1
เรียนรูจากโจทยเรื่องตรรกศาสตรเบื้องตน
1. เหตุ 1) ไมมีคนขยันคนใดเปนคนตกงาน
2) มีคนตกงานที่เปนคนใชเงินเกง
3) มีคนขยันที่ไมเปนคนใชเงินเกง
ผล ในขอใดตอไปนี้เปนการสรุปผลจาก เหตุ ขางตนที่เปนไปอยางสมเหตุสมผล
[O-net ปการศึกษา 2548]
1. มีคนขยันที่เปนคนใชเงินเกง
2. มีคนใชเงินเกงที่เปนคนตกงาน
3. มีคนใชเงินเกงที่เปนคนขยัน
4. มีคนตกงานที่เปนคนขยัน
2
2. จงพิจารณาขอความตอไปนี้
(1) นักกีฬาทุกคนมีสุขภาพดี
(2) คนที่มีสุขภาพดีบางคนเปนคนดี
(3) ภราดรเปนนักกีฬา และเปนคนดี
แผนภาพในขอใดตอไปนี้ มีความเปนไปไดที่จะสอดคลองกับขอความทั้งสามขอขางตน เมื่อจุด
แทนภราดร [O-net ปการศึกษา 2549]
1. 2.
3. 4.
• •
•
•
3
3. จงพิจารณาขอความตอไปนี้
1. คนตีกอลฟเกงทุกคนเปนคนสายตาดี
2. คนที่ตีกอลฟไดไกลกวา 300 หลา บางคน เปนคนสายตาดี
3. ธงชัยตีกอลฟเกงแตตีไดไมไกลกวา 300 หลา
แผนภาพในขอใดตอไปนี้ มีความเปนไปไดที่จะสอดคลองกับขอความทั้งสามขอขางตน เมื่อจุด
แทนธงชัย [O-net ปการศึกษา 2550]
1. 2.
3. 4.
• •
•
•
4
4. กําหนดเหตุใหดังตอไปนี้
เหตุ
(ก) ทุกจังหวัดที่อยูไกลจากกรุงเทพมหานครเปนจังหวัดที่มีอากาศดี
(ข) เชียงใหมเปนจังหวัดที่มีอากาศดี
ขอสรุปในขอใดตอไปนี้สมเหตุสมผล [O-net ปการศึกษา 2551]
1. เชียงใหมเปนจังหวัดที่อยูไมไกลจากกรุงเทพมหานคร
2. นราธิวาสเปนจังหวัดที่อยูไมไกลจากกรุงเทพมหานคร
3. เชียงใหมเปนจังหวัดที่อยูไกลจากกรุงเทพมหานคร
4. นราธิวาสเปนจังหวัดที่อยูไกลจากกรุงเทพมหานคร
5
5. พิจารณาการใหเหตุผลตอไปนี้
เหตุ 1) A
2) เหตุเปนพืชมีดอก
ผล เห็ดเปนพืชชั้นสูง
ขอสรุปขางตนสมเหตุสมผล ถา A แทนขอความใด [O-net ปการศึกษา 2552]
1. พืชชั้นสูงทุกชนิดมีดอก
2. พืชชั้นสูงบางชนิดมีดอก
3. พืชมีดอกทุกชนิดเปนพืชชั้นสูง
4. พืชมีดอกบางชนิดเปนพืชชั้นสูง
6
6. พิจารณาการอางเหตุผลตอไปนี้
ก. เหตุ 1. ถาฝนไมตกแลวเดชาไปโรงเรียน
2. ฝนตก
ผล เดชาไมไปโรงเรียน
ข. เหตุ 1. รัตนาขยันเรียน หรือรัตนาสอบชิงทุนรัฐบาลได
2. รัตนาไมขยันเรียน
ผล รัตนาสอบชิงทุนรัฐบาลได
ขอใดตอไปนี้ถูกตอง [O-net ปการศึกษา 2553]
1. ก. สมเหตุสมผล และ ข. สมเหตุสมผล
2. ก. สมเหตุสมผล และ ข. ไมสมเหตุสมผล
3. ก. ไมสมเหตุสมผล และ ข. สมเหตุสมผล
4. ก. ไมสมเหตุสมผล และ ข. ไมสมเหตุสมผล
7
7. ถาเอกภพสัมพันธเปนจํานวนจริง ขอความที่ถูกตองคือขอใด
[Entrance คณิต กข. ป 2520]
ก.
2
[ ]x x x x∀ + = เปนจริง เพราะ 2
2 2 2+ =
ข.
2
[ ]x x x x∀ + = เปนจริง เพราะ 2
1 1 1+ ≠
ค.
2
[ ]x x x x∀ + = เปนจริง เพราะ
2
[ ]x x x x∃ + = เปนจริง
ง.
2
[ ]x x x x∀ + = เปนเท็จ เพราะ
2
[ ]x x x x∃ + ≠ เปนจริง
8
8. ขอใดตอไปนี้มีคาความจริงเปนจริง
[Entrance คณิต กข. ป 2521]
ก. ( ) ( )x y x y∨ → →∼
ข. ( ) ( )x y x y→ → →∼ ∼
ค. ( ) ( )x y x y∨ → →∼ ∼
ง. [( ) ] ( )x y x x y∧ → → →∼ ∼
จ. [( ) ] ( )x y y x y∧ → → →∼ ∼
9
9. ประพจน ( )x y z→ → สมมูลกับประพจนในขอใดตอไปนี้
[Entrance คณิต กข. ป 2521]
ก. ( )x z y→ →
ข. ( )y x z→ →
ค. ( )y z x→ →
ง. ( )z x y→ →
จ. ( )x z y→ →
10
10. ถากําหนดเอกภพสัมพันธ { 1,0,1}= − จงบอกวาประพจนใดเปนจริง
[Entrance คณิต กข. ป 2521]
ก.
2 2
[ ]x y x y y x∀ ∀ − = −
ข.
2 2
[ ]x y x y y x∀ ∀ − ≠ −
ค.
2 2
[ ]x y x y y x∀ ∃ − = −
ง.
2 2
[ ]x y x y y x∃ ∀ − = −
จ.
2 2
[ ]x y x y y x∃ ∀ − ≠ −
11
11. ประพจนในขอใดตอไปนี้เปนจริง
[Entrance คณิต กข. ป 2522]
ก. ( ) ( )p q p q→ → ∧∼ ∼
ข. ( ) ( )p q p q→ ↔ ∨∼
ค. [( ) ] [ ( ) ]p q r p q r∨ ∨ ↔ ∧ ∧∼ ∼ ∼
ง. [( ) ( )] [( ) ]p r q r p q r→ ∧ → ↔ ∧ →
จ. [( ) ( )] [ ( )]p q p r p q r→ ∨ → → → ∧
12
12. ภาควิชาตองการนัดอาจารยในภาค 5 คน มาประชุมพรอมกันโดยไมทําใหการประชุมนี้มี
ผลกระทบกระเทือนตอชั่วโมงสอนของอาจารยในแตละวัน ซึ่งแบงเปนภาคเชาและบาย ถาทราบวา
อาจารย ก. วางสอน วันจันทร,พุธเชา,พฤหัสเชา และ วันศุกร
อาจารย ข. มีชั่วโมงสอน จันทรบาย และ พฤหัสเชา เทานั้น
อาจารย ค. วางสอน จันทรเชา,อังคารเชา,พุธบาย,พฤหัสเชา และ ศุกรเชา
อาจารย ง. สอนทุกวัน ยกเวน จันทรบาย,อังคารบาย,วันพุธ,พฤหัสเชา และ วันศุกรทั้งวัน
อาจารย จ. มีแตงานวิจัย ไมมีชั่วโมงสอน
อยากทราบวา ภาควิชาควรนัดอาจารยมาประชุมในวันและเวลาชวงใด
[Entrance คณิต กข. ป 2523]
ก. จันทรเชา ข. พุธเชา ค. พฤหัสเชา
ง. ศุกรเชา จ. ไมมีคําตอบที่ถูกตองสมบูรณ
13
13. ถาทราบวาไมมีนักเรียนเกเรคนไหนที่ขยัน และ นักเรียนทุกคนที่สอบไดเปนเด็กขยัน แดงเปน
นักเรียนที่ขยัน ดังนั้น
[Entrance คณิต กข. ป 2523]
ก. แดงสอบได และ แดงเปนเด็กอยูในโอวาท ไมเกเร
ข. แดงสอบตกและแดงเกเร
ค. แดงเปนเด็กเกเร แตแดงโชคดีสอบได
ง. แดงเปนเด็กอยูในโอวาท ไมเกเร แตแดงโชครายสอบตก
จ. ไมมีขอใดถูก
14
14. ประพจนตอไปนี้ขอใดผิด
[Entrance คณิต กข. ป 2523]
ก. ( )p q p p q∨ ∧ ↔ ∧∼ ∼
ข. ( ( ) ( )) ( ( ) ( ))p q p q p q p q∨ → ∧ ↔ ∧ → ∨∼ ∼
ค. ( ) ( )p q p q↔ ↔ ↔∼ ∼ ∼
ง. ( ) ( )p q p q∧ → ↔ มีคาความจริงเปนจริงเสมอ
จ. ( )p q p q→ ↔ ∧∼ ∼
15
15. กําหนดให p,q,r เปนประพจนใดๆ ขอใดตอไปนี้ถูกตอง
[Entrance คณิต กข. ป 2524]
ก. ( )r p q∨ ∧ ∼ ไมสมมูลกับ ( )p q r→ ∨∼
ข. ( )p q r∨ ∨∼ ไมสมมูลกับ ( )p q r→ ∨
ค. [ ( )] [ ( )]q r r q q q∧ ∨ ∨ ∧ ∧∼ ∼ สมมูลกับ q
ง. ( )p q r∧ → สมมูลกับ ( )r p q→ ∧∼ ∼ ∼
จ. ( )p q r∧ → สมมูลกับ ( )r p q∨ ∧∼
16
16. กําหนดใหเอกภพสัมพัทธ คือ { 2, 1,0,1,2}− −
P(x) คือ x เปนจํานวนคี่
Q(x) คือ
4
x
เปนจํานวนคู
ประพจน A คือ [ ( ) ( )]x P x Q x∀ ∨
ประพจน B คือ [ ( ) (0)]x P x Q∃ →
ประพจน C คือ [ ( 1) ( )]x Q P x∀ − →
ขอใดตอไปนี้ถูกตอง
[Entrance คณิต กข. ป 2524]
ก. ประพจน A และประพจน B เทานั้นที่มีคาความจริงเปนจริง
ข. ประพจน A และประพจน B เทานั้นที่มีคาความจริงเปนเท็จ
ค. ประพจน A และประพจน C เทานั้นที่มีคาความจริงเปนจริง
ง. ประพจน A และประพจน C เทานั้นที่มีคาความจริงเปนเท็จ
จ. ประพจน A เพียงประพจนเดียวเทานั้นที่มีคาความจริงเปนจริง
17
17. ขอใดตอไปนี้ไมถูกตอง
[Entrance คณิต กข. ป 2524]
ก. ในกรณีที่ [ ( )]x P x∀ มีคาความจริงเปนเท็จ อาจมีกรณีที่ [ ( )]x P x∃ มีคาความจริงเปน
จริง
ข. ประโยค “ถาเขียน 3 ใหอยูในรูปทศนิยมแลว จะไดทศนิยมตําแหนงที่หาสิบ คือ 2” ไม
เปนประพจน เพราะไมสามารถสรุปไดทันทีวา ประโยคนี้มีคาความจริงเปนอยางไร
ค. ให p,q,r และ s เปนประพจนใดๆ โดยที่ p มีคาความจริงเปนจริง q มีคาความจริงเปนเท็จ
จะไดประพจน ( ) [( ) ( )]p s q r s p∧ → ∨ ∧ ↔∼ ∼ มีคาความจริงเปนจริง
ง. ประโยค “ ถา 2x ≠ แลว 2
1x < − ” เปนประโยคเปด
จ. นิเสธ [ ( )]x P x∃ ∼ คือ [ ( )]x P x∀
18
18. กําหนด p,q,r,s เปนประพจนโดยที่ ( ) ( )p r q s∨ → ∨ เปนเท็จ และ p q→
เปนจริง ประพจนในขอใดตอไปนี้เปนเท็จ
[Entrance คณิต กข. ป 2525]
ก. p s→ ข. q s→ ค. r s→
ง. q r→ จ. s r→
19
19. กําหนดเอกภพสัมพัทธเปนเซตของจํานวนจริงบวก จงพิจารณาวานิเสธของ
1
[( ) ( )]N x x N
x
ε ε∀ ∃ ∀ > → < คือประพจนขอใดตอไปนี้
[Entrance คณิต กข. ป 2525]
ก.
1
[( ) ( )]N x x N
x
ε ε∀ ∃ ∀ ≤ → ≥
ข.
1
[( ) ( )]N x x N
x
ε ε∃ ∀ ∃ > → <
ค.
1
[( ) ( )]N x x N
x
ε ε∀ ∃ ∀ ≤ → <
ง.
1
[( ) ( )]N x x N
x
ε ε∃ ∀ ∃ > ∧ ≥
จ.
1
[( ) ( )]N x x N
x
ε ε∃ ∀ ∃ ≤ ∧ <
20
20. ให x เปนเซตของผูแทนราษฎร y เปนเซตของจังหวัดของประเทศไทย และ P(x,y) แทน
ขอความ “x เปนผูแทนราษฎรของจังหวัด y” ขอใดตอไปนี้เปนเท็จ
[Entrance คณิต กข. ป 2526]
ก. [ ( , )]x y P x y∀ ∃
ข. [ ( , )]y x P x y∀ ∃
ค. [ ( , )]x y P x y∃ ∀
ง. [ ( , )]y x P x y∃ ∃
21
21. กําหนดให P(x) แทนประโยค
2
[ 1, ]x x x R∃ ≠ − ∈
Q(x) แทนประโยค rx D∈ เมื่อ {( , ) | 2}r x y R R y x= ∈ × = −
R(x) แทนประโยค x เปนจํานวนตรรกยะที่อยูระหวาง 0.010010001…
กับ 0.1010010001…
S(x) แทนประโยค x เปนจํานวนเชิงซอน
จงหาวาประโยคในขอใดมีคาเปนจริง
[Entrance คณิต กข. ป 2527]
ก. [ (0.01) ( )] [ ( 2) (0.01)]R S Q Rπ→ ∧ →∼ ∼
ข. [ ( ) ( 2)] [ ( ) (0.01)]P x Q P x R∨ → ↔∼ ∼
ค. [ ( ) ( ( 2) ( ))] ( 2)P x Q P x Q∨ → →∼
ง. [ ( ) ( ( ) (0.01))] ( 2)S S R Qπ π∨ → →∼
22
22. ถา ( ) ( )x x y z∨ → ∨∼ มีคาเปนเท็จ แลว ( )x x∧ ∼ มีคาความจริงเหมือนขอใด
[Entrance คณิต กข. ป 2527]
ก. ( )x z y∨ →
ข. [( ) ]x z y x→ ∧ →∼
ค. ( ) ( )x y x y∨ → ∧∼ ∼
ง. ( )x y z∧ →∼
23
23. กําหนดให R เปนเซตของจํานวนจริง N เปนเซตของจํานวนนับ และเอกภพสัมพัทธเปน R
ขอใดตอไปนี้ถูกตอง
[Entrance คณิต กข. ป 2528]
ก. รูปสัญลักษณของขอความ “มีจํานวนจริงบวก x ซึ่ง 2
1 7x + ≤ ” คือ
2
[ 0 1 7]x x x∃ > → + ≤
ข. รูปสัญลักษณของขอความ “สําหรับจํานวนจริง x ใดๆมีจํานวนจริง y ซึ่ง 10x y+ >
หรือ
2 2
3x y+ = ” คือ
2 2
[ 0 3]y x x y x y∃ ∀ + > ∨ + =
ค. รูปสัญลักษณของขอความ “แตละจํานวนจริง x และ y จะได
3 3
9x y+ > ” คือ
3 3
[ 9]x y x y∃ ∃ + >
ง. รูปสัญลักษณของขอความ “ถาทุกจํานวนจริง x มากกวา 5 แลว จะมีจํานวนนับ y ซึ่ง
2
1 0y− > ” คือ
2
[ 5] [ 1 0]x x y y N y∀ > → ∃ ∈ ∧ − >
24
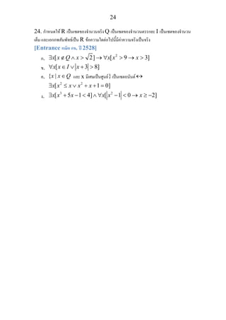
24. กําหนดให R เปนเซตของจํานวนจริง Q เปนเซตของจํานวนตรรกยะ I เปนเซตของจํานวน
เต็ม และเอกภพสัมพัทธเปน R ขอความใดตอไปนี้มีคาความจริงเปนจริง
[Entrance คณิต กข. ป 2528]
ก.
2
[ 2] [ 9 3]x x Q x x x x∃ ∉ ∧ > → ∀ > → >
ข. [ 3 8]x x I x∀ ∈ ∨ + >
ค. { |x x Q∈ และ x มีเศษเปนศูนย}เปนเซตอนันต↔
2 2
[ 1 0]x x x x x∃ ≤ ∨ + + =
ง.
3 2
[ 5 1 4] [ 1 0 2]x x x x x x∃ + − < ∧ ∀ − < → ≥ −
25
25. ใหเอกภพสัมพัทธเปนเซตของจํานวนเต็ม ประพจนใดตอไปนี้มีคาความจริงเปนจริง
[Entrance คณิต กข. ป 2529]
ก. [( 0) ( 0)] { [ 0] [ 0]}x x x x x x x∀ > ∨ ≤ → ∀ > ∨ ∀ ≤
ข. { [ 0] [ 0]} { [( 0) ( 0)]x x x x x x x∃ > ∧ ∃ ≤ → ∃ > ∧ ≤
ค. [( 0) ( 0)] { [ 0] [ 0]}x x x x x x x∀ > → > → ∃ > → ∀ >
ง. [( 0) ( 0)] { [ 0] [ 0]}x x x x x x x∀ > → > → ∀ > → ∀ >
26
26. นิยาม ทอโทโลยี คือประพจนที่มีคาความจริงเปนจริงทุกกรณี ประพจนใดตอไปนี้ไมเปนทอ
โทโลยี
[Entrance คณิต กข. ป 2529]
ก. [( ) ( )] ( )p q r p q p r∧ → ∧ → → →
ข. [( ) ( )] ( )p q q r p r→ ∧ → → →
ค. [( ( )] [( ) ]p q r p q r→ → ↔ → →
ง. [( ( )] [( ) ]p q r p q r↔ ↔ ↔ ↔ ↔
27
27. ขอใดตอไปนี้ผิด
[Entrance คณิต กข. ป 2530]
ก. ( )p r q∧ ∨∼ ∼ ∼ กับ ( )q r p→ ∨ ∼ เปนขอความที่สมมูลกัน
ข. กําหนดใหประพจน p มีคาความจริงเปนจริง
ประพจน q มีคาความจริงเปนเท็จ
คาความจริงของขอความ [( ) ]q p r r→ ∨ ↔∼ เปนจริง
ค. กําหนดใหเอกภพสัมพัทธ คือ {0,1,2,3}ประโยค [ 3 0]x x∀ − ≥ มีคาความจริงเปน
จริง
ง. กําหนดใหเอกภพสัมพัทธ คือ เซตของจํานวนนับ ขอความ
2
{( [ 1x x∃ − เปนจํานวนนับ]
2
[ 1 0]) [ 0]}x x x
x
∧∀ + ≥ → ∀ < มีคาความจริงเปนเท็จ
28
28. ถา ( )p q∨∼ และ r p→ มีคาความจริงเปนจริงแลว ขอใดตอไปนี้มีคาความจริงเปน
เท็จ
[Entrance คณิต กข. ป 2531]
ก. ( ) ( )p q r q∨ → ∧∼ ∼
ข. ( ) ( )p q r q∧ → ∧∼
ค. ( ) ( )p q r q p→ ∧ → ∨ ∼
ง. ( ) ( )p r q p q→ ∨ → ∧∼ ∼
29
29. ขอความคูใดไมสมมูลกัน
[Entrance คณิต กข. ป 2532]
ก. p q∨ และ ( )p q∧∼ ∼ ∼
ข. ( )p q∧∼ ∼ และ q p→∼ ∼
ค. ( )p q p→ →∼ และ q p→∼
ง. p q↔∼ และ ( ) ( )p q q p→ ∧ →∼ ∼
30
30. กําหนดใหขอความตอไปนี้มีคาความจริงเปนเท็จ
[Entrance คณิต กข. ป 2533]
“ผูที่ใสรองเทาแตะและกางเกงขาสั้น เปนผูที่ไมไดรับอนุญาตใหเขามาในโรงงาน”
ถา p แทน ผูที่ใสรองเทาแตะ
q แทน ผูที่ใสกางเกงขาใส
r แทน ผูที่ไมไดรับอนุญาตใหเขามาในโรงงาน
แลวขอความใดตอไปนี้มีคาความจริงเปนเท็จ
ก. ( )p q r∨ →∼
ข. ( )p q r∧ →∼ ∼
ค. ( )p q r∧ →∼
ง. ( )p q r∨ →∼ ∼
31
31. ใหเอกภพสัมพัทธ { | 1 2}U x R x= ∈ − ≤ ขอใดตอไปนี้มีคาความจริงเปนจริง
[Entrance คณิต กข. ป 2533]
ก.
2
[ 3 6]x x∀ − <
ข. [1 2 5]x x∀ < + <
ค. [ 2 2 ]x x x∃ + < −
ง. [ 2]x x∃ >
32
32. ให p และ q เปนประพจน ถา p*q มีคาความจริงตามตารางขางลางนี้
p q p*q
T T F
T F F
F T F
F F T
แลวประพจน p*q สมมูลกับประพจนในขอใดตอไปนี้
[Entrance คณิต กข. ป 2534]
ก. ( )p q→∼ ∼
ข. p q→∼
ค. ( )q p→∼ ∼
ง. q p→∼
33
33. กําหนดเอกภพสัมพัทธ {1, 1, , }U i i= − − โดยที่ 1i = − ขอใดมีคาความจริงเปน
เท็จ
[Entrance คณิต กข. ป 2534]
ก.
2
[ 1]z z∃ =
ข.
36
[ 1]z z∀ =
ค.
1
[ ]z z
z
∃ =
ง.
3
[ 0]z z z∀ − =
34
34. กําหนดให
p คือ ประพจน “ถา a,b,c เปนจํานวนจริง และ ab<ac แลว b<c” และ
q คือ ประพจน “ถา x และ y เปนจํานวนอตรรกยะแลว x+y เปนจํานวนอตรรกยะ”
ประพจนในขอใดตอไปนี้มีคาความจริงเปนจริง
[Entrance คณิต กข. ป 2534]
ก. p q∧ ∼
ข. p q∧
ค. p q∧∼ ∼
ง. p q∧∼
35
35. ประพจนที่สมมูลกับประพจน p q↔ คือประพจนในขอใด
[Entrance คณิต กข. ป 2535]
ก. ( ) ( )p q q p→ ∧ ∧ ∼
ข. ( ) ( )q p q p→ ∧ ∨∼ ∼ ∼
ค. ( ) ( )p q q p∧ ∧ →∼
ง. ( ) ( )p q p q∧ ∧ →∼ ∼ ∼
36
36. ใหเอกภพสัมพัทธคือ เซตของจํานวนจริง พิจารณาขอความตอไปนี้
(1)
2
4log
[ 0 2 ]x
x x x∀ ≠ → =
(2)
1
[2 3 ]x x
x +
∃ =∼
ขอใดตอไปนี้ถูก
[Entrance คณิต กข. ป 2536]
ก. (1)จริง(2)เท็จ
ข. (1)เท็จ(2)จริง
ค. จริงทั้ง (1)และ(2)
ง. เท็จทั้ง (1)และ(2)
37
37. กําหนดให p คือประพจน “ถา a+c > b+c แลว a > b เมื่อ a,b,c คือจํานวนจริง
ใดๆ” q คือประพจน “สําหรับจํานวนจริง x ใดๆ 2x ≥ ก็ตอเมื่อ 2x ≥ ”
ดังนั้น ประพจน p q∨∼ จะมีคาความจริง ไมเหมือนกับคาความจริงของประพจนขอใด
ตอไปนี้
[Entrance คณิต กข. ป 2536]
ก. p q∧∼
ข. p q∧
ค. ( )p q∨∼
ง. p q∨ ∼
38
38. ประพจนใดตอไปนี้สมมูลกับประพจน ( ) ( )p r q r→ ∧ →
[Entrance คณิต กข. ป 2537]
ก. ( )p q r∧ ∨ ∼
ข. ( )p q r∧ →
ค. ( )p q r∨ ∨∼
ง. ( )p q r∨ →∼
39
39. กําหนดใหเอกภพสัมพัทธเปนเซตของจํานวนจริง และ p แทนประพจน
“สําหรับจํานวนจริงบวก x ใดๆ ผลบวกของ x กับ
1
x
มีคามากกวา 1”
พิจารณาขอความตอไปนี้
(1) p สมมูลกับ
1
[ 0 ( 1)]x x x
x
∀ ≤ ∨ + >
(2) p มีคาความจริงเปนจริง
ขอใดตอไปนี้ถูก
[Entrance คณิต กข. ป 2537]
ก. ทั้ง(1)และ(2) ถูก
ข. (1) ถูก (2) ผิด
ค. (1) ผิด (2) ถูก
ง. ทั้ง(1)และ(2) ผิด
40
40. พิจารณาขอความตอไปนี้
(1) เหตุ 1. นายสมหมายเปนคนขยันหรือนายสมหมายไดที่หนึ่งของหอง
2. นายสมหมายไมเปนคนขยัน
ผล นายสมหมายสอบไดที่หนึ่งของหอง
(2) เหตุ 1. ถาสมศรีไปเที่ยวชายทะเลแลวสมศรีไมสบาย
2. สมศรีไมสบาย
ผล สมศรีไปเที่ยวชายทะเล
การอางเหตุผลใน (1) ละ (2) ขางตน สมเหตุสมผลหรือไม
[Entrance คณิต กข. ป 2537]
ก. (1) สมเหตุสมผล (2) สมเหตุสมผล
ข. (1) สมเหตุสมผล (2) ไมสมเหตุสมผล
ค. (1) ไมสมเหตุสมผล (2) สมเหตุสมผล
ง. (1) ไมสมเหตุสมผล (2) ไมสมเหตุสมผล
41
41. ให p,q และ r เปนประพจน ถา ( ) ( )p q q r∧ → ∨∼ มีคาความจริงเปนเท็จ แลว
ประพจนในขอใดตอไปนี้มีคาความจริงเปนจริง
[Entrance คณิต กข. ป 2538]
ก. p q∨∼
ข. p r→∼
ค. p q∧
ง. q r↔∼
42
42. พิจารณาขอความตอไปนี้
(1) ถา p และ q เปนประพจน โดยที่ p q→ เปนสัจจนิรันดร แลว p q∨ ∼ เปนสัจจนิ
รันดรดวย
(2) นิเสธของขอความ [ 6] [ 8]x x x x∃ < → ∀ > คือ [ 6] [ 8]x x x x∀ ≥ ∧ ∃ ≤
ขอใดตอไปนี้ถูก
[Entrance คณิต กข. ป 2538]
ก. ทั้งขอ (1) และขอ (2) ถูก
ข. ขอ (1) ถูก ขอ (2) ผิด
ค. ขอ (1) ผิด ขอ (2) ถูก
ง. ทั้งขอ (1) และขอ (2) ผิด
43
43. ถา p และ q เปนประพจนแลว ประพจน ( )p q p→ →∼ สมมูลกับประพจนในขอ
ใดตอไปนี้
[Entrance คณิต กข. ป 2540]
ก. ( )p p q∨ ∧∼ ∼
ข. ( )p p q∨ ∨∼
ค. ( )p p q→ ∨∼ ∼
ง. ( )p p q→ ∧∼
44
44. กําหนดให p,q,r,s เปนประพจน ประพจนในขอใดตอไปนี้ไมเปนสัจจนิรันดร
[Entrance คณิต กข. ป 2541]
ก. [ ( )] [( ) ( )]p q r p q p r∨ ∧ ↔ ∨ ∧ ∨
ข. [ ( )] [ ( )]p q r p q r∨ ∧ ∨ ∨ ∧∼
ค. [( ) )] [ ( )]p q r r p q∨ → ↔ → ∧∼ ∼ ∼
ง. [( ) ( ) ( ) ]p q q r s r s p→ ∧ → ∧ ∨ ∧ ↔∼ ∼
45
45. ประพจน ( ( ))p q r p→ → ∨∼ สมมูลกับประพจนในขอใดตอไปนี้
[Entrance คณิต 1- ตุลาคม ป 2541]
ก. ( )p q r∨ ∨∼
ข. ( )p q r∨ ∨∼
ค. ( )p q r∨ ∨ ∼
ง. ( ) ( )p q r∨ ∨∼ ∼
46
46. พิจารณาการอางเหตุผลตอไปนี้ เมื่อ p,q และ r เปนประพจน
(1) เหตุ 1. ( )p p q∨ ∧ ∼
2. p q→
ผล q
(2) เหตุ 1. p r→∼
2. r s∨∼
3. s∼
ผล p
ขอใดตอไปนี้ถูก
[Entrance คณิต 1- ตุลาคม ป 2541]
ก. (1) และ (2) สมเหตุสมผล
ข. (1) สมเหตุสมผล แต (2) ไมสมเหตุสมผล
ค. (1) ไมสมเหตุสมผล แต (2) สมเหตุสมผล
ง. (1) และ (2) ไมสมเหตุสมผล
47
47. ให p,q,r,s และ t เปนประพจน ถาประพจน ( ) ( )p q r s∧ → ∨ มีคาความจริงเปน
เท็จแลว ประพจนในขอใดตอไปนี้ มีคาความจริงเปนเท็จ
[Entrance คณิต 1- ตุลาคม ป 2543]
ก. ( ) ( )p r s t∧ ↔ ∧
ข. ( ) ( )p s q t∧ → ∨
ค. ( ) ( )p s r t∧ ∨ ∧
ง. ( ) ( )r p s t→ ∧ →
48
48. กําหนดเอกภพสัมพัทธคือ {2 | }U n n I +
= ∈ เมื่อ I+
เปนเซตของจํานวนเต็มบวก
พิจารณาขอความตอไปนี้
(1)
2 3
[2 18(2 ) 4 0]x x
x +
∃ − + = มีคาความจริงเปนจริง
(2) 2 2[log ( 2) log ( 1) 2]x x x∃ + + − = มีคาความจริงเปนจริง
[Entrance คณิต 1- ตุลาคม ป 2543]
ก. (1) ถูก และ (2) ถูก
ข. (1) ถูก และ (2) ผิด
ค. (1) ผิด และ (2) ถูก
ง. (1) ผิด และ (2) ถูก
49
49. พิจารณาขอความตอไปนี้ เมื่อเอกภพสัมพัทธ คือ เซตของจํานวนจริง
(1) [cot 2 cot 0]x x x∃ − =
(2)
4 4 21
[sin cos 1 sin 2 ]
2
x x x x∀ + = −
คาความจริงของขอความ (1) และ (2) เปนไปตามขอใด
[Entrance คณิต 1- ตุลาคม ป 2544]
ก. (1) เปนจริง และ (2) เปนจริง
ข. (1) เปนจริง และ (2) เปนเท็จ
ค. (1) เปนเท็จ และ (2) เปนจริง
ง. (1) เปนเท็จ และ (2) เปนเท็จ
50
50. กําหนดให p,q,r เปนประพจนที่มีคาความจริงเปน จริง เท็จ และ เท็จ ตามลําดับ ประพจน
ในขอใดตอไปนี้ มีคาความจริงเหมือนกับประพจน ( ) ( )p q r p→ ∨ ∧∼ ∼
[Entrance คณิต 1- ตุลาคม ป 2544]
ก. ( ) ( )r p q r→ ∧ ∨∼
ข. ( ) ( )q r p q∧ ↔ →∼ ∼ ∼
ค. ( ) ( )p r q r∨ → ∧∼ ∼
ง. ( ) ( )p q r q→ ∨ ↔∼
51
51. พิจารณาขอความตอไปนี้
(1) ถา p,q เปนประพจน โดยที่ p มีคาความจริงเปนจริง และ ( )q p q→ ∨∼ ∼ เปน
สัจจนิรันดรแลว q มีคาความจริงเปนจริง
(2) นิเสธของขอความ [ ( ) ( ) ( )]x P x Q x R x∃ ∧ ∧∼ ∼ คือขอความ
[ ( ) ( ( ) ( ))]x Q x P x R x∀ → ∨
ขอใดตอไปนี้ถูก
[Entrance คณิต 1- ตุลาคม ป 2545]
ก. (1) ถูก และ (2) ถูก
ข. (1) ถูก และ (2) ผิด
ค. (1) ผิด และ (2) ถูก
ง. (1) ผิด และ (2) ผิด
52
52. กําหนดให P(x) และ Q(x) เปนประโยคเปด โดยที่ [ ( )] [ ( )]x P x x Q x∀ → ∃ ∼
มีคาความจริงเปนเท็จ เมื่อเอกภพสัมพัทธคือ เซตของจํานวนจริง ขอใดตอไปนี้มีคาความจริงเปน
จริง
[Entrance คณิต 1- ป 2545]
ก. [ ( ) ( )]x P x Q x∃ ∧ ∼
ข. [ ( ) ( )]x P x Q x∃ ∨∼ ∼
ค. [ ( ) ( )]x P x Q x∀ →∼
ง. [ ( ) ( )]x P x Q x∀ →
53
53. พิจารณาการอางเหตุผลตอไปนี้
(1) เหตุ 1. p q∧
2. ( ) ( )q r s p∨ → ∧
3. p r→∼
4. s r∧ ∼
ผล s r∧ ∼
(2) เหตุ 1. ( ) ( )P x Q x→∼
2. ( ) ( )Q x R x∨
ผล ( ) ( )P x R x→
ขอใดตอไปนี้ถูก
[Entrance คณิต 1- ตุลาคม ป 2546]
ก. (1) และ (2) สมเหตุสมผลทั้งคู
ข. (1) สมเหตุสมผล แต (2) ไมสมเหตุสมผล
ค. (1) ไมสมเหตุสมผล แต (2) สมเหตุสมผล
ง. (1) และ (2) ไมสมเหตุสมผลทั้งคู
54
54. ใหเอกภพสัมพัทธ คือ เซตของจํานวนจริง
ถา P(x) แทนขอความ 2
3 0x x− <
และ Q(x) แทนขอความ 2 log 1x− < < −
แลวประโยคในขอใดตอไปนี้มีคาความจริงเปนจริง
[Entrance คณิต 1- ตุลาคม ป 2546]
ก. [ ( ) ( )]x P x Q x∀ →
ข. [ ( ) ( )]x Q x P x∀ →
ค. [ ( ) ( )]x P x Q x∀ →∼
ง. [ ( ) ( )]x P x Q x∀ →∼
55
55. พิจารณาขอความตอไปนี้
(1) ถาประพจน [ ( )] ( )p q r r s∧ → → ∨ มีคาความจริงเปนเท็จ แลว p q s∧ →
มีคาความจริงเปนเท็จ
(2) นิเสธของขอความ
2
[( ) ( )]x y x y x y∀ ∃ > ∧ < คือ
2
[( ) ( )]x y x y y x∃ ∀ > → ≤
ขอใดตอไปนี้ถูก
[Entrance คณิต 1- ป 2547]
ก. (1) ถูก และ (2) ถูก
ข. (1) ถูก แต (2) ผิด
ค. (1) ผิด แต (2) ถูก
ง. (1) ผิด และ (2) ผิด
56
56. กําหนดเอกภพสัมพัทธ คือ ชวงเปด ( 2,2)− พิจารณาขอความตอไปนี้
(1) ประพจน
2 2
[x x x x x∀ + ≤ + และ
2
]x x≤ มีคาความจริงเปนจริง
(2) ประพจน
2
[ 6 0]x x x∃ − − ≥ มีคาความจริงเปนจริง
ขอใดตอไปนี้ถูก
[Entrance คณิต 1- ป 2547]
ก. (1) ถูก และ (2) ถูก
ข. (1) ถูก แต (2) ผิด
ค. (1) ผิด แต (2) ถูก
ง. (1) ผิด และ (2) ผิด
57
57. กําหนดเอกภพสัมพัทธคือ { 3, 2, 1,1,2,3}U = − − − ขอใดตอไปนี้มีคาความจริงเปน
เท็จ
[A-net กุมภาพันธ ป 2549]
1. [ ]x y x y y∃ ∀ + <
2.
2
[ ]x y x y x∃ ∀ − <
3.
2
[ ]x y xy x∃ ∀ =
4.
2
[ ]x y x y y∃ ∀ =
58
58. ให p,q,r เปนประพจน
ถาประพจน ( )p q r→ ∨ มีคาความจริงเปนจริง
และ ( )p q r∨ ∧ มีคาความจริงเปนเท็จ
แลวประพจนในขอใดตอไปนี้มีคาความจริงเปนเท็จ
[A-net กุมภาพันธ ป 2549]
1. ( )q p r∨ →∼
2. ( )p p q→ ∨∼ ∼
3. ( ) ( )q r p q r∨ → ∨ ∧∼
4. [( ) ( )] [ ( )]q r p q r∨ → ∧ ∨∼ ∼
59
59. พิจารณาขอความตอไปนี้
ก. ใหเอกภพสัมพัทธคือเซตของจํานวนเฉพาะบวก
ขอความ
2
[ 1 ]x y x x y∀ ∃ + + = มีคาความจริงเปนจริง
ข. นิเสธของขอความ [ ( ) ( ( ) ( ))]x P x Q x R x∀ → ∨ คือ
[ ( ) ( ) ( )]x P x Q x R x∃ ∧ ∧∼ ∼
ขอใดตอไปนี้ถูก
[A-net กุมภาพันธ ป 2550]
1. ก ถูก และ ข ถูก
2. ก ถูก และ ข ผิด
3. ก ผิด และ ข ถูก
4. ก ผิด และ ข ผิด
60
60. กําหนดเหตุใหดังนี้
1. เอกภพสัมพัทธไมเปนเซตวาง 2. [ ( ) ( )]x P x Q x∀ →
3. [ ( ) ( )]x Q x R x∀ ∨ 4. [ ( )]x R x∃ ∼
ขอความในขอใดตอไปนี้เปนผลที่ทําใหการอางเหตุผล สมเหตุสมผล
[A-net กุมภาพันธ ป 2551]
1. [ ( )]x P x∃
2. [ ( )]x Q x∃
3. [ ( )]x P x∀
4. [ ( )]x Q x∀
61
61. กําหนดให p,q,r เปนประพจน จงพิจารณาขอความตอไปนี้
ก. ประพจน ( ( ))p p q r→ → ∨ สมมูลกับประพจน ( )p q r→ ∨
ข. ประพจน ( )p q r∧ → สมมูลกับประพจน ( ) ( )q p p r→ ∨ →∼ ∼
ขอใดตอไปนี้ถูก
[PAT1 มีนาคม ป 2552]
1. ก ถูก และ ข ถูก
2. ก ถูก และ ข ผิด
3. ก ผิด และ ข ถูก
4. ก ผิด และ ข ผิด
62
62. กําหนดใหเอกภพสัมพัทธ คือ {{1,2},{1,3},{2,3}}U =
ขอใดตอไปนี้ถูก
[PAT1 มีนาคม ป 2552]
1. [ ]x y x y∀ ∀ ∩ ≠ ∅
2. [ ]x y x y U∀ ∀ ∪ =
3. [ ]x y y x y x∀ ∃ ≠ ∧ ⊂
4. [ ]x y y x y x∃ ∀ ≠ ∧ ⊂
63
63. กําหนดให P(x) และ Q(x) เปนประโยคเปด
ประโยค [ ( )] [ ( )]x P x x Q x∀ → ∃ ∼ สมมูลกับประโยคในขอใดตอไปนี้
[PAT1 กรกฎาคม ป 2552]
1. [ ( )] [ ( )]x P x x Q x∀ → ∃∼
2. [ ( )] [ ( )]x Q x x P x∀ → ∃ ∼
3. [ ( )] [ ( )]x P x x Q x∃ → ∀
4. [ ( )] [ ( )]x Q x x P x∃ → ∀∼
64
64. กําหนดให { | 10}U n I n+
= ∈ ≤ ประโยคในขอใดตอไปนี้มีคาความจริงเปนเท็จ
[PAT1 กรกฎาคม ป 2552]
1.
2 2
[( ) ( )]x y x y x y∀ ∀ = → =
2.
2
[( 1) ( )]x y x x y∀ ∃ ≠ → >
3. [ ]x y xy x y∃ ∀ ≤ +
4.
2 2
[( ) 9 ]x y x y y xy∃ ∃ − ≥ +
65
65. กําหนดใหเอกภพสัมพัทธคือ เซต { 2, 1,1,2}− −
ประโยคในขอใดตอไปนี้มีคาความจริงเปนเท็จ
[PAT1 ตุลาคม ป 2552]
1. [ 0 1]x y x x y∃ ∃ ≤ ∧ = +
2. [ ( ) 0]x y x y x y∃ ∀ ≤ ∧ − + ≥
3. [ 0 0]x y x y x y∀ ∃ + = ∨ − =
4. [ ]x y x y x y∀ ∀ < ∨ >
66
66. กําหนดให p,q,r เปนประพจน
พิจารณาขอความตอไปนี้
ก. ถา q r∧ มีคาความจริงเปนจริง แลว p และ [( ) ]p q r p∨ ∧ → มีคาความ
จริงเหมือนกัน
ข. ถา p มีคาความจริงเปนเท็จแลว r และ ( )p q r∧ → มีคาความจริงเหมือนกัน
ขอใดตอไปนี้เปนจริง
[PAT1 ตุลาคม ป 2552]
1. ก ถูก และ ข ถูก
2. ก ถูก และ ข ผิด
3. ก ผิด และ ข ถูก
4. ก ผิด และ ข ผิด
67
67. กําหนดให p และ q เปนประพจนใดๆ
ขอใดตอไปนี้มีคาความจริงเปนเท็จ
[PAT1 มีนาคม ป 2553]
1. ( )p q p→ ∨
2. ( )p p q∧ →∼
3. [( ) ]p q p q→ ∧ →
4. ( ) ( )p q p q→ ↔ ∧∼ ∼ ∼
68
68. ขอใดตอไปนี้ถูกตอง
[PAT1 มีนาคม ป 2553]
1. ถาเอกภพสัมพัทธคือ { 1,0,1}− คาความจริงของ
2 2
[ ]x y x x y y∀ ∃ + = + เปนเท็จ
2. ถาเอกภพสัมพัทธเปนเซตของจํานวนจริง คาความจริงของ 3[3 log ]x
x x∃ = เปนจริง
3. ถาเอกภพสัมพัทธเปนเซตของจํานวนจริง นิเสธของขอความ
[( 0 0) ( 0)]x y x y xy∀ ∃ > ∧ ≤ ∧ < คือ
[( 0) ( 0 0)]x y xy x y∃ ∀ < → ≤ ∨ >
4. ถาเอกภพสัมพัทธเปนเซตของจํานวนเต็ม นิเสธของขอความ
3 2
[ 0 ]x x x x∀ > → ≥
คือ
3
[( 0) ( )]x x x x∃ ≤ ∧ <
69
69. กําหนดให A,B และ C เปนประพจนใดๆ
ขอใดตอไปนี้ถูกตอง
[PAT1 ตุลาคม ป 2553]
1. ถา A B↔ มีคาความจริงเปนจริงแลว ( ) ( )B C A C∧ → →∼ มีคาความ
จริงเปนเท็จ
2. ประพจน [( ) ( )]A A B B C→ ∧ ∨ ∨ เปนสัจจนิรันดร
3. ประพจน [( ) ] [( ) ( )]A B C A B A C∧ → → → → → เปนสัจจนิรันดร
4. ประพจน ( ) ( )A C B C→ ∧ → สมมูลกับประพจน ( )A B C∧ →
70
70. กําหนดเอกภพสัมพัทธคือ เซตของจํานวนจริง และ
( )P x แทน
2
( 1) 1x x+ = +
( )Q x แทน 1 2x + >
ขอใดตอไปนี้มีคาความจริง ตรงขามกับประพจน [ ( )] [ ( )]x P x x Q x∃ → ∀
[PAT1 ตุลาคม ป 2553]
1. [ ( )] [ ( )]x P x x Q x∃ → ∀∼ ∼
2. [ ( )] [ ( )]x P x x Q x∃ → ∃
3. [ ( ) ( )] [ ( )]x P x Q x x P x∃ ∧ → ∀
4. [ ( ) ( )] [ ( )]x P x Q x x Q x∃ ∨ → ∀
71
71. กําหนดให p,q,r และ s เปนประพจนที่ ประพจน ( ) ( )p q r s∨ → ∨ มีคาความ
จริงเปนเท็จ และ ประพจน p r↔ มีคาความจริงเปนจริง ประพจนในขอใดมีคาความจริงเปน
จริง
[PAT1 กรกฎาาคม ป 2553]
1. ( ) ( )q p q r→ ∧ →
2. [ ( )]q p q r→ ∨ ∧ ∼
3. ( ) ( )p s r q→ ↔ ↔
4. ( ) [ ( )]r s q p r↔ ∧ → ∧
72
72. กําหนดเอกภพสัมพัทธ คือ { 1,0,1}−
ขอใดตอไปนี้ถูกตอง
[PAT1 กรกฎาาคม ป 2553]
1. [ 2 0]x y x y∀ ∀ + + > มีคาความจริงเปนจริง
2. [ 0]x y x y∀ ∃ + ≥ มีคาความจริงเปนเท็จ
3. [ 1]x y x y∃ ∀ + = มีคาความจริงเปนเท็จ
4. [ 1]x y x y∃ ∃ + > มีคาความจริงเปนเท็จ
73
73. กําหนดให p,q และ r เปนประพจนโดยที่ ( ),p q r r p→ → ∨ ∼ และ p มีคา
ความจริงเปนจริง ประพจนในขอใดตอไปนี้มีคาความจริงเปนเท็จ
[PAT1 มีนาคม ป 2554]
1. [ ( )] ( )p q r q r→ → ↔ ∧∼ ∼
2. [ ( )] [( ) )]p r q r p q→ → ↔ → →
3. [ ( )] [ ( )]p r q r p q→ ∧ ↔ → ∧∼
4. [ ( )] [ ( )]p q r r p q∨ → ↔ → →∼
74
74. กําหนดเอกภพสัมพัทธคือ ชวงเปด ( , )
4 2
π π
พิจารณาขอความตอไปนี้
(ก) คาความจริงของ
sin cos
[(cos ) (sin ) ]x x
x x x∀ < เปนจริง
(ข) คาความจริงของ
cos cos
[(cos ) (sin ) ]x x
x x x∃ < เปนเท็จ
ขอใดตอไปนี้ถูกตอง
[PAT1 มีนาคม ป 2554]
1. (ก) ถูก และ (ข) ถูก
2. (ก) ถูก แต (ข) ผิด
3. (ก) ผิด แต (ข) ถูก
4. (ก) ผิด และ (ข) ผิด
75
75. กําหนดให p,q และ r เปนประพจนใดๆ โดยที่ p q→∼ มีคาความจริงเปนเท็จ
พิจารณาขอความตอไปนี้
ก. ( ) [( ) ]p r p r q↔ → ∨ → มีคาความจริงเปนเท็จ
ข. ( ) [ ]p r q p→ → →∼ มีคาความจริงเปนจริง
ขอสรุปใดถูกตอง
[PAT1 ธันวาคม ป 2554]
1. ก ถูก ข ถูก
2. ก ถูก ข ผิด
3. ก ผิด ข ถูก
4. ก ผิด ข ผิด
76
76. กําหนดให P(x) และ Q(x) เปนประโยคเปด ถา [ ( )] [ ( )]x P x x Q x∀ ∧ ∀ ∼ มีคา
ความจริงเปนจริงแลว ประพจนในขอใดมีคาความจริงเปนเท็จ
[PAT1 ธันวาคม ป 2554]
1. [ ( ) ( )]x P x Q x∀ →
2. [ ( ) ( )]x P x Q x∃ ∨∼ ∼
3. [ ( ) ( )]x P x Q x∃ ∧ ∼
4. [ ( ) ( )]x P x Q x∀ →∼
77
77. กําหนดให p,q,r และ s เปนประพจนใดๆ
ประพจน [( ) ] [( ) ( )]p q p r s r s∧ ∨ → ∨ ∧ ∨∼ ∼ ∼ สมมูลกับประพจนในขอใด
ตอไปนี้
[PAT1 ตุลาคม ป 2555]
1. p r→
2. q r→
3. ( ) ( )p r q r∨ ∧ ∨
4. ( ) ( )q r q s∨ ∧ ∨
78
78. กําหนดให p และ q เปนประพจน ประพจนในขอใดตอไปนี้เปนสัจจนิรันดร
[PAT1 ตุลาคม ป 2555]
1. ( ) ( )p q q p→ → →
2. ( ) ( )p q p q∨ → →∼ ∼
3. [( ) ] ( )p q p p q∧ → → →∼ ∼
4. [( ) ] ( )p q q p q∧ → → →∼
79
79. พิจารณาขอความตอไปนี้
(ก) ถา p,q และ r เปนประพจนโดยที่ ( )p q r→ ∧ มีคาความจริงเปนจริง แลว
[( ) ( )]r p q p r→ → ∧ →∼ มีคาความจริงเปนจริง
(ข) กําหนดเอกภพสัมพัทธคือ
2
{ | 2 3}x R x x∈ ≤ + เมื่อ R คือเซตของจํานวนจริง แลว
3
[3 6 3 ]x x
x −
∃ + = มีคาความจริงเปนจริง
ขอใดตอไปนี้ถูกตอง
[PAT1 ตุลาคม ป 2555]
1. (ก) ถูก และ (ข) ถูก
2. (ก) ถูก แต (ข) ผิด
3. (ก) ผิด แต (ข) ถูก
4. (ก) ผิด และ (ข) ผิด
80
80. กําหนดให P แทนประพจน “ถา A C B C∪ ⊂ ∪ แลว A B⊂ เมื่อ A,B และ
C เปนเซตใดๆ”
และให Q แทนประพจน “ถาC A B⊂ ∪ แลว C A⊂ และ C B⊂ เมื่อ A,B และ
C เปนเซตใดๆ”
พิจารณาขอความตอไปนี้
(ก) ประพจน [( ) ]P Q Q P∨ ∧ ↔∼ มีคาความจริงเปนจริง
(ข) ประพจน ( ) ( )P Q P Q→ → ∧∼ ∼ มีคาความจริงเปนเท็จ
ขอใดตอไปนี้ถูกตอง
[PAT1 มีนาคม ป 2556]
1. (ก) ถูก และ (ข) ถูก
2. (ก) ถูก แต (ข) ผิด
3. (ก) ผิด แต (ข) ถูก
4. (ก) ผิด และ (ข) ผิด
81
81. กําหนดให a และ b เปนจํานวนจริง โดยที่ ab>0
ให p แทนประพจน “ถา a b< แลว
1 1
a b
> ” และ q แทนประพจน “ ab a b= ”
ประพจนในขอใดมีคาความจริงเปนจริง
[PAT1 มีนาคม ป 2557]
1. ( ) ( )p q q p→ ∨ ∧ ∼
2. ( ) ( )q p q p→ ∧ ∨∼ ∼ ∼
3. ( ) ( )p q q p∧ ∧ →∼
4. ( ) ( )p q p q→ → ∧∼
82
82. กําหนดให p,q,r และ s เปนประพจนใดๆ พิจารณาขอความตอไปนี้
(ก) ถาประพจน ( ) ( )p q r s∨ ↔ ∧ และประพจน p มีคาความจริงเปนจริง แลวสรุปได
วา ประพจน s มีคาความจริงเปนจริง
(ข) ประพจน ( ) ( )p q r s∧ → ∧ สมมูลกับประพจน
[ ( )] [ ( )]q p r p q s→ → ∧ → →
ขอใดตอไปนี้ถูกตอง
[PAT1 มีนาคม ป 2557]
1. (ก) ถูก และ (ข) ถูก
2. (ก) ถูก แต (ข) ผิด
3. (ก) ผิด แต (ข) ถูก
4. (ก) ผิด และ (ข) ผิด
83
83. กําหนดใหเอกภพสัมพัทธคือ เซตของจํานวนจริงบวก พิจารณาขอความตอไปนี้
(ก) ประพจน
2 2
[ 5 4 6 5]x x x x x∀ − + < + + มีคาความจริงเปนจริง
(ข) ประพจน
2
[ 1 2 2]x x x∀ − < − มีคาความจริงเปนเท็จ
ขอใดตอไปนี้ถูกตอง
[PAT1 เมษายน ป 2557]
1. (ก) ถูก และ (ข) ถูก
2. (ก) ถูก แต (ข) ผิด
3. (ก) ผิด แต (ข) ถูก
4. (ก) ผิด และ (ข) ผิด
84
84. กําหนดให p,q,r,s และ t เปนประพจน ซึ่ง ( )p q r→ ∧ มีคาความจริงเปนเท็จ
( )p s t↔ ∨ มีคาความจริงเปนจริง
ประพจนในขอใดตอไปนี้มีคาความจริงเปนจริง
[PAT1 เมษายน ป 2557]
1. ( ) ( )q s p q∧ → ∧
2. ( )s t q∧ →∼
3. ( )q s p∨ ↔
4. ( )p r s→ →

Logic problem p

  • 1.
    1 เรียนรูจากโจทยเรื่องตรรกศาสตรเบื้องตน 1. เหตุ 1)ไมมีคนขยันคนใดเปนคนตกงาน 2) มีคนตกงานที่เปนคนใชเงินเกง 3) มีคนขยันที่ไมเปนคนใชเงินเกง ผล ในขอใดตอไปนี้เปนการสรุปผลจาก เหตุ ขางตนที่เปนไปอยางสมเหตุสมผล [O-net ปการศึกษา 2548] 1. มีคนขยันที่เปนคนใชเงินเกง 2. มีคนใชเงินเกงที่เปนคนตกงาน 3. มีคนใชเงินเกงที่เปนคนขยัน 4. มีคนตกงานที่เปนคนขยัน
  • 2.
    2 2. จงพิจารณาขอความตอไปนี้ (1) นักกีฬาทุกคนมีสุขภาพดี (2)คนที่มีสุขภาพดีบางคนเปนคนดี (3) ภราดรเปนนักกีฬา และเปนคนดี แผนภาพในขอใดตอไปนี้ มีความเปนไปไดที่จะสอดคลองกับขอความทั้งสามขอขางตน เมื่อจุด แทนภราดร [O-net ปการศึกษา 2549] 1. 2. 3. 4. • • • •
  • 3.
    3 3. จงพิจารณาขอความตอไปนี้ 1. คนตีกอลฟเกงทุกคนเปนคนสายตาดี 2.คนที่ตีกอลฟไดไกลกวา 300 หลา บางคน เปนคนสายตาดี 3. ธงชัยตีกอลฟเกงแตตีไดไมไกลกวา 300 หลา แผนภาพในขอใดตอไปนี้ มีความเปนไปไดที่จะสอดคลองกับขอความทั้งสามขอขางตน เมื่อจุด แทนธงชัย [O-net ปการศึกษา 2550] 1. 2. 3. 4. • • • •
  • 4.
    4 4. กําหนดเหตุใหดังตอไปนี้ เหตุ (ก) ทุกจังหวัดที่อยูไกลจากกรุงเทพมหานครเปนจังหวัดที่มีอากาศดี (ข)เชียงใหมเปนจังหวัดที่มีอากาศดี ขอสรุปในขอใดตอไปนี้สมเหตุสมผล [O-net ปการศึกษา 2551] 1. เชียงใหมเปนจังหวัดที่อยูไมไกลจากกรุงเทพมหานคร 2. นราธิวาสเปนจังหวัดที่อยูไมไกลจากกรุงเทพมหานคร 3. เชียงใหมเปนจังหวัดที่อยูไกลจากกรุงเทพมหานคร 4. นราธิวาสเปนจังหวัดที่อยูไกลจากกรุงเทพมหานคร
  • 5.
    5 5. พิจารณาการใหเหตุผลตอไปนี้ เหตุ 1)A 2) เหตุเปนพืชมีดอก ผล เห็ดเปนพืชชั้นสูง ขอสรุปขางตนสมเหตุสมผล ถา A แทนขอความใด [O-net ปการศึกษา 2552] 1. พืชชั้นสูงทุกชนิดมีดอก 2. พืชชั้นสูงบางชนิดมีดอก 3. พืชมีดอกทุกชนิดเปนพืชชั้นสูง 4. พืชมีดอกบางชนิดเปนพืชชั้นสูง
  • 6.
    6 6. พิจารณาการอางเหตุผลตอไปนี้ ก. เหตุ1. ถาฝนไมตกแลวเดชาไปโรงเรียน 2. ฝนตก ผล เดชาไมไปโรงเรียน ข. เหตุ 1. รัตนาขยันเรียน หรือรัตนาสอบชิงทุนรัฐบาลได 2. รัตนาไมขยันเรียน ผล รัตนาสอบชิงทุนรัฐบาลได ขอใดตอไปนี้ถูกตอง [O-net ปการศึกษา 2553] 1. ก. สมเหตุสมผล และ ข. สมเหตุสมผล 2. ก. สมเหตุสมผล และ ข. ไมสมเหตุสมผล 3. ก. ไมสมเหตุสมผล และ ข. สมเหตุสมผล 4. ก. ไมสมเหตุสมผล และ ข. ไมสมเหตุสมผล
  • 7.
    7 7. ถาเอกภพสัมพันธเปนจํานวนจริง ขอความที่ถูกตองคือขอใด [Entranceคณิต กข. ป 2520] ก. 2 [ ]x x x x∀ + = เปนจริง เพราะ 2 2 2 2+ = ข. 2 [ ]x x x x∀ + = เปนจริง เพราะ 2 1 1 1+ ≠ ค. 2 [ ]x x x x∀ + = เปนจริง เพราะ 2 [ ]x x x x∃ + = เปนจริง ง. 2 [ ]x x x x∀ + = เปนเท็จ เพราะ 2 [ ]x x x x∃ + ≠ เปนจริง
  • 8.
    8 8. ขอใดตอไปนี้มีคาความจริงเปนจริง [Entrance คณิตกข. ป 2521] ก. ( ) ( )x y x y∨ → →∼ ข. ( ) ( )x y x y→ → →∼ ∼ ค. ( ) ( )x y x y∨ → →∼ ∼ ง. [( ) ] ( )x y x x y∧ → → →∼ ∼ จ. [( ) ] ( )x y y x y∧ → → →∼ ∼
  • 9.
    9 9. ประพจน ()x y z→ → สมมูลกับประพจนในขอใดตอไปนี้ [Entrance คณิต กข. ป 2521] ก. ( )x z y→ → ข. ( )y x z→ → ค. ( )y z x→ → ง. ( )z x y→ → จ. ( )x z y→ →
  • 10.
    10 10. ถากําหนดเอกภพสัมพันธ {1,0,1}= − จงบอกวาประพจนใดเปนจริง [Entrance คณิต กข. ป 2521] ก. 2 2 [ ]x y x y y x∀ ∀ − = − ข. 2 2 [ ]x y x y y x∀ ∀ − ≠ − ค. 2 2 [ ]x y x y y x∀ ∃ − = − ง. 2 2 [ ]x y x y y x∃ ∀ − = − จ. 2 2 [ ]x y x y y x∃ ∀ − ≠ −
  • 11.
    11 11. ประพจนในขอใดตอไปนี้เปนจริง [Entrance คณิตกข. ป 2522] ก. ( ) ( )p q p q→ → ∧∼ ∼ ข. ( ) ( )p q p q→ ↔ ∨∼ ค. [( ) ] [ ( ) ]p q r p q r∨ ∨ ↔ ∧ ∧∼ ∼ ∼ ง. [( ) ( )] [( ) ]p r q r p q r→ ∧ → ↔ ∧ → จ. [( ) ( )] [ ( )]p q p r p q r→ ∨ → → → ∧
  • 12.
    12 12. ภาควิชาตองการนัดอาจารยในภาค 5คน มาประชุมพรอมกันโดยไมทําใหการประชุมนี้มี ผลกระทบกระเทือนตอชั่วโมงสอนของอาจารยในแตละวัน ซึ่งแบงเปนภาคเชาและบาย ถาทราบวา อาจารย ก. วางสอน วันจันทร,พุธเชา,พฤหัสเชา และ วันศุกร อาจารย ข. มีชั่วโมงสอน จันทรบาย และ พฤหัสเชา เทานั้น อาจารย ค. วางสอน จันทรเชา,อังคารเชา,พุธบาย,พฤหัสเชา และ ศุกรเชา อาจารย ง. สอนทุกวัน ยกเวน จันทรบาย,อังคารบาย,วันพุธ,พฤหัสเชา และ วันศุกรทั้งวัน อาจารย จ. มีแตงานวิจัย ไมมีชั่วโมงสอน อยากทราบวา ภาควิชาควรนัดอาจารยมาประชุมในวันและเวลาชวงใด [Entrance คณิต กข. ป 2523] ก. จันทรเชา ข. พุธเชา ค. พฤหัสเชา ง. ศุกรเชา จ. ไมมีคําตอบที่ถูกตองสมบูรณ
  • 13.
    13 13. ถาทราบวาไมมีนักเรียนเกเรคนไหนที่ขยัน และนักเรียนทุกคนที่สอบไดเปนเด็กขยัน แดงเปน นักเรียนที่ขยัน ดังนั้น [Entrance คณิต กข. ป 2523] ก. แดงสอบได และ แดงเปนเด็กอยูในโอวาท ไมเกเร ข. แดงสอบตกและแดงเกเร ค. แดงเปนเด็กเกเร แตแดงโชคดีสอบได ง. แดงเปนเด็กอยูในโอวาท ไมเกเร แตแดงโชครายสอบตก จ. ไมมีขอใดถูก
  • 14.
    14 14. ประพจนตอไปนี้ขอใดผิด [Entrance คณิตกข. ป 2523] ก. ( )p q p p q∨ ∧ ↔ ∧∼ ∼ ข. ( ( ) ( )) ( ( ) ( ))p q p q p q p q∨ → ∧ ↔ ∧ → ∨∼ ∼ ค. ( ) ( )p q p q↔ ↔ ↔∼ ∼ ∼ ง. ( ) ( )p q p q∧ → ↔ มีคาความจริงเปนจริงเสมอ จ. ( )p q p q→ ↔ ∧∼ ∼
  • 15.
    15 15. กําหนดให p,q,rเปนประพจนใดๆ ขอใดตอไปนี้ถูกตอง [Entrance คณิต กข. ป 2524] ก. ( )r p q∨ ∧ ∼ ไมสมมูลกับ ( )p q r→ ∨∼ ข. ( )p q r∨ ∨∼ ไมสมมูลกับ ( )p q r→ ∨ ค. [ ( )] [ ( )]q r r q q q∧ ∨ ∨ ∧ ∧∼ ∼ สมมูลกับ q ง. ( )p q r∧ → สมมูลกับ ( )r p q→ ∧∼ ∼ ∼ จ. ( )p q r∧ → สมมูลกับ ( )r p q∨ ∧∼
  • 16.
    16 16. กําหนดใหเอกภพสัมพัทธ คือ{ 2, 1,0,1,2}− − P(x) คือ x เปนจํานวนคี่ Q(x) คือ 4 x เปนจํานวนคู ประพจน A คือ [ ( ) ( )]x P x Q x∀ ∨ ประพจน B คือ [ ( ) (0)]x P x Q∃ → ประพจน C คือ [ ( 1) ( )]x Q P x∀ − → ขอใดตอไปนี้ถูกตอง [Entrance คณิต กข. ป 2524] ก. ประพจน A และประพจน B เทานั้นที่มีคาความจริงเปนจริง ข. ประพจน A และประพจน B เทานั้นที่มีคาความจริงเปนเท็จ ค. ประพจน A และประพจน C เทานั้นที่มีคาความจริงเปนจริง ง. ประพจน A และประพจน C เทานั้นที่มีคาความจริงเปนเท็จ จ. ประพจน A เพียงประพจนเดียวเทานั้นที่มีคาความจริงเปนจริง
  • 17.
    17 17. ขอใดตอไปนี้ไมถูกตอง [Entrance คณิตกข. ป 2524] ก. ในกรณีที่ [ ( )]x P x∀ มีคาความจริงเปนเท็จ อาจมีกรณีที่ [ ( )]x P x∃ มีคาความจริงเปน จริง ข. ประโยค “ถาเขียน 3 ใหอยูในรูปทศนิยมแลว จะไดทศนิยมตําแหนงที่หาสิบ คือ 2” ไม เปนประพจน เพราะไมสามารถสรุปไดทันทีวา ประโยคนี้มีคาความจริงเปนอยางไร ค. ให p,q,r และ s เปนประพจนใดๆ โดยที่ p มีคาความจริงเปนจริง q มีคาความจริงเปนเท็จ จะไดประพจน ( ) [( ) ( )]p s q r s p∧ → ∨ ∧ ↔∼ ∼ มีคาความจริงเปนจริง ง. ประโยค “ ถา 2x ≠ แลว 2 1x < − ” เปนประโยคเปด จ. นิเสธ [ ( )]x P x∃ ∼ คือ [ ( )]x P x∀
  • 18.
    18 18. กําหนด p,q,r,sเปนประพจนโดยที่ ( ) ( )p r q s∨ → ∨ เปนเท็จ และ p q→ เปนจริง ประพจนในขอใดตอไปนี้เปนเท็จ [Entrance คณิต กข. ป 2525] ก. p s→ ข. q s→ ค. r s→ ง. q r→ จ. s r→
  • 19.
    19 19. กําหนดเอกภพสัมพัทธเปนเซตของจํานวนจริงบวก จงพิจารณาวานิเสธของ 1 [() ( )]N x x N x ε ε∀ ∃ ∀ > → < คือประพจนขอใดตอไปนี้ [Entrance คณิต กข. ป 2525] ก. 1 [( ) ( )]N x x N x ε ε∀ ∃ ∀ ≤ → ≥ ข. 1 [( ) ( )]N x x N x ε ε∃ ∀ ∃ > → < ค. 1 [( ) ( )]N x x N x ε ε∀ ∃ ∀ ≤ → < ง. 1 [( ) ( )]N x x N x ε ε∃ ∀ ∃ > ∧ ≥ จ. 1 [( ) ( )]N x x N x ε ε∃ ∀ ∃ ≤ ∧ <
  • 20.
    20 20. ให xเปนเซตของผูแทนราษฎร y เปนเซตของจังหวัดของประเทศไทย และ P(x,y) แทน ขอความ “x เปนผูแทนราษฎรของจังหวัด y” ขอใดตอไปนี้เปนเท็จ [Entrance คณิต กข. ป 2526] ก. [ ( , )]x y P x y∀ ∃ ข. [ ( , )]y x P x y∀ ∃ ค. [ ( , )]x y P x y∃ ∀ ง. [ ( , )]y x P x y∃ ∃
  • 21.
    21 21. กําหนดให P(x)แทนประโยค 2 [ 1, ]x x x R∃ ≠ − ∈ Q(x) แทนประโยค rx D∈ เมื่อ {( , ) | 2}r x y R R y x= ∈ × = − R(x) แทนประโยค x เปนจํานวนตรรกยะที่อยูระหวาง 0.010010001… กับ 0.1010010001… S(x) แทนประโยค x เปนจํานวนเชิงซอน จงหาวาประโยคในขอใดมีคาเปนจริง [Entrance คณิต กข. ป 2527] ก. [ (0.01) ( )] [ ( 2) (0.01)]R S Q Rπ→ ∧ →∼ ∼ ข. [ ( ) ( 2)] [ ( ) (0.01)]P x Q P x R∨ → ↔∼ ∼ ค. [ ( ) ( ( 2) ( ))] ( 2)P x Q P x Q∨ → →∼ ง. [ ( ) ( ( ) (0.01))] ( 2)S S R Qπ π∨ → →∼
  • 22.
    22 22. ถา () ( )x x y z∨ → ∨∼ มีคาเปนเท็จ แลว ( )x x∧ ∼ มีคาความจริงเหมือนขอใด [Entrance คณิต กข. ป 2527] ก. ( )x z y∨ → ข. [( ) ]x z y x→ ∧ →∼ ค. ( ) ( )x y x y∨ → ∧∼ ∼ ง. ( )x y z∧ →∼
  • 23.
    23 23. กําหนดให Rเปนเซตของจํานวนจริง N เปนเซตของจํานวนนับ และเอกภพสัมพัทธเปน R ขอใดตอไปนี้ถูกตอง [Entrance คณิต กข. ป 2528] ก. รูปสัญลักษณของขอความ “มีจํานวนจริงบวก x ซึ่ง 2 1 7x + ≤ ” คือ 2 [ 0 1 7]x x x∃ > → + ≤ ข. รูปสัญลักษณของขอความ “สําหรับจํานวนจริง x ใดๆมีจํานวนจริง y ซึ่ง 10x y+ > หรือ 2 2 3x y+ = ” คือ 2 2 [ 0 3]y x x y x y∃ ∀ + > ∨ + = ค. รูปสัญลักษณของขอความ “แตละจํานวนจริง x และ y จะได 3 3 9x y+ > ” คือ 3 3 [ 9]x y x y∃ ∃ + > ง. รูปสัญลักษณของขอความ “ถาทุกจํานวนจริง x มากกวา 5 แลว จะมีจํานวนนับ y ซึ่ง 2 1 0y− > ” คือ 2 [ 5] [ 1 0]x x y y N y∀ > → ∃ ∈ ∧ − >
  • 24.
    24 24. กําหนดให Rเปนเซตของจํานวนจริง Q เปนเซตของจํานวนตรรกยะ I เปนเซตของจํานวน เต็ม และเอกภพสัมพัทธเปน R ขอความใดตอไปนี้มีคาความจริงเปนจริง [Entrance คณิต กข. ป 2528] ก. 2 [ 2] [ 9 3]x x Q x x x x∃ ∉ ∧ > → ∀ > → > ข. [ 3 8]x x I x∀ ∈ ∨ + > ค. { |x x Q∈ และ x มีเศษเปนศูนย}เปนเซตอนันต↔ 2 2 [ 1 0]x x x x x∃ ≤ ∨ + + = ง. 3 2 [ 5 1 4] [ 1 0 2]x x x x x x∃ + − < ∧ ∀ − < → ≥ −
  • 25.
    25 25. ใหเอกภพสัมพัทธเปนเซตของจํานวนเต็ม ประพจนใดตอไปนี้มีคาความจริงเปนจริง [Entranceคณิต กข. ป 2529] ก. [( 0) ( 0)] { [ 0] [ 0]}x x x x x x x∀ > ∨ ≤ → ∀ > ∨ ∀ ≤ ข. { [ 0] [ 0]} { [( 0) ( 0)]x x x x x x x∃ > ∧ ∃ ≤ → ∃ > ∧ ≤ ค. [( 0) ( 0)] { [ 0] [ 0]}x x x x x x x∀ > → > → ∃ > → ∀ > ง. [( 0) ( 0)] { [ 0] [ 0]}x x x x x x x∀ > → > → ∀ > → ∀ >
  • 26.
    26 26. นิยาม ทอโทโลยีคือประพจนที่มีคาความจริงเปนจริงทุกกรณี ประพจนใดตอไปนี้ไมเปนทอ โทโลยี [Entrance คณิต กข. ป 2529] ก. [( ) ( )] ( )p q r p q p r∧ → ∧ → → → ข. [( ) ( )] ( )p q q r p r→ ∧ → → → ค. [( ( )] [( ) ]p q r p q r→ → ↔ → → ง. [( ( )] [( ) ]p q r p q r↔ ↔ ↔ ↔ ↔
  • 27.
    27 27. ขอใดตอไปนี้ผิด [Entrance คณิตกข. ป 2530] ก. ( )p r q∧ ∨∼ ∼ ∼ กับ ( )q r p→ ∨ ∼ เปนขอความที่สมมูลกัน ข. กําหนดใหประพจน p มีคาความจริงเปนจริง ประพจน q มีคาความจริงเปนเท็จ คาความจริงของขอความ [( ) ]q p r r→ ∨ ↔∼ เปนจริง ค. กําหนดใหเอกภพสัมพัทธ คือ {0,1,2,3}ประโยค [ 3 0]x x∀ − ≥ มีคาความจริงเปน จริง ง. กําหนดใหเอกภพสัมพัทธ คือ เซตของจํานวนนับ ขอความ 2 {( [ 1x x∃ − เปนจํานวนนับ] 2 [ 1 0]) [ 0]}x x x x ∧∀ + ≥ → ∀ < มีคาความจริงเปนเท็จ
  • 28.
    28 28. ถา ()p q∨∼ และ r p→ มีคาความจริงเปนจริงแลว ขอใดตอไปนี้มีคาความจริงเปน เท็จ [Entrance คณิต กข. ป 2531] ก. ( ) ( )p q r q∨ → ∧∼ ∼ ข. ( ) ( )p q r q∧ → ∧∼ ค. ( ) ( )p q r q p→ ∧ → ∨ ∼ ง. ( ) ( )p r q p q→ ∨ → ∧∼ ∼
  • 29.
    29 29. ขอความคูใดไมสมมูลกัน [Entrance คณิตกข. ป 2532] ก. p q∨ และ ( )p q∧∼ ∼ ∼ ข. ( )p q∧∼ ∼ และ q p→∼ ∼ ค. ( )p q p→ →∼ และ q p→∼ ง. p q↔∼ และ ( ) ( )p q q p→ ∧ →∼ ∼
  • 30.
    30 30. กําหนดใหขอความตอไปนี้มีคาความจริงเปนเท็จ [Entrance คณิตกข. ป 2533] “ผูที่ใสรองเทาแตะและกางเกงขาสั้น เปนผูที่ไมไดรับอนุญาตใหเขามาในโรงงาน” ถา p แทน ผูที่ใสรองเทาแตะ q แทน ผูที่ใสกางเกงขาใส r แทน ผูที่ไมไดรับอนุญาตใหเขามาในโรงงาน แลวขอความใดตอไปนี้มีคาความจริงเปนเท็จ ก. ( )p q r∨ →∼ ข. ( )p q r∧ →∼ ∼ ค. ( )p q r∧ →∼ ง. ( )p q r∨ →∼ ∼
  • 31.
    31 31. ใหเอกภพสัมพัทธ {| 1 2}U x R x= ∈ − ≤ ขอใดตอไปนี้มีคาความจริงเปนจริง [Entrance คณิต กข. ป 2533] ก. 2 [ 3 6]x x∀ − < ข. [1 2 5]x x∀ < + < ค. [ 2 2 ]x x x∃ + < − ง. [ 2]x x∃ >
  • 32.
    32 32. ให pและ q เปนประพจน ถา p*q มีคาความจริงตามตารางขางลางนี้ p q p*q T T F T F F F T F F F T แลวประพจน p*q สมมูลกับประพจนในขอใดตอไปนี้ [Entrance คณิต กข. ป 2534] ก. ( )p q→∼ ∼ ข. p q→∼ ค. ( )q p→∼ ∼ ง. q p→∼
  • 33.
    33 33. กําหนดเอกภพสัมพัทธ {1,1, , }U i i= − − โดยที่ 1i = − ขอใดมีคาความจริงเปน เท็จ [Entrance คณิต กข. ป 2534] ก. 2 [ 1]z z∃ = ข. 36 [ 1]z z∀ = ค. 1 [ ]z z z ∃ = ง. 3 [ 0]z z z∀ − =
  • 34.
    34 34. กําหนดให p คือประพจน “ถา a,b,c เปนจํานวนจริง และ ab<ac แลว b<c” และ q คือ ประพจน “ถา x และ y เปนจํานวนอตรรกยะแลว x+y เปนจํานวนอตรรกยะ” ประพจนในขอใดตอไปนี้มีคาความจริงเปนจริง [Entrance คณิต กข. ป 2534] ก. p q∧ ∼ ข. p q∧ ค. p q∧∼ ∼ ง. p q∧∼
  • 35.
    35 35. ประพจนที่สมมูลกับประพจน pq↔ คือประพจนในขอใด [Entrance คณิต กข. ป 2535] ก. ( ) ( )p q q p→ ∧ ∧ ∼ ข. ( ) ( )q p q p→ ∧ ∨∼ ∼ ∼ ค. ( ) ( )p q q p∧ ∧ →∼ ง. ( ) ( )p q p q∧ ∧ →∼ ∼ ∼
  • 36.
    36 36. ใหเอกภพสัมพัทธคือ เซตของจํานวนจริงพิจารณาขอความตอไปนี้ (1) 2 4log [ 0 2 ]x x x x∀ ≠ → = (2) 1 [2 3 ]x x x + ∃ =∼ ขอใดตอไปนี้ถูก [Entrance คณิต กข. ป 2536] ก. (1)จริง(2)เท็จ ข. (1)เท็จ(2)จริง ค. จริงทั้ง (1)และ(2) ง. เท็จทั้ง (1)และ(2)
  • 37.
    37 37. กําหนดให pคือประพจน “ถา a+c > b+c แลว a > b เมื่อ a,b,c คือจํานวนจริง ใดๆ” q คือประพจน “สําหรับจํานวนจริง x ใดๆ 2x ≥ ก็ตอเมื่อ 2x ≥ ” ดังนั้น ประพจน p q∨∼ จะมีคาความจริง ไมเหมือนกับคาความจริงของประพจนขอใด ตอไปนี้ [Entrance คณิต กข. ป 2536] ก. p q∧∼ ข. p q∧ ค. ( )p q∨∼ ง. p q∨ ∼
  • 38.
    38 38. ประพจนใดตอไปนี้สมมูลกับประพจน () ( )p r q r→ ∧ → [Entrance คณิต กข. ป 2537] ก. ( )p q r∧ ∨ ∼ ข. ( )p q r∧ → ค. ( )p q r∨ ∨∼ ง. ( )p q r∨ →∼
  • 39.
    39 39. กําหนดใหเอกภพสัมพัทธเปนเซตของจํานวนจริง และp แทนประพจน “สําหรับจํานวนจริงบวก x ใดๆ ผลบวกของ x กับ 1 x มีคามากกวา 1” พิจารณาขอความตอไปนี้ (1) p สมมูลกับ 1 [ 0 ( 1)]x x x x ∀ ≤ ∨ + > (2) p มีคาความจริงเปนจริง ขอใดตอไปนี้ถูก [Entrance คณิต กข. ป 2537] ก. ทั้ง(1)และ(2) ถูก ข. (1) ถูก (2) ผิด ค. (1) ผิด (2) ถูก ง. ทั้ง(1)และ(2) ผิด
  • 40.
    40 40. พิจารณาขอความตอไปนี้ (1) เหตุ1. นายสมหมายเปนคนขยันหรือนายสมหมายไดที่หนึ่งของหอง 2. นายสมหมายไมเปนคนขยัน ผล นายสมหมายสอบไดที่หนึ่งของหอง (2) เหตุ 1. ถาสมศรีไปเที่ยวชายทะเลแลวสมศรีไมสบาย 2. สมศรีไมสบาย ผล สมศรีไปเที่ยวชายทะเล การอางเหตุผลใน (1) ละ (2) ขางตน สมเหตุสมผลหรือไม [Entrance คณิต กข. ป 2537] ก. (1) สมเหตุสมผล (2) สมเหตุสมผล ข. (1) สมเหตุสมผล (2) ไมสมเหตุสมผล ค. (1) ไมสมเหตุสมผล (2) สมเหตุสมผล ง. (1) ไมสมเหตุสมผล (2) ไมสมเหตุสมผล
  • 41.
    41 41. ให p,qและ r เปนประพจน ถา ( ) ( )p q q r∧ → ∨∼ มีคาความจริงเปนเท็จ แลว ประพจนในขอใดตอไปนี้มีคาความจริงเปนจริง [Entrance คณิต กข. ป 2538] ก. p q∨∼ ข. p r→∼ ค. p q∧ ง. q r↔∼
  • 42.
    42 42. พิจารณาขอความตอไปนี้ (1) ถาp และ q เปนประพจน โดยที่ p q→ เปนสัจจนิรันดร แลว p q∨ ∼ เปนสัจจนิ รันดรดวย (2) นิเสธของขอความ [ 6] [ 8]x x x x∃ < → ∀ > คือ [ 6] [ 8]x x x x∀ ≥ ∧ ∃ ≤ ขอใดตอไปนี้ถูก [Entrance คณิต กข. ป 2538] ก. ทั้งขอ (1) และขอ (2) ถูก ข. ขอ (1) ถูก ขอ (2) ผิด ค. ขอ (1) ผิด ขอ (2) ถูก ง. ทั้งขอ (1) และขอ (2) ผิด
  • 43.
    43 43. ถา pและ q เปนประพจนแลว ประพจน ( )p q p→ →∼ สมมูลกับประพจนในขอ ใดตอไปนี้ [Entrance คณิต กข. ป 2540] ก. ( )p p q∨ ∧∼ ∼ ข. ( )p p q∨ ∨∼ ค. ( )p p q→ ∨∼ ∼ ง. ( )p p q→ ∧∼
  • 44.
    44 44. กําหนดให p,q,r,sเปนประพจน ประพจนในขอใดตอไปนี้ไมเปนสัจจนิรันดร [Entrance คณิต กข. ป 2541] ก. [ ( )] [( ) ( )]p q r p q p r∨ ∧ ↔ ∨ ∧ ∨ ข. [ ( )] [ ( )]p q r p q r∨ ∧ ∨ ∨ ∧∼ ค. [( ) )] [ ( )]p q r r p q∨ → ↔ → ∧∼ ∼ ∼ ง. [( ) ( ) ( ) ]p q q r s r s p→ ∧ → ∧ ∨ ∧ ↔∼ ∼
  • 45.
    45 45. ประพจน (( ))p q r p→ → ∨∼ สมมูลกับประพจนในขอใดตอไปนี้ [Entrance คณิต 1- ตุลาคม ป 2541] ก. ( )p q r∨ ∨∼ ข. ( )p q r∨ ∨∼ ค. ( )p q r∨ ∨ ∼ ง. ( ) ( )p q r∨ ∨∼ ∼
  • 46.
    46 46. พิจารณาการอางเหตุผลตอไปนี้ เมื่อp,q และ r เปนประพจน (1) เหตุ 1. ( )p p q∨ ∧ ∼ 2. p q→ ผล q (2) เหตุ 1. p r→∼ 2. r s∨∼ 3. s∼ ผล p ขอใดตอไปนี้ถูก [Entrance คณิต 1- ตุลาคม ป 2541] ก. (1) และ (2) สมเหตุสมผล ข. (1) สมเหตุสมผล แต (2) ไมสมเหตุสมผล ค. (1) ไมสมเหตุสมผล แต (2) สมเหตุสมผล ง. (1) และ (2) ไมสมเหตุสมผล
  • 47.
    47 47. ให p,q,r,sและ t เปนประพจน ถาประพจน ( ) ( )p q r s∧ → ∨ มีคาความจริงเปน เท็จแลว ประพจนในขอใดตอไปนี้ มีคาความจริงเปนเท็จ [Entrance คณิต 1- ตุลาคม ป 2543] ก. ( ) ( )p r s t∧ ↔ ∧ ข. ( ) ( )p s q t∧ → ∨ ค. ( ) ( )p s r t∧ ∨ ∧ ง. ( ) ( )r p s t→ ∧ →
  • 48.
    48 48. กําหนดเอกภพสัมพัทธคือ {2| }U n n I + = ∈ เมื่อ I+ เปนเซตของจํานวนเต็มบวก พิจารณาขอความตอไปนี้ (1) 2 3 [2 18(2 ) 4 0]x x x + ∃ − + = มีคาความจริงเปนจริง (2) 2 2[log ( 2) log ( 1) 2]x x x∃ + + − = มีคาความจริงเปนจริง [Entrance คณิต 1- ตุลาคม ป 2543] ก. (1) ถูก และ (2) ถูก ข. (1) ถูก และ (2) ผิด ค. (1) ผิด และ (2) ถูก ง. (1) ผิด และ (2) ถูก
  • 49.
    49 49. พิจารณาขอความตอไปนี้ เมื่อเอกภพสัมพัทธคือ เซตของจํานวนจริง (1) [cot 2 cot 0]x x x∃ − = (2) 4 4 21 [sin cos 1 sin 2 ] 2 x x x x∀ + = − คาความจริงของขอความ (1) และ (2) เปนไปตามขอใด [Entrance คณิต 1- ตุลาคม ป 2544] ก. (1) เปนจริง และ (2) เปนจริง ข. (1) เปนจริง และ (2) เปนเท็จ ค. (1) เปนเท็จ และ (2) เปนจริง ง. (1) เปนเท็จ และ (2) เปนเท็จ
  • 50.
    50 50. กําหนดให p,q,rเปนประพจนที่มีคาความจริงเปน จริง เท็จ และ เท็จ ตามลําดับ ประพจน ในขอใดตอไปนี้ มีคาความจริงเหมือนกับประพจน ( ) ( )p q r p→ ∨ ∧∼ ∼ [Entrance คณิต 1- ตุลาคม ป 2544] ก. ( ) ( )r p q r→ ∧ ∨∼ ข. ( ) ( )q r p q∧ ↔ →∼ ∼ ∼ ค. ( ) ( )p r q r∨ → ∧∼ ∼ ง. ( ) ( )p q r q→ ∨ ↔∼
  • 51.
    51 51. พิจารณาขอความตอไปนี้ (1) ถาp,q เปนประพจน โดยที่ p มีคาความจริงเปนจริง และ ( )q p q→ ∨∼ ∼ เปน สัจจนิรันดรแลว q มีคาความจริงเปนจริง (2) นิเสธของขอความ [ ( ) ( ) ( )]x P x Q x R x∃ ∧ ∧∼ ∼ คือขอความ [ ( ) ( ( ) ( ))]x Q x P x R x∀ → ∨ ขอใดตอไปนี้ถูก [Entrance คณิต 1- ตุลาคม ป 2545] ก. (1) ถูก และ (2) ถูก ข. (1) ถูก และ (2) ผิด ค. (1) ผิด และ (2) ถูก ง. (1) ผิด และ (2) ผิด
  • 52.
    52 52. กําหนดให P(x)และ Q(x) เปนประโยคเปด โดยที่ [ ( )] [ ( )]x P x x Q x∀ → ∃ ∼ มีคาความจริงเปนเท็จ เมื่อเอกภพสัมพัทธคือ เซตของจํานวนจริง ขอใดตอไปนี้มีคาความจริงเปน จริง [Entrance คณิต 1- ป 2545] ก. [ ( ) ( )]x P x Q x∃ ∧ ∼ ข. [ ( ) ( )]x P x Q x∃ ∨∼ ∼ ค. [ ( ) ( )]x P x Q x∀ →∼ ง. [ ( ) ( )]x P x Q x∀ →
  • 53.
    53 53. พิจารณาการอางเหตุผลตอไปนี้ (1) เหตุ1. p q∧ 2. ( ) ( )q r s p∨ → ∧ 3. p r→∼ 4. s r∧ ∼ ผล s r∧ ∼ (2) เหตุ 1. ( ) ( )P x Q x→∼ 2. ( ) ( )Q x R x∨ ผล ( ) ( )P x R x→ ขอใดตอไปนี้ถูก [Entrance คณิต 1- ตุลาคม ป 2546] ก. (1) และ (2) สมเหตุสมผลทั้งคู ข. (1) สมเหตุสมผล แต (2) ไมสมเหตุสมผล ค. (1) ไมสมเหตุสมผล แต (2) สมเหตุสมผล ง. (1) และ (2) ไมสมเหตุสมผลทั้งคู
  • 54.
    54 54. ใหเอกภพสัมพัทธ คือเซตของจํานวนจริง ถา P(x) แทนขอความ 2 3 0x x− < และ Q(x) แทนขอความ 2 log 1x− < < − แลวประโยคในขอใดตอไปนี้มีคาความจริงเปนจริง [Entrance คณิต 1- ตุลาคม ป 2546] ก. [ ( ) ( )]x P x Q x∀ → ข. [ ( ) ( )]x Q x P x∀ → ค. [ ( ) ( )]x P x Q x∀ →∼ ง. [ ( ) ( )]x P x Q x∀ →∼
  • 55.
    55 55. พิจารณาขอความตอไปนี้ (1) ถาประพจน[ ( )] ( )p q r r s∧ → → ∨ มีคาความจริงเปนเท็จ แลว p q s∧ → มีคาความจริงเปนเท็จ (2) นิเสธของขอความ 2 [( ) ( )]x y x y x y∀ ∃ > ∧ < คือ 2 [( ) ( )]x y x y y x∃ ∀ > → ≤ ขอใดตอไปนี้ถูก [Entrance คณิต 1- ป 2547] ก. (1) ถูก และ (2) ถูก ข. (1) ถูก แต (2) ผิด ค. (1) ผิด แต (2) ถูก ง. (1) ผิด และ (2) ผิด
  • 56.
    56 56. กําหนดเอกภพสัมพัทธ คือชวงเปด ( 2,2)− พิจารณาขอความตอไปนี้ (1) ประพจน 2 2 [x x x x x∀ + ≤ + และ 2 ]x x≤ มีคาความจริงเปนจริง (2) ประพจน 2 [ 6 0]x x x∃ − − ≥ มีคาความจริงเปนจริง ขอใดตอไปนี้ถูก [Entrance คณิต 1- ป 2547] ก. (1) ถูก และ (2) ถูก ข. (1) ถูก แต (2) ผิด ค. (1) ผิด แต (2) ถูก ง. (1) ผิด และ (2) ผิด
  • 57.
    57 57. กําหนดเอกภพสัมพัทธคือ {3, 2, 1,1,2,3}U = − − − ขอใดตอไปนี้มีคาความจริงเปน เท็จ [A-net กุมภาพันธ ป 2549] 1. [ ]x y x y y∃ ∀ + < 2. 2 [ ]x y x y x∃ ∀ − < 3. 2 [ ]x y xy x∃ ∀ = 4. 2 [ ]x y x y y∃ ∀ =
  • 58.
    58 58. ให p,q,rเปนประพจน ถาประพจน ( )p q r→ ∨ มีคาความจริงเปนจริง และ ( )p q r∨ ∧ มีคาความจริงเปนเท็จ แลวประพจนในขอใดตอไปนี้มีคาความจริงเปนเท็จ [A-net กุมภาพันธ ป 2549] 1. ( )q p r∨ →∼ 2. ( )p p q→ ∨∼ ∼ 3. ( ) ( )q r p q r∨ → ∨ ∧∼ 4. [( ) ( )] [ ( )]q r p q r∨ → ∧ ∨∼ ∼
  • 59.
    59 59. พิจารณาขอความตอไปนี้ ก. ใหเอกภพสัมพัทธคือเซตของจํานวนเฉพาะบวก ขอความ 2 [1 ]x y x x y∀ ∃ + + = มีคาความจริงเปนจริง ข. นิเสธของขอความ [ ( ) ( ( ) ( ))]x P x Q x R x∀ → ∨ คือ [ ( ) ( ) ( )]x P x Q x R x∃ ∧ ∧∼ ∼ ขอใดตอไปนี้ถูก [A-net กุมภาพันธ ป 2550] 1. ก ถูก และ ข ถูก 2. ก ถูก และ ข ผิด 3. ก ผิด และ ข ถูก 4. ก ผิด และ ข ผิด
  • 60.
    60 60. กําหนดเหตุใหดังนี้ 1. เอกภพสัมพัทธไมเปนเซตวาง2. [ ( ) ( )]x P x Q x∀ → 3. [ ( ) ( )]x Q x R x∀ ∨ 4. [ ( )]x R x∃ ∼ ขอความในขอใดตอไปนี้เปนผลที่ทําใหการอางเหตุผล สมเหตุสมผล [A-net กุมภาพันธ ป 2551] 1. [ ( )]x P x∃ 2. [ ( )]x Q x∃ 3. [ ( )]x P x∀ 4. [ ( )]x Q x∀
  • 61.
    61 61. กําหนดให p,q,rเปนประพจน จงพิจารณาขอความตอไปนี้ ก. ประพจน ( ( ))p p q r→ → ∨ สมมูลกับประพจน ( )p q r→ ∨ ข. ประพจน ( )p q r∧ → สมมูลกับประพจน ( ) ( )q p p r→ ∨ →∼ ∼ ขอใดตอไปนี้ถูก [PAT1 มีนาคม ป 2552] 1. ก ถูก และ ข ถูก 2. ก ถูก และ ข ผิด 3. ก ผิด และ ข ถูก 4. ก ผิด และ ข ผิด
  • 62.
    62 62. กําหนดใหเอกภพสัมพัทธ คือ{{1,2},{1,3},{2,3}}U = ขอใดตอไปนี้ถูก [PAT1 มีนาคม ป 2552] 1. [ ]x y x y∀ ∀ ∩ ≠ ∅ 2. [ ]x y x y U∀ ∀ ∪ = 3. [ ]x y y x y x∀ ∃ ≠ ∧ ⊂ 4. [ ]x y y x y x∃ ∀ ≠ ∧ ⊂
  • 63.
    63 63. กําหนดให P(x)และ Q(x) เปนประโยคเปด ประโยค [ ( )] [ ( )]x P x x Q x∀ → ∃ ∼ สมมูลกับประโยคในขอใดตอไปนี้ [PAT1 กรกฎาคม ป 2552] 1. [ ( )] [ ( )]x P x x Q x∀ → ∃∼ 2. [ ( )] [ ( )]x Q x x P x∀ → ∃ ∼ 3. [ ( )] [ ( )]x P x x Q x∃ → ∀ 4. [ ( )] [ ( )]x Q x x P x∃ → ∀∼
  • 64.
    64 64. กําหนดให {| 10}U n I n+ = ∈ ≤ ประโยคในขอใดตอไปนี้มีคาความจริงเปนเท็จ [PAT1 กรกฎาคม ป 2552] 1. 2 2 [( ) ( )]x y x y x y∀ ∀ = → = 2. 2 [( 1) ( )]x y x x y∀ ∃ ≠ → > 3. [ ]x y xy x y∃ ∀ ≤ + 4. 2 2 [( ) 9 ]x y x y y xy∃ ∃ − ≥ +
  • 65.
    65 65. กําหนดใหเอกภพสัมพัทธคือ เซต{ 2, 1,1,2}− − ประโยคในขอใดตอไปนี้มีคาความจริงเปนเท็จ [PAT1 ตุลาคม ป 2552] 1. [ 0 1]x y x x y∃ ∃ ≤ ∧ = + 2. [ ( ) 0]x y x y x y∃ ∀ ≤ ∧ − + ≥ 3. [ 0 0]x y x y x y∀ ∃ + = ∨ − = 4. [ ]x y x y x y∀ ∀ < ∨ >
  • 66.
    66 66. กําหนดให p,q,rเปนประพจน พิจารณาขอความตอไปนี้ ก. ถา q r∧ มีคาความจริงเปนจริง แลว p และ [( ) ]p q r p∨ ∧ → มีคาความ จริงเหมือนกัน ข. ถา p มีคาความจริงเปนเท็จแลว r และ ( )p q r∧ → มีคาความจริงเหมือนกัน ขอใดตอไปนี้เปนจริง [PAT1 ตุลาคม ป 2552] 1. ก ถูก และ ข ถูก 2. ก ถูก และ ข ผิด 3. ก ผิด และ ข ถูก 4. ก ผิด และ ข ผิด
  • 67.
    67 67. กําหนดให pและ q เปนประพจนใดๆ ขอใดตอไปนี้มีคาความจริงเปนเท็จ [PAT1 มีนาคม ป 2553] 1. ( )p q p→ ∨ 2. ( )p p q∧ →∼ 3. [( ) ]p q p q→ ∧ → 4. ( ) ( )p q p q→ ↔ ∧∼ ∼ ∼
  • 68.
    68 68. ขอใดตอไปนี้ถูกตอง [PAT1 มีนาคมป 2553] 1. ถาเอกภพสัมพัทธคือ { 1,0,1}− คาความจริงของ 2 2 [ ]x y x x y y∀ ∃ + = + เปนเท็จ 2. ถาเอกภพสัมพัทธเปนเซตของจํานวนจริง คาความจริงของ 3[3 log ]x x x∃ = เปนจริง 3. ถาเอกภพสัมพัทธเปนเซตของจํานวนจริง นิเสธของขอความ [( 0 0) ( 0)]x y x y xy∀ ∃ > ∧ ≤ ∧ < คือ [( 0) ( 0 0)]x y xy x y∃ ∀ < → ≤ ∨ > 4. ถาเอกภพสัมพัทธเปนเซตของจํานวนเต็ม นิเสธของขอความ 3 2 [ 0 ]x x x x∀ > → ≥ คือ 3 [( 0) ( )]x x x x∃ ≤ ∧ <
  • 69.
    69 69. กําหนดให A,Bและ C เปนประพจนใดๆ ขอใดตอไปนี้ถูกตอง [PAT1 ตุลาคม ป 2553] 1. ถา A B↔ มีคาความจริงเปนจริงแลว ( ) ( )B C A C∧ → →∼ มีคาความ จริงเปนเท็จ 2. ประพจน [( ) ( )]A A B B C→ ∧ ∨ ∨ เปนสัจจนิรันดร 3. ประพจน [( ) ] [( ) ( )]A B C A B A C∧ → → → → → เปนสัจจนิรันดร 4. ประพจน ( ) ( )A C B C→ ∧ → สมมูลกับประพจน ( )A B C∧ →
  • 70.
    70 70. กําหนดเอกภพสัมพัทธคือ เซตของจํานวนจริงและ ( )P x แทน 2 ( 1) 1x x+ = + ( )Q x แทน 1 2x + > ขอใดตอไปนี้มีคาความจริง ตรงขามกับประพจน [ ( )] [ ( )]x P x x Q x∃ → ∀ [PAT1 ตุลาคม ป 2553] 1. [ ( )] [ ( )]x P x x Q x∃ → ∀∼ ∼ 2. [ ( )] [ ( )]x P x x Q x∃ → ∃ 3. [ ( ) ( )] [ ( )]x P x Q x x P x∃ ∧ → ∀ 4. [ ( ) ( )] [ ( )]x P x Q x x Q x∃ ∨ → ∀
  • 71.
    71 71. กําหนดให p,q,rและ s เปนประพจนที่ ประพจน ( ) ( )p q r s∨ → ∨ มีคาความ จริงเปนเท็จ และ ประพจน p r↔ มีคาความจริงเปนจริง ประพจนในขอใดมีคาความจริงเปน จริง [PAT1 กรกฎาาคม ป 2553] 1. ( ) ( )q p q r→ ∧ → 2. [ ( )]q p q r→ ∨ ∧ ∼ 3. ( ) ( )p s r q→ ↔ ↔ 4. ( ) [ ( )]r s q p r↔ ∧ → ∧
  • 72.
    72 72. กําหนดเอกภพสัมพัทธ คือ{ 1,0,1}− ขอใดตอไปนี้ถูกตอง [PAT1 กรกฎาาคม ป 2553] 1. [ 2 0]x y x y∀ ∀ + + > มีคาความจริงเปนจริง 2. [ 0]x y x y∀ ∃ + ≥ มีคาความจริงเปนเท็จ 3. [ 1]x y x y∃ ∀ + = มีคาความจริงเปนเท็จ 4. [ 1]x y x y∃ ∃ + > มีคาความจริงเปนเท็จ
  • 73.
    73 73. กําหนดให p,qและ r เปนประพจนโดยที่ ( ),p q r r p→ → ∨ ∼ และ p มีคา ความจริงเปนจริง ประพจนในขอใดตอไปนี้มีคาความจริงเปนเท็จ [PAT1 มีนาคม ป 2554] 1. [ ( )] ( )p q r q r→ → ↔ ∧∼ ∼ 2. [ ( )] [( ) )]p r q r p q→ → ↔ → → 3. [ ( )] [ ( )]p r q r p q→ ∧ ↔ → ∧∼ 4. [ ( )] [ ( )]p q r r p q∨ → ↔ → →∼
  • 74.
    74 74. กําหนดเอกภพสัมพัทธคือ ชวงเปด( , ) 4 2 π π พิจารณาขอความตอไปนี้ (ก) คาความจริงของ sin cos [(cos ) (sin ) ]x x x x x∀ < เปนจริง (ข) คาความจริงของ cos cos [(cos ) (sin ) ]x x x x x∃ < เปนเท็จ ขอใดตอไปนี้ถูกตอง [PAT1 มีนาคม ป 2554] 1. (ก) ถูก และ (ข) ถูก 2. (ก) ถูก แต (ข) ผิด 3. (ก) ผิด แต (ข) ถูก 4. (ก) ผิด และ (ข) ผิด
  • 75.
    75 75. กําหนดให p,qและ r เปนประพจนใดๆ โดยที่ p q→∼ มีคาความจริงเปนเท็จ พิจารณาขอความตอไปนี้ ก. ( ) [( ) ]p r p r q↔ → ∨ → มีคาความจริงเปนเท็จ ข. ( ) [ ]p r q p→ → →∼ มีคาความจริงเปนจริง ขอสรุปใดถูกตอง [PAT1 ธันวาคม ป 2554] 1. ก ถูก ข ถูก 2. ก ถูก ข ผิด 3. ก ผิด ข ถูก 4. ก ผิด ข ผิด
  • 76.
    76 76. กําหนดให P(x)และ Q(x) เปนประโยคเปด ถา [ ( )] [ ( )]x P x x Q x∀ ∧ ∀ ∼ มีคา ความจริงเปนจริงแลว ประพจนในขอใดมีคาความจริงเปนเท็จ [PAT1 ธันวาคม ป 2554] 1. [ ( ) ( )]x P x Q x∀ → 2. [ ( ) ( )]x P x Q x∃ ∨∼ ∼ 3. [ ( ) ( )]x P x Q x∃ ∧ ∼ 4. [ ( ) ( )]x P x Q x∀ →∼
  • 77.
    77 77. กําหนดให p,q,rและ s เปนประพจนใดๆ ประพจน [( ) ] [( ) ( )]p q p r s r s∧ ∨ → ∨ ∧ ∨∼ ∼ ∼ สมมูลกับประพจนในขอใด ตอไปนี้ [PAT1 ตุลาคม ป 2555] 1. p r→ 2. q r→ 3. ( ) ( )p r q r∨ ∧ ∨ 4. ( ) ( )q r q s∨ ∧ ∨
  • 78.
    78 78. กําหนดให pและ q เปนประพจน ประพจนในขอใดตอไปนี้เปนสัจจนิรันดร [PAT1 ตุลาคม ป 2555] 1. ( ) ( )p q q p→ → → 2. ( ) ( )p q p q∨ → →∼ ∼ 3. [( ) ] ( )p q p p q∧ → → →∼ ∼ 4. [( ) ] ( )p q q p q∧ → → →∼
  • 79.
    79 79. พิจารณาขอความตอไปนี้ (ก) ถาp,q และ r เปนประพจนโดยที่ ( )p q r→ ∧ มีคาความจริงเปนจริง แลว [( ) ( )]r p q p r→ → ∧ →∼ มีคาความจริงเปนจริง (ข) กําหนดเอกภพสัมพัทธคือ 2 { | 2 3}x R x x∈ ≤ + เมื่อ R คือเซตของจํานวนจริง แลว 3 [3 6 3 ]x x x − ∃ + = มีคาความจริงเปนจริง ขอใดตอไปนี้ถูกตอง [PAT1 ตุลาคม ป 2555] 1. (ก) ถูก และ (ข) ถูก 2. (ก) ถูก แต (ข) ผิด 3. (ก) ผิด แต (ข) ถูก 4. (ก) ผิด และ (ข) ผิด
  • 80.
    80 80. กําหนดให Pแทนประพจน “ถา A C B C∪ ⊂ ∪ แลว A B⊂ เมื่อ A,B และ C เปนเซตใดๆ” และให Q แทนประพจน “ถาC A B⊂ ∪ แลว C A⊂ และ C B⊂ เมื่อ A,B และ C เปนเซตใดๆ” พิจารณาขอความตอไปนี้ (ก) ประพจน [( ) ]P Q Q P∨ ∧ ↔∼ มีคาความจริงเปนจริง (ข) ประพจน ( ) ( )P Q P Q→ → ∧∼ ∼ มีคาความจริงเปนเท็จ ขอใดตอไปนี้ถูกตอง [PAT1 มีนาคม ป 2556] 1. (ก) ถูก และ (ข) ถูก 2. (ก) ถูก แต (ข) ผิด 3. (ก) ผิด แต (ข) ถูก 4. (ก) ผิด และ (ข) ผิด
  • 81.
    81 81. กําหนดให aและ b เปนจํานวนจริง โดยที่ ab>0 ให p แทนประพจน “ถา a b< แลว 1 1 a b > ” และ q แทนประพจน “ ab a b= ” ประพจนในขอใดมีคาความจริงเปนจริง [PAT1 มีนาคม ป 2557] 1. ( ) ( )p q q p→ ∨ ∧ ∼ 2. ( ) ( )q p q p→ ∧ ∨∼ ∼ ∼ 3. ( ) ( )p q q p∧ ∧ →∼ 4. ( ) ( )p q p q→ → ∧∼
  • 82.
    82 82. กําหนดให p,q,rและ s เปนประพจนใดๆ พิจารณาขอความตอไปนี้ (ก) ถาประพจน ( ) ( )p q r s∨ ↔ ∧ และประพจน p มีคาความจริงเปนจริง แลวสรุปได วา ประพจน s มีคาความจริงเปนจริง (ข) ประพจน ( ) ( )p q r s∧ → ∧ สมมูลกับประพจน [ ( )] [ ( )]q p r p q s→ → ∧ → → ขอใดตอไปนี้ถูกตอง [PAT1 มีนาคม ป 2557] 1. (ก) ถูก และ (ข) ถูก 2. (ก) ถูก แต (ข) ผิด 3. (ก) ผิด แต (ข) ถูก 4. (ก) ผิด และ (ข) ผิด
  • 83.
    83 83. กําหนดใหเอกภพสัมพัทธคือ เซตของจํานวนจริงบวกพิจารณาขอความตอไปนี้ (ก) ประพจน 2 2 [ 5 4 6 5]x x x x x∀ − + < + + มีคาความจริงเปนจริง (ข) ประพจน 2 [ 1 2 2]x x x∀ − < − มีคาความจริงเปนเท็จ ขอใดตอไปนี้ถูกตอง [PAT1 เมษายน ป 2557] 1. (ก) ถูก และ (ข) ถูก 2. (ก) ถูก แต (ข) ผิด 3. (ก) ผิด แต (ข) ถูก 4. (ก) ผิด และ (ข) ผิด
  • 84.
    84 84. กําหนดให p,q,r,sและ t เปนประพจน ซึ่ง ( )p q r→ ∧ มีคาความจริงเปนเท็จ ( )p s t↔ ∨ มีคาความจริงเปนจริง ประพจนในขอใดตอไปนี้มีคาความจริงเปนจริง [PAT1 เมษายน ป 2557] 1. ( ) ( )q s p q∧ → ∧ 2. ( )s t q∧ →∼ 3. ( )q s p∨ ↔ 4. ( )p r s→ →