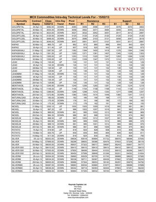
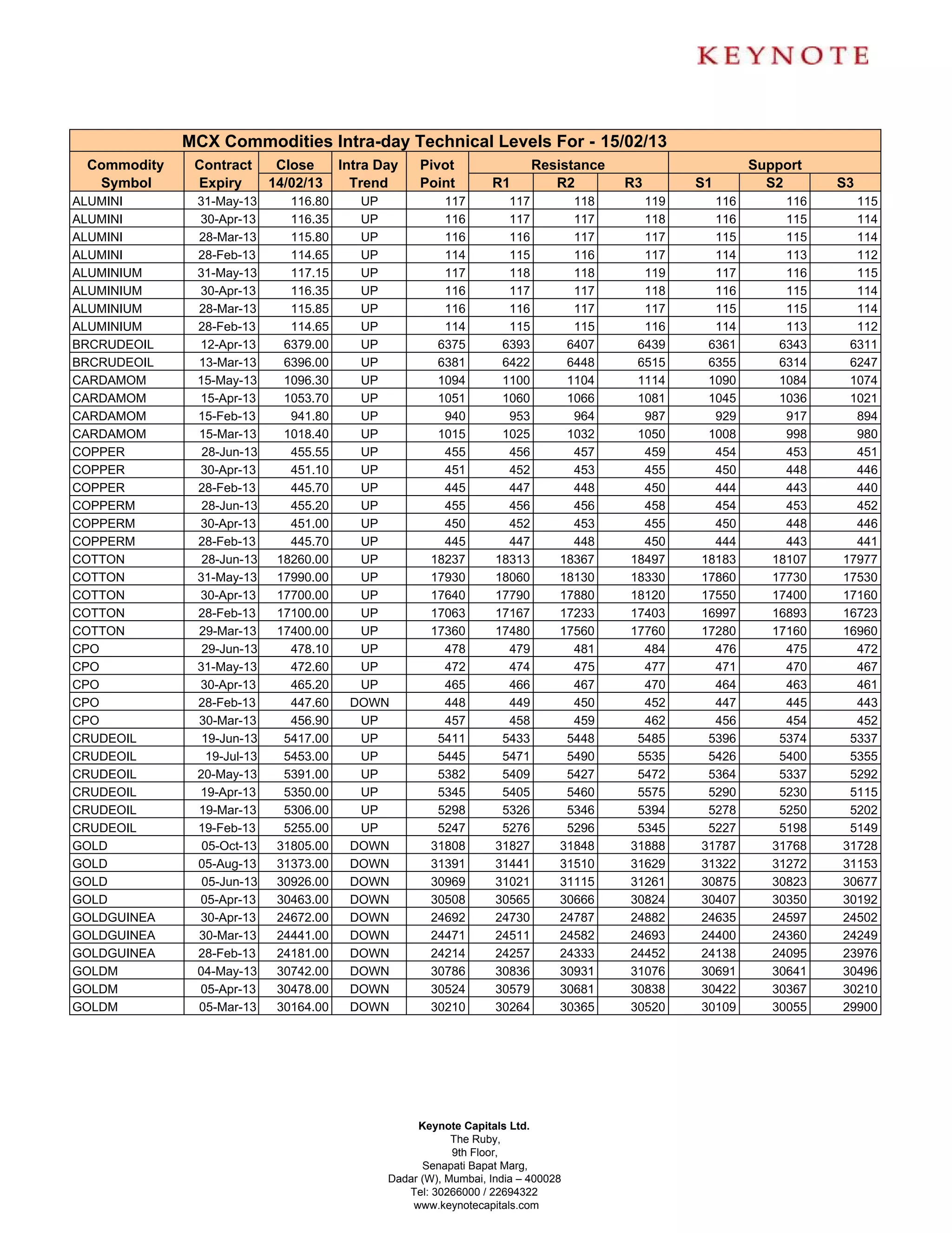
MCX Commodities Intra-day Technical Levels For - 15/02/13
 Commodity    Contract       Close      Intra Day    Pivot                 Resistance                   Support
  Symbol      Expiry        14/02/13      Trend      Point        R1          R2        R3      S1        S2       S3
ALUMINI       31-May-13        116.80     UP             117         117         118      119     116        116     115
ALUMINI       30-Apr-13        116.35     UP             116         117         117      118     116        115     114
ALUMINI       28-Mar-13        115.80     UP             116         116         117      117     115        115     114
ALUMINI       28-Feb-13        114.65     UP             114         115         116      117     114        113     112
ALUMINIUM     31-May-13        117.15     UP             117         118         118      119     117        116     115
ALUMINIUM     30-Apr-13        116.35     UP             116         117         117      118     116        115     114
ALUMINIUM     28-Mar-13        115.85     UP             116         116         117      117     115        115     114
ALUMINIUM     28-Feb-13        114.65     UP             114         115         115      116     114        113     112
BRCRUDEOIL    12-Apr-13       6379.00     UP            6375        6393        6407     6439    6361       6343    6311
BRCRUDEOIL    13-Mar-13       6396.00     UP            6381        6422        6448     6515    6355       6314    6247
CARDAMOM      15-May-13       1096.30     UP            1094        1100        1104     1114    1090       1084    1074
CARDAMOM      15-Apr-13       1053.70     UP            1051        1060        1066     1081    1045       1036    1021
CARDAMOM      15-Feb-13        941.80     UP             940         953         964      987     929        917     894
CARDAMOM      15-Mar-13       1018.40     UP            1015        1025        1032     1050    1008        998     980
COPPER         28-Jun-13       455.55     UP             455         456         457      459     454        453     451
COPPER        30-Apr-13        451.10     UP             451         452         453      455     450        448     446
COPPER        28-Feb-13        445.70     UP             445         447         448      450     444        443     440
COPPERM        28-Jun-13       455.20     UP             455         456         456      458     454        453     452
COPPERM       30-Apr-13        451.00     UP             450         452         453      455     450        448     446
COPPERM       28-Feb-13        445.70     UP             445         447         448      450     444        443     441
COTTON         28-Jun-13     18260.00     UP           18237       18313       18367    18497   18183      18107   17977
COTTON        31-May-13      17990.00     UP           17930       18060       18130    18330   17860      17730   17530
COTTON        30-Apr-13      17700.00     UP           17640       17790       17880    18120   17550      17400   17160
COTTON        28-Feb-13      17100.00     UP           17063       17167       17233    17403   16997      16893   16723
COTTON        29-Mar-13      17400.00     UP           17360       17480       17560    17760   17280      17160   16960
CPO            29-Jun-13       478.10     UP             478         479         481      484     476        475     472
CPO           31-May-13        472.60     UP             472         474         475      477     471        470     467
CPO           30-Apr-13        465.20     UP             465         466         467      470     464        463     461
CPO           28-Feb-13        447.60    DOWN            448         449         450      452     447        445     443
CPO           30-Mar-13        456.90     UP             457         458         459      462     456        454     452
CRUDEOIL       19-Jun-13      5417.00     UP            5411        5433        5448     5485    5396       5374    5337
CRUDEOIL        19-Jul-13     5453.00     UP            5445        5471        5490     5535    5426       5400    5355
CRUDEOIL      20-May-13       5391.00     UP            5382        5409        5427     5472    5364       5337    5292
CRUDEOIL      19-Apr-13       5350.00     UP            5345        5405        5460     5575    5290       5230    5115
CRUDEOIL      19-Mar-13       5306.00     UP            5298        5326        5346     5394    5278       5250    5202
CRUDEOIL      19-Feb-13       5255.00     UP            5247        5276        5296     5345    5227       5198    5149
GOLD           05-Oct-13     31805.00    DOWN          31808       31827       31848    31888   31787      31768   31728
GOLD          05-Aug-13      31373.00    DOWN          31391       31441       31510    31629   31322      31272   31153
GOLD           05-Jun-13     30926.00    DOWN          30969       31021       31115    31261   30875      30823   30677
GOLD          05-Apr-13      30463.00    DOWN          30508       30565       30666    30824   30407      30350   30192
GOLDGUINEA    30-Apr-13      24672.00    DOWN          24692       24730       24787    24882   24635      24597   24502
GOLDGUINEA    30-Mar-13      24441.00    DOWN          24471       24511       24582    24693   24400      24360   24249
GOLDGUINEA    28-Feb-13      24181.00    DOWN          24214       24257       24333    24452   24138      24095   23976
GOLDM         04-May-13      30742.00    DOWN          30786       30836       30931    31076   30691      30641   30496
GOLDM         05-Apr-13      30478.00    DOWN          30524       30579       30681    30838   30422      30367   30210
GOLDM         05-Mar-13      30164.00    DOWN          30210       30264       30365    30520   30109      30055   29900




                                                    Keynote Capitals Ltd.
                                                           The Ruby,
                                                           9th Floor,
                                                     Senapati Bapat Marg,
                                               Dadar (W), Mumbai, India – 400028
                                                  Tel: 30266000 / 22694322
                                                   www.keynotecapitals.com
MCX Commodities Intra-day Technical Levels For - 15/02/13
 Commodity    Contract       Close      Intra Day    Pivot                 Resistance                     Support
  Symbol      Expiry        14/02/13      Trend      Point        R1          R2          R3      S1        S2       S3
GOLDPETAL     30-Apr-13       3082.00    DOWN           3085        3089           3096    3107    3078       3074    3063
GOLDPETAL     30-Mar-13       3054.00    DOWN           3058        3062           3071    3084    3049       3045    3032
GOLDPETAL     28-Feb-13       3023.00    DOWN           3027        3032           3042    3057    3017       3012    2997
GOLDPTLDEL    30-Apr-13       3120.00    DOWN           3120        3120           3120    3120    3120       3120    3120
GOLDPTLDEL    30-Mar-13       3068.00    DOWN           3075        3086           3103    3131    3058       3047    3019
GOLDPTLDEL    28-Feb-13       3046.00    DOWN           3047        3061           3077    3107    3031       3017    2987
KAPAS         30-Mar-13        865.70     UP             862         873            880     899     854        843     824
KAPAS         30-Apr-13        911.40     UP             907         918            925     942     901        890     873
KAPASKHALI    31-May-13       1387.00     UP            1382        1394           1400    1418    1376       1364    1346
KAPASKHALI    30-Apr-13       1361.50     UP            1355        1371           1381    1407    1345       1329    1303
KAPASKHALI    28-Feb-13       1300.00     UP            1293        1310           1320    1347    1283       1266    1239
KAPASKHALI    30-Mar-13       1330.00     UP            1322        1339           1347    1372    1314       1297    1272
LEAD          31-May-13        130.40     UP             130         131            131     131     130        130     129
LEAD          30-Apr-13        130.30    DOWN            130         131            131     132     130        130     129
LEAD          28-Mar-13        130.40     UP             130         131            131     132     130        129     129
LEAD          28-Feb-13        129.85     UP             130         130            131     132     129        129     128
LEADMINI      31-May-13        130.35    DOWN            130         131            131     132     130        130     129
LEADMINI      30-Apr-13        130.55     UP             130         131            131     132     130        130     129
LEADMINI      28-Mar-13        130.35     UP             130         131            131     132     130        129     128
LEADMINI      28-Feb-13        129.85     UP             130         130            131     132     129        129     128
MENTHAOIL     30-Apr-13       1246.90    DOWN           1249        1256           1265    1281    1240       1234    1218
MENTHAOIL     31-May-13       1149.20     UP            1148        1154        1158       1168    1143       1138    1127
MENTHAOIL     30-Mar-13       1286.60    DOWN           1289        1298        1310       1330    1277       1268    1247
MENTHAOIL     28-Feb-13       1372.80    DOWN           1380        1393        1414       1448    1360       1347    1313
NATURALGAS    25-Apr-13        180.00    DOWN            182         185         190        198     177        174     167
NATURALGAS    25-Mar-13        175.00    DOWN            178         181         186        195     172        169     160
NATURALGAS    25-Feb-13        170.30    DOWN            173         176         182        191     167        164     155
NICKEL        31-May-13       1000.10     UP            1000        1005        1009       1019     995        991     981
NICKEL        30-Apr-13        997.20     UP             996        1002        1007       1019     991        985     974
NICKEL        28-Mar-13        989.00    DOWN            991         995        1002       1013     985        980     969
NICKEL        28-Feb-13        984.30    DOWN            986         991         998       1010     979        974     962
NICKELM       31-May-13        999.30     UP             997        1005        1012       1027     991        982     967
NICKELM       30-Apr-13        992.80    DOWN            995         999        1005       1014     989        986     976
NICKELM       28-Mar-13        989.10    DOWN            991         995        1001       1012     985        980     970
NICKELM       28-Feb-13        984.30    DOWN            986         991         998       1009     980        975     963
POTATO        15-Apr-13        819.90     UP             818         824         828        838     814        808     798
POTATO        15-Mar-13        830.70     UP             830         835         840        849     826        820     811
POTATO        15-May-13        817.00    DOWN            818         824         830        842     812        806     795
SILVER          05-Jul-13    59353.00    DOWN          59636       60018       60684      61732   58970      58588   57540
SILVER        04-May-13      57999.00    DOWN          58296       58693       59386      60476   57603      57206   56116
SILVER        05-Mar-13      56630.00    DOWN          56937       57323       58017      59097   56243      55857   54777
SILVER1000    30-Apr-13      58410.00    DOWN          58410       58410       58410      58410   58410      58410   58410
SILVER1000    30-Mar-13      57555.00    DOWN          57855       58499       59444      61033   56910      56266   54677
SILVER1000    28-Feb-13      56350.00    DOWN          56450       57599       58848      61246   55201      54052   51654
SILVERM        29-Jun-13     59354.00    DOWN          59665       60029       60705      61745   58989      58625   57585
SILVERM       30-Apr-13      58034.00    DOWN          58338       58711       59387      60436   57662      57289   56240
SILVERM       28-Feb-13      56655.00    DOWN          56966       57354       58053      59140   56267      55879   54792
SILVERMIC      29-Jun-13     59387.00    DOWN          59683       60034       60680      61677   59037      58686   57689
SILVERMIC     30-Apr-13      58036.00    DOWN          58342       58714       59393      60444   57663      57291   56240
SILVERMIC     28-Feb-13      56659.00    DOWN          56964       57345       58032      59100   56277      55896   54828




                                                    Keynote Capitals Ltd.
                                                           The Ruby,
                                                           9th Floor,
                                                     Senapati Bapat Marg,
                                               Dadar (W), Mumbai, India – 400028
                                                  Tel: 30266000 / 22694322
                                                   www.keynotecapitals.com
MCX Commodities Intra-day Technical Levels For - 15/02/13
   Commodity              Contract         Close         Intra Day         Pivot                    Resistance                                     Support
    Symbol                Expiry          14/02/13         Trend           Point           R1          R2               R3             S1            S2                S3
STEELRPR                   20-May-13        32450.00         UP               32430         32610         32770          33110           32270          32090          31750
STEELRPR                   18-Apr-13        31850.00        DOWN              31887         31963         32077          32267           31773          31697          31507
STEELRPR                   20-Feb-13        30810.00        DOWN              30877         30963         31117          31357           30723          30637          30397
STEELRPR                   20-Mar-13        31350.00        DOWN              31383         31467         31583          31783           31267          31183          30983
ZINC                       31-May-13          119.25        DOWN                119           120           120            120             119            119            118
ZINC                       30-Apr-13          118.50        DOWN                119           119           120            121             118            118            117
ZINC                       28-Mar-13          118.15        DOWN                118           119           119            121             118            117            116
ZINC                       28-Feb-13          117.30        DOWN                117           118           119            120             117            116            115
ZINCMINI                   31-May-13          119.55        DOWN                120           120           121            123             119            118            116
ZINCMINI                   30-Apr-13          118.75        DOWN                119           119           120            121             118            118            117
ZINCMINI                   28-Mar-13          118.15        DOWN                118           119           119            121             118            117            116
ZINCMINI                   28-Feb-13          117.30        DOWN                117           118           119            120             117            116            115



Sanjay Bhatia (AVP – Technical Research), Email Id sanjay@keynotecapitals.net

 Pivot Point: Intra- Day Trading Tool. - The key to the use of this tool is the use of Stop Loss

 Intra Day Trend: It is valid only till the point where Price trades above Pivot Point. For Eg. “UP” would be valid till Price
remains above Pivot Point. It would become “DOWN” in event Price trades below Pivot Point.

 Pivot Point (PP): This is a trigger point for Intra Day Buy / Sell based on the price range of the previous day.

 R1: Resistance 1: 1st Resistance level over Pivot Point, R2: Resistance 2: Next Resistance level after R1.
 R3: Resistance 3: Next Resistance level after R2.

 S1: Support 1: 1st Support level after Pivot Point, S2: Support 2: Next Support level after S1.
 S3: Support 3: Next Support level after S2.

Note: As per this tool, the trader should take BUY position just above the Pivot Point and keep the Pivot Point level as stop
loss and the first target would be R1 level (Resistance 1). If R1 is crossed then R2 (Resistance 2) becomes the next target
with the stop loss placed at R1 level. If R2 is crossed then R3 (Resistance 3) becomes the next target with the stop loss
placed at R2 level.

Similarly if price goes below the Pivot Point the trader should take a SELL position and keep the Pivot Point level as the
stop loss and the first target would be S1 level (Support 1). If S1 level is breached then S2 level (Support 2) becomes the
next target with the stop loss placed at S1 level. If S2 level is breached then S3 level (Support 3) becomes the next target
with the stop loss placed at S2 level.
Disclaimer: This document is not for public distribution and has been furnished to you solely for your information and must not be reproduced or
redistributed to any other person. Persons into whose possession this document may come are required to observe these restrictions. This material is for
the personal information of the authorized recipient, and we are not soliciting any action based upon it. This report is not to be construed as an offer to
sell or the solicitation of an offer to buy any security in any jurisdiction where such an offer or solicitation would be illegal. It is for the general information
of clients of Keynote Capitals Ltd. It does not constitute a personal recommendation or take into account the particular investment objectives, financial
situations, or needs of individual clients. We have reviewed the report, and in so far as it includes current or historical information, it is believed to be
reliable though its accuracy or completeness cannot be guaranteed. Neither Keynote Capitals Ltd., nor any person connected with it, accepts any liability
arising from the use of this document. The recipients of this material should rely on their own investigations and take their own professional advice. Price
and value of the investments referred to in this material may go up or down. Past performance is not a guide for future performance. Certain transactions
-including those involving futures, options and other derivatives as well as non-investment grade securities - involve substantial risk and are not suitable
for all investors. Reports based on technical analysis centers on studying charts of a stock’s price movement and trading volume, as opposed to focusing
on a company’s fundamentals and as such, may not match with a report on a company’s fundamentals. Opinions expressed are our current opinions as
of the date appearing on this material only. While we endeavor to update on a reasonable basis the information discussed in this material, there may be
regulatory, compliance, or other reasons that prevent us from doing so. Prospective investors and others are cautioned that any forward-looking
statements are not predictions and may be subject to change without notice. Our proprietary trading and investment businesses may make investment
decisions that are inconsistent with the recommendations expressed herein. We and our affiliates, officers, directors, and employees world wide may: (a)
from time to time, have long or short positions in, and buy or sell the securities thereof, of company (ies) mentioned herein or (b) be engaged in any other
transaction involving such securities and earn brokerage or other compensation or act as a market maker in the financial instruments of the company
(ies) discussed herein or act as advisor or lender / borrower to such company (ies) or have other potential conflict of interest with respect to any
recommendation and related information and opinions. The analyst for this report certifies that all of the views expressed in this report accurately reflect
his or her personal views about the subject company or companies and its or their securities, and no part of his or her compensation was, is or will be,
directly or indirectly related to specific recommendations or views expressed in this report. No part of this material may be duplicated in any form and/or
redistributed without Keynote Capitals Ltd’s., prior written consent.




                                                                         Keynote Capitals Ltd.
                                                                                The Ruby,
                                                                                9th Floor,
                                                                          Senapati Bapat Marg,
                                                                    Dadar (W), Mumbai, India – 400028
                                                                       Tel: 30266000 / 22694322
                                                                        www.keynotecapitals.com

Keynote technicals commodity intraday levels for 150213

  • 1.
    MCX Commodities Intra-dayTechnical Levels For - 15/02/13 Commodity Contract Close Intra Day Pivot Resistance Support Symbol Expiry 14/02/13 Trend Point R1 R2 R3 S1 S2 S3 ALUMINI 31-May-13 116.80 UP 117 117 118 119 116 116 115 ALUMINI 30-Apr-13 116.35 UP 116 117 117 118 116 115 114 ALUMINI 28-Mar-13 115.80 UP 116 116 117 117 115 115 114 ALUMINI 28-Feb-13 114.65 UP 114 115 116 117 114 113 112 ALUMINIUM 31-May-13 117.15 UP 117 118 118 119 117 116 115 ALUMINIUM 30-Apr-13 116.35 UP 116 117 117 118 116 115 114 ALUMINIUM 28-Mar-13 115.85 UP 116 116 117 117 115 115 114 ALUMINIUM 28-Feb-13 114.65 UP 114 115 115 116 114 113 112 BRCRUDEOIL 12-Apr-13 6379.00 UP 6375 6393 6407 6439 6361 6343 6311 BRCRUDEOIL 13-Mar-13 6396.00 UP 6381 6422 6448 6515 6355 6314 6247 CARDAMOM 15-May-13 1096.30 UP 1094 1100 1104 1114 1090 1084 1074 CARDAMOM 15-Apr-13 1053.70 UP 1051 1060 1066 1081 1045 1036 1021 CARDAMOM 15-Feb-13 941.80 UP 940 953 964 987 929 917 894 CARDAMOM 15-Mar-13 1018.40 UP 1015 1025 1032 1050 1008 998 980 COPPER 28-Jun-13 455.55 UP 455 456 457 459 454 453 451 COPPER 30-Apr-13 451.10 UP 451 452 453 455 450 448 446 COPPER 28-Feb-13 445.70 UP 445 447 448 450 444 443 440 COPPERM 28-Jun-13 455.20 UP 455 456 456 458 454 453 452 COPPERM 30-Apr-13 451.00 UP 450 452 453 455 450 448 446 COPPERM 28-Feb-13 445.70 UP 445 447 448 450 444 443 441 COTTON 28-Jun-13 18260.00 UP 18237 18313 18367 18497 18183 18107 17977 COTTON 31-May-13 17990.00 UP 17930 18060 18130 18330 17860 17730 17530 COTTON 30-Apr-13 17700.00 UP 17640 17790 17880 18120 17550 17400 17160 COTTON 28-Feb-13 17100.00 UP 17063 17167 17233 17403 16997 16893 16723 COTTON 29-Mar-13 17400.00 UP 17360 17480 17560 17760 17280 17160 16960 CPO 29-Jun-13 478.10 UP 478 479 481 484 476 475 472 CPO 31-May-13 472.60 UP 472 474 475 477 471 470 467 CPO 30-Apr-13 465.20 UP 465 466 467 470 464 463 461 CPO 28-Feb-13 447.60 DOWN 448 449 450 452 447 445 443 CPO 30-Mar-13 456.90 UP 457 458 459 462 456 454 452 CRUDEOIL 19-Jun-13 5417.00 UP 5411 5433 5448 5485 5396 5374 5337 CRUDEOIL 19-Jul-13 5453.00 UP 5445 5471 5490 5535 5426 5400 5355 CRUDEOIL 20-May-13 5391.00 UP 5382 5409 5427 5472 5364 5337 5292 CRUDEOIL 19-Apr-13 5350.00 UP 5345 5405 5460 5575 5290 5230 5115 CRUDEOIL 19-Mar-13 5306.00 UP 5298 5326 5346 5394 5278 5250 5202 CRUDEOIL 19-Feb-13 5255.00 UP 5247 5276 5296 5345 5227 5198 5149 GOLD 05-Oct-13 31805.00 DOWN 31808 31827 31848 31888 31787 31768 31728 GOLD 05-Aug-13 31373.00 DOWN 31391 31441 31510 31629 31322 31272 31153 GOLD 05-Jun-13 30926.00 DOWN 30969 31021 31115 31261 30875 30823 30677 GOLD 05-Apr-13 30463.00 DOWN 30508 30565 30666 30824 30407 30350 30192 GOLDGUINEA 30-Apr-13 24672.00 DOWN 24692 24730 24787 24882 24635 24597 24502 GOLDGUINEA 30-Mar-13 24441.00 DOWN 24471 24511 24582 24693 24400 24360 24249 GOLDGUINEA 28-Feb-13 24181.00 DOWN 24214 24257 24333 24452 24138 24095 23976 GOLDM 04-May-13 30742.00 DOWN 30786 30836 30931 31076 30691 30641 30496 GOLDM 05-Apr-13 30478.00 DOWN 30524 30579 30681 30838 30422 30367 30210 GOLDM 05-Mar-13 30164.00 DOWN 30210 30264 30365 30520 30109 30055 29900 Keynote Capitals Ltd. The Ruby, 9th Floor, Senapati Bapat Marg, Dadar (W), Mumbai, India – 400028 Tel: 30266000 / 22694322 www.keynotecapitals.com
  • 2.
    MCX Commodities Intra-dayTechnical Levels For - 15/02/13 Commodity Contract Close Intra Day Pivot Resistance Support Symbol Expiry 14/02/13 Trend Point R1 R2 R3 S1 S2 S3 GOLDPETAL 30-Apr-13 3082.00 DOWN 3085 3089 3096 3107 3078 3074 3063 GOLDPETAL 30-Mar-13 3054.00 DOWN 3058 3062 3071 3084 3049 3045 3032 GOLDPETAL 28-Feb-13 3023.00 DOWN 3027 3032 3042 3057 3017 3012 2997 GOLDPTLDEL 30-Apr-13 3120.00 DOWN 3120 3120 3120 3120 3120 3120 3120 GOLDPTLDEL 30-Mar-13 3068.00 DOWN 3075 3086 3103 3131 3058 3047 3019 GOLDPTLDEL 28-Feb-13 3046.00 DOWN 3047 3061 3077 3107 3031 3017 2987 KAPAS 30-Mar-13 865.70 UP 862 873 880 899 854 843 824 KAPAS 30-Apr-13 911.40 UP 907 918 925 942 901 890 873 KAPASKHALI 31-May-13 1387.00 UP 1382 1394 1400 1418 1376 1364 1346 KAPASKHALI 30-Apr-13 1361.50 UP 1355 1371 1381 1407 1345 1329 1303 KAPASKHALI 28-Feb-13 1300.00 UP 1293 1310 1320 1347 1283 1266 1239 KAPASKHALI 30-Mar-13 1330.00 UP 1322 1339 1347 1372 1314 1297 1272 LEAD 31-May-13 130.40 UP 130 131 131 131 130 130 129 LEAD 30-Apr-13 130.30 DOWN 130 131 131 132 130 130 129 LEAD 28-Mar-13 130.40 UP 130 131 131 132 130 129 129 LEAD 28-Feb-13 129.85 UP 130 130 131 132 129 129 128 LEADMINI 31-May-13 130.35 DOWN 130 131 131 132 130 130 129 LEADMINI 30-Apr-13 130.55 UP 130 131 131 132 130 130 129 LEADMINI 28-Mar-13 130.35 UP 130 131 131 132 130 129 128 LEADMINI 28-Feb-13 129.85 UP 130 130 131 132 129 129 128 MENTHAOIL 30-Apr-13 1246.90 DOWN 1249 1256 1265 1281 1240 1234 1218 MENTHAOIL 31-May-13 1149.20 UP 1148 1154 1158 1168 1143 1138 1127 MENTHAOIL 30-Mar-13 1286.60 DOWN 1289 1298 1310 1330 1277 1268 1247 MENTHAOIL 28-Feb-13 1372.80 DOWN 1380 1393 1414 1448 1360 1347 1313 NATURALGAS 25-Apr-13 180.00 DOWN 182 185 190 198 177 174 167 NATURALGAS 25-Mar-13 175.00 DOWN 178 181 186 195 172 169 160 NATURALGAS 25-Feb-13 170.30 DOWN 173 176 182 191 167 164 155 NICKEL 31-May-13 1000.10 UP 1000 1005 1009 1019 995 991 981 NICKEL 30-Apr-13 997.20 UP 996 1002 1007 1019 991 985 974 NICKEL 28-Mar-13 989.00 DOWN 991 995 1002 1013 985 980 969 NICKEL 28-Feb-13 984.30 DOWN 986 991 998 1010 979 974 962 NICKELM 31-May-13 999.30 UP 997 1005 1012 1027 991 982 967 NICKELM 30-Apr-13 992.80 DOWN 995 999 1005 1014 989 986 976 NICKELM 28-Mar-13 989.10 DOWN 991 995 1001 1012 985 980 970 NICKELM 28-Feb-13 984.30 DOWN 986 991 998 1009 980 975 963 POTATO 15-Apr-13 819.90 UP 818 824 828 838 814 808 798 POTATO 15-Mar-13 830.70 UP 830 835 840 849 826 820 811 POTATO 15-May-13 817.00 DOWN 818 824 830 842 812 806 795 SILVER 05-Jul-13 59353.00 DOWN 59636 60018 60684 61732 58970 58588 57540 SILVER 04-May-13 57999.00 DOWN 58296 58693 59386 60476 57603 57206 56116 SILVER 05-Mar-13 56630.00 DOWN 56937 57323 58017 59097 56243 55857 54777 SILVER1000 30-Apr-13 58410.00 DOWN 58410 58410 58410 58410 58410 58410 58410 SILVER1000 30-Mar-13 57555.00 DOWN 57855 58499 59444 61033 56910 56266 54677 SILVER1000 28-Feb-13 56350.00 DOWN 56450 57599 58848 61246 55201 54052 51654 SILVERM 29-Jun-13 59354.00 DOWN 59665 60029 60705 61745 58989 58625 57585 SILVERM 30-Apr-13 58034.00 DOWN 58338 58711 59387 60436 57662 57289 56240 SILVERM 28-Feb-13 56655.00 DOWN 56966 57354 58053 59140 56267 55879 54792 SILVERMIC 29-Jun-13 59387.00 DOWN 59683 60034 60680 61677 59037 58686 57689 SILVERMIC 30-Apr-13 58036.00 DOWN 58342 58714 59393 60444 57663 57291 56240 SILVERMIC 28-Feb-13 56659.00 DOWN 56964 57345 58032 59100 56277 55896 54828 Keynote Capitals Ltd. The Ruby, 9th Floor, Senapati Bapat Marg, Dadar (W), Mumbai, India – 400028 Tel: 30266000 / 22694322 www.keynotecapitals.com
  • 3.
    MCX Commodities Intra-dayTechnical Levels For - 15/02/13 Commodity Contract Close Intra Day Pivot Resistance Support Symbol Expiry 14/02/13 Trend Point R1 R2 R3 S1 S2 S3 STEELRPR 20-May-13 32450.00 UP 32430 32610 32770 33110 32270 32090 31750 STEELRPR 18-Apr-13 31850.00 DOWN 31887 31963 32077 32267 31773 31697 31507 STEELRPR 20-Feb-13 30810.00 DOWN 30877 30963 31117 31357 30723 30637 30397 STEELRPR 20-Mar-13 31350.00 DOWN 31383 31467 31583 31783 31267 31183 30983 ZINC 31-May-13 119.25 DOWN 119 120 120 120 119 119 118 ZINC 30-Apr-13 118.50 DOWN 119 119 120 121 118 118 117 ZINC 28-Mar-13 118.15 DOWN 118 119 119 121 118 117 116 ZINC 28-Feb-13 117.30 DOWN 117 118 119 120 117 116 115 ZINCMINI 31-May-13 119.55 DOWN 120 120 121 123 119 118 116 ZINCMINI 30-Apr-13 118.75 DOWN 119 119 120 121 118 118 117 ZINCMINI 28-Mar-13 118.15 DOWN 118 119 119 121 118 117 116 ZINCMINI 28-Feb-13 117.30 DOWN 117 118 119 120 117 116 115 Sanjay Bhatia (AVP – Technical Research), Email Id sanjay@keynotecapitals.net Pivot Point: Intra- Day Trading Tool. - The key to the use of this tool is the use of Stop Loss Intra Day Trend: It is valid only till the point where Price trades above Pivot Point. For Eg. “UP” would be valid till Price remains above Pivot Point. It would become “DOWN” in event Price trades below Pivot Point. Pivot Point (PP): This is a trigger point for Intra Day Buy / Sell based on the price range of the previous day. R1: Resistance 1: 1st Resistance level over Pivot Point, R2: Resistance 2: Next Resistance level after R1. R3: Resistance 3: Next Resistance level after R2. S1: Support 1: 1st Support level after Pivot Point, S2: Support 2: Next Support level after S1. S3: Support 3: Next Support level after S2. Note: As per this tool, the trader should take BUY position just above the Pivot Point and keep the Pivot Point level as stop loss and the first target would be R1 level (Resistance 1). If R1 is crossed then R2 (Resistance 2) becomes the next target with the stop loss placed at R1 level. If R2 is crossed then R3 (Resistance 3) becomes the next target with the stop loss placed at R2 level. Similarly if price goes below the Pivot Point the trader should take a SELL position and keep the Pivot Point level as the stop loss and the first target would be S1 level (Support 1). If S1 level is breached then S2 level (Support 2) becomes the next target with the stop loss placed at S1 level. If S2 level is breached then S3 level (Support 3) becomes the next target with the stop loss placed at S2 level. Disclaimer: This document is not for public distribution and has been furnished to you solely for your information and must not be reproduced or redistributed to any other person. Persons into whose possession this document may come are required to observe these restrictions. This material is for the personal information of the authorized recipient, and we are not soliciting any action based upon it. This report is not to be construed as an offer to sell or the solicitation of an offer to buy any security in any jurisdiction where such an offer or solicitation would be illegal. It is for the general information of clients of Keynote Capitals Ltd. It does not constitute a personal recommendation or take into account the particular investment objectives, financial situations, or needs of individual clients. We have reviewed the report, and in so far as it includes current or historical information, it is believed to be reliable though its accuracy or completeness cannot be guaranteed. Neither Keynote Capitals Ltd., nor any person connected with it, accepts any liability arising from the use of this document. The recipients of this material should rely on their own investigations and take their own professional advice. Price and value of the investments referred to in this material may go up or down. Past performance is not a guide for future performance. Certain transactions -including those involving futures, options and other derivatives as well as non-investment grade securities - involve substantial risk and are not suitable for all investors. Reports based on technical analysis centers on studying charts of a stock’s price movement and trading volume, as opposed to focusing on a company’s fundamentals and as such, may not match with a report on a company’s fundamentals. Opinions expressed are our current opinions as of the date appearing on this material only. While we endeavor to update on a reasonable basis the information discussed in this material, there may be regulatory, compliance, or other reasons that prevent us from doing so. Prospective investors and others are cautioned that any forward-looking statements are not predictions and may be subject to change without notice. Our proprietary trading and investment businesses may make investment decisions that are inconsistent with the recommendations expressed herein. We and our affiliates, officers, directors, and employees world wide may: (a) from time to time, have long or short positions in, and buy or sell the securities thereof, of company (ies) mentioned herein or (b) be engaged in any other transaction involving such securities and earn brokerage or other compensation or act as a market maker in the financial instruments of the company (ies) discussed herein or act as advisor or lender / borrower to such company (ies) or have other potential conflict of interest with respect to any recommendation and related information and opinions. The analyst for this report certifies that all of the views expressed in this report accurately reflect his or her personal views about the subject company or companies and its or their securities, and no part of his or her compensation was, is or will be, directly or indirectly related to specific recommendations or views expressed in this report. No part of this material may be duplicated in any form and/or redistributed without Keynote Capitals Ltd’s., prior written consent. Keynote Capitals Ltd. The Ruby, 9th Floor, Senapati Bapat Marg, Dadar (W), Mumbai, India – 400028 Tel: 30266000 / 22694322 www.keynotecapitals.com