Ikatan Ganda Dua dan Ikatan Ganda Tiga| 57
UNIT 4
IKATAN GANDA DUA DAN IKATAN GANDA TIGA
HASIL PEMBELAJARAN
Di akhir pembelajaran ini, anda diharap dapat:
1. Memberikan definisi untuk alkena, alkuna, aldehid, keton, asid karboksilik dan sebatian aromatik.
2. Menamakan alkena, alkuna, aldehid, keton, asid karboksilik dan sebatian aromatik mengikut system IUPAC.
3. Menghuraikan cara sintesis alkena, alkuna, aldehid, keton, asid karboksilik dan sebatian aromatik.
4. Menghuraikan tindak balas alkena, alkuna, aldehid, keton, asid karboksilik dan sebatian aromatik.
PETA KONSEP TAJUK
IKATAN GANDA DUA DAN IKATAN GANDA TIGA
Alkena Sebatian AromatikAldehid & KetonAlkuna Asid Karboksilik
Penamaan IUPAC
Sintesis
Tindak Balas
Ikatan Ganda Dua dan Ikatan Ganda Tiga| 58
4.1 PENGENALAN
Suatu sebatian organik dikatakan tepu apabila sebatian itu berantai linear atau bercabang dan tiap-tiap atom karbon
membentuk ikatan tunggal samada dengan atom karbon atau dengan atom yang lain. Sebatian organik dikatakan tak
tepu apabila sebatian itu mempunyai ikatan berganda, iaitu ikatan ganda dua atau ikatan ganda tiga.
Satu pusat tak tepu atau terdiri daripada satu ikatan pi, π adalah setara dengan penambahan dua atom hidrogen
kepada sebatian tersebut. Oleh itu satu ikatan ganda ikatan dua mempunyai satu pusat tak tepu, satu ikatan ganda
tiga mempunyai dua pusat tak tepu dan satu gelang benzena mempunyai satu pusat tak tepu.
Sebagai contoh, etena mempunyai satu pusat tak tepu.
Etuna mempunyai dua pusat tak tepu
Benzena mempunyai empat pusat tak tepu, iaitu tiga daripada tiga ikatan ganda dua (hipotetik) dan satu daripada
gelang.
Asid etanoik mempunyai satu pusat tak tepu, iaitu pada ikatan ganda dua C = O,
Sikloheksana mempunyai satu pusat tak tepu daripada gelangnya.
Ikatan Ganda Dua dan Ikatan Ganda Tiga| 59
Furan mempunyai tiga pusat tak tepu, dua daripada dua ikatan ganda dua dan satu daripada gelangnya.
Isokuinolina mempunyai tujuh pusat tak tepu, iaitu lima daripada lima ikatan ganda dua (hipotetik) dan dua daripada
dua gelang.
4.2 ALKENA
Alkena merupakan sebatian hidrokarbon tak tepu dengan kumpulan berfungsi ikatan ganda dua karbon-karbon,
C=C. Alkena asiklik mempunyai formula umum CnH2n manakala alkena siklik pula mempunyai formula umum CnH2n-2.
Sumber utama alkena adalah melalui proses peretakan petroleum. Alkena yang paling ringkas ialah etena CH2=CH2.
4.2.1 Tatanama IUPAC
Dalam tatanama IUPAC petua-petua berikut digunakan:
1. Rantai terpanjang yang mengandungi ikatan ganda dua karbon-karbon diambil sebagai alkana induk dan
nama alkena diberi dengan menggantikan akhiran ana dengan ena.
2. Penomboran dilakukan supaya karbon berikatan ganda dua itu mempunyai nombor yang terkecil mungkin
dalam rantai induk.
3. Kumpulan penukar gantian ditandakan dengan nombor kedudukannya pada rantai.
Ikatan Ganda Dua dan Ikatan Ganda Tiga| 60
Contoh 4.1
4.2.2 Keisomeran
Oleh kerana ikatan ganda dua karbon-karbon berada dalam satu satah, isomer geometri wujud bergantung kepada
kedudukan kumpulan penukar ganti pada karbon ikatan ganda dua. Apabila kedudukan dua kumpulan penukar ganti
yang sama adalah pada sisi yang sama, isomer geometri adalah cis, apabila kedudukan pada sisi yang bertentangan
isomer geometrinya ialah trans .
Contoh 4.2
Sistem E-Z
Penggunaan cis dan trans dalam penamaan alkena kadangkala menimbulkan kekeliruan, sebagai contoh:
Masalah diatasi dengan menggunakan sistem E-Z. Sistem E-Z wujud bergantung kepada keutamaan kedudukan
kumpulan penukar ganti pada ikatan ganda dua karbon-karbon. Kumpulan penukar ganti pada setiap hujung ikatan
ganda dua dikelaskan mengikut susunan keutamaan menurun (mengikuti peraturan Cahn Ingold Prelog). Konfigurasi
Z(zusammen- bersama-sama) mewakili perhubungan cis di antara kumpulan-kumpulan yang mempunyai keutamaan
tertinggi. Jika perhubungan di antara dua kumpalan ini trans, konfigurasi tersebut dikenali sebagai E(entgegen-
bertentangan). Haloalkena yang pertama itu namanya E-1-Bromo-2-kloropropena dan, yang kedua Z-1-Bromo-2-
kloropropena kerana susunan keutamaan kumpulan penukar gantinya adalah dalam tertib Br > Cl > CH3 > H.
Ikatan Ganda Dua dan Ikatan Ganda Tiga| 61
Contoh 4.3
4.2.3 Sifat fizik
Kebanyakan sifat fizik alkena adalah serupa dengan sifat alkana yang sepadan. Takat didih alkena bertambah
secara beransur-ansur apabila jisim molekul bertambah. Seperti alkana, alkena rantai lurus adalah kurang meruap
dan mempunyai takat didih yang lebih tinggi daripada isomer-isomer yang bercabang.
Alkena tidak melarut dalam air tetapi larut dalam pelarut organik seperti heksana, dietil eter (etoksietana) dan eseton
(propanon). Kekutuban alkena adalah tinggi berbanding dengan alkana disebabkan kehadiran ikatan π (pi).
Ketumpatan bagi alkena adalah di antara 0.6-0.7gcm-3. Nama dan sifat fizik untuk beberapa alkena ditunjuk dalam
Jadual 4.1
Jadual 4.1 Takat lebur dan takat didih beberapa alkena
Nama Formula t.l. ºC t.d. ºC
Etena -169 -104
Propena -185 -47
1-Butena -130 -6.5
cis-2-butena -139 4
trans-2-butena -106 1
1-Metilpropena -141 -69
1-Pentena -138 32
Sikloheksena -104 83
Ikatan Ganda Dua dan Ikatan Ganda Tiga| 62
4.2.4 Sintesis alkena
Terdapat dua cara yang penting bagi sintesis alkena iaitu pendehidratan alkohol dan pendehidrohalogenan alkil
halida (haloalkana).
(a) Pendehidratan Alkohol
Ini merupakan cara sintesis yang utama di dalam makmal. Apabila alkohol dipanaskan dengan sedikit asid kuat
seperti H2SO4 atau H3PO2 pekat pada suhu kira-kira 200 0C, ataupun wap alkohol dialirkan melalui serbuk AI2O3
yang dipanaskan pada suhu tinggi, molekul air disingkirkan dan ikatan ganda dua karbon-karbon terbentuk.
Tindak balas umum ialah,
Mekanisme tindak balas dalam kehadiran mangkin asid ialah
Dalam mekanisme ini ion karbonium merupakan bahan perantara. Arah dan kadar tindak balas mematuhi hukum
Saytzeff, iaitu hasil alkena utama ialah alkena yang mempunyai kumpulan gantian alkil yang paling banyak atom-
atom karbon berikatan ganda dua. Ini sepadan dengan turutan keutamaan pendehidratan mengikut kelas alkohol
seperti berikut,
alkohol tertier > alkohol sekunder > alkohol primier
Sebagai contoh, pendehidratan 2-butanol memberikan hasil utama 2-butena dan hasil sampingan 1-butena,
Ikatan Ganda Dua dan Ikatan Ganda Tiga| 63
Penyediaan Etena daripada Etanol
Umumnya penghidratan etanol akan menghasilkan etena.
Tindak balas ini digunakan dalam industri untuk menyediakan etena yang kemudian penghasilan polietena
(Polietilena). Penghidratan boleh dilakukan dengan menggunakan asid sulfurik pekat (agen penhidratan) berlebihan
(Rajah 4.1)
Rajah 4.1 Penyediaan etena daripada etanol dalam makmal
Berdasarkan Rajah 4.1 larutan NaOH digunakan untuk memerangkap hasil-hasil sampingan seperti SO2, CO2 dan
lain-lain lagi.
Ikatan Ganda Dua dan Ikatan Ganda Tiga| 64
Contoh 4.4:
Pendehidratan etanol boleh juga dilakukan dengan melalui wap etanol ke atas mangkin Al2O3 pada suhu tinggi
(200ºC). Sebenarnya kaedah ini yang digunakan dalam industri untuk menyediakan etena daripada etanol. Model
proses ini boleh dilihat dalam makmal dengan menggunakan radas seperti dalam Rajah 4.2.
Rajah 4.2 Pendehidratan etanol kepada etena dengan mangkin Al2O3
(b) Pendehidrohalogenan Alkil Halida (Haloalkana)
Dalam kaedah ini satu atom hidrogen, H dan satu atom halogen disingkirkan daripada atom-atom karbon berjiran
apabila alkil halida dipanaskan bersama-sama dengan larutan kalium hidroksida, KOH beralkohol;
Ikatan Ganda Dua dan Ikatan Ganda Tiga| 65
Contoh 4.5:
Pembentukan hasil utama 2-butena adalah sepadan dengan aturan Saytzeff.
Contoh 4.6:
4.2.5 Tindak Balas Kimia
Tindak balas kimia bagi alkena terbahagi kepada 3 iaitu pembakaran, penambahan elektrofilik dan pengoksidaan.
(a) Pembakaran
Alkena terbakar di dalam udara atau di dalam oksigen yang berlebihan dan menghasilkan karbon dioksida dan air.
Persamaan umum tindak balas pembakaran bagi alkena adalah,
Alkena tidak digunakan sebagai bahan api kerana bahan ini lebih mustahak lagi dalam industri kimia.
(b) Tindak Balas Penambahan Elektrofilik
Oleh sebab terdapat ikatan ganda dua pada alkena, maka ketumpatan elektron agak tinggi pada ikatan ganda dua
ini, dengan itu alkena bertindak sebagai nukleofilil. Elektrofil boleh mendekati ikatan ganda dua ini, dan seterusnya
menjalani tindak balas penambahan.
Ikatan Ganda Dua dan Ikatan Ganda Tiga| 66
Antara tindak balas penambahan elektrofilik ialah,
(i)Tindak Balas dengan Halogen
Halogen bertindak balas dengan alkena pada keadaan biasa. Mekanisme pembrominan etena telah pun
dibincangkan dalam bab Alkil Halida. Pengklorinan etana membentuk 1,2-dikloroetana yang digunakan dalam
pembuatan kloroetena (vinil klorida, PVC). Bahan ini adalah monomer kepada polimer poli (vinil klorida, PVC).
Persamaan umumnya seperti di bawah:
Tindak balas alkena dengan bromine, Br2 dalam larutan CCl4 digunakan untuk menguji kewujudan ikatan ganda dua.
Warna perang kemerahan bromin akan ternyah warna dengan kehadiran ikatan ganda dua (pembentukan sebatian
dibromo).
Contoh 4.7:
(ii) Tindak Balas dengan Hidrogen
Hidrogen adalah kurang elektronegatif daripada halogen. Oleh itu hidrogen kurang tertarik oleh awan elektron ikatan
ganda dua. Maka pada keadaan biasa, hidrogen tidak bertindak balas dengan alkena . Tindak balas berlaku dengan
pertolongan mangkin (contohnya serbuk nikel) pada suhu tinggi (150ºC). Mangkin menolong mengutubkan molekul
hidrogen, oleh itu kutub positif boleh mendekati ikatan ganda dua.
Penghidrogenan ikatan ganda dua terlibat dalam industri makanan. Sebagai contoh, minyak sayuran yang
mengandungi ikatan ganda dua ditepukan menjadi pepejal, contohnya marjerin.
Ikatan Ganda Dua dan Ikatan Ganda Tiga| 67
Contoh 4.8:
(iii) Tindak Balas dengan Hidrogen Halida
Tindak balas penambahan berlaku dalam keadaan biasa kerana molekul HX adalah berkutub.
Arah penambahan H ― X adalah mematuhi hukum Markovnikov, iaitu hidrogen akan terikat pada atom karbon
berikatan ganda dua yang paling banyak mempunyai bilangan hidrogen yang telah berikat dengannya. Ini
memberikan hasil utama tindak balas manakala hasil sampingan adalah daripada tindak balas yang tidak mematuhi
aturan Markovnikov. Keadaan ini mempunyai hubungan dengan tertib kestabilan ion karbonium yang wujud sebagai
bahan perantara iaitu,
Tertib kestabilan ion karbonium,
Ion karbonium : tertier > sekunder > primer > CH3
+
Penambahan HBr secara anti-Markovnikov berlaku dalam kehadiran mangkin organik peroksida. Bahan parantaraan
dalam tindak balas ini ialah radikal bebas dan bukan ion karbonium dan mekanismenya ialah tindak balas rantai.
δ+ δ-
Ikatan Ganda Dua dan Ikatan Ganda Tiga| 68
Alkena bersimetri akan menghasilkan 1 produk manakala alkena yang tidak simetri akan menghasilkan 2 produk.
Contoh 4.9:
(iv) Tindak Balas dengan Asid Sulfurik Pekat
Tindak balas berlaku dalam keadaan sejuk kerana H2SO4 adalah asid kuat.
Ikatan Ganda Dua dan Ikatan Ganda Tiga| 69
Tindak balas penambahan ini menurut aturan Markovnikov. Alkil hidrogen sulfat terhidrolisis dengan mudah apabila
dicampurkan dengan air. Keseluruhan tindak balas ini ialah penghidratan alkenayang memberikan hasil akhir
alkohol.
Contoh 4.10: Penghasilan etanol:
:
Bagaimanapun, etanol lebih murah disediakan daripada etena melalui tindak balas penghidratan bermangkin dalam
fasa gas seperti yang ditunjukkan dalam persamaan di bawah.
(v) Tindak balas dengan air, H2O (Penghidratan)
Dengan adanya asid sebagai pemangkin, alkena bertindak balas dengan air akan menghasilkan alkohol menurut
aturan Markovnikov. Penghidroboratan atau pengoksidaan alkena menghasilkan produk yang anti-aturan
Markovnikov.
Contoh 4.11:
Ikatan Ganda Dua dan Ikatan Ganda Tiga| 70
(vi) Pembentukan halohidrina
Halohidrina terbentuk apabila alkena bertindak balas dengan HO-Cl atau HO-Br di bawah keadaan yang sesuai akan
menghasilkan 1,2-halo alkohol menurut aturan Markovnikov.
Contoh 4.12:
(c) Tindak Balas Pengoksidaan
Tindak balas pengoksidaan terhadap alkena boleh berlaku dengan kehadiran reagen-reagen berikut.
(i) larutan kalium permanganat, KMnO4
Agen pengoksidaan sederhana seperti larutan berasid KMnO4 mengoksidakan alkena kepada diol dan seterusnya
kepada diasid (KMnO4 berlebihan).
Umumnya,
Tindak balas ini merupakan ujian mudah dalam makmal untuk menguji kehadiran ikatan ganda dua C=C. Jika wujud
ikatan ganda dua, warna ungu KMnO4 akan luntur. Persamaan tindak balas keseluruhan adalah tindak balas redoks
biasa,
Contoh 4.13:
Ikatan Ganda Dua dan Ikatan Ganda Tiga| 71
Dalam keadaan beralkali biasanya KMnO4 terturun kepada MnO2 (mendakan coklat kemerahan), bukan kepada Mn2+
seperti dalam keadaan asid.
Pada suhu rendah (0ºC- 5ºC), KMnO4 di dalam alkali cair mengoksidakan alkena dan menghasilkan suatu glikol
(diol).
Contoh 4.14:
Pada suhu tinggi, tindak balas KMnO4 dengan alkena mengakibatkan pecahnya ikatan ganda dua. Hasil tindak balas
ini boleh jadi suatu asid karboksilik dan keton.
Contoh 4.15:
Contoh 4.16:
(ii) Oksigen
Tindak balas dengan oksigen merupakan tindak balas pembakaran. Bagaimanapuni tindak balas ini adalah satu
pembaziran kerana alkena lebih penting dalam industri bagi penghasilan polimer.
Dengan menggunakan Ag pada suhu 200 ºC, oksigen bertindak balas dengan alkena membentuk epoksialkana.
Ikatan Ganda Dua dan Ikatan Ganda Tiga| 72
Epoksialkana di atas tidak stabil kerana gelang 3-ahli yang tegang. Bahan ini boleh bertindak balas dengan air
membentuk sebatian diol. Misalnya,
Ini merupakan penyediaan etan-1,2-diol secara industri yang lebih menjimatkan berbanding pengoksidaan dengan
KMnO4. Selain itu, etan-1,2-diol adalah salah satu monomer dalam pembuatan poliester.
Epoksietana boleh juga bertindak balas sesama sendiri (mempolimer) membentuk polimer yang dinamakan
poli(etena oksida) atau poliepoksietana.
(iii) Ozon, O3
Ozon juga boleh mengoksidakan alkena. Hasil permulaan tindak balas ini ialah aduk yang dikenali sebagai ozonida.
Apabila ozonida ini dihidrolisiskan dalam kehadiran Zn atau H2 ia menghasilkan dua sebatian karbonil.
Contoh 4.17:
Ikatan Ganda Dua dan Ikatan Ganda Tiga| 73
Contoh 4.18:
Contoh 4.19:
(d) Tindak Balas Pempolimeran
Alkena merupakan monomer dalam tindak balas pempolimeran bagi penghasilan polimer. Dalam kehadiran bahan
pemula, contohnya radikal bebas, molekul alkena menambah atau bergabung sesama sendiri untuk membentuk
polimer. Pempolimeran berjalan secara tindak balas rantai dengan mekanisme radikal bebas atau ionik.
Ikatan Ganda Dua dan Ikatan Ganda Tiga| 74
4.2.6 Kepentingan Etena Dalam Industri
Kepentingan etena dalam industri telah disebutkan sepintas lalu dalam perbincangan sifat-sifat kimia atau tindak
balas alkena. Kepentingan etena dalam industri dapat dirumuskan seperti berikut:
(a) Penghasilan 1,2-Dihaloetana (Halogen = Cl, Br) dan Kloroetena
1,2-Dikloroetana merupakan pelarut yang penting dalam industri. Bahan ini boleh ditukarkan kepada kloroetena
melalui tindak balas di bawah:
(b) Penyediaan Etanol melalui Tindak Balas dengan Asid Sulfurik Pekat
Dalam penyediaan etanol secara industri, etil hidrogen sulfat dihidrolisiskan dengan air.
(c) Penyediaan Etan-1,2-diol
Apabila wap etena dialirkan bersama-sama dengan udara ke atas mangkin argentum yang dipanaskan, epoksietana
terhasil; iaitu
Epoksietana dihidrolisiskan oleh asid atau air akan menghasilkan etan-1,2-diol (glikol) Etana-1,2-diol merupakan satu
daripada bahan mentah untuk penyediaan polimer terylene (dakron) iaitu suatu poliester.
Ikatan Ganda Dua dan Ikatan Ganda Tiga| 75
(d) Penyediaan Polietana
Etena menjalani pempolimeran membentuk polietana.
Contoh 4.20:
4.2.7 Ujian Bagi Kehadiran Ikatan Ganda Dua Karbon-Karbon, C = C
(a) Dengan Bromin dalam CCl4, atau Wap Bromin atau Air Bromin
Warna perang kemerahan bagi bromin akan dinyahwarnakan dengan pantas, hasil daripada pembentukan akil
bromida atau bromoalkohol yang tidak mempunyai warna.
Ikatan Ganda Dua dan Ikatan Ganda Tiga| 76
(b) Dengan Larutan Akueus Kalium Permanganat, KMnO4, Berasid
Larutan ungu KMnO4 akan dinyahwarnakan dan drsertai dengan pembentukan, mangan (ll), Mn2+ (tanpa warna)
4.3 Alkuna
Alkuna ialah hidrokarbon tak tepu yang mengandungi ikatan ganda tiga karbon-karbon (C ≡ C) dan mempunyai
formula molekul umum CnH(2n-2). Ada dua jenis alkuna iaitu (a) alkuna hujung (terminal) yang dikenali sebagai 1-
alkuna dengan ikatan ―C≡CH terletak di hujung rantai dan (b) alkuna dalaman dengan ikatan―C≡C― terletak di
bahagian dalam rantai hidrokarbon.
4.3.1 Tatanama
Penamaan adalah sama seperti alkena. Penamaan alkuna diakhiri dengan –una. Sebagai contoh, CH3CH2C≡CH
ialah but-1-una atau 1-butuna. Ahli yang paling ringkas ialah etuna, HC≡CH yang juga dikenali sebagai asetilena.
4.3.2 Sifat-sifat fizik
Alkuna ringkas berupa gas pada suhu bilik manakala alkuna yang lainnya adalah cecair atau pepejal yang
mempunyai takat lebur dan takat didih yang rendah. Alkuna tidak larut dalam air. Jadual 4.2 menunjukkan takat lebur
dan takat didih beberapa alkuna.
Jadual 4.2 Takat lebur dan takat didih beberapa alkuna
Nama Formula T.l (oC) T.d (oC)
etuna CH≡CH -82 -83.6
Propuna CH3≡CH -101.5 -23
1-butuna CH3CH2≡CH -122 9
2-butuna CH3C≡CCH3 -24 27
1-pentuna CH3CH2CH2C≡CH -98 40
Feniletuna C6H5C≡CH - 143
4.3.3 Síntesis alkuna
Etuna, ahli terendahC2H2 dalam familia alkuna disintesis seperti berikut,
(a) Daripada tindak balas kalsium karbida dengan air
Kalsium karbida diperolehi dengan cara memanaskan arang kok bersama kalsium oksida dalam relau elektrik pada
suhu tinggi (2000oC).
Seterusnya, etuna dihasilkan dengan cara menindakbalaskan kalsium karbida dengan air,
Ikatan Ganda Dua dan Ikatan Ganda Tiga| 77
(b) Daripada 1,2-dibromoetana
Etuna terbentuk apabila 1,2-dibromoetana dididihkan dengan larutan KOH beralkohol. Dalam tindak balas ini 2
molekul HBr disingkirkan daripada 1,2-dibromoetana.
Contoh 4.21:
(c) Pirolisis metana
Etuna boleh didapati dengan kuantiti yang banyak daripada pirolisis metana pada suhu 1500oC. Pirolisis ialah proses
peretakan dan pembentukan semula hidrokarbon pada suhu tinggi.
Ini merupakan kaedah industri yang utama pada ketika ini.
Pada asasnya, dalam makmal alkuna boleh dihasilkan mengikut tiga kaedah berikut,
(i) Pendehidrohalgenan Alkil Halida oleh Bes Kuat
Persamaan umum seperti di bawah:
Ikatan Ganda Dua dan Ikatan Ganda Tiga| 78
Contoh 4.22: Pendehidrohalogenan pertama terhadap 1,2-dibromobutana boleh dilakukan dengan larutan kalium
hidroksida beralkali.
Seterusnya pendehidrohalogenan kedua memerlukan bes yang lebih kuat seperti natrium amida, NaNH2 .
(ii) Pendehalogenan Tetrahalida dengan menggunakan Logam Zink
Tindak balas ini tidak begitu penting untuk penyediaan alkuna.
(iii) Tindak Balas Natrium Asetilida dengan Alkil Halida Primer
Natrium asetilida bertindak balas dengan alkil halida primer untuk menghasilkan alkuna terminal atau hujung karbon
yang lebih banyak. Hasil tindak balas bergantung kepada struktur garam asetilida yang asal.
Contoh 4.23:
Ikatan Ganda Dua dan Ikatan Ganda Tiga| 79
4.3.4 Tindak balas alkuna
Semua alkuna terbakar dalam oksigen menghasilkan air dan karbon dioksida.
Etuna digunakan dalam proses pengimpalan oksiasetilena kerana suhu yang amat tinggi boleh didapati daripada
pengoksidaan (3000oC).
Alkuna mengalami tindak balas penambahan seperti alkena. Alkuna memerlukan dua mol bahan uji untuk
menukarkan ikatan ―C≡C― kepada molekul tepu berbanding dengan satu mol sahaja untuk
alkena.
Tindak balas penambahan berlaku pada ikatan ganda tiga
atom karbon-karbon kerana tersedianya awan elektron π seperti juga dalam ikatan ganda dua C=C. Jenis-jenis
tindak balas penambahan adalah seperti berikut,
(a) Penambahan Hidrogen, Halogen dan Hidrogen Halida
Alkuna bertindak balas dengan hidrogen, halogen dan hidrogen halida sama seperti alkena.
Contoh 4.24:
Ikatan Ganda Dua dan Ikatan Ganda Tiga| 80
Alkuna bertindak balas dengan hidrogen berlebihan dengan adanya platinum (pemangkin) menghasilkan alkana,
Selain itu, alkuna bertindak balas dengan hidrogen dan pemangkin Lindler (Paladium bersama dengan BaSO4 dan
quinolin) menghasilkan alkena.
Contoh 4.25:
Penambahan setiap mol hidrogen halida pula mematuhi hukum Markovnikov, iaitu atom hidrogen mengikat pada
karbon yang paling banyak mempunyai atom hidrogen.
Contoh 4.26:
(b) Penambahan Air
Penambahan air kepada ikatan ganda tiga karbon-karbon berlaku dalam kehadiran raksa (II) sulfat dan asid
membentuk sebatian yang mengandungi kumpulan karbonil (>C=O).
Contoh 4.27: Penambahan air pada etuna menghasilkan asetaldehid (etanal).
Ikatan Ganda Dua dan Ikatan Ganda Tiga| 81
Penambahan air pada alkuna lain mematuhi aturan Markovnikov dan menghasilkan keton.
Contoh 4.28:
(c) Tindak Balas Penggantian Atom Hidrogen Alkuna Terminal
Alkuna terminal juga dikenali sebagai 1-alkuna. Atom hidrogen yang terikat pada atom karbon berikatan ganda tiga
hujungan (karbon sp) mempunyai sifat asid yang agak tinggi dibandingkan dengan hidrogen yang berikatan dengan
karbon sp3 dan sp2. Keasidan ini timbul kerana terdapat 50% ciri orbital s dalam orbital kacukan sp. Sifat ini
ditunjukkan oleh tindak balas penggantian atom hidrogen tersebut oleh logam natrium untuk membentuk natrium
asetilida dan membebaskan hidrogen.
Asetilena (etuna) merupakan asid yang lebih lemah daripada air. Oleh itu air boleh membebaskan asetilena daripada
garam asetilida,
1-Alkuna juga bertindak balas dengan mudah dengan larutan argentum nitrat beralkohol untuk membentuk
mendakan putih argentum alkuna. Tindak balas ini hanya khusus untuk 1-alkuna sahaja dan merupakan satu ujian
pengenalannya.
Ikatan Ganda Dua dan Ikatan Ganda Tiga| 82
Tindak balas di antara natrium asetilida dengan alkil halida primer (sahaja) pula menghasilkan alkuna dengan rantai
karbon yang lebih panjang.
Contoh 4.29:
Tindak balas dengan alkil halida sekunder atau tertier menghasilkan alkena bukannya alkuna kerana berlakunya
proses penyingkiran. 1-Alkuna juga bertindak balas mudah dengan larutan CuCl2 dan AgNO3 dalam larutan ammonia
dengan masing-masing menghasilkan ion kompleks [Cu(NH3)2]+ dan [Ag(NH3)2]+ yang akan bertindak balas dengan
1-alkuna.
Tindak balas ini juga merupakan ujian pengenalan bagi 1-alkuna.
4.4 ALDEHID DAN KETON
Aldehid merupakan sebatian yang terdiri daripada kumpulan karbonil (C=O) yang diikat satu hujung kepada karbon
dan satu hujung lagi kepada hidrogen. Keton pula adalah sebatian yang mempunyai kumpulan karbonil (C=O) yang
terletak di antara dua atom karbon. Aldehid dan keton banyak digunakan dalam industri, contohnya formaldehid
digunakan sebagai damar dan lapisan pelindung, sitral digunakan sebagai sebatian perisa, camphor (kapur barus)
pula digunakan dalam bidang perubatan dan sikloheksanon diguna sebagai bahan pemula untuk nilon.
Ikatan Ganda Dua dan Ikatan Ganda Tiga| 83
4.4.1 Penamaan
a) Aldehid
Aldehid dinamakan dengan menggantikan akhiran ‘–a’ pada nama induk alkana dengan ‘–al’. Kedudukan kumpulan
aldehid adalah pada hujung rantai atom karbon dan tidak perlu menyatakan kedudukan (kedudukan 1) dalam
penamaan. Aldehid dengan kumpulan –CHO diikat pada sistem gelang dinamakan dengan menambahkan akhiran
karbaldehid
b) Keton
Keton alifatik dinamakan dengan menggantikan akhiran ‘–a’ pada nama alkana yang berkaitan kepada ‘–on’. Atom
karbon karbonil diberikan nombor terkecil. Untuk kumpulan berfungsi yang biasa bagi keton pula dinamakan
kumpulan yang diikat kepada kumpulan karbonil secara berasingan dan tambahkan perkataan keton sebagai nama
berasingan.
5-kloropentanal
Propanal
(propionaldehid)
O
H
Benzenecarbaldehyde
(benzaldehyde)
O
H
Cyclohexanecarbaldehyde
O Cl
5-chloropentanal
HO
Propanal
(propionaldehyde)
H
SikloheksanakarbaldehidBenzenakarbaldehid
(benzaldehid)
5-kloropentanal
Propanal
(propionaldehid)
O
Butanone
(ethyl methyl ketone)
O
Pent-4-en-2-one
(allyl methyl ketone)
H3C
O
CH3
Acetone
(propanone)
O
Benzophenone
(diphenyl ketone)
Butanon
(etil metal keton)
Pent-4-en-2-on
(alil metil keton)
Aseton
(propanon)
Benzofenon
(difenil keton)
Ikatan Ganda Dua dan Ikatan Ganda Tiga| 84
Kumpulan penukarganti bagi aldehid dan keton ditunjukkan dalam jadual di bawah.
Kumpulan Struktur
Metanoil Formil
CH
O
Etanoil Asetil
CH3C
O
Alkanoil atau asil
RC
O
4.4.2 Sintesis
Terdapat empat cara untuk mensintesiskan aldehid dan keton, iaitu a) pengoksidaan alkohol, b) pembelahan alkena,
c) penghidratan alkuna dan d) pengasilan Friedel-Craft.
a) Pengoksidaan alkohol
i. Aldehid
Aldehid disediakan dengan pengoksidaan alkohol primer menggunakan agen pengoksidaan sederhana, Cu atau
reagen Collins (CrO3 dalam piridin).
ii. Keton
Keton disediakan dengan pengoksidaan alkohol sekunder dalam kehadiran agen pengoksidaan.
CH3CH2CH2OH Cu or CrO3 in pyridine
CH2CH3CH
O
propanol propanal
=O
H2Cr2O7
OH
cyclohexanoncyclohexanolSikloheksanol Sikloheksanon
Ikatan Ganda Dua dan Ikatan Ganda Tiga| 85
b) Pembelahan alkena
c) Penghidratan alkuna
Aldehid dan keton disintesis melalui dua kaedah utama, iaitu penambahan langsung dan penambahan tidak
langsung. Penambahan langsung berlaku dengan menambahkan air dan dimangkin oleh ion merkuri (II) untuk
memperoleh hasil mengikut Hukum Markonikoff.
Penambahan tidak langsung pula berlaku dengan menambahkan air melalui tindak balas penghidroborana /
pengoksidaan untuk memperoleh hasil bukan mengikut Hukum Markonikoff.
1-hexyne
O
hexanal
BH3
BH2
BH2
H2O2
H2O, pH 8
CH
1-heksuna
heksanal
1-hexyne
H2O, H2SO4
HgSO4
OH O
an enol 2-hexanone
1-heksuna
alkenol 2-heksanon
C
CH3
CH3
1. O3
2. Zn, H3O+ O CH3CCH3
O
+
isopropylidenecyclohexane cyclohexanone acetone
1. O3
2. Zn, H3O+
2-methyl- 2-butene
C=O
H3C
H
O=C+
CH3
CH3
acetoneacetaldehyde
2-metil-2-butena
asetaldehid aseton
Aldehid dan keton juga boleh disediakan melalui pembelahan alkena. Ozon, O3 dilalukan ke aliran oksigen
menggunakan pelepasan elektrik bervoltan tinggi supaya bertindak balas dengan alkena pada suhu rendah.
Kitaran perantara melibatkan pengaliran ozon ke atas alkena menghasilkan ozonida primer, iaitu malozonida dan
kemudian malozonida dibelah menjadi aldehid atau keton.
Ikatan Ganda Dua dan Ikatan Ganda Tiga| 86
d) Pengasilan Friedel-Craft
Pengasilan asil klorida dengan sebatian aromatik menggunakan AlCl3 sebagai mangkin menghasilkan akil aril keton
atau diaril keton.
4.4.3 Tindak balas
Terdapat lima proses tindak balas yang melibatkan aldehid dan keton, iaitu a) penambahan nukleofilik yang berbeza
untuk menghasilkan bahan tertentu, b) penambahan ammonia dan terbitan Ammonia, c) tindak balas Wittig, d)
pengoksidaan aldehid dan e) penyahoksigenan aldehid dan keton melalui penurunan Clemensen dan penurunan
Wolf-Kishner.
a) Penambahan nukleofilik
Nukleofil menggunakan pasangan elektronnya untuk membentuk ikatan dengan atom karbon karbonil. Ikatan π
pasangan elektron karbon-oksigen beralih kepada atom oksigen karbonil elektronegatif. Keadaan penghibridan untuk
kedua-dua karbon dan oksigen bertukar daripada sp2 kepada sp3. Atom oksigen menerima satu elektrofil (proton, H+)
[atom oksigen dengan cas negatif – ion alkosida].
i. Penambahan logam hidrida: Pembentukan alkohol
Aldehid dan keton bertindak dengan logam hidrida untuk membentuk alkohol. Contoh logam hidrida adalah Litium
aluminium hidrida, LiAlH4 atau Natrium borohidrida, NaBH4. LiAlH4 sangat reaktif dan boleh menurunkan kebanyakan
karbonil dan kumpulan berfungsi yang lain. Perhatian perlu diberikan kerana ia bertindak dengan proton asid
(RCO2H, RCH2OH, RCH2NH2). NaBH4 kurang reaktif, merupakan agen penurunan terpilih untuk menurunkan
aldehid, keton dan asid klorida. NaBH4 tidak bertindak dengan epoksida, ester, asid dan nitril.
+ CCl
O
AlCl3 C
O
+ CH3CCl
O
AlCl3 CCH3
O
C ONu:
 
Nu C O: E+
Nu C O-E
C OM+
H:-
+ C O:-
M+
C OH + M+
OH-H H2O
H
Ikatan Ganda Dua dan Ikatan Ganda Tiga| 87
ii. Penambahan reagen Grignard: Pembentukan alkohol
Aldehid dan keton dirawat dengan reagen Grignard, RMgX menghasilkan alkohol melalui penambahan nukleofilik
yang melibatkan karbanion. Suatu ikatan karbon-magnesium dipolarkan dengan kuat. Pemprotonan melalui
penambahan H3O+ menghasilkan alkohol neutral.
C OR-MgX + C O:- +
MgX C OH
H2O/H+

R R
O
3-butenal
H
HO
3-buten-1-ol
HO
1-butanol
LiAlH4
NaBH4
H2O
H2O
3-butenal
C OR-MgX + C O:- +
MgX C OH
H2O/H+
R R
H
H
formaldehyde
H
H
H
H
alcohol 1°
C OR-MgX + C O:- +
MgX C OH
H2O/H+
R R
H
R'
aldehyde
R'
H
R'
H
alcohol 2°
C OR-MgX + C O:- +
MgX C OH
H2O/H+
R R
R"
R'
ketone
R'
R"
R'
R"
alcohol 3°
formaldehid Alkohol 10
aldehid Alkohol 20
keton Alkohol 30
Ikatan Ganda Dua dan Ikatan Ganda Tiga| 88
iii. Penambahan HCN: Pembentukan sianohidrin
Aldehid dan unhindered (tidak tersekat) keton bertindak dengan HCN untuk menghasilkan sianohidrin
(RCH(OH)C≡N).
Sianohidrin adalah pengantara untuk menghasilkan sebatian amina primer atau asid karbosilik. Kaedah ini
cenderung dipilih untuk menukarkan aldehid dan keton kepada kumpulan berfungsi berlainan.
iv. Penambahan nukleofilik alkohol: Pembentukan asetal
Aldehid dan keton bertindak dengan alkohol dengan kehadiran asid (mangkin) untuk menghasilkan asetal, R2C(OR’)2
(ketal daripada keton). Dalam medium berasid, kereaktifan kumpulan karbonil ditingkatkan melalui pemprotonan dan
penambahan 2 molekul alkohol dan diikuti kehilangan molekul air
C O C O:-
C OH
H+
CN
-
:CN
CN
sianohidrin
O
ethanal
H
NaCN
HCl
CH3C
OH
CN
H
CH3C
OH
COOH
H
CH3C
OH
CH2NH2
H
acid-2-hydroxypropanoic
1-amino-2-propanol
[H]
H2O/H+
etanal
Asid-2-hidroksilpropanoik
R
O
H R-C
OR'
OR'
H
aldehyde
+ 2HOR'
H+
+ H2O
acetal
R
O
R R-C
OR'
OR'
R
ketone
+ 2HOR'
H+
+ H2O
acetal
aldehid
asetal
keton
asetal
Ikatan Ganda Dua dan Ikatan Ganda Tiga| 89
b) Penambahan Ammonia dan terbitan Ammonia
Amina primer, RNH2 ditambah kepada aldehid dan keton untuk menghasilkan imida, R2C=NR. Amina sekunder,
R2NH pula ditambahkan kepada aldehid dan keton untuk menghasilkan enamida, R2C=C(R)-NR2 (ena + amida –
amina tidak tepu).
c) Tindak balas Wittig
Aldehid atau keton ditukar kepada alkena dengan menggunakan fosforus ylida, R2C- – P+(C6H5)3.
d) Pengoksidaan aldehid
Aldehid bertindak dengan agen pengoksidaan, KMnO4 atau asid kromik formula untuk membentuk asid karbosilik.
imida
C O + H2NR H+
C NR + H2O
C O + HNR2
H+
C NC=C + H2O
enamida
C O
R
R
CP
R'
R'
(C6H5)3+ C
R'
R'
C
R
R
+ (C6H5)3P=O
O CP
CH3
H
(C6H5)3+ C
CH3
H
fosforus ylida
fosforus ylida
alkena
alkena
R-CH
O
[O]
R-C-OH
O
aldehyde carboxylic acidaldehid Asid karboksilik
Ikatan Ganda Dua dan Ikatan Ganda Tiga| 90
e) Penyahoksigenan aldehid dan keton
Penyahoksigenan aldehid dan keton adalah proses penggantian atom oksigen (kumpulan karbonil) dengan dua atom
hidrogen [penurunan karbonil kepada kumpulan metilena]. Penyahoksigenan aldehid dan keton dijalankan melalui 2
jenis tindak balas, iaitu penurunan Clemensen dan penurunan Wolf-Kishner.
i) Penurunan Clemensen
Penurunan Clemensen berlaku apabila sebatian karbonil bertindak dengan zink-amalgam (keadaan di mana Zn
bertindak dengan Hg dan asid hidroklorik). Penurunan Clemensen menurunkan aldehid dan keton kepada alkana.
ii) Penurunan Wolf-Kishner
Penurunan Wolf-Kishner merupakan proses penyahoksigenan sebatian karbonil dengan asid pada suhu tinggi.
Sebatian karbonil ditukar kepada hidrazon diikuti dengan proses pemanasan dengan reagen bes, iaituKOH.
Penurunan Wolf-Kishner merupakan cara untuk menukarkan aldehid dan keton kepada alkana, R2C=O  R2CH2.
CH3(CH2)5-CH
O
CH3(CH2)5-CH3
heptanal heptane
Zn(Hg)
HCl, H2O
Zn(Hg)
HCl, H2O
cyclohexane
O
cyclohexanone
heptana
sikloheksanon sikloheksana
Ikatan Ganda Dua dan Ikatan Ganda Tiga| 91
4.5 ASID KARBOKSILIK
Asid karboksilik merupakan asid organik dengan kumpulan berfungsi karboksil COOH [kumpulan karbonil, C=O
dan hidroksil, OH]. Beberapa contoh asid karboksilik dari sumber semula jadi disenaraikan dalam jadual.
4.5.1 Penamaan
Nama umum bagi asid karboksilik adalah penggantian menggunakan penomboran huruf Yunani: α, β, γ and δ.
Asid karboksilik yang diperoleh daripada rantai alkena terbuka dinamakan secara sistematik dengan menggantikan
akhiran ‘–a’ alkana yang berkaitan dengan asid ‘–oik’. Atom karbon karbonil dinomborkan C1 dalam sistem.
Karbon Formula struktur Nama IUPAC Nama Sumber semula jadi
1 HCO2H Asid metanoik Asid formik semut
2 CH3CO2H Asid etanoik Asid asetik Cuka
3 CH3CH2CO2H Asid propanoik Asid propionik Susu, mentega, keju
4 CH3(CH2)2 CO2H Asid butanoik Asid butirik Mentega
5 CH3(CH2)3 CO2H Asid pentanoik Asid valerik Akar velerion
6 CH3(CH2)4 CO2H Asid heksanoik Asid kaproik Kambing
C COOHC C CC
 
123456
O
OH
Br
2-bromopropanoic acid
bromopropionic acid)
O
OH
2,3-dimethylpentanoic acid
 -dimethylvaleric acid)
Asid 2-bromopropanoik
(asid α-bromopropionik)
Asid 2,3-dimetilpentanoik
(asid α, β-dimetilvalerik)
O
OH
4-methylpentanoic acid
O
HO
O
OH
3-ethyl-6-methyloctanedioic acid
O
OH
3-pentenoic acid
O
OH
3-phenyl-2-butenoic acid
Asid 4-metilpentanoik Asid 3-etil-6-metil-metiloktanadioik
Asid 3-pentenoik Asid 3-fenil-2-butenoik
Ikatan Ganda Dua dan Ikatan Ganda Tiga| 92
Kumpulan COOH yang diikat kepada gelang karbon dinamakan menggunakan akhiran asid karboksilik. Karbon
COOH disambung ke C1 dan tidak dinomborkan dalam sistem ini.
4.5.2 Sintesis
Terdapat lima cara untuk mensintesiskan asid karboksilik, iaitu a) pengoksidaan alkohol primer atau aldehid, b)
pengoksidaan alkena dan alkuna, c) pengoksidaan alkilbenzena, d) pengkarboksilan reagen Grignard dan e)
hidrolisis nitril.
a) Pengoksidaan alkohol primer atau aldehid
Pengoksidaan alkohol primer atau aldehid dengan KMnO4 atau asid kromik menghasilkan asid karboksilik.
b) Pengoksidaan alkena dan alkuna
KMnO4 pada suhu tinggi memecahkan ikatan C=C untuk menghasilkan keton dan asid karboksilik. Alkuna (alkuna
dalaman) dipecahkan oleh ozon, O3 atau KMnO4 untuk memperoleh asid karboksilik.
O
HO
Br
3-bromocyclohexanecarboxylic acid
O
HO
1-cyclopentenecarboxylic acid
O
HO
cyclopentanoic acid
O
OH
O
HO
oxalic acid
Asid 3-bromosikloheksanakarboksilik Asid 1-siklopentenakarboksilik
Asid siklopentanoik Asid oksalik
R-CH
O
[O]
R-C-OH
O
aldehyde carboxylic acid
R-CH2OH
primary alcohol
[O]
Alkohol primer Aldehid Asid karboksilik
C CR R'
KMnO4 or O3
RCOH R'COH
OO
+
internal alkyne
C C
RCOH
O
+
alkene
KMnO4
RCR"
O
R
H
R"
R
Alkuna dalaman
Alkena
Ikatan Ganda Dua dan Ikatan Ganda Tiga| 93
c) Pengoksidaan alkilbenzena
Alkilbenzena bertindak dengan agen pengoksidaan (asid kromik atau KMnO4) untuk menghasilkan asid benzoik.
d) Pengkarboksilan reagen Grignard
Asid karboksilik (penambahan atom karbon) disediakan melalui tindak balas reagen Grignard dengan CO2 untuk
menghasilkan logam karboksilat, diikuti dengan pemprotonan dengan H3O+.
Kondensasi reagen Grignard dengan karbon dioksida
e) Hirolisis Nitril
Nitril boleh dihidrolisis menggunakan asid atau bes akueus yang kuat dan panas untuk menghasilkan asid
karboksilik.
Cl
CH3
CH3
H2Cr2O7
Cl
COOH
CH2Br
NaCN
CH2CN
H2O
CH2COOH
CH2COO-
OH-
H+
carboxylic acid
carboxylate salt
Asid karboksilik
Garam karboksilat
Penghasilan reagen Grignard
Fenilmagnesium bromida
Ikatan Ganda Dua dan Ikatan Ganda Tiga| 94
4.5.3 Tindak balas
Terdapat tiga tindak balas utama bagi asid karboksilik, iaitu a) penyingkiran proton, b) penurunan kepada alkohol
primer dan c) penukargantian nukleofilik.
a) Penyingkiran proton
Asid karboksilik bertindak dengan bes untuk membentuk garam dan air.
b) Penurunan kepada alkohol primer
Penurunan asid karboksilik dengan kehadiran agen penurunan LiAlH4 atau BH3 menghasilkan alkohol primer.
c) Penukargantian nukleofilik
Penukargantian asid karboksilik (OH – kumpulan berfungsi) dengan nukleofil menghasilkan terbitan asid karboksilik.
R-C-OH
O
+ Nu R-C-Nu
O
+ OH-
CH3COOH + NaOH CH3COONa + H2O
sodium acetateNatrium asetat
CH3CH2CH2OH
LiAlH4 or BH3
CH3CH2COOH
1-propanolpropanoic acid
H3O+
Asid propanoik
R-C-OH
O
R-C-X
O
R-C-OR'
O
R-C-NR2
O
R-C-O
O
C-R'
O
carboxylic acid acid halide ester amide acid anhydrideAsid karboksilik Asil halida Amida Asid anhidrida
 / / /
Ester
Ikatan Ganda Dua dan Ikatan Ganda Tiga| 95
4.6 TERBITAN ASID KARBOKSILIK
Terbitan asid karboksilik terdiri daripada asil halida atau asid halida, ester, amida dan asid anhidrida.
4.6.1 Penamaan
a) Asil halida atau asid halida, RCOX
Asid halida dinamakan dengan mengenal pasti kumpulan asil dahulu dan diikuti halida. Kumpulan asil yang berasal
daripada asid karboksilik dinamakan dengan menggantikan akhiran asid ‘–ik’ dengan ‘–il’ atau akhiran asid ‘–
kaboksilik’ dengan ‘–karbonil’.
b) Ester, RCO2R’
Ester dinamakan dengan mengenal pasti kumpulan alkil yang diikat kepada oksigen dahulu diikuti dengan asid
karboksilik, dengan akhiran asid ‘–ik’ digantikan dengan ‘–at’.
c) Amida RCONH2
Amida dengan kumpulan ‘–NH2’ yang tidak diganti dinamakan dengan menggantikan akhiran asid ‘–oik’ atau asid ‘–
ik’ dengan ‘–amida’, atau menggantikan akhiran asid ‘–karboksilik’ dengan ‘–karboksamida’. Sekiranya atom
nitrogen mengalami penukargantian lanjut, sebatian dinamakan dengan mengenal pasti kumpulan gantian dahulu
dan diikuti dengan nama induk amida. Kumpulan penukargantian didahului dengan huruf N.
O
Cl
acetyl chloride
(from acetic acid)
O
Cl
benzoyl chloride
(from benzoic acid)
O
Cl
cyclohexanecarbonyl chloride
(from cyclohexanecarboxylic acid)
Asetil klorida
(daripada asid
asetik)
Benzoil klorida
(daripada asid
benzoik)
Sikloheksanakarbonil klorida
(daripada asid
sikloheksanakarboksilik)
O
O
ethyl acetate
(ethyl ester of acetic acid)
O
O
O
O
diethyl malonate
(methyl ester of malonic acid)
Etil asetat
(etil ester asid asetik)
Dietil malonat
(metil ester asid malonik)
Ikatan Ganda Dua dan Ikatan Ganda Tiga| 96
d) Asid anhidrida
Anhidrida simetri asid monokarboksilik dan siklik anhidrida dari asid dikarboksilik yang tidak ditukarganti dinamakan
dengan menggantikan perkataan ‘asid’ dengan ‘anhidrida’.
Anhidrida yang tidak simetri dinamakan dengan mengikut turutan huruf nama asid dan diikuti dengan anhidrida.
4.6.2 Sintesis
Terbitan asid karboksilik, iaitu asil halida, ester, amida dan asid anhidrida disintesis menggunakan cara yang
berbeza.
a) Asil halida atau asid halida, RCOX
Terdapat tiga cara untuk mensintesiskan asil halida menggunakan asid karboksilik. Asid karboksilik boleh bertindak
balas dengan tionil klorida, fosforus triklorida atau fosforus pentaklorida untuk menghasilkan asid halida.
O
NH2
acetamide
(from acetic acid)
O
NH2
hexanamide
(from hexanoic acid)
O
H2N
cyclopentanecarboxamide
(from cyclopentanecarboxylic acid)
O
HN
N-methylpropanamide
O
N
N,N-diethylcyclohexanecarboxamide
Asetamida
(daripada asid asetik)
Heksanamida
(daripada asid
heksanoik)
Siklopentanakarboksamida
(daripada asid siklopentanakarboksilik)
N-metilpropanamida N,N-dietilsikloheksanakarboksamida
OO
O
acetic anhydride
O O
O
benzoic anhydrideAsetik anhidrida Benzoik anhidrida
OO
O
acetic propionic anhydrideAsetik propionik anhidrida
Ikatan Ganda Dua dan Ikatan Ganda Tiga| 97
b) Ester, RCO2R’
Terdapat tiga cara untuk mensintesiskan ester menggunakan alkohol. Tindak balas antara alkohol dengan asid
karboksilik (tindak balas berbalik dalam kehadiran proton, H+), asid halida atau asid anhidrida akan menghasilkan
ester.
c) Amida, RCONH2
Amida mempunyai kereaktifan paling rendah antara terbitan-terbitan asid karboksilik. Terdapat dua cara untuk
menghasilkan amida menggunakan amina. Amina bertindak balas dengan asid klorida atau dengan asid anhidrida
untuk menghasilkan amida.
d) Asid anhidrida, RCO2COR’
Tindak balas antara garam natrium karboksilat dengan asid klorida menghasilkan asid anhidrida.
R-C-OH
O
+ R'OH R-C-OR'
O
+ H2O
R-C-Cl
O
+ R'OH R-C-OR'
O
+ HCl
R-C-O-C-R
O
+ R'OH R-C-OR'
O
+ RCOOH
O
R-C-Cl
O
+ R'NH2 R-C-NHR'
O
+ HCl
R-C-O-C-R
O
+ R'NH2 R-C-NHR'
O
+ RCOOH
O
R-C-O-
Na+
O
+ NaCl
O
+ Cl-C-R' R-C-O-C-R'
O O
R-C-OH
O
+ SOCl2 R-C-Cl
O
+ SO2 + HCl
R-C-OH
O
+ PCl3 R-C-Cl
O
+ P(OH)3
R-C-OH
O
+ PCl5 R-C-Cl
O
+ POCl3 + HCl
Tionil klorida
Fosforus triklorida
Fosforus pentaklorida
Ikatan Ganda Dua dan Ikatan Ganda Tiga| 98
Dalam bidang industri, asetik anhidrida memainkan peranan penting sebagai bahan pemula dalam penghasilan
plastik dan fiber. Asetik anhidrida dihasilkan melalui tindak balas dengan asid asetik dalam kehadiran merkuri (II)
oksida.
4.6.3 Tindak balas
Terbitan asid karboksilik mengalami tindak balas yang berbeza. Antaranya asil halida mengalami tiga jenis tindak
balas yang melibatkan penukargantian nukleofilik, pengasilan Friedel-Crafts dan tindak balas penurunan. Ester juga
mengalami tiga jenis tindak balas, iaitu penukargantian nukleofilik, tindak balas penurunan dan tindak balas dengan
reagen Organologam. Asid anhidrida pula penting dalam tindak balas sintesis untuk mensintesiskan asid karboksilik,
ester, amida dan keton aromatik. Amida pula mengalami empat tindak balas kimia, iaitu penukargantian nukleofilik,
tindak balas penurunan, tindak balas penyusunan semula Hoffman dan tindak balas dehidrasi.
a) Asil halida atau asid halida, RCOX
Asil halida atau asid halida adalah paling reaktif berbanding terbitan asid karboksilik yang lain.
i. Tindak balas penukargantian nukleofilik
ii. Pengasilan Friedel-Crafts
Asid klorida bertindak dengan benzena melalui pengasilan Friedel-Crafts untuk menghasilkan keton aromatik.
R-C-Cl
O
+ H
AlCl3
CR
O
+ HCl
R-C-O-C-R'
O O
HC CH + CH3COOH + 1/2 O2
HgO
asetilena Asid asetik Asetik anhidrida
R-C-O-
Na+
O
R-C-OH
O
R-C-Cl
O
+ :Nu
C
Nu
ClR
O
R-C-Nu
O
+ HCl
Nuleophile = H-OH, H-OR' , H-NH2, H-NHR, H-NR2,Nukleofil
Ikatan Ganda Dua dan Ikatan Ganda Tiga| 99
iii. Tindak balas penurunan
Agen penurunan kuat (LiAlH4) bertindak dengan asid klorida untuk menghasilkan alkohol primer.
Agen penurunan lemah bertindak dengan asid klorida menghasilkan aldehid. Agen penurunan lemah (litium tri(t-
butoksialuminium)) disediakan melalui tindak balas antara LiAlH4 dengan t-butil alkohol.
b) Ester
i. Tindak balas penukargantian nukleofilik
Ester dihidrolisis samada melalui bes akueus atau asid akueus untuk menghasilkan asid karboksilik atau garam
karboksilat dan alkohol.
Pengesteran trans adalah tindak balas dengan alkohol untuk menghasilkan ester berlainan dalam kehadiran bes.
Aminolisis berlaku apabila ester bertindak dengan ammonia dan amina untuk menghasilkan amida.
R-C-Cl
O
+ LiAlH4
H2O
RCH2OH
R-C-Cl
O
LiAlH4 + (CH3)3COH LiAlH[OC(CH3)3]3 + 3H2
+ LiAlH[OC(CH3)3]3 R-C-H
O
R-C-OR'
O
+ H2O R-C-OH + R'OH
O
H+
R-C-OR'
O
+ H2O R-C-ONa + R'OH
O
NaOH
R-C-OR'
O
+ R"OH R-C-OR" + R'OH
O
H+
R-C-OR'
O
+ R"NH2 R-C-NHR" + R'OH
O
Ikatan Ganda Dua dan Ikatan Ganda Tiga| 100
ii. Tindak balas penurunan
LiAlH4 menukarkan ester kepada alkohol primer.
Agen penurunan sederhana, iaitu diisobutilaluminium hidrida (DIBAH) menukarkan ester kepada aldehid.
iii. Tindak balas dengan reagen Organologam
Reagen Grignard atau organolitium bertindak dua kali dengan ester untuk menghasilkan alkohol tertier (pengecualian
untuk ester format– alkohol sekunder).
R-C-OR'
O
RCH2OH + R'OH
LiAlH4
H2O
R-C-OR'
O
R-C-H + R'OH
O
DIBAH
H2O
R-C-OR'
O
+ R'OH + Mg(OH)X
1) 2R"MgX or R"Li
2) H2O / H+ C
R"
R"R
OH
Metal benzoat Benzamida
Etil dodekanoat Dodekanal
Ikatan Ganda Dua dan Ikatan Ganda Tiga| 101
c) Asid anhidrida
Sifat kimia asid anhidrida (kurang reaktif) serupa dengan asid klorida. Asid anhidrida bertindak dengan air untuk
membentuk asid, bertindak dengan alkohol untuk membentuk ester dan bertindak dengan amina untuk membentuk
amida.
Friedel-Crafts asid anhidrida dengan sebatian aromatik menghasilkan keton aromatik.
d) Amida
Amida adalah terbitan asid karboksilik yang paling tidak reaktif. Jadi, ia mengalami sedikit tindak balas
penukargantian nukleofilik berbanding terbitan asid karboksilik yang lain.
i. Tindak balas penukargantian nukleofilik
Amida mengalami hidrolisis untuk membentuk asid karboksilik dan amina apabila dipanaskan dalam keadaan bes
akueus.
R-C-OH
O
R-C-O-C-R'
O O
H2O
R'OH
R'NH2
+ RCOOH
+ RCOOH
+ RCOOH
R-C-OR'
O
R-C-NHR'
O
O
R-C-O-C-R'
O O
+
AlCl3 C-R
R-C-OH
O
R-C-NH2
O
H2O
+ NH3
+ NH4
-
R-C-O-
Na+
O
NaOH
Metal benzoat
Trifenilmetanol
Ikatan Ganda Dua dan Ikatan Ganda Tiga| 102
ii. Tindak balas penurunan
Penurunan amida dengan LiAlH4 menghasilkan amina.
iii. Tindak balas penyusunan semula Hoffman
Amida bertindak dengan larutan alkali lipohalit untuk menghasilkan amina (kehilangan 1 karbon). Larutan alkali
lipohalit disediakan daripada bromin atau klorin dengan NaOH.
iv. Dehidrasi amida
Agen dehidrasi kuat dehidrasikan amina primer untuk membentuk nitril. Contoh agen dehidrasi adalah fosforus
pentoksida, P2O5 dan fosforus oksiklorida, POCl3.
4.7 BENZENA DAN TERBITAN BENZENA
Mengikut Michael Faraday, sebatian boleh dipisahkan pada 800C melalui pembakaran sebatian organik. Sebatian
juga boleh disintesis melalui pemanasan langsung asid benzoik, iaitu benzin menjadi benzoin dan seterusnya
benzena. Analisis kimia menunjukkan bahawa sebatian mempunyai formula empirik, C6H6 dengan jisim molekul 78.
Ia juga dikenali sebagai sebatian aromatik (merangkumi terbitan). Antara sumber-sumber semula jadi adalah:
 Arang (campuran kompleks) dengan peretakan haba (10000C).
 Petroleum (alkana besar) melalui mangkin pada suhu 5000C di bawah tekanan tinggi.
R-C-NHR'
O
1) LiAlH4
2) H2O
R-CH2NHR'
R-C-NHR'
O
Br2 / NaOH
R-NHR'
R-C-NH2
O
POCl3 or P2O5
R-C N
N-Metildodekanamida Dodesilmetilamina
Ikatan Ganda Dua dan Ikatan Ganda Tiga| 103
4.7.1 Penamaan
Penamaan benzena perlu mengambil kira kedudukan kumpulan penukargantian. Secara am, terdapat tiga jenis
penukargantian, iaitu penukargantian mono, dwi dan poli.
a) Penukargantian mono
Benzena yang digantikan secara mono dinamakan mengikut hidrokarbon yang lain, dengan ‘–benzena’ sebagai
nama induk.
Benzena penukargantian mono juga mempunyai nama umum yang biasa digunakan.
Benzena gantian alkil, kadang-kadang dirujuk sebagai arena, dinamakan dengan cara berlainan bergantung kepada
saiz kumpulan alkil (enam atau kurang karbon). Sekiranya gantian alkil adalah lebih besar daripada gelang (melebihi
enam karbon), sebatian dinamakan sebagai alkana tertukarganti-fenil. Singkatan kumpulan fenil adalah – Ph atau Φ
(Greek phi) atau menggunakan –C6H5.
b) Penukargantian dwi
Nama umum bagi benzena dwi penukargantian dinamakan menggunakan awalan orto- (o), meta- (m) atau para- (p).
Benzena orto-dwi penukargantian mempunyai dua gantian pada kedudukan 1, 2 gelang. Benzena meta-dwi
Br NO2 CH2CH2CH3
bromobenzene nitrobenzene propylbenzeneBromobenzena Nitrobenzena Propilbenzena
H
O
OH
O O
benzaldehyde benzoic acid styrene acetophenoneBenzaldehid Asid benzoik Stirena asetofenon
OH
OH
O
3-phenylpentane 2-phenylethanol 3-phenylpropanoic acid3-fenilpentana 2-feniletanol Asid 3-fenilpropanoik
Ikatan Ganda Dua dan Ikatan Ganda Tiga| 104
penukargantian mempunyai dua gantian pada kedudukan 1, 3 gelang. Benzena para-dwi penukargantian
mempunyai dua gantian pada kedudukan 1, 4 gelang.
Mengikut IUPAC, penamaan benzena dwi penukargantian adalah melalui sistem nombor dan disusun mengikut
turutan huruf.
Nama umum bagi benzena penukargantian mono juga boleh digunakan sebagai nama induk. Sesetengah benzena
dwi penukargantian juga mempunyai nama umum mereka.
c) Penukargantian poli
Benzena dengan penukargantian yang melebihi dua dinamakan dengan menomborkan kedudukan setiap gantian
untuk mendapatkan nombor yang paling kecil.
(p-cresol)
4-methylphenol
(m-toluic acid)
3-methylbenzoic acid
(o-xylene)
1,2-dimethylbenzene
OH
OH
O
(asid m-toluik)
asid 3-metil benzoik
(o-xilena)
1,2-dimetil benzena
1,2-dichlorobenzene
(o-dichlorobenzene)
1,3-dichlorobenzene
(m-dichlorobenzene)
1,4-dichlorobenzene
(p-dichlorobenzene)
Cl
Cl
Cl
Cl
Cl
Cl
1-bromo-2-ethylbenzene 1-chloro-3-nitrobenzene 1-fluoro-4-iodobenzene
Br
Cl
NO2
I
F
1,2-diklorobenzena
(o-diklorobenzena)
1,3-diklorobenzena
(m-diklorobenzena)
1,4-diklorobenzena
(p-diklorobenzena)
1-bromo-2-etilbenzena 1-kloro-3-nitrobenzena 1-floro-4-iodobenzena
(p-kresol)
4-metilfenol
4-bromo-1,2-dimethylbenzene 2-chloro-1,4-dinitrobenzene 2,6-dibromophenol
Br
NO2
O2N
Cl Br
OH
Br
4-bromo-1,2-dimetilbenzena 2-kloro-1,4-dinitrobenzena 2,6-dibromofenol
Ikatan Ganda Dua dan Ikatan Ganda Tiga| 105
4.7.2 Tindak balas
Tindak balas benzena terdiri daripada penukargantian elektrofilik, penghalogenan dan pengoksidaan rantai sisi alkil
benzena.
a) Penukargantian elektrofilik aromatik
Elektrofil (E+) bertindak dengan gelang aromatik dan menggantikan salah satu hidrogen. Terdapat lima jenis
penukargantian elektrofilik aromatik yang utama, iaitu:
i. Penghalogenan
ii. Penitratan
iii. Pengalkilan Friedel-Crafts
iv. Pengasilan Friedel-Crafts
v. Pensulfonan
i. Penghalogenan
ii. Penitratan
iii. Pengalkilan Friedel-Crafts
iv. Pengasilan Friedel-Crafts
+ X2
H2SO4 or FeX3
H X
+ HX
halobenzenehalobenzena
+ HNO3
H NO3
+ 2H2O
nitrobenzene
H2SO4
nitrobenzena
+ CH3Cl
H CH3
+ HCl
toluene
AlCl3
toluena
+
H
+ HCl
acetophenone
AlCl3
H3C Cl
O
CH3
O
asetofenon
Asid klorida
Ikatan Ganda Dua dan Ikatan Ganda Tiga| 106
Sifatpendeaktifanbertambah
v. Pensulfonan
Jenis penukargantian elektrofilik aromatik dan reagen yang digunakan dirumus dalam jadual di bawah.
Tindak balas Reagen Mangkin Elektrofilik
Penghalogenan Cl2 atau Br2
AlCl3, AlBr3, FeCl3,
FeBr3
Cl+, Br+
Penitratan HNO3 H2SO4 NO2
+
Pengalkilan Friedel-Crafts RCl AlCl3, H2SO4 R+
Pengasilan Friedel-Crafts RCOCl AlCl3 RC+O
Pensulfonan SO3 H2SO4 SO3H+
b) Kesan kumpulan penukarganti dalam gelang aromatik
Sesetengah kumpulan penukarganti aktif dalam gelang, menjadikan ia lebih reaktif daripada benzena; sesetengah
pula menyahaktifkan gelang, menjadikan ia kurang aktif daripada benzena. Kumpulan penukarganti mengganggu
orientasi tindak balas – 3 hasil dwigantian yang berkemungkinan adalah – orto, meta dan para biasanya tidak
terbentuk dalam amaun yang setara. Kumpulan penukarganti boleh diklasifkasikan kepada dua kumpulan:
i. Orto dan para – pengaktif langsung
ii. Meta – pendeaktif langsung
Pengarah orto dan para Pengarah meta
-NH2 -COR
-NHR -CO2R
-NR2 -SO3H
-OH -CHO
-OR -CO2H
-NHCOR -CN
-C6H5 -NO2
-R -NR2+
X (pendeaktif lemah)
Kereaktifan dan orientasi dalam penukargantian elektrofilik aromatik dikawal oleh interaksi kesan induktif dan kesan
resonans. Kesan induktif adalah pendermaan elektron melalui ikatan sigma, σ disebabkan keelektronegatifan dan
kepolaran ikatan dalam kumpulan berfungsi (Pengarah orto dan para). Kesan resonans adalah pengeluaran elektron
+
H
H2SO4SO3
SO3H
benzenesulfonic acidAsid benzenasulfonik
Sifatpengaktifanbertambah
Pengarah kuat
Pengarah
sederhana
Pengarah
lemah
Pengarah
sederhana
Ikatan Ganda Dua dan Ikatan Ganda Tiga| 107
melalui ikatan π disebabkan pertindanan orbital p pada kumpulan penukarganti dengan orbital p pada gelang
aromatik (Pengarah meta).
c) Penghalogenan rantai sisi alkil benzena
Pembrominan rantai sisi pada kedudukan benzil berlaku apabila alkilbenzena dirawat dengan N-bromosuksinimida
(NBS).
Radikal bebas wujud antara rantai sisi alkilbenzena dengan halogen dalam kehadiran haba atau cahaya (hv).
d) Pengoksidaan rantai sisi alkil benzena
Gelang benzena adalah lengai terhadap agen pengoksidaan kuat seperti KMnO4 dan reagen asid kromik. Rantai sisi
alkil bertindak dengan agen pengoksidaan dan ditukar kepada kumpulan karbonil –COOH (asid benzoik).
O
O
N Br
CCl4
CH2CH2CH3
CHCH2CH3
Br
+ Cl2 hv
CH3 CH2Cl
CH3
CH2CH3
CH2CH3H3C
KMnO4
KMnO4
KMnO4
COOH
COOH
COOHHOOC
Ikatan Ganda Dua dan Ikatan Ganda Tiga| 108
Latihan
1. Tidak balas di bawah ialah tindak balas___________
2. Dalam tindak balas yang diwakili oleh persamaan berikut, X berkemungkinan besar ialah
3. Tindak balas dalam soalan 2 boleh dikelaskan sebagai __________________.
4. Satu sebatian organik mempunyai momen dwikutub. Tindak balas sebatian ini dengan HBr memberikan
satu hasil sahaja. Jika sebatian ini juga bertindak balas dengan hidrogen dan paladium pada keadaan
biasa, sturuktur yang paling mungkin ialah _______________.
5. a) Satu alkena C4H8 mempunyai tiga isomer. Tuliskan struktur dan nama sistematik bagi tiga-tiga isomer
itu.
(b) Sebatian (isomer) manakah yang boleh didapati daripada pengontangan 2-metilpropanol? Tuliskan
persamaan berimbang penbentukannya.
(c) Berikan persamaan tindak balas setiap alkena dalam (a) dengan oksigen dalam kehadiran mangkin Ag
panas. Kemudian hasilnya ditindakbalaskan dengan air.
6. Tuliskan persamaan tindak balas penyediaan,
(a) Propena daripada 2-bromopropana
(b) Propena daripada 1-propanol
(c) 2-butena daripada 1-butena (dua langkah)
(d) Sikloheksana daripada bromosikloheksana (2 langkah)
(e) Propena daripada propana (2 langkah)
7. Berikan persamaan tindak balas siklopentanon dengan:
a) CH3CH2MgBr diikuti dengan H2O
b) HCN kemudian hidrolisis berasid
c)
8. Tuliskan formula struktur bagi produk yang dibentuk apabila propanal bertindak balas dengan reagen
berikut:
a) NaBH4 dalam NaOH akueus
b) C6H5MgBr, kemudian H3O+
c) LiAlH4, kemudian H2O
NO2
O2N
O2N
H2NNH
Ikatan Ganda Dua dan Ikatan Ganda Tiga| 109
9. Berikan tindak balas antara asid oktanoik dengan
a) LiAlH4 diikuti dengan H2SO4
b) SOCl2
c) Hasil daripada bahagian (b) dengan metilamina
d) Hasil daripada bahagian (b) dengan natrium asetat
10. Berikan hasil utama bagi setiap tindak balas sebatian aromatik di bawah:
O
a) + CH3CH2CH2CCl
b) + Br2
c) + CH3CH2Br
11. Berikan hasil tindak balas berikut:
a) +
b) +
c) + HNO3/H2SO4
AlCl3
AlBr3
CH2CH3
CO2H
AlBr3
C – Cl
O
FeCl3
CH2Cl
FeCl3
C2H5
Ikatan Ganda Dua dan Ikatan Ganda Tiga| 110
Jawapan
1. Tindak balas penyingkiran
2. Alkena
3. Tindak balas penambahan
4.
5. (a) A = CH3CH2CH=CH2
1-butena
B= CH3CH=CHCH3
2-butena
C=
(b) C; 2-metilpropena
(c) (i)
(ii)
Ikatan Ganda Dua dan Ikatan Ganda Tiga| 111
(iii)
6. (a) 2-
bromopropana → propena
(b) Propanol → propena
(c) 1-butena → 2-butena
(d) Bromosikloheksana → sikloheksana
(e) Propana → propena
Ikatan Ganda Dua dan Ikatan Ganda Tiga| 112
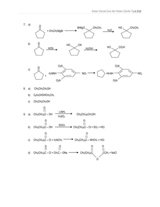
7. a)
+ CH3CH2MgBr
b)
c)
+
8. a) CH3CH2CH2OH
b) C6H5CHOHCH2CH3
c) CH3CH2CH2OH
O
9. a) CH3(CH2)6C – OH CH3(CH2)6CH2OH
O O
b) CH3(CH2)6C – OH CH3(CH2)6C – Cl + SO2 + HCl
O O
c) CH3(CH2)6C – Cl + H2NCH3 CH3(CH2)6C – NHCH3 + HCl
O O O O
d) CH3(CH2)6C – Cl + CH3C – ONa CH3(CH2)6C CCH3 + NaCl
O
O
CH2CH3BrMgO
H2O
CH2CH3HO
O
CNHO
HCN H2O/H+ CO2HHO
O
NO2
O2N
O2N
H2NNH =N-NH NO2
O2N
O2N
LiAlH4
H2SO4
SOCl2
Ikatan Ganda Dua dan Ikatan Ganda Tiga| 113
10. a)
b) +
c)
O
11. a) C + HCl
b) CH2
c)
+
CCH2CH2CH3
O
CH2CH3
Br
Br
CH2CH3
CO2H
CH2CH3
SO3H
C2H5
C2H5
SO3H
Ikatan Ganda Dua dan Ikatan Ganda Tiga| 114
Rujukan
Smith, J. G. (2008). Organic Chemistry (2nd. ed.). New York: Mc Graw Hill.
Bruice, P. Y. (2011). Organic Chemistry (6th. ed.). New Jersey: Pearson Educational Hall.
Solomon, T. W. G. (2008). Organic Chemistry (9th. ed.). New York: John Wiley & Sons.
McMurry, J. (2006). Organic Chemistry (6th. ed.): USA: Brooks/Cole Publishing Company.

20130911130933 unit 4 ikatan berganda

  • 1.
    Ikatan Ganda Duadan Ikatan Ganda Tiga| 57 UNIT 4 IKATAN GANDA DUA DAN IKATAN GANDA TIGA HASIL PEMBELAJARAN Di akhir pembelajaran ini, anda diharap dapat: 1. Memberikan definisi untuk alkena, alkuna, aldehid, keton, asid karboksilik dan sebatian aromatik. 2. Menamakan alkena, alkuna, aldehid, keton, asid karboksilik dan sebatian aromatik mengikut system IUPAC. 3. Menghuraikan cara sintesis alkena, alkuna, aldehid, keton, asid karboksilik dan sebatian aromatik. 4. Menghuraikan tindak balas alkena, alkuna, aldehid, keton, asid karboksilik dan sebatian aromatik. PETA KONSEP TAJUK IKATAN GANDA DUA DAN IKATAN GANDA TIGA Alkena Sebatian AromatikAldehid & KetonAlkuna Asid Karboksilik Penamaan IUPAC Sintesis Tindak Balas
  • 2.
    Ikatan Ganda Duadan Ikatan Ganda Tiga| 58 4.1 PENGENALAN Suatu sebatian organik dikatakan tepu apabila sebatian itu berantai linear atau bercabang dan tiap-tiap atom karbon membentuk ikatan tunggal samada dengan atom karbon atau dengan atom yang lain. Sebatian organik dikatakan tak tepu apabila sebatian itu mempunyai ikatan berganda, iaitu ikatan ganda dua atau ikatan ganda tiga. Satu pusat tak tepu atau terdiri daripada satu ikatan pi, π adalah setara dengan penambahan dua atom hidrogen kepada sebatian tersebut. Oleh itu satu ikatan ganda ikatan dua mempunyai satu pusat tak tepu, satu ikatan ganda tiga mempunyai dua pusat tak tepu dan satu gelang benzena mempunyai satu pusat tak tepu. Sebagai contoh, etena mempunyai satu pusat tak tepu. Etuna mempunyai dua pusat tak tepu Benzena mempunyai empat pusat tak tepu, iaitu tiga daripada tiga ikatan ganda dua (hipotetik) dan satu daripada gelang. Asid etanoik mempunyai satu pusat tak tepu, iaitu pada ikatan ganda dua C = O, Sikloheksana mempunyai satu pusat tak tepu daripada gelangnya.
  • 3.
    Ikatan Ganda Duadan Ikatan Ganda Tiga| 59 Furan mempunyai tiga pusat tak tepu, dua daripada dua ikatan ganda dua dan satu daripada gelangnya. Isokuinolina mempunyai tujuh pusat tak tepu, iaitu lima daripada lima ikatan ganda dua (hipotetik) dan dua daripada dua gelang. 4.2 ALKENA Alkena merupakan sebatian hidrokarbon tak tepu dengan kumpulan berfungsi ikatan ganda dua karbon-karbon, C=C. Alkena asiklik mempunyai formula umum CnH2n manakala alkena siklik pula mempunyai formula umum CnH2n-2. Sumber utama alkena adalah melalui proses peretakan petroleum. Alkena yang paling ringkas ialah etena CH2=CH2. 4.2.1 Tatanama IUPAC Dalam tatanama IUPAC petua-petua berikut digunakan: 1. Rantai terpanjang yang mengandungi ikatan ganda dua karbon-karbon diambil sebagai alkana induk dan nama alkena diberi dengan menggantikan akhiran ana dengan ena. 2. Penomboran dilakukan supaya karbon berikatan ganda dua itu mempunyai nombor yang terkecil mungkin dalam rantai induk. 3. Kumpulan penukar gantian ditandakan dengan nombor kedudukannya pada rantai.
  • 4.
    Ikatan Ganda Duadan Ikatan Ganda Tiga| 60 Contoh 4.1 4.2.2 Keisomeran Oleh kerana ikatan ganda dua karbon-karbon berada dalam satu satah, isomer geometri wujud bergantung kepada kedudukan kumpulan penukar ganti pada karbon ikatan ganda dua. Apabila kedudukan dua kumpulan penukar ganti yang sama adalah pada sisi yang sama, isomer geometri adalah cis, apabila kedudukan pada sisi yang bertentangan isomer geometrinya ialah trans . Contoh 4.2 Sistem E-Z Penggunaan cis dan trans dalam penamaan alkena kadangkala menimbulkan kekeliruan, sebagai contoh: Masalah diatasi dengan menggunakan sistem E-Z. Sistem E-Z wujud bergantung kepada keutamaan kedudukan kumpulan penukar ganti pada ikatan ganda dua karbon-karbon. Kumpulan penukar ganti pada setiap hujung ikatan ganda dua dikelaskan mengikut susunan keutamaan menurun (mengikuti peraturan Cahn Ingold Prelog). Konfigurasi Z(zusammen- bersama-sama) mewakili perhubungan cis di antara kumpulan-kumpulan yang mempunyai keutamaan tertinggi. Jika perhubungan di antara dua kumpalan ini trans, konfigurasi tersebut dikenali sebagai E(entgegen- bertentangan). Haloalkena yang pertama itu namanya E-1-Bromo-2-kloropropena dan, yang kedua Z-1-Bromo-2- kloropropena kerana susunan keutamaan kumpulan penukar gantinya adalah dalam tertib Br > Cl > CH3 > H.
  • 5.
    Ikatan Ganda Duadan Ikatan Ganda Tiga| 61 Contoh 4.3 4.2.3 Sifat fizik Kebanyakan sifat fizik alkena adalah serupa dengan sifat alkana yang sepadan. Takat didih alkena bertambah secara beransur-ansur apabila jisim molekul bertambah. Seperti alkana, alkena rantai lurus adalah kurang meruap dan mempunyai takat didih yang lebih tinggi daripada isomer-isomer yang bercabang. Alkena tidak melarut dalam air tetapi larut dalam pelarut organik seperti heksana, dietil eter (etoksietana) dan eseton (propanon). Kekutuban alkena adalah tinggi berbanding dengan alkana disebabkan kehadiran ikatan π (pi). Ketumpatan bagi alkena adalah di antara 0.6-0.7gcm-3. Nama dan sifat fizik untuk beberapa alkena ditunjuk dalam Jadual 4.1 Jadual 4.1 Takat lebur dan takat didih beberapa alkena Nama Formula t.l. ºC t.d. ºC Etena -169 -104 Propena -185 -47 1-Butena -130 -6.5 cis-2-butena -139 4 trans-2-butena -106 1 1-Metilpropena -141 -69 1-Pentena -138 32 Sikloheksena -104 83
  • 6.
    Ikatan Ganda Duadan Ikatan Ganda Tiga| 62 4.2.4 Sintesis alkena Terdapat dua cara yang penting bagi sintesis alkena iaitu pendehidratan alkohol dan pendehidrohalogenan alkil halida (haloalkana). (a) Pendehidratan Alkohol Ini merupakan cara sintesis yang utama di dalam makmal. Apabila alkohol dipanaskan dengan sedikit asid kuat seperti H2SO4 atau H3PO2 pekat pada suhu kira-kira 200 0C, ataupun wap alkohol dialirkan melalui serbuk AI2O3 yang dipanaskan pada suhu tinggi, molekul air disingkirkan dan ikatan ganda dua karbon-karbon terbentuk. Tindak balas umum ialah, Mekanisme tindak balas dalam kehadiran mangkin asid ialah Dalam mekanisme ini ion karbonium merupakan bahan perantara. Arah dan kadar tindak balas mematuhi hukum Saytzeff, iaitu hasil alkena utama ialah alkena yang mempunyai kumpulan gantian alkil yang paling banyak atom- atom karbon berikatan ganda dua. Ini sepadan dengan turutan keutamaan pendehidratan mengikut kelas alkohol seperti berikut, alkohol tertier > alkohol sekunder > alkohol primier Sebagai contoh, pendehidratan 2-butanol memberikan hasil utama 2-butena dan hasil sampingan 1-butena,
  • 7.
    Ikatan Ganda Duadan Ikatan Ganda Tiga| 63 Penyediaan Etena daripada Etanol Umumnya penghidratan etanol akan menghasilkan etena. Tindak balas ini digunakan dalam industri untuk menyediakan etena yang kemudian penghasilan polietena (Polietilena). Penghidratan boleh dilakukan dengan menggunakan asid sulfurik pekat (agen penhidratan) berlebihan (Rajah 4.1) Rajah 4.1 Penyediaan etena daripada etanol dalam makmal Berdasarkan Rajah 4.1 larutan NaOH digunakan untuk memerangkap hasil-hasil sampingan seperti SO2, CO2 dan lain-lain lagi.
  • 8.
    Ikatan Ganda Duadan Ikatan Ganda Tiga| 64 Contoh 4.4: Pendehidratan etanol boleh juga dilakukan dengan melalui wap etanol ke atas mangkin Al2O3 pada suhu tinggi (200ºC). Sebenarnya kaedah ini yang digunakan dalam industri untuk menyediakan etena daripada etanol. Model proses ini boleh dilihat dalam makmal dengan menggunakan radas seperti dalam Rajah 4.2. Rajah 4.2 Pendehidratan etanol kepada etena dengan mangkin Al2O3 (b) Pendehidrohalogenan Alkil Halida (Haloalkana) Dalam kaedah ini satu atom hidrogen, H dan satu atom halogen disingkirkan daripada atom-atom karbon berjiran apabila alkil halida dipanaskan bersama-sama dengan larutan kalium hidroksida, KOH beralkohol;
  • 9.
    Ikatan Ganda Duadan Ikatan Ganda Tiga| 65 Contoh 4.5: Pembentukan hasil utama 2-butena adalah sepadan dengan aturan Saytzeff. Contoh 4.6: 4.2.5 Tindak Balas Kimia Tindak balas kimia bagi alkena terbahagi kepada 3 iaitu pembakaran, penambahan elektrofilik dan pengoksidaan. (a) Pembakaran Alkena terbakar di dalam udara atau di dalam oksigen yang berlebihan dan menghasilkan karbon dioksida dan air. Persamaan umum tindak balas pembakaran bagi alkena adalah, Alkena tidak digunakan sebagai bahan api kerana bahan ini lebih mustahak lagi dalam industri kimia. (b) Tindak Balas Penambahan Elektrofilik Oleh sebab terdapat ikatan ganda dua pada alkena, maka ketumpatan elektron agak tinggi pada ikatan ganda dua ini, dengan itu alkena bertindak sebagai nukleofilil. Elektrofil boleh mendekati ikatan ganda dua ini, dan seterusnya menjalani tindak balas penambahan.
  • 10.
    Ikatan Ganda Duadan Ikatan Ganda Tiga| 66 Antara tindak balas penambahan elektrofilik ialah, (i)Tindak Balas dengan Halogen Halogen bertindak balas dengan alkena pada keadaan biasa. Mekanisme pembrominan etena telah pun dibincangkan dalam bab Alkil Halida. Pengklorinan etana membentuk 1,2-dikloroetana yang digunakan dalam pembuatan kloroetena (vinil klorida, PVC). Bahan ini adalah monomer kepada polimer poli (vinil klorida, PVC). Persamaan umumnya seperti di bawah: Tindak balas alkena dengan bromine, Br2 dalam larutan CCl4 digunakan untuk menguji kewujudan ikatan ganda dua. Warna perang kemerahan bromin akan ternyah warna dengan kehadiran ikatan ganda dua (pembentukan sebatian dibromo). Contoh 4.7: (ii) Tindak Balas dengan Hidrogen Hidrogen adalah kurang elektronegatif daripada halogen. Oleh itu hidrogen kurang tertarik oleh awan elektron ikatan ganda dua. Maka pada keadaan biasa, hidrogen tidak bertindak balas dengan alkena . Tindak balas berlaku dengan pertolongan mangkin (contohnya serbuk nikel) pada suhu tinggi (150ºC). Mangkin menolong mengutubkan molekul hidrogen, oleh itu kutub positif boleh mendekati ikatan ganda dua. Penghidrogenan ikatan ganda dua terlibat dalam industri makanan. Sebagai contoh, minyak sayuran yang mengandungi ikatan ganda dua ditepukan menjadi pepejal, contohnya marjerin.
  • 11.
    Ikatan Ganda Duadan Ikatan Ganda Tiga| 67 Contoh 4.8: (iii) Tindak Balas dengan Hidrogen Halida Tindak balas penambahan berlaku dalam keadaan biasa kerana molekul HX adalah berkutub. Arah penambahan H ― X adalah mematuhi hukum Markovnikov, iaitu hidrogen akan terikat pada atom karbon berikatan ganda dua yang paling banyak mempunyai bilangan hidrogen yang telah berikat dengannya. Ini memberikan hasil utama tindak balas manakala hasil sampingan adalah daripada tindak balas yang tidak mematuhi aturan Markovnikov. Keadaan ini mempunyai hubungan dengan tertib kestabilan ion karbonium yang wujud sebagai bahan perantara iaitu, Tertib kestabilan ion karbonium, Ion karbonium : tertier > sekunder > primer > CH3 + Penambahan HBr secara anti-Markovnikov berlaku dalam kehadiran mangkin organik peroksida. Bahan parantaraan dalam tindak balas ini ialah radikal bebas dan bukan ion karbonium dan mekanismenya ialah tindak balas rantai. δ+ δ-
  • 12.
    Ikatan Ganda Duadan Ikatan Ganda Tiga| 68 Alkena bersimetri akan menghasilkan 1 produk manakala alkena yang tidak simetri akan menghasilkan 2 produk. Contoh 4.9: (iv) Tindak Balas dengan Asid Sulfurik Pekat Tindak balas berlaku dalam keadaan sejuk kerana H2SO4 adalah asid kuat.
  • 13.
    Ikatan Ganda Duadan Ikatan Ganda Tiga| 69 Tindak balas penambahan ini menurut aturan Markovnikov. Alkil hidrogen sulfat terhidrolisis dengan mudah apabila dicampurkan dengan air. Keseluruhan tindak balas ini ialah penghidratan alkenayang memberikan hasil akhir alkohol. Contoh 4.10: Penghasilan etanol: : Bagaimanapun, etanol lebih murah disediakan daripada etena melalui tindak balas penghidratan bermangkin dalam fasa gas seperti yang ditunjukkan dalam persamaan di bawah. (v) Tindak balas dengan air, H2O (Penghidratan) Dengan adanya asid sebagai pemangkin, alkena bertindak balas dengan air akan menghasilkan alkohol menurut aturan Markovnikov. Penghidroboratan atau pengoksidaan alkena menghasilkan produk yang anti-aturan Markovnikov. Contoh 4.11:
  • 14.
    Ikatan Ganda Duadan Ikatan Ganda Tiga| 70 (vi) Pembentukan halohidrina Halohidrina terbentuk apabila alkena bertindak balas dengan HO-Cl atau HO-Br di bawah keadaan yang sesuai akan menghasilkan 1,2-halo alkohol menurut aturan Markovnikov. Contoh 4.12: (c) Tindak Balas Pengoksidaan Tindak balas pengoksidaan terhadap alkena boleh berlaku dengan kehadiran reagen-reagen berikut. (i) larutan kalium permanganat, KMnO4 Agen pengoksidaan sederhana seperti larutan berasid KMnO4 mengoksidakan alkena kepada diol dan seterusnya kepada diasid (KMnO4 berlebihan). Umumnya, Tindak balas ini merupakan ujian mudah dalam makmal untuk menguji kehadiran ikatan ganda dua C=C. Jika wujud ikatan ganda dua, warna ungu KMnO4 akan luntur. Persamaan tindak balas keseluruhan adalah tindak balas redoks biasa, Contoh 4.13:
  • 15.
    Ikatan Ganda Duadan Ikatan Ganda Tiga| 71 Dalam keadaan beralkali biasanya KMnO4 terturun kepada MnO2 (mendakan coklat kemerahan), bukan kepada Mn2+ seperti dalam keadaan asid. Pada suhu rendah (0ºC- 5ºC), KMnO4 di dalam alkali cair mengoksidakan alkena dan menghasilkan suatu glikol (diol). Contoh 4.14: Pada suhu tinggi, tindak balas KMnO4 dengan alkena mengakibatkan pecahnya ikatan ganda dua. Hasil tindak balas ini boleh jadi suatu asid karboksilik dan keton. Contoh 4.15: Contoh 4.16: (ii) Oksigen Tindak balas dengan oksigen merupakan tindak balas pembakaran. Bagaimanapuni tindak balas ini adalah satu pembaziran kerana alkena lebih penting dalam industri bagi penghasilan polimer. Dengan menggunakan Ag pada suhu 200 ºC, oksigen bertindak balas dengan alkena membentuk epoksialkana.
  • 16.
    Ikatan Ganda Duadan Ikatan Ganda Tiga| 72 Epoksialkana di atas tidak stabil kerana gelang 3-ahli yang tegang. Bahan ini boleh bertindak balas dengan air membentuk sebatian diol. Misalnya, Ini merupakan penyediaan etan-1,2-diol secara industri yang lebih menjimatkan berbanding pengoksidaan dengan KMnO4. Selain itu, etan-1,2-diol adalah salah satu monomer dalam pembuatan poliester. Epoksietana boleh juga bertindak balas sesama sendiri (mempolimer) membentuk polimer yang dinamakan poli(etena oksida) atau poliepoksietana. (iii) Ozon, O3 Ozon juga boleh mengoksidakan alkena. Hasil permulaan tindak balas ini ialah aduk yang dikenali sebagai ozonida. Apabila ozonida ini dihidrolisiskan dalam kehadiran Zn atau H2 ia menghasilkan dua sebatian karbonil. Contoh 4.17:
  • 17.
    Ikatan Ganda Duadan Ikatan Ganda Tiga| 73 Contoh 4.18: Contoh 4.19: (d) Tindak Balas Pempolimeran Alkena merupakan monomer dalam tindak balas pempolimeran bagi penghasilan polimer. Dalam kehadiran bahan pemula, contohnya radikal bebas, molekul alkena menambah atau bergabung sesama sendiri untuk membentuk polimer. Pempolimeran berjalan secara tindak balas rantai dengan mekanisme radikal bebas atau ionik.
  • 18.
    Ikatan Ganda Duadan Ikatan Ganda Tiga| 74 4.2.6 Kepentingan Etena Dalam Industri Kepentingan etena dalam industri telah disebutkan sepintas lalu dalam perbincangan sifat-sifat kimia atau tindak balas alkena. Kepentingan etena dalam industri dapat dirumuskan seperti berikut: (a) Penghasilan 1,2-Dihaloetana (Halogen = Cl, Br) dan Kloroetena 1,2-Dikloroetana merupakan pelarut yang penting dalam industri. Bahan ini boleh ditukarkan kepada kloroetena melalui tindak balas di bawah: (b) Penyediaan Etanol melalui Tindak Balas dengan Asid Sulfurik Pekat Dalam penyediaan etanol secara industri, etil hidrogen sulfat dihidrolisiskan dengan air. (c) Penyediaan Etan-1,2-diol Apabila wap etena dialirkan bersama-sama dengan udara ke atas mangkin argentum yang dipanaskan, epoksietana terhasil; iaitu Epoksietana dihidrolisiskan oleh asid atau air akan menghasilkan etan-1,2-diol (glikol) Etana-1,2-diol merupakan satu daripada bahan mentah untuk penyediaan polimer terylene (dakron) iaitu suatu poliester.
  • 19.
    Ikatan Ganda Duadan Ikatan Ganda Tiga| 75 (d) Penyediaan Polietana Etena menjalani pempolimeran membentuk polietana. Contoh 4.20: 4.2.7 Ujian Bagi Kehadiran Ikatan Ganda Dua Karbon-Karbon, C = C (a) Dengan Bromin dalam CCl4, atau Wap Bromin atau Air Bromin Warna perang kemerahan bagi bromin akan dinyahwarnakan dengan pantas, hasil daripada pembentukan akil bromida atau bromoalkohol yang tidak mempunyai warna.
  • 20.
    Ikatan Ganda Duadan Ikatan Ganda Tiga| 76 (b) Dengan Larutan Akueus Kalium Permanganat, KMnO4, Berasid Larutan ungu KMnO4 akan dinyahwarnakan dan drsertai dengan pembentukan, mangan (ll), Mn2+ (tanpa warna) 4.3 Alkuna Alkuna ialah hidrokarbon tak tepu yang mengandungi ikatan ganda tiga karbon-karbon (C ≡ C) dan mempunyai formula molekul umum CnH(2n-2). Ada dua jenis alkuna iaitu (a) alkuna hujung (terminal) yang dikenali sebagai 1- alkuna dengan ikatan ―C≡CH terletak di hujung rantai dan (b) alkuna dalaman dengan ikatan―C≡C― terletak di bahagian dalam rantai hidrokarbon. 4.3.1 Tatanama Penamaan adalah sama seperti alkena. Penamaan alkuna diakhiri dengan –una. Sebagai contoh, CH3CH2C≡CH ialah but-1-una atau 1-butuna. Ahli yang paling ringkas ialah etuna, HC≡CH yang juga dikenali sebagai asetilena. 4.3.2 Sifat-sifat fizik Alkuna ringkas berupa gas pada suhu bilik manakala alkuna yang lainnya adalah cecair atau pepejal yang mempunyai takat lebur dan takat didih yang rendah. Alkuna tidak larut dalam air. Jadual 4.2 menunjukkan takat lebur dan takat didih beberapa alkuna. Jadual 4.2 Takat lebur dan takat didih beberapa alkuna Nama Formula T.l (oC) T.d (oC) etuna CH≡CH -82 -83.6 Propuna CH3≡CH -101.5 -23 1-butuna CH3CH2≡CH -122 9 2-butuna CH3C≡CCH3 -24 27 1-pentuna CH3CH2CH2C≡CH -98 40 Feniletuna C6H5C≡CH - 143 4.3.3 Síntesis alkuna Etuna, ahli terendahC2H2 dalam familia alkuna disintesis seperti berikut, (a) Daripada tindak balas kalsium karbida dengan air Kalsium karbida diperolehi dengan cara memanaskan arang kok bersama kalsium oksida dalam relau elektrik pada suhu tinggi (2000oC). Seterusnya, etuna dihasilkan dengan cara menindakbalaskan kalsium karbida dengan air,
  • 21.
    Ikatan Ganda Duadan Ikatan Ganda Tiga| 77 (b) Daripada 1,2-dibromoetana Etuna terbentuk apabila 1,2-dibromoetana dididihkan dengan larutan KOH beralkohol. Dalam tindak balas ini 2 molekul HBr disingkirkan daripada 1,2-dibromoetana. Contoh 4.21: (c) Pirolisis metana Etuna boleh didapati dengan kuantiti yang banyak daripada pirolisis metana pada suhu 1500oC. Pirolisis ialah proses peretakan dan pembentukan semula hidrokarbon pada suhu tinggi. Ini merupakan kaedah industri yang utama pada ketika ini. Pada asasnya, dalam makmal alkuna boleh dihasilkan mengikut tiga kaedah berikut, (i) Pendehidrohalgenan Alkil Halida oleh Bes Kuat Persamaan umum seperti di bawah:
  • 22.
    Ikatan Ganda Duadan Ikatan Ganda Tiga| 78 Contoh 4.22: Pendehidrohalogenan pertama terhadap 1,2-dibromobutana boleh dilakukan dengan larutan kalium hidroksida beralkali. Seterusnya pendehidrohalogenan kedua memerlukan bes yang lebih kuat seperti natrium amida, NaNH2 . (ii) Pendehalogenan Tetrahalida dengan menggunakan Logam Zink Tindak balas ini tidak begitu penting untuk penyediaan alkuna. (iii) Tindak Balas Natrium Asetilida dengan Alkil Halida Primer Natrium asetilida bertindak balas dengan alkil halida primer untuk menghasilkan alkuna terminal atau hujung karbon yang lebih banyak. Hasil tindak balas bergantung kepada struktur garam asetilida yang asal. Contoh 4.23:
  • 23.
    Ikatan Ganda Duadan Ikatan Ganda Tiga| 79 4.3.4 Tindak balas alkuna Semua alkuna terbakar dalam oksigen menghasilkan air dan karbon dioksida. Etuna digunakan dalam proses pengimpalan oksiasetilena kerana suhu yang amat tinggi boleh didapati daripada pengoksidaan (3000oC). Alkuna mengalami tindak balas penambahan seperti alkena. Alkuna memerlukan dua mol bahan uji untuk menukarkan ikatan ―C≡C― kepada molekul tepu berbanding dengan satu mol sahaja untuk alkena. Tindak balas penambahan berlaku pada ikatan ganda tiga atom karbon-karbon kerana tersedianya awan elektron π seperti juga dalam ikatan ganda dua C=C. Jenis-jenis tindak balas penambahan adalah seperti berikut, (a) Penambahan Hidrogen, Halogen dan Hidrogen Halida Alkuna bertindak balas dengan hidrogen, halogen dan hidrogen halida sama seperti alkena. Contoh 4.24:
  • 24.
    Ikatan Ganda Duadan Ikatan Ganda Tiga| 80 Alkuna bertindak balas dengan hidrogen berlebihan dengan adanya platinum (pemangkin) menghasilkan alkana, Selain itu, alkuna bertindak balas dengan hidrogen dan pemangkin Lindler (Paladium bersama dengan BaSO4 dan quinolin) menghasilkan alkena. Contoh 4.25: Penambahan setiap mol hidrogen halida pula mematuhi hukum Markovnikov, iaitu atom hidrogen mengikat pada karbon yang paling banyak mempunyai atom hidrogen. Contoh 4.26: (b) Penambahan Air Penambahan air kepada ikatan ganda tiga karbon-karbon berlaku dalam kehadiran raksa (II) sulfat dan asid membentuk sebatian yang mengandungi kumpulan karbonil (>C=O). Contoh 4.27: Penambahan air pada etuna menghasilkan asetaldehid (etanal).
  • 25.
    Ikatan Ganda Duadan Ikatan Ganda Tiga| 81 Penambahan air pada alkuna lain mematuhi aturan Markovnikov dan menghasilkan keton. Contoh 4.28: (c) Tindak Balas Penggantian Atom Hidrogen Alkuna Terminal Alkuna terminal juga dikenali sebagai 1-alkuna. Atom hidrogen yang terikat pada atom karbon berikatan ganda tiga hujungan (karbon sp) mempunyai sifat asid yang agak tinggi dibandingkan dengan hidrogen yang berikatan dengan karbon sp3 dan sp2. Keasidan ini timbul kerana terdapat 50% ciri orbital s dalam orbital kacukan sp. Sifat ini ditunjukkan oleh tindak balas penggantian atom hidrogen tersebut oleh logam natrium untuk membentuk natrium asetilida dan membebaskan hidrogen. Asetilena (etuna) merupakan asid yang lebih lemah daripada air. Oleh itu air boleh membebaskan asetilena daripada garam asetilida, 1-Alkuna juga bertindak balas dengan mudah dengan larutan argentum nitrat beralkohol untuk membentuk mendakan putih argentum alkuna. Tindak balas ini hanya khusus untuk 1-alkuna sahaja dan merupakan satu ujian pengenalannya.
  • 26.
    Ikatan Ganda Duadan Ikatan Ganda Tiga| 82 Tindak balas di antara natrium asetilida dengan alkil halida primer (sahaja) pula menghasilkan alkuna dengan rantai karbon yang lebih panjang. Contoh 4.29: Tindak balas dengan alkil halida sekunder atau tertier menghasilkan alkena bukannya alkuna kerana berlakunya proses penyingkiran. 1-Alkuna juga bertindak balas mudah dengan larutan CuCl2 dan AgNO3 dalam larutan ammonia dengan masing-masing menghasilkan ion kompleks [Cu(NH3)2]+ dan [Ag(NH3)2]+ yang akan bertindak balas dengan 1-alkuna. Tindak balas ini juga merupakan ujian pengenalan bagi 1-alkuna. 4.4 ALDEHID DAN KETON Aldehid merupakan sebatian yang terdiri daripada kumpulan karbonil (C=O) yang diikat satu hujung kepada karbon dan satu hujung lagi kepada hidrogen. Keton pula adalah sebatian yang mempunyai kumpulan karbonil (C=O) yang terletak di antara dua atom karbon. Aldehid dan keton banyak digunakan dalam industri, contohnya formaldehid digunakan sebagai damar dan lapisan pelindung, sitral digunakan sebagai sebatian perisa, camphor (kapur barus) pula digunakan dalam bidang perubatan dan sikloheksanon diguna sebagai bahan pemula untuk nilon.
  • 27.
    Ikatan Ganda Duadan Ikatan Ganda Tiga| 83 4.4.1 Penamaan a) Aldehid Aldehid dinamakan dengan menggantikan akhiran ‘–a’ pada nama induk alkana dengan ‘–al’. Kedudukan kumpulan aldehid adalah pada hujung rantai atom karbon dan tidak perlu menyatakan kedudukan (kedudukan 1) dalam penamaan. Aldehid dengan kumpulan –CHO diikat pada sistem gelang dinamakan dengan menambahkan akhiran karbaldehid b) Keton Keton alifatik dinamakan dengan menggantikan akhiran ‘–a’ pada nama alkana yang berkaitan kepada ‘–on’. Atom karbon karbonil diberikan nombor terkecil. Untuk kumpulan berfungsi yang biasa bagi keton pula dinamakan kumpulan yang diikat kepada kumpulan karbonil secara berasingan dan tambahkan perkataan keton sebagai nama berasingan. 5-kloropentanal Propanal (propionaldehid) O H Benzenecarbaldehyde (benzaldehyde) O H Cyclohexanecarbaldehyde O Cl 5-chloropentanal HO Propanal (propionaldehyde) H SikloheksanakarbaldehidBenzenakarbaldehid (benzaldehid) 5-kloropentanal Propanal (propionaldehid) O Butanone (ethyl methyl ketone) O Pent-4-en-2-one (allyl methyl ketone) H3C O CH3 Acetone (propanone) O Benzophenone (diphenyl ketone) Butanon (etil metal keton) Pent-4-en-2-on (alil metil keton) Aseton (propanon) Benzofenon (difenil keton)
  • 28.
    Ikatan Ganda Duadan Ikatan Ganda Tiga| 84 Kumpulan penukarganti bagi aldehid dan keton ditunjukkan dalam jadual di bawah. Kumpulan Struktur Metanoil Formil CH O Etanoil Asetil CH3C O Alkanoil atau asil RC O 4.4.2 Sintesis Terdapat empat cara untuk mensintesiskan aldehid dan keton, iaitu a) pengoksidaan alkohol, b) pembelahan alkena, c) penghidratan alkuna dan d) pengasilan Friedel-Craft. a) Pengoksidaan alkohol i. Aldehid Aldehid disediakan dengan pengoksidaan alkohol primer menggunakan agen pengoksidaan sederhana, Cu atau reagen Collins (CrO3 dalam piridin). ii. Keton Keton disediakan dengan pengoksidaan alkohol sekunder dalam kehadiran agen pengoksidaan. CH3CH2CH2OH Cu or CrO3 in pyridine CH2CH3CH O propanol propanal =O H2Cr2O7 OH cyclohexanoncyclohexanolSikloheksanol Sikloheksanon
  • 29.
    Ikatan Ganda Duadan Ikatan Ganda Tiga| 85 b) Pembelahan alkena c) Penghidratan alkuna Aldehid dan keton disintesis melalui dua kaedah utama, iaitu penambahan langsung dan penambahan tidak langsung. Penambahan langsung berlaku dengan menambahkan air dan dimangkin oleh ion merkuri (II) untuk memperoleh hasil mengikut Hukum Markonikoff. Penambahan tidak langsung pula berlaku dengan menambahkan air melalui tindak balas penghidroborana / pengoksidaan untuk memperoleh hasil bukan mengikut Hukum Markonikoff. 1-hexyne O hexanal BH3 BH2 BH2 H2O2 H2O, pH 8 CH 1-heksuna heksanal 1-hexyne H2O, H2SO4 HgSO4 OH O an enol 2-hexanone 1-heksuna alkenol 2-heksanon C CH3 CH3 1. O3 2. Zn, H3O+ O CH3CCH3 O + isopropylidenecyclohexane cyclohexanone acetone 1. O3 2. Zn, H3O+ 2-methyl- 2-butene C=O H3C H O=C+ CH3 CH3 acetoneacetaldehyde 2-metil-2-butena asetaldehid aseton Aldehid dan keton juga boleh disediakan melalui pembelahan alkena. Ozon, O3 dilalukan ke aliran oksigen menggunakan pelepasan elektrik bervoltan tinggi supaya bertindak balas dengan alkena pada suhu rendah. Kitaran perantara melibatkan pengaliran ozon ke atas alkena menghasilkan ozonida primer, iaitu malozonida dan kemudian malozonida dibelah menjadi aldehid atau keton.
  • 30.
    Ikatan Ganda Duadan Ikatan Ganda Tiga| 86 d) Pengasilan Friedel-Craft Pengasilan asil klorida dengan sebatian aromatik menggunakan AlCl3 sebagai mangkin menghasilkan akil aril keton atau diaril keton. 4.4.3 Tindak balas Terdapat lima proses tindak balas yang melibatkan aldehid dan keton, iaitu a) penambahan nukleofilik yang berbeza untuk menghasilkan bahan tertentu, b) penambahan ammonia dan terbitan Ammonia, c) tindak balas Wittig, d) pengoksidaan aldehid dan e) penyahoksigenan aldehid dan keton melalui penurunan Clemensen dan penurunan Wolf-Kishner. a) Penambahan nukleofilik Nukleofil menggunakan pasangan elektronnya untuk membentuk ikatan dengan atom karbon karbonil. Ikatan π pasangan elektron karbon-oksigen beralih kepada atom oksigen karbonil elektronegatif. Keadaan penghibridan untuk kedua-dua karbon dan oksigen bertukar daripada sp2 kepada sp3. Atom oksigen menerima satu elektrofil (proton, H+) [atom oksigen dengan cas negatif – ion alkosida]. i. Penambahan logam hidrida: Pembentukan alkohol Aldehid dan keton bertindak dengan logam hidrida untuk membentuk alkohol. Contoh logam hidrida adalah Litium aluminium hidrida, LiAlH4 atau Natrium borohidrida, NaBH4. LiAlH4 sangat reaktif dan boleh menurunkan kebanyakan karbonil dan kumpulan berfungsi yang lain. Perhatian perlu diberikan kerana ia bertindak dengan proton asid (RCO2H, RCH2OH, RCH2NH2). NaBH4 kurang reaktif, merupakan agen penurunan terpilih untuk menurunkan aldehid, keton dan asid klorida. NaBH4 tidak bertindak dengan epoksida, ester, asid dan nitril. + CCl O AlCl3 C O + CH3CCl O AlCl3 CCH3 O C ONu:   Nu C O: E+ Nu C O-E C OM+ H:- + C O:- M+ C OH + M+ OH-H H2O H
  • 31.
    Ikatan Ganda Duadan Ikatan Ganda Tiga| 87 ii. Penambahan reagen Grignard: Pembentukan alkohol Aldehid dan keton dirawat dengan reagen Grignard, RMgX menghasilkan alkohol melalui penambahan nukleofilik yang melibatkan karbanion. Suatu ikatan karbon-magnesium dipolarkan dengan kuat. Pemprotonan melalui penambahan H3O+ menghasilkan alkohol neutral. C OR-MgX + C O:- + MgX C OH H2O/H+  R R O 3-butenal H HO 3-buten-1-ol HO 1-butanol LiAlH4 NaBH4 H2O H2O 3-butenal C OR-MgX + C O:- + MgX C OH H2O/H+ R R H H formaldehyde H H H H alcohol 1° C OR-MgX + C O:- + MgX C OH H2O/H+ R R H R' aldehyde R' H R' H alcohol 2° C OR-MgX + C O:- + MgX C OH H2O/H+ R R R" R' ketone R' R" R' R" alcohol 3° formaldehid Alkohol 10 aldehid Alkohol 20 keton Alkohol 30
  • 32.
    Ikatan Ganda Duadan Ikatan Ganda Tiga| 88 iii. Penambahan HCN: Pembentukan sianohidrin Aldehid dan unhindered (tidak tersekat) keton bertindak dengan HCN untuk menghasilkan sianohidrin (RCH(OH)C≡N). Sianohidrin adalah pengantara untuk menghasilkan sebatian amina primer atau asid karbosilik. Kaedah ini cenderung dipilih untuk menukarkan aldehid dan keton kepada kumpulan berfungsi berlainan. iv. Penambahan nukleofilik alkohol: Pembentukan asetal Aldehid dan keton bertindak dengan alkohol dengan kehadiran asid (mangkin) untuk menghasilkan asetal, R2C(OR’)2 (ketal daripada keton). Dalam medium berasid, kereaktifan kumpulan karbonil ditingkatkan melalui pemprotonan dan penambahan 2 molekul alkohol dan diikuti kehilangan molekul air C O C O:- C OH H+ CN - :CN CN sianohidrin O ethanal H NaCN HCl CH3C OH CN H CH3C OH COOH H CH3C OH CH2NH2 H acid-2-hydroxypropanoic 1-amino-2-propanol [H] H2O/H+ etanal Asid-2-hidroksilpropanoik R O H R-C OR' OR' H aldehyde + 2HOR' H+ + H2O acetal R O R R-C OR' OR' R ketone + 2HOR' H+ + H2O acetal aldehid asetal keton asetal
  • 33.
    Ikatan Ganda Duadan Ikatan Ganda Tiga| 89 b) Penambahan Ammonia dan terbitan Ammonia Amina primer, RNH2 ditambah kepada aldehid dan keton untuk menghasilkan imida, R2C=NR. Amina sekunder, R2NH pula ditambahkan kepada aldehid dan keton untuk menghasilkan enamida, R2C=C(R)-NR2 (ena + amida – amina tidak tepu). c) Tindak balas Wittig Aldehid atau keton ditukar kepada alkena dengan menggunakan fosforus ylida, R2C- – P+(C6H5)3. d) Pengoksidaan aldehid Aldehid bertindak dengan agen pengoksidaan, KMnO4 atau asid kromik formula untuk membentuk asid karbosilik. imida C O + H2NR H+ C NR + H2O C O + HNR2 H+ C NC=C + H2O enamida C O R R CP R' R' (C6H5)3+ C R' R' C R R + (C6H5)3P=O O CP CH3 H (C6H5)3+ C CH3 H fosforus ylida fosforus ylida alkena alkena R-CH O [O] R-C-OH O aldehyde carboxylic acidaldehid Asid karboksilik
  • 34.
    Ikatan Ganda Duadan Ikatan Ganda Tiga| 90 e) Penyahoksigenan aldehid dan keton Penyahoksigenan aldehid dan keton adalah proses penggantian atom oksigen (kumpulan karbonil) dengan dua atom hidrogen [penurunan karbonil kepada kumpulan metilena]. Penyahoksigenan aldehid dan keton dijalankan melalui 2 jenis tindak balas, iaitu penurunan Clemensen dan penurunan Wolf-Kishner. i) Penurunan Clemensen Penurunan Clemensen berlaku apabila sebatian karbonil bertindak dengan zink-amalgam (keadaan di mana Zn bertindak dengan Hg dan asid hidroklorik). Penurunan Clemensen menurunkan aldehid dan keton kepada alkana. ii) Penurunan Wolf-Kishner Penurunan Wolf-Kishner merupakan proses penyahoksigenan sebatian karbonil dengan asid pada suhu tinggi. Sebatian karbonil ditukar kepada hidrazon diikuti dengan proses pemanasan dengan reagen bes, iaituKOH. Penurunan Wolf-Kishner merupakan cara untuk menukarkan aldehid dan keton kepada alkana, R2C=O  R2CH2. CH3(CH2)5-CH O CH3(CH2)5-CH3 heptanal heptane Zn(Hg) HCl, H2O Zn(Hg) HCl, H2O cyclohexane O cyclohexanone heptana sikloheksanon sikloheksana
  • 35.
    Ikatan Ganda Duadan Ikatan Ganda Tiga| 91 4.5 ASID KARBOKSILIK Asid karboksilik merupakan asid organik dengan kumpulan berfungsi karboksil COOH [kumpulan karbonil, C=O dan hidroksil, OH]. Beberapa contoh asid karboksilik dari sumber semula jadi disenaraikan dalam jadual. 4.5.1 Penamaan Nama umum bagi asid karboksilik adalah penggantian menggunakan penomboran huruf Yunani: α, β, γ and δ. Asid karboksilik yang diperoleh daripada rantai alkena terbuka dinamakan secara sistematik dengan menggantikan akhiran ‘–a’ alkana yang berkaitan dengan asid ‘–oik’. Atom karbon karbonil dinomborkan C1 dalam sistem. Karbon Formula struktur Nama IUPAC Nama Sumber semula jadi 1 HCO2H Asid metanoik Asid formik semut 2 CH3CO2H Asid etanoik Asid asetik Cuka 3 CH3CH2CO2H Asid propanoik Asid propionik Susu, mentega, keju 4 CH3(CH2)2 CO2H Asid butanoik Asid butirik Mentega 5 CH3(CH2)3 CO2H Asid pentanoik Asid valerik Akar velerion 6 CH3(CH2)4 CO2H Asid heksanoik Asid kaproik Kambing C COOHC C CC   123456 O OH Br 2-bromopropanoic acid bromopropionic acid) O OH 2,3-dimethylpentanoic acid  -dimethylvaleric acid) Asid 2-bromopropanoik (asid α-bromopropionik) Asid 2,3-dimetilpentanoik (asid α, β-dimetilvalerik) O OH 4-methylpentanoic acid O HO O OH 3-ethyl-6-methyloctanedioic acid O OH 3-pentenoic acid O OH 3-phenyl-2-butenoic acid Asid 4-metilpentanoik Asid 3-etil-6-metil-metiloktanadioik Asid 3-pentenoik Asid 3-fenil-2-butenoik
  • 36.
    Ikatan Ganda Duadan Ikatan Ganda Tiga| 92 Kumpulan COOH yang diikat kepada gelang karbon dinamakan menggunakan akhiran asid karboksilik. Karbon COOH disambung ke C1 dan tidak dinomborkan dalam sistem ini. 4.5.2 Sintesis Terdapat lima cara untuk mensintesiskan asid karboksilik, iaitu a) pengoksidaan alkohol primer atau aldehid, b) pengoksidaan alkena dan alkuna, c) pengoksidaan alkilbenzena, d) pengkarboksilan reagen Grignard dan e) hidrolisis nitril. a) Pengoksidaan alkohol primer atau aldehid Pengoksidaan alkohol primer atau aldehid dengan KMnO4 atau asid kromik menghasilkan asid karboksilik. b) Pengoksidaan alkena dan alkuna KMnO4 pada suhu tinggi memecahkan ikatan C=C untuk menghasilkan keton dan asid karboksilik. Alkuna (alkuna dalaman) dipecahkan oleh ozon, O3 atau KMnO4 untuk memperoleh asid karboksilik. O HO Br 3-bromocyclohexanecarboxylic acid O HO 1-cyclopentenecarboxylic acid O HO cyclopentanoic acid O OH O HO oxalic acid Asid 3-bromosikloheksanakarboksilik Asid 1-siklopentenakarboksilik Asid siklopentanoik Asid oksalik R-CH O [O] R-C-OH O aldehyde carboxylic acid R-CH2OH primary alcohol [O] Alkohol primer Aldehid Asid karboksilik C CR R' KMnO4 or O3 RCOH R'COH OO + internal alkyne C C RCOH O + alkene KMnO4 RCR" O R H R" R Alkuna dalaman Alkena
  • 37.
    Ikatan Ganda Duadan Ikatan Ganda Tiga| 93 c) Pengoksidaan alkilbenzena Alkilbenzena bertindak dengan agen pengoksidaan (asid kromik atau KMnO4) untuk menghasilkan asid benzoik. d) Pengkarboksilan reagen Grignard Asid karboksilik (penambahan atom karbon) disediakan melalui tindak balas reagen Grignard dengan CO2 untuk menghasilkan logam karboksilat, diikuti dengan pemprotonan dengan H3O+. Kondensasi reagen Grignard dengan karbon dioksida e) Hirolisis Nitril Nitril boleh dihidrolisis menggunakan asid atau bes akueus yang kuat dan panas untuk menghasilkan asid karboksilik. Cl CH3 CH3 H2Cr2O7 Cl COOH CH2Br NaCN CH2CN H2O CH2COOH CH2COO- OH- H+ carboxylic acid carboxylate salt Asid karboksilik Garam karboksilat Penghasilan reagen Grignard Fenilmagnesium bromida
  • 38.
    Ikatan Ganda Duadan Ikatan Ganda Tiga| 94 4.5.3 Tindak balas Terdapat tiga tindak balas utama bagi asid karboksilik, iaitu a) penyingkiran proton, b) penurunan kepada alkohol primer dan c) penukargantian nukleofilik. a) Penyingkiran proton Asid karboksilik bertindak dengan bes untuk membentuk garam dan air. b) Penurunan kepada alkohol primer Penurunan asid karboksilik dengan kehadiran agen penurunan LiAlH4 atau BH3 menghasilkan alkohol primer. c) Penukargantian nukleofilik Penukargantian asid karboksilik (OH – kumpulan berfungsi) dengan nukleofil menghasilkan terbitan asid karboksilik. R-C-OH O + Nu R-C-Nu O + OH- CH3COOH + NaOH CH3COONa + H2O sodium acetateNatrium asetat CH3CH2CH2OH LiAlH4 or BH3 CH3CH2COOH 1-propanolpropanoic acid H3O+ Asid propanoik R-C-OH O R-C-X O R-C-OR' O R-C-NR2 O R-C-O O C-R' O carboxylic acid acid halide ester amide acid anhydrideAsid karboksilik Asil halida Amida Asid anhidrida  / / / Ester
  • 39.
    Ikatan Ganda Duadan Ikatan Ganda Tiga| 95 4.6 TERBITAN ASID KARBOKSILIK Terbitan asid karboksilik terdiri daripada asil halida atau asid halida, ester, amida dan asid anhidrida. 4.6.1 Penamaan a) Asil halida atau asid halida, RCOX Asid halida dinamakan dengan mengenal pasti kumpulan asil dahulu dan diikuti halida. Kumpulan asil yang berasal daripada asid karboksilik dinamakan dengan menggantikan akhiran asid ‘–ik’ dengan ‘–il’ atau akhiran asid ‘– kaboksilik’ dengan ‘–karbonil’. b) Ester, RCO2R’ Ester dinamakan dengan mengenal pasti kumpulan alkil yang diikat kepada oksigen dahulu diikuti dengan asid karboksilik, dengan akhiran asid ‘–ik’ digantikan dengan ‘–at’. c) Amida RCONH2 Amida dengan kumpulan ‘–NH2’ yang tidak diganti dinamakan dengan menggantikan akhiran asid ‘–oik’ atau asid ‘– ik’ dengan ‘–amida’, atau menggantikan akhiran asid ‘–karboksilik’ dengan ‘–karboksamida’. Sekiranya atom nitrogen mengalami penukargantian lanjut, sebatian dinamakan dengan mengenal pasti kumpulan gantian dahulu dan diikuti dengan nama induk amida. Kumpulan penukargantian didahului dengan huruf N. O Cl acetyl chloride (from acetic acid) O Cl benzoyl chloride (from benzoic acid) O Cl cyclohexanecarbonyl chloride (from cyclohexanecarboxylic acid) Asetil klorida (daripada asid asetik) Benzoil klorida (daripada asid benzoik) Sikloheksanakarbonil klorida (daripada asid sikloheksanakarboksilik) O O ethyl acetate (ethyl ester of acetic acid) O O O O diethyl malonate (methyl ester of malonic acid) Etil asetat (etil ester asid asetik) Dietil malonat (metil ester asid malonik)
  • 40.
    Ikatan Ganda Duadan Ikatan Ganda Tiga| 96 d) Asid anhidrida Anhidrida simetri asid monokarboksilik dan siklik anhidrida dari asid dikarboksilik yang tidak ditukarganti dinamakan dengan menggantikan perkataan ‘asid’ dengan ‘anhidrida’. Anhidrida yang tidak simetri dinamakan dengan mengikut turutan huruf nama asid dan diikuti dengan anhidrida. 4.6.2 Sintesis Terbitan asid karboksilik, iaitu asil halida, ester, amida dan asid anhidrida disintesis menggunakan cara yang berbeza. a) Asil halida atau asid halida, RCOX Terdapat tiga cara untuk mensintesiskan asil halida menggunakan asid karboksilik. Asid karboksilik boleh bertindak balas dengan tionil klorida, fosforus triklorida atau fosforus pentaklorida untuk menghasilkan asid halida. O NH2 acetamide (from acetic acid) O NH2 hexanamide (from hexanoic acid) O H2N cyclopentanecarboxamide (from cyclopentanecarboxylic acid) O HN N-methylpropanamide O N N,N-diethylcyclohexanecarboxamide Asetamida (daripada asid asetik) Heksanamida (daripada asid heksanoik) Siklopentanakarboksamida (daripada asid siklopentanakarboksilik) N-metilpropanamida N,N-dietilsikloheksanakarboksamida OO O acetic anhydride O O O benzoic anhydrideAsetik anhidrida Benzoik anhidrida OO O acetic propionic anhydrideAsetik propionik anhidrida
  • 41.
    Ikatan Ganda Duadan Ikatan Ganda Tiga| 97 b) Ester, RCO2R’ Terdapat tiga cara untuk mensintesiskan ester menggunakan alkohol. Tindak balas antara alkohol dengan asid karboksilik (tindak balas berbalik dalam kehadiran proton, H+), asid halida atau asid anhidrida akan menghasilkan ester. c) Amida, RCONH2 Amida mempunyai kereaktifan paling rendah antara terbitan-terbitan asid karboksilik. Terdapat dua cara untuk menghasilkan amida menggunakan amina. Amina bertindak balas dengan asid klorida atau dengan asid anhidrida untuk menghasilkan amida. d) Asid anhidrida, RCO2COR’ Tindak balas antara garam natrium karboksilat dengan asid klorida menghasilkan asid anhidrida. R-C-OH O + R'OH R-C-OR' O + H2O R-C-Cl O + R'OH R-C-OR' O + HCl R-C-O-C-R O + R'OH R-C-OR' O + RCOOH O R-C-Cl O + R'NH2 R-C-NHR' O + HCl R-C-O-C-R O + R'NH2 R-C-NHR' O + RCOOH O R-C-O- Na+ O + NaCl O + Cl-C-R' R-C-O-C-R' O O R-C-OH O + SOCl2 R-C-Cl O + SO2 + HCl R-C-OH O + PCl3 R-C-Cl O + P(OH)3 R-C-OH O + PCl5 R-C-Cl O + POCl3 + HCl Tionil klorida Fosforus triklorida Fosforus pentaklorida
  • 42.
    Ikatan Ganda Duadan Ikatan Ganda Tiga| 98 Dalam bidang industri, asetik anhidrida memainkan peranan penting sebagai bahan pemula dalam penghasilan plastik dan fiber. Asetik anhidrida dihasilkan melalui tindak balas dengan asid asetik dalam kehadiran merkuri (II) oksida. 4.6.3 Tindak balas Terbitan asid karboksilik mengalami tindak balas yang berbeza. Antaranya asil halida mengalami tiga jenis tindak balas yang melibatkan penukargantian nukleofilik, pengasilan Friedel-Crafts dan tindak balas penurunan. Ester juga mengalami tiga jenis tindak balas, iaitu penukargantian nukleofilik, tindak balas penurunan dan tindak balas dengan reagen Organologam. Asid anhidrida pula penting dalam tindak balas sintesis untuk mensintesiskan asid karboksilik, ester, amida dan keton aromatik. Amida pula mengalami empat tindak balas kimia, iaitu penukargantian nukleofilik, tindak balas penurunan, tindak balas penyusunan semula Hoffman dan tindak balas dehidrasi. a) Asil halida atau asid halida, RCOX Asil halida atau asid halida adalah paling reaktif berbanding terbitan asid karboksilik yang lain. i. Tindak balas penukargantian nukleofilik ii. Pengasilan Friedel-Crafts Asid klorida bertindak dengan benzena melalui pengasilan Friedel-Crafts untuk menghasilkan keton aromatik. R-C-Cl O + H AlCl3 CR O + HCl R-C-O-C-R' O O HC CH + CH3COOH + 1/2 O2 HgO asetilena Asid asetik Asetik anhidrida R-C-O- Na+ O R-C-OH O R-C-Cl O + :Nu C Nu ClR O R-C-Nu O + HCl Nuleophile = H-OH, H-OR' , H-NH2, H-NHR, H-NR2,Nukleofil
  • 43.
    Ikatan Ganda Duadan Ikatan Ganda Tiga| 99 iii. Tindak balas penurunan Agen penurunan kuat (LiAlH4) bertindak dengan asid klorida untuk menghasilkan alkohol primer. Agen penurunan lemah bertindak dengan asid klorida menghasilkan aldehid. Agen penurunan lemah (litium tri(t- butoksialuminium)) disediakan melalui tindak balas antara LiAlH4 dengan t-butil alkohol. b) Ester i. Tindak balas penukargantian nukleofilik Ester dihidrolisis samada melalui bes akueus atau asid akueus untuk menghasilkan asid karboksilik atau garam karboksilat dan alkohol. Pengesteran trans adalah tindak balas dengan alkohol untuk menghasilkan ester berlainan dalam kehadiran bes. Aminolisis berlaku apabila ester bertindak dengan ammonia dan amina untuk menghasilkan amida. R-C-Cl O + LiAlH4 H2O RCH2OH R-C-Cl O LiAlH4 + (CH3)3COH LiAlH[OC(CH3)3]3 + 3H2 + LiAlH[OC(CH3)3]3 R-C-H O R-C-OR' O + H2O R-C-OH + R'OH O H+ R-C-OR' O + H2O R-C-ONa + R'OH O NaOH R-C-OR' O + R"OH R-C-OR" + R'OH O H+ R-C-OR' O + R"NH2 R-C-NHR" + R'OH O
  • 44.
    Ikatan Ganda Duadan Ikatan Ganda Tiga| 100 ii. Tindak balas penurunan LiAlH4 menukarkan ester kepada alkohol primer. Agen penurunan sederhana, iaitu diisobutilaluminium hidrida (DIBAH) menukarkan ester kepada aldehid. iii. Tindak balas dengan reagen Organologam Reagen Grignard atau organolitium bertindak dua kali dengan ester untuk menghasilkan alkohol tertier (pengecualian untuk ester format– alkohol sekunder). R-C-OR' O RCH2OH + R'OH LiAlH4 H2O R-C-OR' O R-C-H + R'OH O DIBAH H2O R-C-OR' O + R'OH + Mg(OH)X 1) 2R"MgX or R"Li 2) H2O / H+ C R" R"R OH Metal benzoat Benzamida Etil dodekanoat Dodekanal
  • 45.
    Ikatan Ganda Duadan Ikatan Ganda Tiga| 101 c) Asid anhidrida Sifat kimia asid anhidrida (kurang reaktif) serupa dengan asid klorida. Asid anhidrida bertindak dengan air untuk membentuk asid, bertindak dengan alkohol untuk membentuk ester dan bertindak dengan amina untuk membentuk amida. Friedel-Crafts asid anhidrida dengan sebatian aromatik menghasilkan keton aromatik. d) Amida Amida adalah terbitan asid karboksilik yang paling tidak reaktif. Jadi, ia mengalami sedikit tindak balas penukargantian nukleofilik berbanding terbitan asid karboksilik yang lain. i. Tindak balas penukargantian nukleofilik Amida mengalami hidrolisis untuk membentuk asid karboksilik dan amina apabila dipanaskan dalam keadaan bes akueus. R-C-OH O R-C-O-C-R' O O H2O R'OH R'NH2 + RCOOH + RCOOH + RCOOH R-C-OR' O R-C-NHR' O O R-C-O-C-R' O O + AlCl3 C-R R-C-OH O R-C-NH2 O H2O + NH3 + NH4 - R-C-O- Na+ O NaOH Metal benzoat Trifenilmetanol
  • 46.
    Ikatan Ganda Duadan Ikatan Ganda Tiga| 102 ii. Tindak balas penurunan Penurunan amida dengan LiAlH4 menghasilkan amina. iii. Tindak balas penyusunan semula Hoffman Amida bertindak dengan larutan alkali lipohalit untuk menghasilkan amina (kehilangan 1 karbon). Larutan alkali lipohalit disediakan daripada bromin atau klorin dengan NaOH. iv. Dehidrasi amida Agen dehidrasi kuat dehidrasikan amina primer untuk membentuk nitril. Contoh agen dehidrasi adalah fosforus pentoksida, P2O5 dan fosforus oksiklorida, POCl3. 4.7 BENZENA DAN TERBITAN BENZENA Mengikut Michael Faraday, sebatian boleh dipisahkan pada 800C melalui pembakaran sebatian organik. Sebatian juga boleh disintesis melalui pemanasan langsung asid benzoik, iaitu benzin menjadi benzoin dan seterusnya benzena. Analisis kimia menunjukkan bahawa sebatian mempunyai formula empirik, C6H6 dengan jisim molekul 78. Ia juga dikenali sebagai sebatian aromatik (merangkumi terbitan). Antara sumber-sumber semula jadi adalah:  Arang (campuran kompleks) dengan peretakan haba (10000C).  Petroleum (alkana besar) melalui mangkin pada suhu 5000C di bawah tekanan tinggi. R-C-NHR' O 1) LiAlH4 2) H2O R-CH2NHR' R-C-NHR' O Br2 / NaOH R-NHR' R-C-NH2 O POCl3 or P2O5 R-C N N-Metildodekanamida Dodesilmetilamina
  • 47.
    Ikatan Ganda Duadan Ikatan Ganda Tiga| 103 4.7.1 Penamaan Penamaan benzena perlu mengambil kira kedudukan kumpulan penukargantian. Secara am, terdapat tiga jenis penukargantian, iaitu penukargantian mono, dwi dan poli. a) Penukargantian mono Benzena yang digantikan secara mono dinamakan mengikut hidrokarbon yang lain, dengan ‘–benzena’ sebagai nama induk. Benzena penukargantian mono juga mempunyai nama umum yang biasa digunakan. Benzena gantian alkil, kadang-kadang dirujuk sebagai arena, dinamakan dengan cara berlainan bergantung kepada saiz kumpulan alkil (enam atau kurang karbon). Sekiranya gantian alkil adalah lebih besar daripada gelang (melebihi enam karbon), sebatian dinamakan sebagai alkana tertukarganti-fenil. Singkatan kumpulan fenil adalah – Ph atau Φ (Greek phi) atau menggunakan –C6H5. b) Penukargantian dwi Nama umum bagi benzena dwi penukargantian dinamakan menggunakan awalan orto- (o), meta- (m) atau para- (p). Benzena orto-dwi penukargantian mempunyai dua gantian pada kedudukan 1, 2 gelang. Benzena meta-dwi Br NO2 CH2CH2CH3 bromobenzene nitrobenzene propylbenzeneBromobenzena Nitrobenzena Propilbenzena H O OH O O benzaldehyde benzoic acid styrene acetophenoneBenzaldehid Asid benzoik Stirena asetofenon OH OH O 3-phenylpentane 2-phenylethanol 3-phenylpropanoic acid3-fenilpentana 2-feniletanol Asid 3-fenilpropanoik
  • 48.
    Ikatan Ganda Duadan Ikatan Ganda Tiga| 104 penukargantian mempunyai dua gantian pada kedudukan 1, 3 gelang. Benzena para-dwi penukargantian mempunyai dua gantian pada kedudukan 1, 4 gelang. Mengikut IUPAC, penamaan benzena dwi penukargantian adalah melalui sistem nombor dan disusun mengikut turutan huruf. Nama umum bagi benzena penukargantian mono juga boleh digunakan sebagai nama induk. Sesetengah benzena dwi penukargantian juga mempunyai nama umum mereka. c) Penukargantian poli Benzena dengan penukargantian yang melebihi dua dinamakan dengan menomborkan kedudukan setiap gantian untuk mendapatkan nombor yang paling kecil. (p-cresol) 4-methylphenol (m-toluic acid) 3-methylbenzoic acid (o-xylene) 1,2-dimethylbenzene OH OH O (asid m-toluik) asid 3-metil benzoik (o-xilena) 1,2-dimetil benzena 1,2-dichlorobenzene (o-dichlorobenzene) 1,3-dichlorobenzene (m-dichlorobenzene) 1,4-dichlorobenzene (p-dichlorobenzene) Cl Cl Cl Cl Cl Cl 1-bromo-2-ethylbenzene 1-chloro-3-nitrobenzene 1-fluoro-4-iodobenzene Br Cl NO2 I F 1,2-diklorobenzena (o-diklorobenzena) 1,3-diklorobenzena (m-diklorobenzena) 1,4-diklorobenzena (p-diklorobenzena) 1-bromo-2-etilbenzena 1-kloro-3-nitrobenzena 1-floro-4-iodobenzena (p-kresol) 4-metilfenol 4-bromo-1,2-dimethylbenzene 2-chloro-1,4-dinitrobenzene 2,6-dibromophenol Br NO2 O2N Cl Br OH Br 4-bromo-1,2-dimetilbenzena 2-kloro-1,4-dinitrobenzena 2,6-dibromofenol
  • 49.
    Ikatan Ganda Duadan Ikatan Ganda Tiga| 105 4.7.2 Tindak balas Tindak balas benzena terdiri daripada penukargantian elektrofilik, penghalogenan dan pengoksidaan rantai sisi alkil benzena. a) Penukargantian elektrofilik aromatik Elektrofil (E+) bertindak dengan gelang aromatik dan menggantikan salah satu hidrogen. Terdapat lima jenis penukargantian elektrofilik aromatik yang utama, iaitu: i. Penghalogenan ii. Penitratan iii. Pengalkilan Friedel-Crafts iv. Pengasilan Friedel-Crafts v. Pensulfonan i. Penghalogenan ii. Penitratan iii. Pengalkilan Friedel-Crafts iv. Pengasilan Friedel-Crafts + X2 H2SO4 or FeX3 H X + HX halobenzenehalobenzena + HNO3 H NO3 + 2H2O nitrobenzene H2SO4 nitrobenzena + CH3Cl H CH3 + HCl toluene AlCl3 toluena + H + HCl acetophenone AlCl3 H3C Cl O CH3 O asetofenon Asid klorida
  • 50.
    Ikatan Ganda Duadan Ikatan Ganda Tiga| 106 Sifatpendeaktifanbertambah v. Pensulfonan Jenis penukargantian elektrofilik aromatik dan reagen yang digunakan dirumus dalam jadual di bawah. Tindak balas Reagen Mangkin Elektrofilik Penghalogenan Cl2 atau Br2 AlCl3, AlBr3, FeCl3, FeBr3 Cl+, Br+ Penitratan HNO3 H2SO4 NO2 + Pengalkilan Friedel-Crafts RCl AlCl3, H2SO4 R+ Pengasilan Friedel-Crafts RCOCl AlCl3 RC+O Pensulfonan SO3 H2SO4 SO3H+ b) Kesan kumpulan penukarganti dalam gelang aromatik Sesetengah kumpulan penukarganti aktif dalam gelang, menjadikan ia lebih reaktif daripada benzena; sesetengah pula menyahaktifkan gelang, menjadikan ia kurang aktif daripada benzena. Kumpulan penukarganti mengganggu orientasi tindak balas – 3 hasil dwigantian yang berkemungkinan adalah – orto, meta dan para biasanya tidak terbentuk dalam amaun yang setara. Kumpulan penukarganti boleh diklasifkasikan kepada dua kumpulan: i. Orto dan para – pengaktif langsung ii. Meta – pendeaktif langsung Pengarah orto dan para Pengarah meta -NH2 -COR -NHR -CO2R -NR2 -SO3H -OH -CHO -OR -CO2H -NHCOR -CN -C6H5 -NO2 -R -NR2+ X (pendeaktif lemah) Kereaktifan dan orientasi dalam penukargantian elektrofilik aromatik dikawal oleh interaksi kesan induktif dan kesan resonans. Kesan induktif adalah pendermaan elektron melalui ikatan sigma, σ disebabkan keelektronegatifan dan kepolaran ikatan dalam kumpulan berfungsi (Pengarah orto dan para). Kesan resonans adalah pengeluaran elektron + H H2SO4SO3 SO3H benzenesulfonic acidAsid benzenasulfonik Sifatpengaktifanbertambah Pengarah kuat Pengarah sederhana Pengarah lemah Pengarah sederhana
  • 51.
    Ikatan Ganda Duadan Ikatan Ganda Tiga| 107 melalui ikatan π disebabkan pertindanan orbital p pada kumpulan penukarganti dengan orbital p pada gelang aromatik (Pengarah meta). c) Penghalogenan rantai sisi alkil benzena Pembrominan rantai sisi pada kedudukan benzil berlaku apabila alkilbenzena dirawat dengan N-bromosuksinimida (NBS). Radikal bebas wujud antara rantai sisi alkilbenzena dengan halogen dalam kehadiran haba atau cahaya (hv). d) Pengoksidaan rantai sisi alkil benzena Gelang benzena adalah lengai terhadap agen pengoksidaan kuat seperti KMnO4 dan reagen asid kromik. Rantai sisi alkil bertindak dengan agen pengoksidaan dan ditukar kepada kumpulan karbonil –COOH (asid benzoik). O O N Br CCl4 CH2CH2CH3 CHCH2CH3 Br + Cl2 hv CH3 CH2Cl CH3 CH2CH3 CH2CH3H3C KMnO4 KMnO4 KMnO4 COOH COOH COOHHOOC
  • 52.
    Ikatan Ganda Duadan Ikatan Ganda Tiga| 108 Latihan 1. Tidak balas di bawah ialah tindak balas___________ 2. Dalam tindak balas yang diwakili oleh persamaan berikut, X berkemungkinan besar ialah 3. Tindak balas dalam soalan 2 boleh dikelaskan sebagai __________________. 4. Satu sebatian organik mempunyai momen dwikutub. Tindak balas sebatian ini dengan HBr memberikan satu hasil sahaja. Jika sebatian ini juga bertindak balas dengan hidrogen dan paladium pada keadaan biasa, sturuktur yang paling mungkin ialah _______________. 5. a) Satu alkena C4H8 mempunyai tiga isomer. Tuliskan struktur dan nama sistematik bagi tiga-tiga isomer itu. (b) Sebatian (isomer) manakah yang boleh didapati daripada pengontangan 2-metilpropanol? Tuliskan persamaan berimbang penbentukannya. (c) Berikan persamaan tindak balas setiap alkena dalam (a) dengan oksigen dalam kehadiran mangkin Ag panas. Kemudian hasilnya ditindakbalaskan dengan air. 6. Tuliskan persamaan tindak balas penyediaan, (a) Propena daripada 2-bromopropana (b) Propena daripada 1-propanol (c) 2-butena daripada 1-butena (dua langkah) (d) Sikloheksana daripada bromosikloheksana (2 langkah) (e) Propena daripada propana (2 langkah) 7. Berikan persamaan tindak balas siklopentanon dengan: a) CH3CH2MgBr diikuti dengan H2O b) HCN kemudian hidrolisis berasid c) 8. Tuliskan formula struktur bagi produk yang dibentuk apabila propanal bertindak balas dengan reagen berikut: a) NaBH4 dalam NaOH akueus b) C6H5MgBr, kemudian H3O+ c) LiAlH4, kemudian H2O NO2 O2N O2N H2NNH
  • 53.
    Ikatan Ganda Duadan Ikatan Ganda Tiga| 109 9. Berikan tindak balas antara asid oktanoik dengan a) LiAlH4 diikuti dengan H2SO4 b) SOCl2 c) Hasil daripada bahagian (b) dengan metilamina d) Hasil daripada bahagian (b) dengan natrium asetat 10. Berikan hasil utama bagi setiap tindak balas sebatian aromatik di bawah: O a) + CH3CH2CH2CCl b) + Br2 c) + CH3CH2Br 11. Berikan hasil tindak balas berikut: a) + b) + c) + HNO3/H2SO4 AlCl3 AlBr3 CH2CH3 CO2H AlBr3 C – Cl O FeCl3 CH2Cl FeCl3 C2H5
  • 54.
    Ikatan Ganda Duadan Ikatan Ganda Tiga| 110 Jawapan 1. Tindak balas penyingkiran 2. Alkena 3. Tindak balas penambahan 4. 5. (a) A = CH3CH2CH=CH2 1-butena B= CH3CH=CHCH3 2-butena C= (b) C; 2-metilpropena (c) (i) (ii)
  • 55.
    Ikatan Ganda Duadan Ikatan Ganda Tiga| 111 (iii) 6. (a) 2- bromopropana → propena (b) Propanol → propena (c) 1-butena → 2-butena (d) Bromosikloheksana → sikloheksana (e) Propana → propena
  • 56.
    Ikatan Ganda Duadan Ikatan Ganda Tiga| 112 7. a) + CH3CH2MgBr b) c) + 8. a) CH3CH2CH2OH b) C6H5CHOHCH2CH3 c) CH3CH2CH2OH O 9. a) CH3(CH2)6C – OH CH3(CH2)6CH2OH O O b) CH3(CH2)6C – OH CH3(CH2)6C – Cl + SO2 + HCl O O c) CH3(CH2)6C – Cl + H2NCH3 CH3(CH2)6C – NHCH3 + HCl O O O O d) CH3(CH2)6C – Cl + CH3C – ONa CH3(CH2)6C CCH3 + NaCl O O CH2CH3BrMgO H2O CH2CH3HO O CNHO HCN H2O/H+ CO2HHO O NO2 O2N O2N H2NNH =N-NH NO2 O2N O2N LiAlH4 H2SO4 SOCl2
  • 57.
    Ikatan Ganda Duadan Ikatan Ganda Tiga| 113 10. a) b) + c) O 11. a) C + HCl b) CH2 c) + CCH2CH2CH3 O CH2CH3 Br Br CH2CH3 CO2H CH2CH3 SO3H C2H5 C2H5 SO3H
  • 58.
    Ikatan Ganda Duadan Ikatan Ganda Tiga| 114 Rujukan Smith, J. G. (2008). Organic Chemistry (2nd. ed.). New York: Mc Graw Hill. Bruice, P. Y. (2011). Organic Chemistry (6th. ed.). New Jersey: Pearson Educational Hall. Solomon, T. W. G. (2008). Organic Chemistry (9th. ed.). New York: John Wiley & Sons. McMurry, J. (2006). Organic Chemistry (6th. ed.): USA: Brooks/Cole Publishing Company.