Craig Emter, PhD
Assistant Professor,
University of Missouri,
Columbia
Robert Hamlin, PhD
DVM, DACVIM, DSPS
QTest Labs and The Ohio
State University
Timothy Hacker, PhD
Director,
Cardiovascular Physiology
Core Facility UW-Madison
Filip Konecny, PhD
Applications Scientist,
Transonic Systems
InsideScientific is an online educational environment designed
for life science researchers. Our goal is to aid in the sharing and
distribution of scientific information regarding innovative
technologies, protocols, research tools and laboratory services.
Integrating Coronary
Vascular & Myocardial
Function in Mini-swine
with Heart Failure
Craig A. Emter, Ph.D.
Assistant Professor
University of Missouri, Columbia
Scientific Application
• I am interested in evaluating the impact of exercise
and novel pharmacological strategies to assess
their efficacy in treating HFpEF
• My laboratory uses an aortic-banding model in
mini-pigs that displays numerous characteristics of
heart failure with preserved ejection fraction
including the following…
① Depressed LV Contractile Reserve
② Diastolic Dysfunction
③ LV Fibrosis
④ LV Hypertrophy
⑤ Increased BNP levels
⑥ Impaired LV Bioenergetics
Scientific Application
Classic treatment strategies
utilized for heart failure patients
with resting systolic dysfunction
do not improve outcomes for
HFpEF patients
Why do we care?
In the present study, we tested
two hypotheses in treadmill
trained aortic-banded Yucatan
miniature swine:
① Chronic low-intensity interval training
preserves normal myocardial oxygen
supply/demand balance
② Training-dependent attenuation of LV
fibrotic remodeling improves
diastolic function
Scientific Study
① Pressure-Volume loops
② Echocardiography
③ Coronary blood flow
④ Myocardial blood gas
PV loops are essential to providing a comprehensive
examination of both systolic & diastolic function in vivo
They provide key measures allowing my lab to assess the
functional integration of the myocardium, blood flow, and
metabolism
What methods did we use?
Brachiocephalic Artery
Band
Descending Aorta
Ascending Aorta
Heart
Aortic-Banding Location and Hemodynamics
Coronary Flow
Probe (LAD)
P-V Loop Catheter
(apical insertion)
Custom Venous
Catheter
Here we use the P-V loop to
integrate blood flow &
metabolism
0
10
20
30
40
50
60
70
80
90
100Untwisting-PeakGlobalE
RotationRate(degree/sec) CON
HF
HF-TR
y = -0.3286x + 102.37
R = -0.45
P = 0.05
0
20
40
60
80
100
120
0 20 40 60 80 100
Untwisting-PeakGlobalE
RotationRate(degree/sec)
tau Glantz (msec)
CON
HF
HF-TR
y = -0.3131x + 102.78
R = -0.61
P < 0.05
0
20
40
60
80
100
120
0 50 100 150
Untwisting-PeakGlobalE
RotationRate(degree/sec)
LVESV (mL)
*
Marshall K D et al. J Appl Physiol 2013;114:131-147
Here we use P-V loops to
integrate diastolic function &
LV volumes with ultrasound
exercise
exercise
Here we use the P-V loop to assess LV contractile reserve
① Chronic low-intensity interval exercise training
prevented diastolic impairment assessed by
multiple integrated measures (pressure, volume,
ultrasound)
② Chronic low-intensity interval exercise training
improved cardiac efficiency
③ Chronic low-intensity interval exercise training
preserved LV systolic functional reserve
What were we able to conclude?
PV loops allowed us to integrate
functional and hemodynamic data
from multiple methodologies to
provide a comprehensive look into
global cardiovascular coupling in a
large animal setting of heart failure
Meaningful results…
PV loops are essential to providing a
comprehensive examination of both systolic &
diastolic function in vivo and provide key measures
allowing my lab to assess the functional integration
of the myocardium, blood flow, and metabolism…
What is the lab doing next?
We’re currently planning to examine exercise of different intensities and if exercise
benefits can are preserved in the presence of some clinical therapies that have recently
seen an increase in use for heart failure patients…
Summary & Next Steps
What are the
properties of
this compound?
Robert Hamlin, PhD
DVM, DACVIM, DSPS
QTest Labs and The
Ohio State University
Global Concepts and Objectives
1. All properties affected by a test article that may
translate to morbidity and/or mortality must be
explored to protect patients (lives) and the
manufacturer's reputation
2. Determine potential therapeutic and/or harmful
effects of test articles; determine putative
mechanism(s) of action
1. Electrocardiography and cardiac electrography (recording from the heart itself)
including electrophysiological testing with programmed electrical stimulation
2. Recording of pressure pulses and their derivatives from all cardiac chambers
using fluid-filled and solid state devices
3. Recording of cardiac output and regional blood flows and vascular resistances
4. Measuring myocardial contractility and both static and dynamic ease of filling
5. Calculating function of high- and low-pressure baroreceptors
6. Calculating venous volume and reactivity
7. Quantifying heart rate variability and other expressions of autonomic tone
8. Myocardial energetics: determinants of oxygen demand and oxygen delivery
Essential Measurements
Remember…
A "good" animal model shares, with man, the physiology
and pathophysiology of target diseases, and molecular
targets of the test articles.
Different models may be required for differing targets;
variability of species and/or strains is essential to optimize
chances of having appropriate polymorphisms of targets.
"One man is not even a good surrogate for another!"
What properties does this drug have?
dose
Inotrope?
What properties does this drug have?
Arteriolar
Vasoconstrictor,
Vasodilator?
Energetic Imbalance or Balance?
Chronotrope? Lusitrope?
Arterial
Vasoconstrictor,
Vasodilator?
How about dLVP/dt?
If you aren’t sure, what else do
you want to know?
Remember… a change in any
one of these may kill!
What
more do
you
know
now?
The Value of PV Loops
• Two families of PV loops
were generated during
heterometric
autoregulation (temporary
decreased LV EDV)
• Fit ESPVR
• Slope of LV filling relates
with stiffness – the
reciprocal of lusitrope
Now what do we know?
Pressure(mmHg)
Volume (uL)
Inotrope?
Arteriolar
Vasoconstrictor,
Vasodilator?
Energetic Imbalance or Balance?
Chronotrope? Lusitrope?
Arterial
Vasoconstrictor,
Vasodilator?
Pressure(mmHg)
Volume (uL)
The Value of PV Loops
Inotrope
Class of Drug: Inodilator!
Arteriolar
Vasodilator
Energetic Balance
Chronotrope Lusitrope
Arterial
Vasoconstrictor
Stroke Volume
Pressure(mmHg)
Volume (uL)
Preload
• Quantifying inotrope and lusitrope (dynamic and static).
• Measuring stroke volume and cardiac output, end-
diastolic volume and end-systolic volume
• Quantifying aortic and mitral regurgitation, shunt through
• interventricular septal defect, quantifying dilated and
hyper-trophic cardiomyopathy
• Calculating determinants of myocardial oxygen
consumption
The Value of PV Loops
The Bigger Picture in Pharma
• PV loop data can affect your decision(s) to advance test
articles.
• Top administrators, clinical investigators, and venture
capitalists want it.
• Don’t subjects or patients deserve it?
• What does it require
(technology, surgical competency, time & effort)
Time = 2 days ; Cost < $18,000/£12,000
So, is this a Good or Bad investment?
The Utility of
Right Ventricular
PV LoopsTimothy Hacker, PhD
Director of Cardiovascular
Physiology Core Facility
University of Wisconsin-
Madison
Pulmonary Arterial Hypertension (PAH)
• Marked by arterial
remodeling (stiffening) and
occlusion (small distal
arterioles)
• Median survival of PAH is
2.8 years
• Current treatment targets
vascular changes, but
outcomes are poor.
Image from J Am Coll Cardio 2013:62(25_s)
• What are the molecular
mechanisms that
govern the transition
from RV adaptation to
RV maladaptation and
failure in PAH?
Critical Knowledge Gap
Develop a model of PAH
that transitions from
compensatory RV
remodeling to right heart
failure
Measure PV Loops
Develop a mathematical
model to examine the
RV/pulmonary vascular
interactions
Methods…
1. Mice
– Normobaric hypoxia (10% oxygen) for 14, 21 or 28 days
– Treated with SUGEN (SU5416, Sigma) (20 mg/Kg, IP once weekly)
2. Hemodymanics
– Right ventricular pressure-volume analysis
3. Echocardiography
– Wall thickness, tricuspid regurgitation, pulmonary artery blood velocity
4. Ex vivo
– Arterial viscoelastic measurements
– Isolated myocyte cross bridge kinetics
0
10
20
30
40
50
60
0 10 20 30 40 50
Pressure(mmHg)
Volume (µL)
Normoxia
28 HySu
Right Ventricular Pressure-Volume Loops
0.0
0.5
1.0
1.5
2.0
2.5
3.0
3.5
4.0
21% O2 8% O2
Ees(mmHg/µl)
Normoxia
14 HySu
21 HySu
28 HySu
0
5
10
15
20
25
30
35
40
45
21% O2 8% O2
Preloadrecruitablestrokework
(mmHg)
Normoxia
14 HySu
21 HySu
28 HySu
0
500
1000
1500
2000
2500
3000
3500
4000
4500
5000
21% O2 8
dP/dtmax(mmHg/s)
Normoxia
14 HySu
21 HySu
28 HySu
A B C
*
*
*
20
25
30
35
40
45
50
55
60
65
70
21% O2 8% O2
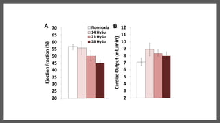
EjectionFraction(%)
Normoxia
14 HySu
21 HySu
28 HySu
2
3
4
5
6
7
8
9
10
11
12
21% O2 8% O2
CardiacOutput(mL/min)
Normoxia
14 HySu
21 HySu
28 HySu
A B
0.0
0.2
0.4
0.6
0.8
1.0
1.2
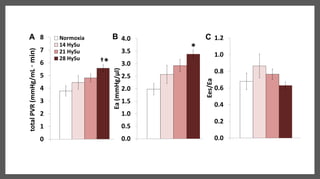
21% O2
Ees/Ea
Normoxia
14 HySu
21 HySu
28 HySu
0
1
2
3
4
5
6
7
8
21% O2 8% O2
totalPVR(mmHg/mL·min)
Normoxia
14 HySu
21 HySu
28 HySu
A
†*
0.0
0.5
1.0
1.5
2.0
2.5
3.0
3.5
4.0
21% O2 8% O2
Ea(mmHg/µl)
Normoxia
14 HySu
21 HySu
28 HySu
B
*
C
Discussion
• Only PV analysis shows when the RV starts to fail
– PV analysis shows an initial increase in contractility (Ees,
PRSW), then decreases
– Initial increases in ventricular vascular coupling (Ees/Ea) then
decreases
• Other measurements do not show the transition
– Continual increase in RV pressure
– Continual decline in ejection fraction
– Continual increase in RV mass
– By Echo
» No changes in tricuspid regurgitation
» Continual increases in RV wall thickness
» Continual increases in PA velocity acceleration
Normoxia 14 HySu 21 HySu 28 HySu
Discussion
Mathematical modeling
• Of the 26 different inputs, most gathered from the PV data, a significant increase in the stiffness of the right free wall must
be added to the above model to make it work as compared to the value at 14 or 21 days
• May be due to the increased RV collagen accumulation found experimentally Mathematical
Front Physiol. 2013
Dec 11;4:355
Summary
PV loops are critical to determining the change
from compensated to decompensated RV function
Echocardiography did not have a similar
delineation
Next Steps: Compare global function by PV data to
ex-vivo vascular and isolated myocyte changes
Synergy of
Pressure-Volume
Technology with
Left Ventricular
Assisted Devices
Filip Konecny, DVM PhD
Application Scientist
Transonic
Essential Parts:
1. pump
2. controller
3. tubing carrying blood out of heart
chamber(s) to controller
4. tubing carrying blood to artery(ies)
5. power source
What is a Ventricular Assist Device (VAD)?
Types:
• Continuous flow & Pulsatile flow
• LVAD (LV to aorta or artery ; e.g. Fem. Subclavian)
• RVAD (RV to PA; only short term)
• Bi VAD or TAH (total artificial heart; replaces both
chambers with pumps )
VADs based on placement:
• percutaneous: pump and power source outside body
• implantable
• mobile
When VAD is used?
• peri or post surgery e.g. (post-cardiotomy, arrhythmias)
• bridge to transplant
• destination therapy
What is a Ventricular Assist Device (VAD)?
There are two broad research divisions:
1. Pre-clinical testing: early stage testing to characterize the device and
optimize performance
2. Post-clinical testing: evaluation of approved devices for continuous
improvement and study in specific disease models
In both cases, the main objective is to study the following:
• ventricle unloading of injured myocardium
• sustained end-organ perfusion
• blood oxygenation and diuresis
Global Challenge and Objectives
GOAL IS BALANCED HEMODYNAMIC SUPPORT WITH MINIMAL HEART ENERGY DEMAND
Systems to monitor LVAD
1. Flow Probe  in & outflow measurements
2. Pressure Catheters  central & peripheral systems
3. Swan-Ganz  approximate CO and pressures
(CVP, RAP, RVP, PAP, and PAOP or PCWP)
4. EKG  valve function & timing
5. Continuous PV Loops  real-time hemodynamics
and load-independent measures of function
You are about to influence
hemodynamic parameters –
it is warranted to monitor central and
peripheral pressure and volume to
prevent suction on the system and/or
blood stasis and congestion.
LVAD Challenges
Ideally a VAD provides perfect balance -- in reality, resulting hemodynamics will fall
somewhere between “under-accomplished” and “excessive” support, and will vary
depending on heart and device function…
Inadequate
Unloading
Ao Regurgitation,
haemolysis,
thrombosis, infection,
LVAD failure
Excessive
Unloading
Possible suction,
may lead to post
LVAD right HF
Balanced
Condition
encourage cardiac
recovery, decrease
apoptosis, reduce
infarct size
PV Loops: Disease Progression to LVAD
• Total CO *
• ESP (mmHg)
• EDV
• SV (ml)
• SW (Joule)
• ESP (BSL>Injury>Unloaded)
• SV (BSL>Injury>Unloaded)
• EDV (Injury>Unloaded>BSL)
• SW (BSL>Injury>Unloaded)
LV Volume (ml)
LVpressure(mmHg)
Post
ACUTE
injury
BASELINE
UNLOADED LV with LVAD
Not
unloaded
FAILING
*sum of native cardiac and LVAD, based on position of suction (unloading) cannula
* PVA by quadratic fit (Joule)
Volume (ml)
Pressure(mmHg)PV Loops: Disease Progression to LVAD
•PVA (MVO2)
•Post-injury>BSL>Unloaded
Seminar Summary
For the HFpEF, PV loops are essential for interrogating both
systolic and diastolic function
PV loops allow us to elucidate complex drug interactions
through load independent measurements
For the right heart, PV loops provide insight into functional
compensation through various stages of pulmonary distress
Through transient load restriction and cycle to cycle
assessment, LVAD testing can be improved
Seminar Resources
Slide-Deck and Recording for Review
Question & Answer Report
Five Part Pressure-Volume eBook Series
Technology and Theory
Equipment Needs & Protocol Considerations
Application Overviews
Detailed Surgical Guides
Data Analysis Review
*over 100 pages of PV Loop application and technology information
Thank you for taking part in this event. We encourage all attendees to
register at www.insidescientific.com for notifications about future webinars.
Improve PV Loop Results by Heating & Monitoring During Surgery
by Indus Instruments
Wednesday, May 14th @ 11AM EST
REGISTER FOR FREE

Hemodynamic Assessment Series by Transonic -- Part 1: PV Loop Case Study

  • 2.
    Craig Emter, PhD AssistantProfessor, University of Missouri, Columbia Robert Hamlin, PhD DVM, DACVIM, DSPS QTest Labs and The Ohio State University Timothy Hacker, PhD Director, Cardiovascular Physiology Core Facility UW-Madison Filip Konecny, PhD Applications Scientist, Transonic Systems
  • 3.
    InsideScientific is anonline educational environment designed for life science researchers. Our goal is to aid in the sharing and distribution of scientific information regarding innovative technologies, protocols, research tools and laboratory services.
  • 4.
    Integrating Coronary Vascular &Myocardial Function in Mini-swine with Heart Failure Craig A. Emter, Ph.D. Assistant Professor University of Missouri, Columbia
  • 5.
    Scientific Application • Iam interested in evaluating the impact of exercise and novel pharmacological strategies to assess their efficacy in treating HFpEF • My laboratory uses an aortic-banding model in mini-pigs that displays numerous characteristics of heart failure with preserved ejection fraction including the following…
  • 6.
    ① Depressed LVContractile Reserve ② Diastolic Dysfunction ③ LV Fibrosis ④ LV Hypertrophy ⑤ Increased BNP levels ⑥ Impaired LV Bioenergetics Scientific Application
  • 7.
    Classic treatment strategies utilizedfor heart failure patients with resting systolic dysfunction do not improve outcomes for HFpEF patients Why do we care?
  • 8.
    In the presentstudy, we tested two hypotheses in treadmill trained aortic-banded Yucatan miniature swine: ① Chronic low-intensity interval training preserves normal myocardial oxygen supply/demand balance ② Training-dependent attenuation of LV fibrotic remodeling improves diastolic function Scientific Study
  • 9.
    ① Pressure-Volume loops ②Echocardiography ③ Coronary blood flow ④ Myocardial blood gas PV loops are essential to providing a comprehensive examination of both systolic & diastolic function in vivo They provide key measures allowing my lab to assess the functional integration of the myocardium, blood flow, and metabolism What methods did we use?
  • 10.
    Brachiocephalic Artery Band Descending Aorta AscendingAorta Heart Aortic-Banding Location and Hemodynamics
  • 11.
    Coronary Flow Probe (LAD) P-VLoop Catheter (apical insertion) Custom Venous Catheter
  • 12.
    Here we usethe P-V loop to integrate blood flow & metabolism
  • 13.
    0 10 20 30 40 50 60 70 80 90 100Untwisting-PeakGlobalE RotationRate(degree/sec) CON HF HF-TR y =-0.3286x + 102.37 R = -0.45 P = 0.05 0 20 40 60 80 100 120 0 20 40 60 80 100 Untwisting-PeakGlobalE RotationRate(degree/sec) tau Glantz (msec) CON HF HF-TR y = -0.3131x + 102.78 R = -0.61 P < 0.05 0 20 40 60 80 100 120 0 50 100 150 Untwisting-PeakGlobalE RotationRate(degree/sec) LVESV (mL) * Marshall K D et al. J Appl Physiol 2013;114:131-147 Here we use P-V loops to integrate diastolic function & LV volumes with ultrasound exercise exercise
  • 14.
    Here we usethe P-V loop to assess LV contractile reserve
  • 15.
    ① Chronic low-intensityinterval exercise training prevented diastolic impairment assessed by multiple integrated measures (pressure, volume, ultrasound) ② Chronic low-intensity interval exercise training improved cardiac efficiency ③ Chronic low-intensity interval exercise training preserved LV systolic functional reserve What were we able to conclude?
  • 16.
    PV loops allowedus to integrate functional and hemodynamic data from multiple methodologies to provide a comprehensive look into global cardiovascular coupling in a large animal setting of heart failure Meaningful results…
  • 17.
    PV loops areessential to providing a comprehensive examination of both systolic & diastolic function in vivo and provide key measures allowing my lab to assess the functional integration of the myocardium, blood flow, and metabolism… What is the lab doing next? We’re currently planning to examine exercise of different intensities and if exercise benefits can are preserved in the presence of some clinical therapies that have recently seen an increase in use for heart failure patients… Summary & Next Steps
  • 18.
    What are the propertiesof this compound? Robert Hamlin, PhD DVM, DACVIM, DSPS QTest Labs and The Ohio State University
  • 19.
    Global Concepts andObjectives 1. All properties affected by a test article that may translate to morbidity and/or mortality must be explored to protect patients (lives) and the manufacturer's reputation 2. Determine potential therapeutic and/or harmful effects of test articles; determine putative mechanism(s) of action
  • 20.
    1. Electrocardiography andcardiac electrography (recording from the heart itself) including electrophysiological testing with programmed electrical stimulation 2. Recording of pressure pulses and their derivatives from all cardiac chambers using fluid-filled and solid state devices 3. Recording of cardiac output and regional blood flows and vascular resistances 4. Measuring myocardial contractility and both static and dynamic ease of filling 5. Calculating function of high- and low-pressure baroreceptors 6. Calculating venous volume and reactivity 7. Quantifying heart rate variability and other expressions of autonomic tone 8. Myocardial energetics: determinants of oxygen demand and oxygen delivery Essential Measurements
  • 21.
    Remember… A "good" animalmodel shares, with man, the physiology and pathophysiology of target diseases, and molecular targets of the test articles. Different models may be required for differing targets; variability of species and/or strains is essential to optimize chances of having appropriate polymorphisms of targets. "One man is not even a good surrogate for another!"
  • 22.
    What properties doesthis drug have? dose
  • 23.
    Inotrope? What properties doesthis drug have? Arteriolar Vasoconstrictor, Vasodilator? Energetic Imbalance or Balance? Chronotrope? Lusitrope? Arterial Vasoconstrictor, Vasodilator?
  • 24.
    How about dLVP/dt? Ifyou aren’t sure, what else do you want to know? Remember… a change in any one of these may kill!
  • 25.
  • 26.
    The Value ofPV Loops • Two families of PV loops were generated during heterometric autoregulation (temporary decreased LV EDV) • Fit ESPVR • Slope of LV filling relates with stiffness – the reciprocal of lusitrope Now what do we know? Pressure(mmHg) Volume (uL)
  • 27.
    Inotrope? Arteriolar Vasoconstrictor, Vasodilator? Energetic Imbalance orBalance? Chronotrope? Lusitrope? Arterial Vasoconstrictor, Vasodilator? Pressure(mmHg) Volume (uL) The Value of PV Loops
  • 28.
    Inotrope Class of Drug:Inodilator! Arteriolar Vasodilator Energetic Balance Chronotrope Lusitrope Arterial Vasoconstrictor Stroke Volume Pressure(mmHg) Volume (uL) Preload
  • 29.
    • Quantifying inotropeand lusitrope (dynamic and static). • Measuring stroke volume and cardiac output, end- diastolic volume and end-systolic volume • Quantifying aortic and mitral regurgitation, shunt through • interventricular septal defect, quantifying dilated and hyper-trophic cardiomyopathy • Calculating determinants of myocardial oxygen consumption The Value of PV Loops
  • 30.
    The Bigger Picturein Pharma • PV loop data can affect your decision(s) to advance test articles. • Top administrators, clinical investigators, and venture capitalists want it. • Don’t subjects or patients deserve it? • What does it require (technology, surgical competency, time & effort) Time = 2 days ; Cost < $18,000/£12,000 So, is this a Good or Bad investment?
  • 31.
    The Utility of RightVentricular PV LoopsTimothy Hacker, PhD Director of Cardiovascular Physiology Core Facility University of Wisconsin- Madison
  • 32.
    Pulmonary Arterial Hypertension(PAH) • Marked by arterial remodeling (stiffening) and occlusion (small distal arterioles) • Median survival of PAH is 2.8 years • Current treatment targets vascular changes, but outcomes are poor.
  • 33.
    Image from JAm Coll Cardio 2013:62(25_s) • What are the molecular mechanisms that govern the transition from RV adaptation to RV maladaptation and failure in PAH? Critical Knowledge Gap
  • 34.
    Develop a modelof PAH that transitions from compensatory RV remodeling to right heart failure Measure PV Loops Develop a mathematical model to examine the RV/pulmonary vascular interactions
  • 35.
    Methods… 1. Mice – Normobarichypoxia (10% oxygen) for 14, 21 or 28 days – Treated with SUGEN (SU5416, Sigma) (20 mg/Kg, IP once weekly) 2. Hemodymanics – Right ventricular pressure-volume analysis 3. Echocardiography – Wall thickness, tricuspid regurgitation, pulmonary artery blood velocity 4. Ex vivo – Arterial viscoelastic measurements – Isolated myocyte cross bridge kinetics
  • 36.
    0 10 20 30 40 50 60 0 10 2030 40 50 Pressure(mmHg) Volume (µL) Normoxia 28 HySu Right Ventricular Pressure-Volume Loops
  • 37.
    0.0 0.5 1.0 1.5 2.0 2.5 3.0 3.5 4.0 21% O2 8%O2 Ees(mmHg/µl) Normoxia 14 HySu 21 HySu 28 HySu 0 5 10 15 20 25 30 35 40 45 21% O2 8% O2 Preloadrecruitablestrokework (mmHg) Normoxia 14 HySu 21 HySu 28 HySu 0 500 1000 1500 2000 2500 3000 3500 4000 4500 5000 21% O2 8 dP/dtmax(mmHg/s) Normoxia 14 HySu 21 HySu 28 HySu A B C * * *
  • 38.
    20 25 30 35 40 45 50 55 60 65 70 21% O2 8%O2 EjectionFraction(%) Normoxia 14 HySu 21 HySu 28 HySu 2 3 4 5 6 7 8 9 10 11 12 21% O2 8% O2 CardiacOutput(mL/min) Normoxia 14 HySu 21 HySu 28 HySu A B
  • 39.
    0.0 0.2 0.4 0.6 0.8 1.0 1.2 21% O2 Ees/Ea Normoxia 14 HySu 21HySu 28 HySu 0 1 2 3 4 5 6 7 8 21% O2 8% O2 totalPVR(mmHg/mL·min) Normoxia 14 HySu 21 HySu 28 HySu A †* 0.0 0.5 1.0 1.5 2.0 2.5 3.0 3.5 4.0 21% O2 8% O2 Ea(mmHg/µl) Normoxia 14 HySu 21 HySu 28 HySu B * C
  • 40.
    Discussion • Only PVanalysis shows when the RV starts to fail – PV analysis shows an initial increase in contractility (Ees, PRSW), then decreases – Initial increases in ventricular vascular coupling (Ees/Ea) then decreases • Other measurements do not show the transition – Continual increase in RV pressure – Continual decline in ejection fraction – Continual increase in RV mass – By Echo » No changes in tricuspid regurgitation » Continual increases in RV wall thickness » Continual increases in PA velocity acceleration Normoxia 14 HySu 21 HySu 28 HySu
  • 41.
    Discussion Mathematical modeling • Ofthe 26 different inputs, most gathered from the PV data, a significant increase in the stiffness of the right free wall must be added to the above model to make it work as compared to the value at 14 or 21 days • May be due to the increased RV collagen accumulation found experimentally Mathematical Front Physiol. 2013 Dec 11;4:355
  • 42.
    Summary PV loops arecritical to determining the change from compensated to decompensated RV function Echocardiography did not have a similar delineation Next Steps: Compare global function by PV data to ex-vivo vascular and isolated myocyte changes
  • 43.
    Synergy of Pressure-Volume Technology with LeftVentricular Assisted Devices Filip Konecny, DVM PhD Application Scientist Transonic
  • 44.
    Essential Parts: 1. pump 2.controller 3. tubing carrying blood out of heart chamber(s) to controller 4. tubing carrying blood to artery(ies) 5. power source What is a Ventricular Assist Device (VAD)? Types: • Continuous flow & Pulsatile flow • LVAD (LV to aorta or artery ; e.g. Fem. Subclavian) • RVAD (RV to PA; only short term) • Bi VAD or TAH (total artificial heart; replaces both chambers with pumps )
  • 45.
    VADs based onplacement: • percutaneous: pump and power source outside body • implantable • mobile When VAD is used? • peri or post surgery e.g. (post-cardiotomy, arrhythmias) • bridge to transplant • destination therapy What is a Ventricular Assist Device (VAD)?
  • 46.
    There are twobroad research divisions: 1. Pre-clinical testing: early stage testing to characterize the device and optimize performance 2. Post-clinical testing: evaluation of approved devices for continuous improvement and study in specific disease models In both cases, the main objective is to study the following: • ventricle unloading of injured myocardium • sustained end-organ perfusion • blood oxygenation and diuresis Global Challenge and Objectives GOAL IS BALANCED HEMODYNAMIC SUPPORT WITH MINIMAL HEART ENERGY DEMAND
  • 47.
    Systems to monitorLVAD 1. Flow Probe  in & outflow measurements 2. Pressure Catheters  central & peripheral systems 3. Swan-Ganz  approximate CO and pressures (CVP, RAP, RVP, PAP, and PAOP or PCWP) 4. EKG  valve function & timing 5. Continuous PV Loops  real-time hemodynamics and load-independent measures of function
  • 48.
    You are aboutto influence hemodynamic parameters – it is warranted to monitor central and peripheral pressure and volume to prevent suction on the system and/or blood stasis and congestion.
  • 49.
    LVAD Challenges Ideally aVAD provides perfect balance -- in reality, resulting hemodynamics will fall somewhere between “under-accomplished” and “excessive” support, and will vary depending on heart and device function… Inadequate Unloading Ao Regurgitation, haemolysis, thrombosis, infection, LVAD failure Excessive Unloading Possible suction, may lead to post LVAD right HF Balanced Condition encourage cardiac recovery, decrease apoptosis, reduce infarct size
  • 50.
    PV Loops: DiseaseProgression to LVAD • Total CO * • ESP (mmHg) • EDV • SV (ml) • SW (Joule) • ESP (BSL>Injury>Unloaded) • SV (BSL>Injury>Unloaded) • EDV (Injury>Unloaded>BSL) • SW (BSL>Injury>Unloaded) LV Volume (ml) LVpressure(mmHg) Post ACUTE injury BASELINE UNLOADED LV with LVAD Not unloaded FAILING *sum of native cardiac and LVAD, based on position of suction (unloading) cannula
  • 51.
    * PVA byquadratic fit (Joule) Volume (ml) Pressure(mmHg)PV Loops: Disease Progression to LVAD •PVA (MVO2) •Post-injury>BSL>Unloaded
  • 52.
    Seminar Summary For theHFpEF, PV loops are essential for interrogating both systolic and diastolic function PV loops allow us to elucidate complex drug interactions through load independent measurements For the right heart, PV loops provide insight into functional compensation through various stages of pulmonary distress Through transient load restriction and cycle to cycle assessment, LVAD testing can be improved
  • 53.
    Seminar Resources Slide-Deck andRecording for Review Question & Answer Report Five Part Pressure-Volume eBook Series Technology and Theory Equipment Needs & Protocol Considerations Application Overviews Detailed Surgical Guides Data Analysis Review *over 100 pages of PV Loop application and technology information
  • 54.
    Thank you fortaking part in this event. We encourage all attendees to register at www.insidescientific.com for notifications about future webinars. Improve PV Loop Results by Heating & Monitoring During Surgery by Indus Instruments Wednesday, May 14th @ 11AM EST REGISTER FOR FREE