DTFT continue (c.f. Shenoi, 2006)
¾ We have introduced DTFT and showed some of its properties.
We will investigate them in more detail by showing the
associated derivations later.
¾ We have also given a motivation of DFT which is both
discrete in time and frequency domains. We will also introduce
DFT in more detail below.
DC response
¾When w=0, the complex exponential e−jw becomes a constant
signal, and the frequency response X(ejw) is often called the DC
response when w=0.
–The term DC stands for direct current, which is a constant
current.
We will represent the spectrum of DTFT either by H(ejwT) or
more often by H(ejw) for convenience.
¾ When represented as H(ejw), it has the frequency range [-
π,π]. In this case, the frequency variable is to be understood as
the normalized frequency. The range [0, π] corresponds to [0,
ws/2] (where wsT=2π), and the normalized frequency π
corresponds to the Nyquist frequency (and 2π corresponds to
the sampling frequency).
DC response
¾When w=0, the complex exponential e−jw becomes a constant
signal, and the frequency response X(ejw) is often called the DC
response when w=0.
–The term DC stands for direct current, which is a constant
current.
DTFT Properties Revisited
¾ Time shifting
¾ Frequency shifting
¾Time reversal
¾ DTFT of δ(n)
¾DTFT of δ(n+k)+ δ(n-k)
According to the time-shifting property,
Hence
( ) jwn
n
n
e
n −
−∞
=
∑δ
( ) ( ) jwk
jwk
e
k
n
e
k
n −
−
+ is
of
DTFT
,
is
of
DTFT δ
δ
( ) ( ) ( )
wk
e
e
k
n
k
n jwk
jwk
cos
2
is
of
DTFT =
+
−
+
+ −
δ
δ
1
0
=
= jw
e
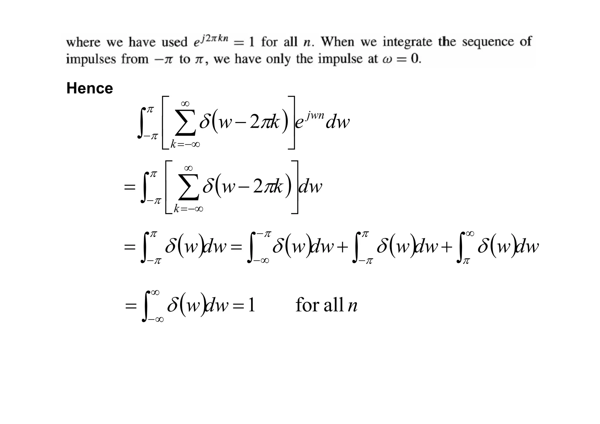
¾ DTFT of x(n) = 1 (for all n)
x(n) can be represented as
We prove that its DTFT is
Hence
( ) dw
e
k
w jwn
k
∫ ∑
−
∞
−∞
=
⎥
⎦
⎤
⎢
⎣
⎡
−
π
π
π
δ 2
( ) ( ) ( ) ( )dw
w
dw
w
dw
w
dw
w ∫
∫
∫
∫
∞
−
−
∞
−
−
+
+
=
=
π
π
π
π
π
π
δ
δ
δ
δ
( ) dw
k
w
k
∫ ∑
−
∞
−∞
=
⎥
⎦
⎤
⎢
⎣
⎡
−
=
π
π
π
δ 2
( ) n
dw
w all
for
1
=
= ∫
∞
∞
−
δ
From another point of view
¾ According to the sampling property: the DTFT of a continuous
signal xa(t) sampled with period T is obtained by a periodic
duplication of the continuous Fourier transform Xa(jw) with a
period 2π/T = ws and scaled by T.
Since the continuous F.T. of x(t)=1 (for all t) is δ(t), the DTFT
of x(n)=1 shall be a impulse train (or impulse comb), and it turns
out to be
¾ DTFT of anu(n) (|a|<1)
let
then
This infinite sequence converges to
when |a|<1.
¾ DTFT of Unit Step Sequence
Adding these two results, we have the final result
¾ Differentiation Property
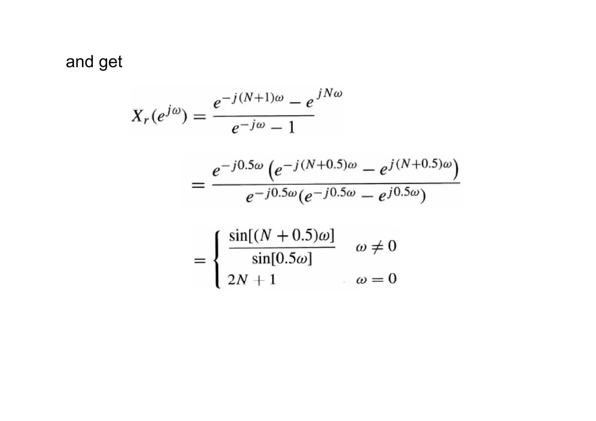
¾ DTFT of a rectangular pulse
and get
Convolution
Convolution of two discrete-time signals
Let x[n] and h[n] be two signals, the convolution of x and
h is
can be written in short by y[n] = x[n] ∗ h[n].
Convolution of two continuous-time signals
can be written in short by y(t) = x(t) ∗ h(t)
[ ] [ ] [ ]
∑
∞
−∞
=
−
=
k
k
n
h
k
x
n
y
( ) ( ) ( )
∫
∞
∞
−
−
= τ
τ
τ d
t
h
x
t
y
Continuous convolution: optics example
From Kuhn 2005
Continuous convolution: electronics example
From Kuhn 2005
Properties of convolution
¾Communitive
„x[n] ∗ h[n] = h[n] ∗ x[n]
this means that y[n] can also be represented as
¾Associative
„x[n] ∗ (h1[n] ∗ h2[n]) = (x[n] ∗ h1[n]) ∗ h2[n].
¾Linear
„x[n] ∗ (ah1[n] + bh2[n]) = ax[n] ∗ h1[n] + bx[n] ∗ h2[n].
¾Sequence shifting is equivalent to convolute with a
shifted impulse
„x[n-d]= x[n] ∗ δ[n-d]
[ ] [ ] [ ]
∑
∞
−∞
=
−
=
k
k
h
k
n
x
n
y
An illustrative example
x[n]∗δ[n] x[n]∗h[n]
Convolution can be realized by
–Reflecting h[k] about the origin to obtain h[-k].
–Shifting the origin of the reflected sequences to k=n.
–Computing the weighted moving average of x[k] by
using the weights given by h[n-k].
Convolution can be explained as “arithmetic product.”
•Eg.,
–x[n] = 0, 0, 5, 2, 3, 0, 0…
–h[n] = 0, 0, 1, 4, 3, 0, 0…
–x[n] ∗ h[n]:
0
9,
22,26,18,
5,
0,
0,
0
9,
6,
15,
0,
0,
0,
0,
0
0,
12,
8,
20,
0,
0,
0,
0
0,
0,
3,
2,
5
0,
0,
...
0,
0,
3,
4,
1,
0,
0,
*)
...
0,
0,
3,
2,
5
0,
0
,
,
,
Convolution vs. Fourier Transform
Multiplication Property: For continuous F.T. and DTFT, if
we perform multiplication in time domain, then it is
equivalent to performing convolution in the frequency
domain, and vice versa.
DTFT convolution theorem:
Let x[n] ↔ X(ejw) and h[n] ↔ H(ejw).
If y[n] = x[n] ∗ h[n], then
Y(ejw) = X(ejw)H(ejw)
modulation/windowing theorem (or multiplication property)
Let x[n] ↔ X(ejw) and w[n] ↔ W(ejw).
If y[n] = x[n]w[n], then
( ) ( ) ( )
( )
∫
−
−
=
π
π
θ
θ
θ
π
d
e
W
e
X
e
Y w
j
j
jw
2
1 a periodic
convolution
For continuous F. T.
In summary,
Sampling theorem revisited (oppenheim et al. 1999)
An ideal continuous-to-discrete-time (C/D) converter
Let s(t) be a continuous signal, which is a periodic impulse train:
We modulate s(t) with xc(t), obtaining
( ) ( )
∑
∞
∞
−
−
= nT
t
t
s δ
( ) ( ) ( ) ( ) ( )
∑
∞
∞
−
−
=
= nT
t
t
x
t
s
t
x
t
x c
c
s δ
Examples of xs(t) for two sampling rates
Through the ‘sifting property’ of the impulse function, xs(t) can
be expressed as
Let us now consider the continuous Fourier transform of xs(t).
Since xs(t) is a product of xc(t) and s(t), its continuous Fourier
transform is the convolution of Xc(jΩ) and S(jΩ).
( ) ( ) ( )
∑
∞
∞
−
−
= nT
t
nT
x
t
x c
s δ
Sampling with a periodic impulse followed by conversion to
a discrete-time sequence
Note that the continuous Fourier transform of a periodic
impulse train is a periodic impulse train.
where Ωs =2π/T is the sampling frequency in radians/s.
Since
If follows that
Again, we see that the copies of Xc(jΩ) are shifted by integer
multiples of the sampling frequency, and then superimposed to
product the periodic Fourier transform of the impulse train of
samples.
( ) ( ) ( )
Ω
∗
Ω
=
Ω j
S
j
X
j
X c
s
( ) ( )
( )
∑
∞
−∞
=
Ω
−
Ω
=
Ω
k
s
c
s k
j
X
T
j
X
1
( ) ( )
∑
∞
−∞
=
Ω
−
Ω
=
Ω
k
s
k
T
j
S δ
1
Sampling of Bandpass Signals (c.f. Shenoi, 2006)
Correlation
¾Given a pair of sequences x[n] and y[n], their cross
correlation sequence is rxy[l] is defined as
for all integer l. The cross correlation sequence can
sometimes help to measure similarities between two signals.
It’s very similar to convolution, unless the indices
changes from l − n to n − l.
¾Autocorrelation:
[ ] [ ] [ ] [ ] [ ]
l
y
n
x
l
n
y
n
x
l
r
n
xy −
∗
=
−
= ∑
∞
−∞
=
[ ] [ ] [ ]
∑
∞
−∞
=
−
=
n
xx l
n
x
n
x
l
r
¾ Consider the following non-negative expression:
That is,
¾ Thus, the matrix is positive semidefinite.
¾Its determinate is nonnegative.
Properties
[ ] [ ]
( ) [ ] [ ] [ ] [ ]
[ ] [ ] [ ] 0
0
2
0
2
2
2
2
2
2
≥
+
+
=
−
+
−
+
=
−
+ ∑
∑
∑
∑
∞
−∞
=
∞
−∞
=
∞
−∞
=
∞
−∞
=
yy
xy
xx
n
n
n
n
r
l
ar
r
a
l
n
y
l
n
y
n
x
a
n
x
a
l
n
y
n
ax
[ ]
[ ] [ ]
[ ] [ ] a
a
r
l
r
l
r
r
a
yy
xy
xy
xx
all
for
0
1
0
0
1 ≥
⎥
⎦
⎤
⎢
⎣
⎡
⎥
⎦
⎤
⎢
⎣
⎡
[ ] [ ]
[ ] [ ]⎥
⎦
⎤
⎢
⎣
⎡
0
0
yy
xy
xy
xx
r
l
r
l
r
r
¾ The determinant is rxx[0]ryy[0] − rxy
2[l] ≥ 0.
Properties
rxx[0]ryy[0] ≥ rxy
2[l]
rxx
2[0] ≥ rxy
2[l]
¾ Normalized cross correlation and autocorrelation:
The properties imply that |ρxx[0]|≤1 and |ρyy[0]|≤1.
¾ The DTFT of the autocorrelation signal rxx[l] is the squared
magnitude of the DTFT of x[n], i.e., |X(ejw)|2.
Correlation is useful in random signal processing
[ ] [ ]
[ ]
[ ]
[ ]
[ ] [ ]
0
0
0 yy
xx
xy
xy
xx
xx
xx
r
r
l
r
l
r
l
r
l =
= ρ
ρ
DFT and DTFT – A closer look
We discuss the DTFT-IDTFT pair (‘I’ means “inverse) for a
discrete-time function given by
and
The pair and their properties and applications are elegant,
but from practical point of view, we see some limitations; eg.
the input signal is usually aperiodic and may be finite in length.
Example of a finite-length x(n) and its DTFT X(ejw).
A finite-length
signal
Its magnitude
spectrum
Its phase
spectrum
The function X(ejw) is continuous in w, and the integration is
not suitable for computation by a digital computer.
¾ We can discretize the frequency variable and find discrete
values for X(ejwk), where wk are equally sampled whthin [-π, π].
Discrete-time Fourier Series (DFS)
Let x(n) (n∈Z) be a finite-length sequence, with the length
being N; i.e., x(n) = 0 for n < 0 and n > N.
Consider a periodic expansion of x(n):
xp(n) is periodic, so it can be represented as a Fourier series:
( ) ( ) integer
any
is
,
1
,...,
1
,
0
, K
n
n
n
x
KN
n
xp −
=
=
+
To find the coefficients Xp(k) (with respect to a discrete
periodic signal), we use the following summation, instead of
integration:
First, multiply both sides by e-jmw0k, and sum over n from n=0
to n=N-1:
By interchanging the order of summation, we get
Noting that
pf. When n=m, the summation reduces to
N
When n≠m, by applying the geometric-sequence formula,
we have
( ) ( ) ( )
( ) ( )
( )
( ) ( ) ( )
( ) 0
1
1
/
2
)
(
/
2
)
(
/
2
2
/
2
)
(
/
2
)
(
/
2
1
'
'
/
2
1
0
/
2
=
−
−
=
−
−
=
=
−
−
+
−
−
−
−
−
=
−
=
−
∑
∑
k
N
j
m
k
N
j
m
k
N
j
k
j
k
N
j
m
k
N
j
m
N
k
N
j
m
N
m
n
kn
N
j
N
n
m
n
k
N
j
e
e
e
e
e
e
e
e
π
π
π
π
π
π
π
π
π
1
,
1
1
≠
−
−
=
−
+
−
=
∑ r
r
r
r
r
M
N
N
M
n
n
Since there is only one nonzero term,
= Xp(k)N
The final result is
The following pairs then form the DFS
Relation between DTFT and DFS for finite-length sequences
We note that
¾ In other words, when the DTFT of the finite length
sequence x(n) is evaluated at the discrete frequency wk =
(2π/N)k, (which is the kth sample when the frequency range
[0, 2π] is divided into N equally spaced points) and dividing by
N, we get the Fourier series coefficients Xp(k).
DTFT spectrum
DFS coeficient
A finite-
length
signal
Its magnitude
spectrum
(sampled)
Its phase
spectrum
(sampled)
To simplify the notation, let us denote
The DFS-IDFS (‘I’ means “inverse”) can be rewritten as
(W=WN)
Discrete Fourier Transform (DFT)
¾ Consider both the signal and the spectrum only within one
period (N-point signals both in time and frequency domains)
( )
N
j
N e
W /
2π
−
=
DFT
IDFT
(inverse
DFT)
Relation between DFT and DTFT: The frequency coefficients
of DFT is the N-point uniform samples of DTFT with [0, 2π].
¾ The two equations DFT and IDFT give us a numerical
algorithm to obtain the frequency response at least at the N
discrete frequencies. By choosing a large value N, we get a
fairly good idea of the frequency response for x(n), which is a
function of the continuous variable w.
Question: Can we reconstruct the DTFT spectrum (continuous
in w) from the DFT?
→ Since the N-length signal can be exactly recovered from
both the DFT coefficients and the DTFT spectrum, we
expect that the DTFT spectrum (that is within [0, 2π]) can
be exactly reconstructed by the DCT coefficients.
Reconstruct DTFT from DFT
(when the sequence is finite-length)
By substituting the inverse DFT into the x(n), we have
a geometric sequence
By applying the geometric-sequence formula
So
The reconstruction formula

DTFT continue digital signal processing.pdf

  • 1.
    DTFT continue (c.f.Shenoi, 2006) ¾ We have introduced DTFT and showed some of its properties. We will investigate them in more detail by showing the associated derivations later. ¾ We have also given a motivation of DFT which is both discrete in time and frequency domains. We will also introduce DFT in more detail below.
  • 2.
    DC response ¾When w=0,the complex exponential e−jw becomes a constant signal, and the frequency response X(ejw) is often called the DC response when w=0. –The term DC stands for direct current, which is a constant current.
  • 3.
    We will representthe spectrum of DTFT either by H(ejwT) or more often by H(ejw) for convenience. ¾ When represented as H(ejw), it has the frequency range [- π,π]. In this case, the frequency variable is to be understood as the normalized frequency. The range [0, π] corresponds to [0, ws/2] (where wsT=2π), and the normalized frequency π corresponds to the Nyquist frequency (and 2π corresponds to the sampling frequency).
  • 4.
    DC response ¾When w=0,the complex exponential e−jw becomes a constant signal, and the frequency response X(ejw) is often called the DC response when w=0. –The term DC stands for direct current, which is a constant current. DTFT Properties Revisited ¾ Time shifting
  • 5.
  • 6.
    ¾ DTFT ofδ(n) ¾DTFT of δ(n+k)+ δ(n-k) According to the time-shifting property, Hence ( ) jwn n n e n − −∞ = ∑δ ( ) ( ) jwk jwk e k n e k n − − + is of DTFT , is of DTFT δ δ ( ) ( ) ( ) wk e e k n k n jwk jwk cos 2 is of DTFT = + − + + − δ δ 1 0 = = jw e
  • 7.
    ¾ DTFT ofx(n) = 1 (for all n) x(n) can be represented as We prove that its DTFT is
  • 8.
    Hence ( ) dw e k wjwn k ∫ ∑ − ∞ −∞ = ⎥ ⎦ ⎤ ⎢ ⎣ ⎡ − π π π δ 2 ( ) ( ) ( ) ( )dw w dw w dw w dw w ∫ ∫ ∫ ∫ ∞ − − ∞ − − + + = = π π π π π π δ δ δ δ ( ) dw k w k ∫ ∑ − ∞ −∞ = ⎥ ⎦ ⎤ ⎢ ⎣ ⎡ − = π π π δ 2 ( ) n dw w all for 1 = = ∫ ∞ ∞ − δ
  • 9.
    From another pointof view ¾ According to the sampling property: the DTFT of a continuous signal xa(t) sampled with period T is obtained by a periodic duplication of the continuous Fourier transform Xa(jw) with a period 2π/T = ws and scaled by T. Since the continuous F.T. of x(t)=1 (for all t) is δ(t), the DTFT of x(n)=1 shall be a impulse train (or impulse comb), and it turns out to be ¾ DTFT of anu(n) (|a|<1) let then This infinite sequence converges to when |a|<1.
  • 10.
    ¾ DTFT ofUnit Step Sequence
  • 11.
    Adding these tworesults, we have the final result
  • 12.
  • 13.
    ¾ DTFT ofa rectangular pulse
  • 14.
  • 15.
    Convolution Convolution of twodiscrete-time signals Let x[n] and h[n] be two signals, the convolution of x and h is can be written in short by y[n] = x[n] ∗ h[n]. Convolution of two continuous-time signals can be written in short by y(t) = x(t) ∗ h(t) [ ] [ ] [ ] ∑ ∞ −∞ = − = k k n h k x n y ( ) ( ) ( ) ∫ ∞ ∞ − − = τ τ τ d t h x t y
  • 16.
    Continuous convolution: opticsexample From Kuhn 2005
  • 17.
  • 18.
    Properties of convolution ¾Communitive „x[n]∗ h[n] = h[n] ∗ x[n] this means that y[n] can also be represented as ¾Associative „x[n] ∗ (h1[n] ∗ h2[n]) = (x[n] ∗ h1[n]) ∗ h2[n]. ¾Linear „x[n] ∗ (ah1[n] + bh2[n]) = ax[n] ∗ h1[n] + bx[n] ∗ h2[n]. ¾Sequence shifting is equivalent to convolute with a shifted impulse „x[n-d]= x[n] ∗ δ[n-d] [ ] [ ] [ ] ∑ ∞ −∞ = − = k k h k n x n y
  • 19.
  • 22.
    Convolution can berealized by –Reflecting h[k] about the origin to obtain h[-k]. –Shifting the origin of the reflected sequences to k=n. –Computing the weighted moving average of x[k] by using the weights given by h[n-k].
  • 25.
    Convolution can beexplained as “arithmetic product.” •Eg., –x[n] = 0, 0, 5, 2, 3, 0, 0… –h[n] = 0, 0, 1, 4, 3, 0, 0… –x[n] ∗ h[n]: 0 9, 22,26,18, 5, 0, 0, 0 9, 6, 15, 0, 0, 0, 0, 0 0, 12, 8, 20, 0, 0, 0, 0 0, 0, 3, 2, 5 0, 0, ... 0, 0, 3, 4, 1, 0, 0, *) ... 0, 0, 3, 2, 5 0, 0 , , ,
  • 26.
    Convolution vs. FourierTransform Multiplication Property: For continuous F.T. and DTFT, if we perform multiplication in time domain, then it is equivalent to performing convolution in the frequency domain, and vice versa. DTFT convolution theorem: Let x[n] ↔ X(ejw) and h[n] ↔ H(ejw). If y[n] = x[n] ∗ h[n], then Y(ejw) = X(ejw)H(ejw) modulation/windowing theorem (or multiplication property) Let x[n] ↔ X(ejw) and w[n] ↔ W(ejw). If y[n] = x[n]w[n], then ( ) ( ) ( ) ( ) ∫ − − = π π θ θ θ π d e W e X e Y w j j jw 2 1 a periodic convolution
  • 27.
    For continuous F.T. In summary,
  • 28.
    Sampling theorem revisited(oppenheim et al. 1999) An ideal continuous-to-discrete-time (C/D) converter Let s(t) be a continuous signal, which is a periodic impulse train: We modulate s(t) with xc(t), obtaining ( ) ( ) ∑ ∞ ∞ − − = nT t t s δ ( ) ( ) ( ) ( ) ( ) ∑ ∞ ∞ − − = = nT t t x t s t x t x c c s δ
  • 29.
    Examples of xs(t)for two sampling rates
  • 30.
    Through the ‘siftingproperty’ of the impulse function, xs(t) can be expressed as Let us now consider the continuous Fourier transform of xs(t). Since xs(t) is a product of xc(t) and s(t), its continuous Fourier transform is the convolution of Xc(jΩ) and S(jΩ). ( ) ( ) ( ) ∑ ∞ ∞ − − = nT t nT x t x c s δ Sampling with a periodic impulse followed by conversion to a discrete-time sequence
  • 31.
    Note that thecontinuous Fourier transform of a periodic impulse train is a periodic impulse train. where Ωs =2π/T is the sampling frequency in radians/s. Since If follows that Again, we see that the copies of Xc(jΩ) are shifted by integer multiples of the sampling frequency, and then superimposed to product the periodic Fourier transform of the impulse train of samples. ( ) ( ) ( ) Ω ∗ Ω = Ω j S j X j X c s ( ) ( ) ( ) ∑ ∞ −∞ = Ω − Ω = Ω k s c s k j X T j X 1 ( ) ( ) ∑ ∞ −∞ = Ω − Ω = Ω k s k T j S δ 1
  • 35.
    Sampling of BandpassSignals (c.f. Shenoi, 2006)
  • 36.
    Correlation ¾Given a pairof sequences x[n] and y[n], their cross correlation sequence is rxy[l] is defined as for all integer l. The cross correlation sequence can sometimes help to measure similarities between two signals. It’s very similar to convolution, unless the indices changes from l − n to n − l. ¾Autocorrelation: [ ] [ ] [ ] [ ] [ ] l y n x l n y n x l r n xy − ∗ = − = ∑ ∞ −∞ = [ ] [ ] [ ] ∑ ∞ −∞ = − = n xx l n x n x l r
  • 37.
    ¾ Consider thefollowing non-negative expression: That is, ¾ Thus, the matrix is positive semidefinite. ¾Its determinate is nonnegative. Properties [ ] [ ] ( ) [ ] [ ] [ ] [ ] [ ] [ ] [ ] 0 0 2 0 2 2 2 2 2 2 ≥ + + = − + − + = − + ∑ ∑ ∑ ∑ ∞ −∞ = ∞ −∞ = ∞ −∞ = ∞ −∞ = yy xy xx n n n n r l ar r a l n y l n y n x a n x a l n y n ax [ ] [ ] [ ] [ ] [ ] a a r l r l r r a yy xy xy xx all for 0 1 0 0 1 ≥ ⎥ ⎦ ⎤ ⎢ ⎣ ⎡ ⎥ ⎦ ⎤ ⎢ ⎣ ⎡ [ ] [ ] [ ] [ ]⎥ ⎦ ⎤ ⎢ ⎣ ⎡ 0 0 yy xy xy xx r l r l r r
  • 38.
    ¾ The determinantis rxx[0]ryy[0] − rxy 2[l] ≥ 0. Properties rxx[0]ryy[0] ≥ rxy 2[l] rxx 2[0] ≥ rxy 2[l] ¾ Normalized cross correlation and autocorrelation: The properties imply that |ρxx[0]|≤1 and |ρyy[0]|≤1. ¾ The DTFT of the autocorrelation signal rxx[l] is the squared magnitude of the DTFT of x[n], i.e., |X(ejw)|2. Correlation is useful in random signal processing [ ] [ ] [ ] [ ] [ ] [ ] [ ] 0 0 0 yy xx xy xy xx xx xx r r l r l r l r l = = ρ ρ
  • 39.
    DFT and DTFT– A closer look We discuss the DTFT-IDTFT pair (‘I’ means “inverse) for a discrete-time function given by and The pair and their properties and applications are elegant, but from practical point of view, we see some limitations; eg. the input signal is usually aperiodic and may be finite in length.
  • 40.
    Example of afinite-length x(n) and its DTFT X(ejw). A finite-length signal Its magnitude spectrum Its phase spectrum
  • 41.
    The function X(ejw)is continuous in w, and the integration is not suitable for computation by a digital computer. ¾ We can discretize the frequency variable and find discrete values for X(ejwk), where wk are equally sampled whthin [-π, π]. Discrete-time Fourier Series (DFS) Let x(n) (n∈Z) be a finite-length sequence, with the length being N; i.e., x(n) = 0 for n < 0 and n > N. Consider a periodic expansion of x(n): xp(n) is periodic, so it can be represented as a Fourier series: ( ) ( ) integer any is , 1 ,..., 1 , 0 , K n n n x KN n xp − = = +
  • 42.
    To find thecoefficients Xp(k) (with respect to a discrete periodic signal), we use the following summation, instead of integration: First, multiply both sides by e-jmw0k, and sum over n from n=0 to n=N-1: By interchanging the order of summation, we get
  • 43.
    Noting that pf. Whenn=m, the summation reduces to N When n≠m, by applying the geometric-sequence formula, we have ( ) ( ) ( ) ( ) ( ) ( ) ( ) ( ) ( ) ( ) 0 1 1 / 2 ) ( / 2 ) ( / 2 2 / 2 ) ( / 2 ) ( / 2 1 ' ' / 2 1 0 / 2 = − − = − − = = − − + − − − − − = − = − ∑ ∑ k N j m k N j m k N j k j k N j m k N j m N k N j m N m n kn N j N n m n k N j e e e e e e e e π π π π π π π π π 1 , 1 1 ≠ − − = − + − = ∑ r r r r r M N N M n n
  • 44.
    Since there isonly one nonzero term, = Xp(k)N The final result is The following pairs then form the DFS
  • 45.
    Relation between DTFTand DFS for finite-length sequences We note that ¾ In other words, when the DTFT of the finite length sequence x(n) is evaluated at the discrete frequency wk = (2π/N)k, (which is the kth sample when the frequency range [0, 2π] is divided into N equally spaced points) and dividing by N, we get the Fourier series coefficients Xp(k). DTFT spectrum DFS coeficient
  • 46.
  • 47.
    To simplify thenotation, let us denote The DFS-IDFS (‘I’ means “inverse”) can be rewritten as (W=WN) Discrete Fourier Transform (DFT) ¾ Consider both the signal and the spectrum only within one period (N-point signals both in time and frequency domains) ( ) N j N e W / 2π − = DFT IDFT (inverse DFT)
  • 48.
    Relation between DFTand DTFT: The frequency coefficients of DFT is the N-point uniform samples of DTFT with [0, 2π]. ¾ The two equations DFT and IDFT give us a numerical algorithm to obtain the frequency response at least at the N discrete frequencies. By choosing a large value N, we get a fairly good idea of the frequency response for x(n), which is a function of the continuous variable w. Question: Can we reconstruct the DTFT spectrum (continuous in w) from the DFT? → Since the N-length signal can be exactly recovered from both the DFT coefficients and the DTFT spectrum, we expect that the DTFT spectrum (that is within [0, 2π]) can be exactly reconstructed by the DCT coefficients.
  • 49.
    Reconstruct DTFT fromDFT (when the sequence is finite-length) By substituting the inverse DFT into the x(n), we have a geometric sequence
  • 50.
    By applying thegeometric-sequence formula
  • 51.