1
เรียนรูจากโจทยเรื่องเมทริกซ
1. กําหนดใหเมตริกซ
2
4 3
x y
A
x y
+⎡ ⎤
= ⎢ ⎥+⎣ ⎦
จงพิจารณาวาขอใดไมถูกตอง
[Entrance คณิต กข. ป 2520]
ก. เมตริกซ A เกิดจากผลคูณ
2 1
4 3
x
y
⎡ ⎤ ⎡ ⎤
⎢ ⎥ ⎢ ⎥
⎣ ⎦ ⎣ ⎦
ข. เมตริกซ A เกิดจากผลคูณ
y
x
1 2⎡ ⎤ ⎡ ⎤
⎢ ⎥ ⎢ ⎥3 4⎣ ⎦ ⎣ ⎦
ค. เมตริกซ A เกิดจากผลบวก 4
x y
y x
2⎡ ⎤ ⎡ ⎤
+⎢ ⎥ ⎢ ⎥3⎣ ⎦ ⎣ ⎦
ง. A เปน 2 2× เมตริกซ ซึ่งมีคา det( ) 2A xy=
จ. A เปน 2 1× เมตริกซ ซึ่งหาคาของ det( )A ไมได
2
2. ถาผลคูณของ 2 2× เมตริกซ A กับเมตริกซ
4 16
36 64
⎡ ⎤
⎢ ⎥
⎣ ⎦
เทากับ
14
,
4
A−0⎡ ⎤
⎢ ⎥0⎣ ⎦
มี
คาเทาใด
[Entrance คณิต กข. ป 2520]
ก. 3 4
1 2⎡ ⎤
⎢ ⎥
⎣ ⎦
ข.
1 4⎡ ⎤
⎢ ⎥9 16⎣ ⎦
ค.
3 4⎡ ⎤
⎢ ⎥6 8⎣ ⎦
ง.
2 8⎡ ⎤
⎢ ⎥18 32⎣ ⎦
3
3. ถาผลบวกระหวาง
2
2
2
1
1 3
3
x x
A y
x y
⎛ ⎞−
⎜ ⎟
= ⎜ ⎟
⎜ ⎟
⎝ ⎠
และ
1 0 2
2 0 1 2
2 2 1
t
A
−⎛ ⎞
⎜ ⎟
= ⎜ ⎟
⎜ ⎟
⎝ ⎠
คา x
และ y ที่ถูกตองตามสมการคือขอใด
[Entrance คณิต กข. ป 2520]
ก. x+y=2
ข. x-y=-2
ค. x+y=-2
ง. x-y=2
จ. ไมมีขอใดถูก
4
4. กําหนด A,B และ C เปน 2 2× เมตริกซใดๆ ขอใดตอไปนี้ถูก
[Entrance คณิต กข. ป 2521]
ก. AB BA=
ข.
1 1 1
( )AB B A− − −
=
ค. ถา AB AC= แลว B C=
ง. 0AB = แลว 0A = หรือ 0B =
จ. ไมมีขอใดถูก
5
5. ถา A เปน 2 2× เมตริกซ ที่มีคุณสมบัติ t t
AA A A= + แลว A เทากับเทาใด
[Entrance คณิต กข. ป 2521]
ก.
−1 0⎡ ⎤
⎢ ⎥0 −1⎣ ⎦
ข.
0 1⎡ ⎤
⎢ ⎥1 0⎣ ⎦
ค.
1 0⎡ ⎤
⎢ ⎥0 1⎣ ⎦
ง.
1 1⎡ ⎤
⎢ ⎥1 1⎣ ⎦
จ. ไมมีขอใดถูก
6
6. ขอใดตอไปนี้ผิด
[Entrance คณิต กข. ป 2522]
ก. [ ]
1 3
2 3 6
4 12
− −⎡ ⎤ ⎡ ⎤
⎢ ⎥ ⎢ ⎥=⎢ ⎥ ⎢ ⎥
⎢ ⎥ ⎢ ⎥⎣ ⎦ ⎣ ⎦
ข.
1 3 0 3 9 0
3 2 2 1 6 6 3
3 1 0 9 3 0
− −⎛ ⎞ ⎛ ⎞
⎜ ⎟ ⎜ ⎟
=⎜ ⎟ ⎜ ⎟
⎜ ⎟ ⎜ ⎟
⎝ ⎠ ⎝ ⎠
ค.
1 0 1 3 0 3
3 0 0 1 0 0 3
0 1 0 0 3 0
⎛ ⎞ ⎛ ⎞
⎜ ⎟ ⎜ ⎟
=⎜ ⎟ ⎜ ⎟
⎜ ⎟ ⎜ ⎟
⎝ ⎠ ⎝ ⎠
ง.
4 5 0 2 5 0
2 1 0 4 1 1 0
4 2 4 1 1 2
⎛ ⎞ ⎛ ⎞
⎜ ⎟ ⎜ ⎟
=⎜ ⎟ ⎜ ⎟
⎜ ⎟ ⎜ ⎟
⎝ ⎠ ⎝ ⎠
จ.
1 1 0 1 0 1 1 0 0
2 2 1 0 0 1 2 1 4
4 0 3 0 1 0 4 3 4
− −⎛ ⎞⎛ ⎞ ⎛ ⎞
⎜ ⎟⎜ ⎟ ⎜ ⎟
=⎜ ⎟⎜ ⎟ ⎜ ⎟
⎜ ⎟⎜ ⎟ ⎜ ⎟
⎝ ⎠⎝ ⎠ ⎝ ⎠
7
7. กําหนด A,B และ C เปน 3 3× เมตริกซใดๆ ขอใดตอไปนี้ถูก
[Entrance คณิต กข. ป 2522]
ก. ถา
1
2
3
x
A y
z
⎡ ⎤ ⎡ ⎤
⎢ ⎥ ⎢ ⎥=⎢ ⎥ ⎢ ⎥
⎢ ⎥ ⎢ ⎥⎣ ⎦ ⎣ ⎦
สามารถหาคา x,y,z ไดเสมอ ที่สอดคลองกับระบบสมการ
ขางตน
ข. ถา A และ B เปนนอนซิงกูลารที่มีสมบัติ AB I= จะได
1
( )BA BA −
=
ค. ( )t t t t
ABC A B C=
ง. det( ) det( ) det( )A B A B+ = +
จ. det( ) det( ) det( )AB A B= +
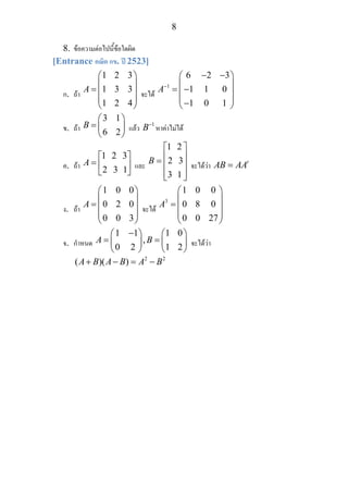
8
8. ขอความตอไปนี้ขอใดผิด
[Entrance คณิต กข. ป 2523]
ก. ถา
1 2 3
1 3 3
1 2 4
A
⎛ ⎞
⎜ ⎟
= ⎜ ⎟
⎜ ⎟
⎝ ⎠
จะได
1
6 2 3
1 1 0
1 0 1
A−
− −⎛ ⎞
⎜ ⎟
= −⎜ ⎟
⎜ ⎟−⎝ ⎠
ข. ถา
3 1
6 2
B
⎛ ⎞
= ⎜ ⎟
⎝ ⎠
แลว 1
B−
หาคาไมได
ค. ถา
1 2 3
2 3 1
A
⎡ ⎤
= ⎢ ⎥
⎣ ⎦
และ
1 2
2 3
3 1
B
⎡ ⎤
⎢ ⎥= ⎢ ⎥
⎢ ⎥⎣ ⎦
จะไดวา t
AB AA=
ง. ถา
1 0 0
0 2 0
0 0 3
A
⎛ ⎞
⎜ ⎟
= ⎜ ⎟
⎜ ⎟
⎝ ⎠
จะได
3
1 0 0
0 8 0
0 0 27
A
⎛ ⎞
⎜ ⎟
= ⎜ ⎟
⎜ ⎟
⎝ ⎠
จ. กําหนด
1 1 1 0
,
0 2 1 2
A B
−⎛ ⎞ ⎛ ⎞
= =⎜ ⎟ ⎜ ⎟
⎝ ⎠ ⎝ ⎠
จะไดวา
2 2
( )( )A B A B A B+ − = −
9
9. จงเลือกขอความที่ถูกตอง
[Entrance คณิต กข. ป 2523]
ก. ถา
1 31
2 3 1
A
⎛ ⎞−
= ⎜ ⎟
⎜ ⎟− −⎝ ⎠
จะได 2
A I=
ข. ถา
1 3
2 5
A
⎛ ⎞
= ⎜ ⎟
⎝ ⎠
และ
5 3
2 1
B
−⎛ ⎞
= ⎜ ⎟
−⎝ ⎠
จะได AB BA≠
ค. ถา
3 4 4
9 2 9
X
− −⎛ ⎞ ⎡ ⎤
=⎜ ⎟ ⎢ ⎥
⎝ ⎠ ⎣ ⎦
จะได
2
3
3
2
X
⎡ ⎤
⎢ ⎥
= ⎢ ⎥
⎢ ⎥
⎢ ⎥⎣ ⎦
ง.
1 2 3 1 2 3
2 2 1 1 4 2 2
3 2 2 3 2 2
≠
จ. ไมมีขอใดถูก
10
10. กําหนดให
3
2
4
A
⎡ ⎤
⎢ ⎥= ⎢ ⎥
⎢ ⎥⎣ ⎦
และ [ ]1 6 7B = − ไดวา AB เทากับ
[Entrance คณิต กข. ป 2524]
ก. [ ]37
ข. [ ]3 12 28−
ค.
3−⎡ ⎤
⎢ ⎥12⎢ ⎥
⎢ ⎥28⎣ ⎦
ง.
3 2 4
18 12 24
21 14 28
− − −⎛ ⎞
⎜ ⎟
⎜ ⎟
⎜ ⎟
⎝ ⎠
จ.
3 18 21
2 12 14
4 24 28
−⎛ ⎞
⎜ ⎟
−⎜ ⎟
⎜ ⎟−⎝ ⎠
11
11. กําหนดให 2 2ijA a
×
⎡ ⎤= ⎣ ⎦ โดย A มีสมาชิกเปนจํานวนจริง และ
t
A A= − ขอใดตอไปนี้ซึ่งสรุปสมบัติของสมาชิกของ A ไดถูกตองที่สุด
[Entrance คณิต กข. ป 2524]
ก. 12 21a a= และ 11 22 0a a= =
ข. 12 21a a= และ 11 22a a≠
ค. 12 21a a= − และ 11 22 0a a= =
ง. 12 21a a= − และ 11 22a a≠
จ. ไมมีขอใดถูก
12
12. กําหนดให , ,0A I เปนเมตริกซมิติ 2 2× ที่ I เปนยูนิตเมตริกซ และ 0
เปนเมตริกซศูนย ถา
2
0A A I+ + = แลวจะสรุปไดวา
[Entrance คณิต กข. ป 2524]
ก. A เปนนอนซิงกูลารเมตริกซ และ 1
A A I−
= +
ข. A เปนนอนซิงกูลารเมตริกซ และ 1
A A I−
= − −
ค. A เปนนอนซิงกูลารเมตริกซ และ 1
A A−
=
ง. A เปนนอนซิงกูลารเมตริกซ และ 1
A A−
= −
จ. A เปนนอนซิงกูลารเมตริกซ ที่หา 1
A−
ไมได
13
13. กําหนด
11 12
21 22
a a
A
a a
⎛ ⎞
= ⎜ ⎟
⎝ ⎠
และ
11 12
21 22
b b
B
b b
⎛ ⎞
= ⎜ ⎟
⎝ ⎠
ถา
11 12
21 22
c c
C
c c
⎛ ⎞
= ⎜ ⎟
⎝ ⎠
เปนทรานสโพสของ AB แลว ijC ซึ่งเปนสมาชิกของ C ที่อยู
ในแถวที่ i และ หลักที่ j จะมีคาเทากับ
[Entrance คณิต กข. ป 2526]
14
14. กําหนดให
1
2
3
4
1 1 1 1 8
1 1 1 1 6
1 1 1 1 0
1 1 1 1 4
x
x
x
x
− ⎡ ⎤⎡ ⎤ ⎡ ⎤
⎢ ⎥⎢ ⎥ ⎢ ⎥− ⎢ ⎥⎢ ⎥ ⎢ ⎥=
⎢ ⎥⎢ ⎥ ⎢ ⎥− −
⎢ ⎥⎢ ⎥ ⎢ ⎥
− −⎣ ⎦ ⎣ ⎦⎣ ⎦
คาของ 3X เทากับ
[Entrance คณิต กข. ป 2526]
ก. 2
ข. 3
ค. 4
ง. 5
15
15. กําหนด
3 7
2 5
A
⎛ ⎞
= ⎜ ⎟
⎝ ⎠
,
1 0
0 1
I
⎛ ⎞
= ⎜ ⎟
⎝ ⎠
, x เปนสเกลาร ถา
1
C A xI−
= − และ det( ) 0C = แลว x มีคาเทากับ
[Entrance คณิต กข. ป 2526]
ก.
1
3
ข.
1
5
ค. 4 15±
ง. 60±
16
16. ให
1 2 1 1
,
3 2 1
A B
a
−⎛ ⎞ ⎛ ⎞
= =⎜ ⎟ ⎜ ⎟
⎝ ⎠ ⎝ ⎠
และ 1 1
2C AB B− −
= + คาของ
“a” ที่ทําให det( ) 1C = คือ
[Entrance คณิต กข. ป 2527]
ก. 3
ข.
11
4
ค. 2
ง.
8
3
17
17. กําหนดให
2 1 1
1 0 2
2 1 0
1 1 1 1
x
y
u
v
− 2 0 −⎡ ⎤ ⎡ ⎤ ⎡ ⎤
⎢ ⎥ ⎢ ⎥ ⎢ ⎥3 −1⎢ ⎥ ⎢ ⎥ ⎢ ⎥=
⎢ ⎥ ⎢ ⎥ ⎢ ⎥− 2 2
⎢ ⎥ ⎢ ⎥ ⎢ ⎥
− 3⎣ ⎦ ⎣ ⎦ ⎣ ⎦
คาของ u คือ
[Entrance คณิต กข. ป 2527]
ก. 1
ข.
1
3
ค.
1
2
ง.
1
2
−
18
18. กําหนดให I เปนเมตริกซเอกลักษณ 2 2× ขอใดตอไปนี้ไมจริง
[Entrance คณิต กข. ป 2528]
ก. ถา
cos sin
sin cos
A
θ θ
θ θ
⎛ ⎞
= ⎜ ⎟
−⎝ ⎠
แลว 1 t
A A−
=
ข. ถา
1 31
2 3 1
A
⎛ ⎞−
= ⎜ ⎟
⎜ ⎟− −⎝ ⎠
แลว 1 2
A A−
=
ค. ถา
1 2
2 3
A
⎛ ⎞
= ⎜ ⎟
⎝ ⎠
แลว 1
4A A I−
= −
ง. ถา
1 1
0 2
A
−⎛ ⎞
= ⎜ ⎟
⎝ ⎠
แลว 1
3A I A−
= −
19
19. ถาแบงลักษณะระบบสมการเชิงเสนทั่วไป ตามจํานวนคําตอบของสมการ
จะไดวา
(1) ระบบสมการที่ไมมีคําตอบ
(2) ระบบสมการที่มีคําตอบเดียว
(3) ระบบสมการที่มีคําตอบนับไมถวน
กําหนดระบบสมการเชิงเสน
3
4 5
px qy k
rx sy t
− = −
− + =
โดยที่ k,p,q,r,s และ t เปนจํานวนจริงใดๆ และ
3
4
p q
r s
−⎛ ⎞
⎜ ⎟
−⎝ ⎠
เปนซิงกูลารเมตริกซ
ระบบสมการนี้จะเปนแบบใดไดบาง
[Entrance คณิต กข. ป 2528]
ก. (1) เพียงแบบเดียว
ข. (3) เพียงแบบเดียว
ค. (1) และ (2)
ง. (1) และ (3)
20
20. พิจารณาขอความตอไปนี้
[Entrance คณิต กข. ป 2529]
(1) ถา
1 b
A
c d
⎛ ⎞
= ⎜ ⎟
⎝ ⎠
เมื่อ b,c และ d เปนจํานวนจริง โดยที่ A I≠ แต
2
A I= แลว 1d = − และ 0bc =
(2) ถา A,B เปนเมตริกซใดๆ ขนาด 2 2× และ c เปนสเกลารใดๆ
2
det(( )( )) (det )(det )cA cB c A B=
(3) ถา A,B และ C เปนเมตริกซใดๆ และ
2 2
0A B A C+ = แลว 0A = หรือ
B C= −
(4) ถา 2t
A A= แลว det 1A = −
ขอใดตอไปนี้ถูก
ก. ขอ (1),(2),(3),(4) ผิดหมดทุกขอ
ข. มีผิด 3 ขอเทานั้น
ค. มีผิด 2 ขอ เทานั้น
ง. มีผิด 1 ขอเทานั้น
21
21. ถา
1
2 0
a
A
−⎛ ⎞
= ⎜ ⎟
⎝ ⎠
และ B เปนเมตริกซ 1
BA A−
= และ
1
2 2 0B A I−
− + = แลวเมตริกซ B คือ
[Entrance คณิต กข. ป 2529]
ก.
1 11
2 12
−⎛ ⎞
⎜ ⎟
−⎝ ⎠
ข.
1 11
2 12
− −⎛ ⎞
⎜ ⎟
−⎝ ⎠
ค.
1 21
1 12
− −⎛ ⎞
⎜ ⎟
⎝ ⎠
ง.
1 21
1 12
−⎛ ⎞
⎜ ⎟
−⎝ ⎠
22
22. ขอใดตอไปนี้ถูก
[Entrance คณิต กข. ป 2530]
ก. A,B และ C เปน 2 2× เมตริกซใดๆ แลว ( )AB AC B C A+ = +
ข. ถา A,B เปนเมตริกซใดๆ และ 0AB = แลว 0A = หรือ 0B =
ค. เอกลักษณการคูณของ 2 2× เมตริกซ คือ
1 1
1 1
⎛ ⎞
⎜ ⎟
⎝ ⎠
ง. ถา A,B และ C คือ 2 2× เมตริกซซึ่ง det 0A < และ AB AC= แลว
B C=
23
23. ขอใดตอไปนี้ผิด
[Entrance คณิต กข. ป 2530]
ก. กําหนดเมตริกซ
1 0
1 1
A
⎛ ⎞
= ⎜ ⎟
⎝ ⎠
และ
0a
B
b a
⎛ ⎞
= ⎜ ⎟
⎝ ⎠
, เมื่อ a,b เปนจํานวนจริงจะ
ไดวา AB BA=
ข. ถา
2 2
1
k
A
k
−⎡ ⎤
= ⎢ ⎥−3⎣ ⎦
เปนนอนซิงกูลารเมตริกซแลว 1k ≠ และ 4k ≠
ค. ถา A เปน 2x2 เมตริกซ และ k เปนจํานวนจริงใดๆ ซึ่ง 0k ≠ แลว
det( ) det( )t
kA k A=
ง. ถา A และ B เปน 2x2 เมตริกซ ที่หา 1
A−
และ 1
B−
ไดแลว
1 1 1
det( ) det( )det( )AB B A− − −
=
24
24. กําหนดเมตริกซ
4
2
a
A
b
⎛ ⎞
= ⎜ ⎟
⎝ ⎠
ถา
2
4 5 0A A I− − = แลว a,b จะมี
คาเทากับเทาใด
[Entrance คณิต กข. ป 2530]
ก. a=1,b=-3 หรือ a=-3,b=1
ข. a=-1,b=-3 หรือ a=-3,b=-1
ค. a=1,b=3 หรือ a=3,b=1
ง. ขอ ก. ข. และ ค. ไมมีขอใดถูก
25
25. ให
2
cos 1
{ |
2 sin 2
x
A x
x
⎡ ⎤
= ⎢ ⎥
−⎣ ⎦
เปนซิงกูลารเมตริกซ และ [0, ]}x π∈ ขอ
ใดตอไปนี้ถูก
[Entrance คณิต กข. ป 2531]
ก. [x x A∃ ∈ และ 0 sin cos2 1]x x< − <
ข. [ sin cos2 1]x x A x x∀ ∈ → − >
ค. [x x A∃ ∈ และ sin cos2 1]x x− ≥
ง. [ 0 sin cos2 1]x x A x x∀ ∈ → < − ≤
26
26. ให
0 1 0 0
0 0 1 , 0 0 1
1 0 0 0
A B
1 0⎡ ⎤ ⎡ ⎤
⎢ ⎥ ⎢ ⎥= =⎢ ⎥ ⎢ ⎥
⎢ ⎥ ⎢ ⎥0 1⎣ ⎦ ⎣ ⎦
และ
0
0
0
I
1 0⎡ ⎤
⎢ ⎥= 1 0⎢ ⎥
⎢ ⎥0 1⎣ ⎦
ขอความ
ใดตอไปนี้เปนจริง
[Entrance คณิต กข. ป 2531]
ก. 1 2
B AB A−
=
ข. 1
B AB A−
=
ค. 1
B AB I−
=
ง. 1
B AB B−
=
27
27. ในการสรางเมตริกซ
a b
d c
⎛ ⎞
⎜ ⎟
⎝ ⎠
โดยที่ , , { 2, 1,0,1,2}a b c∈ − − และ
0d = ความนาจะเปนที่จะได เมตริกซนอนซิงกูลาร เปนเทาใด
[Entrance คณิต กข. ป 2531]
28
28. ถา A และ B เปนเซตของเมตริกซ กําหนดโดย
1 1
|
0 1
n
A n
⎧⎛ ⎞
= ⎨⎜ ⎟
⎝ ⎠⎩
เปนจํานวนเต็มบวก
1 0
|
0 1
n
B n
⎧ −⎛ ⎞
= ⎨⎜ ⎟
−⎝ ⎠⎩
เปนจํานวนเต็มบวก
แลวขอใดตอไปนี้เปนจริง
[Entrance คณิต กข. ป 2532]
ก. A เปนเซตจํากัด B เปนเซตจํากัด
ข. A เปนเซตจํากัด B เปนเซตอนันต
ค. A เปนเซตอนันต B เปนเซตจํากัด
ง. A เปนเซตอนันต B เปนเซตจํากัด
29
29. กําหนดให
1
1
c
A
c
−⎛ ⎞
= ⎜ ⎟
−⎝ ⎠
และ
2 2 3 1
det(2 ) (1 ) det( ) 45t
A c A−
+ − = จงหาวาจํานวนจริง c ทั้งหมดซึ่ง
สอดคลองกับสมการขางตนอยูในเซตใดตอไปนี้
[Entrance คณิต กข. ป 2532]
ก. { 3, 2, 5}− −
ข. {2,3, 5}−
ค. { 2,2,3}−
ง. { 2, 2,2}−
30
30. มีจํานวนเต็มบวก x ทั้งหมดที่ทําให 1
x x
x
⎛ ⎞
⎜ ⎟
⎝ ⎠
มีคาดีเทอรมิแนนทไมเกิน 30 มี
จํานวนเทากับเทาใด
[Entrance คณิต กข. ป 2532]
31
31. กําหนดให
2 2 1
, ,
3 2 0 1
x y y a
A B C
z y
+⎛ ⎞ ⎛ ⎞ ⎛ ⎞
= = =⎜ ⎟ ⎜ ⎟ ⎜ ⎟
−⎝ ⎠ ⎝ ⎠ ⎝ ⎠
ถา
AB C= แลว a จะมีคาเทากับเทาใด
[Entrance คณิต กข. ป 2533]
ก.
29
36
ข.
27
36
ค.
19
36
ง.
17
36
32
32. กําหนด
cos sin 1 0
,
sin cos 0 1
A I
θ θ
θ θ
⎛ ⎞ ⎛ ⎞
= =⎜ ⎟ ⎜ ⎟
−⎝ ⎠ ⎝ ⎠
และ
2 1 2
( ) 2B A A I−
= + + ดังนั้น
1 2
( )A B−
มีคาเทากับขอใดตอไปนี้
[Entrance คณิต กข. ป 2533]
ก. 2I
ข. 4I
ค. 4A
ง. 8A
33
33. ให
sin 2 sin3
cos2 cos3
x x
A
x x
⎛ ⎞
= ⎜ ⎟
⎝ ⎠
โดยที่ [ , ]
2 2
x
π π
∈ − ถา x สอดคลอง
กับสมการ
2
det( ) det( ) det(2 ) 6A A I+ − + = เมื่อ I เปนเมตริกซเอกลักษณ
แลว x มีคาเทากับขอใดตอไปนี้
[Entrance คณิต กข. ป 2533]
ก.
1
sin (1)−
ข.
1
sin ( 1)−
−
ค.
1
cos (1)−
ง.
1
cos ( 1)−
−
34
34. ให a และ b เปนจํานวนจริงใดๆ ที่ไมเปนศูนยพรอมกัน
กําหนดเมตริกซ
a
A
b
⎛ ⎞
= ⎜ ⎟
⎝ ⎠
และ
cos2 sin 2
sin 2 cos2
B
θ θ
θ θ
⎛ ⎞
= ⎜ ⎟
−⎝ ⎠
คาของมุม θ ในชวง [0, ]
2
π
ที่จะทําใหเมตริกซผลคูณ t
A BA เปนเมตริกซศูนยคือ คาในขอใด
[Entrance คณิต กข. ป 2534]
ก.
6
π
ข.
3
π
ค.
4
π
ง.
2
π
35
35. ถา
sin cos
cos sin
A
θ θ
θ θ
⎛ ⎞
= ⎜ ⎟
⎝ ⎠
และ
cos2 sin 2
sin 2 cos2
B
θ θ
θ θ
−⎛ ⎞
= ⎜ ⎟
−⎝ ⎠
แลว det( )AB มีคาเทากับขอใด
[Entrance คณิต กข. ป 2535]
ก. 2 2
1 cos cos 3θ θ+ +
ข. 2 2
1 cos cos 3θ θ− +
ค. 2 2
1 cos cos 3θ θ+ −
ง. 2 2
1 cos cos 3θ θ− −
36
36. ขอใดถูก
[Entrance คณิต กข. ป 2535]
ก. ถาเมตริกซ [ ] [ ]1 1 4 , 1U X= − − = 0 2 และ
5 1
0 , 1
1 2
V Y
⎡ ⎤ ⎡ ⎤
⎢ ⎥ ⎢ ⎥= = −⎢ ⎥ ⎢ ⎥
⎢ ⎥ ⎢ ⎥⎣ ⎦ ⎣ ⎦
แลวเมตริกซ [ ]3 2 3UV XY− =
ข. ถา 2
2 1
a a
⎛ ⎞
⎜ ⎟
⎝ ⎠
เปนซิงกูลารเมตริกซแลว 2a =
ค. ถา A และ B เปนเมตริกซจัตุรัสที่มีมิติเดียวกัน และ det(AB)=0 แลว detA=0
หรือ detB=0
ง. ถา A เปนนอนซิงกูลารเมตริกซมิติ 2x2 แลว
1 1
det(2 ) det(2 )A A− −
=
37
37. สําหรับจํานวนจริง x ใดๆ ให xA เปนเมตริกซ กําหนดโดย
2
2
2sin 2sin
2 cos cos
x
x x
A
x x
⎛ ⎞
= ⎜ ⎟⎜ ⎟
⎝ ⎠
ถา { | 2 2S x xπ π= − ≤ ≤ และ xA เปนซิงกูลารเมตริกซ}แลว S จะมีสมาชิกกี่ตัว
[Entrance คณิต กข. ป 2535]
38
38. ถา
1 1
3 1
A
−⎛ ⎞
= ⎜ ⎟
−⎝ ⎠
แลว
3
det( 2 ( ))t t
A A A A− + เทากับขอใด
[Entrance คณิต กข. ป 2536]
ก. 768
ข. -768
ค. 384
ง. -384
39
39. กําหนดให A และ B เปนนอนซิงกูลารเมตริกซขนาด 2x2 โดยที่
1 1
det( )
2
A−
= − และ
1 2
B
x y
− −⎛ ⎞
= ⎜ ⎟
⎝ ⎠
เมื่อ x และ y เปนจํานวนจริง ถา
3 2AB A I+ = แลว x+y เทากับขอใด
[Entrance คณิต กข. ป 2536]
ก. 2
ข. -2
ค. 4
ง. -4
40
40. กําหนดให 0 ,0x yπ π≤ ≤ ≤ ≤ ถา
3 1
sin cos cos sin( ) 2 2
1 0 sin 0 3
1
2
x x x x y
x
⎛ ⎞
⎜ ⎟+⎛ ⎞⎛ ⎞ ⎜ ⎟=⎜ ⎟⎜ ⎟
⎜ ⎟⎝ ⎠⎝ ⎠
⎜ ⎟
⎝ ⎠
แลว
tan(2 )x y+ มีคาเทากับขอใด
[Entrance คณิต กข. ป 2537]
ก.
1
3
−
ข. 3−
ค.
1
3
ง. 3
41
41. ถา ij m n
A a
×
⎡ ⎤= ⎣ ⎦ เมื่อ ija เปนจํานวนจริง และ n เปนจํานวนเต็มที่มากกวา 1
แลว ขอความตอไปนี้ขอใดผิด
[Entrance คณิต กข. ป 2537]
ก.
2
det( ) det( )t
AA A=
ข.
2 2 2
det( ) det( ),n
kA k A k R= ∈
ค.
2
det( ) [det 1]det( )A A A A+ = +
ง. [det( )] ( ) ( )A I A adjA adjA A= =
42
42. ให A,B เปนเมตริกซจัตุรัสมิติ 3x3 และ I เปนเมตริกซเอกลักษณ มิติ 3x3
ถา AB=BA=I และ
1 1 1
2 1 3
1 0 1
A
−⎡ ⎤
⎢ ⎥= ⎢ ⎥
⎢ ⎥⎣ ⎦
แลว เมตริกซผูกพันของ B เทากับขอใด
[Entrance คณิต กข. ป 2537]
ก.
1
3
A
ข. 3A−
ค.
1
3
t
A
ง. 3 t
A−
43
43. ให A เปนเมตริกซ และ I เปนเมตริกซเอกลักษณ มิติ 3x3
ถา
1 2 1
3 0 1B
−⎡ ⎤
⎢ ⎥= ⎢ ⎥
⎢ ⎥−2 1 0⎣ ⎦
และ
0 2 3
3 1C
−⎡ ⎤
⎢ ⎥= − 2⎢ ⎥
⎢ ⎥0 2 1⎣ ⎦
สอดคลองกับสมการ
1
0
2
AB AC I− − = แลว 1
A−
คือเมตริกซในขอใด
[Entrance คณิต กข. ป 2537]
ก.
1 0 2
0 1
⎡ ⎤
⎢ ⎥−1⎢ ⎥
⎢ ⎥−2 −1 −1⎣ ⎦
ข.
2 0 4
0 2
⎡ ⎤
⎢ ⎥− 2⎢ ⎥
⎢ ⎥−4 − 2 − 2⎣ ⎦
ค.
1 0 2
0 1
− −⎡ ⎤
⎢ ⎥− 1⎢ ⎥
⎢ ⎥2 1 1⎣ ⎦
ง.
1 0 4
0 2
− −⎡ ⎤
⎢ ⎥− 2⎢ ⎥
⎢ ⎥4 2 2⎣ ⎦
44
44. สําหรับจํานวนเต็มบวก n ใดๆ ให
1
1
1
n
n
n
M
n
n
⎛ ⎞
⎜ ⎟
= ⎜ ⎟
⎜ ⎟− +⎜ ⎟
⎝ ⎠
และ det( )n na M= แลว lim n
n
a
→∞
เปนจริงตามขอใดตอไปนี้
[Entrance คณิต กข. ป 2538]
ก. มีคาเปน 0
ข. มีคาเปน 1
ค. มีคาเปน 2
ง. หาคาไมได
45
45. กําหนดให
0 1 2 1 1 0
, ,
1 2 1 3 1 2
A B C
− −⎛ ⎞ ⎛ ⎞ ⎛ ⎞
= = =⎜ ⎟ ⎜ ⎟ ⎜ ⎟
− −⎝ ⎠ ⎝ ⎠ ⎝ ⎠
ถา ( )X B C A= + แลว 1
X −
คือเมตริกซในขอใด
[Entrance คณิต กข. ป 2538]
ก.
2 1
1 1
− −⎛ ⎞
⎜ ⎟
⎝ ⎠
ข.
2 1
1 1
⎛ ⎞
⎜ ⎟
− −⎝ ⎠
ค.
1 1
1 0
−⎛ ⎞
⎜ ⎟
−⎝ ⎠
ง.
1 1
1 0
−⎛ ⎞
⎜ ⎟
⎝ ⎠
46
46. ให A และ B เปนเมตริกซจัตุรัส มิติ 4x4 และ I เปนเมตริกซเอกลักษณมิติ
4x4 โดยที่ A(adjA)-BA=I ถา detB=0 แลว detA มีคาเทากับเทาใด
[Entrance คณิต กข. ป 2538]
ก. -1
ข. 0
ค. 1
ง. 2
47
47. กําหนดให
4
3 8 0
x y
A
x y
⎡ ⎤
⎢ ⎥= −⎢ ⎥
⎢ ⎥− −1⎣ ⎦
โดยที่โคแฟคเตอรของ 21 6a = − โค
แฟคเตอรของ 23 4a = แลวโคแฟคเตอรของ 33a มีคาเทากับเทาใด
[Entrance คณิต กข. ป 2540]
ก. -14
ข. -13
ค. 13
ง. 14
48
48. กําหนดให
3 4 1 2
, ,
2 3 1 3
a b
A B X
c d
⎛ ⎞ ⎛ ⎞ ⎛ ⎞
= = =⎜ ⎟ ⎜ ⎟ ⎜ ⎟
−⎝ ⎠ ⎝ ⎠ ⎝ ⎠
ถา AX B A+ = แลว b c+ มีคาเทากับขอใดตอไปนี้
[Entrance คณิต กข. ป 2540]
ก. 7
ข. 9
ค. 10
ง. 11
49
49. กําหนดให
1 2 1
2 3 , , 1
1 0 0
a x
A b X y B
c z
⎡ ⎤ ⎡ ⎤ ⎡ ⎤
⎢ ⎥ ⎢ ⎥ ⎢ ⎥= = =⎢ ⎥ ⎢ ⎥ ⎢ ⎥
⎢ ⎥ ⎢ ⎥ ⎢ ⎥−⎣ ⎦ ⎣ ⎦ ⎣ ⎦
โดยที่ , ,a b c
เปนจํานวนจริง ถา AX B= และ 2 1
1 2
0 1 1 2
1 0 2
A R R
3⎡ ⎤
⎢ ⎥− − −⎢ ⎥
⎢ ⎥−⎣ ⎦
∼
แลว x มีคา
เทากับขอใดตอไปนี้
[Entrance คณิต กข. ป 2540]
ก. -1
ข.
2
3
−
ค.
3
4
ง. 2
50
50. กําหนดให
1 2
1 0
2 1 0
A
3⎡ ⎤
⎢ ⎥= 0 −⎢ ⎥
⎢ ⎥⎣ ⎦
และ
p
X q
r
⎡ ⎤
⎢ ⎥= ⎢ ⎥
⎢ ⎥⎣ ⎦
ถา
2
1
( ) 6
0
A adjA X
⎡ ⎤
⎢ ⎥= ⎢ ⎥
⎢ ⎥⎣ ⎦
แลว p มีคาเทากับเทาใด
[Entrance คณิต กข. ป 2540]
51
51. ถา
1 2 1 1
,
3 4 2 1
A B
− −⎛ ⎞ ⎛ ⎞
= =⎜ ⎟ ⎜ ⎟
−⎝ ⎠ ⎝ ⎠
แลว 1
2 t
A B−
คือเมตริกซใน
ขอใดตอไปนี้
[Entrance คณิต กข. ป 2541]
ก.
2 10
2 7
−⎛ ⎞
⎜ ⎟
−⎝ ⎠
ข.
2 10
2 7
−⎛ ⎞
⎜ ⎟
⎝ ⎠
ค.
5 2
6 6
⎛ ⎞
⎜ ⎟
⎝ ⎠
ง.
5 2
6 6
− −⎛ ⎞
⎜ ⎟
⎝ ⎠
52
52. กําหนดให
1
2
3
1
1 ,
1 1
x
A a X x
a x
−1 2 ⎡ ⎤⎡ ⎤
⎢ ⎥⎢ ⎥= −1 = ⎢ ⎥⎢ ⎥
⎢ ⎥⎢ ⎥−⎣ ⎦ ⎣ ⎦
และ
1
0
1
B
⎡ ⎤
⎢ ⎥= ⎢ ⎥
⎢ ⎥−⎣ ⎦
แลว คา
ของ a ทั้งหมดที่ทําใหระบบสมการ AX B= หาคําตอบ ( )X ได จะตรงกับเซตใน
ขอใด
[Entrance คณิต กข. ป 2541]
ก. {1}R −
ข. {1,2}R −
ค. {3}R −
ง. { 1,3}R − −
53
53. กําหนดให
2 1
1 3
A
−⎛ ⎞
= ⎜ ⎟
⎝ ⎠
และ 3
3
7
x x
M
x
−⎛ ⎞
⎜ ⎟=
⎜ ⎟+⎜ ⎟
⎝ ⎠
เซตของจํานวนจริง x ที่ทําให
1
det det[(2 ) ]t
M A A A−
= + คือเซตในขอใดตอไปนี้
[Entrance คณิต กข. ป 2541]
ก.
11
{ , 5}
7
−
ข.
11
{ ,5}
7
ค.
11
{ , 5}
7
− −
ง.
11
{ ,5}
7
−
54
54. ถา 3 3
0
1 2 0 ,det 1
1 1
ij
x y
A a A
x
×
⎛ ⎞
⎜ ⎟⎡ ⎤= = =⎣ ⎦ ⎜ ⎟
⎜ ⎟− −⎝ ⎠
และ โคแฟคเตอร
21 3a = แลว det( )A I+ เทากับเทาใด (เมื่อ I เปนเมตริกซเอกลักษณขนาด 3x3)
[Entrance คณิต 1- มีนาคม ป 2542]
55
55. ถา 1x สอดคลองกับระบบสมการ
1 2 3
1 2 3
1 2 3
2 0
3 2 5
2 3 3 9
x x x
x x x
x x x
+ + =
+ − =
− − =
และ
1 12
3
x y x
A
y
+⎛ ⎞
= ⎜ ⎟
⎝ ⎠
แลว ผลบวกของ y ทั้งหมดที่ทําให A เปนเมตริกซเอกฐานเทากับขอใดตอไปนี้
[Entrance คณิต 1- มีนาคม ป 2542]
ก. 0
ข. -1
ค. -2
ง. -3
56
56. กําหนดให
5 1
0 4 2
0 0
x
A
x
−⎛ ⎞
⎜ ⎟
= −⎜ ⎟
⎜ ⎟−⎝ ⎠
โดยที่ det( ) 1A = − และ x เปน
จํานวนจริง ถา I เปนเมตริกซเอกลักษณขนาด 3x3 แลว det(2( ) )t
I A A− มีคา
เทากับเทาใด
[Entrance คณิต 1- ตุลาคม ป 2542]
ก. 4
ข. 8
ค. 12
ง. 18
57
57. ให A เปนเมตริกซ 3x3 ถา 13 21
1 3 1
,
1 2
M M
− − 1
= =
2 4 และ
32
2 1
1 0
M =
− แลว det Aมีคาเทากับเทาใด
[Entrance คณิต 1- ตุลาคม ป 2542]
58
58. ถา
5 4 6
2 0 7
1 2 0
A
⎛ ⎞
⎜ ⎟
= −⎜ ⎟
⎜ ⎟
⎝ ⎠
และ
13 23( ) ( )
3 2
C A C A
B
⎛ ⎞
= ⎜ ⎟
⎝ ⎠
แลว
1
det( )B−
มีคาเทากับเทาใด
[Entrance คณิต 1- มีนาคม ป 2543]
59
59. ถา
3 2
2 2
A
⎛ ⎞
= ⎜ ⎟
⎝ ⎠
แลว
1 1 2 1 3 1 6
det(4( )) det(4 ) det(4 ) ... det(4 )A A A A− − − −
+ + + + มีคา
เทาใด
[Entrance คณิต 1- ตุลาคม ป 2543]
60
60. กําหนดให
1 6
2 5 7
4 2 9
x
A
y
−⎛ ⎞
⎜ ⎟
= ⎜ ⎟
⎜ ⎟
⎝ ⎠
ถาไมเนอรของ 32a เทากับ 23 และ โค
แฟคเตอรของ 23a เทากับ -44 แลว x+y มีคาเทากับเทาใด
[Entrance คณิต 1- มีนาคม ป 2544]
61
61. ในการสรางเมตริกซในรูป
2
4
1
x x
x x
⎛ ⎞−
⎜ ⎟
− −⎝ ⎠
แบบสุม โดยที่
{0,1,2,3,4}x∈ ความนาจะเปนที่จะไดเมตริกซเอกฐานเทากับเทาใด
[Entrance คณิต 1- มีนาคม ป 2544]
62
62. ถา
1 0 1
3 1 2
2 5
A
a
−⎛ ⎞
⎜ ⎟
= − −⎜ ⎟
⎜ ⎟
⎝ ⎠
และ 11( ) 2C A = แลว
1
det( 3 )A−
− มีคา
เทากับเทาใด
[Entrance คณิต 1- ตุลาคม ป 2544]
63
63. กําหนดให
(tan30 ) 1
(cot 60 ) 2
x
x
A
⎛ ⎞° −
= ⎜ ⎟
°⎝ ⎠
และ
1
det( ) 9,A A−
= คือ
เมตริกซในขอใดตอไปนี้
[Entrance คณิต 1- มีนาคม ป 2545]
ก.
2 1
9 3
1 1
9 3
⎛ ⎞
−⎜ ⎟
⎜ ⎟
⎜ ⎟
⎜ ⎟
⎝ ⎠
ข.
2 1
9 3
1 1
9 3
⎛ ⎞
⎜ ⎟
⎜ ⎟
⎜ ⎟−⎜ ⎟
⎝ ⎠
ค.
1 1
3 3
1 2
9 9
⎛ ⎞
−⎜ ⎟
⎜ ⎟
⎜ ⎟
⎜ ⎟
⎝ ⎠
ง.
2 1
9 9
1 1
3 3
⎛ ⎞
⎜ ⎟
⎜ ⎟
⎜ ⎟−⎜ ⎟
⎝ ⎠
64
64. พิจารณาขอความตอไปนี้
(1) ถา x R∈ และ
1
det( 1 ) 4
1 1
x x
x x
x
⎡ ⎤
⎢ ⎥ = −⎢ ⎥
⎢ ⎥⎣ ⎦
แลว 2x ≤
(2) กําหนดให ,a b R∈ และ
2
2 3
a
A
b
⎡ ⎤
= ⎢ ⎥
⎣ ⎦
ถา A badjA= แลว
2a b+ ≥
ขอใดตอไปนี้เปนจริง
[Entrance คณิต 1- มีนาคม ป 2545]
ก. (1) ถูก และ (2) ถูก
ข. (1) ถูก และ (2) ผิด
ค. (1) ผิด และ (2) ถูก
ง. (1) ผิด และ (2) ผิด
65
65. กําหนดให
2 0
,
1 0
A I
4 − 1⎡ ⎤ ⎡ ⎤
= =⎢ ⎥ ⎢ ⎥1 1⎣ ⎦ ⎣ ⎦
และ c เปนจํานวนจริงที่นอย
ที่สุดที่ทําให det( ) 0A cI− = ถา
1
c c
B c c
c c
1⎡ ⎤
⎢ ⎥= 1⎢ ⎥
⎢ ⎥⎣ ⎦
แลว
1
det( )
2
B เทากับ
เทาใด
[Entrance คณิต 1- ตุลาคม ป 2545]
66
66. ถา A ปนเมตริกซซึ่ง
1
2 0
3 1 , 0
0
A x
x
−
1⎡ ⎤
⎢ ⎥= 1 − >⎢ ⎥
⎢ ⎥− 2⎣ ⎦
และ
1
det(2 )
18
adjA = แลว x เปนจริงตามขอใดตอไปนี้
[Entrance คณิต 1- ตุลาคม ป 2545]
ก. 5x <
ข. 5 9x≤ <
ค. 0 13x≤ <
ง. 13x ≥
67
67. กําหนดให A และ B เปนเมตริกซขนาด 2x2
ถา
5 4
2
8 16
A B
⎡ ⎤
+ = ⎢ ⎥
⎣ ⎦
และ A B
2 1⎡ ⎤
− = ⎢ ⎥−1 −5⎣ ⎦
แลว
1
det(2 )A B−
มีคาเทากับเทาใด
[Entrance คณิต 1- มีนาคม ป 2546]
68
68. กําหนดให
2 1
0 1
1 1
x x x
A x x
x x
+ +⎡ ⎤
⎢ ⎥= +⎢ ⎥
⎢ ⎥+ −⎣ ⎦
และ
1
2 3
x x
B
x
+⎡ ⎤
= ⎢ ⎥
⎣ ⎦
ถา x เปนจํานวนจริง ที่ทําให det( ) 0A = แลว adjB คือเมตริกซในขอใดตอไปนี้
[Entrance คณิต 1- มีนาคม ป 2546]
ก.
3 2
2 1
−⎡ ⎤
⎢ ⎥−⎣ ⎦
ข.
3
2 1
0⎡ ⎤
⎢ ⎥−⎣ ⎦
ค.
3 3
4
−⎡ ⎤
⎢ ⎥− 2⎣ ⎦
ง.
3 1⎡ ⎤
⎢ ⎥4 − 2⎣ ⎦
69
69. กําหนดให a เปนจํานวนจริง และ
1 2 6
3
2
a a
A a
a a
⎡ ⎤+
⎢ ⎥
= 6⎢ ⎥
⎢ ⎥
⎣ ⎦
ถา 11( ) 18M A = และ 22 ( ) 12M A = − แลว 31( )C A เทากับขอใดตอไปนี้
[Entrance คณิต 1- ตุลาคม ป 2546]
ก. -57
ข. -33
ค. -15
ง. -3
70
70. กําหนดให a เปนจํานวนจริง และ
2
A
a
1 0⎡ ⎤
⎢ ⎥= 0 3 0⎢ ⎥
⎢ ⎥4 0⎣ ⎦
ถา 10a > และ det( ) 225adjA = แลว a มีคาเทากับขอใดตอไปนี้
[Entrance คณิต 1- ตุลาคม ป 2546]
ก. 11
ข. 12
ค. 13
ง. 14
71
71. กําหนดให
2 1
1 1
1 1
a a
A a
a
− −⎡ ⎤
⎢ ⎥= −⎢ ⎥
⎢ ⎥−⎣ ⎦
เมื่อ a เปนจํานวนจริง ถา
11( ) 5M A = และ 33 ( ) 0M A = แลว
พิจารณาขอความตอไปนี้
(1) det( ) 11A =
(2) 13 ( ) 1C A = −
ขอใดตอไปนี้ถูก
[Entrance คณิต 1- มีนาคม ป 2547]
ก. (1) ถูก และ (2) ถูก
ข. (1) ถูก และ (2) ผิด
ค. (1) ผิด และ (2) ถูก
ง. (1) ผิด และ (2) ผิด
72
72. ให x,y,z เปนคําตอบของระบบสมการเชิงเสน
11 12 13
21 22 23
31 32 33
2
1
0
a x a y a z
a x a y a z
a x a y a z
+ + =
+ + =
+ + =
ถา
11 12 13 11 12 13
21 22 23 21 22 23
31 32 33 31 32 33
1 0 0 1 0 0
0 1 0 0 0 1
0 0 1 0 0 1
a a a a a a
a a a a a a
a a a a a a
⎡ ⎤ ⎡ ⎤
⎢ ⎥ ⎢ ⎥
⎢ ⎥ ⎢ ⎥
⎢ ⎥ ⎢ ⎥⎣ ⎦ ⎣ ⎦
∼
แลวคาของ x+y+z เทากับเทาใด
[Entrance คณิต 1- ตุลาคม ป 2547]
73
73. กําหนดให A เปนเมตริกซ 3x3 และ ijA คือเมตริกซที่ไดจากการตัดแถวที่ i
และหลักที่ j ของเมตริกซ A ออก
ถา 11 32
2 5 1
1 2 1 1
28 1 , ,
5 8 3 2
17 5
adjA A A
− −⎡ ⎤
− − −⎛ ⎞ ⎛ ⎞⎢ ⎥= − 10 − = =⎜ ⎟ ⎜ ⎟⎢ ⎥ −⎝ ⎠ ⎝ ⎠⎢ ⎥− −1⎣ ⎦
แลว det( )A มีคาเทากับขอใดตอไปนี้
[Entrance คณิต 1- มีนาคม ป 2548]
ก. -92
ข. -15
ค. 15
ง. 92
74
74. กําหนดให S คือเซตของเมตริกซ { | , , , (0,1)}
a b
a b c d
c d
⎛ ⎞
∈⎜ ⎟
⎝ ⎠
ความ
นาจะเปนในการสุมหยิบเมตริกซ A จากเซต S โดยมีสมบัติ det( ) 0A = หรือ
det( ) 1A = เทากับขอใดตอไปนี้
[Entrance คณิต 1- มีนาคม ป 2548]
ก.
3
4
ข.
5
8
ค.
11
16
ง.
13
16
75
75. ถา x,y,z สอดคลองกับระบบสมการ
2 2 2
2 2 5
3 2 3
x y z
x y z
x y z
+ − = −
+ + =
− − =
แลว
ดิเทอรมิแนนต
2 1 3
2 2 2
2 2 3x y x y x y
−
− −
+ + −
มีคาเทากับเทาใดตอไปนี้
[A-net กุมภาพันธ ป 2549]
1. 60
2. 75
3. 90
4. 105
76
76. กําหนดให
3 3
2 0 9
1 1 2
x
A
⎡ ⎤
⎢ ⎥= ⎢ ⎥
⎢ ⎥⎣ ⎦
เมื่อ x เปนจํานวนจริง
ถา
3 3 1 0 0 1 0 0 9 5 36
2 0 9 0 1 0 0 5 3 21
1 1 2 0 0 1 0 0 1 2 1 8
x −⎡ ⎤ ⎡ ⎤
⎢ ⎥ ⎢ ⎥1 0 − −⎢ ⎥ ⎢ ⎥
⎢ ⎥ ⎢ ⎥− −⎣ ⎦ ⎣ ⎦
∼
แลว x มีคาเทากับเทาใด
[A-net กุมภาพันธ ป 2549]
77
77. กําหนดให a,b เปนจํานวนจริง และ
1 1
,
1
a
A B
b
−3⎡ ⎤ ⎡ ⎤
= =⎢ ⎥ ⎢ ⎥2 3⎣ ⎦ ⎣ ⎦
ถา
2 2 2
( ) 2A B AB A B+ − = + แลว det( )A เทากับขอใดตอไปนี้
[A-net กุมภาพันธ ป 2550]
1. 0.5
2. 1.5
3. 3.5
4. 4.5
78
78. กําหนดให
1 1
3 1 1
0 1
x
A
x
⎡ ⎤
⎢ ⎥= ⎢ ⎥
⎢ ⎥−⎣ ⎦
ถา 12 ( ) 4C A = แลว det 2A มีคา
เทาใด
[A-net กุมภาพันธ ป 2550]
79
79. กําหนดเมตริกซ A และ B ดังนี้
2
2
2
x
A
x
⎡ ⎤− 2
= ⎢ ⎥
2⎢ ⎥⎣ ⎦
และ
2 4
0
x
B
− −⎡ ⎤
= ⎢ ⎥2⎣ ⎦
โดยที่ x เปนจํานวนจริง ถา det(2 ) 76A = − แลวเมตริกซ
C ในขอใดตอไปนี้ ที่ทําใหคาของ det( )BC อยูภายในชวง ( 100, 50)− −
[A-net กุมภาพันธ ป 2551]
1.
1 1
C
−⎡ ⎤
= ⎢ ⎥1 2⎣ ⎦
2.
1 2
C
−⎡ ⎤
= ⎢ ⎥1 1⎣ ⎦
3.
1
C
2⎡ ⎤
= ⎢ ⎥−1 4⎣ ⎦
4.
2 1
C
⎡ ⎤
= ⎢ ⎥3 −1⎣ ⎦
80
80. กําหนดให
1
A x
y
1 2 −⎡ ⎤
⎢ ⎥= 2 2⎢ ⎥
⎢ ⎥2 1⎣ ⎦
โดยที่ x และ y เปนจํานวนจริง
ถา 11( ) 13C A = และ 21( ) 9C A = แลว det( )A มีคาเทากับขอใดตอไปนี้
[PAT1 มีนาคม ป 2552]
1. -33
2. -30
3. 30
4. 33
81
81. กําหนดให
T
A
−2 2 3⎡ ⎤
⎢ ⎥= 1 −1 0⎢ ⎥
⎢ ⎥0 1 4⎣ ⎦
สมาชิกในแถวที่ 2 และหลักที่ 3 ของ
1
A−
เทากับขอใดตอไปนี้
[PAT1 มีนาคม ป 2552]
1.
2
3
−
2. 2−
3.
2
3
4. 2
82
82. กําหนดให x,y,z สอดคลองกับระบบสมการ
2 2 5
3 6
4
x y z
x y z
x y z
− − = −
− + = −
− + − =
ขอใดตอไปนี้ถูก
[PAT1 มีนาคม ป 2552]
1.
2 2 2
6x y z+ + =
2. 2x y z+ + =
3. 6xyz =
4. 2
xy
z
= −
83
83. กําหนดให A เปนเมตริกซที่มีมิติ 2x2 และ det( ) 4A = ถา I ปนเมตริกซ
เอกลักษณและ 3A I− เปนเมตริกซเอกฐาน แลว det( 3 )A I+ เทากับขอใด
ตอไปนี้
[PAT1 กรกฎาคม ป 2552]
1. 0
2. 6
3. 13
4. 26
84
84. ถา x,y,z เปนจํานวนจริงซึ่งสอดคลอง กับระบบสมการเชิงเสน
2 2 1
3 7
5
x y z
x y z
x y z
− − =
− + =
− + − = −
แลว
1 2 3
x y z
+ + เทากับขอใดตอไปนี้
[PAT1 กรกฎาคม ป 2552]
1. 0
2. 2
3. 5
4. 8
85
85. ถา A และ B เปนเมตริกซซึ่ง
3 4
2
3 6
A B
⎛ ⎞
− = ⎜ ⎟
⎝ ⎠
และ
1 2
2
4 2
A B
−⎛ ⎞
+ = ⎜ ⎟
−⎝ ⎠
แลว
1
( )AB −
คือเมตริกซในขอใดตอไปนี้
[PAT1 กรกฎาคม ป 2552]
ก.
1
0
4
1 1
⎛ ⎞
−⎜ ⎟
⎜ ⎟
−⎝ ⎠
ข.
1 0
1
1
4
−⎛ ⎞
⎜ ⎟
⎜ ⎟−
⎝ ⎠
ค.
1
1
4
0 1
⎛ ⎞
⎜ ⎟
⎜ ⎟
−⎝ ⎠
ง.
1 1
1
0
4
−⎛ ⎞
⎜ ⎟
⎜ ⎟−
⎝ ⎠
86
86. กําหนดให
x
X y
z
⎡ ⎤
⎢ ⎥= ⎢ ⎥
⎢ ⎥⎣ ⎦
สอดคลองกับสมการ AX C= เมื่อ
1 2 1 1 0
2 0 1 , 2 0 1
0 1 2 1 4 0
A B
−1⎡ ⎤ ⎡ ⎤
⎢ ⎥ ⎢ ⎥= − = −⎢ ⎥ ⎢ ⎥
⎢ ⎥ ⎢ ⎥⎣ ⎦ ⎣ ⎦
และ
2
2
3
C
⎡ ⎤
⎢ ⎥= −⎢ ⎥
⎢ ⎥⎣ ⎦
ถา
(2 )
a
A B X b
c
⎡ ⎤
⎢ ⎥+ = ⎢ ⎥
⎢ ⎥⎣ ⎦
แลว a+b+c มีคาเทากับขอใดตอไปนี้
[PAT1 ตุลาคม ป 2552]
1. 3
2. 6
3. 9
4. 12
87
87. ถา
1
0 0
1
det 2 0 2 2
1
3 1 5
x
x
−
⎛ ⎞⎡ ⎤
⎜ ⎟⎢ ⎥ =⎜ ⎟⎢ ⎥ −⎜ ⎟⎢ ⎥⎣ ⎦⎝ ⎠
แลว x มีคาเทากับขอใดตอไปนี้
[PAT1 ตุลาคม ป 2552]
1. 1
2. 2
3. 3
4. 4
88
88. ให A และ B เปนเมตริกซที่มีขนาด 2x2 โดยที่
4 4
2
5 6
A B
− −⎛ ⎞
− = ⎜ ⎟
⎝ ⎠
และ
5 8
2
4 0
A B
− −⎛ ⎞
− = ⎜ ⎟
⎝ ⎠
คาของ
4 1
det( )A B−
เทากับเทาใด
[PAT1 มีนาคม ป 2553]
89
89. ให x,y,z และ w สอดคลองกับสมการ
1 0 1 2 1 1 0
1 0 2 1
x y
w y z w
− −⎛ ⎞⎛ ⎞ ⎛ ⎞⎛ ⎞
=⎜ ⎟⎜ ⎟ ⎜ ⎟⎜ ⎟
− −⎝ ⎠⎝ ⎠ ⎝ ⎠⎝ ⎠
คาของ 4 3 2w z y x− + − เทากับเทาใด
[PAT1 มีนาคม ป 2553]
90
90. กําหนดให
0 1
0 1
A
⎛ ⎞
= ⎜ ⎟
⎝ ⎠
1 1
0 0
B
⎛ ⎞
= ⎜ ⎟
⎝ ⎠
และ
1 1
0 2
C
−⎛ ⎞
= ⎜ ⎟
⎝ ⎠
คาของ
2
det(2 )t t
A BC B C+ + เทากับขอใดตอไปนี้
[PAT1 กรกฎาคม ป 2553]
1. -1
2. 0
3. 2
4. 6
91
91. ให a,b,c,d เปนจํานวนจริง
ถา
5 5 6 4 5
3
2 1 3 2 2
a a a
c c
b b
d d d
⎛ ⎞ ⎛ ⎞ ⎛ ⎞+
= +⎜ ⎟ ⎜ ⎟ ⎜ ⎟
−⎝ ⎠ ⎝ ⎠ ⎝ ⎠
แลวคาของ b c+ เทากับเทาใด
[PAT1 กรกฎาคม ป 2553]
92
92. ให a,b,c,d,t เปนจํานวนจริง
ถา
a b
A
c d
⎛ ⎞
= ⎜ ⎟
⎝ ⎠
โดยที่ det 0A t= ≠ c และ
2 1
det( ) 0A t A−
+ =
แลวคาของ
2 1
det( )A t A−
− เทากับเทาใด
[PAT1 กรกฎาคม ป 2553]
93
93. กําหนดให
1 1
1 1
A
⎛ ⎞
= ⎜ ⎟
−⎝ ⎠
และ
x y
B
y z
⎛ ⎞
= ⎜ ⎟
⎝ ⎠
ถา
1 2 0
0 4
A BA− −⎛ ⎞
= ⎜ ⎟
⎝ ⎠
แลวคาของ xyz เทากับขอใดตอไปนี้
[PAT1 ตุลาคม ป 2553]
1. -3
2. -1
3. 0
4. 1
94
94. กําหนดให X เปนเมตริกซที่สอดคลองกับสมการ
3 2
1 2 2 1 2
4 1 4
4 3 0 1 3
3 1
X
⎡ ⎤
− −⎛ ⎞ ⎡ ⎤ ⎢ ⎥+ =⎜ ⎟ ⎢ ⎥ ⎢ ⎥
⎝ ⎠ ⎣ ⎦ ⎢ ⎥−⎣ ⎦
แลวคาของ det(2 ( ))t t
X X X+ เทากับเทาใด
[PAT1 ตุลาคม ป 2553]
95
95. กําหนดให
2
2
cos 70 sin 40cos 10 3
,
0 cos 50sec10 1
ec
A B
⎛ ⎞ ⎛ ⎞° °°
= =⎜ ⎟ ⎜ ⎟
°° ⎝ ⎠⎝ ⎠
และ
2
2
cos 20 0
80 cos 10
C
sin
⎛ ⎞°
= ⎜ ⎟
° °⎝ ⎠
คาของ det[ ( )]A B C+ เทากับเทาใด
[PAT1 มีนาคม ป 2554]
96
96. กําหนดให
0 3
, 0A a
a b
⎛ ⎞
= ≤⎜ ⎟
⎝ ⎠
B เปนเมตริกซ 2x2 และ I เปน
เมตริกซเอกลักษณมิติ 2x2 ถา 2
A B I= และ 1
2 3A B I−
− = แลว จงหาคาของ
2 3a b+
[PAT1 ธันวาคม ป 2554]
1. 4
2. 3
3. 2
4. 1
97
97. กําหนด
2 1 0
0 1 3
0 0
x
A
x
⎛ ⎞
⎜ ⎟
= −⎜ ⎟
⎜ ⎟−⎝ ⎠
และ
1
det(1 ) 0, 0A x−
− = > จง
หาคาของ
11
det[ (3 2 )]
2
t
A I A−
−
[PAT1 ธันวาคม ป 2554]
98
98. กําหนดให a,b,c,d,x และ y เปนจํานวนจริง และ
1
, ,
1
x a b
A B
y c d
⎛ ⎞ ⎛ ⎞
= =⎜ ⎟ ⎜ ⎟
−⎝ ⎠ ⎝ ⎠
1 0
0 1
C
−⎛ ⎞
= ⎜ ⎟
⎝ ⎠
และ
1 0
0 1
I
⎛ ⎞
= ⎜ ⎟
⎝ ⎠
ถา 2
A I= และ 2AB C=
แลวคาของ
1
det( )B−
เทากับขอใดตอไปนี้
[PAT1 มีนาคม ป 2555]
1. 0.25
2. 0.5
3. 2
4. 4
99
99. กําหนดให A,B และ C เปนเมตริกซไมเอกฐาน(nonsingular matrix)
มิติ 3x3 และ I เปนเมตริกซเอกลักษณ การคูณมิติ 3x3
ถา
a b c
A d e f
g h i
⎛ ⎞
⎜ ⎟
= ⎜ ⎟
⎜ ⎟
⎝ ⎠
เมื่อ a,b,c,d,e,f,g,h และ i เปนจํานวนจริง
และ
3 1
2 ,det( ) 4A I C−
= = และ
3 3 3
2 2 2
t
g h i
B C a b c
d e f
− − −⎛ ⎞
⎜ ⎟
= − − −⎜ ⎟
⎜ ⎟
⎝ ⎠
แลว det( )B เทากับเทาใด
[PAT1 มีนาคม ป 2555]
100
100. กําหนดให A เปนเมตริกซที่มีมิติ 3x3 และ det( ) 0A ≠
พิจารณาขอความตอไปนี้
(ก)
3
(det( )) det( ( ))A adj A=
(ข) ถา 2
2A A= แลว det( ) 2A =
ขอใดตอไปนี้ถูกตอง
[PAT1 ตุลาคม ป 2555]
1. (ก) ถูก และ (ข) ถูก
2. (ก) ถูก แต (ข) ผิด
3. (ก) ผิด แต (ข) ถูก
4. (ก) ผิด และ (ข) ผิด
101
101. กําหนดให A,B และ C เปนเมตริกซที่มีมิติ 3x3 โดยที่ det 0B ≠
ถา
1 2 3
2 1 1
3 1 0
A
− −⎛ ⎞
⎜ ⎟
= ⎜ ⎟
⎜ ⎟−⎝ ⎠
และ
1
det( ) 4t
B CB−
= −
แลว det( )t
C AC เทากับเทาใด
[PAT1 ตุลาคม ป 2555]
102
102. กําหนดให A และ B เปนเมตริกซมีมิติ 3x3 โดยที่ det( ) 2A = และ
1 3 2
0 1
0 2
B x
y
⎛ ⎞
⎜ ⎟
= −⎜ ⎟
⎜ ⎟−⎝ ⎠
เมื่อ x และ y เปนจํานวนจริง ถา 3 2AB A I+ = เมื่อ I
เปนเมตริกซเอกลักษณ ที่มีมิติ 3x3 แลว x+y เทากับขอใดตอไปนี้
[PAT1 มีนาคม ป 2556]
1. 0
2. -1
3. -2
4. -2.5
103
103. ให S เปนเซตของจํานวนจริง x ทั้งหมด ที่ทําใหเมตริกซ
4 2 7
1 3
2 0
x
x
−⎛ ⎞
⎜ ⎟
−⎜ ⎟
⎜ ⎟
⎝ ⎠
เปนเมตริกซเอกฐาน และให y เทากับผลบวกของสมาชิกทั้งหมดทั้งหมดในเซต S
ถา
1
1
y
A
y
⎛ ⎞
= ⎜ ⎟
−⎝ ⎠
แลวคา ของ
1 1
det((( ) ) )t t
A − −
เทากับเทาใด
[PAT1 มีนาคม ป 2556]
104
104. กําหนดให
1 2 1 0
,
0 1 0 1
A I
−⎛ ⎞ ⎛ ⎞
= =⎜ ⎟ ⎜ ⎟
−⎝ ⎠ ⎝ ⎠
และ B เปนเมตริกซใดๆมีมิติ
2x2 ให x เปนจํานวนจริงที่สอดคลอง กับ
2
det( ) 0A xI+ = พิจารณาขอความ
ตอไปนี้
(ก) det( ) 0A xI+ =
(ข)
2
det( ) det( )t
A xI B B+ − =
ขอใดตอไปนี้ถูกตอง
[PAT1 มีนาคม ป 2557]
1. (ก) ถูก และ (ข) ถูก
2. (ก) ถูก แต (ข) ผิด
3. (ก) ผิด แต (ข) ถูก
4. (ก) ผิด และ (ข) ผิด
105
105. กําหนดให A และ B เปนเมตริกซจัตุรัสมิติเทากัน โดยที่ det( ) 0A ≠ และ
det( ) 0B ≠ ถา
1 1
det( ) 0A B− −
+ ≠ และ det( ) 0A B+ ≠ แลว
1
( )A B −
+ ตรง
กับขอใดตอไปนี้
[PAT1 มีนาคม ป 2557]
1.
1 1 1 1
( )B A B A− − − −
+
2.
1 1 1 1 1
( )B A B A− − − − −
+
3.
1 1
( )B A B A− −
+
4.
1 1 1
( )B A B A− − −
+
106
106. กําหนดให
1 1 0
,
4 0 1
a
A I
b
⎛ ⎞ ⎛ ⎞
= =⎜ ⎟ ⎜ ⎟
⎝ ⎠ ⎝ ⎠
เมื่อ a และ b เปนจํานวนจริง ที่
0ab ≠ และเมตริกซ A สอดคลองกับ สมการ
1
2( ) 4A I I A−
− = − พิจารณา
ขอความตอไปนี้
(ก) 2ab =
(ข)
2 1
det(3 ) 324t
A A A−
=
ขอใดตอไปนี้ถูกตอง
[PAT1 เมษายน ป 2557]
1. (ก) ถูก และ (ข) ถูก
2. (ก) ถูก แต (ข) ผิด
3. (ก) ผิด แต (ข) ถูก
4. (ก) ผิด และ (ข) ผิด
107
107. พิจารณาขอความตอไปนี้
(ก) ถา
0 0
0 0
0 0
a
A b
c
⎛ ⎞
⎜ ⎟
= ⎜ ⎟
⎜ ⎟
⎝ ⎠
เมื่อ a,b,c เปนจํานวนจริงบวก ที่ 1abc =
และ I เปนเมตริกซเอกลักษณ การคูณมิติ 3x3 แลว
2
det( ) 0A A I+ + =
(ข) ให
1 2 3
1 2 3
1 2 3
a a a
A b b b
c c c
⎛ ⎞
⎜ ⎟
= ⎜ ⎟
⎜ ⎟
⎝ ⎠
และ
1 1 1 2 2 2 3 3 3
1 2 3
1 2 3
2 3 2 3 2 3
2 2 2
3 3 3
a b c a b c a b c
B b b b
c c c
+ − + − + −⎛ ⎞
⎜ ⎟
= ⎜ ⎟
⎜ ⎟
⎝ ⎠
เมื่อ
1 2 3 1 2 3 1 2 3, , , , , , , ,a a a b b b c c c เปนจํานวนจริง ถา det( ) 3A = แลว det( ) 18B = −
ขอใดตอไปนี้ถูกตอง
[PAT1 เมษายน ป 2557]
1. (ก) ถูก และ (ข) ถูก
2. (ก) ถูก แต (ข) ผิด
3. (ก) ผิด แต (ข) ถูก
4. (ก) ผิด และ (ข) ผิด

Matrix problem p

  • 1.
    1 เรียนรูจากโจทยเรื่องเมทริกซ 1. กําหนดใหเมตริกซ 2 4 3 xy A x y +⎡ ⎤ = ⎢ ⎥+⎣ ⎦ จงพิจารณาวาขอใดไมถูกตอง [Entrance คณิต กข. ป 2520] ก. เมตริกซ A เกิดจากผลคูณ 2 1 4 3 x y ⎡ ⎤ ⎡ ⎤ ⎢ ⎥ ⎢ ⎥ ⎣ ⎦ ⎣ ⎦ ข. เมตริกซ A เกิดจากผลคูณ y x 1 2⎡ ⎤ ⎡ ⎤ ⎢ ⎥ ⎢ ⎥3 4⎣ ⎦ ⎣ ⎦ ค. เมตริกซ A เกิดจากผลบวก 4 x y y x 2⎡ ⎤ ⎡ ⎤ +⎢ ⎥ ⎢ ⎥3⎣ ⎦ ⎣ ⎦ ง. A เปน 2 2× เมตริกซ ซึ่งมีคา det( ) 2A xy= จ. A เปน 2 1× เมตริกซ ซึ่งหาคาของ det( )A ไมได
  • 2.
    2 2. ถาผลคูณของ 22× เมตริกซ A กับเมตริกซ 4 16 36 64 ⎡ ⎤ ⎢ ⎥ ⎣ ⎦ เทากับ 14 , 4 A−0⎡ ⎤ ⎢ ⎥0⎣ ⎦ มี คาเทาใด [Entrance คณิต กข. ป 2520] ก. 3 4 1 2⎡ ⎤ ⎢ ⎥ ⎣ ⎦ ข. 1 4⎡ ⎤ ⎢ ⎥9 16⎣ ⎦ ค. 3 4⎡ ⎤ ⎢ ⎥6 8⎣ ⎦ ง. 2 8⎡ ⎤ ⎢ ⎥18 32⎣ ⎦
  • 3.
    3 3. ถาผลบวกระหวาง 2 2 2 1 1 3 3 xx A y x y ⎛ ⎞− ⎜ ⎟ = ⎜ ⎟ ⎜ ⎟ ⎝ ⎠ และ 1 0 2 2 0 1 2 2 2 1 t A −⎛ ⎞ ⎜ ⎟ = ⎜ ⎟ ⎜ ⎟ ⎝ ⎠ คา x และ y ที่ถูกตองตามสมการคือขอใด [Entrance คณิต กข. ป 2520] ก. x+y=2 ข. x-y=-2 ค. x+y=-2 ง. x-y=2 จ. ไมมีขอใดถูก
  • 4.
    4 4. กําหนด A,Bและ C เปน 2 2× เมตริกซใดๆ ขอใดตอไปนี้ถูก [Entrance คณิต กข. ป 2521] ก. AB BA= ข. 1 1 1 ( )AB B A− − − = ค. ถา AB AC= แลว B C= ง. 0AB = แลว 0A = หรือ 0B = จ. ไมมีขอใดถูก
  • 5.
    5 5. ถา Aเปน 2 2× เมตริกซ ที่มีคุณสมบัติ t t AA A A= + แลว A เทากับเทาใด [Entrance คณิต กข. ป 2521] ก. −1 0⎡ ⎤ ⎢ ⎥0 −1⎣ ⎦ ข. 0 1⎡ ⎤ ⎢ ⎥1 0⎣ ⎦ ค. 1 0⎡ ⎤ ⎢ ⎥0 1⎣ ⎦ ง. 1 1⎡ ⎤ ⎢ ⎥1 1⎣ ⎦ จ. ไมมีขอใดถูก
  • 6.
    6 6. ขอใดตอไปนี้ผิด [Entrance คณิตกข. ป 2522] ก. [ ] 1 3 2 3 6 4 12 − −⎡ ⎤ ⎡ ⎤ ⎢ ⎥ ⎢ ⎥=⎢ ⎥ ⎢ ⎥ ⎢ ⎥ ⎢ ⎥⎣ ⎦ ⎣ ⎦ ข. 1 3 0 3 9 0 3 2 2 1 6 6 3 3 1 0 9 3 0 − −⎛ ⎞ ⎛ ⎞ ⎜ ⎟ ⎜ ⎟ =⎜ ⎟ ⎜ ⎟ ⎜ ⎟ ⎜ ⎟ ⎝ ⎠ ⎝ ⎠ ค. 1 0 1 3 0 3 3 0 0 1 0 0 3 0 1 0 0 3 0 ⎛ ⎞ ⎛ ⎞ ⎜ ⎟ ⎜ ⎟ =⎜ ⎟ ⎜ ⎟ ⎜ ⎟ ⎜ ⎟ ⎝ ⎠ ⎝ ⎠ ง. 4 5 0 2 5 0 2 1 0 4 1 1 0 4 2 4 1 1 2 ⎛ ⎞ ⎛ ⎞ ⎜ ⎟ ⎜ ⎟ =⎜ ⎟ ⎜ ⎟ ⎜ ⎟ ⎜ ⎟ ⎝ ⎠ ⎝ ⎠ จ. 1 1 0 1 0 1 1 0 0 2 2 1 0 0 1 2 1 4 4 0 3 0 1 0 4 3 4 − −⎛ ⎞⎛ ⎞ ⎛ ⎞ ⎜ ⎟⎜ ⎟ ⎜ ⎟ =⎜ ⎟⎜ ⎟ ⎜ ⎟ ⎜ ⎟⎜ ⎟ ⎜ ⎟ ⎝ ⎠⎝ ⎠ ⎝ ⎠
  • 7.
    7 7. กําหนด A,Bและ C เปน 3 3× เมตริกซใดๆ ขอใดตอไปนี้ถูก [Entrance คณิต กข. ป 2522] ก. ถา 1 2 3 x A y z ⎡ ⎤ ⎡ ⎤ ⎢ ⎥ ⎢ ⎥=⎢ ⎥ ⎢ ⎥ ⎢ ⎥ ⎢ ⎥⎣ ⎦ ⎣ ⎦ สามารถหาคา x,y,z ไดเสมอ ที่สอดคลองกับระบบสมการ ขางตน ข. ถา A และ B เปนนอนซิงกูลารที่มีสมบัติ AB I= จะได 1 ( )BA BA − = ค. ( )t t t t ABC A B C= ง. det( ) det( ) det( )A B A B+ = + จ. det( ) det( ) det( )AB A B= +
  • 8.
    8 8. ขอความตอไปนี้ขอใดผิด [Entrance คณิตกข. ป 2523] ก. ถา 1 2 3 1 3 3 1 2 4 A ⎛ ⎞ ⎜ ⎟ = ⎜ ⎟ ⎜ ⎟ ⎝ ⎠ จะได 1 6 2 3 1 1 0 1 0 1 A− − −⎛ ⎞ ⎜ ⎟ = −⎜ ⎟ ⎜ ⎟−⎝ ⎠ ข. ถา 3 1 6 2 B ⎛ ⎞ = ⎜ ⎟ ⎝ ⎠ แลว 1 B− หาคาไมได ค. ถา 1 2 3 2 3 1 A ⎡ ⎤ = ⎢ ⎥ ⎣ ⎦ และ 1 2 2 3 3 1 B ⎡ ⎤ ⎢ ⎥= ⎢ ⎥ ⎢ ⎥⎣ ⎦ จะไดวา t AB AA= ง. ถา 1 0 0 0 2 0 0 0 3 A ⎛ ⎞ ⎜ ⎟ = ⎜ ⎟ ⎜ ⎟ ⎝ ⎠ จะได 3 1 0 0 0 8 0 0 0 27 A ⎛ ⎞ ⎜ ⎟ = ⎜ ⎟ ⎜ ⎟ ⎝ ⎠ จ. กําหนด 1 1 1 0 , 0 2 1 2 A B −⎛ ⎞ ⎛ ⎞ = =⎜ ⎟ ⎜ ⎟ ⎝ ⎠ ⎝ ⎠ จะไดวา 2 2 ( )( )A B A B A B+ − = −
  • 9.
    9 9. จงเลือกขอความที่ถูกตอง [Entrance คณิตกข. ป 2523] ก. ถา 1 31 2 3 1 A ⎛ ⎞− = ⎜ ⎟ ⎜ ⎟− −⎝ ⎠ จะได 2 A I= ข. ถา 1 3 2 5 A ⎛ ⎞ = ⎜ ⎟ ⎝ ⎠ และ 5 3 2 1 B −⎛ ⎞ = ⎜ ⎟ −⎝ ⎠ จะได AB BA≠ ค. ถา 3 4 4 9 2 9 X − −⎛ ⎞ ⎡ ⎤ =⎜ ⎟ ⎢ ⎥ ⎝ ⎠ ⎣ ⎦ จะได 2 3 3 2 X ⎡ ⎤ ⎢ ⎥ = ⎢ ⎥ ⎢ ⎥ ⎢ ⎥⎣ ⎦ ง. 1 2 3 1 2 3 2 2 1 1 4 2 2 3 2 2 3 2 2 ≠ จ. ไมมีขอใดถูก
  • 10.
    10 10. กําหนดให 3 2 4 A ⎡ ⎤ ⎢⎥= ⎢ ⎥ ⎢ ⎥⎣ ⎦ และ [ ]1 6 7B = − ไดวา AB เทากับ [Entrance คณิต กข. ป 2524] ก. [ ]37 ข. [ ]3 12 28− ค. 3−⎡ ⎤ ⎢ ⎥12⎢ ⎥ ⎢ ⎥28⎣ ⎦ ง. 3 2 4 18 12 24 21 14 28 − − −⎛ ⎞ ⎜ ⎟ ⎜ ⎟ ⎜ ⎟ ⎝ ⎠ จ. 3 18 21 2 12 14 4 24 28 −⎛ ⎞ ⎜ ⎟ −⎜ ⎟ ⎜ ⎟−⎝ ⎠
  • 11.
    11 11. กําหนดให 22ijA a × ⎡ ⎤= ⎣ ⎦ โดย A มีสมาชิกเปนจํานวนจริง และ t A A= − ขอใดตอไปนี้ซึ่งสรุปสมบัติของสมาชิกของ A ไดถูกตองที่สุด [Entrance คณิต กข. ป 2524] ก. 12 21a a= และ 11 22 0a a= = ข. 12 21a a= และ 11 22a a≠ ค. 12 21a a= − และ 11 22 0a a= = ง. 12 21a a= − และ 11 22a a≠ จ. ไมมีขอใดถูก
  • 12.
    12 12. กําหนดให ,,0A I เปนเมตริกซมิติ 2 2× ที่ I เปนยูนิตเมตริกซ และ 0 เปนเมตริกซศูนย ถา 2 0A A I+ + = แลวจะสรุปไดวา [Entrance คณิต กข. ป 2524] ก. A เปนนอนซิงกูลารเมตริกซ และ 1 A A I− = + ข. A เปนนอนซิงกูลารเมตริกซ และ 1 A A I− = − − ค. A เปนนอนซิงกูลารเมตริกซ และ 1 A A− = ง. A เปนนอนซิงกูลารเมตริกซ และ 1 A A− = − จ. A เปนนอนซิงกูลารเมตริกซ ที่หา 1 A− ไมได
  • 13.
    13 13. กําหนด 11 12 2122 a a A a a ⎛ ⎞ = ⎜ ⎟ ⎝ ⎠ และ 11 12 21 22 b b B b b ⎛ ⎞ = ⎜ ⎟ ⎝ ⎠ ถา 11 12 21 22 c c C c c ⎛ ⎞ = ⎜ ⎟ ⎝ ⎠ เปนทรานสโพสของ AB แลว ijC ซึ่งเปนสมาชิกของ C ที่อยู ในแถวที่ i และ หลักที่ j จะมีคาเทากับ [Entrance คณิต กข. ป 2526]
  • 14.
    14 14. กําหนดให 1 2 3 4 1 11 1 8 1 1 1 1 6 1 1 1 1 0 1 1 1 1 4 x x x x − ⎡ ⎤⎡ ⎤ ⎡ ⎤ ⎢ ⎥⎢ ⎥ ⎢ ⎥− ⎢ ⎥⎢ ⎥ ⎢ ⎥= ⎢ ⎥⎢ ⎥ ⎢ ⎥− − ⎢ ⎥⎢ ⎥ ⎢ ⎥ − −⎣ ⎦ ⎣ ⎦⎣ ⎦ คาของ 3X เทากับ [Entrance คณิต กข. ป 2526] ก. 2 ข. 3 ค. 4 ง. 5
  • 15.
    15 15. กําหนด 3 7 25 A ⎛ ⎞ = ⎜ ⎟ ⎝ ⎠ , 1 0 0 1 I ⎛ ⎞ = ⎜ ⎟ ⎝ ⎠ , x เปนสเกลาร ถา 1 C A xI− = − และ det( ) 0C = แลว x มีคาเทากับ [Entrance คณิต กข. ป 2526] ก. 1 3 ข. 1 5 ค. 4 15± ง. 60±
  • 16.
    16 16. ให 1 21 1 , 3 2 1 A B a −⎛ ⎞ ⎛ ⎞ = =⎜ ⎟ ⎜ ⎟ ⎝ ⎠ ⎝ ⎠ และ 1 1 2C AB B− − = + คาของ “a” ที่ทําให det( ) 1C = คือ [Entrance คณิต กข. ป 2527] ก. 3 ข. 11 4 ค. 2 ง. 8 3
  • 17.
    17 17. กําหนดให 2 11 1 0 2 2 1 0 1 1 1 1 x y u v − 2 0 −⎡ ⎤ ⎡ ⎤ ⎡ ⎤ ⎢ ⎥ ⎢ ⎥ ⎢ ⎥3 −1⎢ ⎥ ⎢ ⎥ ⎢ ⎥= ⎢ ⎥ ⎢ ⎥ ⎢ ⎥− 2 2 ⎢ ⎥ ⎢ ⎥ ⎢ ⎥ − 3⎣ ⎦ ⎣ ⎦ ⎣ ⎦ คาของ u คือ [Entrance คณิต กข. ป 2527] ก. 1 ข. 1 3 ค. 1 2 ง. 1 2 −
  • 18.
    18 18. กําหนดให Iเปนเมตริกซเอกลักษณ 2 2× ขอใดตอไปนี้ไมจริง [Entrance คณิต กข. ป 2528] ก. ถา cos sin sin cos A θ θ θ θ ⎛ ⎞ = ⎜ ⎟ −⎝ ⎠ แลว 1 t A A− = ข. ถา 1 31 2 3 1 A ⎛ ⎞− = ⎜ ⎟ ⎜ ⎟− −⎝ ⎠ แลว 1 2 A A− = ค. ถา 1 2 2 3 A ⎛ ⎞ = ⎜ ⎟ ⎝ ⎠ แลว 1 4A A I− = − ง. ถา 1 1 0 2 A −⎛ ⎞ = ⎜ ⎟ ⎝ ⎠ แลว 1 3A I A− = −
  • 19.
    19 19. ถาแบงลักษณะระบบสมการเชิงเสนทั่วไป ตามจํานวนคําตอบของสมการ จะไดวา (1)ระบบสมการที่ไมมีคําตอบ (2) ระบบสมการที่มีคําตอบเดียว (3) ระบบสมการที่มีคําตอบนับไมถวน กําหนดระบบสมการเชิงเสน 3 4 5 px qy k rx sy t − = − − + = โดยที่ k,p,q,r,s และ t เปนจํานวนจริงใดๆ และ 3 4 p q r s −⎛ ⎞ ⎜ ⎟ −⎝ ⎠ เปนซิงกูลารเมตริกซ ระบบสมการนี้จะเปนแบบใดไดบาง [Entrance คณิต กข. ป 2528] ก. (1) เพียงแบบเดียว ข. (3) เพียงแบบเดียว ค. (1) และ (2) ง. (1) และ (3)
  • 20.
    20 20. พิจารณาขอความตอไปนี้ [Entrance คณิตกข. ป 2529] (1) ถา 1 b A c d ⎛ ⎞ = ⎜ ⎟ ⎝ ⎠ เมื่อ b,c และ d เปนจํานวนจริง โดยที่ A I≠ แต 2 A I= แลว 1d = − และ 0bc = (2) ถา A,B เปนเมตริกซใดๆ ขนาด 2 2× และ c เปนสเกลารใดๆ 2 det(( )( )) (det )(det )cA cB c A B= (3) ถา A,B และ C เปนเมตริกซใดๆ และ 2 2 0A B A C+ = แลว 0A = หรือ B C= − (4) ถา 2t A A= แลว det 1A = − ขอใดตอไปนี้ถูก ก. ขอ (1),(2),(3),(4) ผิดหมดทุกขอ ข. มีผิด 3 ขอเทานั้น ค. มีผิด 2 ขอ เทานั้น ง. มีผิด 1 ขอเทานั้น
  • 21.
    21 21. ถา 1 2 0 a A −⎛⎞ = ⎜ ⎟ ⎝ ⎠ และ B เปนเมตริกซ 1 BA A− = และ 1 2 2 0B A I− − + = แลวเมตริกซ B คือ [Entrance คณิต กข. ป 2529] ก. 1 11 2 12 −⎛ ⎞ ⎜ ⎟ −⎝ ⎠ ข. 1 11 2 12 − −⎛ ⎞ ⎜ ⎟ −⎝ ⎠ ค. 1 21 1 12 − −⎛ ⎞ ⎜ ⎟ ⎝ ⎠ ง. 1 21 1 12 −⎛ ⎞ ⎜ ⎟ −⎝ ⎠
  • 22.
    22 22. ขอใดตอไปนี้ถูก [Entrance คณิตกข. ป 2530] ก. A,B และ C เปน 2 2× เมตริกซใดๆ แลว ( )AB AC B C A+ = + ข. ถา A,B เปนเมตริกซใดๆ และ 0AB = แลว 0A = หรือ 0B = ค. เอกลักษณการคูณของ 2 2× เมตริกซ คือ 1 1 1 1 ⎛ ⎞ ⎜ ⎟ ⎝ ⎠ ง. ถา A,B และ C คือ 2 2× เมตริกซซึ่ง det 0A < และ AB AC= แลว B C=
  • 23.
    23 23. ขอใดตอไปนี้ผิด [Entrance คณิตกข. ป 2530] ก. กําหนดเมตริกซ 1 0 1 1 A ⎛ ⎞ = ⎜ ⎟ ⎝ ⎠ และ 0a B b a ⎛ ⎞ = ⎜ ⎟ ⎝ ⎠ , เมื่อ a,b เปนจํานวนจริงจะ ไดวา AB BA= ข. ถา 2 2 1 k A k −⎡ ⎤ = ⎢ ⎥−3⎣ ⎦ เปนนอนซิงกูลารเมตริกซแลว 1k ≠ และ 4k ≠ ค. ถา A เปน 2x2 เมตริกซ และ k เปนจํานวนจริงใดๆ ซึ่ง 0k ≠ แลว det( ) det( )t kA k A= ง. ถา A และ B เปน 2x2 เมตริกซ ที่หา 1 A− และ 1 B− ไดแลว 1 1 1 det( ) det( )det( )AB B A− − − =
  • 24.
    24 24. กําหนดเมตริกซ 4 2 a A b ⎛ ⎞ =⎜ ⎟ ⎝ ⎠ ถา 2 4 5 0A A I− − = แลว a,b จะมี คาเทากับเทาใด [Entrance คณิต กข. ป 2530] ก. a=1,b=-3 หรือ a=-3,b=1 ข. a=-1,b=-3 หรือ a=-3,b=-1 ค. a=1,b=3 หรือ a=3,b=1 ง. ขอ ก. ข. และ ค. ไมมีขอใดถูก
  • 25.
    25 25. ให 2 cos 1 {| 2 sin 2 x A x x ⎡ ⎤ = ⎢ ⎥ −⎣ ⎦ เปนซิงกูลารเมตริกซ และ [0, ]}x π∈ ขอ ใดตอไปนี้ถูก [Entrance คณิต กข. ป 2531] ก. [x x A∃ ∈ และ 0 sin cos2 1]x x< − < ข. [ sin cos2 1]x x A x x∀ ∈ → − > ค. [x x A∃ ∈ และ sin cos2 1]x x− ≥ ง. [ 0 sin cos2 1]x x A x x∀ ∈ → < − ≤
  • 26.
    26 26. ให 0 10 0 0 0 1 , 0 0 1 1 0 0 0 A B 1 0⎡ ⎤ ⎡ ⎤ ⎢ ⎥ ⎢ ⎥= =⎢ ⎥ ⎢ ⎥ ⎢ ⎥ ⎢ ⎥0 1⎣ ⎦ ⎣ ⎦ และ 0 0 0 I 1 0⎡ ⎤ ⎢ ⎥= 1 0⎢ ⎥ ⎢ ⎥0 1⎣ ⎦ ขอความ ใดตอไปนี้เปนจริง [Entrance คณิต กข. ป 2531] ก. 1 2 B AB A− = ข. 1 B AB A− = ค. 1 B AB I− = ง. 1 B AB B− =
  • 27.
    27 27. ในการสรางเมตริกซ a b dc ⎛ ⎞ ⎜ ⎟ ⎝ ⎠ โดยที่ , , { 2, 1,0,1,2}a b c∈ − − และ 0d = ความนาจะเปนที่จะได เมตริกซนอนซิงกูลาร เปนเทาใด [Entrance คณิต กข. ป 2531]
  • 28.
    28 28. ถา Aและ B เปนเซตของเมตริกซ กําหนดโดย 1 1 | 0 1 n A n ⎧⎛ ⎞ = ⎨⎜ ⎟ ⎝ ⎠⎩ เปนจํานวนเต็มบวก 1 0 | 0 1 n B n ⎧ −⎛ ⎞ = ⎨⎜ ⎟ −⎝ ⎠⎩ เปนจํานวนเต็มบวก แลวขอใดตอไปนี้เปนจริง [Entrance คณิต กข. ป 2532] ก. A เปนเซตจํากัด B เปนเซตจํากัด ข. A เปนเซตจํากัด B เปนเซตอนันต ค. A เปนเซตอนันต B เปนเซตจํากัด ง. A เปนเซตอนันต B เปนเซตจํากัด
  • 29.
    29 29. กําหนดให 1 1 c A c −⎛ ⎞ =⎜ ⎟ −⎝ ⎠ และ 2 2 3 1 det(2 ) (1 ) det( ) 45t A c A− + − = จงหาวาจํานวนจริง c ทั้งหมดซึ่ง สอดคลองกับสมการขางตนอยูในเซตใดตอไปนี้ [Entrance คณิต กข. ป 2532] ก. { 3, 2, 5}− − ข. {2,3, 5}− ค. { 2,2,3}− ง. { 2, 2,2}−
  • 30.
    30 30. มีจํานวนเต็มบวก xทั้งหมดที่ทําให 1 x x x ⎛ ⎞ ⎜ ⎟ ⎝ ⎠ มีคาดีเทอรมิแนนทไมเกิน 30 มี จํานวนเทากับเทาใด [Entrance คณิต กข. ป 2532]
  • 31.
    31 31. กําหนดให 2 21 , , 3 2 0 1 x y y a A B C z y +⎛ ⎞ ⎛ ⎞ ⎛ ⎞ = = =⎜ ⎟ ⎜ ⎟ ⎜ ⎟ −⎝ ⎠ ⎝ ⎠ ⎝ ⎠ ถา AB C= แลว a จะมีคาเทากับเทาใด [Entrance คณิต กข. ป 2533] ก. 29 36 ข. 27 36 ค. 19 36 ง. 17 36
  • 32.
    32 32. กําหนด cos sin1 0 , sin cos 0 1 A I θ θ θ θ ⎛ ⎞ ⎛ ⎞ = =⎜ ⎟ ⎜ ⎟ −⎝ ⎠ ⎝ ⎠ และ 2 1 2 ( ) 2B A A I− = + + ดังนั้น 1 2 ( )A B− มีคาเทากับขอใดตอไปนี้ [Entrance คณิต กข. ป 2533] ก. 2I ข. 4I ค. 4A ง. 8A
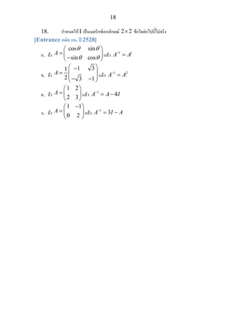
  • 33.
    33 33. ให sin 2sin3 cos2 cos3 x x A x x ⎛ ⎞ = ⎜ ⎟ ⎝ ⎠ โดยที่ [ , ] 2 2 x π π ∈ − ถา x สอดคลอง กับสมการ 2 det( ) det( ) det(2 ) 6A A I+ − + = เมื่อ I เปนเมตริกซเอกลักษณ แลว x มีคาเทากับขอใดตอไปนี้ [Entrance คณิต กข. ป 2533] ก. 1 sin (1)− ข. 1 sin ( 1)− − ค. 1 cos (1)− ง. 1 cos ( 1)− −
  • 34.
    34 34. ให aและ b เปนจํานวนจริงใดๆ ที่ไมเปนศูนยพรอมกัน กําหนดเมตริกซ a A b ⎛ ⎞ = ⎜ ⎟ ⎝ ⎠ และ cos2 sin 2 sin 2 cos2 B θ θ θ θ ⎛ ⎞ = ⎜ ⎟ −⎝ ⎠ คาของมุม θ ในชวง [0, ] 2 π ที่จะทําใหเมตริกซผลคูณ t A BA เปนเมตริกซศูนยคือ คาในขอใด [Entrance คณิต กข. ป 2534] ก. 6 π ข. 3 π ค. 4 π ง. 2 π
  • 35.
    35 35. ถา sin cos cossin A θ θ θ θ ⎛ ⎞ = ⎜ ⎟ ⎝ ⎠ และ cos2 sin 2 sin 2 cos2 B θ θ θ θ −⎛ ⎞ = ⎜ ⎟ −⎝ ⎠ แลว det( )AB มีคาเทากับขอใด [Entrance คณิต กข. ป 2535] ก. 2 2 1 cos cos 3θ θ+ + ข. 2 2 1 cos cos 3θ θ− + ค. 2 2 1 cos cos 3θ θ+ − ง. 2 2 1 cos cos 3θ θ− −
  • 36.
    36 36. ขอใดถูก [Entrance คณิตกข. ป 2535] ก. ถาเมตริกซ [ ] [ ]1 1 4 , 1U X= − − = 0 2 และ 5 1 0 , 1 1 2 V Y ⎡ ⎤ ⎡ ⎤ ⎢ ⎥ ⎢ ⎥= = −⎢ ⎥ ⎢ ⎥ ⎢ ⎥ ⎢ ⎥⎣ ⎦ ⎣ ⎦ แลวเมตริกซ [ ]3 2 3UV XY− = ข. ถา 2 2 1 a a ⎛ ⎞ ⎜ ⎟ ⎝ ⎠ เปนซิงกูลารเมตริกซแลว 2a = ค. ถา A และ B เปนเมตริกซจัตุรัสที่มีมิติเดียวกัน และ det(AB)=0 แลว detA=0 หรือ detB=0 ง. ถา A เปนนอนซิงกูลารเมตริกซมิติ 2x2 แลว 1 1 det(2 ) det(2 )A A− − =
  • 37.
    37 37. สําหรับจํานวนจริง xใดๆ ให xA เปนเมตริกซ กําหนดโดย 2 2 2sin 2sin 2 cos cos x x x A x x ⎛ ⎞ = ⎜ ⎟⎜ ⎟ ⎝ ⎠ ถา { | 2 2S x xπ π= − ≤ ≤ และ xA เปนซิงกูลารเมตริกซ}แลว S จะมีสมาชิกกี่ตัว [Entrance คณิต กข. ป 2535]
  • 38.
    38 38. ถา 1 1 31 A −⎛ ⎞ = ⎜ ⎟ −⎝ ⎠ แลว 3 det( 2 ( ))t t A A A A− + เทากับขอใด [Entrance คณิต กข. ป 2536] ก. 768 ข. -768 ค. 384 ง. -384
  • 39.
    39 39. กําหนดให Aและ B เปนนอนซิงกูลารเมตริกซขนาด 2x2 โดยที่ 1 1 det( ) 2 A− = − และ 1 2 B x y − −⎛ ⎞ = ⎜ ⎟ ⎝ ⎠ เมื่อ x และ y เปนจํานวนจริง ถา 3 2AB A I+ = แลว x+y เทากับขอใด [Entrance คณิต กข. ป 2536] ก. 2 ข. -2 ค. 4 ง. -4
  • 40.
    40 40. กําหนดให 0,0x yπ π≤ ≤ ≤ ≤ ถา 3 1 sin cos cos sin( ) 2 2 1 0 sin 0 3 1 2 x x x x y x ⎛ ⎞ ⎜ ⎟+⎛ ⎞⎛ ⎞ ⎜ ⎟=⎜ ⎟⎜ ⎟ ⎜ ⎟⎝ ⎠⎝ ⎠ ⎜ ⎟ ⎝ ⎠ แลว tan(2 )x y+ มีคาเทากับขอใด [Entrance คณิต กข. ป 2537] ก. 1 3 − ข. 3− ค. 1 3 ง. 3
  • 41.
    41 41. ถา ijm n A a × ⎡ ⎤= ⎣ ⎦ เมื่อ ija เปนจํานวนจริง และ n เปนจํานวนเต็มที่มากกวา 1 แลว ขอความตอไปนี้ขอใดผิด [Entrance คณิต กข. ป 2537] ก. 2 det( ) det( )t AA A= ข. 2 2 2 det( ) det( ),n kA k A k R= ∈ ค. 2 det( ) [det 1]det( )A A A A+ = + ง. [det( )] ( ) ( )A I A adjA adjA A= =
  • 42.
    42 42. ให A,Bเปนเมตริกซจัตุรัสมิติ 3x3 และ I เปนเมตริกซเอกลักษณ มิติ 3x3 ถา AB=BA=I และ 1 1 1 2 1 3 1 0 1 A −⎡ ⎤ ⎢ ⎥= ⎢ ⎥ ⎢ ⎥⎣ ⎦ แลว เมตริกซผูกพันของ B เทากับขอใด [Entrance คณิต กข. ป 2537] ก. 1 3 A ข. 3A− ค. 1 3 t A ง. 3 t A−
  • 43.
    43 43. ให Aเปนเมตริกซ และ I เปนเมตริกซเอกลักษณ มิติ 3x3 ถา 1 2 1 3 0 1B −⎡ ⎤ ⎢ ⎥= ⎢ ⎥ ⎢ ⎥−2 1 0⎣ ⎦ และ 0 2 3 3 1C −⎡ ⎤ ⎢ ⎥= − 2⎢ ⎥ ⎢ ⎥0 2 1⎣ ⎦ สอดคลองกับสมการ 1 0 2 AB AC I− − = แลว 1 A− คือเมตริกซในขอใด [Entrance คณิต กข. ป 2537] ก. 1 0 2 0 1 ⎡ ⎤ ⎢ ⎥−1⎢ ⎥ ⎢ ⎥−2 −1 −1⎣ ⎦ ข. 2 0 4 0 2 ⎡ ⎤ ⎢ ⎥− 2⎢ ⎥ ⎢ ⎥−4 − 2 − 2⎣ ⎦ ค. 1 0 2 0 1 − −⎡ ⎤ ⎢ ⎥− 1⎢ ⎥ ⎢ ⎥2 1 1⎣ ⎦ ง. 1 0 4 0 2 − −⎡ ⎤ ⎢ ⎥− 2⎢ ⎥ ⎢ ⎥4 2 2⎣ ⎦
  • 44.
    44 44. สําหรับจํานวนเต็มบวก nใดๆ ให 1 1 1 n n n M n n ⎛ ⎞ ⎜ ⎟ = ⎜ ⎟ ⎜ ⎟− +⎜ ⎟ ⎝ ⎠ และ det( )n na M= แลว lim n n a →∞ เปนจริงตามขอใดตอไปนี้ [Entrance คณิต กข. ป 2538] ก. มีคาเปน 0 ข. มีคาเปน 1 ค. มีคาเปน 2 ง. หาคาไมได
  • 45.
    45 45. กําหนดให 0 12 1 1 0 , , 1 2 1 3 1 2 A B C − −⎛ ⎞ ⎛ ⎞ ⎛ ⎞ = = =⎜ ⎟ ⎜ ⎟ ⎜ ⎟ − −⎝ ⎠ ⎝ ⎠ ⎝ ⎠ ถา ( )X B C A= + แลว 1 X − คือเมตริกซในขอใด [Entrance คณิต กข. ป 2538] ก. 2 1 1 1 − −⎛ ⎞ ⎜ ⎟ ⎝ ⎠ ข. 2 1 1 1 ⎛ ⎞ ⎜ ⎟ − −⎝ ⎠ ค. 1 1 1 0 −⎛ ⎞ ⎜ ⎟ −⎝ ⎠ ง. 1 1 1 0 −⎛ ⎞ ⎜ ⎟ ⎝ ⎠
  • 46.
    46 46. ให Aและ B เปนเมตริกซจัตุรัส มิติ 4x4 และ I เปนเมตริกซเอกลักษณมิติ 4x4 โดยที่ A(adjA)-BA=I ถา detB=0 แลว detA มีคาเทากับเทาใด [Entrance คณิต กข. ป 2538] ก. -1 ข. 0 ค. 1 ง. 2
  • 47.
    47 47. กําหนดให 4 3 80 x y A x y ⎡ ⎤ ⎢ ⎥= −⎢ ⎥ ⎢ ⎥− −1⎣ ⎦ โดยที่โคแฟคเตอรของ 21 6a = − โค แฟคเตอรของ 23 4a = แลวโคแฟคเตอรของ 33a มีคาเทากับเทาใด [Entrance คณิต กข. ป 2540] ก. -14 ข. -13 ค. 13 ง. 14
  • 48.
    48 48. กําหนดให 3 41 2 , , 2 3 1 3 a b A B X c d ⎛ ⎞ ⎛ ⎞ ⎛ ⎞ = = =⎜ ⎟ ⎜ ⎟ ⎜ ⎟ −⎝ ⎠ ⎝ ⎠ ⎝ ⎠ ถา AX B A+ = แลว b c+ มีคาเทากับขอใดตอไปนี้ [Entrance คณิต กข. ป 2540] ก. 7 ข. 9 ค. 10 ง. 11
  • 49.
    49 49. กําหนดให 1 21 2 3 , , 1 1 0 0 a x A b X y B c z ⎡ ⎤ ⎡ ⎤ ⎡ ⎤ ⎢ ⎥ ⎢ ⎥ ⎢ ⎥= = =⎢ ⎥ ⎢ ⎥ ⎢ ⎥ ⎢ ⎥ ⎢ ⎥ ⎢ ⎥−⎣ ⎦ ⎣ ⎦ ⎣ ⎦ โดยที่ , ,a b c เปนจํานวนจริง ถา AX B= และ 2 1 1 2 0 1 1 2 1 0 2 A R R 3⎡ ⎤ ⎢ ⎥− − −⎢ ⎥ ⎢ ⎥−⎣ ⎦ ∼ แลว x มีคา เทากับขอใดตอไปนี้ [Entrance คณิต กข. ป 2540] ก. -1 ข. 2 3 − ค. 3 4 ง. 2
  • 50.
    50 50. กําหนดให 1 2 10 2 1 0 A 3⎡ ⎤ ⎢ ⎥= 0 −⎢ ⎥ ⎢ ⎥⎣ ⎦ และ p X q r ⎡ ⎤ ⎢ ⎥= ⎢ ⎥ ⎢ ⎥⎣ ⎦ ถา 2 1 ( ) 6 0 A adjA X ⎡ ⎤ ⎢ ⎥= ⎢ ⎥ ⎢ ⎥⎣ ⎦ แลว p มีคาเทากับเทาใด [Entrance คณิต กข. ป 2540]
  • 51.
    51 51. ถา 1 21 1 , 3 4 2 1 A B − −⎛ ⎞ ⎛ ⎞ = =⎜ ⎟ ⎜ ⎟ −⎝ ⎠ ⎝ ⎠ แลว 1 2 t A B− คือเมตริกซใน ขอใดตอไปนี้ [Entrance คณิต กข. ป 2541] ก. 2 10 2 7 −⎛ ⎞ ⎜ ⎟ −⎝ ⎠ ข. 2 10 2 7 −⎛ ⎞ ⎜ ⎟ ⎝ ⎠ ค. 5 2 6 6 ⎛ ⎞ ⎜ ⎟ ⎝ ⎠ ง. 5 2 6 6 − −⎛ ⎞ ⎜ ⎟ ⎝ ⎠
  • 52.
    52 52. กําหนดให 1 2 3 1 1 , 11 x A a X x a x −1 2 ⎡ ⎤⎡ ⎤ ⎢ ⎥⎢ ⎥= −1 = ⎢ ⎥⎢ ⎥ ⎢ ⎥⎢ ⎥−⎣ ⎦ ⎣ ⎦ และ 1 0 1 B ⎡ ⎤ ⎢ ⎥= ⎢ ⎥ ⎢ ⎥−⎣ ⎦ แลว คา ของ a ทั้งหมดที่ทําใหระบบสมการ AX B= หาคําตอบ ( )X ได จะตรงกับเซตใน ขอใด [Entrance คณิต กข. ป 2541] ก. {1}R − ข. {1,2}R − ค. {3}R − ง. { 1,3}R − −
  • 53.
    53 53. กําหนดให 2 1 13 A −⎛ ⎞ = ⎜ ⎟ ⎝ ⎠ และ 3 3 7 x x M x −⎛ ⎞ ⎜ ⎟= ⎜ ⎟+⎜ ⎟ ⎝ ⎠ เซตของจํานวนจริง x ที่ทําให 1 det det[(2 ) ]t M A A A− = + คือเซตในขอใดตอไปนี้ [Entrance คณิต กข. ป 2541] ก. 11 { , 5} 7 − ข. 11 { ,5} 7 ค. 11 { , 5} 7 − − ง. 11 { ,5} 7 −
  • 54.
    54 54. ถา 33 0 1 2 0 ,det 1 1 1 ij x y A a A x × ⎛ ⎞ ⎜ ⎟⎡ ⎤= = =⎣ ⎦ ⎜ ⎟ ⎜ ⎟− −⎝ ⎠ และ โคแฟคเตอร 21 3a = แลว det( )A I+ เทากับเทาใด (เมื่อ I เปนเมตริกซเอกลักษณขนาด 3x3) [Entrance คณิต 1- มีนาคม ป 2542]
  • 55.
    55 55. ถา 1xสอดคลองกับระบบสมการ 1 2 3 1 2 3 1 2 3 2 0 3 2 5 2 3 3 9 x x x x x x x x x + + = + − = − − = และ 1 12 3 x y x A y +⎛ ⎞ = ⎜ ⎟ ⎝ ⎠ แลว ผลบวกของ y ทั้งหมดที่ทําให A เปนเมตริกซเอกฐานเทากับขอใดตอไปนี้ [Entrance คณิต 1- มีนาคม ป 2542] ก. 0 ข. -1 ค. -2 ง. -3
  • 56.
    56 56. กําหนดให 5 1 04 2 0 0 x A x −⎛ ⎞ ⎜ ⎟ = −⎜ ⎟ ⎜ ⎟−⎝ ⎠ โดยที่ det( ) 1A = − และ x เปน จํานวนจริง ถา I เปนเมตริกซเอกลักษณขนาด 3x3 แลว det(2( ) )t I A A− มีคา เทากับเทาใด [Entrance คณิต 1- ตุลาคม ป 2542] ก. 4 ข. 8 ค. 12 ง. 18
  • 57.
    57 57. ให Aเปนเมตริกซ 3x3 ถา 13 21 1 3 1 , 1 2 M M − − 1 = = 2 4 และ 32 2 1 1 0 M = − แลว det Aมีคาเทากับเทาใด [Entrance คณิต 1- ตุลาคม ป 2542]
  • 58.
    58 58. ถา 5 46 2 0 7 1 2 0 A ⎛ ⎞ ⎜ ⎟ = −⎜ ⎟ ⎜ ⎟ ⎝ ⎠ และ 13 23( ) ( ) 3 2 C A C A B ⎛ ⎞ = ⎜ ⎟ ⎝ ⎠ แลว 1 det( )B− มีคาเทากับเทาใด [Entrance คณิต 1- มีนาคม ป 2543]
  • 59.
    59 59. ถา 3 2 22 A ⎛ ⎞ = ⎜ ⎟ ⎝ ⎠ แลว 1 1 2 1 3 1 6 det(4( )) det(4 ) det(4 ) ... det(4 )A A A A− − − − + + + + มีคา เทาใด [Entrance คณิต 1- ตุลาคม ป 2543]
  • 60.
    60 60. กําหนดให 1 6 25 7 4 2 9 x A y −⎛ ⎞ ⎜ ⎟ = ⎜ ⎟ ⎜ ⎟ ⎝ ⎠ ถาไมเนอรของ 32a เทากับ 23 และ โค แฟคเตอรของ 23a เทากับ -44 แลว x+y มีคาเทากับเทาใด [Entrance คณิต 1- มีนาคม ป 2544]
  • 61.
    61 61. ในการสรางเมตริกซในรูป 2 4 1 x x xx ⎛ ⎞− ⎜ ⎟ − −⎝ ⎠ แบบสุม โดยที่ {0,1,2,3,4}x∈ ความนาจะเปนที่จะไดเมตริกซเอกฐานเทากับเทาใด [Entrance คณิต 1- มีนาคม ป 2544]
  • 62.
    62 62. ถา 1 01 3 1 2 2 5 A a −⎛ ⎞ ⎜ ⎟ = − −⎜ ⎟ ⎜ ⎟ ⎝ ⎠ และ 11( ) 2C A = แลว 1 det( 3 )A− − มีคา เทากับเทาใด [Entrance คณิต 1- ตุลาคม ป 2544]
  • 63.
    63 63. กําหนดให (tan30 )1 (cot 60 ) 2 x x A ⎛ ⎞° − = ⎜ ⎟ °⎝ ⎠ และ 1 det( ) 9,A A− = คือ เมตริกซในขอใดตอไปนี้ [Entrance คณิต 1- มีนาคม ป 2545] ก. 2 1 9 3 1 1 9 3 ⎛ ⎞ −⎜ ⎟ ⎜ ⎟ ⎜ ⎟ ⎜ ⎟ ⎝ ⎠ ข. 2 1 9 3 1 1 9 3 ⎛ ⎞ ⎜ ⎟ ⎜ ⎟ ⎜ ⎟−⎜ ⎟ ⎝ ⎠ ค. 1 1 3 3 1 2 9 9 ⎛ ⎞ −⎜ ⎟ ⎜ ⎟ ⎜ ⎟ ⎜ ⎟ ⎝ ⎠ ง. 2 1 9 9 1 1 3 3 ⎛ ⎞ ⎜ ⎟ ⎜ ⎟ ⎜ ⎟−⎜ ⎟ ⎝ ⎠
  • 64.
    64 64. พิจารณาขอความตอไปนี้ (1) ถาx R∈ และ 1 det( 1 ) 4 1 1 x x x x x ⎡ ⎤ ⎢ ⎥ = −⎢ ⎥ ⎢ ⎥⎣ ⎦ แลว 2x ≤ (2) กําหนดให ,a b R∈ และ 2 2 3 a A b ⎡ ⎤ = ⎢ ⎥ ⎣ ⎦ ถา A badjA= แลว 2a b+ ≥ ขอใดตอไปนี้เปนจริง [Entrance คณิต 1- มีนาคม ป 2545] ก. (1) ถูก และ (2) ถูก ข. (1) ถูก และ (2) ผิด ค. (1) ผิด และ (2) ถูก ง. (1) ผิด และ (2) ผิด
  • 65.
    65 65. กําหนดให 2 0 , 10 A I 4 − 1⎡ ⎤ ⎡ ⎤ = =⎢ ⎥ ⎢ ⎥1 1⎣ ⎦ ⎣ ⎦ และ c เปนจํานวนจริงที่นอย ที่สุดที่ทําให det( ) 0A cI− = ถา 1 c c B c c c c 1⎡ ⎤ ⎢ ⎥= 1⎢ ⎥ ⎢ ⎥⎣ ⎦ แลว 1 det( ) 2 B เทากับ เทาใด [Entrance คณิต 1- ตุลาคม ป 2545]
  • 66.
    66 66. ถา Aปนเมตริกซซึ่ง 1 2 0 3 1 , 0 0 A x x − 1⎡ ⎤ ⎢ ⎥= 1 − >⎢ ⎥ ⎢ ⎥− 2⎣ ⎦ และ 1 det(2 ) 18 adjA = แลว x เปนจริงตามขอใดตอไปนี้ [Entrance คณิต 1- ตุลาคม ป 2545] ก. 5x < ข. 5 9x≤ < ค. 0 13x≤ < ง. 13x ≥
  • 67.
    67 67. กําหนดให Aและ B เปนเมตริกซขนาด 2x2 ถา 5 4 2 8 16 A B ⎡ ⎤ + = ⎢ ⎥ ⎣ ⎦ และ A B 2 1⎡ ⎤ − = ⎢ ⎥−1 −5⎣ ⎦ แลว 1 det(2 )A B− มีคาเทากับเทาใด [Entrance คณิต 1- มีนาคม ป 2546]
  • 68.
    68 68. กําหนดให 2 1 01 1 1 x x x A x x x x + +⎡ ⎤ ⎢ ⎥= +⎢ ⎥ ⎢ ⎥+ −⎣ ⎦ และ 1 2 3 x x B x +⎡ ⎤ = ⎢ ⎥ ⎣ ⎦ ถา x เปนจํานวนจริง ที่ทําให det( ) 0A = แลว adjB คือเมตริกซในขอใดตอไปนี้ [Entrance คณิต 1- มีนาคม ป 2546] ก. 3 2 2 1 −⎡ ⎤ ⎢ ⎥−⎣ ⎦ ข. 3 2 1 0⎡ ⎤ ⎢ ⎥−⎣ ⎦ ค. 3 3 4 −⎡ ⎤ ⎢ ⎥− 2⎣ ⎦ ง. 3 1⎡ ⎤ ⎢ ⎥4 − 2⎣ ⎦
  • 69.
    69 69. กําหนดให aเปนจํานวนจริง และ 1 2 6 3 2 a a A a a a ⎡ ⎤+ ⎢ ⎥ = 6⎢ ⎥ ⎢ ⎥ ⎣ ⎦ ถา 11( ) 18M A = และ 22 ( ) 12M A = − แลว 31( )C A เทากับขอใดตอไปนี้ [Entrance คณิต 1- ตุลาคม ป 2546] ก. -57 ข. -33 ค. -15 ง. -3
  • 70.
    70 70. กําหนดให aเปนจํานวนจริง และ 2 A a 1 0⎡ ⎤ ⎢ ⎥= 0 3 0⎢ ⎥ ⎢ ⎥4 0⎣ ⎦ ถา 10a > และ det( ) 225adjA = แลว a มีคาเทากับขอใดตอไปนี้ [Entrance คณิต 1- ตุลาคม ป 2546] ก. 11 ข. 12 ค. 13 ง. 14
  • 71.
    71 71. กําหนดให 2 1 11 1 1 a a A a a − −⎡ ⎤ ⎢ ⎥= −⎢ ⎥ ⎢ ⎥−⎣ ⎦ เมื่อ a เปนจํานวนจริง ถา 11( ) 5M A = และ 33 ( ) 0M A = แลว พิจารณาขอความตอไปนี้ (1) det( ) 11A = (2) 13 ( ) 1C A = − ขอใดตอไปนี้ถูก [Entrance คณิต 1- มีนาคม ป 2547] ก. (1) ถูก และ (2) ถูก ข. (1) ถูก และ (2) ผิด ค. (1) ผิด และ (2) ถูก ง. (1) ผิด และ (2) ผิด
  • 72.
    72 72. ให x,y,zเปนคําตอบของระบบสมการเชิงเสน 11 12 13 21 22 23 31 32 33 2 1 0 a x a y a z a x a y a z a x a y a z + + = + + = + + = ถา 11 12 13 11 12 13 21 22 23 21 22 23 31 32 33 31 32 33 1 0 0 1 0 0 0 1 0 0 0 1 0 0 1 0 0 1 a a a a a a a a a a a a a a a a a a ⎡ ⎤ ⎡ ⎤ ⎢ ⎥ ⎢ ⎥ ⎢ ⎥ ⎢ ⎥ ⎢ ⎥ ⎢ ⎥⎣ ⎦ ⎣ ⎦ ∼ แลวคาของ x+y+z เทากับเทาใด [Entrance คณิต 1- ตุลาคม ป 2547]
  • 73.
    73 73. กําหนดให Aเปนเมตริกซ 3x3 และ ijA คือเมตริกซที่ไดจากการตัดแถวที่ i และหลักที่ j ของเมตริกซ A ออก ถา 11 32 2 5 1 1 2 1 1 28 1 , , 5 8 3 2 17 5 adjA A A − −⎡ ⎤ − − −⎛ ⎞ ⎛ ⎞⎢ ⎥= − 10 − = =⎜ ⎟ ⎜ ⎟⎢ ⎥ −⎝ ⎠ ⎝ ⎠⎢ ⎥− −1⎣ ⎦ แลว det( )A มีคาเทากับขอใดตอไปนี้ [Entrance คณิต 1- มีนาคม ป 2548] ก. -92 ข. -15 ค. 15 ง. 92
  • 74.
    74 74. กําหนดให Sคือเซตของเมตริกซ { | , , , (0,1)} a b a b c d c d ⎛ ⎞ ∈⎜ ⎟ ⎝ ⎠ ความ นาจะเปนในการสุมหยิบเมตริกซ A จากเซต S โดยมีสมบัติ det( ) 0A = หรือ det( ) 1A = เทากับขอใดตอไปนี้ [Entrance คณิต 1- มีนาคม ป 2548] ก. 3 4 ข. 5 8 ค. 11 16 ง. 13 16
  • 75.
    75 75. ถา x,y,zสอดคลองกับระบบสมการ 2 2 2 2 2 5 3 2 3 x y z x y z x y z + − = − + + = − − = แลว ดิเทอรมิแนนต 2 1 3 2 2 2 2 2 3x y x y x y − − − + + − มีคาเทากับเทาใดตอไปนี้ [A-net กุมภาพันธ ป 2549] 1. 60 2. 75 3. 90 4. 105
  • 76.
    76 76. กําหนดให 3 3 20 9 1 1 2 x A ⎡ ⎤ ⎢ ⎥= ⎢ ⎥ ⎢ ⎥⎣ ⎦ เมื่อ x เปนจํานวนจริง ถา 3 3 1 0 0 1 0 0 9 5 36 2 0 9 0 1 0 0 5 3 21 1 1 2 0 0 1 0 0 1 2 1 8 x −⎡ ⎤ ⎡ ⎤ ⎢ ⎥ ⎢ ⎥1 0 − −⎢ ⎥ ⎢ ⎥ ⎢ ⎥ ⎢ ⎥− −⎣ ⎦ ⎣ ⎦ ∼ แลว x มีคาเทากับเทาใด [A-net กุมภาพันธ ป 2549]
  • 77.
    77 77. กําหนดให a,bเปนจํานวนจริง และ 1 1 , 1 a A B b −3⎡ ⎤ ⎡ ⎤ = =⎢ ⎥ ⎢ ⎥2 3⎣ ⎦ ⎣ ⎦ ถา 2 2 2 ( ) 2A B AB A B+ − = + แลว det( )A เทากับขอใดตอไปนี้ [A-net กุมภาพันธ ป 2550] 1. 0.5 2. 1.5 3. 3.5 4. 4.5
  • 78.
    78 78. กําหนดให 1 1 31 1 0 1 x A x ⎡ ⎤ ⎢ ⎥= ⎢ ⎥ ⎢ ⎥−⎣ ⎦ ถา 12 ( ) 4C A = แลว det 2A มีคา เทาใด [A-net กุมภาพันธ ป 2550]
  • 79.
    79 79. กําหนดเมตริกซ Aและ B ดังนี้ 2 2 2 x A x ⎡ ⎤− 2 = ⎢ ⎥ 2⎢ ⎥⎣ ⎦ และ 2 4 0 x B − −⎡ ⎤ = ⎢ ⎥2⎣ ⎦ โดยที่ x เปนจํานวนจริง ถา det(2 ) 76A = − แลวเมตริกซ C ในขอใดตอไปนี้ ที่ทําใหคาของ det( )BC อยูภายในชวง ( 100, 50)− − [A-net กุมภาพันธ ป 2551] 1. 1 1 C −⎡ ⎤ = ⎢ ⎥1 2⎣ ⎦ 2. 1 2 C −⎡ ⎤ = ⎢ ⎥1 1⎣ ⎦ 3. 1 C 2⎡ ⎤ = ⎢ ⎥−1 4⎣ ⎦ 4. 2 1 C ⎡ ⎤ = ⎢ ⎥3 −1⎣ ⎦
  • 80.
    80 80. กําหนดให 1 A x y 12 −⎡ ⎤ ⎢ ⎥= 2 2⎢ ⎥ ⎢ ⎥2 1⎣ ⎦ โดยที่ x และ y เปนจํานวนจริง ถา 11( ) 13C A = และ 21( ) 9C A = แลว det( )A มีคาเทากับขอใดตอไปนี้ [PAT1 มีนาคม ป 2552] 1. -33 2. -30 3. 30 4. 33
  • 81.
    81 81. กําหนดให T A −2 23⎡ ⎤ ⎢ ⎥= 1 −1 0⎢ ⎥ ⎢ ⎥0 1 4⎣ ⎦ สมาชิกในแถวที่ 2 และหลักที่ 3 ของ 1 A− เทากับขอใดตอไปนี้ [PAT1 มีนาคม ป 2552] 1. 2 3 − 2. 2− 3. 2 3 4. 2
  • 82.
    82 82. กําหนดให x,y,zสอดคลองกับระบบสมการ 2 2 5 3 6 4 x y z x y z x y z − − = − − + = − − + − = ขอใดตอไปนี้ถูก [PAT1 มีนาคม ป 2552] 1. 2 2 2 6x y z+ + = 2. 2x y z+ + = 3. 6xyz = 4. 2 xy z = −
  • 83.
    83 83. กําหนดให Aเปนเมตริกซที่มีมิติ 2x2 และ det( ) 4A = ถา I ปนเมตริกซ เอกลักษณและ 3A I− เปนเมตริกซเอกฐาน แลว det( 3 )A I+ เทากับขอใด ตอไปนี้ [PAT1 กรกฎาคม ป 2552] 1. 0 2. 6 3. 13 4. 26
  • 84.
    84 84. ถา x,y,zเปนจํานวนจริงซึ่งสอดคลอง กับระบบสมการเชิงเสน 2 2 1 3 7 5 x y z x y z x y z − − = − + = − + − = − แลว 1 2 3 x y z + + เทากับขอใดตอไปนี้ [PAT1 กรกฎาคม ป 2552] 1. 0 2. 2 3. 5 4. 8
  • 85.
    85 85. ถา Aและ B เปนเมตริกซซึ่ง 3 4 2 3 6 A B ⎛ ⎞ − = ⎜ ⎟ ⎝ ⎠ และ 1 2 2 4 2 A B −⎛ ⎞ + = ⎜ ⎟ −⎝ ⎠ แลว 1 ( )AB − คือเมตริกซในขอใดตอไปนี้ [PAT1 กรกฎาคม ป 2552] ก. 1 0 4 1 1 ⎛ ⎞ −⎜ ⎟ ⎜ ⎟ −⎝ ⎠ ข. 1 0 1 1 4 −⎛ ⎞ ⎜ ⎟ ⎜ ⎟− ⎝ ⎠ ค. 1 1 4 0 1 ⎛ ⎞ ⎜ ⎟ ⎜ ⎟ −⎝ ⎠ ง. 1 1 1 0 4 −⎛ ⎞ ⎜ ⎟ ⎜ ⎟− ⎝ ⎠
  • 86.
    86 86. กําหนดให x X y z ⎡⎤ ⎢ ⎥= ⎢ ⎥ ⎢ ⎥⎣ ⎦ สอดคลองกับสมการ AX C= เมื่อ 1 2 1 1 0 2 0 1 , 2 0 1 0 1 2 1 4 0 A B −1⎡ ⎤ ⎡ ⎤ ⎢ ⎥ ⎢ ⎥= − = −⎢ ⎥ ⎢ ⎥ ⎢ ⎥ ⎢ ⎥⎣ ⎦ ⎣ ⎦ และ 2 2 3 C ⎡ ⎤ ⎢ ⎥= −⎢ ⎥ ⎢ ⎥⎣ ⎦ ถา (2 ) a A B X b c ⎡ ⎤ ⎢ ⎥+ = ⎢ ⎥ ⎢ ⎥⎣ ⎦ แลว a+b+c มีคาเทากับขอใดตอไปนี้ [PAT1 ตุลาคม ป 2552] 1. 3 2. 6 3. 9 4. 12
  • 87.
    87 87. ถา 1 0 0 1 det2 0 2 2 1 3 1 5 x x − ⎛ ⎞⎡ ⎤ ⎜ ⎟⎢ ⎥ =⎜ ⎟⎢ ⎥ −⎜ ⎟⎢ ⎥⎣ ⎦⎝ ⎠ แลว x มีคาเทากับขอใดตอไปนี้ [PAT1 ตุลาคม ป 2552] 1. 1 2. 2 3. 3 4. 4
  • 88.
    88 88. ให Aและ B เปนเมตริกซที่มีขนาด 2x2 โดยที่ 4 4 2 5 6 A B − −⎛ ⎞ − = ⎜ ⎟ ⎝ ⎠ และ 5 8 2 4 0 A B − −⎛ ⎞ − = ⎜ ⎟ ⎝ ⎠ คาของ 4 1 det( )A B− เทากับเทาใด [PAT1 มีนาคม ป 2553]
  • 89.
    89 89. ให x,y,zและ w สอดคลองกับสมการ 1 0 1 2 1 1 0 1 0 2 1 x y w y z w − −⎛ ⎞⎛ ⎞ ⎛ ⎞⎛ ⎞ =⎜ ⎟⎜ ⎟ ⎜ ⎟⎜ ⎟ − −⎝ ⎠⎝ ⎠ ⎝ ⎠⎝ ⎠ คาของ 4 3 2w z y x− + − เทากับเทาใด [PAT1 มีนาคม ป 2553]
  • 90.
    90 90. กําหนดให 0 1 01 A ⎛ ⎞ = ⎜ ⎟ ⎝ ⎠ 1 1 0 0 B ⎛ ⎞ = ⎜ ⎟ ⎝ ⎠ และ 1 1 0 2 C −⎛ ⎞ = ⎜ ⎟ ⎝ ⎠ คาของ 2 det(2 )t t A BC B C+ + เทากับขอใดตอไปนี้ [PAT1 กรกฎาคม ป 2553] 1. -1 2. 0 3. 2 4. 6
  • 91.
    91 91. ให a,b,c,dเปนจํานวนจริง ถา 5 5 6 4 5 3 2 1 3 2 2 a a a c c b b d d d ⎛ ⎞ ⎛ ⎞ ⎛ ⎞+ = +⎜ ⎟ ⎜ ⎟ ⎜ ⎟ −⎝ ⎠ ⎝ ⎠ ⎝ ⎠ แลวคาของ b c+ เทากับเทาใด [PAT1 กรกฎาคม ป 2553]
  • 92.
    92 92. ให a,b,c,d,tเปนจํานวนจริง ถา a b A c d ⎛ ⎞ = ⎜ ⎟ ⎝ ⎠ โดยที่ det 0A t= ≠ c และ 2 1 det( ) 0A t A− + = แลวคาของ 2 1 det( )A t A− − เทากับเทาใด [PAT1 กรกฎาคม ป 2553]
  • 93.
    93 93. กําหนดให 1 1 11 A ⎛ ⎞ = ⎜ ⎟ −⎝ ⎠ และ x y B y z ⎛ ⎞ = ⎜ ⎟ ⎝ ⎠ ถา 1 2 0 0 4 A BA− −⎛ ⎞ = ⎜ ⎟ ⎝ ⎠ แลวคาของ xyz เทากับขอใดตอไปนี้ [PAT1 ตุลาคม ป 2553] 1. -3 2. -1 3. 0 4. 1
  • 94.
    94 94. กําหนดให Xเปนเมตริกซที่สอดคลองกับสมการ 3 2 1 2 2 1 2 4 1 4 4 3 0 1 3 3 1 X ⎡ ⎤ − −⎛ ⎞ ⎡ ⎤ ⎢ ⎥+ =⎜ ⎟ ⎢ ⎥ ⎢ ⎥ ⎝ ⎠ ⎣ ⎦ ⎢ ⎥−⎣ ⎦ แลวคาของ det(2 ( ))t t X X X+ เทากับเทาใด [PAT1 ตุลาคม ป 2553]
  • 95.
    95 95. กําหนดให 2 2 cos 70sin 40cos 10 3 , 0 cos 50sec10 1 ec A B ⎛ ⎞ ⎛ ⎞° °° = =⎜ ⎟ ⎜ ⎟ °° ⎝ ⎠⎝ ⎠ และ 2 2 cos 20 0 80 cos 10 C sin ⎛ ⎞° = ⎜ ⎟ ° °⎝ ⎠ คาของ det[ ( )]A B C+ เทากับเทาใด [PAT1 มีนาคม ป 2554]
  • 96.
    96 96. กําหนดให 0 3 ,0A a a b ⎛ ⎞ = ≤⎜ ⎟ ⎝ ⎠ B เปนเมตริกซ 2x2 และ I เปน เมตริกซเอกลักษณมิติ 2x2 ถา 2 A B I= และ 1 2 3A B I− − = แลว จงหาคาของ 2 3a b+ [PAT1 ธันวาคม ป 2554] 1. 4 2. 3 3. 2 4. 1
  • 97.
    97 97. กําหนด 2 10 0 1 3 0 0 x A x ⎛ ⎞ ⎜ ⎟ = −⎜ ⎟ ⎜ ⎟−⎝ ⎠ และ 1 det(1 ) 0, 0A x− − = > จง หาคาของ 11 det[ (3 2 )] 2 t A I A− − [PAT1 ธันวาคม ป 2554]
  • 98.
    98 98. กําหนดให a,b,c,d,xและ y เปนจํานวนจริง และ 1 , , 1 x a b A B y c d ⎛ ⎞ ⎛ ⎞ = =⎜ ⎟ ⎜ ⎟ −⎝ ⎠ ⎝ ⎠ 1 0 0 1 C −⎛ ⎞ = ⎜ ⎟ ⎝ ⎠ และ 1 0 0 1 I ⎛ ⎞ = ⎜ ⎟ ⎝ ⎠ ถา 2 A I= และ 2AB C= แลวคาของ 1 det( )B− เทากับขอใดตอไปนี้ [PAT1 มีนาคม ป 2555] 1. 0.25 2. 0.5 3. 2 4. 4
  • 99.
    99 99. กําหนดให A,Bและ C เปนเมตริกซไมเอกฐาน(nonsingular matrix) มิติ 3x3 และ I เปนเมตริกซเอกลักษณ การคูณมิติ 3x3 ถา a b c A d e f g h i ⎛ ⎞ ⎜ ⎟ = ⎜ ⎟ ⎜ ⎟ ⎝ ⎠ เมื่อ a,b,c,d,e,f,g,h และ i เปนจํานวนจริง และ 3 1 2 ,det( ) 4A I C− = = และ 3 3 3 2 2 2 t g h i B C a b c d e f − − −⎛ ⎞ ⎜ ⎟ = − − −⎜ ⎟ ⎜ ⎟ ⎝ ⎠ แลว det( )B เทากับเทาใด [PAT1 มีนาคม ป 2555]
  • 100.
    100 100. กําหนดให Aเปนเมตริกซที่มีมิติ 3x3 และ det( ) 0A ≠ พิจารณาขอความตอไปนี้ (ก) 3 (det( )) det( ( ))A adj A= (ข) ถา 2 2A A= แลว det( ) 2A = ขอใดตอไปนี้ถูกตอง [PAT1 ตุลาคม ป 2555] 1. (ก) ถูก และ (ข) ถูก 2. (ก) ถูก แต (ข) ผิด 3. (ก) ผิด แต (ข) ถูก 4. (ก) ผิด และ (ข) ผิด
  • 101.
    101 101. กําหนดให A,Bและ C เปนเมตริกซที่มีมิติ 3x3 โดยที่ det 0B ≠ ถา 1 2 3 2 1 1 3 1 0 A − −⎛ ⎞ ⎜ ⎟ = ⎜ ⎟ ⎜ ⎟−⎝ ⎠ และ 1 det( ) 4t B CB− = − แลว det( )t C AC เทากับเทาใด [PAT1 ตุลาคม ป 2555]
  • 102.
    102 102. กําหนดให Aและ B เปนเมตริกซมีมิติ 3x3 โดยที่ det( ) 2A = และ 1 3 2 0 1 0 2 B x y ⎛ ⎞ ⎜ ⎟ = −⎜ ⎟ ⎜ ⎟−⎝ ⎠ เมื่อ x และ y เปนจํานวนจริง ถา 3 2AB A I+ = เมื่อ I เปนเมตริกซเอกลักษณ ที่มีมิติ 3x3 แลว x+y เทากับขอใดตอไปนี้ [PAT1 มีนาคม ป 2556] 1. 0 2. -1 3. -2 4. -2.5
  • 103.
    103 103. ให Sเปนเซตของจํานวนจริง x ทั้งหมด ที่ทําใหเมตริกซ 4 2 7 1 3 2 0 x x −⎛ ⎞ ⎜ ⎟ −⎜ ⎟ ⎜ ⎟ ⎝ ⎠ เปนเมตริกซเอกฐาน และให y เทากับผลบวกของสมาชิกทั้งหมดทั้งหมดในเซต S ถา 1 1 y A y ⎛ ⎞ = ⎜ ⎟ −⎝ ⎠ แลวคา ของ 1 1 det((( ) ) )t t A − − เทากับเทาใด [PAT1 มีนาคม ป 2556]
  • 104.
    104 104. กําหนดให 1 21 0 , 0 1 0 1 A I −⎛ ⎞ ⎛ ⎞ = =⎜ ⎟ ⎜ ⎟ −⎝ ⎠ ⎝ ⎠ และ B เปนเมตริกซใดๆมีมิติ 2x2 ให x เปนจํานวนจริงที่สอดคลอง กับ 2 det( ) 0A xI+ = พิจารณาขอความ ตอไปนี้ (ก) det( ) 0A xI+ = (ข) 2 det( ) det( )t A xI B B+ − = ขอใดตอไปนี้ถูกตอง [PAT1 มีนาคม ป 2557] 1. (ก) ถูก และ (ข) ถูก 2. (ก) ถูก แต (ข) ผิด 3. (ก) ผิด แต (ข) ถูก 4. (ก) ผิด และ (ข) ผิด
  • 105.
    105 105. กําหนดให Aและ B เปนเมตริกซจัตุรัสมิติเทากัน โดยที่ det( ) 0A ≠ และ det( ) 0B ≠ ถา 1 1 det( ) 0A B− − + ≠ และ det( ) 0A B+ ≠ แลว 1 ( )A B − + ตรง กับขอใดตอไปนี้ [PAT1 มีนาคม ป 2557] 1. 1 1 1 1 ( )B A B A− − − − + 2. 1 1 1 1 1 ( )B A B A− − − − − + 3. 1 1 ( )B A B A− − + 4. 1 1 1 ( )B A B A− − − +
  • 106.
    106 106. กําหนดให 1 10 , 4 0 1 a A I b ⎛ ⎞ ⎛ ⎞ = =⎜ ⎟ ⎜ ⎟ ⎝ ⎠ ⎝ ⎠ เมื่อ a และ b เปนจํานวนจริง ที่ 0ab ≠ และเมตริกซ A สอดคลองกับ สมการ 1 2( ) 4A I I A− − = − พิจารณา ขอความตอไปนี้ (ก) 2ab = (ข) 2 1 det(3 ) 324t A A A− = ขอใดตอไปนี้ถูกตอง [PAT1 เมษายน ป 2557] 1. (ก) ถูก และ (ข) ถูก 2. (ก) ถูก แต (ข) ผิด 3. (ก) ผิด แต (ข) ถูก 4. (ก) ผิด และ (ข) ผิด
  • 107.
    107 107. พิจารณาขอความตอไปนี้ (ก) ถา 00 0 0 0 0 a A b c ⎛ ⎞ ⎜ ⎟ = ⎜ ⎟ ⎜ ⎟ ⎝ ⎠ เมื่อ a,b,c เปนจํานวนจริงบวก ที่ 1abc = และ I เปนเมตริกซเอกลักษณ การคูณมิติ 3x3 แลว 2 det( ) 0A A I+ + = (ข) ให 1 2 3 1 2 3 1 2 3 a a a A b b b c c c ⎛ ⎞ ⎜ ⎟ = ⎜ ⎟ ⎜ ⎟ ⎝ ⎠ และ 1 1 1 2 2 2 3 3 3 1 2 3 1 2 3 2 3 2 3 2 3 2 2 2 3 3 3 a b c a b c a b c B b b b c c c + − + − + −⎛ ⎞ ⎜ ⎟ = ⎜ ⎟ ⎜ ⎟ ⎝ ⎠ เมื่อ 1 2 3 1 2 3 1 2 3, , , , , , , ,a a a b b b c c c เปนจํานวนจริง ถา det( ) 3A = แลว det( ) 18B = − ขอใดตอไปนี้ถูกตอง [PAT1 เมษายน ป 2557] 1. (ก) ถูก และ (ข) ถูก 2. (ก) ถูก แต (ข) ผิด 3. (ก) ผิด แต (ข) ถูก 4. (ก) ผิด และ (ข) ผิด