Embed presentation
Download to read offline





























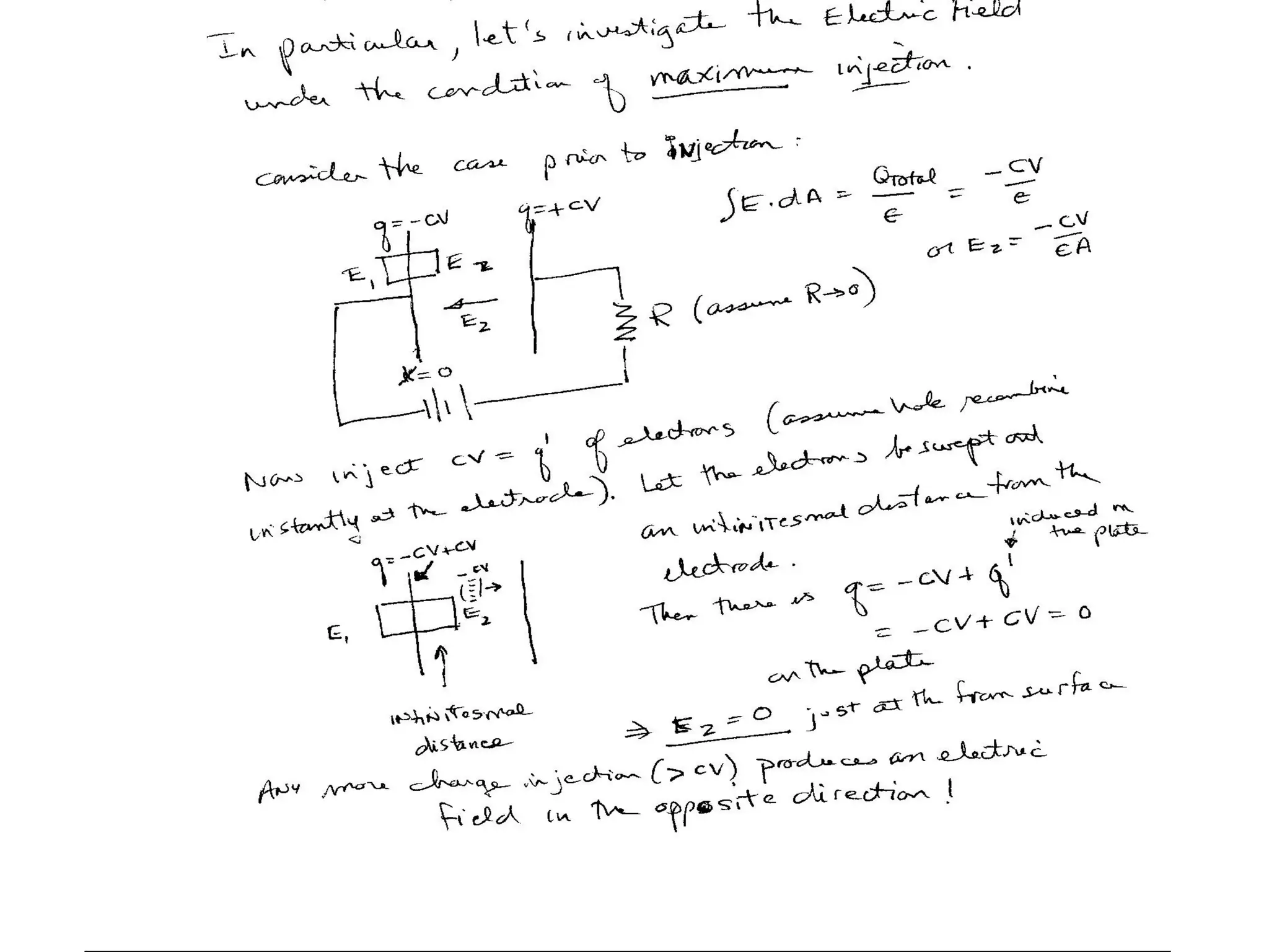
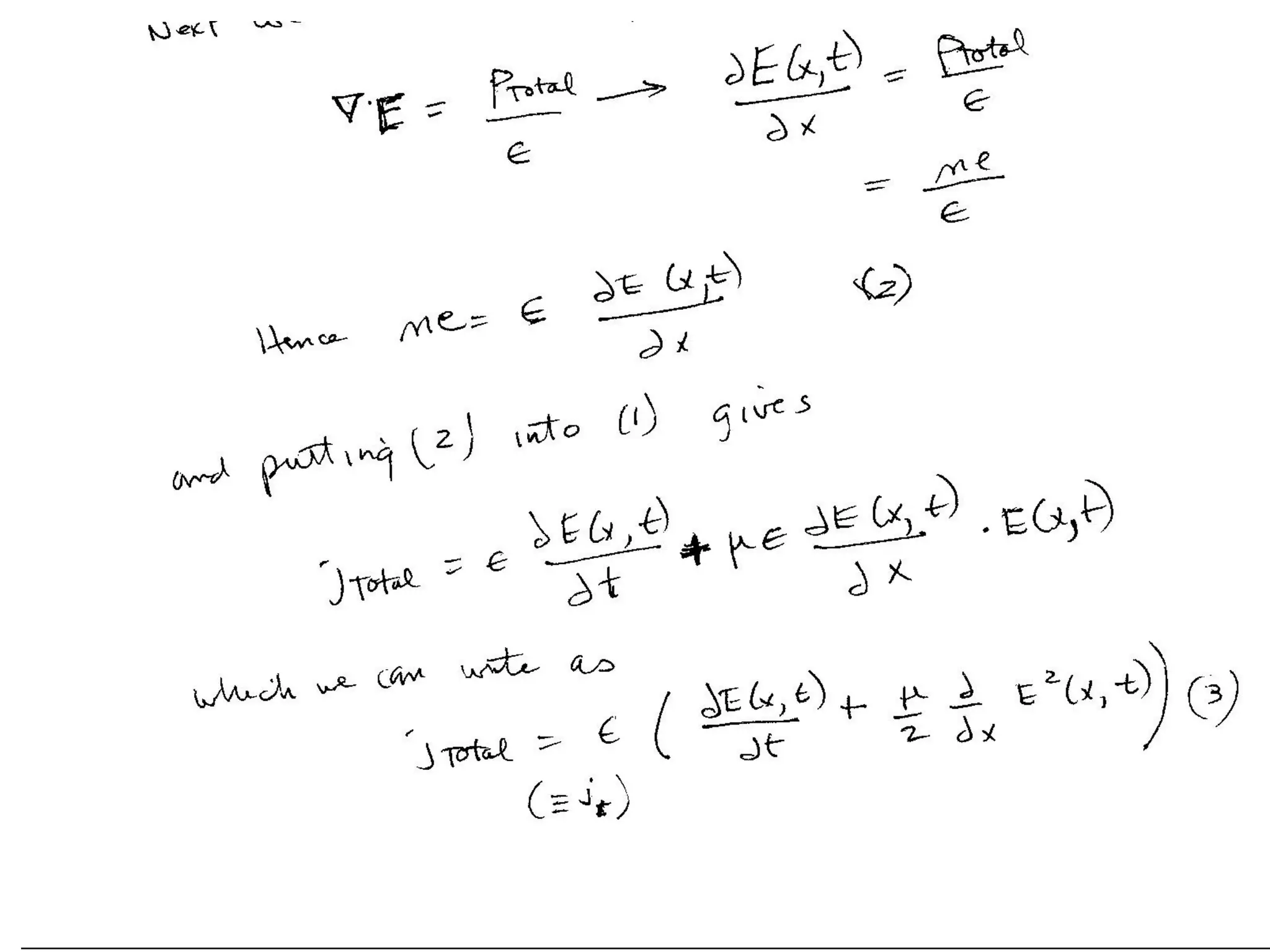
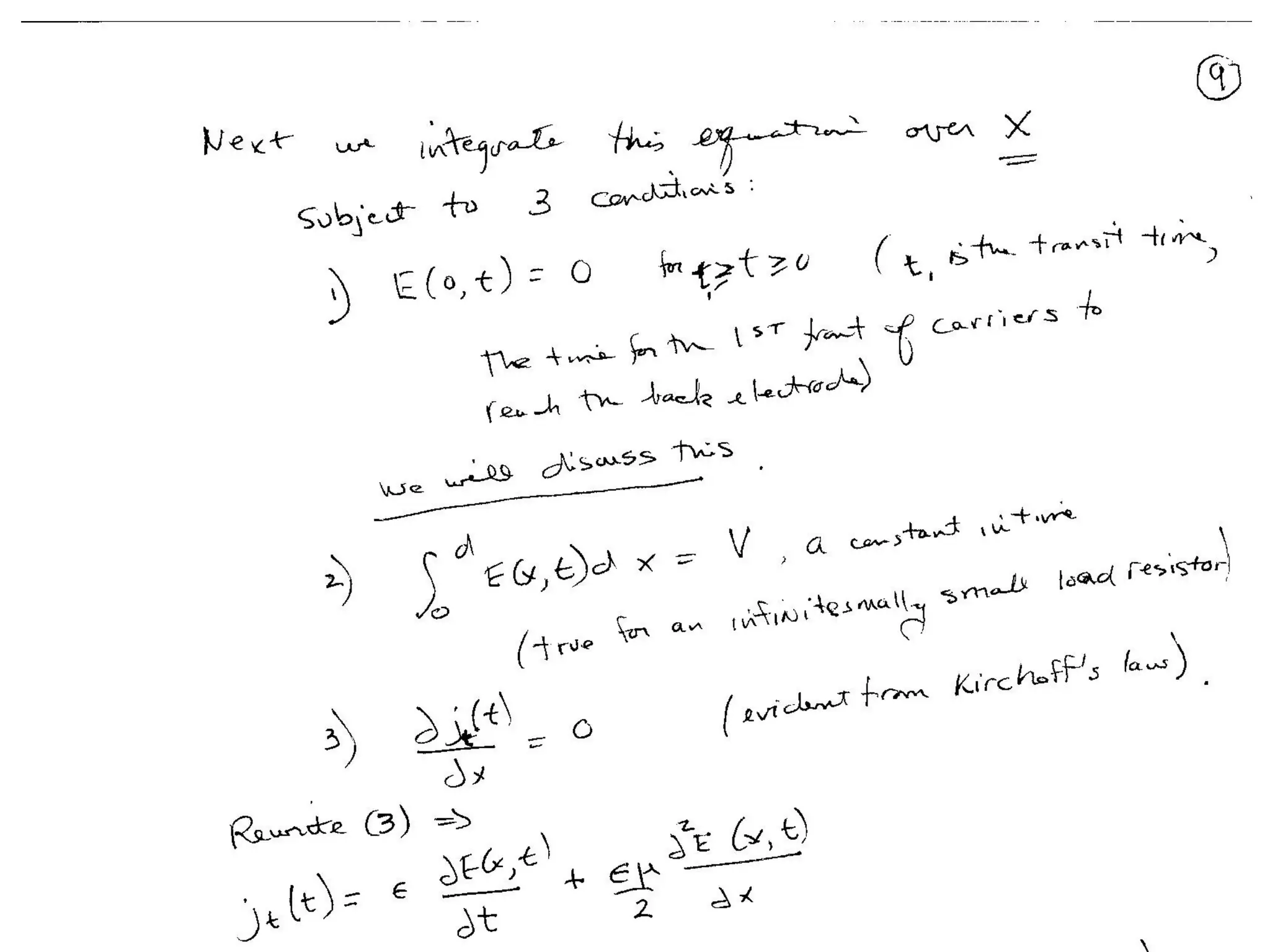
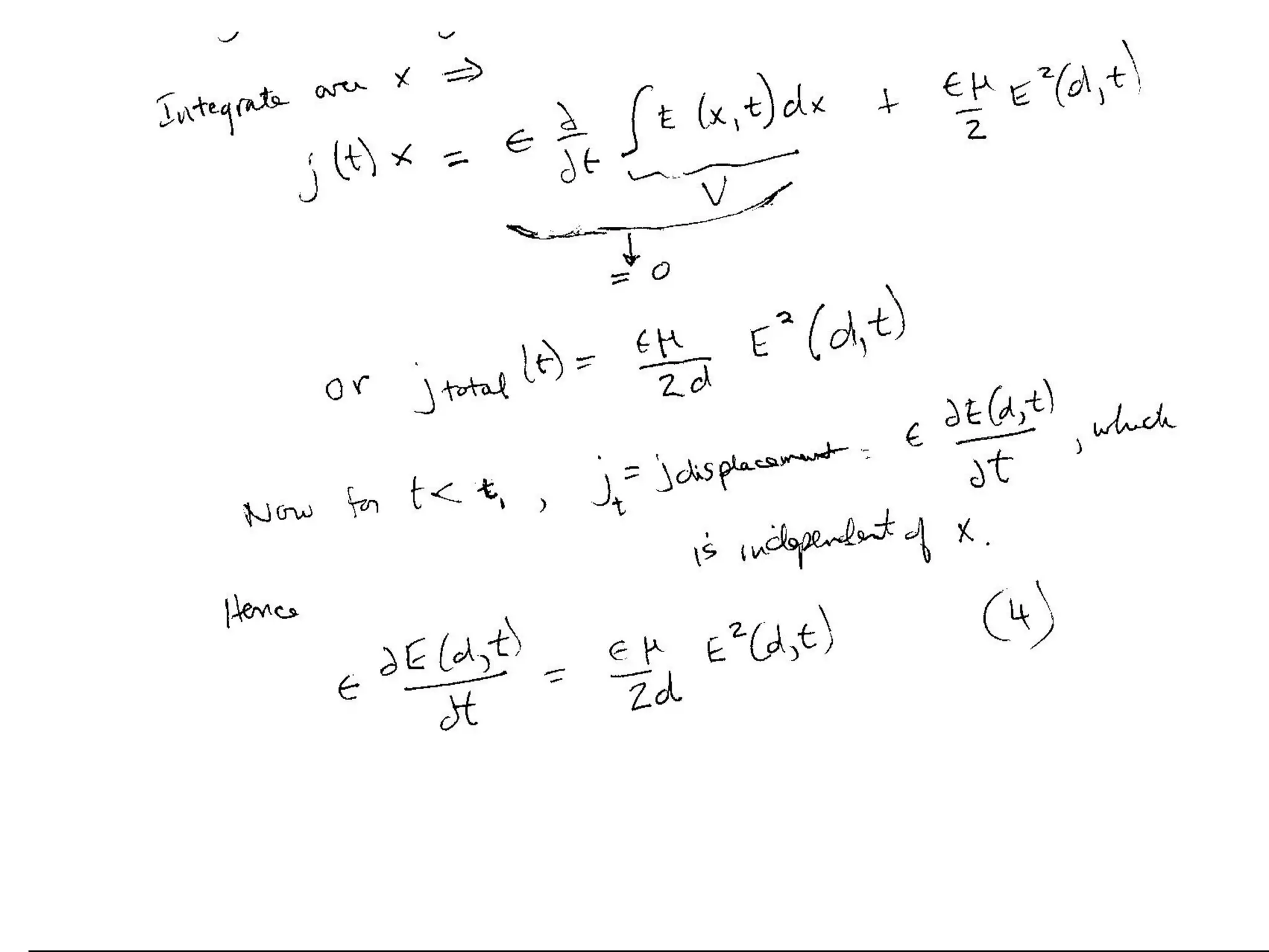
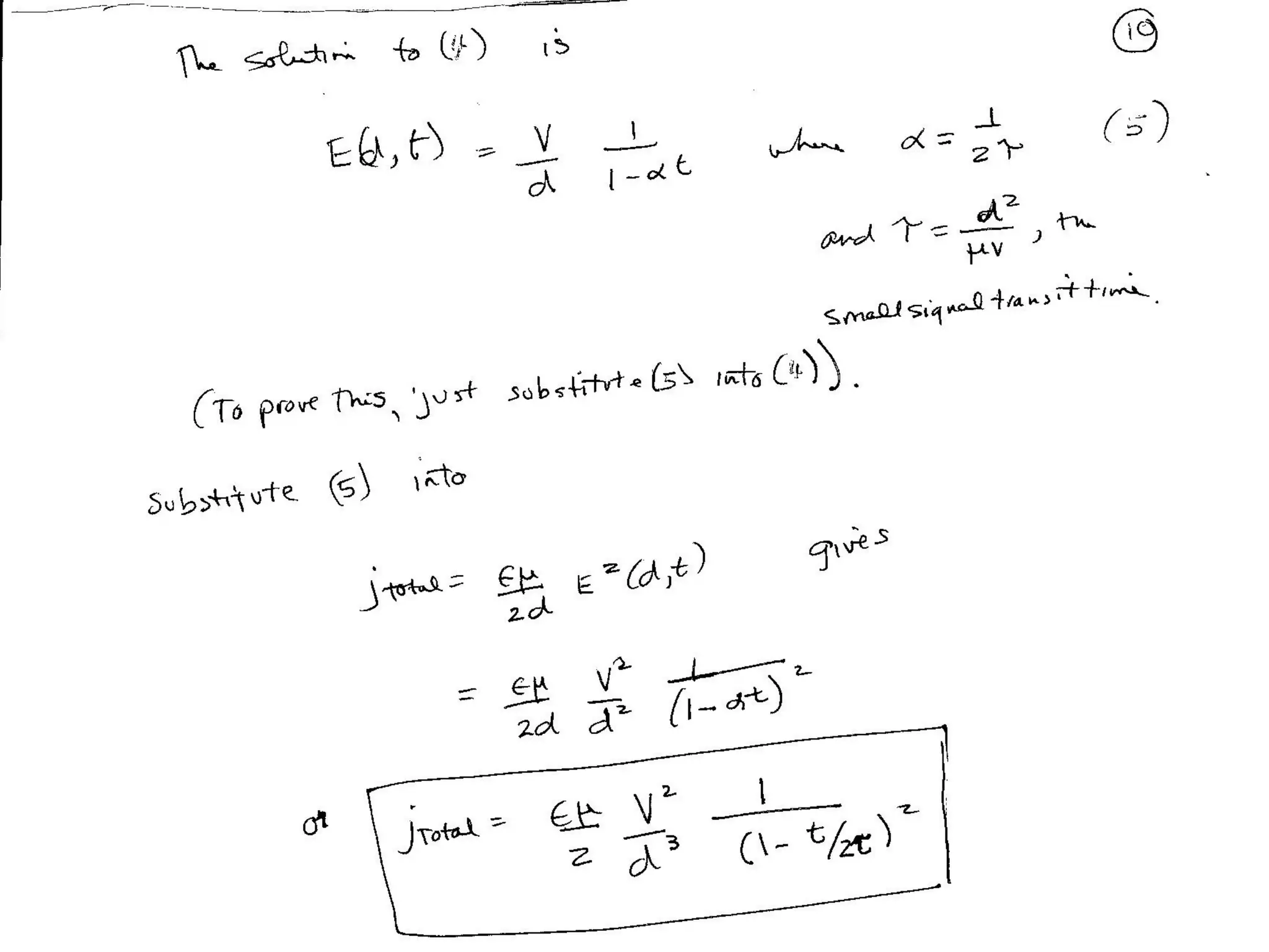
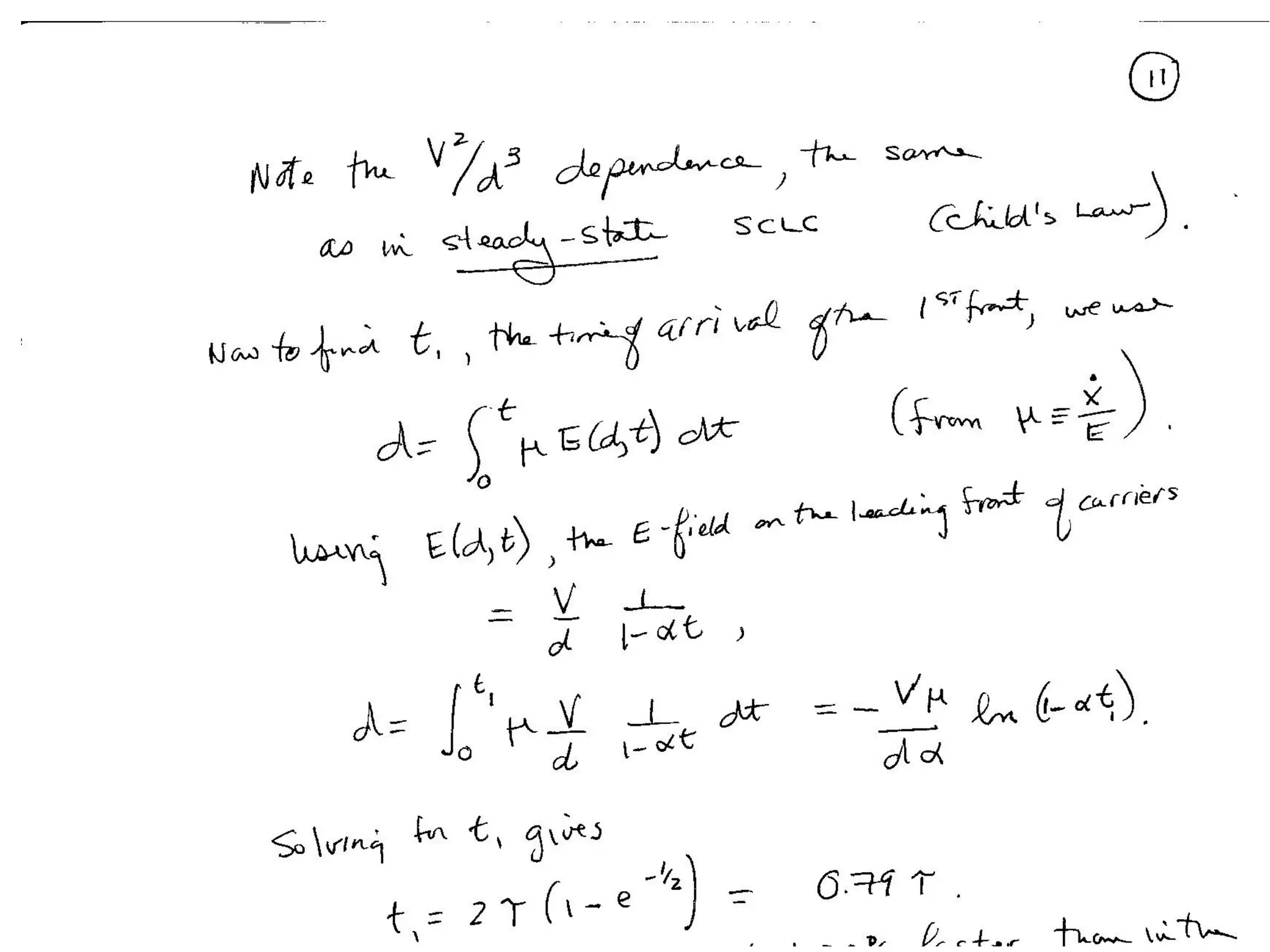
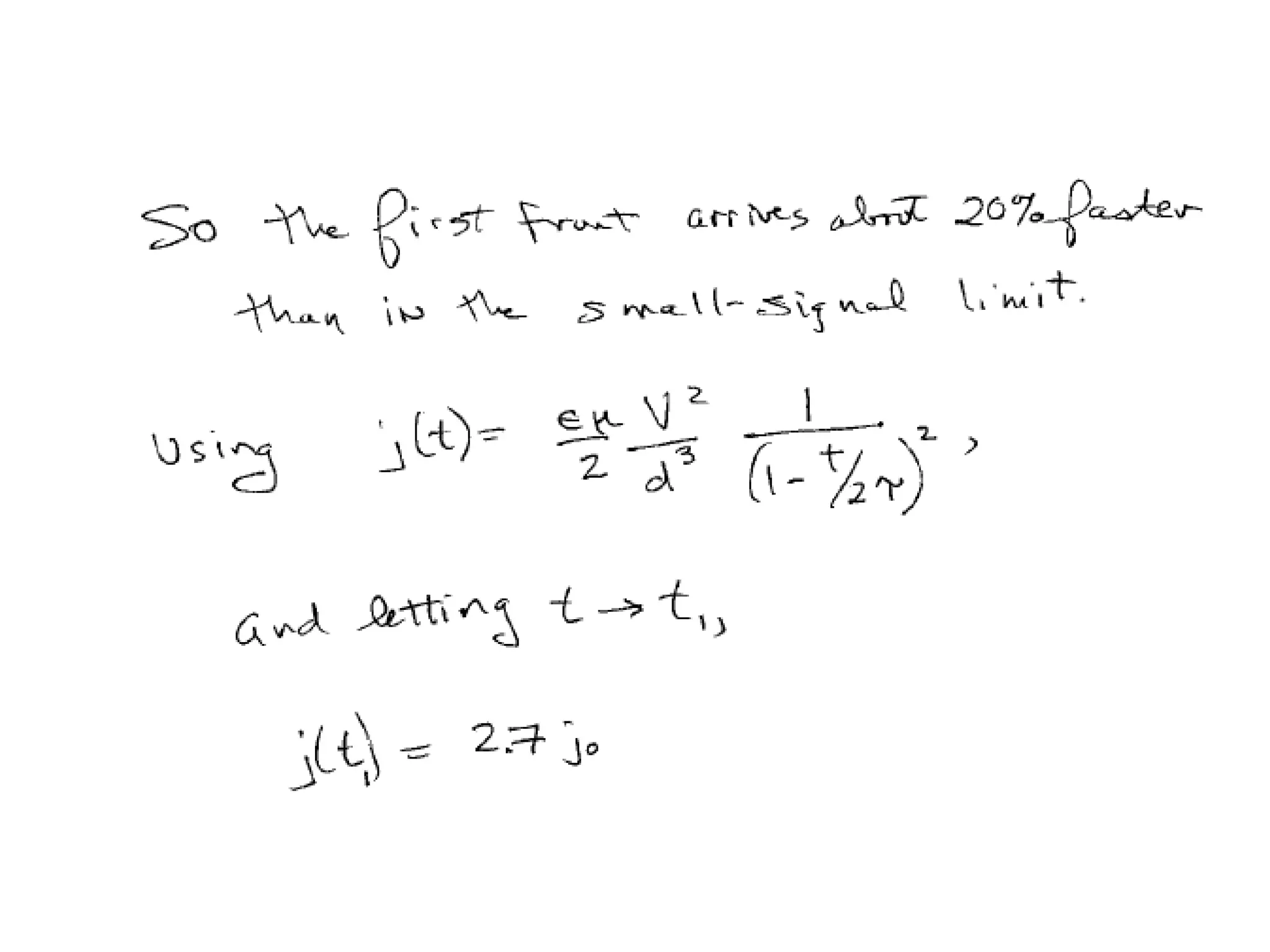
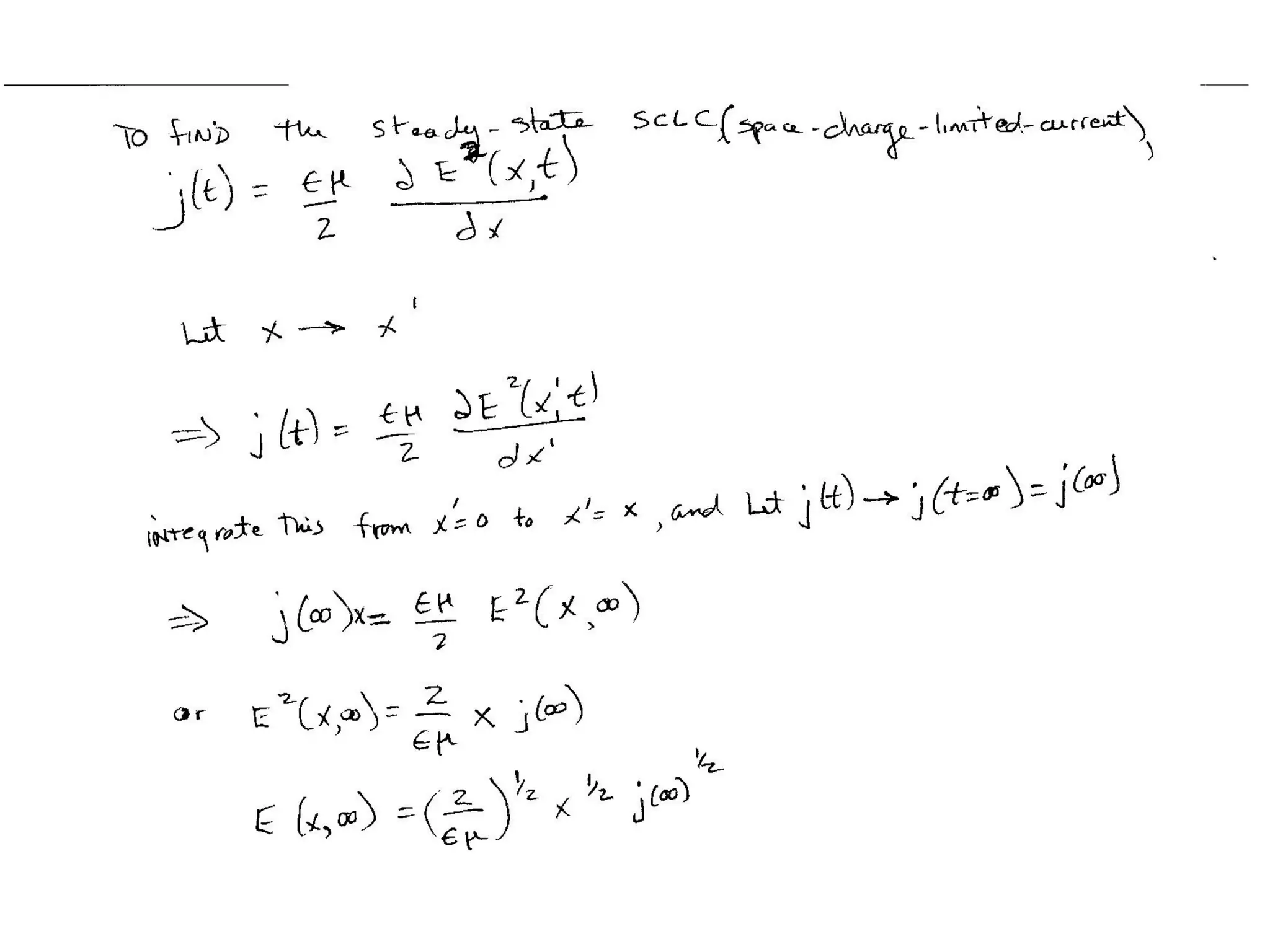
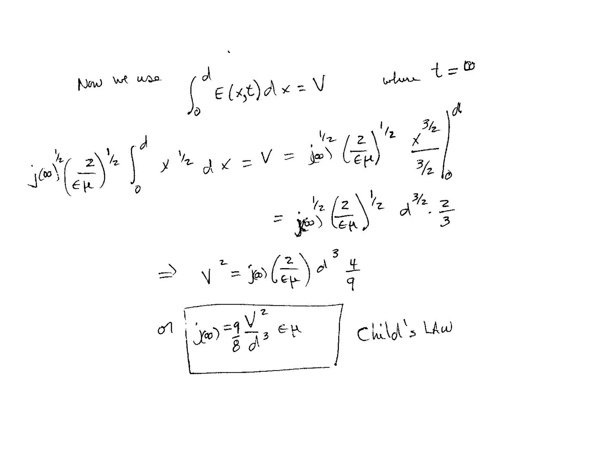
This lecture discusses the effects of finite charge injection and space charge limited currents in materials under electric fields including pulsed and steady-state conditions. It also examines dispersive transport models and Scher-Montrol theory for describing dispersive photocurrents generated by light excitation.




























