
One of the major step in the calculation of wave forces involve
the selection of an appropriate wave theory to describe the
particle kinematics and displacements for the given design wave
condition.
The linear wave theory can be used if H/gT2 < 0.001 in deep and
intermediate water conditions.
However, in general, offshore structures are designed for H/gT2 >
0.001 and the linear wave theory underestimates the wave
force.
WAVE LOADS
Hydrodynamic Analysis for
Structures
Design wave method Spectral method
Spectral method
An energy spectrum of the sea-state for the location is taken and
a transfer function for the response generated.
Collect as much information about waves for the given location
and obtain a spectral density for that location.
For fixed structures, the spectral method is not yet adopted by
API or any other codes or does not permit its use.
 But for floating structures, DNV code allows spectral method in
few instances.
Design wave method
Most common method to determine the wave loads on
structures.
This method uses the maximum wave height that may occur
during the design life of the structures.
The 100-year wave is usually chosen as the design wave for the
survival condition.
The probability of occurrence of that wave is not taken into
account.
The force exerted by the waves are most dominant in governing
the Jacket structures design, especially the pile foundation.
Wave loads exerted on the jacket is applied laterally on all
members and it causes overturning moment on the structure.
Maximum wave shall be used for design of offshore structures.
The relationship between significant wave height (Hs) and
maximum wave height (Hmax) is:
Hmax = 1.86 Hs
 The equation corresponds to a computation based on 1000
waves in a record.
Design Wave Heights
Maximum design waves in various regions
API RP2A requires both 1 year and 100 year recurrence wave
to be used for the design of jacket and piles.
Using 1 year (normal operating conditions) and 100 year
(special conditions, increase the stresses on the
structures)data, appropriate load combinations shall be used in
the design.
Wave Currents
Ocean currents induce drag on offshore structures.
Together with the action of waves, these currents generate
dynamic loads.
Simple sea current could cause due to winds by dragging shear
on the surface of water.
The forces due to the tidal currents should be considered at
places where the tidal variation is high
How to estimate wave and current loading on the structure?
MORISON EQUATION
 Morison Equation is a general form and cannot be applied to all
members in the offshore structures. Developed specifically for a
surface piercing cylinder.
 Wave and current loading can be calculated using Morison Equation
Basis of Morison Equation:
 Flow is assumed to be not disturbed by the presence of the
structure
 Force calculation is empirical calibrated by experimental
results (semi-empirical method)
 Suitable coefficients need to be used depending on the shape
of the body or structure
 Validity range shall be checked before use and generally
suitable for most jacket type structures where D/L << 0.2,
where D is the diameter of the structural member and L is the
wave length.
 Wave forces predicted by Morison equation confirms very well
as long as the D/L << 0.2.
FT – total force
CD & CM – drag and inertia coefficients, respectively
D – diameter of the member (incl. marine growth)
V – velocity of flow (vector sum of wave & current)
a – acceleration of the water particle
w – density of water
FD  V2
FI  volume x density x acceleration
FT - varies with space and time
Drag component Inertia component
Circular
cross-section
Morison Equation
Selection of CD and CM
 Empirical coefficients to be used in Morison Equation correlated with
experimental data
 Coefficients depend on shape of the structure, surface roughness, flow
velocity and direction of flow
 Extensive research on various shapes available
 API RP 2A provides enough information on circular cylinders
 DNV recommendation can be used for non-circular cylinders
 CD , CM charts available in literature, which can be used for the selection
process for many type of sections.
Selection of Wave Theory
 Water depth, d = 60 m
 Wave height, H = 12 m
 Wave period, Tapp = 10 s
 Calculate H/gTapp
2 = 0.012
 Calculate d/gTapp
2 = 0.06
For the calculated values,
Stoke’s Fifth Order wave
theory is selected
How to select?
Estimation of Wave Load on a Member
 Establish Wave Height, Period and Current Distribution along the
depth
 Establish Wave Theory applicable for H, T, d
 Estimation of water particle kinematics including wave-current
interaction
 Establish Cd and Cm
 Establish Marine Growth
 Required reduction factors depending on the structure
 Finally put into the Morison Equation to estimate the forces
The first few Legendre polynomials are
BACK

Marine hydrodynamics

  • 1.
    Lecture on Marine Hydrodynamics LECTURE1 LECTURE 2 LECTURE 3 LECTURE 4 LECTURE 5 LECTURE 6 LECTURE 7 LECTURE 8 LECTURE 9 LECTURE 10 LECTURE 11 LECTURE 12 LECTURE 13 LECTURE 14 LECTURE 15 LECTURE 16 LECTURE 17 LECTURE 18 LECTURE 19 LECTURE 20
  • 2.
    Student assessment Conditions Frequencyper semester Marks 1. Assignments 2 50 3. Mid term 1 50 4. Punctuality & good behaviour Every class 50 5. End semester 1 50 END OF LECTURE 1LECTURE 1
  • 3.
    Course Overview Wave hydrodynamics Tides,currents and waves Linear wave theory, Standing wavesGroup velocity Wave forces and Morrison equation LECTURE 2
  • 4.
    1. Hydrodynamics ofOffshore structures – S.K Chakrabarti - 2001 2. Marine hydrodynamics – J.N Newmann - 1977 3. Dynamics of marine vehicles – R. Bhattacharya – 1978 4. Water waves and ship hydrodynamics – R. Timman – 1985 5. Coastal hydrodynamics – J.S. Mani - 2012 References Note: Essential notes will be given in the class
  • 5.
    Assignment - 1 Submission1 On or before September 08, 2014 25 marks Submission 2 September 10, 2014 15 marks Last date of submission September 11, 2014 5 marks Date of submission – Assignment 1 Note: o If copied a single assignment, no marks for assignments for the respective semester, i.e., zero mark out of 50  Marks will be published one week before the end semester exams • Conservation of mass • Euler equations of motion • Navier-Stokes equations • Rotation of fluid particle • Bernoulli equation  Include references for the assignments Fundamentals of fluid flow using appropriate sketches
  • 6.
  • 7.
     The oceanscover 71 percent of the Earth’s surface and contain 97 percent of the Earth’s water.  Less than 1 percent is fresh water and about 2-3 percent is contained in glaciers and ice caps.  The largest ocean on Earth is the Pacific Ocean, it covers around 30% of the Earth’s surface. The third largest ocean on Earth is the Indian Ocean, it covers around 14% of the Earth’s surface.  Do you know what “Pacific” means?  “Peaceful”. Actually when people first found it ,they found it very calm & peaceful, so they named it “Pacific”.  While there are hundreds of thousands of known marine life forms, there are many that are yet to be discovered, some scientists suggest that there could actually be millions of marine life forms out there.  At the deepest point in the ocean the pressure is more than 8 tons per square inch, which is equivalent to one person trying to support 50 jumbo jets.  If the ocean’s total salt content were dried, it would cover the continents to a depth of about 1.5 meters.  The Antarctic ice sheet is almost twice the size of the United States INTERESTING FACTS! Review 2
  • 8.
    STUDY OF OCEANWAVES – WHY?  Oceans has enormous amount of living and non living resources.  In order to explore and exploit the resources, a knowledge on the ocean environment is certainly essential.  To explore and exploit the resources a variety of structures are to be installed. To design these structures, the environmental loads, i.e., the forces due to waves and currents acting on these structures to be evaluated.  In this context, a thorough knowledge on the physics of waves, currents and tides is vital for a Naval Architect/Ocean Engineer and hence the call towards the subject, “Wave hydrodynamics” is extremely important. Review 2
  • 9.
  • 10.
    WHAT CAUSES TIDES?  Gravity is one of the major force that creates tides.  In 1687, Sir Isaac Newton explained that ocean tides result from the gravitational attraction of the sun and moon on the oceans of the earth.  What is Newton’s law of universal gravitation ? 1 2 2 m m F d   Therefore, the greater the mass of the objects and the closer they are to each other, the greater the gravitational attraction between them.  What is the size of sun with respect to moon?  27 million times larger than moon. So based on its mass, the sun's gravitational attraction to the Earth is more than 177 times greater than that of the moon to the Earth.  However, the sun is 390 times away from the Earth than is the moon. Thus, its tide- generating force is reduced by 3903, or about 59 million times less than the moon.  Because of these conditions, the sun’s tide-generating force is about half that of the moon Review 2
  • 11.
     The riseand fall of the water surface in the ocean due to the gravitational attraction between sun, moon and the earth is called as tide  Tides are very long period waves that originates in the oceans and progress toward the coastlines where they appear as the regular rise and fall of the sea surface.  High tide, Low tide - Tidal cycle (similar to pendulum oscillating from a mean position) (image)  Tidal range – up to 15 meters.  Chennai - 0.5 to 0.75 m, Hooghly – around 3 m, Gulf of Kutch – 5 to 8 m and Bay of Fundy – 13 m.  Tidal range is used for the generation of power, i.e., power stations using tidal energy WHY WE NEED THIS INFORMATION? TIDES
  • 12.
    At the time ofhigh tide At the time of low tide Tidal flat
  • 13.
    KEY FEATURES OFTIDES • High Tide : Wave crest • Low tide : Wave trough • Tidal range : Wave height • Tidal periods depending on location (i.e., stretching for one cycle) : • 12 hours, 25 minutes • 24 hours, 30 minutes
  • 14.
    TIDAL BULGES  Gravityis one of the major force responsible for creating tides.  Inertia, acts to counterbalance gravity.  Gravity and inertias counterbalance results creating two major tidal bulges  “Near side” – Gravitational attraction of moon is more and the force acts to draw the water closer to the moon, same time the inertia attempts to keep the water in place. But here the gravitational force exceeds it and the water is pulled toward the moon, causing a “bulge” of water on the near side toward the moon.  “Far side” - the gravitational attraction of the moon is less because it is farther away. Here, inertia exceeds the gravitational force, and the water tries to keep going in a straight line, moving away from the Earth, also forming a bulge.  Focus only on the stronger celestial influence – moon. Sun also contribute in this cause, and the forces created will be complex. Review 2
  • 15.
     The Earth’stidal bulges track, or follow, the position of the moon, and to a lesser extent, the sun.  As the moon revolves around the Earth, its angle increases and decreases in relation to the equator  Hence, the changes in their relative positions have a direct effect on daily tidal heights and tidal current intensity.
  • 16.
    CLASSIFICATION OF TIDES Diurnal:have one high tide and one low tide daily (high latitude) Semidiurnal: have two high tides and two low tides daily (low latitude) Mixed: there are two high tides and two low tides daily, but of unequal shape (mid latitude) Review 2
  • 17.
    TYPES OF TIDESAROUND THE WORLD
  • 18.
    WHAT HAPPENS DURINGTHE PROCESS OF TIDES?  The animation shows the relationship between the vertical and horizontal components of tides. As the tide rises, water moves toward the shore. This is called a Flood current. As the tide recedes, the waters move away from the shore. This is called an Ebb current.  Water level goes up in the ocean, flow of water takes place towards the land  Tidal flushing  A horizontal movement of water often accompanies the rising and falling of the tide. This is called the tidal current.  The strongest flood and ebb currents usually occur before or near the time of the high and low tides.  The weakest currents occur between the flood and ebb currents and are called slack tides.  In the open ocean tidal currents are relatively weak. Near estuary entrances, narrow straits and inlets, the speed of tidal currents can reach up to several kilometers per hour Review 2
  • 19.
    TIDAL VARIATIONS  Themoon is a major influence on the Earth’s tides, but the sun also generates considerable tidal forces.  Solar tides are about half as large as lunar tides and are expressed as a variation of lunar tidal patterns, not as a separate set of tides.  When the sun, moon, and Earth are in alignment (at the time of the new or full moon), the solar tide has an additive effect on the lunar tide, creating extra-high high tides, and very low, low tides—both commonly called spring tides.  One week later, when the sun and moon are at right angles to each other, the solar tide partially cancels out the lunar tide and produces moderate tides known as neap tides.  During each lunar month, two sets of spring tides and two sets of neap tides occur END OF LECTURE 2 Review 2
  • 20.
    REVIEW OF LECTURE2  Interesting facts  Importance of Wave hydrodynamics for a Naval/Ocean Engineer  Tides and what causes tides?  Tidal bulge  Classification of tides  Flood current and Ebb current  Spring and neap tides LECTURE 3
  • 21.
    TIDE GENERATING POTENTIAL The driving force for tides are the gradient of the gravity field of the moon and sun  From the triangle OPA in the figure, 2 2 2 1 2 cosr r R rR    (2) Fig. 1.1: Definition sketch MoonEarth  Ignoring Earth’s rotation, the rotation of moon about Earth produces a potential at any point on Earth's surface: G = Gravitational constant M = Mass of the Moon r1 = distance between the Moon and the given point on the Earth 1 GM r    (1)this can be expressed as:
  • 22.
    TIDE GENERATING POTENTIAL 1 GM r   (1) 2 2 2 1 2 cosr r R rR    (2) Adopting, Eq.(2) in (1) gives: 1 2 2 1 2 cos GM r r R R R                        (3) Repeating Eq. 1 & 2, Eq.3 is expanded in terms of r/R by adopting 2 21 1 cos (3cos 1) ... 2 GM r r R R R                                (4) Legendre polynomial: Moon Earth  First term produces no force.  Second term produces a constant force parallel to OA, this force keeps Earth in orbit about the center of mass of the Earth-moon system.  Only the third term produces tides. 2 21 (3cos 1) 2 GM r R R                      (5)  Higher order terms are neglected Fig. 1.1: Definition sketch
  • 23.
    2 21 (3cos 1) 2 GM r RR                      (5) TIDE GENERATING POTENTIAL Again repeating Eq. 5,  Force – a vertical component and a horizontal component  The vertical component is balanced by pressure on the sea bed  The tides are produced only by the component of the tide generating force in horizontal direction 1 HF r      (6) 3 3 sin 2 2 H M r F G R  (7)  The horizontal component of force is given by
  • 24.
    where, = latitudeat which the tidal potential is calculated = hour angle of the moon = declination angle of moon p   0 cos sin sin cos cos cos( 180 )p p        (8) TIDE GENERATING POTENTIAL  Now, let's allow Earth to spin about its polar axis.  Tidal potential is to be computed along with the declination and hour angle of Moon.  Defined by the changing potential at a fixed geographic coordinate on Earth.  The changing potential is given by: 2 2 2 3 2 2 (3sin 1)(3sin 1) 1 3sin 2 .sin 2 .cos 4 3cos .cos .cos2 p p p r GM R                              (10) Adopting Eq.(8) in (9) leads to, We have the tide generating potential as: 2 21 (3cos 1) 2 GM r R R                      (9)
  • 25.
    Importance of MonitoringTides  Navigating ships through shallow water ports, estuaries and other narrow channels requires knowledge of the time and height of the tides as well as the speed and direction of the tidal currents.  Coastal zone engineering projects, including the construction of bridges, docks, etc., require engineers to monitor fluctuating tide levels.  Projects involving the construction, demolition or movement of large structures must be scheduled far in advance if an area experiences wide fluctuations in water levels during its tidal cycle.  Predicting tides has always been important to people who look to the sea for their livelihood.  Real-time water level, water current, and weather measurement systems are being used in many major ports to provide mariners and port.
  • 26.
    What Affects Tidesin Addition to the Sun and Moon?  At a smaller scale, the magnitude of tides can be strongly influenced by the shape of the shoreline.  The shape of bays and estuaries also can magnify the intensity of tides. Funnel-shaped bays in particular can dramatically alter tidal magnitude. The Bay of Fundy in Nova Scotia is the classic example of this effect, and has the highest tides in the world—around 15 meters.  Local wind and weather patterns also can affect tides.
  • 27.
  • 28.
     Flow ofmass of water due to the existence of a gradient (variation in any of the following)  Temperature  Salinity  Pressure  Waves  Density  Under the ocean waves, variety of currents are generated  Current is just a flow of water mass, it will have a direction as well as magnitude CURRENTS
  • 29.
    CLASSIFICATION OF CURRENTS ACCORDINGTO THE FORCES BY WHICH THEY ARE CREATED Wind force Tides Waves Density differences Permanent Periodical Accidental Rotating Reversing Hydraulic Shoreward Longshore Seaward Surface Sub surface Deep
  • 30.
    TIDAL CURRENTS  Astronomicalforces are responsible for tide induced currents in oceans and coastal waters. Rotary currents:  In the open ocean, the tidal currents usually perform a rotary motion due to Coriolis force over a tidal period, with constantly changing magnitude and direction Reversing currents:  Flood current and Ebb current – the tide generating force pushes water mass towards upstream during flood cycle and drains out during an ebb cycle Hydraulic currents:  Hydraulic currents are generated due to the difference in tidal elevations between two large ocean bodies connected through a narrow passage, for example Singapore Strait connecting the South China Sea and Bay of Bengal END OF LECTURE 3
  • 31.
    REVIEW OF LECTURE3  Tide generating potential  Importance of monitoring tides  Other causes for tides  Ocean currents and classification  Tidal currents LECTURE 3
  • 32.
  • 33.
    DESCRIPTION OF WAVES Waves are periodic undulations of the sea surface  How is it generated?  Winds pumps in energy for the growth of the ocean waves  Wind generated waves starts to develop at wind speeds of approximately 1 m/s at the surface, where the wind energy is partly transformed into wave energy by surface shear.  Ultimate strength depends on, fetch, wind velocity and duration of wind  Within the fetch area, continuous energy transmitted helps in the growth of waves.  The energy content keeps on increasing, the state of the sea also keeps on increasing, this is referred as partially developed sea.  At a certain stage, the energy from the wind no longer helps in the growth of the waves, and such a situation is referred as fully developed sea.
  • 34.
    DESCRIPTION OF WAVES Motion of the surface waves are considered to be oscillatory Waves oscillatory motion  Water droplet move in a vertical circle as the wave passes. The droplet moves forward with the wave's crest and backward with the trough  Impose variable and fatigue type loads on offshore and exposed coastal structures.
  • 35.
    REGULAR WAVES  Thesine (or cosine) function defines what is called a regular wave.  Regular waves are nothing but a simplified mathematical concept.  In order to specify a regular wave we need its amplitude, a, its wavelength, λ , its period, T.  And in order to be fully specify it we also need its propagation direction and phase at a given location and time.  Detailed description of a sea surface is not possible hence we uses some necessary simplifications.  Depending on its directional spreading, waves are classified as: Long crested waves Short crested waves 2-dimensional waves travel in the same direction 3-dimensional waves travel in different directions
  • 36.
  • 37.
    BROAD CLASSIFICATION OFWAVES CLASSIFICATION OF OCEAN WAVES As per water depth As per originAs per apparent shape
  • 38.
    CLASSIFICATION OF WAVES ACCORDINGTO APPARENT SHAPE STANDING (Clapoitis)PROGRESSIVE OSCILLATORY SOLITARY
  • 39.
    CLASSIFICATION OF WAVES ACCORDINGTO RELATIVE WATER DEPTH SMALL AMPLITUDE WAVES (AIRY’S THEORY) FINITE AMPLITUDE WAVE INTERMEDIATE DEPTH WAVES (STOKE’S WAVES) SHALLOW WATER WAVES Relative water depth, d/L > 0.5 d/L between 0.05 and 0.5 d/L < 0.05
  • 40.
    ACCORDING TO ORIGINCLASSIFICATIONOF WAVES END OF LECTURE 4
  • 41.
  • 42.
    GENERAL  The behaviourof waves in the ocean governs the driving forces responsible for the different kinds of phenomena in the marine environment.  A variety of structures are deployed or installed in the ocean. The design of which needs an in-depth knowledge on the characteristics of waves which in turn require understanding of basics of fluid mechanics.  The knowledge of fluid mechanics is essential to understand the principles underlying the mechanics of ocean waves and its motion in deep or coastal waters.  Three states of matter that exists in nature namely solid, liquid and gas. Liquid and gas are referred to as fluids. Fluids undergo continuous deformation under the action of shear forces.  The main distinction between a liquid and a gas lies in their rate of change in the density, i.e., the density of gas changes more readily than that of the liquid.  If the change of the density of a fluid is negligible, it is then defined as incompressible.
  • 43.
    TYPES OF FLUIDS Afluid that has no viscosity, no surface tension and is incompressible is defined as an Ideal fluid. For such a fluid, no resistance is encountered as it moves. Ideal fluid does not exist in nature however, fluids with low viscosity such as air, water may however be treated as an ideal fluid, which is a reasonable and well accepted assumption. A fluid that has viscosity, surface tension and is compressible which exists in nature is called as practical or Real fluid.
  • 44.
    COMPRESSIBLE AND INCOMPRESSIBLEFLUIDS  The compressibility of a fluid is the reduction of the volume of the fluid due to an external pressure acting on it.  A compressible fluid will reduce its volume in the presence of external pressure.  In nature all the fluids are compressible. Gases are highly compressible but liquids are not highly compressible.  Incompressible fluid is a fluid that does not change the volume of the fluid due to external pressure.  Incompressible fluids are hypothetical type of fluids, introduced for the convenience of calculations.  The approximation of incompressibility is acceptable for most of the liquids as their compressibility is very low. However, gases cannot be approximated as incompressible hence their compressibility is very high
  • 45.
    HISTORY IN BRIEF The theories for a real or perfect fluid of Euler and Bernoulli established in the mid 18th Century included the conservation laws for mass, momentum or kinetic energy.  The achievement was followed by considerable progress towards the formulation of several empirical formulae in the field of fluid mechanics and hydraulics.  Navier, a French Civil Engineer during the early 19th century found that the real or perfect fluid theory did not yield a good estimation of the forces on structures due to fluid flow for the design of a bridge across river Seine.  Thus, the viscous flow theory by including a viscous term to momentum conservation equation was developed by Navier in 1822.  Stokes in 1845 from England also developed the viscous flow theory.  The momentum conservation equation for viscous flow which is still in use is therefore named after them and is termed as Navier-Stokes equation.
  • 46.
    TYPES OF FLOW Steadyand Unsteady flow Uniform and Non-uniform Rotational and Irrotational Laminar and Turbulent
  • 47.
    STEADY AND UNSTEADYFLOW  Steady flow: Fluid characteristics such as velocity (u), pressure (p), density (ρ), temperature (T), etc… at any point do not change with respect to time.  E.g. Flow of water with constant discharge rate i.e., at (x,y,z), u p T 0, 0, 0, 0 t t t t              Unsteady flow: Fluid characteristics do change with respect to time.  E.g. Behaviour of ocean waves i.e., at (x,y,z), u p T 0, 0, 0, 0 t t t t            
  • 48.
    UNIFORM FLOW ANDNON-UNIFORM FLOW  Uniform flow: At any given instant of time, when fluid properties does not change both in magnitude and direction, from point to point within the fluid, the flow is said to be uniform. 1 u 0 S t t        Non-uniform flow: If properties of fluid changes from point to point at any instant, the flow is non-uniform.  E.g. Flow of liquid under pressure through long pipelines of varying diameter 1 u 0 S t t      
  • 49.
     Steady (orunsteady) and uniform (or non uniform) flow can exists independently of each other, so that any of four combinations are possible.  Thus the flow of liquid at a constant rate in a long straight pipe of constant diameter is steady, uniform flow.  The flow of liquid at a constant rate through a conical pipe is steady, non-uniform flow.  With a changing rate of flow these cases become unsteady, uniform and unsteady, non-uniform flow respectively. COMBINATION OF FLOWS
  • 50.
    ROTATIONAL AND IRROTATIONALFLOW  Rotational flow: A flow is said to be rotational if the fluid particles while moving in the direction of flow rotate, about their mass centers.  E.g. Liquid in a rotating tank  Irrotational flow: The fluid particles while moving in the direction of flow do not rotate about their mass centers.  This type of flow exists only in the case of an ideal fluid for which no tangential or shear stresses occur.  The flow of real fluids may also be assumed to be irrotational, if the viscosity of the fluid has little significance.  For a fluid flow to be irrotational, the following conditions are to be satisfied. It can be proved that the rotation components about the axes parallel to x and y axes can be obtained as x y 1 w v 1 u w W , W 2 y z 2 z x                   
  • 51.
     If atevery point in the flowing fluid, the rotation components Wx, Wy, Wz equal to zero, then where, u, v and w are velocities in the x, y and z directions respectively. x w v W 0; y z       y u w W 0; z x       z v u W 0; x y      
  • 52.
     A flowis said to be laminar, if the fluid particles move along straight paths in layers, such that the path of the individual fluid particles do not cross those of the neighbouring particles.  This type of flow occurs when the viscous forces dominate the inertia forces at low velocities.  Laminar flow can occur in flow through pipes, open channels and even through porous media. LAMINAR FLOW
  • 53.
     A fluidmotion is said to be turbulent when the fluid particles move in an entirely random or disorderly manner, that results in a rapid and continuous mixing of the fluid leading to momentum transfer as flow occurs.  A distinguishing characteristic of turbulence is its irregularity, there being no definite frequency, as in wave motion, and no observable pattern, as in the case of large eddies.  Eddies or vortices of different sizes and shapes are present moving over large distances in such a fluid flow.  Flow in natural streams, artificial channels, Sewers, etc are few examples of turbulent flow. TURBULENT FLOW
  • 54.
    CONTINUITY EQUATION ( )( ) ( ) 0 u v w t x y z                 The continuity equation is given as,  The continuity equation is applicable for steady , unsteady flows and uniform, non- uniform flows and compressible and incompressible fluids.  For incompressible fluids, 0 t    Above equation becomes, ( ) ( ) ( ) 0 u v w x y z             For steady flows,  The mass density of the fluid does not change with x, y, z and t, hence the above equation simplifies to, 0 u v w x y z         
  • 55.
    FORCES ACTING ONFLUIDS IN MOTION  The different forces influencing the fluid motion are due to gravity, pressure, viscosity, turbulence, surface tension and compressibility and are listed below; • Fg (Gravity force) = Due to the weight of fluid • Fp (Pressure force) = Due to pressure gradient • Fv (Viscous force) = Due to viscosity • Ft (Turbulent force) = Due to turbulence • Fs (Surface tension force) = Due to surface tension • Fe (Compressibility force) = Due to the elastic property of the fluid
  • 56.
     If acertain mass of fluid in motion is influenced by all the above mentioned forces then according to Newton’s law of motion, the following equation of motion may be written; Ma = Fg + Fp + Fv + Ft + Fs + Fe  Further resolving these forces in x, y and z direction: Max = Fgx + Fpx + Fvx + Ftx + Fsx + Fex May = Fgy + Fpy + Fvy + Fty + Fsy + Fey Maz = Fgz + Fpz + Fvz + Ftz + Fsz + Fez where M is the mass of the fluid and ax, ay and az are fluid acceleration in the x, y and z directions respectively
  • 57.
     In mostof the fluid problems Fe and Fs may be neglected, hence Ma = Fg + Fp + Fv + Ft • Then above equation is known as Reynold’s Equation of Motion  For laminar flows, Ft is negligible, hence Ma = Fg + Fp + Fv • Then the above equation is known as Navier Stokes Equation  In case of ideal fluids, Fv is zero, hence Ma = Fg + Fp • Then the above equation is known as the Euler’s Equation of Motion
  • 58.
    EULER’S EQUATION OFMOTION  Only pressure forces and the fluid weight or in general, the body force are assumed to be acting on the mass of the fluid motion.  Consider a point P (x, y, z) in a flowing mass of fluid at which let u, v and w be the velocity components in directions x, y and z respectively. ‘ρ’ is the mass density and ‘p’ be the pressure intensity.  Let X, Y and Z be the components of the body force per unit mass at the same point.  Mass of fluid in the fluid medium considered is (ρ.Δx. Δy. Δz)  Hence the total component of body force acting on, x-direction = X (ρ.Δx. Δy. Δz) y-direction = Y (ρ.Δx. Δy. Δz) z-direction = Z (ρ.Δx. Δy. Δz)
  • 59.
     The totalpressure force on PQR’S in x-direction = (p.Δy. Δz) px p F p. y. z p . x y. z x               Net pressure force Fpx acting on the fluid mass in the x-direction is: p p . x y. z x           Therefore, the total pressure force acting on the face RS’P’Q’ in the x-direction is: p p . x x         Since the ‘p’ vary with x, y and z, the pressure intensity on the face RS’P’Q’ will be
  • 60.
    px p F . x.y. z x        py p F . x. y. z y        pz p F . x. y. z z        Further, the pressure force per unit volume are: px p F x     py p F y     pz p F z    
  • 61.
    Max = Fgx+ Fpx  For Euler equation of motion, we know in x-direction  After solving we get, x-direction = x 1 p X a x      Similarly, y-direction = z- direction = y 1 p Y a y     z 1 p Z a z     These equations are called Euler equations of motion
  • 62.
     , andare termed as the total acceleration on respective directions.xa ya za  Total acceleration has two components – w.r.t time and w.r.t space and can be expressed in terms of u, v and w and this can be represented as: x u u u u a u v w t x y z             y v v v v a u v w t x y z             z w w w w a u v w t x y z             local acceleration or temporal acceleration convective acceleration  Euler equations are applicable to compressible, incompressible, non-viscous in steady or unsteady state of flow.
  • 63.
    PROBLEM 1  Therate at which water flows through a horizontal pipe of 20 cm is increased linearly from 30 to 150 litres/s in 4.5 s. The change in the velocity per second is found to be 3.81 m/sec. What pressure gradient must exist to produce this acceleration? What difference in pressure intensity will prevail between sections 8m apart? Take density as 1000 kg/m3 . 1 p u u X u x t x          Solution: Euler equation along the pipe axis is written as, Since the pipe has a constant diameter, u 0 x   
  • 64.
    Since the pipeis horizontal, the body force per unit volume, X along the flow direction is also zero. The equation reduces: u 1 p t x       The change in velocity per second is = 3.81 m/s 2u 3.81 therefore, 0.847m/s t 4.5    
  • 65.
    The pressure gradient: pu x t        2 1000 x 0.847 847 N/m /m    Difference in pressure between sections 8m apart: 2 2p x 8 847 x 8 N/m 6.77 kN/m x       
  • 66.
    PATHLINES AND STREAMLINES A path line is the trace made by a single particle over a period of time. The path line shows the direction of the velocity of the fluid particle at successive instants of time.  Streamlines show the mean direction of a number of particles at the same instant of time.  If a camera were to take a short time exposure of a flow in which there were a large number of particles, each particle would trace a short path, which would indicate its velocity during that brief interval.  A series of curves drawn tangent to the means of the velocity vectors are Streamlines  Path lines and Streamlines are identical in a steady flow of a fluid in which there are no fluctuating velocity components, in other words, for truly steady flow.
  • 67.
    VELOCITY POTENTIAL  Velocitypotential is defined as a scalar function of space and time such that its derivative with respect to any direction yields velocity in that direction. Hence, for any direction S, in which the velocity is Vs sV S    u , v x y         The continuity equation we know, u v w 0 x y z           Substituting the velocity potential in the continuity equation gives, 2 0  Laplace Equation
  • 68.
  • 69.
    Assumptions in derivingthe expression for the velocity potential  Flow is said to be irrotational  Fluid is ideal  Surface tension is neglected  Pressure at the free surface is uniform and constant  The seabed is rigid, horizontal and impermeable  Wave height is small compared to its wave length (H << L)  Potential flow theory is applicable  A velocity potential exists and the velocity components u and w in the x and z directions can be obtained as and x z     
  • 70.
    Derivation for velocitypotential  Governing equation is the Laplace equation, 2 0   The continuity equation and the Bernoulli’s equation are used in the solution procedure. u v w 0 x y z           The continuity equation is,  The Bernoulli’s equation is, 2 2 21 p (u + v + w ) gz 0 t 2         η -η Z=0 Z x a L H SWL water surface h 0 Sea bed Fig.1 Definition sketch for wave motion w v u -Z Z= -h
  • 71.
    Bottom boundary condition h x Z= -h Seabed SWL -w u Fig 2: Definition of sloping seabed S(x, y,z,t) = 0  Consider a stationery or moving surface expressed as, z = -h(x)  For a sloping seabed, the bottom boundary can be described as h is the water depth at given distance ‘x’ from the coastline S(x) = z h(x) = 0  The equation of the seabed can be written as, (1) dS S S S S = u v w = 0 dt t x y z             Also can be expressed as,dS dt (2)
  • 72.
     Also Eqn.2is, S S S S u v w = 0 t x y z            (2) h w = u x     Substituting Eqn.3 in Eqn.2 gives, (4)  From the above equation, we have and and S = 0 t   S h = (z+h(x)) = x x x       S = 0 y   S = 1 z   S(x) = z h(x) = 0  The equation of seabed is, (1) (3)
  • 73.
     Eqn.4 is, h w= u x    (4) w = 0 z    Z = -h w = z   h 0 x     For a flat seabed, and hence with , Eqn.4 will result in, (5)  Eqn.5 indicates that vertical velocity at the seabed should be zero. This is in accordance with the nature that no flow can pass through a solid boundary.
  • 74.
    Kinematic free surfaceboundary condition S(x, y,z,t) = z- (x,y,t) = 0  Variations in water surface elevation can be expressed as, (6) • η representing the water surface elevation with respect to a reference level.  Eqn.2 is, S S S S u v w = 0 t x y z            (2)  From Eqn.6 we get, S = x x      S = y y      S = 1 z   (7)  Substituting Eqn.7 in Eqn.2 yields,
  • 75.
     From Eqn.9,it is inferred that if and are negligible, the wave surface variations w.r.t time is equal to vertical particle velocity x   y   u v + w = x y t           (8) w = u v t x y           Z = η(x, y, t) (9)  Hence, the kinematic boundary condition is given as,
  • 76.
    Dynamic free surfaceboundary condition  The pressure distribution over the free surface is included using the dynamic free surface boundary condition.  Bernoulli Eqn. is considered with u and w components of water particle velocities in the x and z directions,  Bernoulli’s Eqn. is, (10)2 2 21 p (u + v + w ) gz 0 t 2          With p as the gauge pressure (p = 0), the linear dynamic boundary condition at z = η is given as, or (11)g 0 t       Z = η (12)1 g t       Z = η
  • 77.
    Assignment - 2 1.For a 6 m high wave with T = 10s, determine Maximum, a. Water particle velocities, u and w b. Water particle accelerations c. Water particle displacements over a depth of 1000 m. Adopt Δz = (20 m to 57 m with an interval of 1 m per student). Draw profile variations w.r.t the phase angle θ at z = 0 for water surface elevation and other parameters mentioned above. Give conclusion with respect to the obtained results. LINEAR WAVE THEORY 2. For a 2.8 m high wave with T = 10s, determine Maximum, a. Water particle velocities, u and w b. Water particle accelerations c. Water particle displacements over a depth of 8 m. Adopt Δz = (0.05 m to 0.975 m with an interval of 0.025 m per student). Draw profile variations w.r.t the phase angle θ at z = 0 for water surface elevation and other parameters mentioned above. Give conclusion with respect to the obtained results.
  • 78.
    Submission 1 Onor before November 03, 2014 25 marks Submission 2 November 05, 2014 15 marks Last date of submission November 06, 2014 5 marks Date of submission – Assignment 2 3. Determine the pressure variations under the crest of a progressive wave, propagating in water depth of 25 m with H = 5m and T = 8s. Draw pressure variations over the depth and tabulate the results. Assume density ρ = 1030 kg/m3 Note: o If copied a single assignment, no marks for assignments for the respective semester, i.e., zero mark out of 50  Marks will be published one week before the end semester exams Mode of submission – In person. Only graphs and tables can be taken print. At least one hand calculation should include in the report.
  • 79.
     We areconsidering a 2-dimensional flow and hence the velocity potential can be represented as a function of x, z and t.  The velocity potential is assumed in the form of a product of terms with each term as a function of only one variable, (x,z,t) X(x).Z(z).T(t)  (14) Solution to Laplace Equation  Governing equation is the Laplace equation, 2 0  2 2 2 2 0 x z        (13)  Substituting Eqn.13 in the governing Laplace equation we get, 2 2 2 2 X Z .Z.T .X.T 0 x z       (15)
  • 80.
    2 2 2 2 XZ .Z.T .X.T 0 x z       (15)  Eqn.15 is represented as, '' ''X .Z.T Z .X.T 0  (16)  Eqn.16 is dividing by X.Z.T and equating to a constant, 2 '' ''X Z k X Z     (17)  Now we can write two equations in terms of X and Z, 2''X k X 0  (18) 2''Z k Z 0  (19) X Acoskx - Bsin kx (20) kz -kz Z C + De e  The standard solution to these two differential equations are, where A, B, C and D are arbitrary constants.
  • 81.
    kz -kz (x,z,t) (Acos(kx)- Bsin (kx)) (C + D ) T(t)e e   Substituting Eqn.20 in Eqn.14 gives, (21) 2 T   cos t or sin t   T(t) is the time variable and is considered with respect to the periodicity of the wave. The solutions are simple harmonic in time and T(t) can be expressed as with kz -kz 4 4A (C + D )cos(kx)sin ( t)e e  kz -kz 3 3A (C + D )sin (kx)cos ( t)e e  kz -kz 2 2A (C + D )sin (kx)sin ( t)e e  kz -kz 1 1A (C + D )cos(kx)cos ( t)e e  (24) (25) (26) (27)  Eqn.21 can be expressed in four different combinations, namely:
  • 82.
     From theset of four equation, let us consider Eqn.26, kz -kz 3 3A (C + D )sin (kx)cos ( t)e e  (26) Determination of Constants  The constants are determined by using the dynamic free surface boundary condition and the kinematic bottom boundary condition.  Applying the kinematic bottom boundary condition, i.e., 3 w = 0 z    Z = -h (5)  We get, kz -kz 3A (C + D )sin(kx)cos ( t) 0 z e e       (27)
  • 83.
     Differentiating Eqn.27and substituting z = -h, we have -kh kh C = De e (28) 2kh C = De (29)  Substituting Eqn.27 in Eqn.26, we get 2kh kz -kz 3 3A (D + D )sin (kx)cos ( t)e e e  kh k(h+z) -k(h+z) 3 32A D ( + ) / 2 sin(kx)cos ( t)e e e      kh 3 32A D coshk(h+z) sin(kx)cos ( t)e  (30) (31) (32)  Now applying the dynamic boundary condition specified at for z = 0. The dynamic free surface boundary condition at z = 0 is, 31 g t       Z = 0 (33) z 
  • 84.
     kh 3 32AD coshk(h+z) sin(kx)cos ( t)e  (32)  We have as, i.e., Eqn.32:3  kh3 32 A D cosh k(h+z) sin (kx)sin ( t) t e         Differentiating Eqn.32 gives, (33)   kh 3 1 2 A D cosh k(h+z) sin (kx)sin ( t) g e    Hence, can be written as: (34)  kh 3 1 2 A D cosh (kh)sin (kx)sin ( t) g e   and at z = 0 (35)
  • 85.
     Substituting Eqn.36in Eqn. 32, the expression for velocity potential is, 3 agcosh k(h+z) sin (kx)cos ( t) cosh kh     (37)  The maximum value of the wave amplitude, will occur whena  sin (kx)sin ( t) = 1 kh 3 ag A D 2 cosh kh e   , hence (36)  On assuming, where ‘a’ is the wave amplitude i.e., H/2. asin kx.cos t   Similarly , , , and can be obtained as follows:1 4 agcosh k(h+z) cos(kx)sin ( t) cosh kh      (38) 2 4
  • 86.
    1 agcosh k(h+z) cos(kx)cos (t) cosh kh     (39) 2 agcosh k(h+z) sin (kx)sin ( t) cosh kh      (40)  Two elementary solutions can be combined to produce a new solution, i.e., or3 4    1 2     Combining Eqn.37 and Eqn.38, 3 4    (41)   agcosh k(h+z) sin (kx)cos( t) cos(kx)sin ( t) cosh kh       (42)  Applying the rule of , sin A cos B – cos A sin B, the equation for the velocity potential can be written as,   agcosh k(h+z) sin (kx - t) cosh kh     (43)
  • 87.
    1 g t       Z= 0  Again we have the dynamic boundary condition as, (44) Expression for wave surface elevation  The velocity potential is given by,   agcosh k(h+z) sin (kx - t) cosh kh     (43)  Differentiating Eqn.43 and at z = 0, we get the wave surface elevation as, a cos(kx - t)  (45)
  • 88.
    Wave celerity  Ifan observer travels along with wave such that the wave profile remains stationery, then the following condition should be satisfied, (kx- t) constant  (46)  Therefore, the speed with which the observer must travel to achieve this condition is given by, kx t (46)  In hydrodynamics, the wave speed is known as celerity x 2 L L C t k T 2 T         i.e., the wave speed, C is expressed as, (47)
  • 89.
    Dispersion Relation  Assumingwave height is small compared to wave length.  and can be ignored in the kinematic boundary condition.  Kinematic boundary condition is, x   y   w = u v t x y           Z = η(x, y, t) (9)  Then, Eqn.9 becomes, w t    (48) 1 g t       Z = 0  From the dynamic free surface condition we have, (12)
  • 90.
    2 2 1 w t g t        Z = 0  So, (49)  Also we have, w z    (50)  From Eqn.49 and Eqn.50, we get 2 2 1 g t z        Z = 0 (51)  We have the velocity potential given by,   agcosh k(h+z) sin (kx - t) cosh kh     (43)
  • 91.
     Substituting forvelocity potential in Eqn.51 and differentiating twice w.r.t time leads to,   2 2 2 1 1 agcosh k(h+z) ( ) sin (kx- t) g t g cosh kh         (52) or   2 2 1 a cosh k(h+z) sin (kx- t) g t cosh kh        (53)  Now differentiating the velocity potential with respect to z leads to,   agksinh k(h+z) sin (kx - t) z cosh kh       (54)  Substituting Eqn.53 and Eqn.54 in Eqn.51:     a cosh k(h+z) agksinh k(h+z) sin (kx - t) sin (kx - t) cosh kh cosh kh      (55)
  • 92.
     From Eqn.47,we can relate the celerity as: k C  (57)  Eqn.59 indicates that wavelength is a function of time period ‘T’ and water depth ‘h’.  With z = 0, Eqn.55 leads to the Dispersion relation, 2 gk tanh (kh)  (56)  Now the celerity can be expressed as: 2 g C tanh (kh) k        (58)  With and , the above Eqn. can be re-written as:2 k L   L C T  (59)
  • 93.
    Variation of celerityin different water depth conditions  Waves can be classified according to the water depth (h) and wavelength (L), and the ratio (h/L) is called the relative depth.  h/L less than 1/20 are classified as shallow water waves and h/L is greater than 1/2 as deep water waves Table 1: Classification of waves in terms of h/L Classification h/L 2πh/L tanh 2πh/L Deep waters > 1/2 > π 1 Intermediate waters 1/20 to 1/2 π/10 to π tanh 2πh/L Shallow waters < 1/20 0 to π/10 2πh/L
  • 94.
    Deep water conditions We have the wave celerity and wave length expression as: 2 g C tanh (kh) k        (58) (59)  For deep water conditions, tanh (kh) = 1, then the wave celerity and wave length becomes, 0 0 gL C 2π  (60) 2 0 gT L 2  (61)  That is, when tanh (kh) approaches unity then the wave characteristics are independent of the water depth, h while wave period remain constant. Hence, 2 2 0 gT L 1.56T 2   meters (62)
  • 95.
    Shallow water conditions In shallow water conditions, kh is π/10 or h/L < 1/20 2 g C tanh (kh) k         Again, we have and  In shallow waters, tanh (kh) is equal to kh or 2πh/L, then C gh (63) (64)  The wave speed or wave celerity (C)is : • In deep waters – C is NOT a function of depth . It is only a function of wave period • In intermediate waters – C is a function of depth and period • In shallow waters – C is only a function of water depth
  • 96.
    Water Particle Velocities We have the velocity potential given by,   agcosh k(h+z) sin (kx - t) cosh kh     (43)  The horizontal particle velocity is given as, u x    (61)  Therefore, agk cosh k(h+z) u cos( ) cosh kh    (62) where, (kx- t)   Also we have, 2 gk tanh(kh)  2 T    H 2a (63)
  • 97.
     Substituting Eqn.63in Eqn.62 leads to, 2 a cosh k(h+z) u cos( ) tanh kh cosh kh     (64)  Which further reduces to, H cosh k(h+z) u cos( ) T sinh kh   (65)  Maximum horizontal velocity is given as, or max H cosh k(h+z) u T sinh kh   (66) max agk cosh k(h+z) u cosh kh  (67)
  • 98.
     Similarly ,the vertical water particle velocity ‘w’ and ‘wmax’ is expressed as, w z    agk sinh k(h+z) w sin ( ) cosh kh    (68)  And the maximum vertical water particle velocity is expressed as, max agk sinh k(h+z) w cosh kh        max H sinh k(h+z) w T sinh kh        or (69)  From Eqns. 62 and 68, it can be understood that u and w are out of phase by 90 degrees, i.e., when u is maximum, w is minimum and vice versa.
  • 99.
    Position of waterparticle in its orbit during wave propagation  The process indicates that while the water surface at station X performs one oscillation in the vertical direction over a wave period T or a wave propagates by one wave length, water particle completes its orbital path during the same period.
  • 100.
     This figureshows another way of visualizing motions of water particles in fluid medium.
  • 101.
    Water Particle Accelerations We have the horizontal particle velocity expression as, agk cosh k(h+z) u cos(kx t) cosh kh     (62)  Differentiating Eqn.62 w.r.t time, water particle acceleration in x- direction is, where, (kx- t)    x u agk cosh k(h+z) a sin (kx t) t cosh kh              (70) x cosh k(h+z) a agk sin cosh kh         (71)
  • 102.
     Maximum accelerationin horizontal direction is given as, x,max cosh k(h+z) a agk cosh kh        (72)  Similarly , differentiating Eqn. 68 w.r.t time, we get the water particle acceleration in z-direction,   z w agk sinh k(h+z) a cos(kx t) t cosh kh             (73) z sinh k(h+z) a agk cos cosh kh          (74)  Maximum acceleration in vertical direction is given as, z,max sinh k(h+z) a agk cosh kh         (75)
  • 103.
    Hyperbolic functions indifferent water depth conditions Function Shallow waters Deep waters Sinh (kh) kh ekh/2 Cosh (kh) 1 ekh/2 Tanh (kh) kh 1
  • 104.
    Water Particle Displacements The expression for the horizontal and vertical water particle displacement from its mean position is obtained by integrating the water particle velocity in the x and z direction respectively.  Horizontal particle velocity, u dtH   (76)  Substituting for u and integrating: agk cosh k(h+z) cos(kx t)dt cosh kh H     (77) 2 agk cosh k(h+z) sin (kx t) cosh kh H      (78)
  • 105.
    2 gk tanh (kh)  We know the dispersion relation, (79)  Then Eqn.78 can be written as, a cosh k(h+z) sin (kx t) sinh kh H    (80)  Similarly, the vertical particle displacement can also obtained, w dtV   agk sinh k(h+z) sin (kx t)dt cosh kh V     (81) 2 agk sinh k(h+z) cos(kx t) cosh kh V     (82) asinh k(h+z) cos(kx t) sinh kh V    With dispersion relation, (83)
  • 106.
    asinh k(h+z) cos(kx t) sinhkh V   (83) a cosh k(h+z) sin (kx t) sinh kh H    (80)  Now we have the expression for horizontal and vertical particle displacement as shown in Eqn.80 and 83:  Let, a sinh k(h+z) B sinh kh  (85) a cosh k(h+z) A sinh kh  (84)  Substituting Eqns.84 and 85 in Eqns.80 and 83, squaring and then re- writing yields, 2 2 2 cos (kx t) B V   (87) 2 2 2 sin (kx t) A H   (86)
  • 107.
     Adding Eqns.86 and 87, also since , we have 2 2 sin (kx t) + cos (kx t) 1    22 2 2 1 A B VH    (88)  This is an equation of an ellipse which indicates that the water particles, moves in an elliptical orbit. Here A is the semi major axis (i.e., the horizontal measure of particle displacement) and B is the semi minor axis (i.e., the vertical measure of particle displacement) 2 2 2 cos (kx t) B V   (87) 2 2 2 sin (kx t) A H   (86)  So we have,
  • 108.
    Shallow water conditions We have, a sinh k(h+z) B sinh kh  (85) a cosh k(h+z) A sinh kh  (84)  For shallow waters, cosh k(h+z) 1 sinh k(h+z) k(h+z) sinh kh kh (89) a A kh  k(h+z) B a kh       a (h +z) h   Then, (90) (91)
  • 109.
    22 2 2 1 A B VH   (88)  We know,  Substituting for A and B from Eqns.90 and 91, we get 2 2 1 a a (h +z) kh h VH                                   (92)  Thus A is independent of positional depth z, whereas B is dependent on z, implying that horizontal displacements are same over the depth, and vertical displacements vary from maximum of ‘a’ at the surface (z = 0) to zero at the sea bed (z = -h).  This shows that the water particle move in elliptical orbits (paths) in shallow and intermediate waters with the equation of the above form, i.e., Eqn.92.
  • 110.
    Water particle orbitsin shallow waters
  • 111.
    Deep water conditions For deep waters, i.e., h/L > 1/2, ( ) cosh k(h+z) 2 k h z e   ( ) sinh k(h+z) 2 k h z e   sinh kh 2 kh e  (93) kz A ae kz B ae  After substituting , we get, (94) (95)  Substituting for A and B from Eqns.94 and 95, in Eqn.88, we get 2 2 kz kz 1 ae ae VH              (96)
  • 112.
     Thus, sinceA = B, it can be understood that in deep waters the water particles move in circular path and their diameter keeps decreasing exponentially.  Since it is an exponential variation, the reduction in the displacement for a wave in deep waters occur drastically.  At a distance beyond – L0/2, (i.e., -1.56 x T2/2), the displacement is negligible particularly in deep waters.  And it is estimated that the decrease in A and B is less than 4% for z > – L0/2.
  • 113.
    Water particle orbitsin deep waters
  • 114.
    Problems  Determine thewavelength in water depth of 8m for a deep water wave with a period T = 10 sec.  From the given data, 0 h 0.05128 L   Deep water wavelength (L0) = 156 m  From the wave table, h 0.09548 L   Then, L = 83.79 m Problem - 1
  • 115.
    Problem - 2 A wave flume is filled with fresh water to a depth of 2 m. A wave of height 0.3 m and period 2.2 sec is generated. Calculate the wave celerity. Problem - 3  Oscillatory surface waves were observed in deep water and wave period was found to be 8 sec. 1. At what bottom depth would the phase velocity begin to change with decrease in water depth 2. What is the phase velocity at a bottom depth of 16 m and 4 m 3. Compute the ratio of celerity at the above water depth to deep water celerity.
  • 116.
    Deep water 16m 4 m Length 99.84 m 83.46 m 48.02 m Celerity 12.48 m/s 10.43 m/s 6 m/s C/C0 1 0.84 0.48 Results:  It can be understood that the celerity decreases as the water depth decreases.  The ratio of the celerity shows that when the wave moves shallower, the order of the difference is almost 50%.  Hence it should be noted that, we should be very careful in calculating the wavelength for the corresponding water depth, for which we are interested in designing the structure.
  • 117.
    Mid Exam 1. Questionpaper is for 30 marks. Total (30+20) Marks 2. 10 x 1 = 10 and 5 x 4 = 20 3. 1 mark question:  It may be one word answer.  Otherwise write in one sentence or maximum two. 4. 5 marks question:  Derivation or explanation or problem type questions  Necessary sketches has to be provided.  Outline of the sketch is enough, properly marked. No need to spent all time in making the sketch. Special note:  Do not make any noise inside the exam hall once you have given the question paper. Start as early as possible, without loosing the time making unnecessary noises. I will be coming to the exam hall in 5 or 10 minutes.  DO NOT COPY, No marks will be given and the student will not be allowed to write the exam further.
  • 119.
    Pressure within aProgressive wave  We have the Bernoulli’s equation, 2 21 p (u + w ) gz 0 t 2         (97)  The linearized Bernoulli’s Eqn. can be given by, p gz t        (98) p ( z), where, g = t                Multiplying through out by , then the total pressure can be given as: Dynamic + Static (99)
  • 120.
     We havethe velocity potential,   agcosh k(h+z) sin (kx - t) cosh kh     (100)  Substituting for velocity potential and differentiating w.r.t time,   agcosh k(h+z) cos (kx - t) (- ) t cosh kh          agcosh k(h+z) cos (kx - t) t cosh kh       or (101) t     Now substituting for in Eqn.98 gives,   p agcosh k(h+z) cos (kx - t) gz cosh kh     (102)  Since, , the above Eqn.102 can be written as,acos(kx- t)  p gcosh k(h+z) gz cosh kh     (103)
  • 121.
    cosh k(h+z) p z coshkh          g  With , the Eqn. for pressure distribution becomes, (104) p cosh k(h+z) K cosh kh  Now let, , again Eqn.104 can be written as, pp K z     (105)  Where is known as pressure response factor.pK  At z = 0, Eqn.105 becomes, p    (106)
  • 122.
    Gravity waves; Airy'swave; Free surface condition; Velocity potential- Dispersion relation; Surface tension effects; Orbital motion; Group velocity and its dynamical significance; Wave energy; Standing waves; Loops and nodes, Wave forces and Morison's equation, Long waves and waves in a canal; Tides. Syllabus
  • 123.
    Group Velocity Wave groupsare formed by superimposing any two wave trains of same amplitude but slightly different wave lengths or wave periods which progress in the same direction. When the group of waves or wave train travels, its speed is generally not identical to the speed with the individual waves within the group of waves. This resultant surface disturbance can be represented as the sum of the individual disturbance.
  • 124.
    Determination of GroupVelocity Consider two trains of regular waves, assuming same amplitude 1 1 1sin ( )a k x t   (107) 2 2 2sin ( )a k x t   (108) The combination of two wave yields, 1 2T    1 1 2 2[sin ( ) sin ( )]T a k x t k x t      (109) (110) Eqn.110 is expanded using the trigonometric expression, sin sin 2sin .cos 2 2 A B A B A B     (111)
  • 125.
    1 2 12 1 2 1 2 2 cos .sin 2 2 2 2 T k k k k a x t x t                                             (110) After rearranging, Hence this is a form of a series of sine waves, the amplitude of which varies slowly from 0 to 2a according to the cosine factor.  This indicates that the surface due to the superposition of the two sinusoidal components will again be a sine form with the displacement proportional to, 1 2 1 2 sin 2 2 k k x t                   (111)  And a variable amplitude of, (112)1 2 1 2 2 cos 2 2 k k a x t                  
  • 126.
    Fig.1 Superposition oftwo waves with slightly different frequencies, progressing in the same direction Resultant wave Nodes (points of zero amplitude) Wave envelope
  • 127.
    The points ofzero amplitude (nodes) of the wave envelope are located by finding the zeroes of the cosine factorT i.e., occurs when,0T  1 2 1 2 (2 1) 2 2 2 k k x t n                  (113) Hence depending on the value of ‘n’ we will have 0 points or 0 amplitudes. In other words, the nodes will occur on ‘x’ distances as follows, 1 2 1 2 1 2 (2 1) node n x t k k k k           (114)
  • 128.
    Since the positionof all nodes is a function of time, they are not stationery. At t = 0, there will be nodes at 1 2 1 2 1 2 3 5 , , , etc, i.e.,at n 0,1,2,3... k k k k k k        Hence the distance between the nodes are given by, 1 2 2 x k k    (115) Which is again equal to, 1 2 2 1 L L x L L   (116) Hence the distance between the nodes are now represented in terms of wavelengths of two waves which are superposed.
  • 129.
    The value of‘x’, when differentiating with respect to time will give the velocity. This velocity is nothing but the velocity with which the entire waves are going to move as a group, called as group velocity. Group velocity is obviously different from the velocity with which the individual waves will be moving. node G d x Wave group velocity, C dt  Hence we can represent, 1 2 1 2k k     GC d dk   (117)
  • 130.
    2 k.C T     Wehave, (118) Now we can write,   G k C C k k dd d d      G k C C k d d  dC C+k. dk  dC 1 C+k. dkdL dL            (119) G dC C C L dL -        After simplification, (120)
  • 131.
    For a generalrelationship for the group celerity, employing the dispersion relationship with Eqn.120 yields, G C 2kh C 1 2 sinh 2kh        (121) Which can be expressed as GC 1 2kh 1 C 2 sinh 2kh n         (122) where n can be defined as the ratio of group celerity to the phase velocity or celerity For shallow waters, GC C = gh (123) For deep waters, G 0 1 C C 2  (124)
  • 132.
    Wave Energy A wavesystem possesses both kinetic and potential energies, i.e., Total energy = K.E + P.E The kinetic energy is due to the fact that the water particles have an orbital motion and the potential energy is due to the elevation of the water level. For a sinusoidal wave, the potential energy is given as 2 p 1 E ga per unit area of wave surface 4  (125) Similarly, the kinetic energy can also be expressed as 2 k 1 E ga per unit area of wave surface 4  (126) Therefore the total energy for a regular wave is the sum of Eqn.125 and 126. Hence the total energy per unit area of the wave surface is expressed as, 21 E ga 2  (127)
  • 133.
    Surface tension effects Thedispersion relation can be expressed as, 2 gk tanh (kh)  (128) This relationship is valid for the deep water waves where the wave length is large. On the other hand, for short wavelength waves where k is large, the surface tension provides the primary restoring force leading to wave motion. After including the surface tension effect, the dispersion relation can be written as, 2 2 g + k k tanh (kh)           (129) where is the surface tension in N/m
  • 134.
    The group velocityof capillary waves, the waves dominated by surface tension effects, is greater than the phase velocity . This is opposite to the situation of surface gravity waves (with surface tension negligible compared to the effects of gravity) where the phase velocity exceeds the group velocity. d dk  k  Surface tension only has influence for short waves with wave length less than few centimetres and for very short wave lengths, the gravity effects are negligible.
  • 135.
    STANDING WAVES Standing wavesare formed due to reflection of waves. A solid structure such as a vertical wall will reflect the incident wave. The amplitude of the reflected wave depends on the wave and wall characteristics. Standing waves are often occur when incoming waves are completely reflected by vertical walls on both ends. When the reflected wave passes through the incident wave a standing wave will develop.
  • 136.
    Consider two waveshaving the same height and period but propagating in opposite directions along the x-axis. When these two waves are superimposed the resulting motion is a standing wave. The water surface oscillates from one position to the other and back to the original position in one wave period.
  • 137.
     The arrowsindicate the paths of water particle oscillation. Under a nodal point particles oscillate in a horizontal plane while under an antinodal point they oscillate in a vertical plane.  If the two component waves are identical, the net energy flux is zero.  The pressure is hydrostatic under a node where particle acceleration is horizontal, but under antinode there is a fluctuating vertical component of dynamic pressure.
  • 138.
    Velocity potential  Thevelocity potential for a standing wave can be obtained by adding the velocity potentials for the two component waves that move in opposite directions. h h (130)  This yields This yields a surface profile given by (131)
  • 139.
    Horizontal and Verticalparticle velocities h h Horizontal, (132) h h Vertical, (133)
  • 140.
    Horizontal and Verticalparticle displacements h h Horizontal, (134) Vertical, (135) h h
  • 141.
    ENERGY The energy ina standing wave per unit crest width and for one wave length is (136) The component of P.E is, (137) The component of K.E is, (138)
  • 142.
    WAVE LOADS ONSTRUCTURES
  • 143.
    Loads on OffshoreStructures Static loads Dynamic loads Gravity Loads Environmental loads due to 1. Waves 2. Winds 3. Currents 4. Ice
  • 144.
    Gravity Loads Structural deadloads Facility dead loads Fluid loads Live loads Drilling loads • Includes all primary steel structural members • Includes additional structural items such as boat landing, handrails, small access platform etc. • Includes fixed items but not structural components • Includes mechanical, electrical, piping between each equipment, instrumentation equipment etc. • Weight of the fluid on the platform during operation. • Include all the fluid in the equipment and piping. • Movable loads and temporary in nature. • Include open areas such as walkways, access platforms, helicopter loads in the helipad etc. • due to drill rigs placed on top of the platform for drilling purposes, the weight of the structure shall be applied as load on the structure • additional loads due to drill operations
  • 145.
    Precise evaluation ofthe wave forces exerted upon the structure in the ocean is extremely complicated. One of the major step in the calculation of wave forces involve the selection of an appropriate wave theory to describe the particle kinematics and displacements for the given design wave condition. The linear wave theory can be used if H/gT2 < 0.001 in deep and intermediate water conditions. However, in general, offshore structures are designed for H/gT2 > 0.001 and the linear wave theory underestimates the wave force. WAVE LOADS
  • 146.
  • 147.
    Spectral method An energyspectrum of the sea-state for the location is taken and a transfer function for the response generated. Collect as much information about waves for the given location and obtain a spectral density for that location. For fixed structures, the spectral method is not yet adopted by API or any other codes or does not permit its use.  But for floating structures, DNV code allows spectral method in few instances.
  • 148.
    Design wave method Mostcommon method to determine the wave loads on structures. This method uses the maximum wave height that may occur during the design life of the structures. The 100-year wave is usually chosen as the design wave for the survival condition. The probability of occurrence of that wave is not taken into account.
  • 149.
    The force exertedby the waves are most dominant in governing the Jacket structures design, especially the pile foundation. Wave loads exerted on the jacket is applied laterally on all members and it causes overturning moment on the structure. Maximum wave shall be used for design of offshore structures. The relationship between significant wave height (Hs) and maximum wave height (Hmax) is: Hmax = 1.86 Hs  The equation corresponds to a computation based on 1000 waves in a record.
  • 150.
    Design Wave Heights Maximumdesign waves in various regions API RP2A requires both 1 year and 100 year recurrence wave to be used for the design of jacket and piles. Using 1 year (normal operating conditions) and 100 year (special conditions, increase the stresses on the structures)data, appropriate load combinations shall be used in the design.
  • 151.
    Wave Currents Ocean currentsinduce drag on offshore structures. Together with the action of waves, these currents generate dynamic loads. Simple sea current could cause due to winds by dragging shear on the surface of water. The forces due to the tidal currents should be considered at places where the tidal variation is high
  • 152.
    How to estimatewave and current loading on the structure? MORISON EQUATION  Morison Equation is a general form and cannot be applied to all members in the offshore structures. Developed specifically for a surface piercing cylinder.  Wave and current loading can be calculated using Morison Equation
  • 153.
    Basis of MorisonEquation:  Flow is assumed to be not disturbed by the presence of the structure  Force calculation is empirical calibrated by experimental results (semi-empirical method)  Suitable coefficients need to be used depending on the shape of the body or structure  Validity range shall be checked before use and generally suitable for most jacket type structures where D/L << 0.2, where D is the diameter of the structural member and L is the wave length.  Wave forces predicted by Morison equation confirms very well as long as the D/L << 0.2.
  • 154.
    FT – totalforce CD & CM – drag and inertia coefficients, respectively D – diameter of the member (incl. marine growth) V – velocity of flow (vector sum of wave & current) a – acceleration of the water particle w – density of water FD  V2 FI  volume x density x acceleration FT - varies with space and time Drag component Inertia component Circular cross-section Morison Equation
  • 155.
    Selection of CDand CM  Empirical coefficients to be used in Morison Equation correlated with experimental data  Coefficients depend on shape of the structure, surface roughness, flow velocity and direction of flow  Extensive research on various shapes available  API RP 2A provides enough information on circular cylinders  DNV recommendation can be used for non-circular cylinders  CD , CM charts available in literature, which can be used for the selection process for many type of sections.
  • 156.
    Selection of WaveTheory  Water depth, d = 60 m  Wave height, H = 12 m  Wave period, Tapp = 10 s  Calculate H/gTapp 2 = 0.012  Calculate d/gTapp 2 = 0.06 For the calculated values, Stoke’s Fifth Order wave theory is selected How to select?
  • 157.
    Estimation of WaveLoad on a Member  Establish Wave Height, Period and Current Distribution along the depth  Establish Wave Theory applicable for H, T, d  Estimation of water particle kinematics including wave-current interaction  Establish Cd and Cm  Establish Marine Growth  Required reduction factors depending on the structure  Finally put into the Morison Equation to estimate the forces
  • 158.
    The first fewLegendre polynomials are BACK

Editor's Notes

  • #155 This formula is for a circular section. CM always > 1 because it consist of self volume plus volume of fluid moving with it This formula varying with space and time
  • #158 Morison equation was originally developed for surface piercing cylinders. But members of the offshore structures may be horizontal or inclined in space and therefore cannot be used without modification