COLLEGE OF ENGINEERING, PUNE
DEPARTMENT OF ELECTRONICS AND TELECOMMUNICATION
MOC PRESENTATION
MAGIC TEE
Presented By:-
1. Anuja Gulhane-141807002
2. Kanchan Itankar-141807005
3. Pranali Patil-141807006
4. Saniya Shaikh-141807008
5. Triveni Vyavahare-141807009
6. Shreyasi Kore-141807012
Under the Guidance of Dr. S. P. Mahajan
INTRODUCTION
1. Wave guide magic tee is an important element in microwave and
millimeter wave engineering especially in monopulse antenna systems.
2. Field analysis on waveguide magic tee is also difficult.
3. Sieverding and Amdt analyzed the magic tee with the full wave modal S-
matrix by mode-matching.
4. Waveguide junctions are used when power in a waveguide needs to be
spilt or some extracted.
5. The main idea behind the “Magic Tee” is to combine a TE and a TM
waveguide splitter.
WORKING
A magic tee has four ports:
● Port 1 - Co-linear
● Port 2 - Co-linear
● Port 3 - Sum Port
● Port 4 - Difference Port
Operation of a Magic Tee
The H-plane port and E-plane ports must be matched for a magic-tee to function properly, and hence
are only effective over a select range of frequencies.
● Case 1: When two signals of equal magnitude are fed from port 1 and 2, we get a zero
at port 4 and the sum of the two signals at port 3.
● Case 2: When a signal is fed through port 3, it gets divided equally between port 1 &
2 and both the outputs are in phase. No output comes from port 4.
● Case 3: When a signal is fed through port 4, we get an output of equal magnitude but
opposite phase at port 1 & 2 (the signals are 180 degrees out of phase). Output at port
3 is zero.
● Case 4:If a signal is fed at one of the collinear ports 1 or 2, then there appears no
output at the other collinear port, as the E-arm produces a phase delay and the H-arm
produces a phase advance.
● The justification for the “magic” in the name, the two collinear ports are
also matched and isolated from each other.
● Though the quality of the matching networks in the E-plane and H-plane
ports dictate the quality of the isolation and the frequency over which the
collinear ports are isolated.
● The electric field of the dominant mode of each port is perpendicular to
the long wall of the waveguide structure, enabling orthogonal
polarization of the E-plane and H-plane ports.
Magic Tee S-Matrix
● Because of H-plane tee junction
S23 = S13 Because of plane of symmetry
● Because of E-plane tee junction
S24 = -S14
Outputs at ports 1 & 2 are phase shifted by 1800 with respect to port 4 ---(3)
● Because of geometry of junctions an i/p at port 3 can not came out of port 4
,since they are isolated and vice versa.
S34 = S43 = 0 ---(4)
● From symmetric property Sij = Sji,
we have S12 = S21 ; S13 = S31 ; S23 = S32 = S13; S34 = S43; S24 = S42 = -
S14 ; S41 = S14----(5)
● If ports 3 and 4 are perfectly matched then we have
S33 = S44 = 0 ----(6)
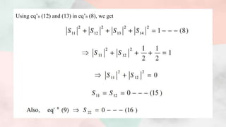
Putting above values of S parameters in matrix (1), we get,
From unitary property [S][S]*=[I]
Multiplying we get,
From eq’n (10) and (11), we get
Comparing eq’n (8) and (9), we get,
Using eq’n (12) and (13) in eq’n (8), we get
● Note:-Eq’n (15) and (16) gives that ports 1 and 2 are perfectly matched hence port
3 and port 4 will also match, then such tee is called magic tee.
Putting all the values of scattering parameters, we get
We have [b]=[S][a]
Cases
● Case 1. a3≠0 & a1 = a2 = a4 = 0: Putting these values in eq’n (19), we get,
● Case 2. a4 ≠0 & a1=a2=a3= 0 Putting these values in eq’n (19), we get
This gives property of E plane tee.
● Case 3.a1 ≠0 & a2=a3=a4= 0; Putting these values in eq’n(19), we get
When power is fed into port 1, nothing comes out of port 2 even though theyare
collinear ports. ii.Hence port 1 and 2 are called isolated ports. iii.No output at collinear
ports hence magic.
● Case 4. a3=a4 & a1= a2 = 0 Putting these values in eq’n (19), we get
Gives additive property. Equal inputs at port 3 and 4 gives output at port 1 in phase
and in equal magnitude.
● Case 5. a1=a2 a3=a4= 0 Putting these values in eq’n (19), we get
Equal input at ports 1 and 2 results in an output at port 3 and no output at ports
1, 2 and 4.
APPLICATIONS
A magic tee has several applications. A few of them have been
discussed here.
1.Measurement of Impedance
2.Magic Tee as a Duplexer
3.Magic Tee as a Mixer
1. Measurement of Impedance
● It is used in the form of bridge for measuring impedance.
● Microwave source is connected in arm (3), and null detector in arm (4). The
unknown impedance is connected in arm (2), and a standard variable known
impedance in arm (1).
● Using the properties of Magic Tee, the power from microwave source (a3) gets
equally divided into ports 1 & 2.
● Impedance at port 1 & 2 are not equal to characteristics Impedance Zo hence
there will be reflections from arm(1) and (2).
● If ρ1& ρ2 are reflection coefficients from port 1 & 2, then they will enter in null
detector port (4) given by:
● For perfect balancing of the bridge (null detection) eqn (1) is equated to 0.
Z1 = Z2
● Thus unknown impedance is measured by adjusting standard variable impedance
till bridge is balanced & both impedances become equal.
2. Magic Tee as a Duplexer
Working
The transmitter and receiver are connected at port (2) and (1). Antenna is
connected at arm (4) and matched load at port (3).
• During transmission half power reaches to antenna & other half to matched load
where it is absorbed without reflection
• During reception half power goes to receiver & other half to transmitter, which
are isolated during reception & transmission.
3. Magic Tee as a Mixer
Description
● E-Arm port is connected to the antenna and the H-Arm port is connected to the
local oscillator. Port 2 has matched load which has no reflections and port 1 has
the mixer circuit, which gets half of the signal power and half of the oscillator
power to produce IF frequency.
● Half the local oscillator power and half of the received power from antenna goes
to the mixer where they are mixed to generate the IF frequency.
IF=Fin-Fo
Magic Tee junction is also used as Microwave Bridge, Microwave discriminator
etc
Advantages
1.Decoupling property of the output ports.
2. In three junction devices power division between ports depends on
termination existing at the respective olp ports, but in case of magic tee all the
olp ports are perfectly matched. Hence power division between the ports is
independent of terminations.
Disadvantages
When the signal is applied to any arm of a magic tee, the flow of energy in the
olp arms is affected by reflections. Reflections are caused by impedance
mismatching at the junctions. This reflections are the cause of the two major
disadvantage of the magic tee.
1. The reflections represents the power loss
2. The maximum power a magic tee can handle is reduced.
Numerical
1.The collinear ports 1 and 2 of a magic tee are terminated by impedances of
reflection coefficients ρ1=0.5 and ρ2= 0.6 .The difference port 4 is
terminated by an impedances with reflection coefficient of 0.8. If 1W power
is fed at sum port 3. Calculate the power reflection at port 3 and the power
divisions at the other ports.
solution: The input output relations for a magic tee is given by,
References
1. Microwave and Radar by M. Kulkarni
2. Seminar on “Magic tee” by kazi md saidur -
https://www.slideshare.net/KaziMdRahaman/seminar-on-magic-tee
3. https://www.everythingrf.com/community/what-is-a-magic-tee
4. https://www.microwaves101.com/encyclopedias/magic-tees
5. https://blog.pasternack.com/uncategorized/magic-tee-magical/
THANK YOU!!!

Magic tee

  • 1.
    COLLEGE OF ENGINEERING,PUNE DEPARTMENT OF ELECTRONICS AND TELECOMMUNICATION MOC PRESENTATION MAGIC TEE Presented By:- 1. Anuja Gulhane-141807002 2. Kanchan Itankar-141807005 3. Pranali Patil-141807006 4. Saniya Shaikh-141807008 5. Triveni Vyavahare-141807009 6. Shreyasi Kore-141807012 Under the Guidance of Dr. S. P. Mahajan
  • 2.
    INTRODUCTION 1. Wave guidemagic tee is an important element in microwave and millimeter wave engineering especially in monopulse antenna systems. 2. Field analysis on waveguide magic tee is also difficult. 3. Sieverding and Amdt analyzed the magic tee with the full wave modal S- matrix by mode-matching. 4. Waveguide junctions are used when power in a waveguide needs to be spilt or some extracted. 5. The main idea behind the “Magic Tee” is to combine a TE and a TM waveguide splitter.
  • 3.
    WORKING A magic teehas four ports: ● Port 1 - Co-linear ● Port 2 - Co-linear ● Port 3 - Sum Port ● Port 4 - Difference Port
  • 4.
    Operation of aMagic Tee The H-plane port and E-plane ports must be matched for a magic-tee to function properly, and hence are only effective over a select range of frequencies. ● Case 1: When two signals of equal magnitude are fed from port 1 and 2, we get a zero at port 4 and the sum of the two signals at port 3. ● Case 2: When a signal is fed through port 3, it gets divided equally between port 1 & 2 and both the outputs are in phase. No output comes from port 4. ● Case 3: When a signal is fed through port 4, we get an output of equal magnitude but opposite phase at port 1 & 2 (the signals are 180 degrees out of phase). Output at port 3 is zero. ● Case 4:If a signal is fed at one of the collinear ports 1 or 2, then there appears no output at the other collinear port, as the E-arm produces a phase delay and the H-arm produces a phase advance.
  • 5.
    ● The justificationfor the “magic” in the name, the two collinear ports are also matched and isolated from each other. ● Though the quality of the matching networks in the E-plane and H-plane ports dictate the quality of the isolation and the frequency over which the collinear ports are isolated. ● The electric field of the dominant mode of each port is perpendicular to the long wall of the waveguide structure, enabling orthogonal polarization of the E-plane and H-plane ports.
  • 6.
    Magic Tee S-Matrix ●Because of H-plane tee junction S23 = S13 Because of plane of symmetry ● Because of E-plane tee junction S24 = -S14 Outputs at ports 1 & 2 are phase shifted by 1800 with respect to port 4 ---(3)
  • 7.
    ● Because ofgeometry of junctions an i/p at port 3 can not came out of port 4 ,since they are isolated and vice versa. S34 = S43 = 0 ---(4) ● From symmetric property Sij = Sji, we have S12 = S21 ; S13 = S31 ; S23 = S32 = S13; S34 = S43; S24 = S42 = - S14 ; S41 = S14----(5) ● If ports 3 and 4 are perfectly matched then we have S33 = S44 = 0 ----(6)
  • 8.
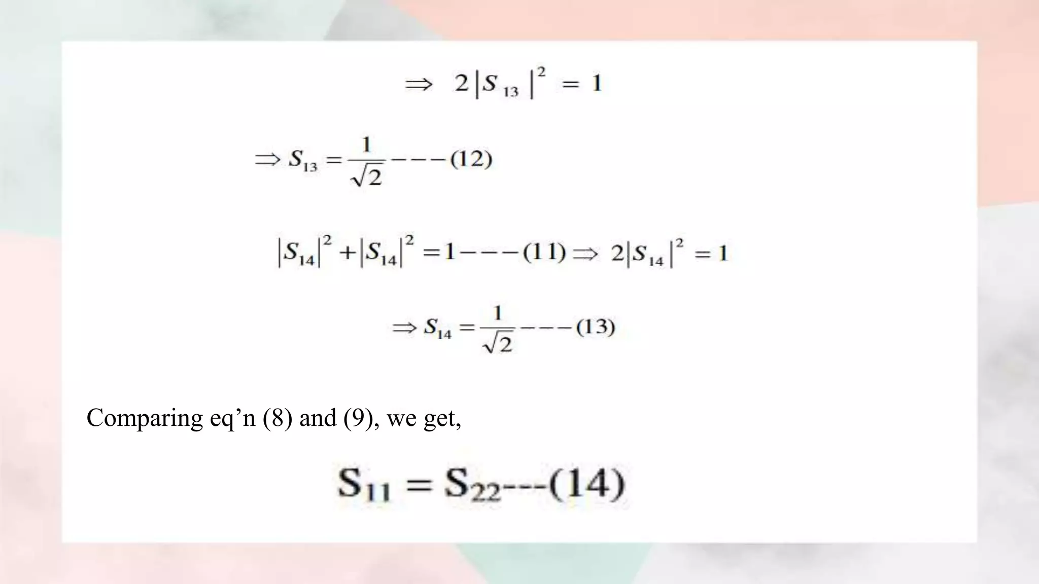
    Putting above valuesof S parameters in matrix (1), we get, From unitary property [S][S]*=[I]
  • 9.
    Multiplying we get, Fromeq’n (10) and (11), we get
  • 10.
    Comparing eq’n (8)and (9), we get,
  • 11.
    Using eq’n (12)and (13) in eq’n (8), we get
  • 12.
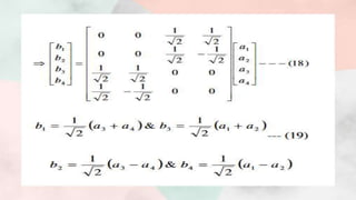
    ● Note:-Eq’n (15)and (16) gives that ports 1 and 2 are perfectly matched hence port 3 and port 4 will also match, then such tee is called magic tee. Putting all the values of scattering parameters, we get We have [b]=[S][a]
  • 14.
    Cases ● Case 1.a3≠0 & a1 = a2 = a4 = 0: Putting these values in eq’n (19), we get,
  • 15.
    ● Case 2.a4 ≠0 & a1=a2=a3= 0 Putting these values in eq’n (19), we get This gives property of E plane tee. ● Case 3.a1 ≠0 & a2=a3=a4= 0; Putting these values in eq’n(19), we get When power is fed into port 1, nothing comes out of port 2 even though theyare collinear ports. ii.Hence port 1 and 2 are called isolated ports. iii.No output at collinear ports hence magic.
  • 16.
    ● Case 4.a3=a4 & a1= a2 = 0 Putting these values in eq’n (19), we get Gives additive property. Equal inputs at port 3 and 4 gives output at port 1 in phase and in equal magnitude. ● Case 5. a1=a2 a3=a4= 0 Putting these values in eq’n (19), we get Equal input at ports 1 and 2 results in an output at port 3 and no output at ports 1, 2 and 4.
  • 17.
    APPLICATIONS A magic teehas several applications. A few of them have been discussed here. 1.Measurement of Impedance 2.Magic Tee as a Duplexer 3.Magic Tee as a Mixer
  • 18.
  • 19.
    ● It isused in the form of bridge for measuring impedance. ● Microwave source is connected in arm (3), and null detector in arm (4). The unknown impedance is connected in arm (2), and a standard variable known impedance in arm (1). ● Using the properties of Magic Tee, the power from microwave source (a3) gets equally divided into ports 1 & 2. ● Impedance at port 1 & 2 are not equal to characteristics Impedance Zo hence there will be reflections from arm(1) and (2). ● If ρ1& ρ2 are reflection coefficients from port 1 & 2, then they will enter in null detector port (4) given by:
  • 20.
    ● For perfectbalancing of the bridge (null detection) eqn (1) is equated to 0. Z1 = Z2 ● Thus unknown impedance is measured by adjusting standard variable impedance till bridge is balanced & both impedances become equal.
  • 21.
    2. Magic Teeas a Duplexer
  • 22.
    Working The transmitter andreceiver are connected at port (2) and (1). Antenna is connected at arm (4) and matched load at port (3). • During transmission half power reaches to antenna & other half to matched load where it is absorbed without reflection • During reception half power goes to receiver & other half to transmitter, which are isolated during reception & transmission.
  • 23.
    3. Magic Teeas a Mixer
  • 24.
    Description ● E-Arm portis connected to the antenna and the H-Arm port is connected to the local oscillator. Port 2 has matched load which has no reflections and port 1 has the mixer circuit, which gets half of the signal power and half of the oscillator power to produce IF frequency. ● Half the local oscillator power and half of the received power from antenna goes to the mixer where they are mixed to generate the IF frequency. IF=Fin-Fo Magic Tee junction is also used as Microwave Bridge, Microwave discriminator etc
  • 25.
    Advantages 1.Decoupling property ofthe output ports. 2. In three junction devices power division between ports depends on termination existing at the respective olp ports, but in case of magic tee all the olp ports are perfectly matched. Hence power division between the ports is independent of terminations.
  • 26.
    Disadvantages When the signalis applied to any arm of a magic tee, the flow of energy in the olp arms is affected by reflections. Reflections are caused by impedance mismatching at the junctions. This reflections are the cause of the two major disadvantage of the magic tee. 1. The reflections represents the power loss 2. The maximum power a magic tee can handle is reduced.
  • 27.
    Numerical 1.The collinear ports1 and 2 of a magic tee are terminated by impedances of reflection coefficients ρ1=0.5 and ρ2= 0.6 .The difference port 4 is terminated by an impedances with reflection coefficient of 0.8. If 1W power is fed at sum port 3. Calculate the power reflection at port 3 and the power divisions at the other ports. solution: The input output relations for a magic tee is given by,
  • 30.
    References 1. Microwave andRadar by M. Kulkarni 2. Seminar on “Magic tee” by kazi md saidur - https://www.slideshare.net/KaziMdRahaman/seminar-on-magic-tee 3. https://www.everythingrf.com/community/what-is-a-magic-tee 4. https://www.microwaves101.com/encyclopedias/magic-tees 5. https://blog.pasternack.com/uncategorized/magic-tee-magical/
  • 31.