Optimal Trading Strategies
Stochastic Control
Haksun Li
haksun.li@numericalmethod.com
www.numericalmethod.com
Speaker Profile
 Dr. Haksun Li
 CEO, Numerical Method Inc.
 (Ex-)Adjunct Professors, Industry Fellow, Advisor,
Consultant with the National University of Singapore,
Nanyang Technological University, Fudan University,
the Hong Kong University of Science and Technology.
 Quantitative Trader/Analyst, BNPP, UBS
 PhD, Computer Sci, University of Michigan Ann Arbor
 M.S., Financial Mathematics, University of Chicago
 B.S., Mathematics, University of Chicago
2
References
 Optimal Pairs Trading: A Stochastic Control
Approach. Mudchanatongsuk, S., Primbs, J.A., Wong,
W. Dept. of Manage. Sci. & Eng., Stanford Univ.,
Stanford, CA. 2008.
 Optimal Trend Following Trading Rules. Dai, M.,
Zhang, Q., Zhu Q. J. 2011
3
Mean Reversion Trading
4
Stochastic Control
 We model the difference between the log-returns of
two assets as an Ornstein-Uhlenbeck process.
 We compute the optimal position to take as a function
of the deviation from the equilibrium.
 This is done by solving the corresponding the
Hamilton-Jacobi-Bellman equation.
5
Formulation
 Assume a risk free asset 𝑀𝑡, which satisfies
 𝑑𝑀𝑡 = 𝑟𝑀𝑡 𝑑𝑑
 Assume two assets,𝐴 𝑡 and 𝐵𝑡.
 Assume 𝐵𝑡follows a geometric Brownian motion.
 𝑑𝐵𝑡 = 𝜇𝐵𝑡 𝑑𝑑 + 𝜎𝐵𝑡 𝑑𝑧𝑡
 𝑥 𝑡is the spread between the two assets.
 𝑥𝑡 = log 𝐴 𝑡 − log 𝐵𝑡
6
Ornstein-Uhlenbeck Process
 We assume the spread, the basket that we want to
trade, follows a mean-reverting process.
 𝑑𝑥𝑡 = 𝑘 𝜃 − 𝑥𝑡 𝑑𝑑 + 𝜂𝜂𝜔 𝑡
 𝜃 is the long term equilibrium to which the spread
reverts.
 𝑘 is the rate of reversion. It must be positive to ensure
stability around the equilibrium value.
7
Instantaneous Correlation
 Let 𝜌 denote the instantaneous correlation coefficient
between 𝑧 and 𝜔.
 𝐸 𝑑𝜔 𝑡 𝑑𝑧𝑡 = 𝜌𝜌𝜌
8
Univariate Ito’s Lemma
9
 Assume
 𝑑𝑋𝑡 = 𝜇 𝑡 𝑑𝑑 + 𝜎𝑡 𝑑𝐵𝑡
 𝑓 𝑡, 𝑋𝑡 is twice differentiable of two real variables
 We have
 𝑑𝑑 𝑡, 𝑋𝑡 =
𝜕𝜕
𝜕𝜕
+ 𝜇 𝑡
𝜕𝜕
𝜕𝜕
+
𝜎𝑡
2
2
𝜕2 𝑓
𝜕𝑥2 𝑑𝑑 + 𝜎𝑡
𝜕𝜕
𝜕𝜕
𝑑𝐵𝑡
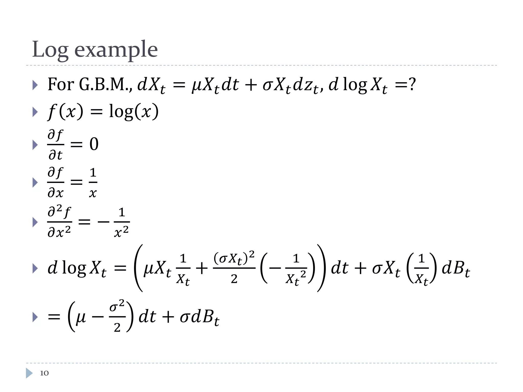
Log example
 For G.B.M., 𝑑𝑋𝑡 = 𝜇𝑋𝑡 𝑑𝑑 + 𝜎𝑋𝑡 𝑑𝑧𝑡, 𝑑 log 𝑋𝑡 =?
 𝑓 𝑥 = log 𝑥

𝜕𝑓
𝜕𝑡
= 0

𝜕𝑓
𝜕𝑥
=
1
𝑥

𝜕2 𝑓
𝜕𝑥2 = −
1
𝑥2
 𝑑 log 𝑋𝑡 = 𝜇𝑋𝑡
1
𝑋𝑡
+
𝜎𝑋𝑡
2
2
−
1
𝑋𝑡
2 𝑑𝑑 + 𝜎𝑋𝑡
1
𝑋𝑡
𝑑𝐵𝑡
 = 𝜇 −
𝜎2
2
𝑑𝑑 + 𝜎𝑑𝐵𝑡
10
Multivariate Ito’s Lemma
11
 Assume
 𝑋𝑡 = 𝑋1𝑡, 𝑋2𝑡, ⋯ , 𝑋 𝑛𝑛 is a vector Ito process
 𝑓 𝑥1𝑡, 𝑥2𝑡, ⋯ , 𝑥 𝑛𝑛 is twice differentiable
 We have
 𝑑𝑑 𝑋1𝑡, 𝑋2𝑡, ⋯ , 𝑋 𝑛𝑛
 = ∑
𝜕
𝜕𝑥 𝑖
𝑛
𝑖=1 𝑓 𝑋1𝑡, 𝑋2𝑡, ⋯ , 𝑋 𝑛𝑛 𝑑𝑋𝑖 𝑡
 +
1
2
∑ ∑
𝜕2
𝜕𝑥 𝑖 𝜕𝑥 𝑗
𝑛
𝑗=1
𝑛
𝑖=1 𝑓 𝑋1𝑡, 𝑋2𝑡, ⋯ , 𝑋 𝑛𝑛 𝑑 𝑋𝑖, 𝑋𝑗 𝑡
Multivariate Example
 log 𝐴 𝑡 = 𝑥 𝑡 + log 𝐵𝑡
 𝐴 𝑡 = exp 𝑥 𝑡 + log 𝐵𝑡

𝜕𝐴 𝑡
𝜕𝑥 𝑡
= exp 𝑥 𝑡 + log 𝐵𝑡 = 𝐴 𝑡

𝜕𝐴 𝑡
𝜕𝐵𝑡
= exp 𝑥 𝑡 + log 𝐵𝑡
1
𝐵𝑡
=
𝐴 𝑡
𝐵𝑡

𝜕2 𝐴 𝑡
𝜕𝑥 𝑡
2 =
𝜕𝐴 𝑡
𝜕𝑥 𝑡
= 𝐴 𝑡

𝜕2 𝐴 𝑡
𝜕𝐵𝑡
2 =
𝜕
𝜕𝐵𝑡
𝐴 𝑡
𝐵𝑡
= 0

𝜕2 𝐴 𝑡
𝜕𝐵𝑡 𝜕𝑥 𝑡
=
𝜕
𝜕𝐵𝑡
𝜕𝐴 𝑡
𝜕𝑥 𝑡
=
𝜕𝐴 𝑡
𝜕𝐵𝑡
=
𝐴 𝑡
𝐵𝑡
12
What is the Dynamic of Asset At?
 𝜕𝐴 𝑡 =
𝜕𝐴 𝑡
𝜕𝜕
𝑑𝑥 𝑡 +
𝜕𝐴 𝑡
𝜕𝐵𝑡
𝑑𝐵𝑡 +
1
2
𝜕2 𝐴 𝑡
𝜕𝑥2 𝑑𝑥 𝑡
2 +
𝜕2 𝐴 𝑡
𝜕𝐵𝑡 𝜕𝑥
𝑑𝑥 𝑡 𝑑𝐵𝑡
 = 𝐴 𝑡 𝑑𝑥 𝑡 +
𝐴 𝑡
𝐵𝑡
𝑑𝐵𝑡 +
1
2
𝐴 𝑡 𝑑𝑥 𝑡
2 +
𝐴 𝑡
𝐵𝑡
𝑑𝑥 𝑡 𝑑𝐵𝑡
 = 𝐴 𝑡 𝑘 𝜃 − 𝑥 𝑡 𝑑𝑑 + 𝜂𝜂𝜔 𝑡 +
𝐴 𝑡
𝐵𝑡
𝜇𝐵𝑡 𝑑𝑑 + 𝜎𝐵𝑡 𝑑𝑧𝑡 +
1
2
𝐴 𝑡 𝜂2 𝑑𝑑 +
𝐴 𝑡
𝐵𝑡
𝜌𝜂𝜂𝐵𝑡 𝑑𝑑
13
Dynamic of Asset At
 𝜕𝐴 𝑡 = 𝐴 𝑡 𝑘 𝜃 − 𝑥 𝑡 𝑑𝑑 + 𝜂𝜂𝜔 𝑡 + 𝐴 𝑡 𝜇𝑑𝑑 + 𝜎𝑑𝑧𝑡 +
1
2
𝐴 𝑡 𝜂2
𝑑𝑑 + 𝐴 𝑡 𝜌𝜂𝜂𝑑𝑑
 = 𝐴 𝑡 𝑘 𝜃 − 𝑥 𝑡 + 𝜇 +
1
2
𝜂2
+ 𝜌𝜌𝜌 𝑑𝑑 + 𝐴 𝑡 𝜂𝜂𝜔 𝑡 +
𝐴 𝑡 𝜎𝑑𝑧𝑡
 = 𝐴 𝑡 𝜇 + 𝑘 𝜃 − 𝑥 𝑡 +
1
2
𝜂2
+ 𝜌𝜌𝜌 𝑑𝑑 + 𝜎𝑑𝑧𝑡 + 𝜂𝜂𝜔 𝑡
14
Notations
 𝑉𝑡: the value of a self-financing pairs trading portfolio
 ℎ 𝑡:the portfolio weight for stock A
 ℎ 𝑡
� = −ℎ 𝑡:the portfolio weight for stock B
15
Self-Financing Portfolio Dynamic

𝑑𝑉𝑡
𝑉𝑡
= ℎ 𝑡
𝑑𝐴 𝑡
𝐴 𝑡
+ ℎ 𝑡
� 𝑑𝐵𝑡
𝐵𝑡
+
𝑑𝑀𝑡
𝑀𝑡
 =
ℎ 𝑡 𝜇 + 𝑘 𝜃 − 𝑥 𝑡 +
1
2
𝜂2
+ 𝜌𝜌𝜌 𝑑𝑑 + 𝜎𝑑𝑧𝑡 + 𝜂𝜂𝜔 𝑡 −
ℎ 𝑡 𝜇𝑑𝑑 + 𝜎𝑑𝑧𝑡 + 𝑟𝑟𝑟
 = ℎ 𝑡 𝑘 𝜃 − 𝑥 𝑡 +
1
2
𝜂2 + 𝜌𝜌𝜌 𝑑𝑑 + 𝜂𝜂𝜔 𝑡 + 𝑟𝑟𝑟
 = ℎ 𝑡 𝑘 𝜃 − 𝑥 𝑡 +
1
2
𝜂2
+ 𝜌𝜌𝜌 + 𝑟 𝑑𝑑 + ℎ 𝑡 𝜂𝜂𝜔 𝑡
16
Power Utility
 Investor preference:
 𝑈 𝑥 = 𝑥 𝛾
 𝑥 ≥ 0
 0 < 𝛾 < 1
17
Problem Formulation
 max
ℎ 𝑡
𝐸 𝑉𝑇
𝛾
, s.t.,
 𝑉 0 = 𝑣0, x 0 = 𝑥0
 𝑑𝑥𝑡 = 𝑘 𝜃 − 𝑥𝑡 𝑑𝑑 + 𝜂𝜂𝜔 𝑡
 𝑑𝑉𝑡 = ℎ 𝑡 𝑑𝑥 𝑡 = ℎ 𝑡 𝑘 𝜃 − 𝑥 𝑡 𝑑𝑑 + ℎ 𝑡 𝜂𝜂𝜔 𝑡
 Note that we simplify GBM to BM of 𝑉𝑡, and remove
some constants.
18
Dynamic Programming
19
 Consider a stage problem to minimize (or maximize)
the accumulated costs over a system path.
s0
s11
s12
time
t = 0 t = 1
S21
S22
s23
t = 2
3
2
3
5
Cost = 𝑐3 + ∑ 𝑐𝑡
2
𝑡=0
s3
s12
5
4
3
1
5
Dynamic Programming Formulation
 State change: 𝑥 𝑘+1 = 𝑓𝑘 𝑥 𝑘, 𝑢 𝑘, 𝜔 𝑘
 𝑘: time
 𝑥 𝑘: state
 𝑢 𝑘: control decision selected at time 𝑘
 𝜔 𝑘: a random noise
 Cost: 𝑔 𝑁 𝑥 𝑁 + ∑ 𝑔 𝑘 𝑥 𝑘, 𝑢 𝑘, 𝜔 𝑘
𝑁−1
𝑘=0
 Objective: minimize (maximize) the expected cost.
 We need to take expectation to account for the noise, 𝜔 𝑘.
20
Principle of Optimality
 Let 𝜋∗
= 𝜇0
∗, 𝜇1
∗, ⋯ , 𝜇 𝑁−1
∗ be an optimal policy for
the basic problem, and assume that when using 𝜋∗
, a
give state 𝑥𝑖 occurs at time 𝑖 with positive probability.
Consider the sub-problem whereby we are at 𝑥𝑖 at time
𝑖 and wish to minimize the “cost-to-go” from time 𝑖 to
time 𝑁.
 𝐸 𝑔 𝑁 𝑥 𝑁 + ∑ 𝑔 𝑘 𝑥 𝑘, 𝑢 𝑘, 𝜔 𝑘
𝑁−1
𝑘=𝑖
 Then the truncated policy 𝜇𝑖
∗, 𝜇𝑖+1
∗, ⋯ , 𝜇 𝑁−1
∗ is
optimal for this sub-problem.
21
Dynamic Programming Algorithm
 For every initial state 𝑥0, the optimal cost 𝐽∗
𝑥 𝑘 of the
basic problem is equal to 𝐽0 𝑥0 , given by the last step
of the following algorithm, which proceeds backward
in time from period 𝑁 − 1 to period 0:
 𝐽 𝑁 𝑥 𝑁 = 𝑔 𝑁 𝑥 𝑁
 𝐽 𝑘 𝑥 𝑘 = min
𝑢 𝑘
𝐸 𝑔 𝑘 𝑥 𝑘, 𝑢 𝑘, 𝜔 𝑘 + 𝐽 𝑘+1 𝑓𝑘 𝑥 𝑘, 𝑢 𝑘, 𝜔 𝑘
22
Value function
 Terminal condition:
 𝐺 𝑇, 𝑉, 𝑥 = 𝑉 𝛾
 DP equation:
 𝐺 𝑡, 𝑉𝑡, 𝑥𝑡 = m𝑎𝑎
ℎ 𝑡
𝐸 𝐺 𝑡 + 𝑑𝑑, 𝑉𝑡+𝑑𝑑, 𝑥𝑡+𝑑𝑑
 𝐺 𝑡, 𝑉𝑡, 𝑥𝑡 = m𝑎𝑎
ℎ 𝑡
𝐸 𝐺 𝑡, 𝑉𝑡, 𝑥𝑡 + Δ𝐺
 By Ito’s lemma:
 Δ𝐺 =
𝐺𝑡 𝑑𝑑 + 𝐺 𝑉 𝑑𝑑 + 𝐺 𝑥 𝑑𝑥 +
1
2
𝐺 𝑉𝑉 𝑑𝑑 2 +
1
2
𝐺 𝑥𝑥 𝑑𝑥 2 +
𝐺 𝑉𝑥 𝑑𝑉 𝑑𝑑
23
Hamilton-Jacobi-Bellman Equation
 Cancel 𝐺 𝑡, 𝑉𝑡, 𝑥 𝑡 on both LHS and RHS.
 Divide by time discretization, Δ𝑡.
 Take limit as Δ𝑡 → 0, hence Ito.
 0 = m𝑎𝑎
ℎ 𝑡
𝐸 Δ𝐺
 m𝑎𝑎
ℎ 𝑡
𝐸 𝐺𝑡 𝑑𝑑 + 𝐺 𝑉 𝑑𝑑 + 𝐺 𝑥 𝑑𝑑 +
1
2
𝐺 𝑉𝑉 𝑑𝑑 2 +
1
2
𝐺 𝑥𝑥 𝑑𝑑 2 + 𝐺 𝑉𝑉 𝑑𝑑 𝑑𝑑 =
0
 The optimal portfolio position is ℎ 𝑡
∗
.
24
HJB for Our Portfolio Value
 m𝑎𝑎
ℎ 𝑡
𝐸 𝐺𝑡 𝑑𝑑 + 𝐺 𝑉 𝑑𝑑 + 𝐺 𝑥 𝑑𝑑 +
1
2
𝐺 𝑉𝑉 𝑑𝑑 2 +
1
2
𝐺 𝑥𝑥 𝑑𝑑 2 + 𝐺 𝑉𝑉 𝑑𝑑 𝑑𝑑 =
0
 m𝑎𝑎
ℎ 𝑡
𝐸
𝐺𝑡 𝑑𝑑 + 𝐺 𝑉 ℎ 𝑡 𝑘 𝜃 − 𝑥 𝑡 𝑑𝑑 + ℎ 𝑡 𝜂𝜂𝜔 𝑡 + 𝐺 𝑥 𝑑𝑑 +
1
2
𝐺 𝑉𝑉 ℎ 𝑡 𝑘 𝜃 − 𝑥 𝑡 𝑑𝑑 + ℎ 𝑡 𝜂𝜂𝜔 𝑡
2
+
1
2
𝐺 𝑥𝑥 𝑑𝑑 2
+
𝐺 𝑉𝑉 ℎ 𝑡 𝑘 𝜃 − 𝑥 𝑡 𝑑𝑑 + ℎ 𝑡 𝜂𝜂𝜔 𝑡 𝑑𝑑
= 0
 m𝑎𝑎
ℎ 𝑡
𝐸
𝐺𝑡 𝑑𝑑 + 𝐺 𝑉 ℎ 𝑡 𝑘 𝜃 − 𝑥 𝑡 𝑑𝑑 + ℎ 𝑡 𝜂𝜂𝜔 𝑡 +
𝐺 𝑥 𝑘 𝜃 − 𝑥 𝑡 𝑑𝑑 + 𝜂𝜂𝜔 𝑡 +
1
2
𝐺 𝑉𝑉 ℎ 𝑡 𝑘 𝜃 − 𝑥 𝑡 𝑑𝑑 + ℎ 𝑡 𝜂𝜂𝜔 𝑡
2
+
1
2
𝐺 𝑥𝑥 𝑘 𝜃 − 𝑥 𝑡 𝑑𝑑 + 𝜂𝜂𝜔 𝑡
2
+
𝐺 𝑉𝑉 ℎ 𝑡 𝑘 𝜃 − 𝑥 𝑡 𝑑𝑑 + ℎ 𝑡 𝜂𝜂𝜔 𝑡 × 𝑘 𝜃 − 𝑥 𝑡 𝑑𝑑 + 𝜂𝜂𝜔 𝑡
= 0
25
Taking Expectation
 All 𝜂𝜂𝜔 𝑡 disapper because of the expectation operator.
 Only the deterministic 𝑑𝑑 terms remain.
 Divide LHR and RHS by 𝑑𝑑.
 m𝑎𝑎
ℎ 𝑡
𝐺𝑡 + 𝐺 𝑉 ℎ 𝑡 𝑘 𝜃 − 𝑥 𝑡 +
𝐺 𝑥 𝑘 𝜃 − 𝑥 𝑡 +
1
2
𝐺 𝑉𝑉 ℎ 𝑡 𝜂 2
+
1
2
𝐺 𝑥𝑥 𝜂2
+𝐺 𝑉𝑉 ℎ 𝑡 𝜂2
= 0
26
Dynamic Programming Solution
 Solve for the cost-to-go function, 𝐺𝑡.
 Assume that the optimal policy is ℎ 𝑡
∗
.
27
First Order Condition
 Differentiate w.r.t. ℎ 𝑡.
 𝐺 𝑉 𝑘 𝜃 − 𝑥 𝑡 + ℎ 𝑡
∗
𝐺 𝑉𝑉 𝜂2
+ 𝐺 𝑉𝑉 𝜂2
= 0
 ℎ 𝑡
∗
= −
𝐺 𝑉 𝑘 𝜃−𝑥 𝑡 +𝐺 𝑉𝑉 𝜂2
𝐺 𝑉𝑉 𝜂2
 In order to determine the optimal position, ℎ 𝑡
∗
, we
need to solve for 𝐺 to get 𝐺 𝑉, 𝐺 𝑉𝑉, and 𝐺 𝑉𝑉.
28
The Partial Differential Equation (1)

𝐺𝑡 −
𝐺 𝑉
𝐺 𝑉 𝑘 𝜃−𝑥 𝑡 +𝐺 𝑉𝑉 𝜂2
𝐺 𝑉𝑉 𝜂2 𝑘 𝜃 − 𝑥 𝑡 +
𝐺 𝑥 𝑘 𝜃 − 𝑥 𝑡 +
1
2
𝐺 𝑉𝑉 𝜂2 𝐺 𝑉 𝑘 𝜃−𝑥 𝑡 +𝐺 𝑉𝑉 𝜂2
𝐺 𝑉𝑉 𝜂2
2
+
1
2
𝐺 𝑥𝑥 𝜂2
−
𝐺 𝑉𝑉 𝜂2 𝐺 𝑉 𝑘 𝜃−𝑥 𝑡 +𝐺 𝑉𝑉 𝜂2
𝐺 𝑉𝑉 𝜂2
= 0
29
The Partial Differential Equation (2)

𝐺𝑡 −
𝐺 𝑉 𝑘 𝜃 − 𝑥 𝑡
𝐺 𝑉 𝑘 𝜃−𝑥 𝑡 +𝐺 𝑉𝑉 𝜂2
𝐺 𝑉𝑉 𝜂2 +
𝐺 𝑥 𝑘 𝜃 − 𝑥 𝑡 +
1
2
𝐺 𝑉 𝑘 𝜃−𝑥 𝑡 +𝐺 𝑉𝑉 𝜂2 2
𝐺 𝑉𝑉 𝜂2 +
1
2
𝐺 𝑥𝑥 𝜂2
−
𝐺 𝑉𝑉
𝐺 𝑉 𝑘 𝜃−𝑥 𝑡 +𝐺 𝑉𝑉 𝜂2
𝐺 𝑉𝑉
= 0
30
Dis-equilibrium
 Let 𝑏 = 𝑘 𝜃 − 𝑥 𝑡 . Rewrite:
 𝐺𝑡 − 𝐺 𝑉 𝑏
𝐺 𝑉 𝑏+𝐺 𝑉𝑉 𝜂2
𝐺 𝑉𝑉 𝜂2 + 𝐺 𝑥 𝑏 +
1
2
𝐺 𝑉 𝑏+𝐺 𝑉𝑉 𝜂2 2
𝐺 𝑉𝑉 𝜂2 +
1
2
𝐺 𝑥𝑥 𝜂2
−
𝐺 𝑉𝑉
𝐺 𝑉 𝑏+𝐺 𝑉𝑉 𝜂2
𝐺 𝑉𝑉
= 0
 Multiply by 𝐺 𝑉𝑉 𝜂2
.
 𝐺𝑡 𝐺 𝑉𝑉 𝜂2 − 𝐺 𝑉 𝑏 𝐺 𝑉 𝑏 + 𝐺 𝑉𝑉 𝜂2 + 𝐺 𝑥 𝑏𝐺 𝑉𝑉 𝜂2 +
1
2
𝐺 𝑉 𝑏 + 𝐺 𝑉𝑉 𝜂2 2
+
1
2
𝐺 𝑥𝑥 𝐺 𝑉𝑉 𝜂4
−
𝐺 𝑉𝑉 𝜂2 𝐺 𝑉 𝑏 + 𝐺 𝑉𝑉 𝜂2 = 0
31
Simplification
 Note that
 −𝐺 𝑉 𝑏 𝐺 𝑉 𝑏 + 𝐺 𝑉𝑉 𝜂2 +
1
2
𝐺 𝑉 𝑏 + 𝐺 𝑉𝑉 𝜂2 2 −
𝐺 𝑉𝑉 𝜂2
𝐺 𝑉 𝑏 + 𝐺 𝑉𝑉 𝜂2
= −
1
2
𝐺 𝑉 𝑏 + 𝐺 𝑉𝑉 𝜂2 2
 The PDE becomes
 𝐺𝑡 𝐺 𝑉𝑉 𝜂2 + 𝐺 𝑥 𝑏𝐺 𝑉𝑉 𝜂2 +
1
2
𝐺 𝑥𝑥 𝐺 𝑉𝑉 𝜂4 −
1
2
𝐺 𝑉 𝑏 + 𝐺 𝑉𝑉 𝜂2 2 = 0
32
The Partial Differential Equation (3)
 𝐺𝑡 𝐺 𝑉𝑉 𝜂2 + 𝐺 𝑥 𝑏𝐺 𝑉𝑉 𝜂2 +
1
2
𝐺 𝑥𝑥 𝐺 𝑉𝑉 𝜂4 −
1
2
𝐺 𝑉 𝑏 + 𝐺 𝑉𝑉 𝜂2 2
= 0
33
Ansatz for G
 𝐺 𝑡, 𝑉, 𝑥 = 𝑓 𝑡, 𝑥 𝑉 𝛾
 𝐺 𝑇, 𝑉, 𝑥 = 𝑉 𝛾
 𝑓 𝑇, 𝑥 = 1
 𝐺𝑡 = 𝑉 𝛾
𝑓𝑡
 𝐺 𝑉 = 𝛾𝑉 𝛾−1 𝑓
 𝐺 𝑉𝑉 = 𝛾 𝛾 − 1 𝑉 𝛾−2 𝑓
 𝐺 𝑥 = 𝑉 𝛾 𝑓𝑥
 𝐺 𝑉𝑥 = 𝛾𝑉 𝛾−1
𝑓𝑥
 𝐺 𝑥𝑥 = 𝑉 𝛾
𝑓𝑥𝑥
34
Another PDE (1)
 𝑉 𝛾
𝑓𝑡 𝛾 𝛾 − 1 𝑉 𝛾−2
𝑓𝜂2
+ 𝑉 𝛾
𝑓𝑥 𝑏𝛾 𝛾 − 1 𝑉 𝛾−2
𝑓𝜂2
+
1
2
𝑉 𝛾
𝑓𝑥𝑥 𝛾 𝛾 − 1 𝑉 𝛾−2
𝑓𝜂4
−
1
2
𝛾𝑉 𝛾−1
𝑓𝑏 + 𝛾𝑉 𝛾−1
𝑓𝑥 𝜂2 2
= 0
 Divide by 𝛾 𝛾 − 1 𝜂2 𝑉2𝛾−2.
 𝑓𝑡 𝑓 + 𝑓𝑥 𝑏𝑓 +
1
2
𝑓𝑥𝑥 𝑓𝜂2
−
𝛾
2 𝛾−1
𝑓
𝑏
𝜂
+ 𝑓𝑥 𝜂
2
= 0
35
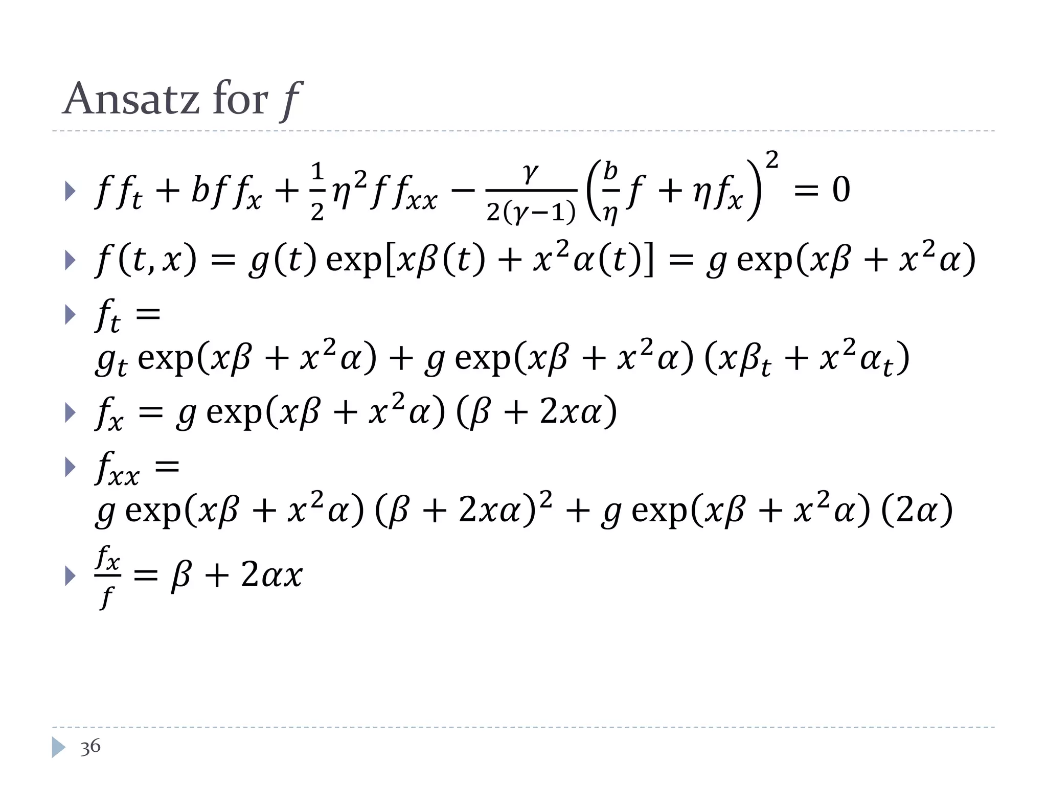
Ansatz for 𝑓
 𝑓𝑓𝑡 + 𝑏𝑏𝑓𝑥 +
1
2
𝜂2
𝑓𝑓𝑥𝑥 −
𝛾
2 𝛾−1
𝑏
𝜂
𝑓 + 𝜂𝑓𝑥
2
= 0
 𝑓 𝑡, 𝑥 = 𝑔 𝑡 exp 𝑥𝑥 𝑡 + 𝑥2 𝛼 𝑡 = 𝑔 exp 𝑥𝑥 + 𝑥2 𝛼
 𝑓𝑡 =
𝑔𝑡 exp 𝑥𝑥 + 𝑥2
𝛼 + 𝑔 exp 𝑥𝑥 + 𝑥2
𝛼 𝑥𝛽𝑡 + 𝑥2
𝛼 𝑡
 𝑓𝑥 = 𝑔 exp 𝑥𝑥 + 𝑥2
𝛼 𝛽 + 2𝑥𝑥
 𝑓𝑥𝑥 =
𝑔 exp 𝑥𝑥 + 𝑥2
𝛼 𝛽 + 2𝑥𝑥 2
+ 𝑔 exp 𝑥𝑥 + 𝑥2
𝛼 2𝛼

𝑓𝑥
𝑓
= 𝛽 + 2𝛼𝛼
36
Boundary Conditions
 𝑓 𝑇, 𝑥 = 𝑔 𝑇 exp 𝑥𝑥 𝑇 + 𝑥2 𝛼 𝑇 = 1
 𝑔 𝑇 = 1
 𝛼 𝑇 = 0
 𝛽 𝑇 = 0
37
Yet Another PDE (1)
 𝑔 exp 𝑥𝑥 + 𝑥2 𝛼 𝑔𝑡 exp 𝑥𝑥 + 𝑥2 𝛼 + 𝑔 exp 𝑥𝑥 + 𝑥2 𝛼 𝑥𝛽𝑡 + 𝑥2 𝛼 𝑡 +
𝑏𝑏 exp 𝑥𝑥 + 𝑥2
𝛼 𝑔 exp 𝑥𝑥 + 𝑥2
𝛼 𝛽 + 2𝑥𝑥 +
1
2
𝜂2 𝑔 exp 𝑥𝑥 + 𝑥2 𝛼 𝑔 exp 𝑥𝑥 + 𝑥2 𝛼 𝛽 + 2𝑥𝑥 2 + 𝑔 exp 𝑥𝑥 + 𝑥2 𝛼 2𝛼 −
𝛾
2 𝛾−1
𝑏
𝜂
𝑔 exp 𝑥𝑥 + 𝑥2 𝛼 + 𝜂𝜂 exp 𝑥𝑥 + 𝑥2 𝛼 𝛽 + 2𝑥𝑥
2
= 0
 Divide by g exp 𝑥𝑥 + 𝑥2
𝛼 exp 𝑥𝑥 + 𝑥2
𝛼 .
 𝑔𝑡 + 𝑔 𝑥𝛽𝑡 + 𝑥2
𝛼 𝑡 + 𝑏𝑏 𝛽 + 2𝑥𝑥 +
1
2
𝜂2
𝑔 𝛽 + 2𝑥𝑥 2
+ 𝑔 2𝛼 −
𝛾
2 𝛾−1
𝑔
𝑏
𝜂
+ 𝜂 𝛽 + 2𝑥𝑥
2
= 0
 𝑔𝑡 + 𝑔 𝑥𝛽𝑡 + 𝑥2
𝛼 𝑡 + 𝑏𝑏 𝛽 + 2𝑥𝑥 +
1
2
𝜂2
𝑔 𝛽 + 2𝑥𝑥 2
+ 𝜂2
𝑔𝑔 −
𝛾
2 𝛾−1
𝑔
𝑏
𝜂
+ 𝜂 𝛽 + 2𝑥𝑥
2
= 0
38
Yet Another PDE (2)
 𝜆 =
𝛾
2 𝛾−1
 𝑔𝑡 + 𝑔 𝑥𝛽𝑡 + 𝑥2 𝛼 𝑡 + 𝑏𝑏 𝛽 + 2𝑥𝑥 +
1
2
𝜂2 𝑔 𝛽 + 2𝑥𝑥 2 + 𝜂2 𝑔𝑔 − 𝜆𝑔
𝑏
𝜂
+ 𝜂 𝛽 + 2𝑥𝑥
2
= 0
39
Expansion in 𝑥
 𝑔𝑡 + 𝑔𝑔𝛽𝑡 + 𝑔𝑥2
𝛼 𝑡 + 𝑏𝑏𝛽 + 2𝑥𝑥𝑏𝑏 +
1
2
𝜂2
𝑔 𝛽2
+ 4𝑥2
𝛼2
+ 4𝑥𝑥𝑥 + 𝜂2
𝑔𝑔 −
𝜆𝑔
𝑏2
𝜂2 + 𝜂2
𝛽2
+ 4𝜂2
𝑥2
𝛼2
+ 2𝑏𝑏 + 4𝑏𝑏𝑏 + 4𝜂2
𝑥𝑥𝑥 = 0
 𝑔𝑡 + 𝑔𝑔𝛽𝑡 + 𝑔𝑥2
𝛼 𝑡 + 𝑘 𝜃 − 𝑥 𝑔𝛽 + 2𝑥𝑥𝑘 𝜃 − 𝑥 𝑔 +
1
2
𝜂2 𝑔 𝛽2 + 4𝑥2 𝛼2 + 4𝑥𝑥𝑥 + 𝜂2 𝑔𝑔 −
𝜆𝑔
𝑘2 𝜃−𝑥 2
𝜂2 + 𝜂2
𝛽2
+ 4𝜂2
𝑥2
𝛼2
+ 2𝑘 𝜃 − 𝑥 𝛽 + 4𝑘 𝜃 − 𝑥 𝑥𝑥 + 4𝜂2
𝑥𝑥𝑥 = 0
 𝑔𝑡 + 𝑔𝑔𝛽𝑡 + 𝑔𝑥2
𝛼 𝑡 + 𝑘𝑘𝛽𝛽 − 𝑘𝑘𝛽𝑥 + 2𝑥𝑥𝑘𝑘𝜃 − 2𝛼𝑘𝑘𝑥2
+
1
2
𝜂2
𝑔𝛽2
+
2𝜂2
𝑔𝑥2
𝛼2
+ 2𝜂2
𝑔𝑔𝑔𝑔 + 𝜂2
𝑔𝑔 −
𝜆𝑔
𝜂2 𝑘2
𝜃2
+ 2
𝜆𝑔
𝜂2 𝑘2
𝜃𝑥 −
𝜆𝑔
𝜂2 𝑘2
𝑥2
− 𝜆𝑔𝜂2
𝛽2
−
4𝜆𝑔𝜂2
𝑥2
𝛼2
− 2𝜆𝑔𝑔𝛽𝛽 + 2𝜆𝑔𝑔𝛽𝑥 − 4𝜆𝑔𝑔𝜃𝜃𝜃 + 4𝜆𝑔𝑔𝑥2
𝛼 − 4𝜆𝑔𝜂2
𝑥𝑥𝑥 = 0
40
Grouping in 𝑥
 𝑔𝑡 + 𝑘𝑘𝛽𝛽 +
1
2
𝜂2
𝑔𝛽2
+ 𝜂2
𝑔𝑔 −
𝜆𝑔
𝜂2 𝑘2
𝜃2
− 𝜆𝑔𝜂2
𝛽2
− 2𝜆𝑔𝑔𝛽𝛽 +
𝑔𝛽𝑡 − 𝑘𝑘𝛽 + 2𝛼𝑘𝑘𝜃 + 2𝜂2
𝑔𝑔𝑔 + 2
𝜆𝑔
𝜂2 𝑘2
𝜃 + 2𝜆𝑔𝑔𝛽 − 4𝜆𝑔𝑔𝜃𝜃 − 4𝜆𝑔𝜂2
𝛼𝛼 𝑥 +
𝑔𝛼 𝑡 − 2𝛼𝑘𝑘 + 2𝜂2
𝑔𝛼2
−
𝜆𝑔
𝜂2 𝑘2
− 4𝜆𝑔𝜂2
𝛼2
+ 4𝜆𝑔𝑔𝛼 𝑥2
= 0
41
The Three PDE’s (1)
 𝑔𝛼 𝑡 − 2𝛼𝑘𝑘 + 2𝜂2
𝑔𝛼2
−
𝜆𝑔
𝜂2 𝑘2
− 4𝜆𝑔𝜂2
𝛼2
+ 4𝜆𝑔𝑔𝛼 =
0
 𝑔𝛽𝑡 − 𝑘𝑘𝛽 + 2𝛼𝑘𝑘𝜃 + 2𝜂2 𝑔𝑔𝑔 + 2
𝜆𝑔
𝜂2 𝑘2 𝜃 + 2𝜆𝑔𝑔𝛽 −
4𝜆𝑔𝑔𝜃𝜃 − 4𝜆𝑔𝜂2
𝛼𝛼 = 0
 𝑔𝑡 + 𝑘𝑘𝛽𝛽 +
1
2
𝜂2
𝑔𝛽2
+ 𝜂2
𝑔𝑔 −
𝜆𝑔
𝜂2 𝑘2
𝜃2
− 𝜆𝑔𝜂2
𝛽2
−
2𝜆𝑔𝑔𝛽𝛽 = 0
42
PDE in 𝛼
 𝛼 𝑡 + 2𝜂2
− 4𝜆𝜆2
𝛼2
+ 4𝜆𝑘 − 2𝑘 𝛼 −
𝜆
𝜂2 𝑘2
= 0
 𝛼 𝑡 =
𝜆
𝜂2 𝑘2
+ 2𝑘 1 − 2𝜆 𝛼 + 2𝜂2
2𝜆 − 1 𝛼2
43
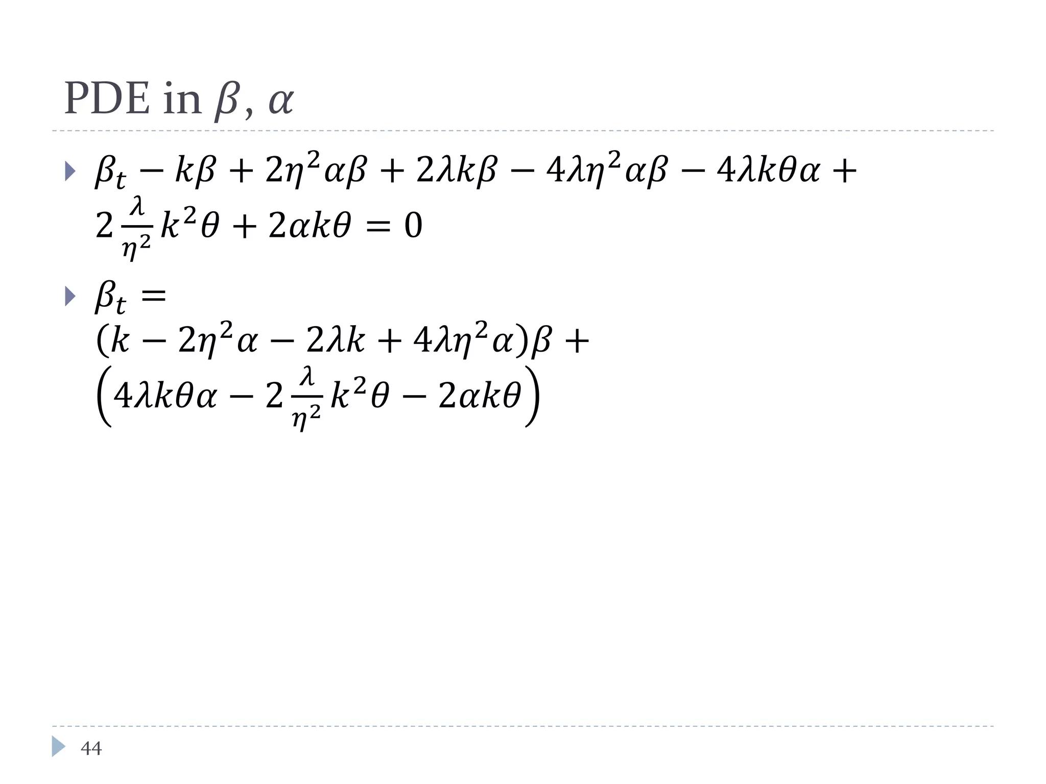
PDE in 𝛽, 𝛼
 𝛽𝑡 − 𝑘𝛽 + 2𝜂2
𝛼𝛼 + 2𝜆𝑘𝛽 − 4𝜆𝜆2
𝛼𝛼 − 4𝜆𝑘𝜃𝜃 +
2
𝜆
𝜂2 𝑘2
𝜃 + 2𝛼𝑘𝜃 = 0
 𝛽𝑡 =
𝑘 − 2𝜂2 𝛼 − 2𝜆𝑘 + 4𝜆𝜆2 𝛼 𝛽 +
4𝜆𝑘𝜃𝜃 − 2
𝜆
𝜂2 𝑘2 𝜃 − 2𝛼𝑘𝜃
44
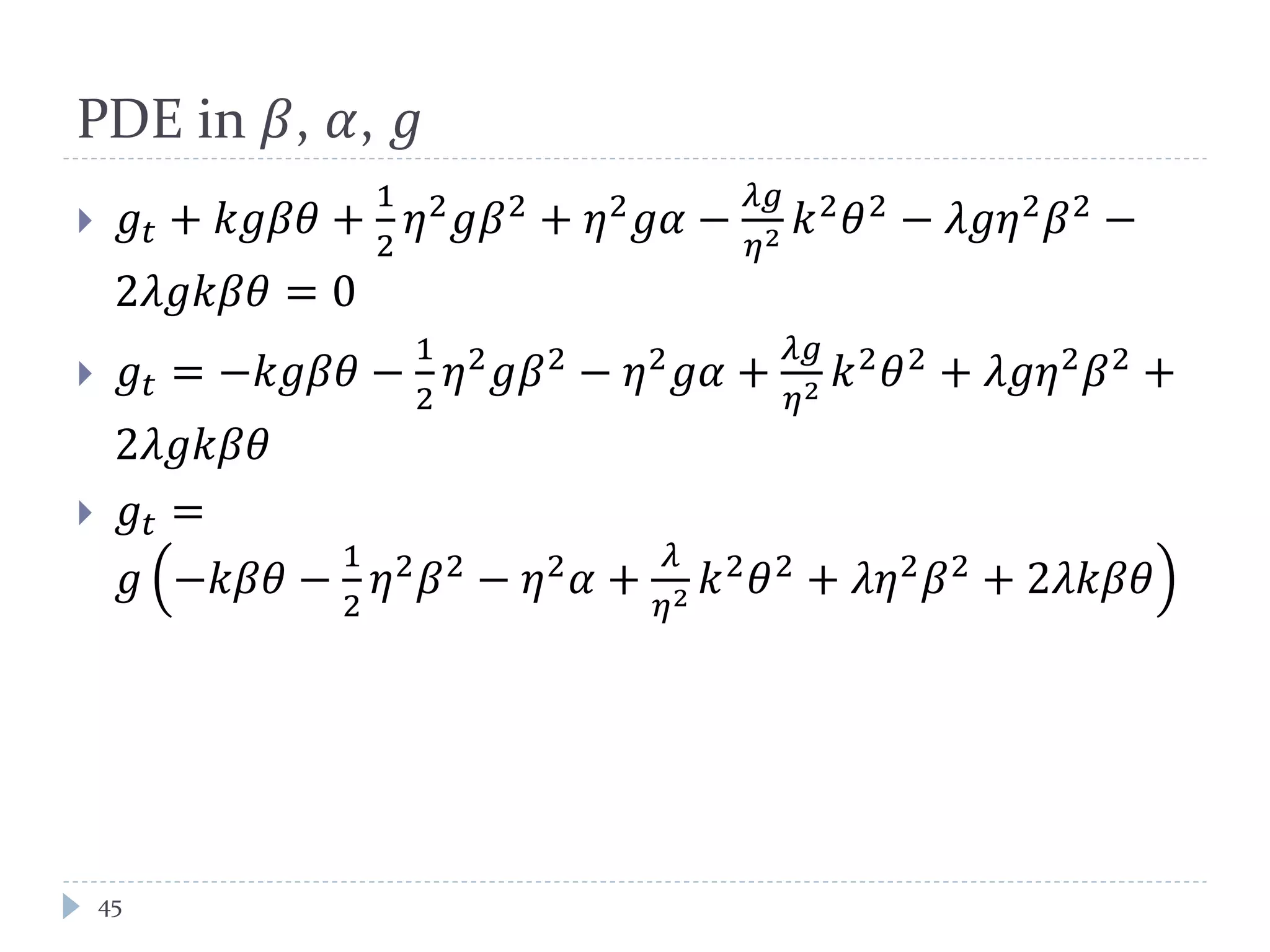
PDE in 𝛽, 𝛼, 𝑔
 𝑔𝑡 + 𝑘𝑘𝛽𝛽 +
1
2
𝜂2
𝑔𝛽2
+ 𝜂2
𝑔𝑔 −
𝜆𝑔
𝜂2 𝑘2
𝜃2
− 𝜆𝑔𝜂2
𝛽2
−
2𝜆𝑔𝑔𝛽𝛽 = 0
 𝑔𝑡 = −𝑘𝑘𝛽𝛽 −
1
2
𝜂2 𝑔𝛽2 − 𝜂2 𝑔𝑔 +
𝜆𝑔
𝜂2 𝑘2 𝜃2 + 𝜆𝑔𝜂2 𝛽2 +
2𝜆𝑔𝑔𝛽𝛽
 𝑔𝑡 =
𝑔 −𝑘𝛽𝛽 −
1
2
𝜂2
𝛽2
− 𝜂2
𝛼 +
𝜆
𝜂2 𝑘2
𝜃2
+ 𝜆𝜆2
𝛽2
+ 2𝜆𝑘𝛽𝛽
45
Riccati Equation
 A Riccati equation is any ordinary differential equation
that is quadratic in the unknown function.
 𝛼 𝑡 =
𝜆
𝜂2 𝑘2
+ 2𝑘 1 − 2𝜆 𝛼 + 2𝜂2
2𝜆 − 1 𝛼2
 𝛼 𝑡 = 𝐴0 + 𝐴1 𝛼 + 𝐴2 𝛼2
46
Solving a Riccati Equation by Integration
 Suppose a particular solution, 𝛼1, can be found.
 𝛼 = 𝛼1 +
1
𝑧
is the general solution, subject to some
boundary condition.
47
Particular Solution
 Either 𝛼1 or 𝛼2 is a particular solution to the ODE.
This can be verified by mere substitution.
 𝛼1,2 =
−𝐴1± 𝐴1
2
−4𝐴2 𝐴0
2𝐴2
48
𝑧 Substitution
 Suppose 𝛼 = 𝛼1 +
1
𝑧
.

1
𝑧
̇
= 𝐴0 + 𝐴1 𝛼1 +
1
𝑧
+ 𝐴2 𝛼1 +
1
𝑧
2
 = 𝐴0 + 𝐴1 𝛼1 + 𝐴1
1
𝑧
+ 𝐴2 𝛼1
2
+ 𝐴2
1
𝑧2 + 2𝐴2
𝛼1
𝑧
 = 𝐴0 + 𝐴1 𝛼1 + 𝐴1
1
𝑧
+ 𝐴2 𝛼1
2
+ 𝐴2
1
𝑧2 + 2𝐴2
𝛼1
𝑧
 = 𝐴0 + 𝐴1 𝛼1 + 𝐴2 𝛼1
2
+
𝐴1+2𝛼1 𝐴2
𝑧
+
𝐴2
𝑧2
goes to 0 by the definition of 𝛼1
49
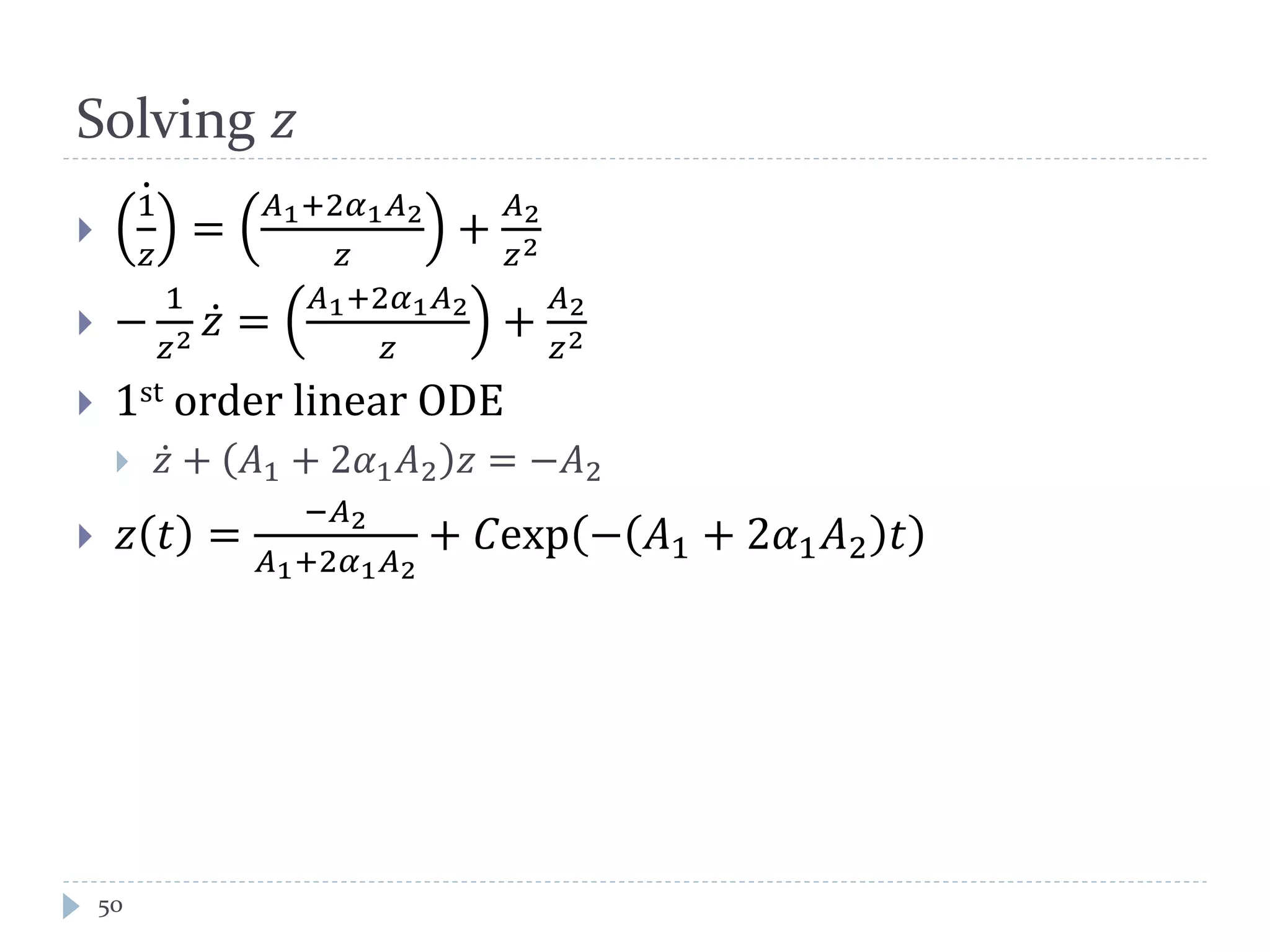
Solving 𝑧

1
𝑧
̇
=
𝐴1+2𝛼1 𝐴2
𝑧
+
𝐴2
𝑧2
 −
1
𝑧2 𝑧̇ =
𝐴1+2𝛼1 𝐴2
𝑧
+
𝐴2
𝑧2
 1st order linear ODE
 𝑧̇ + 𝐴1 + 2𝛼1 𝐴2 𝑧 = −𝐴2
 𝑧 𝑡 =
−𝐴2
𝐴1+2𝛼1 𝐴2
+ 𝐶exp − 𝐴1 + 2𝛼1 𝐴2 𝑡
50
Solving for 𝛼
 𝛼 = 𝛼1 +
1
−𝐴2
𝐴1+2𝛼1 𝐴2
+𝐶exp− 𝐴1+2𝛼1 𝐴2 𝑡
 boundary condition:
 𝛼 𝑇 = 0
 𝛼1 +
1
−𝐴2
𝐴1+2𝛼1 𝐴2
+𝐶exp− 𝐴1+2𝛼1 𝐴2 𝑇
= 0
 𝐶exp − 𝐴1 + 2𝛼1 𝐴2 𝑇 = −
1
𝛼1
+
𝐴2
𝐴1+2𝛼1 𝐴2
 𝐶 = exp 𝐴1 + 2𝛼1 𝐴2 𝑇
𝐴2
𝐴1+2𝛼1 𝐴2
−
1
𝛼1
51
𝛼 Solution (1)
 𝛼 = 𝛼1 +
1
−𝐴2
𝐴1+2𝛼1 𝐴2
+𝐶exp− 𝐴1+2𝛼1 𝐴2 𝑡
 =
𝛼1 +
1
−𝐴2
𝐴1+2𝛼1 𝐴2
+exp 𝐴1+2𝛼1 𝐴2 𝑇
𝐴2
𝐴1+2𝛼1 𝐴2
−
1
𝛼1
exp − 𝐴1+2𝛼1 𝐴2 𝑡
 = 𝛼1 +
1
−𝐴2
𝐴1+2𝛼1 𝐴2
+exp 𝐴1+2𝛼1 𝐴2 𝑇−𝑡
𝐴2
𝐴1+2𝛼1 𝐴2
−
1
𝛼1
 = 𝛼1 +
𝛼1 𝐴1+2𝛼1 𝐴2
−𝛼1 𝐴2+exp 𝐴1+2𝛼1 𝐴2 𝑇−𝑡 𝛼1 𝐴2−𝐴1−2𝛼1 𝐴2
52
𝛼 Solution (2)
 𝛼 = 𝛼1 +
𝛼1 𝐴1+2𝛼1 𝐴2
−𝛼1 𝐴2+exp 𝐴1+2𝛼1 𝐴2 𝑇−𝑡 −𝐴1−𝛼1 𝐴2
 = 𝛼1 1 −
𝐴1+2𝛼1 𝐴2
𝐴2+exp 𝐴1+2𝛼1 𝐴2 𝑇−𝑡
𝐴1
𝛼1
+𝐴2
 = 𝛼1 1 −
𝐴1
𝐴2
+2𝛼1
1+
𝐴1
𝛼1 𝐴2
+1 exp 𝐴1+2𝛼1 𝐴2 𝑇−𝑡
53
𝛼 Solution (3)
 𝛼 𝑡 =
𝑘
2𝜂2 1 − 1 − 𝛾 +
2 1−𝛾
1+ 1−
2
1− 1−𝛾
exp 2𝑘
1−𝛾
𝑇−𝑡
54
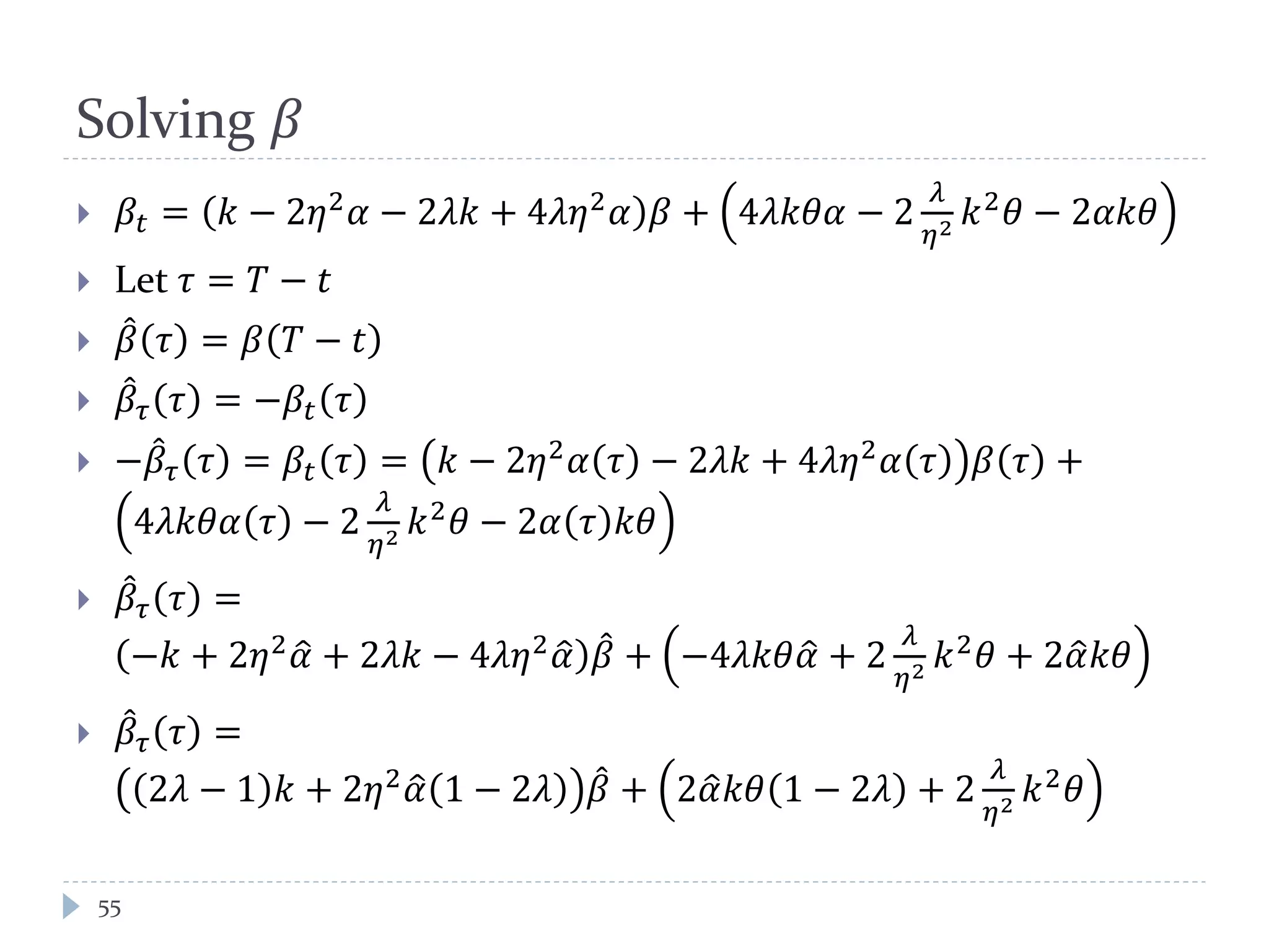
Solving 𝛽
 𝛽𝑡 = 𝑘 − 2𝜂2
𝛼 − 2𝜆𝑘 + 4𝜆𝜆2
𝛼 𝛽 + 4𝜆𝑘𝜃𝜃 − 2
𝜆
𝜂2 𝑘2
𝜃 − 2𝛼𝑘𝜃
 Let 𝜏 = 𝑇 − 𝑡
 𝛽̂ 𝜏 = 𝛽 𝑇 − 𝑡
 𝛽̂ 𝜏 𝜏 = −𝛽𝑡 𝜏
 −𝛽̂ 𝜏 𝜏 = 𝛽𝑡 𝜏 = 𝑘 − 2𝜂2
𝛼 𝜏 − 2𝜆𝑘 + 4𝜆𝜆2
𝛼 𝜏 𝛽 𝜏 +
4𝜆𝑘𝜃𝜃 𝜏 − 2
𝜆
𝜂2 𝑘2 𝜃 − 2𝛼 𝜏 𝑘𝜃
 𝛽̂ 𝜏 𝜏 =
−𝑘 + 2𝜂2
𝛼� + 2𝜆𝑘 − 4𝜆𝜆2
𝛼� 𝛽̂ + −4𝜆𝑘𝜃𝛼� + 2
𝜆
𝜂2 𝑘2
𝜃 + 2𝛼�𝑘𝜃
 𝛽̂ 𝜏 𝜏 =
2𝜆 − 1 𝑘 + 2𝜂2
𝛼� 1 − 2𝜆 𝛽̂ + 2𝛼�𝑘𝜃 1 − 2𝜆 + 2
𝜆
𝜂2 𝑘2
𝜃
55
First Order Non-Constant Coefficients
 𝛽̂ 𝜏 = 𝐵1 𝛽̂ + 𝐵2
 𝐵1 𝜏 = 2𝜆 − 1 𝑘 + 2𝜂2
𝛼� 1 − 2𝜆
 𝐵2 𝜏 = 2𝛼�𝑘𝜃 1 − 2𝜆 + 2
𝜆
𝜂2 𝑘2 𝜃
56
Integrating Factor (1)
 𝛽̂ 𝜏 − 𝐵1 𝛽̂ = 𝐵2
 We try to find an integrating factor 𝜇 = 𝜇 𝜏 s.t.

𝑑
𝑑𝜏
𝜇𝛽̂ = 𝜇
𝑑𝛽�
𝑑𝜏
+ 𝛽̂ 𝑑𝜇
𝑑𝜏
= 𝜇𝐵2
 Divide LHS and RHS by 𝜇𝛽̂.

1
𝛽�
𝑑𝛽�
𝑑𝑑
+
1
𝜇
𝑑𝜇
𝑑𝜏
=
𝐵2
𝛽�
 By comparison,
 −𝐵1 =
1
𝜇
𝑑𝜇
𝑑𝜏
57
Integrating Factor (2)
 ∫ −𝐵1 𝑑𝜏 = ∫
𝑑𝜇
𝜇
= log 𝜇 + 𝐶
 𝜇 = exp ∫ −𝐵1 𝑑𝜏
 𝜇𝛽̂ = ∫ 𝜇𝐵2 𝑑𝜏 + 𝐶
 𝛽̂ =
∫ 𝜇𝐵2 𝑑𝜏+𝐶
𝜇
 𝛽̂ =
∫ exp ∫ −𝐵1 𝑑𝑢 𝐵2 𝑑𝜏+𝐶
exp ∫ −𝐵1 𝑑𝜏
58
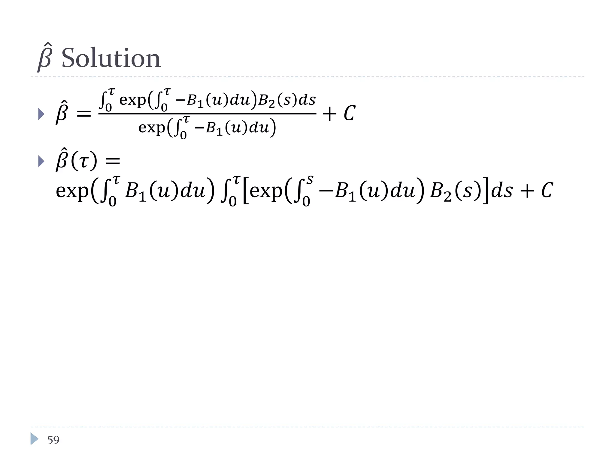
𝛽̂ Solution
 𝛽̂ =
∫ exp ∫ −𝐵1 𝑢 𝑑𝑑
𝜏
0
𝐵2 𝑠 𝑑𝑠
𝜏
0
exp ∫ −𝐵1 𝑢 𝑑𝑢
𝜏
0
+ 𝐶
 𝛽̂ 𝜏 =
exp ∫ 𝐵1 𝑢 𝑑𝑑
𝜏
0 ∫ exp ∫ −𝐵1 𝑢 𝑑𝑑
𝑠
0
𝐵2 𝑠 𝑑𝑑
𝜏
0
+ 𝐶
59
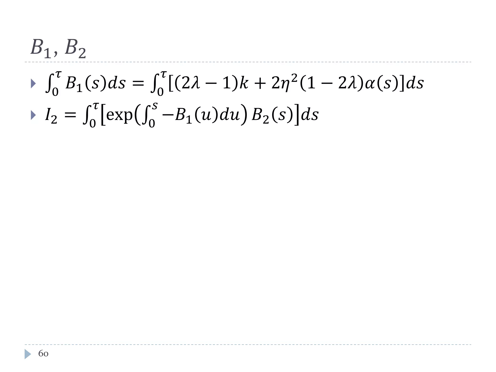
𝐵1, 𝐵2
 ∫ 𝐵1 𝑠 𝑑𝑑
𝜏
0
= ∫ 2𝜆 − 1 𝑘 + 2𝜂2
1 − 2𝜆 𝛼 𝑠 𝑑𝑑
𝜏
0
 𝐼2 = ∫ exp ∫ −𝐵1 𝑢 𝑑𝑑
𝑠
0
𝐵2 𝑠 𝑑𝑑
𝜏
0
60
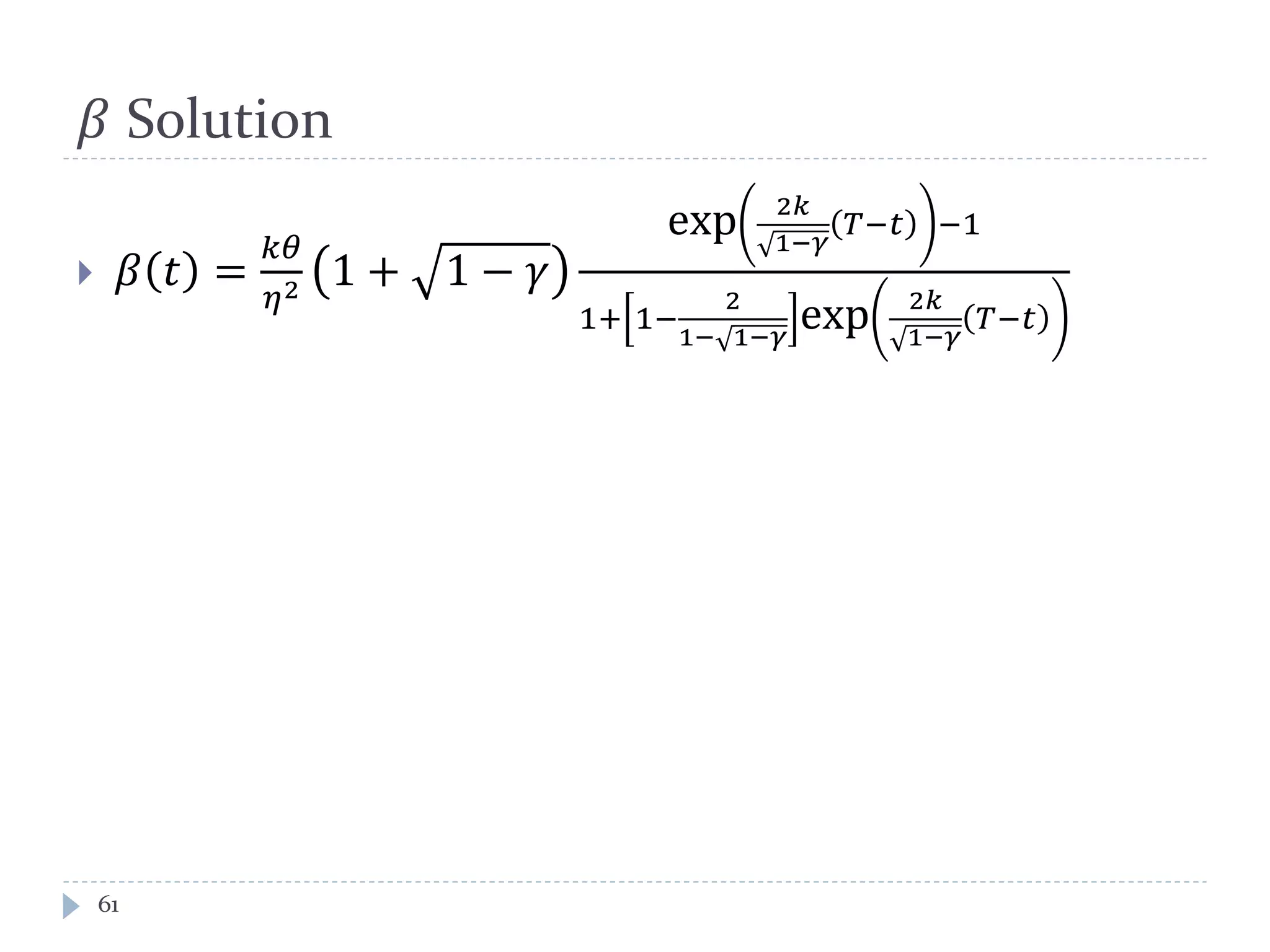
𝛽 Solution
 𝛽 𝑡 =
𝑘𝜃
𝜂2 1 + 1 − 𝛾
exp 2𝑘
1−𝛾
𝑇−𝑡 −1
1+ 1−
2
1− 1−𝛾
exp 2𝑘
1−𝛾
𝑇−𝑡
61
Solving 𝑔
 𝑔𝑡 =
𝑔 −𝑘𝛽𝛽 −
1
2
𝜂2
𝛽2
− 𝜂2
𝛼 +
𝜆
𝜂2 𝑘2
𝜃2
+ 𝜆𝜆2
𝛽2
+ 2𝜆𝑘𝛽𝛽
 With𝛼 and 𝛽 solved, we are now ready to solve 𝑔𝑡.

𝑔 𝑡
𝑔
= 𝐺 𝑡

𝑑
𝑑𝑠
log 𝑔𝑡 =
𝑔 𝑡
𝑔
= 𝐺
 log 𝑔𝑡 = ∫ 𝐺𝐺𝐺 + 𝐶
 𝑔𝑡 = 𝐶exp ∫ 𝐺𝑑𝑑 = exp − ∫ 𝐺𝐺𝐺
𝑇
0
exp ∫ 𝐺𝐺𝐺
𝑡
0
 𝑔𝑡 = exp − ∫ 𝐺𝐺𝐺
𝑇
𝑡
62
Computing the Optimal Position
 ℎ 𝑡 ∗ = −
𝐺 𝑉 𝑘 𝜃−𝑥 𝑡 +𝐺 𝑉𝑉 𝜂2
𝐺 𝑉𝑉 𝜂2
 = −
𝛾𝑉 𝛾−1 𝑓 𝑘 𝜃−𝑥 𝑡 +𝛾𝑉 𝛾−1 𝑓𝑥 𝜂2
𝛾 𝛾−1 𝑉 𝛾−2 𝑓𝜂2
 = −
𝑉𝑓 𝑘 𝜃−𝑥 𝑡 +𝑉𝑓𝑥 𝜂2
𝛾−1 𝑓𝜂2
 = −
𝑉
𝛾−1 𝜂2
𝑓 𝑘 𝜃−𝑥 𝑡 +𝑓𝑥 𝜂2
𝑓
 = −
𝑉
𝛾−1 𝜂2 𝑘 𝜃 − 𝑥𝑡 +
𝑓𝑥
𝑓
𝜂2
 =
𝑉
1−𝛾 𝜂2 𝑘 𝜃 − 𝑥𝑡 + 𝜂2 𝛽 + 2𝛼𝛼
 =
𝑉
1−𝛾
−
𝑘
𝜂2 𝑥𝑡 − 𝜃 + 2𝛼𝛼 + 𝛽
63
The Optimal Position
 ℎ 𝑡 ∗
=
𝑉𝑡
1−𝛾
−
𝑘
𝜂2 𝑥 𝑡 − 𝜃 + 2𝛼 𝑡 𝑥 𝑡 + 𝛽 𝑡
 ℎ 𝑡 ∗~ −
𝑘
𝜂2 𝑥 𝑡 − 𝜃
64
P&L for Simulated Data
 The portfolio increases from $1000 to $4625 in one year.
65
Parameter Estimation
 Can be done using Maximum Likelihood.
 Evaluation of parameter sensitivity can be done by
Monte Carlo simulation.
 In real trading, it is better to be conservative about the
parameters.
 Better underestimate the mean-reverting speed
 Better overestimate the noise
 To account for parameter regime changes, we can use:
 a hidden Markov chain model
 moving calibration window
66
Trend Following Trading
67
Two-State Markov Model
68
 𝑑𝑆𝑟 = 𝑆𝑟 𝜇 𝛼 𝑟 𝑑𝑑 + 𝜎𝜎𝐵𝑟
𝛼 𝑟 = 0
DOWN
TREND
𝛼 𝑟 = 1
UP TREND
q p
1-q
1-p
Buying and Selling Decisions
69
 𝑡 ≤ 𝜏1
0
≤ 𝜈1
0
≤ 𝜏2
0
≤ 𝜈2
0
≤ ⋯ ≤ 𝜏 𝑛
0 ≤ 𝜈 𝑛
0 ≤ ⋯ ≤ 𝑇
Optimal Trend Following Strategy
70
Trading SSE 2001 – 2011
71

Intro to Quantitative Investment (Lecture 4 of 6)

  • 1.
    Optimal Trading Strategies StochasticControl Haksun Li haksun.li@numericalmethod.com www.numericalmethod.com
  • 2.
    Speaker Profile  Dr.Haksun Li  CEO, Numerical Method Inc.  (Ex-)Adjunct Professors, Industry Fellow, Advisor, Consultant with the National University of Singapore, Nanyang Technological University, Fudan University, the Hong Kong University of Science and Technology.  Quantitative Trader/Analyst, BNPP, UBS  PhD, Computer Sci, University of Michigan Ann Arbor  M.S., Financial Mathematics, University of Chicago  B.S., Mathematics, University of Chicago 2
  • 3.
    References  Optimal PairsTrading: A Stochastic Control Approach. Mudchanatongsuk, S., Primbs, J.A., Wong, W. Dept. of Manage. Sci. & Eng., Stanford Univ., Stanford, CA. 2008.  Optimal Trend Following Trading Rules. Dai, M., Zhang, Q., Zhu Q. J. 2011 3
  • 4.
  • 5.
    Stochastic Control  Wemodel the difference between the log-returns of two assets as an Ornstein-Uhlenbeck process.  We compute the optimal position to take as a function of the deviation from the equilibrium.  This is done by solving the corresponding the Hamilton-Jacobi-Bellman equation. 5
  • 6.
    Formulation  Assume arisk free asset 𝑀𝑡, which satisfies  𝑑𝑀𝑡 = 𝑟𝑀𝑡 𝑑𝑑  Assume two assets,𝐴 𝑡 and 𝐵𝑡.  Assume 𝐵𝑡follows a geometric Brownian motion.  𝑑𝐵𝑡 = 𝜇𝐵𝑡 𝑑𝑑 + 𝜎𝐵𝑡 𝑑𝑧𝑡  𝑥 𝑡is the spread between the two assets.  𝑥𝑡 = log 𝐴 𝑡 − log 𝐵𝑡 6
  • 7.
    Ornstein-Uhlenbeck Process  Weassume the spread, the basket that we want to trade, follows a mean-reverting process.  𝑑𝑥𝑡 = 𝑘 𝜃 − 𝑥𝑡 𝑑𝑑 + 𝜂𝜂𝜔 𝑡  𝜃 is the long term equilibrium to which the spread reverts.  𝑘 is the rate of reversion. It must be positive to ensure stability around the equilibrium value. 7
  • 8.
    Instantaneous Correlation  Let𝜌 denote the instantaneous correlation coefficient between 𝑧 and 𝜔.  𝐸 𝑑𝜔 𝑡 𝑑𝑧𝑡 = 𝜌𝜌𝜌 8
  • 9.
    Univariate Ito’s Lemma 9 Assume  𝑑𝑋𝑡 = 𝜇 𝑡 𝑑𝑑 + 𝜎𝑡 𝑑𝐵𝑡  𝑓 𝑡, 𝑋𝑡 is twice differentiable of two real variables  We have  𝑑𝑑 𝑡, 𝑋𝑡 = 𝜕𝜕 𝜕𝜕 + 𝜇 𝑡 𝜕𝜕 𝜕𝜕 + 𝜎𝑡 2 2 𝜕2 𝑓 𝜕𝑥2 𝑑𝑑 + 𝜎𝑡 𝜕𝜕 𝜕𝜕 𝑑𝐵𝑡
  • 10.
    Log example  ForG.B.M., 𝑑𝑋𝑡 = 𝜇𝑋𝑡 𝑑𝑑 + 𝜎𝑋𝑡 𝑑𝑧𝑡, 𝑑 log 𝑋𝑡 =?  𝑓 𝑥 = log 𝑥  𝜕𝑓 𝜕𝑡 = 0  𝜕𝑓 𝜕𝑥 = 1 𝑥  𝜕2 𝑓 𝜕𝑥2 = − 1 𝑥2  𝑑 log 𝑋𝑡 = 𝜇𝑋𝑡 1 𝑋𝑡 + 𝜎𝑋𝑡 2 2 − 1 𝑋𝑡 2 𝑑𝑑 + 𝜎𝑋𝑡 1 𝑋𝑡 𝑑𝐵𝑡  = 𝜇 − 𝜎2 2 𝑑𝑑 + 𝜎𝑑𝐵𝑡 10
  • 11.
    Multivariate Ito’s Lemma 11 Assume  𝑋𝑡 = 𝑋1𝑡, 𝑋2𝑡, ⋯ , 𝑋 𝑛𝑛 is a vector Ito process  𝑓 𝑥1𝑡, 𝑥2𝑡, ⋯ , 𝑥 𝑛𝑛 is twice differentiable  We have  𝑑𝑑 𝑋1𝑡, 𝑋2𝑡, ⋯ , 𝑋 𝑛𝑛  = ∑ 𝜕 𝜕𝑥 𝑖 𝑛 𝑖=1 𝑓 𝑋1𝑡, 𝑋2𝑡, ⋯ , 𝑋 𝑛𝑛 𝑑𝑋𝑖 𝑡  + 1 2 ∑ ∑ 𝜕2 𝜕𝑥 𝑖 𝜕𝑥 𝑗 𝑛 𝑗=1 𝑛 𝑖=1 𝑓 𝑋1𝑡, 𝑋2𝑡, ⋯ , 𝑋 𝑛𝑛 𝑑 𝑋𝑖, 𝑋𝑗 𝑡
  • 12.
    Multivariate Example  log𝐴 𝑡 = 𝑥 𝑡 + log 𝐵𝑡  𝐴 𝑡 = exp 𝑥 𝑡 + log 𝐵𝑡  𝜕𝐴 𝑡 𝜕𝑥 𝑡 = exp 𝑥 𝑡 + log 𝐵𝑡 = 𝐴 𝑡  𝜕𝐴 𝑡 𝜕𝐵𝑡 = exp 𝑥 𝑡 + log 𝐵𝑡 1 𝐵𝑡 = 𝐴 𝑡 𝐵𝑡  𝜕2 𝐴 𝑡 𝜕𝑥 𝑡 2 = 𝜕𝐴 𝑡 𝜕𝑥 𝑡 = 𝐴 𝑡  𝜕2 𝐴 𝑡 𝜕𝐵𝑡 2 = 𝜕 𝜕𝐵𝑡 𝐴 𝑡 𝐵𝑡 = 0  𝜕2 𝐴 𝑡 𝜕𝐵𝑡 𝜕𝑥 𝑡 = 𝜕 𝜕𝐵𝑡 𝜕𝐴 𝑡 𝜕𝑥 𝑡 = 𝜕𝐴 𝑡 𝜕𝐵𝑡 = 𝐴 𝑡 𝐵𝑡 12
  • 13.
    What is theDynamic of Asset At?  𝜕𝐴 𝑡 = 𝜕𝐴 𝑡 𝜕𝜕 𝑑𝑥 𝑡 + 𝜕𝐴 𝑡 𝜕𝐵𝑡 𝑑𝐵𝑡 + 1 2 𝜕2 𝐴 𝑡 𝜕𝑥2 𝑑𝑥 𝑡 2 + 𝜕2 𝐴 𝑡 𝜕𝐵𝑡 𝜕𝑥 𝑑𝑥 𝑡 𝑑𝐵𝑡  = 𝐴 𝑡 𝑑𝑥 𝑡 + 𝐴 𝑡 𝐵𝑡 𝑑𝐵𝑡 + 1 2 𝐴 𝑡 𝑑𝑥 𝑡 2 + 𝐴 𝑡 𝐵𝑡 𝑑𝑥 𝑡 𝑑𝐵𝑡  = 𝐴 𝑡 𝑘 𝜃 − 𝑥 𝑡 𝑑𝑑 + 𝜂𝜂𝜔 𝑡 + 𝐴 𝑡 𝐵𝑡 𝜇𝐵𝑡 𝑑𝑑 + 𝜎𝐵𝑡 𝑑𝑧𝑡 + 1 2 𝐴 𝑡 𝜂2 𝑑𝑑 + 𝐴 𝑡 𝐵𝑡 𝜌𝜂𝜂𝐵𝑡 𝑑𝑑 13
  • 14.
    Dynamic of AssetAt  𝜕𝐴 𝑡 = 𝐴 𝑡 𝑘 𝜃 − 𝑥 𝑡 𝑑𝑑 + 𝜂𝜂𝜔 𝑡 + 𝐴 𝑡 𝜇𝑑𝑑 + 𝜎𝑑𝑧𝑡 + 1 2 𝐴 𝑡 𝜂2 𝑑𝑑 + 𝐴 𝑡 𝜌𝜂𝜂𝑑𝑑  = 𝐴 𝑡 𝑘 𝜃 − 𝑥 𝑡 + 𝜇 + 1 2 𝜂2 + 𝜌𝜌𝜌 𝑑𝑑 + 𝐴 𝑡 𝜂𝜂𝜔 𝑡 + 𝐴 𝑡 𝜎𝑑𝑧𝑡  = 𝐴 𝑡 𝜇 + 𝑘 𝜃 − 𝑥 𝑡 + 1 2 𝜂2 + 𝜌𝜌𝜌 𝑑𝑑 + 𝜎𝑑𝑧𝑡 + 𝜂𝜂𝜔 𝑡 14
  • 15.
    Notations  𝑉𝑡: thevalue of a self-financing pairs trading portfolio  ℎ 𝑡:the portfolio weight for stock A  ℎ 𝑡 � = −ℎ 𝑡:the portfolio weight for stock B 15
  • 16.
    Self-Financing Portfolio Dynamic  𝑑𝑉𝑡 𝑉𝑡 =ℎ 𝑡 𝑑𝐴 𝑡 𝐴 𝑡 + ℎ 𝑡 � 𝑑𝐵𝑡 𝐵𝑡 + 𝑑𝑀𝑡 𝑀𝑡  = ℎ 𝑡 𝜇 + 𝑘 𝜃 − 𝑥 𝑡 + 1 2 𝜂2 + 𝜌𝜌𝜌 𝑑𝑑 + 𝜎𝑑𝑧𝑡 + 𝜂𝜂𝜔 𝑡 − ℎ 𝑡 𝜇𝑑𝑑 + 𝜎𝑑𝑧𝑡 + 𝑟𝑟𝑟  = ℎ 𝑡 𝑘 𝜃 − 𝑥 𝑡 + 1 2 𝜂2 + 𝜌𝜌𝜌 𝑑𝑑 + 𝜂𝜂𝜔 𝑡 + 𝑟𝑟𝑟  = ℎ 𝑡 𝑘 𝜃 − 𝑥 𝑡 + 1 2 𝜂2 + 𝜌𝜌𝜌 + 𝑟 𝑑𝑑 + ℎ 𝑡 𝜂𝜂𝜔 𝑡 16
  • 17.
    Power Utility  Investorpreference:  𝑈 𝑥 = 𝑥 𝛾  𝑥 ≥ 0  0 < 𝛾 < 1 17
  • 18.
    Problem Formulation  max ℎ𝑡 𝐸 𝑉𝑇 𝛾 , s.t.,  𝑉 0 = 𝑣0, x 0 = 𝑥0  𝑑𝑥𝑡 = 𝑘 𝜃 − 𝑥𝑡 𝑑𝑑 + 𝜂𝜂𝜔 𝑡  𝑑𝑉𝑡 = ℎ 𝑡 𝑑𝑥 𝑡 = ℎ 𝑡 𝑘 𝜃 − 𝑥 𝑡 𝑑𝑑 + ℎ 𝑡 𝜂𝜂𝜔 𝑡  Note that we simplify GBM to BM of 𝑉𝑡, and remove some constants. 18
  • 19.
    Dynamic Programming 19  Considera stage problem to minimize (or maximize) the accumulated costs over a system path. s0 s11 s12 time t = 0 t = 1 S21 S22 s23 t = 2 3 2 3 5 Cost = 𝑐3 + ∑ 𝑐𝑡 2 𝑡=0 s3 s12 5 4 3 1 5
  • 20.
    Dynamic Programming Formulation State change: 𝑥 𝑘+1 = 𝑓𝑘 𝑥 𝑘, 𝑢 𝑘, 𝜔 𝑘  𝑘: time  𝑥 𝑘: state  𝑢 𝑘: control decision selected at time 𝑘  𝜔 𝑘: a random noise  Cost: 𝑔 𝑁 𝑥 𝑁 + ∑ 𝑔 𝑘 𝑥 𝑘, 𝑢 𝑘, 𝜔 𝑘 𝑁−1 𝑘=0  Objective: minimize (maximize) the expected cost.  We need to take expectation to account for the noise, 𝜔 𝑘. 20
  • 21.
    Principle of Optimality Let 𝜋∗ = 𝜇0 ∗, 𝜇1 ∗, ⋯ , 𝜇 𝑁−1 ∗ be an optimal policy for the basic problem, and assume that when using 𝜋∗ , a give state 𝑥𝑖 occurs at time 𝑖 with positive probability. Consider the sub-problem whereby we are at 𝑥𝑖 at time 𝑖 and wish to minimize the “cost-to-go” from time 𝑖 to time 𝑁.  𝐸 𝑔 𝑁 𝑥 𝑁 + ∑ 𝑔 𝑘 𝑥 𝑘, 𝑢 𝑘, 𝜔 𝑘 𝑁−1 𝑘=𝑖  Then the truncated policy 𝜇𝑖 ∗, 𝜇𝑖+1 ∗, ⋯ , 𝜇 𝑁−1 ∗ is optimal for this sub-problem. 21
  • 22.
    Dynamic Programming Algorithm For every initial state 𝑥0, the optimal cost 𝐽∗ 𝑥 𝑘 of the basic problem is equal to 𝐽0 𝑥0 , given by the last step of the following algorithm, which proceeds backward in time from period 𝑁 − 1 to period 0:  𝐽 𝑁 𝑥 𝑁 = 𝑔 𝑁 𝑥 𝑁  𝐽 𝑘 𝑥 𝑘 = min 𝑢 𝑘 𝐸 𝑔 𝑘 𝑥 𝑘, 𝑢 𝑘, 𝜔 𝑘 + 𝐽 𝑘+1 𝑓𝑘 𝑥 𝑘, 𝑢 𝑘, 𝜔 𝑘 22
  • 23.
    Value function  Terminalcondition:  𝐺 𝑇, 𝑉, 𝑥 = 𝑉 𝛾  DP equation:  𝐺 𝑡, 𝑉𝑡, 𝑥𝑡 = m𝑎𝑎 ℎ 𝑡 𝐸 𝐺 𝑡 + 𝑑𝑑, 𝑉𝑡+𝑑𝑑, 𝑥𝑡+𝑑𝑑  𝐺 𝑡, 𝑉𝑡, 𝑥𝑡 = m𝑎𝑎 ℎ 𝑡 𝐸 𝐺 𝑡, 𝑉𝑡, 𝑥𝑡 + Δ𝐺  By Ito’s lemma:  Δ𝐺 = 𝐺𝑡 𝑑𝑑 + 𝐺 𝑉 𝑑𝑑 + 𝐺 𝑥 𝑑𝑥 + 1 2 𝐺 𝑉𝑉 𝑑𝑑 2 + 1 2 𝐺 𝑥𝑥 𝑑𝑥 2 + 𝐺 𝑉𝑥 𝑑𝑉 𝑑𝑑 23
  • 24.
    Hamilton-Jacobi-Bellman Equation  Cancel𝐺 𝑡, 𝑉𝑡, 𝑥 𝑡 on both LHS and RHS.  Divide by time discretization, Δ𝑡.  Take limit as Δ𝑡 → 0, hence Ito.  0 = m𝑎𝑎 ℎ 𝑡 𝐸 Δ𝐺  m𝑎𝑎 ℎ 𝑡 𝐸 𝐺𝑡 𝑑𝑑 + 𝐺 𝑉 𝑑𝑑 + 𝐺 𝑥 𝑑𝑑 + 1 2 𝐺 𝑉𝑉 𝑑𝑑 2 + 1 2 𝐺 𝑥𝑥 𝑑𝑑 2 + 𝐺 𝑉𝑉 𝑑𝑑 𝑑𝑑 = 0  The optimal portfolio position is ℎ 𝑡 ∗ . 24
  • 25.
    HJB for OurPortfolio Value  m𝑎𝑎 ℎ 𝑡 𝐸 𝐺𝑡 𝑑𝑑 + 𝐺 𝑉 𝑑𝑑 + 𝐺 𝑥 𝑑𝑑 + 1 2 𝐺 𝑉𝑉 𝑑𝑑 2 + 1 2 𝐺 𝑥𝑥 𝑑𝑑 2 + 𝐺 𝑉𝑉 𝑑𝑑 𝑑𝑑 = 0  m𝑎𝑎 ℎ 𝑡 𝐸 𝐺𝑡 𝑑𝑑 + 𝐺 𝑉 ℎ 𝑡 𝑘 𝜃 − 𝑥 𝑡 𝑑𝑑 + ℎ 𝑡 𝜂𝜂𝜔 𝑡 + 𝐺 𝑥 𝑑𝑑 + 1 2 𝐺 𝑉𝑉 ℎ 𝑡 𝑘 𝜃 − 𝑥 𝑡 𝑑𝑑 + ℎ 𝑡 𝜂𝜂𝜔 𝑡 2 + 1 2 𝐺 𝑥𝑥 𝑑𝑑 2 + 𝐺 𝑉𝑉 ℎ 𝑡 𝑘 𝜃 − 𝑥 𝑡 𝑑𝑑 + ℎ 𝑡 𝜂𝜂𝜔 𝑡 𝑑𝑑 = 0  m𝑎𝑎 ℎ 𝑡 𝐸 𝐺𝑡 𝑑𝑑 + 𝐺 𝑉 ℎ 𝑡 𝑘 𝜃 − 𝑥 𝑡 𝑑𝑑 + ℎ 𝑡 𝜂𝜂𝜔 𝑡 + 𝐺 𝑥 𝑘 𝜃 − 𝑥 𝑡 𝑑𝑑 + 𝜂𝜂𝜔 𝑡 + 1 2 𝐺 𝑉𝑉 ℎ 𝑡 𝑘 𝜃 − 𝑥 𝑡 𝑑𝑑 + ℎ 𝑡 𝜂𝜂𝜔 𝑡 2 + 1 2 𝐺 𝑥𝑥 𝑘 𝜃 − 𝑥 𝑡 𝑑𝑑 + 𝜂𝜂𝜔 𝑡 2 + 𝐺 𝑉𝑉 ℎ 𝑡 𝑘 𝜃 − 𝑥 𝑡 𝑑𝑑 + ℎ 𝑡 𝜂𝜂𝜔 𝑡 × 𝑘 𝜃 − 𝑥 𝑡 𝑑𝑑 + 𝜂𝜂𝜔 𝑡 = 0 25
  • 26.
    Taking Expectation  All𝜂𝜂𝜔 𝑡 disapper because of the expectation operator.  Only the deterministic 𝑑𝑑 terms remain.  Divide LHR and RHS by 𝑑𝑑.  m𝑎𝑎 ℎ 𝑡 𝐺𝑡 + 𝐺 𝑉 ℎ 𝑡 𝑘 𝜃 − 𝑥 𝑡 + 𝐺 𝑥 𝑘 𝜃 − 𝑥 𝑡 + 1 2 𝐺 𝑉𝑉 ℎ 𝑡 𝜂 2 + 1 2 𝐺 𝑥𝑥 𝜂2 +𝐺 𝑉𝑉 ℎ 𝑡 𝜂2 = 0 26
  • 27.
    Dynamic Programming Solution Solve for the cost-to-go function, 𝐺𝑡.  Assume that the optimal policy is ℎ 𝑡 ∗ . 27
  • 28.
    First Order Condition Differentiate w.r.t. ℎ 𝑡.  𝐺 𝑉 𝑘 𝜃 − 𝑥 𝑡 + ℎ 𝑡 ∗ 𝐺 𝑉𝑉 𝜂2 + 𝐺 𝑉𝑉 𝜂2 = 0  ℎ 𝑡 ∗ = − 𝐺 𝑉 𝑘 𝜃−𝑥 𝑡 +𝐺 𝑉𝑉 𝜂2 𝐺 𝑉𝑉 𝜂2  In order to determine the optimal position, ℎ 𝑡 ∗ , we need to solve for 𝐺 to get 𝐺 𝑉, 𝐺 𝑉𝑉, and 𝐺 𝑉𝑉. 28
  • 29.
    The Partial DifferentialEquation (1)  𝐺𝑡 − 𝐺 𝑉 𝐺 𝑉 𝑘 𝜃−𝑥 𝑡 +𝐺 𝑉𝑉 𝜂2 𝐺 𝑉𝑉 𝜂2 𝑘 𝜃 − 𝑥 𝑡 + 𝐺 𝑥 𝑘 𝜃 − 𝑥 𝑡 + 1 2 𝐺 𝑉𝑉 𝜂2 𝐺 𝑉 𝑘 𝜃−𝑥 𝑡 +𝐺 𝑉𝑉 𝜂2 𝐺 𝑉𝑉 𝜂2 2 + 1 2 𝐺 𝑥𝑥 𝜂2 − 𝐺 𝑉𝑉 𝜂2 𝐺 𝑉 𝑘 𝜃−𝑥 𝑡 +𝐺 𝑉𝑉 𝜂2 𝐺 𝑉𝑉 𝜂2 = 0 29
  • 30.
    The Partial DifferentialEquation (2)  𝐺𝑡 − 𝐺 𝑉 𝑘 𝜃 − 𝑥 𝑡 𝐺 𝑉 𝑘 𝜃−𝑥 𝑡 +𝐺 𝑉𝑉 𝜂2 𝐺 𝑉𝑉 𝜂2 + 𝐺 𝑥 𝑘 𝜃 − 𝑥 𝑡 + 1 2 𝐺 𝑉 𝑘 𝜃−𝑥 𝑡 +𝐺 𝑉𝑉 𝜂2 2 𝐺 𝑉𝑉 𝜂2 + 1 2 𝐺 𝑥𝑥 𝜂2 − 𝐺 𝑉𝑉 𝐺 𝑉 𝑘 𝜃−𝑥 𝑡 +𝐺 𝑉𝑉 𝜂2 𝐺 𝑉𝑉 = 0 30
  • 31.
    Dis-equilibrium  Let 𝑏= 𝑘 𝜃 − 𝑥 𝑡 . Rewrite:  𝐺𝑡 − 𝐺 𝑉 𝑏 𝐺 𝑉 𝑏+𝐺 𝑉𝑉 𝜂2 𝐺 𝑉𝑉 𝜂2 + 𝐺 𝑥 𝑏 + 1 2 𝐺 𝑉 𝑏+𝐺 𝑉𝑉 𝜂2 2 𝐺 𝑉𝑉 𝜂2 + 1 2 𝐺 𝑥𝑥 𝜂2 − 𝐺 𝑉𝑉 𝐺 𝑉 𝑏+𝐺 𝑉𝑉 𝜂2 𝐺 𝑉𝑉 = 0  Multiply by 𝐺 𝑉𝑉 𝜂2 .  𝐺𝑡 𝐺 𝑉𝑉 𝜂2 − 𝐺 𝑉 𝑏 𝐺 𝑉 𝑏 + 𝐺 𝑉𝑉 𝜂2 + 𝐺 𝑥 𝑏𝐺 𝑉𝑉 𝜂2 + 1 2 𝐺 𝑉 𝑏 + 𝐺 𝑉𝑉 𝜂2 2 + 1 2 𝐺 𝑥𝑥 𝐺 𝑉𝑉 𝜂4 − 𝐺 𝑉𝑉 𝜂2 𝐺 𝑉 𝑏 + 𝐺 𝑉𝑉 𝜂2 = 0 31
  • 32.
    Simplification  Note that −𝐺 𝑉 𝑏 𝐺 𝑉 𝑏 + 𝐺 𝑉𝑉 𝜂2 + 1 2 𝐺 𝑉 𝑏 + 𝐺 𝑉𝑉 𝜂2 2 − 𝐺 𝑉𝑉 𝜂2 𝐺 𝑉 𝑏 + 𝐺 𝑉𝑉 𝜂2 = − 1 2 𝐺 𝑉 𝑏 + 𝐺 𝑉𝑉 𝜂2 2  The PDE becomes  𝐺𝑡 𝐺 𝑉𝑉 𝜂2 + 𝐺 𝑥 𝑏𝐺 𝑉𝑉 𝜂2 + 1 2 𝐺 𝑥𝑥 𝐺 𝑉𝑉 𝜂4 − 1 2 𝐺 𝑉 𝑏 + 𝐺 𝑉𝑉 𝜂2 2 = 0 32
  • 33.
    The Partial DifferentialEquation (3)  𝐺𝑡 𝐺 𝑉𝑉 𝜂2 + 𝐺 𝑥 𝑏𝐺 𝑉𝑉 𝜂2 + 1 2 𝐺 𝑥𝑥 𝐺 𝑉𝑉 𝜂4 − 1 2 𝐺 𝑉 𝑏 + 𝐺 𝑉𝑉 𝜂2 2 = 0 33
  • 34.
    Ansatz for G 𝐺 𝑡, 𝑉, 𝑥 = 𝑓 𝑡, 𝑥 𝑉 𝛾  𝐺 𝑇, 𝑉, 𝑥 = 𝑉 𝛾  𝑓 𝑇, 𝑥 = 1  𝐺𝑡 = 𝑉 𝛾 𝑓𝑡  𝐺 𝑉 = 𝛾𝑉 𝛾−1 𝑓  𝐺 𝑉𝑉 = 𝛾 𝛾 − 1 𝑉 𝛾−2 𝑓  𝐺 𝑥 = 𝑉 𝛾 𝑓𝑥  𝐺 𝑉𝑥 = 𝛾𝑉 𝛾−1 𝑓𝑥  𝐺 𝑥𝑥 = 𝑉 𝛾 𝑓𝑥𝑥 34
  • 35.
    Another PDE (1) 𝑉 𝛾 𝑓𝑡 𝛾 𝛾 − 1 𝑉 𝛾−2 𝑓𝜂2 + 𝑉 𝛾 𝑓𝑥 𝑏𝛾 𝛾 − 1 𝑉 𝛾−2 𝑓𝜂2 + 1 2 𝑉 𝛾 𝑓𝑥𝑥 𝛾 𝛾 − 1 𝑉 𝛾−2 𝑓𝜂4 − 1 2 𝛾𝑉 𝛾−1 𝑓𝑏 + 𝛾𝑉 𝛾−1 𝑓𝑥 𝜂2 2 = 0  Divide by 𝛾 𝛾 − 1 𝜂2 𝑉2𝛾−2.  𝑓𝑡 𝑓 + 𝑓𝑥 𝑏𝑓 + 1 2 𝑓𝑥𝑥 𝑓𝜂2 − 𝛾 2 𝛾−1 𝑓 𝑏 𝜂 + 𝑓𝑥 𝜂 2 = 0 35
  • 36.
    Ansatz for 𝑓 𝑓𝑓𝑡 + 𝑏𝑏𝑓𝑥 + 1 2 𝜂2 𝑓𝑓𝑥𝑥 − 𝛾 2 𝛾−1 𝑏 𝜂 𝑓 + 𝜂𝑓𝑥 2 = 0  𝑓 𝑡, 𝑥 = 𝑔 𝑡 exp 𝑥𝑥 𝑡 + 𝑥2 𝛼 𝑡 = 𝑔 exp 𝑥𝑥 + 𝑥2 𝛼  𝑓𝑡 = 𝑔𝑡 exp 𝑥𝑥 + 𝑥2 𝛼 + 𝑔 exp 𝑥𝑥 + 𝑥2 𝛼 𝑥𝛽𝑡 + 𝑥2 𝛼 𝑡  𝑓𝑥 = 𝑔 exp 𝑥𝑥 + 𝑥2 𝛼 𝛽 + 2𝑥𝑥  𝑓𝑥𝑥 = 𝑔 exp 𝑥𝑥 + 𝑥2 𝛼 𝛽 + 2𝑥𝑥 2 + 𝑔 exp 𝑥𝑥 + 𝑥2 𝛼 2𝛼  𝑓𝑥 𝑓 = 𝛽 + 2𝛼𝛼 36
  • 37.
    Boundary Conditions  𝑓𝑇, 𝑥 = 𝑔 𝑇 exp 𝑥𝑥 𝑇 + 𝑥2 𝛼 𝑇 = 1  𝑔 𝑇 = 1  𝛼 𝑇 = 0  𝛽 𝑇 = 0 37
  • 38.
    Yet Another PDE(1)  𝑔 exp 𝑥𝑥 + 𝑥2 𝛼 𝑔𝑡 exp 𝑥𝑥 + 𝑥2 𝛼 + 𝑔 exp 𝑥𝑥 + 𝑥2 𝛼 𝑥𝛽𝑡 + 𝑥2 𝛼 𝑡 + 𝑏𝑏 exp 𝑥𝑥 + 𝑥2 𝛼 𝑔 exp 𝑥𝑥 + 𝑥2 𝛼 𝛽 + 2𝑥𝑥 + 1 2 𝜂2 𝑔 exp 𝑥𝑥 + 𝑥2 𝛼 𝑔 exp 𝑥𝑥 + 𝑥2 𝛼 𝛽 + 2𝑥𝑥 2 + 𝑔 exp 𝑥𝑥 + 𝑥2 𝛼 2𝛼 − 𝛾 2 𝛾−1 𝑏 𝜂 𝑔 exp 𝑥𝑥 + 𝑥2 𝛼 + 𝜂𝜂 exp 𝑥𝑥 + 𝑥2 𝛼 𝛽 + 2𝑥𝑥 2 = 0  Divide by g exp 𝑥𝑥 + 𝑥2 𝛼 exp 𝑥𝑥 + 𝑥2 𝛼 .  𝑔𝑡 + 𝑔 𝑥𝛽𝑡 + 𝑥2 𝛼 𝑡 + 𝑏𝑏 𝛽 + 2𝑥𝑥 + 1 2 𝜂2 𝑔 𝛽 + 2𝑥𝑥 2 + 𝑔 2𝛼 − 𝛾 2 𝛾−1 𝑔 𝑏 𝜂 + 𝜂 𝛽 + 2𝑥𝑥 2 = 0  𝑔𝑡 + 𝑔 𝑥𝛽𝑡 + 𝑥2 𝛼 𝑡 + 𝑏𝑏 𝛽 + 2𝑥𝑥 + 1 2 𝜂2 𝑔 𝛽 + 2𝑥𝑥 2 + 𝜂2 𝑔𝑔 − 𝛾 2 𝛾−1 𝑔 𝑏 𝜂 + 𝜂 𝛽 + 2𝑥𝑥 2 = 0 38
  • 39.
    Yet Another PDE(2)  𝜆 = 𝛾 2 𝛾−1  𝑔𝑡 + 𝑔 𝑥𝛽𝑡 + 𝑥2 𝛼 𝑡 + 𝑏𝑏 𝛽 + 2𝑥𝑥 + 1 2 𝜂2 𝑔 𝛽 + 2𝑥𝑥 2 + 𝜂2 𝑔𝑔 − 𝜆𝑔 𝑏 𝜂 + 𝜂 𝛽 + 2𝑥𝑥 2 = 0 39
  • 40.
    Expansion in 𝑥 𝑔𝑡 + 𝑔𝑔𝛽𝑡 + 𝑔𝑥2 𝛼 𝑡 + 𝑏𝑏𝛽 + 2𝑥𝑥𝑏𝑏 + 1 2 𝜂2 𝑔 𝛽2 + 4𝑥2 𝛼2 + 4𝑥𝑥𝑥 + 𝜂2 𝑔𝑔 − 𝜆𝑔 𝑏2 𝜂2 + 𝜂2 𝛽2 + 4𝜂2 𝑥2 𝛼2 + 2𝑏𝑏 + 4𝑏𝑏𝑏 + 4𝜂2 𝑥𝑥𝑥 = 0  𝑔𝑡 + 𝑔𝑔𝛽𝑡 + 𝑔𝑥2 𝛼 𝑡 + 𝑘 𝜃 − 𝑥 𝑔𝛽 + 2𝑥𝑥𝑘 𝜃 − 𝑥 𝑔 + 1 2 𝜂2 𝑔 𝛽2 + 4𝑥2 𝛼2 + 4𝑥𝑥𝑥 + 𝜂2 𝑔𝑔 − 𝜆𝑔 𝑘2 𝜃−𝑥 2 𝜂2 + 𝜂2 𝛽2 + 4𝜂2 𝑥2 𝛼2 + 2𝑘 𝜃 − 𝑥 𝛽 + 4𝑘 𝜃 − 𝑥 𝑥𝑥 + 4𝜂2 𝑥𝑥𝑥 = 0  𝑔𝑡 + 𝑔𝑔𝛽𝑡 + 𝑔𝑥2 𝛼 𝑡 + 𝑘𝑘𝛽𝛽 − 𝑘𝑘𝛽𝑥 + 2𝑥𝑥𝑘𝑘𝜃 − 2𝛼𝑘𝑘𝑥2 + 1 2 𝜂2 𝑔𝛽2 + 2𝜂2 𝑔𝑥2 𝛼2 + 2𝜂2 𝑔𝑔𝑔𝑔 + 𝜂2 𝑔𝑔 − 𝜆𝑔 𝜂2 𝑘2 𝜃2 + 2 𝜆𝑔 𝜂2 𝑘2 𝜃𝑥 − 𝜆𝑔 𝜂2 𝑘2 𝑥2 − 𝜆𝑔𝜂2 𝛽2 − 4𝜆𝑔𝜂2 𝑥2 𝛼2 − 2𝜆𝑔𝑔𝛽𝛽 + 2𝜆𝑔𝑔𝛽𝑥 − 4𝜆𝑔𝑔𝜃𝜃𝜃 + 4𝜆𝑔𝑔𝑥2 𝛼 − 4𝜆𝑔𝜂2 𝑥𝑥𝑥 = 0 40
  • 41.
    Grouping in 𝑥 𝑔𝑡 + 𝑘𝑘𝛽𝛽 + 1 2 𝜂2 𝑔𝛽2 + 𝜂2 𝑔𝑔 − 𝜆𝑔 𝜂2 𝑘2 𝜃2 − 𝜆𝑔𝜂2 𝛽2 − 2𝜆𝑔𝑔𝛽𝛽 + 𝑔𝛽𝑡 − 𝑘𝑘𝛽 + 2𝛼𝑘𝑘𝜃 + 2𝜂2 𝑔𝑔𝑔 + 2 𝜆𝑔 𝜂2 𝑘2 𝜃 + 2𝜆𝑔𝑔𝛽 − 4𝜆𝑔𝑔𝜃𝜃 − 4𝜆𝑔𝜂2 𝛼𝛼 𝑥 + 𝑔𝛼 𝑡 − 2𝛼𝑘𝑘 + 2𝜂2 𝑔𝛼2 − 𝜆𝑔 𝜂2 𝑘2 − 4𝜆𝑔𝜂2 𝛼2 + 4𝜆𝑔𝑔𝛼 𝑥2 = 0 41
  • 42.
    The Three PDE’s(1)  𝑔𝛼 𝑡 − 2𝛼𝑘𝑘 + 2𝜂2 𝑔𝛼2 − 𝜆𝑔 𝜂2 𝑘2 − 4𝜆𝑔𝜂2 𝛼2 + 4𝜆𝑔𝑔𝛼 = 0  𝑔𝛽𝑡 − 𝑘𝑘𝛽 + 2𝛼𝑘𝑘𝜃 + 2𝜂2 𝑔𝑔𝑔 + 2 𝜆𝑔 𝜂2 𝑘2 𝜃 + 2𝜆𝑔𝑔𝛽 − 4𝜆𝑔𝑔𝜃𝜃 − 4𝜆𝑔𝜂2 𝛼𝛼 = 0  𝑔𝑡 + 𝑘𝑘𝛽𝛽 + 1 2 𝜂2 𝑔𝛽2 + 𝜂2 𝑔𝑔 − 𝜆𝑔 𝜂2 𝑘2 𝜃2 − 𝜆𝑔𝜂2 𝛽2 − 2𝜆𝑔𝑔𝛽𝛽 = 0 42
  • 43.
    PDE in 𝛼 𝛼 𝑡 + 2𝜂2 − 4𝜆𝜆2 𝛼2 + 4𝜆𝑘 − 2𝑘 𝛼 − 𝜆 𝜂2 𝑘2 = 0  𝛼 𝑡 = 𝜆 𝜂2 𝑘2 + 2𝑘 1 − 2𝜆 𝛼 + 2𝜂2 2𝜆 − 1 𝛼2 43
  • 44.
    PDE in 𝛽,𝛼  𝛽𝑡 − 𝑘𝛽 + 2𝜂2 𝛼𝛼 + 2𝜆𝑘𝛽 − 4𝜆𝜆2 𝛼𝛼 − 4𝜆𝑘𝜃𝜃 + 2 𝜆 𝜂2 𝑘2 𝜃 + 2𝛼𝑘𝜃 = 0  𝛽𝑡 = 𝑘 − 2𝜂2 𝛼 − 2𝜆𝑘 + 4𝜆𝜆2 𝛼 𝛽 + 4𝜆𝑘𝜃𝜃 − 2 𝜆 𝜂2 𝑘2 𝜃 − 2𝛼𝑘𝜃 44
  • 45.
    PDE in 𝛽,𝛼, 𝑔  𝑔𝑡 + 𝑘𝑘𝛽𝛽 + 1 2 𝜂2 𝑔𝛽2 + 𝜂2 𝑔𝑔 − 𝜆𝑔 𝜂2 𝑘2 𝜃2 − 𝜆𝑔𝜂2 𝛽2 − 2𝜆𝑔𝑔𝛽𝛽 = 0  𝑔𝑡 = −𝑘𝑘𝛽𝛽 − 1 2 𝜂2 𝑔𝛽2 − 𝜂2 𝑔𝑔 + 𝜆𝑔 𝜂2 𝑘2 𝜃2 + 𝜆𝑔𝜂2 𝛽2 + 2𝜆𝑔𝑔𝛽𝛽  𝑔𝑡 = 𝑔 −𝑘𝛽𝛽 − 1 2 𝜂2 𝛽2 − 𝜂2 𝛼 + 𝜆 𝜂2 𝑘2 𝜃2 + 𝜆𝜆2 𝛽2 + 2𝜆𝑘𝛽𝛽 45
  • 46.
    Riccati Equation  ARiccati equation is any ordinary differential equation that is quadratic in the unknown function.  𝛼 𝑡 = 𝜆 𝜂2 𝑘2 + 2𝑘 1 − 2𝜆 𝛼 + 2𝜂2 2𝜆 − 1 𝛼2  𝛼 𝑡 = 𝐴0 + 𝐴1 𝛼 + 𝐴2 𝛼2 46
  • 47.
    Solving a RiccatiEquation by Integration  Suppose a particular solution, 𝛼1, can be found.  𝛼 = 𝛼1 + 1 𝑧 is the general solution, subject to some boundary condition. 47
  • 48.
    Particular Solution  Either𝛼1 or 𝛼2 is a particular solution to the ODE. This can be verified by mere substitution.  𝛼1,2 = −𝐴1± 𝐴1 2 −4𝐴2 𝐴0 2𝐴2 48
  • 49.
    𝑧 Substitution  Suppose𝛼 = 𝛼1 + 1 𝑧 .  1 𝑧 ̇ = 𝐴0 + 𝐴1 𝛼1 + 1 𝑧 + 𝐴2 𝛼1 + 1 𝑧 2  = 𝐴0 + 𝐴1 𝛼1 + 𝐴1 1 𝑧 + 𝐴2 𝛼1 2 + 𝐴2 1 𝑧2 + 2𝐴2 𝛼1 𝑧  = 𝐴0 + 𝐴1 𝛼1 + 𝐴1 1 𝑧 + 𝐴2 𝛼1 2 + 𝐴2 1 𝑧2 + 2𝐴2 𝛼1 𝑧  = 𝐴0 + 𝐴1 𝛼1 + 𝐴2 𝛼1 2 + 𝐴1+2𝛼1 𝐴2 𝑧 + 𝐴2 𝑧2 goes to 0 by the definition of 𝛼1 49
  • 50.
    Solving 𝑧  1 𝑧 ̇ = 𝐴1+2𝛼1 𝐴2 𝑧 + 𝐴2 𝑧2 − 1 𝑧2 𝑧̇ = 𝐴1+2𝛼1 𝐴2 𝑧 + 𝐴2 𝑧2  1st order linear ODE  𝑧̇ + 𝐴1 + 2𝛼1 𝐴2 𝑧 = −𝐴2  𝑧 𝑡 = −𝐴2 𝐴1+2𝛼1 𝐴2 + 𝐶exp − 𝐴1 + 2𝛼1 𝐴2 𝑡 50
  • 51.
    Solving for 𝛼 𝛼 = 𝛼1 + 1 −𝐴2 𝐴1+2𝛼1 𝐴2 +𝐶exp− 𝐴1+2𝛼1 𝐴2 𝑡  boundary condition:  𝛼 𝑇 = 0  𝛼1 + 1 −𝐴2 𝐴1+2𝛼1 𝐴2 +𝐶exp− 𝐴1+2𝛼1 𝐴2 𝑇 = 0  𝐶exp − 𝐴1 + 2𝛼1 𝐴2 𝑇 = − 1 𝛼1 + 𝐴2 𝐴1+2𝛼1 𝐴2  𝐶 = exp 𝐴1 + 2𝛼1 𝐴2 𝑇 𝐴2 𝐴1+2𝛼1 𝐴2 − 1 𝛼1 51
  • 52.
    𝛼 Solution (1) 𝛼 = 𝛼1 + 1 −𝐴2 𝐴1+2𝛼1 𝐴2 +𝐶exp− 𝐴1+2𝛼1 𝐴2 𝑡  = 𝛼1 + 1 −𝐴2 𝐴1+2𝛼1 𝐴2 +exp 𝐴1+2𝛼1 𝐴2 𝑇 𝐴2 𝐴1+2𝛼1 𝐴2 − 1 𝛼1 exp − 𝐴1+2𝛼1 𝐴2 𝑡  = 𝛼1 + 1 −𝐴2 𝐴1+2𝛼1 𝐴2 +exp 𝐴1+2𝛼1 𝐴2 𝑇−𝑡 𝐴2 𝐴1+2𝛼1 𝐴2 − 1 𝛼1  = 𝛼1 + 𝛼1 𝐴1+2𝛼1 𝐴2 −𝛼1 𝐴2+exp 𝐴1+2𝛼1 𝐴2 𝑇−𝑡 𝛼1 𝐴2−𝐴1−2𝛼1 𝐴2 52
  • 53.
    𝛼 Solution (2) 𝛼 = 𝛼1 + 𝛼1 𝐴1+2𝛼1 𝐴2 −𝛼1 𝐴2+exp 𝐴1+2𝛼1 𝐴2 𝑇−𝑡 −𝐴1−𝛼1 𝐴2  = 𝛼1 1 − 𝐴1+2𝛼1 𝐴2 𝐴2+exp 𝐴1+2𝛼1 𝐴2 𝑇−𝑡 𝐴1 𝛼1 +𝐴2  = 𝛼1 1 − 𝐴1 𝐴2 +2𝛼1 1+ 𝐴1 𝛼1 𝐴2 +1 exp 𝐴1+2𝛼1 𝐴2 𝑇−𝑡 53
  • 54.
    𝛼 Solution (3) 𝛼 𝑡 = 𝑘 2𝜂2 1 − 1 − 𝛾 + 2 1−𝛾 1+ 1− 2 1− 1−𝛾 exp 2𝑘 1−𝛾 𝑇−𝑡 54
  • 55.
    Solving 𝛽  𝛽𝑡= 𝑘 − 2𝜂2 𝛼 − 2𝜆𝑘 + 4𝜆𝜆2 𝛼 𝛽 + 4𝜆𝑘𝜃𝜃 − 2 𝜆 𝜂2 𝑘2 𝜃 − 2𝛼𝑘𝜃  Let 𝜏 = 𝑇 − 𝑡  𝛽̂ 𝜏 = 𝛽 𝑇 − 𝑡  𝛽̂ 𝜏 𝜏 = −𝛽𝑡 𝜏  −𝛽̂ 𝜏 𝜏 = 𝛽𝑡 𝜏 = 𝑘 − 2𝜂2 𝛼 𝜏 − 2𝜆𝑘 + 4𝜆𝜆2 𝛼 𝜏 𝛽 𝜏 + 4𝜆𝑘𝜃𝜃 𝜏 − 2 𝜆 𝜂2 𝑘2 𝜃 − 2𝛼 𝜏 𝑘𝜃  𝛽̂ 𝜏 𝜏 = −𝑘 + 2𝜂2 𝛼� + 2𝜆𝑘 − 4𝜆𝜆2 𝛼� 𝛽̂ + −4𝜆𝑘𝜃𝛼� + 2 𝜆 𝜂2 𝑘2 𝜃 + 2𝛼�𝑘𝜃  𝛽̂ 𝜏 𝜏 = 2𝜆 − 1 𝑘 + 2𝜂2 𝛼� 1 − 2𝜆 𝛽̂ + 2𝛼�𝑘𝜃 1 − 2𝜆 + 2 𝜆 𝜂2 𝑘2 𝜃 55
  • 56.
    First Order Non-ConstantCoefficients  𝛽̂ 𝜏 = 𝐵1 𝛽̂ + 𝐵2  𝐵1 𝜏 = 2𝜆 − 1 𝑘 + 2𝜂2 𝛼� 1 − 2𝜆  𝐵2 𝜏 = 2𝛼�𝑘𝜃 1 − 2𝜆 + 2 𝜆 𝜂2 𝑘2 𝜃 56
  • 57.
    Integrating Factor (1) 𝛽̂ 𝜏 − 𝐵1 𝛽̂ = 𝐵2  We try to find an integrating factor 𝜇 = 𝜇 𝜏 s.t.  𝑑 𝑑𝜏 𝜇𝛽̂ = 𝜇 𝑑𝛽� 𝑑𝜏 + 𝛽̂ 𝑑𝜇 𝑑𝜏 = 𝜇𝐵2  Divide LHS and RHS by 𝜇𝛽̂.  1 𝛽� 𝑑𝛽� 𝑑𝑑 + 1 𝜇 𝑑𝜇 𝑑𝜏 = 𝐵2 𝛽�  By comparison,  −𝐵1 = 1 𝜇 𝑑𝜇 𝑑𝜏 57
  • 58.
    Integrating Factor (2) ∫ −𝐵1 𝑑𝜏 = ∫ 𝑑𝜇 𝜇 = log 𝜇 + 𝐶  𝜇 = exp ∫ −𝐵1 𝑑𝜏  𝜇𝛽̂ = ∫ 𝜇𝐵2 𝑑𝜏 + 𝐶  𝛽̂ = ∫ 𝜇𝐵2 𝑑𝜏+𝐶 𝜇  𝛽̂ = ∫ exp ∫ −𝐵1 𝑑𝑢 𝐵2 𝑑𝜏+𝐶 exp ∫ −𝐵1 𝑑𝜏 58
  • 59.
    𝛽̂ Solution  𝛽̂= ∫ exp ∫ −𝐵1 𝑢 𝑑𝑑 𝜏 0 𝐵2 𝑠 𝑑𝑠 𝜏 0 exp ∫ −𝐵1 𝑢 𝑑𝑢 𝜏 0 + 𝐶  𝛽̂ 𝜏 = exp ∫ 𝐵1 𝑢 𝑑𝑑 𝜏 0 ∫ exp ∫ −𝐵1 𝑢 𝑑𝑑 𝑠 0 𝐵2 𝑠 𝑑𝑑 𝜏 0 + 𝐶 59
  • 60.
    𝐵1, 𝐵2  ∫𝐵1 𝑠 𝑑𝑑 𝜏 0 = ∫ 2𝜆 − 1 𝑘 + 2𝜂2 1 − 2𝜆 𝛼 𝑠 𝑑𝑑 𝜏 0  𝐼2 = ∫ exp ∫ −𝐵1 𝑢 𝑑𝑑 𝑠 0 𝐵2 𝑠 𝑑𝑑 𝜏 0 60
  • 61.
    𝛽 Solution  𝛽𝑡 = 𝑘𝜃 𝜂2 1 + 1 − 𝛾 exp 2𝑘 1−𝛾 𝑇−𝑡 −1 1+ 1− 2 1− 1−𝛾 exp 2𝑘 1−𝛾 𝑇−𝑡 61
  • 62.
    Solving 𝑔  𝑔𝑡= 𝑔 −𝑘𝛽𝛽 − 1 2 𝜂2 𝛽2 − 𝜂2 𝛼 + 𝜆 𝜂2 𝑘2 𝜃2 + 𝜆𝜆2 𝛽2 + 2𝜆𝑘𝛽𝛽  With𝛼 and 𝛽 solved, we are now ready to solve 𝑔𝑡.  𝑔 𝑡 𝑔 = 𝐺 𝑡  𝑑 𝑑𝑠 log 𝑔𝑡 = 𝑔 𝑡 𝑔 = 𝐺  log 𝑔𝑡 = ∫ 𝐺𝐺𝐺 + 𝐶  𝑔𝑡 = 𝐶exp ∫ 𝐺𝑑𝑑 = exp − ∫ 𝐺𝐺𝐺 𝑇 0 exp ∫ 𝐺𝐺𝐺 𝑡 0  𝑔𝑡 = exp − ∫ 𝐺𝐺𝐺 𝑇 𝑡 62
  • 63.
    Computing the OptimalPosition  ℎ 𝑡 ∗ = − 𝐺 𝑉 𝑘 𝜃−𝑥 𝑡 +𝐺 𝑉𝑉 𝜂2 𝐺 𝑉𝑉 𝜂2  = − 𝛾𝑉 𝛾−1 𝑓 𝑘 𝜃−𝑥 𝑡 +𝛾𝑉 𝛾−1 𝑓𝑥 𝜂2 𝛾 𝛾−1 𝑉 𝛾−2 𝑓𝜂2  = − 𝑉𝑓 𝑘 𝜃−𝑥 𝑡 +𝑉𝑓𝑥 𝜂2 𝛾−1 𝑓𝜂2  = − 𝑉 𝛾−1 𝜂2 𝑓 𝑘 𝜃−𝑥 𝑡 +𝑓𝑥 𝜂2 𝑓  = − 𝑉 𝛾−1 𝜂2 𝑘 𝜃 − 𝑥𝑡 + 𝑓𝑥 𝑓 𝜂2  = 𝑉 1−𝛾 𝜂2 𝑘 𝜃 − 𝑥𝑡 + 𝜂2 𝛽 + 2𝛼𝛼  = 𝑉 1−𝛾 − 𝑘 𝜂2 𝑥𝑡 − 𝜃 + 2𝛼𝛼 + 𝛽 63
  • 64.
    The Optimal Position ℎ 𝑡 ∗ = 𝑉𝑡 1−𝛾 − 𝑘 𝜂2 𝑥 𝑡 − 𝜃 + 2𝛼 𝑡 𝑥 𝑡 + 𝛽 𝑡  ℎ 𝑡 ∗~ − 𝑘 𝜂2 𝑥 𝑡 − 𝜃 64
  • 65.
    P&L for SimulatedData  The portfolio increases from $1000 to $4625 in one year. 65
  • 66.
    Parameter Estimation  Canbe done using Maximum Likelihood.  Evaluation of parameter sensitivity can be done by Monte Carlo simulation.  In real trading, it is better to be conservative about the parameters.  Better underestimate the mean-reverting speed  Better overestimate the noise  To account for parameter regime changes, we can use:  a hidden Markov chain model  moving calibration window 66
  • 67.
  • 68.
    Two-State Markov Model 68 𝑑𝑆𝑟 = 𝑆𝑟 𝜇 𝛼 𝑟 𝑑𝑑 + 𝜎𝜎𝐵𝑟 𝛼 𝑟 = 0 DOWN TREND 𝛼 𝑟 = 1 UP TREND q p 1-q 1-p
  • 69.
    Buying and SellingDecisions 69  𝑡 ≤ 𝜏1 0 ≤ 𝜈1 0 ≤ 𝜏2 0 ≤ 𝜈2 0 ≤ ⋯ ≤ 𝜏 𝑛 0 ≤ 𝜈 𝑛 0 ≤ ⋯ ≤ 𝑇
  • 70.
  • 71.
    Trading SSE 2001– 2011 71