ΜΙΓΑΔΙΚΟΙ ΑΡΙΘΜΟΙ
ΘΕΩΡΙΑ
§ 2.1 – 2.2
ΜΙΓΑΔΙΚΟΙΑΡΙΘΜΟΙ
Η δημιουργία των μιγαδικών αριθμών οφείλεται
στην προσπάθεια επίλυσης των εξισώσεων 3ου
βαθμού καθώς και των εξισώσεων 2ου βαθμού με
αρνητική διακρίνουσα.
Ειδικότερα η εξίσωση x2 = –1 δεν έχει λύση στο
σύνολο R των πραγματικών αριθμών, αφού το
τετράγωνο κάθε πραγματικού αριθμού είναι μη
αρνητικός αριθμός.
Το σύνολο των μιγαδικών αριθμών
ΜΙΓΑΔΙΚΟΙΑΡΙΘΜΟΙ
Το σύνολο των μιγαδικών αριθμών C είναι ένα
σύνολο το οποίο περιέχει:
 όλους τους πραγματικούς αριθμούς
 το στοιχείο i για το οποίο ισχύει i2=1
 όλα τα στοιχεία της μορφής α+βi, όπου α, β IR
Συνεπώς:
ΜΙΓΑΔΙΚΟΙΑΡΙΘΜΟΙ
ΟΡΙΣΜΟΣ :
Το σύνολο C των μιγαδικών αριθμών είναι ένα
υπερσύνολο του συνόλου IR των πραγματικών
αριθμών, στο οποίο:
 επεκτείνονται οι πράξεις της πρόσθεσης και του
πολλαπλασιασμού, έτσι ώστε να έχουν τις ίδιες
ιδιότητες όπως και στο IR , με το 0 να είναι το
ουδέτερο στοιχείο της πρόσθεσης και το 1 το
ουδέτερο στοιχείο του πολλαπλασιασμού
 υπάρχει ένα στοιχείο i τέτοιο ώστε i2=−1
 κάθε στοιχείο z του C γράφεται κατά μοναδικό
τρόπο με τη μορφή z=α+βi όπου α, βIR
ΜΙΓΑΔΙΚΟΙΑΡΙΘΜΟΙ Για κάθε μιγαδικό αριθμό z=α+βi, όπου α, βIR,
ισχύουν τα εξής:
 το α λέγεται πραγματικό μέρος του z και
συμβολίζεται α=Re(z)
 το β λέγεται φανταστικό μέρος του z και
συμβολίζεται β=Im(z)
π.χ. z = 5 + 3i
ΜΙΓΑΔΙΚΟΙΑΡΙΘΜΟΙ Για κάθε μιγαδικό αριθμό z=α+βi, όπου α, βIR,
ισχύουν τα εξής:
 το α λέγεται πραγματικό μέρος του z και
συμβολίζεται α=Re(z)
 το β λέγεται φανταστικό μέρος του z και
συμβολίζεται β=Im(z)
π.χ. z = 5 + 3i
ΜΙΓΑΔΙΚΟΙΑΡΙΘΜΟΙ Για κάθε μιγαδικό αριθμό z=α+βi, όπου α, βIR,
ισχύουν τα εξής:
 το α λέγεται πραγματικό μέρος του z και
συμβολίζεται α=Re(z)
 το β λέγεται φανταστικό μέρος του z και
συμβολίζεται β=Im(z)
π.χ. z = 5 + 3i
Re(z)=5
ΜΙΓΑΔΙΚΟΙΑΡΙΘΜΟΙ Για κάθε μιγαδικό αριθμό z=α+βi, όπου α, βIR,
ισχύουν τα εξής:
 το α λέγεται πραγματικό μέρος του z και
συμβολίζεται α=Re(z)
 το β λέγεται φανταστικό μέρος του z και
συμβολίζεται β=Im(z)
π.χ. z = 5 + 3i
ΜΙΓΑΔΙΚΟΙΑΡΙΘΜΟΙ Για κάθε μιγαδικό αριθμό z=α+βi, όπου α, βIR,
ισχύουν τα εξής:
 το α λέγεται πραγματικό μέρος του z και
συμβολίζεται α=Re(z)
 το β λέγεται φανταστικό μέρος του z και
συμβολίζεται β=Im(z)
π.χ. z = 5 + 3i
Im(z)=3
ΜΙΓΑΔΙΚΟΙΑΡΙΘΜΟΙ π.χ. z = -5 - 3i
ΜΙΓΑΔΙΚΟΙΑΡΙΘΜΟΙ π.χ. z = -5 - 3 i
Re(z)=-5 Im(z)=-3
ΜΙΓΑΔΙΚΟΙΑΡΙΘΜΟΙ
 αν β=0, τότε ο z είναι πραγματικός αριθμός
ΜΙΓΑΔΙΚΟΙΑΡΙΘΜΟΙ
 αν β=0, τότε ο z είναι πραγματικός αριθμός
 αν α=0, τότε ο z είναι φανταστικός αριθμός
ΜΙΓΑΔΙΚΟΙΑΡΙΘΜΟΙ
 αν β=0, τότε ο z είναι πραγματικός αριθμός
 αν α=0, τότε ο z είναι φανταστικός αριθμός
 Ως γνωστόν το σύνολο των πραγματικών αριθμών
συμβολίζεται IR.
Αντιστοίχως το σύνολο των φανταστικών αριθμών
συμβολίζεται Ι
ΜΙΓΑΔΙΚΟΙΑΡΙΘΜΟΙ
 αν β=0, τότε ο z είναι πραγματικός αριθμός
 αν α=0, τότε ο z είναι φανταστικός αριθμός
 Ως γνωστόν το σύνολο των πραγματικών αριθμών
συμβολίζεται IR.
Αντιστοίχως το σύνολο των φανταστικών αριθμών
συμβολίζεται Ι
 Όταν λέμε ο μιγαδικός z=α+βi, εννοούμε ότι α, βIR
και το γεγονός αυτό δε θα τονίζεται ιδιαίτερα
ΜΙΓΑΔΙΚΟΙΑΡΙΘΜΟΙ
Έστω z=α+βi και w=γ+δi τότε:
Ισότητα μιγαδικών αριθμών
ΜΙΓΑΔΙΚΟΙΑΡΙΘΜΟΙ
Έστω z=α+βi και w=γ+δi τότε:
z=w
Ισότητα μιγαδικών αριθμών
ΜΙΓΑΔΙΚΟΙΑΡΙΘΜΟΙ
Έστω z=α+βi και w=γ+δi τότε:
z=w  α+βi=γ+δi
Ισότητα μιγαδικών αριθμών
ΜΙΓΑΔΙΚΟΙΑΡΙΘΜΟΙ
Έστω z=α+βi και w=γ+δi τότε:
z=w  α+βi=γ+δi  α=γ και β=δ
Ισότητα μιγαδικών αριθμών
ΜΙΓΑΔΙΚΟΙΑΡΙΘΜΟΙ
Έστω z=α+βi και w=γ+δi τότε:
z=w  α+βi=γ+δi  α=γ και β=δ
Επομένως z=0
Ισότητα μιγαδικών αριθμών
ΜΙΓΑΔΙΚΟΙΑΡΙΘΜΟΙ
Έστω z=α+βi και w=γ+δi τότε:
z=w  α+βi=γ+δi  α=γ και β=δ
Επομένως z=0  α+βi=0+0i
Ισότητα μιγαδικών αριθμών
ΜΙΓΑΔΙΚΟΙΑΡΙΘΜΟΙ
Έστω z=α+βi και w=γ+δi τότε:
z=w  α+βi=γ+δi  α=γ και β=δ
Επομένως z=0  α+βi=0+0i  α=0 και β=0
Ισότητα μιγαδικών αριθμών
ΜΙΓΑΔΙΚΟΙΑΡΙΘΜΟΙ
α) Για να ισχύει α+βi=0  α=β=0
απαραίτητη προϋπόθεση είναι να ισχύει α,βIR.
ΜΙΓΑΔΙΚΟΙΑΡΙΘΜΟΙ
α) Για να ισχύει α+βi=0  α=β=0
απαραίτητη προϋπόθεση είναι να ισχύει α,βIR.
Αν α, βC τότε η παραπάνω συνθήκη δεν ισχύει.
ΜΙΓΑΔΙΚΟΙΑΡΙΘΜΟΙ
α) Για να ισχύει α+βi=0  α=β=0
απαραίτητη προϋπόθεση είναι να ισχύει α,βIR.
Αν α, βC τότε η παραπάνω συνθήκη δεν ισχύει.
β) Στο σύνολο C δεν υπάρχει διάταξη των αριθμών.
ΜΙΓΑΔΙΚΟΙΑΡΙΘΜΟΙ
α) Για να ισχύει α+βi=0  α=β=0
απαραίτητη προϋπόθεση είναι να ισχύει α,βIR.
Αν α, βC τότε η παραπάνω συνθήκη δεν ισχύει.
β) Στο σύνολο C δεν υπάρχει διάταξη των αριθμών.
Για παράδειγμα αν υπήρχε διάταξη τότε θα έπρεπε
να ισχύει i2>0  1>0 που είναι προφανώς άτοπο.
ΜΙΓΑΔΙΚΟΙΑΡΙΘΜΟΙ
Θεωρούμε το μιγαδικό αριθμό z=α+βi με α,βIR.
Μπορούμε στο z να αντιστοιχίσουμε το σημείο
Μ(α, β) του επιπέδου ή το διάνυσμα .
Αλλά και αντίστροφα σε κάθε σημείο Μ(α, β) του
επιπέδου μπορούμε να αντιστοιχίσουμε το
μιγαδικό z=α+βi.
Το σημείο Μ λέγεται εικόνα του μιγαδικού z και
συμβολίζεται Μ(z).
Γεωμετρική παράσταση μιγαδικών αριθμών
ΜΙΓΑΔΙΚΟΙΑΡΙΘΜΟΙ
πατήστε στην εικόνα
ΜΙΓΑΔΙΚΟΙΑΡΙΘΜΟΙ
Ένα καρτεσιανό επίπεδο του οποίου τα σημεία είναι
εικόνες μιγαδικών αριθμών, ονομάζεται μιγαδικό επίπεδο.
ΜΙΓΑΔΙΚΟΙΑΡΙΘΜΟΙ
Ο άξονας xx΄ λέγεται πραγματικός άξονας αφού περιέχει τα
σημεία Μ(α, 0) που είναι εικόνες των πραγματικών αριθμών
z=α+0i
ΜΙΓΑΔΙΚΟΙΑΡΙΘΜΟΙ
Ο άξονας xx΄ λέγεται πραγματικός άξονας αφού περιέχει τα
σημεία Μ(α, 0) που είναι εικόνες των πραγματικών αριθμών
z=α+0i
Πραγματικός
άξονας
ΜΙΓΑΔΙΚΟΙΑΡΙΘΜΟΙ
Ο άξονας yy΄ λέγεται φανταστικός άξονας αφού περιέχει τα
σημεία Μ(0, β) που είναι εικόνες των φανταστικών αριθμών
z=0+βi
ΜΙΓΑΔΙΚΟΙΑΡΙΘΜΟΙ
Ο άξονας yy΄ λέγεται φανταστικός άξονας αφού περιέχει τα
σημεία Μ(0, β) που είναι εικόνες των φανταστικών αριθμών
z=0+βi
Φανταστικός
άξονας
ΜΙΓΑΔΙΚΟΙΑΡΙΘΜΟΙ
Ένας μιγαδικός αριθμός z=α+βi παριστάνεται επίσης και
με τη διανυσματική ακτίνα του σημείου Μ(α, β).
ΜΙΓΑΔΙΚΟΙΑΡΙΘΜΟΙ
Ένας μιγαδικός αριθμός z=α+βi παριστάνεται επίσης και
με τη διανυσματική ακτίνα του σημείου Μ(α, β).
Διανυσματική
ακτίνα
ΜΙΓΑΔΙΚΟΙΑΡΙΘΜΟΙ
Σύμφωνα με τον ορισμό του ₵, η πρόσθεση και ο
πολλαπλασιασμός δύο μιγαδικών αριθμών γίνονται
όπως ακριβώς και οι αντίστοιχες πράξεις με
διώνυμα α + βx στο IR, όπου βέβαια αντί για x
έχουμε το i .
Έστω z1, z2C με z1=α+βi και z2=γ+δi όπου
α,β,γ,δIR. Οι πράξεις μεταξύ των μιγαδικών
αριθμών γίνονται ως εξής:
Πράξεις μιγαδικών αριθμών
ΜΙΓΑΔΙΚΟΙΑΡΙΘΜΟΙ
Πρόσθεση μιγαδικών
ΜΙΓΑΔΙΚΟΙΑΡΙΘΜΟΙ
Πρόσθεση μιγαδικών
Έστω z1, z2C με z1=α+βi και z2=γ+δi όπου α,β,γ,δIR.
ΜΙΓΑΔΙΚΟΙΑΡΙΘΜΟΙ
Πρόσθεση μιγαδικών
Έστω z1, z2C με z1=α+βi και z2=γ+δi όπου α,β,γ,δIR.
z1+z2 =
ΜΙΓΑΔΙΚΟΙΑΡΙΘΜΟΙ
Πρόσθεση μιγαδικών
Έστω z1, z2C με z1=α+βi και z2=γ+δi όπου α,β,γ,δIR.
z1+z2 =(α+βi)+(γ+δi)
ΜΙΓΑΔΙΚΟΙΑΡΙΘΜΟΙ
Πρόσθεση μιγαδικών
Έστω z1, z2C με z1=α+βi και z2=γ+δi όπου α,β,γ,δIR.
z1+z2 =(α+βi)+(γ+δi)=α+βi+γ+δi=
ΜΙΓΑΔΙΚΟΙΑΡΙΘΜΟΙ
Πρόσθεση μιγαδικών
Έστω z1, z2C με z1=α+βi και z2=γ+δi όπου α,β,γ,δIR.
z1+z2 =(α+βi)+(γ+δi)=α+βi+γ+δi=(α+γ)+(β+δ)i
ΜΙΓΑΔΙΚΟΙΑΡΙΘΜΟΙ
Πρόσθεση μιγαδικών
Έστω z1, z2C με z1=α+βi και z2=γ+δi όπου α,β,γ,δIR.
z1+z2 =(α+βi)+(γ+δi)=α+βi+γ+δi=(α+γ)+(β+δ)i
π.χ. (2-3i) + (7+i) =
ΜΙΓΑΔΙΚΟΙΑΡΙΘΜΟΙ
Πρόσθεση μιγαδικών
Έστω z1, z2C με z1=α+βi και z2=γ+δi όπου α,β,γ,δIR.
z1+z2 =(α+βi)+(γ+δi)=α+βi+γ+δi=(α+γ)+(β+δ)i
π.χ. (2-3i) + (7+i) = (2+7) + (-3+1)i
ΜΙΓΑΔΙΚΟΙΑΡΙΘΜΟΙ
Πρόσθεση μιγαδικών
Έστω z1, z2C με z1=α+βi και z2=γ+δi όπου α,β,γ,δIR.
z1+z2 =(α+βi)+(γ+δi)=α+βi+γ+δi=(α+γ)+(β+δ)i
π.χ. (2-3i) + (7+i) = (2+7) + (-3+1)i = 9 + (-2)i
ΜΙΓΑΔΙΚΟΙΑΡΙΘΜΟΙ
Πρόσθεση μιγαδικών
Έστω z1, z2C με z1=α+βi και z2=γ+δi όπου α,β,γ,δIR.
z1+z2 =(α+βi)+(γ+δi)=α+βi+γ+δi=(α+γ)+(β+δ)i
π.χ. (2-3i) + (7+i) = (2+7) + (-3+1)i = 9 + (-2)i = 9 – 2i
ΜΙΓΑΔΙΚΟΙΑΡΙΘΜΟΙ
Αφαίρεση μιγαδικών
ΜΙΓΑΔΙΚΟΙΑΡΙΘΜΟΙ
Αφαίρεση μιγαδικών
Έστω z1, z2C με z1=α+βi και z2=γ+δi όπου α,β,γ,δIR.
ΜΙΓΑΔΙΚΟΙΑΡΙΘΜΟΙ
Αφαίρεση μιγαδικών
Έστω z1, z2C με z1=α+βi και z2=γ+δi όπου α,β,γ,δIR.
z1z2
ΜΙΓΑΔΙΚΟΙΑΡΙΘΜΟΙ
Αφαίρεση μιγαδικών
Έστω z1, z2C με z1=α+βi και z2=γ+δi όπου α,β,γ,δIR.
z1z2 =(α+βi)(γ+δi)=
ΜΙΓΑΔΙΚΟΙΑΡΙΘΜΟΙ
Αφαίρεση μιγαδικών
Έστω z1, z2C με z1=α+βi και z2=γ+δi όπου α,β,γ,δIR.
z1z2 =(α+βi)(γ+δi)=α+βiγδi
ΜΙΓΑΔΙΚΟΙΑΡΙΘΜΟΙ
Αφαίρεση μιγαδικών
Έστω z1, z2C με z1=α+βi και z2=γ+δi όπου α,β,γ,δIR.
z1z2 =(α+βi)(γ+δi)=α+βiγδi=(αγ)+(βδ)i
ΜΙΓΑΔΙΚΟΙΑΡΙΘΜΟΙ
Αφαίρεση μιγαδικών
Έστω z1, z2C με z1=α+βi και z2=γ+δi όπου α,β,γ,δIR.
z1z2 =(α+βi)(γ+δi)=α+βiγδi=(αγ)+(βδ)i
π.χ. (8 + 5i) – (15 – 2i) =
ΜΙΓΑΔΙΚΟΙΑΡΙΘΜΟΙ
Αφαίρεση μιγαδικών
Έστω z1, z2C με z1=α+βi και z2=γ+δi όπου α,β,γ,δIR.
z1z2 =(α+βi)(γ+δi)=α+βiγδi=(αγ)+(βδ)i
π.χ. (8 + 5i) – (15 – 2i) = (8 – 15) + (5 + 2)i =
ΜΙΓΑΔΙΚΟΙΑΡΙΘΜΟΙ
Αφαίρεση μιγαδικών
Έστω z1, z2C με z1=α+βi και z2=γ+δi όπου α,β,γ,δIR.
z1z2 =(α+βi)(γ+δi)=α+βiγδi=(αγ)+(βδ)i
π.χ. (8 + 5i) – (15 – 2i) = (8 – 15) + (5 + 2)i = -7+7i
ΜΙΓΑΔΙΚΟΙΑΡΙΘΜΟΙ
ΜΙΓΑΔΙΚΟΙΑΡΙΘΜΟΙ Η διανυσματική ακτίνα του αθροίσματος των
μιγαδικών α + βi και γ + δi είναι το άθροισμα των
διανυσματικών ακτίνων τους
Απόδειξη
Αν M1 (α, β) και M2 (γ,δ)
είναι οι εικόνες των
z=α + βi και w=γ + δi
αντιστοίχως στο μιγαδικό
επίπεδο, τότε το άθροισμα
z+w = (α + γ) + (β + δ)i,
παριστάνεται με το σημείο
M(α + γ, β + δ)
πατήστε στην εικόνα
ΜΙΓΑΔΙΚΟΙΑΡΙΘΜΟΙ Η διανυσματική ακτίνα της διαφοράς των
μιγαδικών α + βi και γ + δi είναι η διαφορά των
διανυσματικών ακτίνων τους
Απόδειξη
Αν M1 (α, β) και M2 (γ,δ)
είναι οι εικόνες των
z=α + βi και w=γ + δi
αντιστοίχως στο μιγαδικό
επίπεδο, τότε η διαφορά
z - w = (α - γ) + (β - δ)i,
παριστάνεται με το σημείο
Ν(α - γ, β - δ)
πατήστε στην εικόνα
ΜΙΓΑΔΙΚΟΙΑΡΙΘΜΟΙ
Πολλαπλασιασμός μιγαδικών
Έστω z1, z2C με z1=α+βi και z2=γ+δi όπου α,β,γ,δIR.
ΜΙΓΑΔΙΚΟΙΑΡΙΘΜΟΙ
Πολλαπλασιασμός μιγαδικών
Έστω z1, z2C με z1=α+βi και z2=γ+δi όπου α,β,γ,δIR.
z1z2 = (α+βi)(γ+δi)
ΜΙΓΑΔΙΚΟΙΑΡΙΘΜΟΙ
Πολλαπλασιασμός μιγαδικών
Έστω z1, z2C με z1=α+βi και z2=γ+δi όπου α,β,γ,δIR.
z1z2 = (α+βi)(γ+δi) = αγ + αδi + βγi+ βδi2
ΜΙΓΑΔΙΚΟΙΑΡΙΘΜΟΙ
Πολλαπλασιασμός μιγαδικών
Έστω z1, z2C με z1=α+βi και z2=γ+δi όπου α,β,γ,δIR.
z1z2 = (α+βi)(γ+δi) = αγ + αδi + βγi+ βδi2 =
= αγ + αδi + βγi  βδ
ΜΙΓΑΔΙΚΟΙΑΡΙΘΜΟΙ
Πολλαπλασιασμός μιγαδικών
Έστω z1, z2C με z1=α+βi και z2=γ+δi όπου α,β,γ,δIR.
z1z2 = (α+βi)(γ+δi) = αγ + αδi + βγi+ βδi2 =
= αγ + αδi + βγi  βδ = αγ  βδ + αδi + βγi
ΜΙΓΑΔΙΚΟΙΑΡΙΘΜΟΙ
Πολλαπλασιασμός μιγαδικών
Έστω z1, z2C με z1=α+βi και z2=γ+δi όπου α,β,γ,δIR.
z1z2 = (α+βi)(γ+δi) = αγ + αδi + βγi+ βδi2 =
= αγ + αδi + βγi  βδ = αγ  βδ + αδi + βγi =
= (αγ  βδ) + (αδ + βγ)i
ΜΙΓΑΔΙΚΟΙΑΡΙΘΜΟΙ
Πολλαπλασιασμός μιγαδικών
Έστω z1, z2C με z1=α+βi και z2=γ+δi όπου α,β,γ,δIR.
z1z2 = (α+βi)(γ+δi) = αγ + αδi + βγi+ βδi2 =
= αγ + αδi + βγi  βδ = αγ  βδ + αδi + βγi =
= (αγ  βδ) + (αδ + βγ)i
π.χ. (4 + 3i)(6 – 5i) =
ΜΙΓΑΔΙΚΟΙΑΡΙΘΜΟΙ
Πολλαπλασιασμός μιγαδικών
Έστω z1, z2C με z1=α+βi και z2=γ+δi όπου α,β,γ,δIR.
z1z2 = (α+βi)(γ+δi) = αγ + αδi + βγi+ βδi2 =
= αγ + αδi + βγi  βδ = αγ  βδ + αδi + βγi =
= (αγ  βδ) + (αδ + βγ)i
π.χ. (4 + 3i)(6 – 5i) = 24 – 20i + 18i – 15i2
ΜΙΓΑΔΙΚΟΙΑΡΙΘΜΟΙ
Πολλαπλασιασμός μιγαδικών
Έστω z1, z2C με z1=α+βi και z2=γ+δi όπου α,β,γ,δIR.
z1z2 = (α+βi)(γ+δi) = αγ + αδi + βγi+ βδi2 =
= αγ + αδi + βγi  βδ = αγ  βδ + αδi + βγi =
= (αγ  βδ) + (αδ + βγ)i
π.χ. (4 + 3i)(6 – 5i) = 24 – 20i + 18i – 15i2 =
= 24 – 20i + 18i + 15
ΜΙΓΑΔΙΚΟΙΑΡΙΘΜΟΙ
Πολλαπλασιασμός μιγαδικών
Έστω z1, z2C με z1=α+βi και z2=γ+δi όπου α,β,γ,δIR.
z1z2 = (α+βi)(γ+δi) = αγ + αδi + βγi+ βδi2 =
= αγ + αδi + βγi  βδ = αγ  βδ + αδi + βγi =
= (αγ  βδ) + (αδ + βγ)i
π.χ. (4 + 3i)(6 – 5i) = 24 – 20i + 18i – 15i2 =
= 24 – 20i + 18i + 15 = (24 + 15) + (– 20 + 18)i
ΜΙΓΑΔΙΚΟΙΑΡΙΘΜΟΙ
Πολλαπλασιασμός μιγαδικών
Έστω z1, z2C με z1=α+βi και z2=γ+δi όπου α,β,γ,δIR.
z1z2 = (α+βi)(γ+δi) = αγ + αδi + βγi+ βδi2 =
= αγ + αδi + βγi  βδ = αγ  βδ + αδi + βγi =
= (αγ  βδ) + (αδ + βγ)i
π.χ. (4 + 3i)(6 – 5i) = 24 – 20i + 18i – 15i2 =
= 24 – 20i + 18i + 15 = (24 + 15) + (– 20 + 18)i
= 39 – 2i
ΜΙΓΑΔΙΚΟΙΑΡΙΘΜΟΙ
Διαίρεση μιγαδικών
Έστω z1, z2C με z1=α+βi και z2=γ+δi όπου α,β,γ,δIR.

2
1
z
z
ΜΙΓΑΔΙΚΟΙΑΡΙΘΜΟΙ
Διαίρεση μιγαδικών
Έστω z1, z2C με z1=α+βi και z2=γ+δi όπου α,β,γ,δIR.




δiγ
iβα
z
z
2
1
ΜΙΓΑΔΙΚΟΙΑΡΙΘΜΟΙ
Διαίρεση μιγαδικών
Έστω z1, z2C με z1=α+βi και z2=γ+δi όπου α,β,γ,δIR.
δi)(γδi)(γ
δi)(γi)βα(
δiγ
iβα
z
z
2
1






ΜΙΓΑΔΙΚΟΙΑΡΙΘΜΟΙ
Διαίρεση μιγαδικών
Έστω z1, z2C με z1=α+βi και z2=γ+δi όπου α,β,γ,δIR.
222
2
2
1
iδγ
βδi-βγiiαδαγ
δi)(γδi)(γ
δi)(γi)βα(
δiγ
iβα
z
z









ΜΙΓΑΔΙΚΟΙΑΡΙΘΜΟΙ
Διαίρεση μιγαδικών
Έστω z1, z2C με z1=α+βi και z2=γ+δi όπου α,β,γ,δIR.
22
222
2
2
1
δγ
βδβγiiαδαγ
iδγ
βδi-βγiiαδαγ
δi)(γδi)(γ
δi)(γi)βα(
δiγ
iβα
z
z













ΜΙΓΑΔΙΚΟΙΑΡΙΘΜΟΙ
Διαίρεση μιγαδικών
Έστω z1, z2C με z1=α+βi και z2=γ+δi όπου α,β,γ,δIR.
2222
222
2
2
1
δγ
αδ)i-βγ(βδαγ
δγ
βδβγiiαδαγ
iδγ
βδi-βγiiαδαγ
δi)(γδi)(γ
δi)(γi)βα(
δiγ
iβα
z
z
















ΜΙΓΑΔΙΚΟΙΑΡΙΘΜΟΙ
Διαίρεση μιγαδικών
Έστω z1, z2C με z1=α+βi και z2=γ+δi όπου α,β,γ,δIR.
i
δγ
αδβγ
δγ
βδαγ
δγ
αδ)i-βγ(βδαγ
δγ
βδβγiiαδαγ
iδγ
βδi-βγiiαδαγ
δi)(γδi)(γ
δi)(γi)βα(
δiγ
iβα
z
z
22222222
222
2
2
1






















ΜΙΓΑΔΙΚΟΙΑΡΙΘΜΟΙ
Διαίρεση μιγαδικών
Έστω z1, z2C με z1=α+βi και z2=γ+δi όπου α,β,γ,δIR.
i
δγ
αδβγ
δγ
βδαγ
δγ
αδ)i-βγ(βδαγ
δγ
βδβγiiαδαγ
iδγ
βδi-βγiiαδαγ
δi)(γδi)(γ
δi)(γi)βα(
δiγ
iβα
z
z
22222222
222
2
2
1






















iβα
1
z
1
1 

ΜΙΓΑΔΙΚΟΙΑΡΙΘΜΟΙ
Διαίρεση μιγαδικών
Έστω z1, z2C με z1=α+βi και z2=γ+δi όπου α,β,γ,δIR.
i
δγ
αδβγ
δγ
βδαγ
δγ
αδ)i-βγ(βδαγ
δγ
βδβγiiαδαγ
iδγ
βδi-βγiiαδαγ
δi)(γδi)(γ
δi)(γi)βα(
δiγ
iβα
z
z
22222222
222
2
2
1






















βi)-(αβi)(α
iβα
iβα
1
z
1
1 




ΜΙΓΑΔΙΚΟΙΑΡΙΘΜΟΙ
Διαίρεση μιγαδικών
Έστω z1, z2C με z1=α+βi και z2=γ+δi όπου α,β,γ,δIR.
i
δγ
αδβγ
δγ
βδαγ
δγ
αδ)i-βγ(βδαγ
δγ
βδβγiiαδαγ
iδγ
βδi-βγiiαδαγ
δi)(γδi)(γ
δi)(γi)βα(
δiγ
iβα
z
z
22222222
222
2
2
1






















22222
1 βα
iβα
iβα
iβα
βi)-(αβi)(α
iβα
iβα
1
z
1











ΜΙΓΑΔΙΚΟΙΑΡΙΘΜΟΙ
Διαίρεση μιγαδικών
Έστω z1, z2C με z1=α+βi και z2=γ+δi όπου α,β,γ,δIR.
i
δγ
αδβγ
δγ
βδαγ
δγ
αδ)i-βγ(βδαγ
δγ
βδβγiiαδαγ
iδγ
βδi-βγiiαδαγ
δi)(γδi)(γ
δi)(γi)βα(
δiγ
iβα
z
z
22222222
222
2
2
1






















i
βα
β
βα
α
βα
iβα
iβα
iβα
βi)-(αβi)(α
iβα
iβα
1
z
1
2222
22222
1
















ΜΙΓΑΔΙΚΟΙΑΡΙΘΜΟΙ Δύναμη μιγαδικού αριθμού
Οι δυνάμεις ενός μιγαδικού αριθμού z με ακέραιο
εκθέτη ορίζονται όπως και στους πραγματικούς
αριθμούς. Δηλαδή:
zν= με ν θετικό ακέραιο και ν>1
z0=1
zν = για κάθε θετικό ακέραιο ν
 
παράγοντεςν
zzz 
ν
z
1
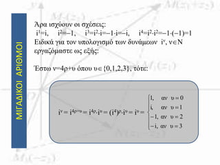
ΜΙΓΑΔΙΚΟΙΑΡΙΘΜΟΙ Άρα ισχύουν οι σχέσεις:
i1=i, i2=1, i3=i2i=1i=i, i4=i2i2=1(1)=1
Ειδικά για τον υπολογισμό των δυνάμεων iν, νN
εργαζόμαστε ως εξής:
Έστω ν=4ρ+υ όπου υ{0,1,2,3}, τότε:
iν = i4ρ+υ = i4ρiυ = (i4)ρiυ = iυ =











3υαν,i
2υαν,1
1υανi,
0υαν,1
ΜΙΓΑΔΙΚΟΙΑΡΙΘΜΟΙ
π.χ.
24418
ii 

ΜΙΓΑΔΙΚΟΙΑΡΙΘΜΟΙ
π.χ.
224418
iii  
ΜΙΓΑΔΙΚΟΙΑΡΙΘΜΟΙ
π.χ.
1iii 224418
 
ΜΙΓΑΔΙΚΟΙΑΡΙΘΜΟΙ
π.χ.
1iii 224418
 
35423
ii 

ΜΙΓΑΔΙΚΟΙΑΡΙΘΜΟΙ
π.χ.
1iii 224418
 
335423
iii  
ΜΙΓΑΔΙΚΟΙΑΡΙΘΜΟΙ
π.χ.
1iii 224418
 
iiii 335423
 
ΜΙΓΑΔΙΚΟΙΑΡΙΘΜΟΙ
π.χ.
1iii 224418
 
iiii 335423
 
03412
ii 

ΜΙΓΑΔΙΚΟΙΑΡΙΘΜΟΙ
π.χ.
1iii 224418
 
iiii 335423
 
003412
iii  
ΜΙΓΑΔΙΚΟΙΑΡΙΘΜΟΙ
π.χ.
1iii 224418
 
iiii 335423
 
1iii 003412
 
ΜΙΓΑΔΙΚΟΙΑΡΙΘΜΟΙ
π.χ.
1iii 224418
 
iiii 335423
 
1iii 003412
 
17429
ii 

ΜΙΓΑΔΙΚΟΙΑΡΙΘΜΟΙ
π.χ.
1iii 224418
 
iiii 335423
 
1iii 003412
 
117429
iii  
ΜΙΓΑΔΙΚΟΙΑΡΙΘΜΟΙ
π.χ.
1iii 224418
 
iiii 335423
 
1iii 003412
 
iiii 117429
 
ΜΙΓΑΔΙΚΟΙΑΡΙΘΜΟΙ Συζυγής μιγαδικού αριθμού
Έστω z=α+βi₵ με α,βIR.
Τότε ο αριθμός αβi ονομάζεται συζυγής του z
και συμβολίζεται με ,
Δηλαδή =αβi.
Z
Z
ΜΙΓΑΔΙΚΟΙΑΡΙΘΜΟΙ Στο μιγαδικό επίπεδο οι εικόνες M(α, β) και M'(α,–β)
δύο συζυγών μιγαδικών z = α + βi και = α – βi είναι
σημεία συμμετρικά ως προς τον πραγματικό άξονα.
Z
πατήστε στην εικόνα
ΜΙΓΑΔΙΚΟΙΑΡΙΘΜΟΙ Ιδιότητες
ΜΙΓΑΔΙΚΟΙΑΡΙΘΜΟΙ
α) Οι εικόνες των συζυγών αριθμών z, είναι συμμετρικά σημεία ως
προς τον xx΄.
β) =z  zIR
γ =z  zI
δ) Για να δείξουμε ότι η εικόνα του μιγαδικού z κινείται σε κύκλο x2+y2=ρ2
αρκεί να δείξουμε ότι z = ρ2
z
z
z
ΜΙΓΑΔΙΚΟΙΑΡΙΘΜΟΙ Λύση της εξίσωσης αz2+βz+γ=0 με α0
Ως γνωστόν η εξίσωση = 1 δεν έχει λύση στο IR. Επειδή όμως στο
₵ ισχύει = 1 , η εξίσωση μπορεί να λυθεί στο σύνολο των μιγαδικών
αριθμών ως εξής:
Ομοίως:
2
x
2
i
ixήixix1x 222

  i3xήi3xi3x9x
222

ΜΙΓΑΔΙΚΟΙΑΡΙΘΜΟΙ Λύση της εξίσωσης αz2+βz+γ=0 με α0
Ως γνωστόν η εξίσωση = 1 δεν έχει λύση στο IR. Επειδή όμως στο
₵ ισχύει = 1 , η εξίσωση μπορεί να λυθεί στο σύνολο των μιγαδικών
αριθμών ως εξής:
Ομοίως:
Γενικά μπορούμε να διαπιστώσουμε ότι κάθε εξίσωση δεύτερου
βαθμού με πραγματικούς συντελεστές έχει πάντα λύση στο σύνολο ₵.
2
x
2
i
ixήixix1x 222

  i3xήi3xi3x9x
222

ΘΕΩΡΗΜΑ
Η εξίσωση αz2+βz+γ=0 με α,β,γIRκαι α0 έχει πάντα λύση στο ₵.
Πρώτα υπολογίζουμε τη διακρίνουσα Δ=β24αγ και στη συνέχεια
διακρίνουμε τις περιπτώσεις:
 αν Δ>0 τότε η εξίσωση έχει δύο πραγματικές κι άνισες λύσεις
z1,2=
 αν Δ=0 τότε η εξίσωση έχει μια διπλή πραγματική λύση
z0=
 αν Δ<0 τότε η εξίσωση έχει δύο μιγαδικές συζυγείς λύσεις
z1,2=
ΜΙΓΑΔΙΚΟΙΑΡΙΘΜΟΙ
α2
Δβ 
α2
β
α2
Δiβ 
ΜΙΓΑΔΙΚΟΙΑΡΙΘΜΟΙ ΑΠΟΔΕΙΞΗ
ΜΙΓΑΔΙΚΟΙΑΡΙΘΜΟΙ
α) Σε κάθε περίπτωση ισχύουν οι τύποι του Vieta, δηλαδή:
z1+z2=  και z1z2= .
β) Οι λύσεις μιας δευτεροβάθμιας εξίσωσης στο σύνολο των
μιγαδικών ₵, είναι πάντοτε συζυγείς μιγαδικοί αριθμοί
α
β
α
γ
ΜΙΓΑΔΙΚΟΙΑΡΙΘΜΟΙ

Kef 2.1 2.2