Chemical KineticsStudy of speed with which a chemical reaction occurs and the factors affecting that speedProvides information about the feasibility of a chemical reactionProvides information about the time it takes for a chemical reaction to occurProvides information about the series of elementary steps which lead to the formation of product
Rate Data for A  +  B -> C
A  +  B -> CCAB
The Rate of a Chemical ReactionThe speed of a reaction can be examined by the decrease in reactants or the increase in products.a A  + b B  -> c C  +  d  DWhere m and n are determined experimentally, and not necessarilyEqual to the stiochiometry of the reaction
Reaction A -> 2 BAABBBBABBBBAAABBBBAAABBBBABBBB2222=6.022 x 10 moleculesB6.022 x 10 molecules=Ain a 1.00 L containerin a 1.00 Liter container1 mol/L2 mol/L
Average RateRate of A disappearing isLet’s suppose that after 20 seconds ½ half of A disappears.Then And Rate of B appearing is Then
Average Rate Law for the General Equationa A + b B -> c C  +  d DFor Example:N2O5 (g)  ->  2 NO2 (g)  +  ½ O2 (g)
Determination of the Rate EquationDetermined ExperimentallyCan be obtained by examining the initial rate after about 1% or 2% of the limiting reagent has been consumed.
Consider the Reaction:CH3CH2CH2CH2Cl (aq)   +  H2O (l)   ->  CH3CH2CH2CH2OH (aq)   +   HCl (aq)
Average Rates,
Average Rates,
Average Rates,
Average Rates,
Instantaneous Rate or initial rate at t=0 sInstantaneous Rate at t = 500 s
Order of ReactionZero order –independent of the concentration of the reactants, e.g, depends on lightFirst order - depends on a step in the mechanism that is unimolecularPseudo first order reaction – one of the reactants in the rate determining step is the solventSecond order – depends on a step in the mechanism that is bimolecularRarely third order – depends on the step in the mechanism that is termolecular
Data from the hydrolysis of n-butyl chloride
IF Zero Order
Therefore, the reaction is not zero order
If Second Order
Therefore, the reaction is not second order
IF First Order Reaction
First Order Plot
First Order Plot
Slope
Slope
Rate of the Reaction
For the ReactionN2O5 (g)  ->  2 NO2 (g)  +  ½ O2 (g)The rate can be used to explain the mechanism
(1)	Slow Step(2)	Fast Step
Sum of the two steps:N2O5    ->   2 NO2   +  ½  O2or2 N2O5    ->   4 NO2   +   O2
ApplicationMechanism of a Chemical Reaction(a)Suggest a possible mechanism forNO2 (g) +  CO (g)  -> NO (g)  +  CO2 (g)Given that (b)Suggest a possible mechanism for2 NO2 (g) +  F2 (g)  -> 2 NO2F (g)Given that
Factors Affecting the Rate of a Chemical ReactionThe Physical State of MatterThe Concentration of the ReactantsTemperatureCatalyst
For A Reaction to OccurMolecules Must CollideMolecules must have the Appropriate OrientationMolecules must have sufficient energy to overcome the energy barrier to the reaction-Bonds must break and bonds must form
A Second Order Reaction
Rate Constant “k”Must be determined experimentallyIts value allows one to find the reaction rate for a new set of concentrations
The following data were collected for the rate of the reaction Between A and B, A + B -> C , at 25oC.  Determine the rate law for the reaction and calculate k.
From Experiments 1 and 2Solution A:Divide equation (1) into equation (2)
Solution B:Subtract equation (2) from equation (1)
From Experiments 4 and 5Solution A:Divide equation (1) into equation (2)
Solution B:Subtract equation (2) from equation (1)
Rate Constant k
Rate Constant kFrom Experiment 3
Rate Constant kFrom Experiment 1
Your Understanding of this ProcessConsider the Data for the Following Reaction:Determine the Rate Law Expression and the value of k consistentWith these data.
From Experiments 1 and 2Solution :Divide equation (1) into equation (2)
From Experiments 2 and 3Solution :Divide equation (1) into equation (2)
Rate Expression
AssignmentDetermine the Rate Law for the following reaction from the given data:2  NO (g)  +  O2 (g)  ->  2 NO2 (g)
Relationship Between Concentration and TimeFirst Order Reaction
A plot ofGives a Straight lineThe Following Reaction is a First Order Reaction:Plot the linear graph for concentration versus timeand obtain the rate constant for the reaction.
Data for the Transformation of cylcpropane to propene
slope = 2 x 10-5 s-1
Data for the Transformation of cylcpropane to propene
 -slope = -2 x 10-5s-1Slope = 2 x 10-5 s-1
Relationship Between Concentration and TimeSecond Order Reaction
A plot ofGives a Straight lineThe Following Reaction is a Second Order Reaction:2 HI (g) -> H2 (g)  +  I2 (g)Plot the linear graph for concentration versus timeand obtain the rate constant for the reaction.
Data for the Transformation of hydrogen iodide gas to hydrogen and iodine
slope = 30. L mol-1 min-1
Graphical Method for Determining the Order of a ReactionFirst Order Reaction: y = ln (ao – x); x = t; slope = -k; and the intercept is lnao	or y = ln (ao /(ao – x)); x = t; slope = k; and the intercept =0 Second Order Reaction: y = 1/ (ao – x); x = t; slope = k; and the intercept = 1/ aoZero Order Reaction: y = x; x = t; slope = k and the intercept = 0or y = ao – x ; x = t; slope = -k and the intercept = ao
Zero Order Reaction
Application of the Graphical Method for Determining the Order of a ReactionN2O5 (g)  ->  2 NO2 (g)  +  ½ O2 (g)Tabulate the data so that each order may be tested
Data tabulation to determine which order will give a linear graph
Test for zero order reactionNot linear; therefore, the reaction is not zero order
Test for first order reactionLinear; therefore, the reaction is first order
Test for second order reactionNon-linear; therefore, the reaction is not second order
Half Life for a First Order Reaction
Half Life for a Second Order Reaction
Half Life for a Zero Order Reaction
Application of Half LifeThe rate constant for transforming cyclopropane into propene is 0.054 h-1Calculate the half-life of cyclopropane.Calculate the fraction of cyclopropane remaining after 18.0 hours.Calculate the fraction of cyclopropane remaining after 51.5 hours.
Half-LifeFraction of cyclopropaneRemaining after 18.0 hoursFraction of cyclopropaneRemaining after 51.5 hours
Effect of Temperature on the Reaction RateArrhenius Equation
Use the Following Data to Determine the Eactfor
Effect of a Catalyst on the Rate of a ReactionLowers the energy barrier to the reaction via lowering the energy of activationHomogeneous catalyst- in the same phase as the reacting moleculesHerterogeneous catalyst – in a different phase from the reacting molecules
Example of a Homogeneous Catalyst
Example of Heterogeneous Catalyst
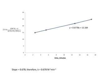
An interesting problem:The reaction between propionaldehyde and hydrocyanic acid have been observed by Svirbely and Roth and reported in the Journal of the American Chemical Society.  Use this data to ascertain the order of the reaction and the value of the rate constant for this reaction.
Check to determine first order in HCN
Check to determine first order in propionaldehyde
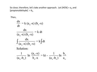
So close; therefore, let’s take another approach.  Let [HCN] = ao and [propionaldehyde]  = boThen,
Let’s construct the data in a different format
Slope = 0.678; therefore, k = 0.678 M-1min-1
Mechanism:
Steps 1 and 2 are fast equilibrium steps; and step 3 is the rate determining step
Revisit the kinetics for2  NO (g)  +  O2 (g)  ->  2 NO2 (g)

GC Chemical Kinetics

  • 1.
    Chemical KineticsStudy ofspeed with which a chemical reaction occurs and the factors affecting that speedProvides information about the feasibility of a chemical reactionProvides information about the time it takes for a chemical reaction to occurProvides information about the series of elementary steps which lead to the formation of product
  • 2.
    Rate Data forA + B -> C
  • 3.
    A + B -> CCAB
  • 4.
    The Rate ofa Chemical ReactionThe speed of a reaction can be examined by the decrease in reactants or the increase in products.a A + b B -> c C + d DWhere m and n are determined experimentally, and not necessarilyEqual to the stiochiometry of the reaction
  • 5.
    Reaction A ->2 BAABBBBABBBBAAABBBBAAABBBBABBBB2222=6.022 x 10 moleculesB6.022 x 10 molecules=Ain a 1.00 L containerin a 1.00 Liter container1 mol/L2 mol/L
  • 6.
    Average RateRate ofA disappearing isLet’s suppose that after 20 seconds ½ half of A disappears.Then And Rate of B appearing is Then
  • 7.
    Average Rate Lawfor the General Equationa A + b B -> c C + d DFor Example:N2O5 (g) -> 2 NO2 (g) + ½ O2 (g)
  • 8.
    Determination of theRate EquationDetermined ExperimentallyCan be obtained by examining the initial rate after about 1% or 2% of the limiting reagent has been consumed.
  • 9.
    Consider the Reaction:CH3CH2CH2CH2Cl(aq) + H2O (l) -> CH3CH2CH2CH2OH (aq) + HCl (aq)
  • 10.
  • 11.
  • 12.
  • 13.
  • 14.
    Instantaneous Rate orinitial rate at t=0 sInstantaneous Rate at t = 500 s
  • 16.
    Order of ReactionZeroorder –independent of the concentration of the reactants, e.g, depends on lightFirst order - depends on a step in the mechanism that is unimolecularPseudo first order reaction – one of the reactants in the rate determining step is the solventSecond order – depends on a step in the mechanism that is bimolecularRarely third order – depends on the step in the mechanism that is termolecular
  • 17.
    Data from thehydrolysis of n-butyl chloride
  • 18.
  • 19.
    Therefore, the reactionis not zero order
  • 20.
  • 21.
    Therefore, the reactionis not second order
  • 22.
  • 23.
  • 24.
  • 25.
  • 26.
  • 27.
    Rate of theReaction
  • 28.
    For the ReactionN2O5(g) -> 2 NO2 (g) + ½ O2 (g)The rate can be used to explain the mechanism
  • 29.
  • 30.
    Sum of thetwo steps:N2O5 -> 2 NO2 + ½ O2or2 N2O5 -> 4 NO2 + O2
  • 31.
    ApplicationMechanism of aChemical Reaction(a)Suggest a possible mechanism forNO2 (g) + CO (g) -> NO (g) + CO2 (g)Given that (b)Suggest a possible mechanism for2 NO2 (g) + F2 (g) -> 2 NO2F (g)Given that
  • 32.
    Factors Affecting theRate of a Chemical ReactionThe Physical State of MatterThe Concentration of the ReactantsTemperatureCatalyst
  • 33.
    For A Reactionto OccurMolecules Must CollideMolecules must have the Appropriate OrientationMolecules must have sufficient energy to overcome the energy barrier to the reaction-Bonds must break and bonds must form
  • 34.
  • 35.
    Rate Constant “k”Mustbe determined experimentallyIts value allows one to find the reaction rate for a new set of concentrations
  • 36.
    The following datawere collected for the rate of the reaction Between A and B, A + B -> C , at 25oC. Determine the rate law for the reaction and calculate k.
  • 37.
    From Experiments 1and 2Solution A:Divide equation (1) into equation (2)
  • 38.
    Solution B:Subtract equation(2) from equation (1)
  • 39.
    From Experiments 4and 5Solution A:Divide equation (1) into equation (2)
  • 40.
    Solution B:Subtract equation(2) from equation (1)
  • 41.
  • 42.
  • 43.
  • 44.
    Your Understanding ofthis ProcessConsider the Data for the Following Reaction:Determine the Rate Law Expression and the value of k consistentWith these data.
  • 45.
    From Experiments 1and 2Solution :Divide equation (1) into equation (2)
  • 46.
    From Experiments 2and 3Solution :Divide equation (1) into equation (2)
  • 47.
  • 48.
    AssignmentDetermine the RateLaw for the following reaction from the given data:2 NO (g) + O2 (g) -> 2 NO2 (g)
  • 49.
    Relationship Between Concentrationand TimeFirst Order Reaction
  • 50.
    A plot ofGivesa Straight lineThe Following Reaction is a First Order Reaction:Plot the linear graph for concentration versus timeand obtain the rate constant for the reaction.
  • 51.
    Data for theTransformation of cylcpropane to propene
  • 52.
    slope = 2x 10-5 s-1
  • 53.
    Data for theTransformation of cylcpropane to propene
  • 54.
    -slope =-2 x 10-5s-1Slope = 2 x 10-5 s-1
  • 55.
    Relationship Between Concentrationand TimeSecond Order Reaction
  • 56.
    A plot ofGivesa Straight lineThe Following Reaction is a Second Order Reaction:2 HI (g) -> H2 (g) + I2 (g)Plot the linear graph for concentration versus timeand obtain the rate constant for the reaction.
  • 57.
    Data for theTransformation of hydrogen iodide gas to hydrogen and iodine
  • 58.
    slope = 30.L mol-1 min-1
  • 59.
    Graphical Method forDetermining the Order of a ReactionFirst Order Reaction: y = ln (ao – x); x = t; slope = -k; and the intercept is lnao or y = ln (ao /(ao – x)); x = t; slope = k; and the intercept =0 Second Order Reaction: y = 1/ (ao – x); x = t; slope = k; and the intercept = 1/ aoZero Order Reaction: y = x; x = t; slope = k and the intercept = 0or y = ao – x ; x = t; slope = -k and the intercept = ao
  • 60.
  • 61.
    Application of theGraphical Method for Determining the Order of a ReactionN2O5 (g) -> 2 NO2 (g) + ½ O2 (g)Tabulate the data so that each order may be tested
  • 62.
    Data tabulation todetermine which order will give a linear graph
  • 63.
    Test for zeroorder reactionNot linear; therefore, the reaction is not zero order
  • 64.
    Test for firstorder reactionLinear; therefore, the reaction is first order
  • 65.
    Test for secondorder reactionNon-linear; therefore, the reaction is not second order
  • 66.
    Half Life fora First Order Reaction
  • 67.
    Half Life fora Second Order Reaction
  • 68.
    Half Life fora Zero Order Reaction
  • 69.
    Application of HalfLifeThe rate constant for transforming cyclopropane into propene is 0.054 h-1Calculate the half-life of cyclopropane.Calculate the fraction of cyclopropane remaining after 18.0 hours.Calculate the fraction of cyclopropane remaining after 51.5 hours.
  • 70.
    Half-LifeFraction of cyclopropaneRemainingafter 18.0 hoursFraction of cyclopropaneRemaining after 51.5 hours
  • 71.
    Effect of Temperatureon the Reaction RateArrhenius Equation
  • 72.
    Use the FollowingData to Determine the Eactfor
  • 74.
    Effect of aCatalyst on the Rate of a ReactionLowers the energy barrier to the reaction via lowering the energy of activationHomogeneous catalyst- in the same phase as the reacting moleculesHerterogeneous catalyst – in a different phase from the reacting molecules
  • 75.
    Example of aHomogeneous Catalyst
  • 77.
  • 78.
    An interesting problem:Thereaction between propionaldehyde and hydrocyanic acid have been observed by Svirbely and Roth and reported in the Journal of the American Chemical Society. Use this data to ascertain the order of the reaction and the value of the rate constant for this reaction.
  • 80.
    Check to determinefirst order in HCN
  • 81.
    Check to determinefirst order in propionaldehyde
  • 82.
    So close; therefore,let’s take another approach. Let [HCN] = ao and [propionaldehyde] = boThen,
  • 85.
    Let’s construct thedata in a different format
  • 86.
    Slope = 0.678;therefore, k = 0.678 M-1min-1
  • 87.
  • 88.
    Steps 1 and2 are fast equilibrium steps; and step 3 is the rate determining step
  • 91.
    Revisit the kineticsfor2 NO (g) + O2 (g) -> 2 NO2 (g)