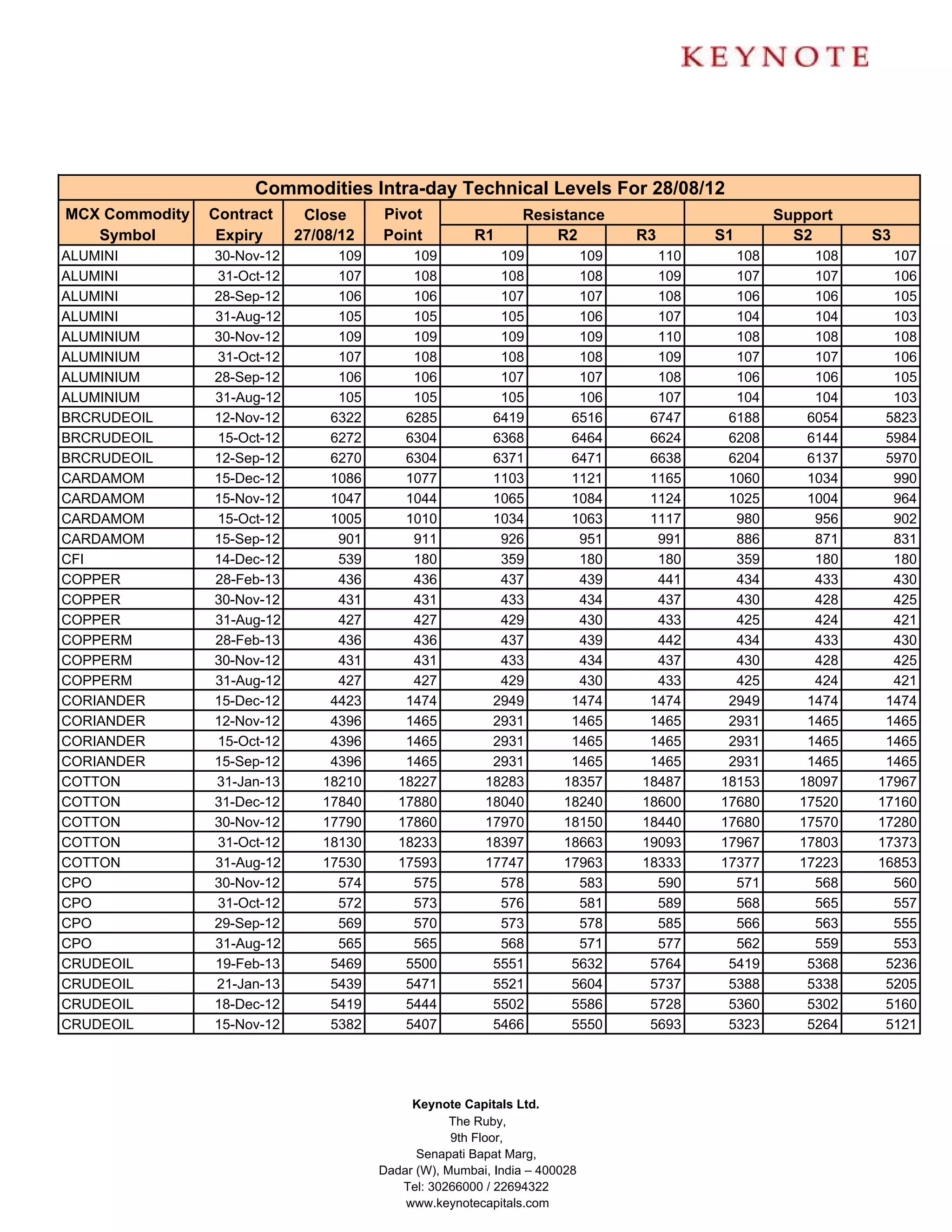
Commodities Intra-day Technical Levels For 28/08/12
MCX Commodity   Contract     Close     Pivot                   Resistance                    Support
   Symbol        Expiry     27/08/12   Point          R1           R2        R3      S1        S2       S3
ALUMINI         30-Nov-12        109        109           109          109     110     108        108     107
ALUMINI         31-Oct-12        107        108           108          108     109     107        107     106
ALUMINI         28-Sep-12        106        106           107          107     108     106        106     105
ALUMINI         31-Aug-12        105        105           105          106     107     104        104     103
ALUMINIUM       30-Nov-12        109        109           109          109     110     108        108     108
ALUMINIUM       31-Oct-12        107        108           108          108     109     107        107     106
ALUMINIUM       28-Sep-12        106        106           107          107     108     106        106     105
ALUMINIUM       31-Aug-12        105        105           105          106     107     104        104     103
BRCRUDEOIL      12-Nov-12       6322       6285          6419         6516    6747    6188       6054    5823
BRCRUDEOIL      15-Oct-12       6272       6304          6368         6464    6624    6208       6144    5984
BRCRUDEOIL      12-Sep-12       6270       6304          6371         6471    6638    6204       6137    5970
CARDAMOM        15-Dec-12       1086       1077          1103         1121    1165    1060       1034     990
CARDAMOM        15-Nov-12       1047       1044          1065         1084    1124    1025       1004     964
CARDAMOM        15-Oct-12       1005       1010          1034         1063    1117     980        956     902
CARDAMOM        15-Sep-12        901        911           926          951     991     886        871     831
CFI             14-Dec-12        539        180           359          180     180     359        180     180
COPPER          28-Feb-13        436        436           437          439     441     434        433     430
COPPER          30-Nov-12        431        431           433          434     437     430        428     425
COPPER          31-Aug-12        427        427           429          430     433     425        424     421
COPPERM         28-Feb-13        436        436           437          439     442     434        433     430
COPPERM         30-Nov-12        431        431           433          434     437     430        428     425
COPPERM         31-Aug-12        427        427           429          430     433     425        424     421
CORIANDER       15-Dec-12       4423       1474          2949         1474    1474    2949       1474    1474
CORIANDER       12-Nov-12       4396       1465          2931         1465    1465    2931       1465    1465
CORIANDER       15-Oct-12       4396       1465          2931         1465    1465    2931       1465    1465
CORIANDER       15-Sep-12       4396       1465          2931         1465    1465    2931       1465    1465
COTTON          31-Jan-13      18210      18227         18283        18357   18487   18153      18097   17967
COTTON          31-Dec-12      17840      17880         18040        18240   18600   17680      17520   17160
COTTON          30-Nov-12      17790      17860         17970        18150   18440   17680      17570   17280
COTTON          31-Oct-12      18130      18233         18397        18663   19093   17967      17803   17373
COTTON          31-Aug-12      17530      17593         17747        17963   18333   17377      17223   16853
CPO             30-Nov-12        574        575           578          583     590     571        568     560
CPO             31-Oct-12        572        573           576          581     589     568        565     557
CPO             29-Sep-12        569        570           573          578     585     566        563     555
CPO             31-Aug-12        565        565           568          571     577     562        559     553
CRUDEOIL        19-Feb-13       5469       5500          5551         5632    5764    5419       5368    5236
CRUDEOIL        21-Jan-13       5439       5471          5521         5604    5737    5388       5338    5205
CRUDEOIL        18-Dec-12       5419       5444          5502         5586    5728    5360       5302    5160
CRUDEOIL        15-Nov-12       5382       5407          5466         5550    5693    5323       5264    5121




                                            Keynote Capitals Ltd.
                                                   The Ruby,
                                                   9th Floor,
                                             Senapati Bapat Marg,
                                       Dadar (W), Mumbai, India – 400028
                                          Tel: 30266000 / 22694322
                                           www.keynotecapitals.com
Commodities Intra-day Technical Levels For 28/08/12
MCX Commodity   Contract      Close     Pivot                   Resistance                    Support
   Symbol        Expiry      27/08/12   Point          R1           R2        R3      S1        S2       S3
CRUDEOIL        19-Oct-12        5342       5358          5440         5539    5720    5259       5177    4996
CRUDEOIL        19-Sep-12        5307       5335          5396         5485    5635    5246       5185    5035
GOLD             05-Apr-13      32167      32138         32215        32262   32386   32091      32014   31890
GOLD            05-Feb-13       31810      31761         31873        31935   32109   31699      31587   31413
GOLD            05-Dec-12       31448      31420         31523        31599   31778   31344      31241   31062
GOLD            05-Oct-12       31070      31046         31134        31199   31352   30981      30893   30740
GOLDGUINEA      31-Oct-12       24936      24875         25026        25116   25357   24785      24634   24393
GOLDGUINEA      29-Sep-12       24820      24795         24869        24919   25043   24745      24671   24547
GOLDGUINEA      31-Aug-12       24942      24908         25011        25079   25250   24840      24737   24566
GOLDM           05-Nov-12       31262      31229         31323        31383   31537   31169      31075   30921
GOLDM           05-Oct-12       31080      31052         31143        31205   31358   30990      30899   30746
GOLDM           05-Sep-12       30972      30946         31033        31093   31240   30886      30799   30652
GOLDPETAL       31-Oct-12        3126       3123          3133         3140    3157    3116       3106    3089
GOLDPETAL       29-Sep-12        3111       3108          3117         3123    3138    3102       3093    3078
GOLDPETAL       31-Aug-12        3113       3126          3155         3197    3268    3084       3055    2984
GOLDPTLDEL      31-Oct-12        3209       3206          3225         3242    3278    3189       3170    3134
GOLDPTLDEL      29-Sep-12        3229       3225          3239         3250    3275    3214       3200    3175
GOLDPTLDEL      31-Aug-12        3214       3218          3261         3308    3398    3171       3128    3038
IRONORE         28-Sep-12        4926       1642          3284         1642    1642    3284       1642    1642
IRONORE         31-Aug-12        4915       1638          3277         1638    1638    3277       1638    1638
KAPAS            30-Apr-13       1093       1103          1117         1140    1178    1079       1066    1029
KAPAS           30-Mar-13        1086       1097          1111         1136    1175    1072       1058    1018
LEAD            30-Nov-12         110        110           111          111     112     110        109     109
LEAD            31-Oct-12         110        110           111          111     112     109        109     108
LEAD            28-Sep-12         109        110           110          111     112     109        108     107
LEAD            31-Aug-12         109        109           110          111     112     108        108     107
LEADMINI        30-Nov-12         110        110           111          112     113     110        109     108
LEADMINI        31-Oct-12         110        110           111          111     113     109        109     107
LEADMINI        28-Sep-12         109        110           110          111     112     109        108     107
LEADMINI        31-Aug-12         109        109           110          111     112     108        108     106
MAIZE           20-Nov-12        1465        488           976          488     488     976        488     488
MAIZE           19-Oct-12        1469        490           979          490     490     979        490     490
MAIZE           20-Sep-12        1510        503          1007          503     503    1007        503     503
MENTHAOIL       30-Nov-12        1379       1383          1390         1402    1421    1371       1364    1345
MENTHAOIL       31-Oct-12        1358       1361          1369         1380    1399    1350       1342    1323
MENTHAOIL       29-Sep-12        1336       1340          1348         1360    1379    1328       1320    1301
MENTHAOIL       31-Aug-12        1314       1319          1327         1339    1358    1307       1299    1280
NATURALGAS      26-Oct-12         161        163           166          170     177     159        156     149
NATURALGAS      25-Sep-12         150        152           155          159     167     148        145     138




                                             Keynote Capitals Ltd.
                                                    The Ruby,
                                                    9th Floor,
                                              Senapati Bapat Marg,
                                        Dadar (W), Mumbai, India – 400028
                                           Tel: 30266000 / 22694322
                                            www.keynotecapitals.com
Commodities Intra-day Technical Levels For 28/08/12
MCX Commodity   Contract     Close     Pivot                   Resistance                    Support
   Symbol        Expiry     27/08/12   Point          R1           R2        R3      S1        S2       S3
NATURALGAS      28-Aug-12        148        150           152          156     163     145        143     136
NICKEL          30-Nov-12        938        939           943          949     959     933        928     918
NICKEL          31-Oct-12        931        933           938          945     956     926        922     910
NICKEL          28-Sep-12        923        924           928          933     943     919        915     906
NICKEL          31-Aug-12        913        915           919          924     934     909        905     896
NICKELM         30-Nov-12        937        937           944          950     964     930        923     910
NICKELM         31-Oct-12        931        932           936          941     949     927        924     916
NICKELM         28-Sep-12        923        924           928          934     943     919        915     905
NICKELM         31-Aug-12        913        915           919          925     934     909        905     895
POTATO          15-Mar-13        784        786           790          796     806     780        775     765
POTATO          15-Oct-12       1217       1226          1238         1258    1290    1206       1194    1162
POTATO          15-Sep-12       1153       1163          1176         1200    1237    1139       1126    1089
POTATOTRWR      15-Oct-12       1024       1031          1043         1061    1091    1013       1001     972
POTATOTRWR      15-Sep-12        953        962           975          998    1033     939        926     890
REFSOYOIL       15-Nov-12        785        262           523          262     262     523        262     262
REFSOYOIL       15-Oct-12        785        262           523          262     262     523        262     262
REFSOYOIL       15-Sep-12        781        260           521          260     260     521        260     260
SILVER          05-Mar-13      61662      61918         62811        63960   66002   60769      59876   57834
SILVER          05-Dec-12      60030      59930         60511        60991   62052   59450      58869   57808
SILVER          05-Sep-12      58039      57964         58520        59000   60036   57484      56928   55892
SILVERM         28-Feb-13      61732      61633         62229        62727   63821   61135      60539   59445
SILVERM         30-Nov-12      60049      59918         60558        61066   62214   59410      58770   57622
SILVERM         31-Aug-12      58044      57970         58514        58984   59998   57500      56956   55942
SILVERMIC       28-Feb-13      61748      61680         62318        62887   64094   61111      60473   59266
SILVERMIC       30-Nov-12      60049      59952         60547        61045   62138   59454      58859   57766
SILVERMIC       31-Aug-12      58047      57972         58520        58992   60012   57500      56952   55932
SUGARMKOL       20-Dec-12       3451       1150          2301         1150    1150    2301       1150    1150
SUGARMKOL       20-Nov-12       3525       1175          2350         1175    1175    2350       1175    1175
SUGARMKOL       19-Oct-12       3549       1183          2366         1183    1183    2366       1183    1183
SUGARMKOL       20-Sep-12       3555       1185          2370         1185    1185    2370       1185    1185
WHEAT           20-Nov-12       1612        537          1075          537     537    1075        537     537
WHEAT           19-Oct-12       1588        529          1059          529     529    1059        529     529
WHEAT           20-Sep-12       1583        528          1055          528     528    1055        528     528
ZINC            30-Nov-12        106        106           106          106     107     105        105     104
ZINC            31-Oct-12        105        105           105          106     107     104        104     103
ZINC            28-Sep-12        104        104           105          105     106     103        103     102
ZINC            31-Aug-12        103        103           104          104     105     103        102     101
ZINCMINI        30-Nov-12        105        105           106          106     107     105        104     104
ZINCMINI        31-Oct-12        105        105           105          106     107     104        104     103




                                            Keynote Capitals Ltd.
                                                   The Ruby,
                                                   9th Floor,
                                             Senapati Bapat Marg,
                                       Dadar (W), Mumbai, India – 400028
                                          Tel: 30266000 / 22694322
                                           www.keynotecapitals.com
Commodities Intra-day Technical Levels For 28/08/12
MCX Commodity             Contract         Close          Pivot                     Resistance                                    Support
   Symbol                  Expiry         27/08/12        Point            R1           R2               R3            S1           S2              S3
ZINCMINI                   28-Sep-12              104           104             105           105             106           103          103             102
ZINCMINI                   31-Aug-12              103           103             104           104             105           103          102             101


Sanjay Bhatia (AVP – Technical Research), Email Id sanjay@keynotecapitals.net

Pivot Point: This is an Intra- Day Trading Tool. The key to the use of this tool is the use of Stop Loss.

Pivot Point (PP): This is a trigger point for Intra Day Buy / Sell based on the price range of the previous day.

R1: Resistance 1: 1st Resistance level over Pivot Point, R2: Resistance 2: Next Resistance level after R1.
R3: Resistance 3: Next Resistance level after R2.

S1: Support 1: 1st Support level after Pivot Point, S2: Support 2: Next Support level after S1.
S3: Support 3: Next Support level after S2.

Note: As per this tool, the trader should take BUY position just above the Pivot Point and keep the Pivot Point level as stop loss
and the first target would be R1 level (Resistance 1). If R1 is crossed then R2 (Resistance 2) becomes the next target with the
stop loss placed at R1 level. If R2 is crossed then R3 (Resistance 3) becomes the next target with the stop loss placed at R2 level.

Similarly if price goes below the Pivot Point the trader should take a SELL position and keep the Pivot Point level as the stop loss
and the first target would be S1 level (Support 1). If S1 level is breached then S2 level (Support 2) becomes the next target with
the stop loss placed at S1 level. If S2 level is breached then S3 level (Support 3) becomes the next target with the stop loss placed
at S2 level.

Disclaimer: This document is not for public distribution and has been furnished to you solely for your information and must not be reproduced or
redistributed to any other person. Persons into whose possession this document may come are required to observe these restrictions. This material
is for the personal information of the authorized recipient, and we are not soliciting any action based upon it. This report is not to be construed as
an offer to sell or the solicitation of an offer to buy any security in any jurisdiction where such an offer or solicitation would be illegal. It is for the
general information of clients of Keynote Capitals Ltd. It does not constitute a personal recommendation or take into account the particular
investment objectives, financial situations, or needs of individual clients. We have reviewed the report, and in so far as it includes current or
historical information, it is believed to be reliable though its accuracy or completeness cannot be guaranteed. Neither Keynote Capitals Ltd., nor any
person connected with it, accepts any liability arising from the use of this document. The recipients of this material should rely on their own
investigations and take their own professional advice. Price and value of the investments referred to in this material may go up or down. Past
performance is not a guide for future performance. Certain transactions -including those involving futures, options and other derivatives as well as
non-investment grade securities - involve substantial risk and are not suitable for all investors. Reports based on technical analysis centers on
studying charts of a stock’s price movement and trading volume, as opposed to focusing on a company’s fundamentals and as such, may not
match with a report on a company’s fundamentals. Opinions expressed are our current opinions as of the date appearing on this material only.
While we endeavor to update on a reasonable basis the information discussed in this material, there may be regulatory, compliance, or other
reasons that prevent us from doing so. Prospective investors and others are cautioned that any forward-looking statements are not predictions and
may be subject to change without notice. Our proprietary trading and investment businesses may make investment decisions that are inconsistent
with the recommendations expressed herein. We and our affiliates, officers, directors, and employees world wide may: (a) from time to time, have
long or short positions in, and buy or sell the securities thereof, of company (ies) mentioned herein or (b) be engaged in any other transaction
involving such securities and earn brokerage or other compensation or act as a market maker in the financial instruments of the company (ies)
discussed herein or act as advisor or lender / borrower to such company (ies) or have other potential conflict of interest with respect to any
recommendation and related information and opinions. The analyst for this report certifies that all of the views expressed in this report accurately
reflect his or her personal views about the subject company or companies and its or their securities, and no part of his or her compensation was, is
or will be, directly or indirectly related to specific recommendations or views expressed in this report. No part of this material may be duplicated in
any form and/or redistributed without Keynote Capitals Ltd’s., prior written consent.




                                                              Keynote Capitals Ltd.
                                                                     The Ruby,
                                                                     9th Floor,
                                                               Senapati Bapat Marg,
                                                         Dadar (W), Mumbai, India – 400028
                                                            Tel: 30266000 / 22694322
                                                             www.keynotecapitals.com

Keynote technicals commodity intraday levels for 280812

  • 1.
    Commodities Intra-day TechnicalLevels For 28/08/12 MCX Commodity Contract Close Pivot Resistance Support Symbol Expiry 27/08/12 Point R1 R2 R3 S1 S2 S3 ALUMINI 30-Nov-12 109 109 109 109 110 108 108 107 ALUMINI 31-Oct-12 107 108 108 108 109 107 107 106 ALUMINI 28-Sep-12 106 106 107 107 108 106 106 105 ALUMINI 31-Aug-12 105 105 105 106 107 104 104 103 ALUMINIUM 30-Nov-12 109 109 109 109 110 108 108 108 ALUMINIUM 31-Oct-12 107 108 108 108 109 107 107 106 ALUMINIUM 28-Sep-12 106 106 107 107 108 106 106 105 ALUMINIUM 31-Aug-12 105 105 105 106 107 104 104 103 BRCRUDEOIL 12-Nov-12 6322 6285 6419 6516 6747 6188 6054 5823 BRCRUDEOIL 15-Oct-12 6272 6304 6368 6464 6624 6208 6144 5984 BRCRUDEOIL 12-Sep-12 6270 6304 6371 6471 6638 6204 6137 5970 CARDAMOM 15-Dec-12 1086 1077 1103 1121 1165 1060 1034 990 CARDAMOM 15-Nov-12 1047 1044 1065 1084 1124 1025 1004 964 CARDAMOM 15-Oct-12 1005 1010 1034 1063 1117 980 956 902 CARDAMOM 15-Sep-12 901 911 926 951 991 886 871 831 CFI 14-Dec-12 539 180 359 180 180 359 180 180 COPPER 28-Feb-13 436 436 437 439 441 434 433 430 COPPER 30-Nov-12 431 431 433 434 437 430 428 425 COPPER 31-Aug-12 427 427 429 430 433 425 424 421 COPPERM 28-Feb-13 436 436 437 439 442 434 433 430 COPPERM 30-Nov-12 431 431 433 434 437 430 428 425 COPPERM 31-Aug-12 427 427 429 430 433 425 424 421 CORIANDER 15-Dec-12 4423 1474 2949 1474 1474 2949 1474 1474 CORIANDER 12-Nov-12 4396 1465 2931 1465 1465 2931 1465 1465 CORIANDER 15-Oct-12 4396 1465 2931 1465 1465 2931 1465 1465 CORIANDER 15-Sep-12 4396 1465 2931 1465 1465 2931 1465 1465 COTTON 31-Jan-13 18210 18227 18283 18357 18487 18153 18097 17967 COTTON 31-Dec-12 17840 17880 18040 18240 18600 17680 17520 17160 COTTON 30-Nov-12 17790 17860 17970 18150 18440 17680 17570 17280 COTTON 31-Oct-12 18130 18233 18397 18663 19093 17967 17803 17373 COTTON 31-Aug-12 17530 17593 17747 17963 18333 17377 17223 16853 CPO 30-Nov-12 574 575 578 583 590 571 568 560 CPO 31-Oct-12 572 573 576 581 589 568 565 557 CPO 29-Sep-12 569 570 573 578 585 566 563 555 CPO 31-Aug-12 565 565 568 571 577 562 559 553 CRUDEOIL 19-Feb-13 5469 5500 5551 5632 5764 5419 5368 5236 CRUDEOIL 21-Jan-13 5439 5471 5521 5604 5737 5388 5338 5205 CRUDEOIL 18-Dec-12 5419 5444 5502 5586 5728 5360 5302 5160 CRUDEOIL 15-Nov-12 5382 5407 5466 5550 5693 5323 5264 5121 Keynote Capitals Ltd. The Ruby, 9th Floor, Senapati Bapat Marg, Dadar (W), Mumbai, India – 400028 Tel: 30266000 / 22694322 www.keynotecapitals.com
  • 2.
    Commodities Intra-day TechnicalLevels For 28/08/12 MCX Commodity Contract Close Pivot Resistance Support Symbol Expiry 27/08/12 Point R1 R2 R3 S1 S2 S3 CRUDEOIL 19-Oct-12 5342 5358 5440 5539 5720 5259 5177 4996 CRUDEOIL 19-Sep-12 5307 5335 5396 5485 5635 5246 5185 5035 GOLD 05-Apr-13 32167 32138 32215 32262 32386 32091 32014 31890 GOLD 05-Feb-13 31810 31761 31873 31935 32109 31699 31587 31413 GOLD 05-Dec-12 31448 31420 31523 31599 31778 31344 31241 31062 GOLD 05-Oct-12 31070 31046 31134 31199 31352 30981 30893 30740 GOLDGUINEA 31-Oct-12 24936 24875 25026 25116 25357 24785 24634 24393 GOLDGUINEA 29-Sep-12 24820 24795 24869 24919 25043 24745 24671 24547 GOLDGUINEA 31-Aug-12 24942 24908 25011 25079 25250 24840 24737 24566 GOLDM 05-Nov-12 31262 31229 31323 31383 31537 31169 31075 30921 GOLDM 05-Oct-12 31080 31052 31143 31205 31358 30990 30899 30746 GOLDM 05-Sep-12 30972 30946 31033 31093 31240 30886 30799 30652 GOLDPETAL 31-Oct-12 3126 3123 3133 3140 3157 3116 3106 3089 GOLDPETAL 29-Sep-12 3111 3108 3117 3123 3138 3102 3093 3078 GOLDPETAL 31-Aug-12 3113 3126 3155 3197 3268 3084 3055 2984 GOLDPTLDEL 31-Oct-12 3209 3206 3225 3242 3278 3189 3170 3134 GOLDPTLDEL 29-Sep-12 3229 3225 3239 3250 3275 3214 3200 3175 GOLDPTLDEL 31-Aug-12 3214 3218 3261 3308 3398 3171 3128 3038 IRONORE 28-Sep-12 4926 1642 3284 1642 1642 3284 1642 1642 IRONORE 31-Aug-12 4915 1638 3277 1638 1638 3277 1638 1638 KAPAS 30-Apr-13 1093 1103 1117 1140 1178 1079 1066 1029 KAPAS 30-Mar-13 1086 1097 1111 1136 1175 1072 1058 1018 LEAD 30-Nov-12 110 110 111 111 112 110 109 109 LEAD 31-Oct-12 110 110 111 111 112 109 109 108 LEAD 28-Sep-12 109 110 110 111 112 109 108 107 LEAD 31-Aug-12 109 109 110 111 112 108 108 107 LEADMINI 30-Nov-12 110 110 111 112 113 110 109 108 LEADMINI 31-Oct-12 110 110 111 111 113 109 109 107 LEADMINI 28-Sep-12 109 110 110 111 112 109 108 107 LEADMINI 31-Aug-12 109 109 110 111 112 108 108 106 MAIZE 20-Nov-12 1465 488 976 488 488 976 488 488 MAIZE 19-Oct-12 1469 490 979 490 490 979 490 490 MAIZE 20-Sep-12 1510 503 1007 503 503 1007 503 503 MENTHAOIL 30-Nov-12 1379 1383 1390 1402 1421 1371 1364 1345 MENTHAOIL 31-Oct-12 1358 1361 1369 1380 1399 1350 1342 1323 MENTHAOIL 29-Sep-12 1336 1340 1348 1360 1379 1328 1320 1301 MENTHAOIL 31-Aug-12 1314 1319 1327 1339 1358 1307 1299 1280 NATURALGAS 26-Oct-12 161 163 166 170 177 159 156 149 NATURALGAS 25-Sep-12 150 152 155 159 167 148 145 138 Keynote Capitals Ltd. The Ruby, 9th Floor, Senapati Bapat Marg, Dadar (W), Mumbai, India – 400028 Tel: 30266000 / 22694322 www.keynotecapitals.com
  • 3.
    Commodities Intra-day TechnicalLevels For 28/08/12 MCX Commodity Contract Close Pivot Resistance Support Symbol Expiry 27/08/12 Point R1 R2 R3 S1 S2 S3 NATURALGAS 28-Aug-12 148 150 152 156 163 145 143 136 NICKEL 30-Nov-12 938 939 943 949 959 933 928 918 NICKEL 31-Oct-12 931 933 938 945 956 926 922 910 NICKEL 28-Sep-12 923 924 928 933 943 919 915 906 NICKEL 31-Aug-12 913 915 919 924 934 909 905 896 NICKELM 30-Nov-12 937 937 944 950 964 930 923 910 NICKELM 31-Oct-12 931 932 936 941 949 927 924 916 NICKELM 28-Sep-12 923 924 928 934 943 919 915 905 NICKELM 31-Aug-12 913 915 919 925 934 909 905 895 POTATO 15-Mar-13 784 786 790 796 806 780 775 765 POTATO 15-Oct-12 1217 1226 1238 1258 1290 1206 1194 1162 POTATO 15-Sep-12 1153 1163 1176 1200 1237 1139 1126 1089 POTATOTRWR 15-Oct-12 1024 1031 1043 1061 1091 1013 1001 972 POTATOTRWR 15-Sep-12 953 962 975 998 1033 939 926 890 REFSOYOIL 15-Nov-12 785 262 523 262 262 523 262 262 REFSOYOIL 15-Oct-12 785 262 523 262 262 523 262 262 REFSOYOIL 15-Sep-12 781 260 521 260 260 521 260 260 SILVER 05-Mar-13 61662 61918 62811 63960 66002 60769 59876 57834 SILVER 05-Dec-12 60030 59930 60511 60991 62052 59450 58869 57808 SILVER 05-Sep-12 58039 57964 58520 59000 60036 57484 56928 55892 SILVERM 28-Feb-13 61732 61633 62229 62727 63821 61135 60539 59445 SILVERM 30-Nov-12 60049 59918 60558 61066 62214 59410 58770 57622 SILVERM 31-Aug-12 58044 57970 58514 58984 59998 57500 56956 55942 SILVERMIC 28-Feb-13 61748 61680 62318 62887 64094 61111 60473 59266 SILVERMIC 30-Nov-12 60049 59952 60547 61045 62138 59454 58859 57766 SILVERMIC 31-Aug-12 58047 57972 58520 58992 60012 57500 56952 55932 SUGARMKOL 20-Dec-12 3451 1150 2301 1150 1150 2301 1150 1150 SUGARMKOL 20-Nov-12 3525 1175 2350 1175 1175 2350 1175 1175 SUGARMKOL 19-Oct-12 3549 1183 2366 1183 1183 2366 1183 1183 SUGARMKOL 20-Sep-12 3555 1185 2370 1185 1185 2370 1185 1185 WHEAT 20-Nov-12 1612 537 1075 537 537 1075 537 537 WHEAT 19-Oct-12 1588 529 1059 529 529 1059 529 529 WHEAT 20-Sep-12 1583 528 1055 528 528 1055 528 528 ZINC 30-Nov-12 106 106 106 106 107 105 105 104 ZINC 31-Oct-12 105 105 105 106 107 104 104 103 ZINC 28-Sep-12 104 104 105 105 106 103 103 102 ZINC 31-Aug-12 103 103 104 104 105 103 102 101 ZINCMINI 30-Nov-12 105 105 106 106 107 105 104 104 ZINCMINI 31-Oct-12 105 105 105 106 107 104 104 103 Keynote Capitals Ltd. The Ruby, 9th Floor, Senapati Bapat Marg, Dadar (W), Mumbai, India – 400028 Tel: 30266000 / 22694322 www.keynotecapitals.com
  • 4.
    Commodities Intra-day TechnicalLevels For 28/08/12 MCX Commodity Contract Close Pivot Resistance Support Symbol Expiry 27/08/12 Point R1 R2 R3 S1 S2 S3 ZINCMINI 28-Sep-12 104 104 105 105 106 103 103 102 ZINCMINI 31-Aug-12 103 103 104 104 105 103 102 101 Sanjay Bhatia (AVP – Technical Research), Email Id sanjay@keynotecapitals.net Pivot Point: This is an Intra- Day Trading Tool. The key to the use of this tool is the use of Stop Loss. Pivot Point (PP): This is a trigger point for Intra Day Buy / Sell based on the price range of the previous day. R1: Resistance 1: 1st Resistance level over Pivot Point, R2: Resistance 2: Next Resistance level after R1. R3: Resistance 3: Next Resistance level after R2. S1: Support 1: 1st Support level after Pivot Point, S2: Support 2: Next Support level after S1. S3: Support 3: Next Support level after S2. Note: As per this tool, the trader should take BUY position just above the Pivot Point and keep the Pivot Point level as stop loss and the first target would be R1 level (Resistance 1). If R1 is crossed then R2 (Resistance 2) becomes the next target with the stop loss placed at R1 level. If R2 is crossed then R3 (Resistance 3) becomes the next target with the stop loss placed at R2 level. Similarly if price goes below the Pivot Point the trader should take a SELL position and keep the Pivot Point level as the stop loss and the first target would be S1 level (Support 1). If S1 level is breached then S2 level (Support 2) becomes the next target with the stop loss placed at S1 level. If S2 level is breached then S3 level (Support 3) becomes the next target with the stop loss placed at S2 level. Disclaimer: This document is not for public distribution and has been furnished to you solely for your information and must not be reproduced or redistributed to any other person. Persons into whose possession this document may come are required to observe these restrictions. This material is for the personal information of the authorized recipient, and we are not soliciting any action based upon it. This report is not to be construed as an offer to sell or the solicitation of an offer to buy any security in any jurisdiction where such an offer or solicitation would be illegal. It is for the general information of clients of Keynote Capitals Ltd. It does not constitute a personal recommendation or take into account the particular investment objectives, financial situations, or needs of individual clients. We have reviewed the report, and in so far as it includes current or historical information, it is believed to be reliable though its accuracy or completeness cannot be guaranteed. Neither Keynote Capitals Ltd., nor any person connected with it, accepts any liability arising from the use of this document. The recipients of this material should rely on their own investigations and take their own professional advice. Price and value of the investments referred to in this material may go up or down. Past performance is not a guide for future performance. Certain transactions -including those involving futures, options and other derivatives as well as non-investment grade securities - involve substantial risk and are not suitable for all investors. Reports based on technical analysis centers on studying charts of a stock’s price movement and trading volume, as opposed to focusing on a company’s fundamentals and as such, may not match with a report on a company’s fundamentals. Opinions expressed are our current opinions as of the date appearing on this material only. While we endeavor to update on a reasonable basis the information discussed in this material, there may be regulatory, compliance, or other reasons that prevent us from doing so. Prospective investors and others are cautioned that any forward-looking statements are not predictions and may be subject to change without notice. Our proprietary trading and investment businesses may make investment decisions that are inconsistent with the recommendations expressed herein. We and our affiliates, officers, directors, and employees world wide may: (a) from time to time, have long or short positions in, and buy or sell the securities thereof, of company (ies) mentioned herein or (b) be engaged in any other transaction involving such securities and earn brokerage or other compensation or act as a market maker in the financial instruments of the company (ies) discussed herein or act as advisor or lender / borrower to such company (ies) or have other potential conflict of interest with respect to any recommendation and related information and opinions. The analyst for this report certifies that all of the views expressed in this report accurately reflect his or her personal views about the subject company or companies and its or their securities, and no part of his or her compensation was, is or will be, directly or indirectly related to specific recommendations or views expressed in this report. No part of this material may be duplicated in any form and/or redistributed without Keynote Capitals Ltd’s., prior written consent. Keynote Capitals Ltd. The Ruby, 9th Floor, Senapati Bapat Marg, Dadar (W), Mumbai, India – 400028 Tel: 30266000 / 22694322 www.keynotecapitals.com