Chemical Equilibrium
            k1
aA+bB              cC+dD
             k-1


rate of the forward reaction = k1 [A]a [B]b
rate of the reverse reaction = k -1 [C]c [D]d
At equilibrium:
rate of the forward reaction = rate of the reverse reaction
k1 [A]a [B]b = k -1 [C]c [D]d
Chemical Equilibrium

k1 [A]a [B]b  k -1 [C]c [D]d
k1 [C]c [D]d
       a   b
k -1 [A] [B]
       [C]c [D]d
K eq 
       [A]a [B]b
Chemical Equilibrium

• When equilibrium, a dynamic state, is reached
  the concentrations of A, B, C, and D are
  invariant (i.e., no longer change)
• The reaction continues in a dynamic state, but
  the concentrations remain the same.
• The rate of the forward reaction is equal to
  the rate of the reverse reaction.
Chemical Equilibrium
                                     Concentration versus time
                   1.2

                                                                      at equilibrium
                    1



                   0.8                                                             [C] and [D]
concentration, M




                   0.6


                                                                                   [A] and [B]
                   0.4



                   0.2



                    0
                         0   2   4      6   8        10          12     14    16       18   20
                                                time (minutes)
Chemical Equilibrium
                     Rate versus time


 1.4                                     at equilibrium

 1.2
                   k1 [A]a [B]b
       1

                                                     k1 [A]a [B]b = k -1 [C]c [D]d
 0.8
Rate




 0.6


 0.4

                   k -1 [C]c [D]d
 0.2


       0
           0   2       4      6      8         10
                                    time (minutes)   12      14      16      18
Consider the Reaction between Hydrogen and Iodine

             H2(g) + I2(g)               2 HI(g)

If the initial concentrations of hydrogen and iodine gases are 0.0175 M,
calculate the equilibrium concentrations of the reactants and products
if the equilibrium constant is 55.64 at 425oC.
                              2
                   HI(g) 
                                  = 55.64
                H 2(g)   I2(g) 
                               

                 0.0175  x       0.0175  x       2x
                  H2(g) + I2(g)                2 HI(g)
2
      HI(g) 
                     = 55.64
   H 2(g)   I2(g) 
                  

        2x 
              2

                          = 55.64
0.0175-x 0.0175-x 
             4x 2
          -4             2
                           = 55.64
3.06 x 10 - 0.035 x + x
4x 2 = 0.0170 - 1.95 x + 55.64 x 2
0 = 0.0170 - 1.95 x + 51.64 x 2


      -b ± b2 -4ac
   x=
           2a

 a = 51.64; b = -1.95; and c = 0.0170
-b ± b2 -4ac
    x=
            2a
         1.95 ± 3.80-4 (51.64)(0.0170)
    x=
                   2(51.64)
        1.95 ± 0.54
    x=
           103.28
    x = 1.37 x 10-2 M or 2.41 x 10-2 M           If x = 1.37 x 10-2 M

HI(g)  = 2x = 2.73 x 10-2 M
      

H2(g)  = (0.0175 - x) M = (0.0175 - 0.0137) M = 3.8 x 10-3 M
      

 I2(g)  = (0.0175 - x) M = (0.0175 - 0.0137) M = 3.8 x 10-3 M
       


 x = 2.41 x 10-2 M is not possible, because it would lead to negative matter!
The equilibrium expression does not include solids

 For example, the equilibrium expression for the following reaction:

                   1
                     S8 + O2 (g)       SO2 (g)
                   8


               SO2(g) 
                        = K = 4.2 x 1025 at 25o C
                O2(g) 
                             eq
                      
The equilibrium expression when water is involved

 For example,

                                -         +
  HCOOH(aq) + H2O(l)        HCOO(aq) + H3O(aq)



     HCOO-(aq)   H3O(l) 
               
                        +
                            = K H O  = K
         HCOOH (aq)             2 (l)   a
                     
Kc versus Kp

          N2(g) + 3 H2 (g)                 2 NH3 (g)

                        2
         NH3 (g) 
                   
Kc =                         = 3.5 x 108 at 25oC
      N 2 (g)   H 2 (g) 
                        



                  2
                 PNH3 (g)
       Kp =    2       2
                                = ? at 25o C
              PN2 (g) PH2 (g)
From PV = nRT

                n                    p
        where     = concentration =
                V                   RT

       K c = K p x (RT) 2
             Kc
       Kp =
            (RT) 2
                                         2
                                        PNH3(g)                          1
                         2
         NH3 (g) 
                                   (RT) 2              2
                                                       PNH3(g)         (RT) 2
Kc =                         = 2                  = 2                x
      N 2 (g)   H 2 (g) 
                           PN2(g)       2
                                           PH2(g)              2
                                                   PN2(g) x PH2(g)       1
                                      2
                                        x                              (RT) 4
                              (RT)        (RT) 2
            2
           PNH3(g)
Kc =    2        2
                             x (RT) 2
       PN2(g) x PH2(g)
K c = K P x (RT) 2
K c = K P x (RT) 2
      Kc
KP =      2
            KP
     (RT)
         3.5 x 108
KP =
     (0.08205 x 298) 2
         3.5 x 105
KP =
     (0.08205 x 298) 2
K P = 5.9 x 105
Consider the Following Reaction:
  CaCO3 (s)      CaO(s) +CO2 (g)

    K c = CO2 (g) 
                  
                          PCO2
   K c = CO 2 (g)  =
                      RT
           PCO2 K p
   Kc =         
           RT RT
   (RT) K c = K p
                       PCO2
   K c = CO 2 (g)  =
                     RT
          PCO2       Kp
   Kc =          
         RT RT
   (RT) K c = K p
Consider the Following Reaction:

Cu(NH3 )2(aq)
        4        Cu 2+ + 4 NH3 (aq)
                     (aq)




                 4
      NH3 (aq)  Cu aq 
                       2+

Kc =                   
       Cu(NH3 )4(aq) 
       
                  2
                       
Manipulating the Equilibrium Expression:

             1
    C(s) +     O2 (g)   CO (g)
             2


     CO (g) 
K1 =           = 4.6 x 1023 at 25o C
               1
     O2 (g)  2
            
Manipulating the Equilibrium Expression:

  2 C(s) + O2 (g)      2CO (g)


                2
      CO (g) 
 K2 =           = K 2 = 2.1 x 1047 at 25o C
        O2 (g) 
                     1
               
Manipulating the Equilibrium Expression:
If Keq equals 3.5 x 108 for

 N2 (g) + 3 H2 (g)        2NH3 (g)


Calculate Keq for

                    1           3
 NH3 (g)              N 2 (g) +   H 2 (g)
                    2           2
Manipulating the Equilibrium Expression:

           1           3
NH3 (g)      N 2 (g) +   H 2 (g)
           2           2



       1
             = 5.3 x 10-5
   3.5 x 108
Finding K for a Reaction from Other K values

  AgCl (s) + 2 NH3 (aq)   Ag(NH3 )2 (aq) + Cl-(aq)
                                  +




           Ag(NH3 )2  Cl(aq) 
                    +         -

   K eq =             
                            2
                                
                NH3 (aq) 
                         
Finding K for a Reaction from Other K values

  AgCl (s)      Ag +(aq) + Cl-(aq)


 Ksp = Ag +(aq)  Cl(aq)  = 1.8 x 10-10
                
                      -
                           

   +                                    +
 Ag(aq) + 2 NH3 (aq)            Ag(NH3 )2 (aq)


         Ag(NH3 ) + 
                    2
Kf =                          2
                                = 1.6 x 107
      Ag (aq)   NH3 (aq) 
     
         +
                          
Finding K for a Reaction from Other K values

    Ag(NH3 ) 2 
   
                  +
                                                      Ag(NH 3 ) 2  Cl(aq) 
                                                                  +        -

                          2
                            x  Ag (aq)  Cl(aq)  = 
                              
                                   +
                                        
                                             -
                                                  
                                                                    
                                                                         2
                                                                              
 Ag (aq)   NH 3 (aq) 

     +
                                                         NH 3 (aq) 
                                                                      
              Ag(NH3 ) 2  Cl(aq) 
                        +        -

K f x K sp =             
                               2
                                    
                   NH3 (aq) 
                            
                               Ag(NH 3 ) 2  Cl(aq) 
                                          +       -

1.6 x 107 x 1.8 x 10-10     =              
                                                2
                                                      
                                    NH3 (aq) 
                                             
              Ag(NH3 ) 2  Cl(aq) 
                        +         -

2.9 x 10-3 =              
                                2
                                            = K eq
                   NH 3 (aq) 
                             
Calculate Kp at 226.8oC for Reaction (4) given Reactions
                    (1), (2), and (3):

(1) H 2 (g) + Br2 (g)         2 HBr (g) K P = 7.9 x 1011
(2) H 2 (g)       2 H (g)               K P = 4.8 x 10-41
(3) Br2 (g)        2 Br (g)             K P = 2.2 x 10-15
(4) H (g) + Br (g)          HBr (g)     KP = ?
Kp at 226.8oC for
                        H(g) + Br (g)    HBr (g)


(1) H 2 (g) + Br2 (g)         2 HBr (g) K P1 = 7.9 x 1011
(2) H 2 (g)       2 H (g)               K P2 = 4.8 x 10-41
(3) Br2 (g)        2 Br (g)             K P3 = 2.2 x 10-15
(4) H (g) + Br (g)          HBr (g)     K P4 = ?
Kp at 226.8oC for
                                H(g) + Br (g)            HBr (g)

               2                                                        2
     HBr(g) 
                           H 2 (g) 
                                      x  Br2 (g)  =
                                                           HBr(g) 
                                                                    
                         x
 H 2 (g)   Br2 (g) 
                         H (g) 
                                      2
                                           Br (g) 
                                                     2           2
                                                         H (g)   Br (g) 
                                                                             2
                                                                    
           1          1
K P1 x         x           = K 24
                               P
         K P2       K P3


                     2
         HBr(g) 
                               HBr(g) 
                                         
                           =                      = K 24 = K P4
                              H (g)   Br (g) 
             2           2                            P
     H (g)   Br (g) 
                                         
Kp at 226.8oC for
                H(g) + Br (g)    HBr (g)




       7.9 x 1011
                          = K P4 = 2.7 x 1033
4.8 x 10-41 x 2.2 x 10-15
The Reaction Quotient, Q

• Q is obtained by using a similar formula as K, but
  Q may not be at equilibrium. The reaction is at
  dynamic equilibrium when Q = Keq
• If Q is greater than Keq , then the reaction is not at
  equilibrium and must adjust so that product(s)
  will go to reactant(s) until a state of dynamic
  equilibrium is reached
• If Q is less than Keq , then the reaction is not at
  equilibrium and must adjust so that more
  reactant(s) will go to product(s) until a state of
  dynamic equilibrium is reached
Application of Q
   For the following equilibrium:

   CH3CH2CH2CH3               (CH3 )2CHCH3

Keq = 2.5 at 25oC is the reaction at equilibrium when
[CH3CH2CH2CH3] = 0.97 M and [(CH3)2CHCH3] = 2.18M?
If not, calculate the equilibrium concentrations.
Application of Q

 (CH3 )2CHCH3      =Q
CH3CH 2CH 2CH3 
2.18 M
        =Q
0.97 M
2.25 = Q
Therefore, Q is less than K eq
Application of Q
 Since Q (2.25) is less than Keq (2.5)
    0.97 M - x                           2.18 + x

 CH3CH2CH2CH3                       (CH3)2CHCH3

           2.18 + x
                    = 2.5
           0.97 - x
           x = 0.07

Therefore, the equilibrium concentration of
CH3CH2CH2CH3 is 0.90 M (0.97 – 0.07) and the equilibrium
concentration of (CH3)2CHCH3 is 2.25M (2.18 + 0.07)
Another Application of Q
For the following equilibrium:

  N2 (g) + O2 (g)        2 NO (g)


Keq = 1.7 x 10-3 is the reaction at equilibrium when
[N2] = 0.50 M , [O2] = 0.25 M, and [NO] = 0.0042 M?
If not, calculate the equilibrium concentrations.
Another Application of Q
For the following equilibrium:

         NO
              2

Q=
       N 2 O2 
        0.0042
                   2

Q=                     = 1.41 x 10-4
      0.500.25

Q (0.000141) is less than Keq (0.0017)
Another Application of Q
0.50 M - x         0.25 - x    0.0042+2x
   N 2 (g)       + O 2 (g)     2 NO (g)




                      (0.0042+2x)2
K eq = 1.7 x 10-3 =
                    (0.50 -x)(0.25 - x)

x = 5.1 x 10-3
Another Application of Q
x = 5.1 x 10-3


   (0.0042+2 x 5.1 x 10-3 ) 2
                              =
(0.50 -0.0051)(0.25 - 0.0051)
   (0.0144) 2
               = 1.7x10-3
(0.495)(0.245)
Let’s calculate the equilibrium constant for the
following reaction at 1000 K:

       2 SO2 (g) + O2 (g)     2 SO3 (g)


  1.00 mol of SO2 and 1.00 mol of O2
  are placed in a 1.00 L flask. When equilibrium
  is achieved 0.925 mol of SO2 is formed.
Let’s calculate the KP for the following reaction at 800 K:

          2 H2S (g)       2 H2 (g) + S2 (g)


  A tank contains hydrogen sulfide gas at 10.00 atm at 800 K.
  When equilibrium is achieved, the partial pressure of S2
  is 2.0 x 10-2 atm.


  What is Kc for this reaction?
Let’s calculate the Kc for the following reaction:
                  H

                      I
                  I                           +      I2

              H



  If 0.050 mol of trans-1,2-diodocyclohexane is dissolved
  in carbon tetrachloride to make a 1.00 L solution.
  At equilibrium the concentration of I2 is 0.035 M.


  What is Kp for this reaction?
Kc for the following reaction is 1.0 x 10-5 at 1227oC:


          N2 (g) + O2 (g)    2 NO(g)

Calculate the equilibrium concentrations if 0.80 mole of N2
and 0.20 mole of O2 are placed initially in a 2.00 L flask at 1227oC.



Calculate Kp at 1227oC, and calculate the equilibrium
pressures at N2, O2, and NO at 1227oC.
Le Chatelier’s Principle

When a system in dynamic equilibrium
encounters stress, the system will adjust itself
in order to relieve the stress.
The Stresses

• Change the temperature
• Change the concentration of reactants or
  products
• Change the volume
• Change the pressure (only when there is a
  difference between the number of moles of
  gaseous reactants and products)
Changing the Temperature

• Adjustment in the equilibrium is determined
  by whether the reaction is endothermic or
  exothermic.
• If the reaction is exothermic, an increase in
  temperature shifts the equilibrium toward the
  reactants. A decrease in temperature shifts
  the reaction toward the products.
Changing the Temperature

• If the reaction is endothermic, an increase in
  temperature shifts the equilibrium toward the
  products. A decrease in temperature shifts
  the reaction toward the reactants.
• Changes in temperature result in changes in
  the value of the equilibrium constant.
                      ΔHo
                        reaction
                    -
                        RT
       K eq = A e
                    ΔH o
                       reaction
       ln K eq   =-             + ln A
                      RT
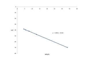
For example, the following data were obtained for changes in the equilibrium
Constant with changes in temperature for the reaction

            1          1
              N 2 (g) + O2 (g)       NO (g)
            2          2
      T              Keq         ln Keq         104(1/T)
     oC

     25          4.5 x 10-31     -69.9            33.6

    500         2.43 x 10-21     -47.5            12.9

    1000        6.07 x 10-19     -41.9            7.89
    1500        6.74 x 10-18     -39.5            5.64

    2000        2.60 x 10-17     -38.2            4.40

    2500        6.15 x 10-17     -37.3            3.61
0
           0   5   10   15     20         25             30     35   40

     -10



     -20



     -30



Ln K -40

                                        y = -1.0832x - 33.502

     -50



     -60



     -70



     -80
                             104(1/T)
ΔH reaction
slope = -
            R
               4   ΔH reaction
-1.0832 x 10 K = -
                     R
                              J
               4
-1.0832 x 10 K x -8.314           = ΔH reaction
                            K-mol
             J
9.00 x 10 4
                = ΔH reaction
            mol
Changes in Concentration of Reactants and Products

Increasing the concentration of the reactants
creates a situation where Q is less than K;
therefore, the system will adjust itself to
produce more product so that Q will equal K,
i.e., the equilibrium will shift toward the
product.
Changes in Concentration of Reactants and Products

Decreasing the concentration of the reactants
creates a situation where Q is greater than K;
therefore, the system will adjust itself to
produce more reactants so that Q will equal K,
i.e., the equilibrium will shift toward the
reactants.
An Example of the Effect of Concentration Change on
an Equilibrium Reaction

      CH3CH2CH2CH3            (CH3 )2CHCH3

 If at 25oC, the equilibrium concentrations of n-butane and
 Isobutane are respectively 0.500 M and 1.25 M, what would be
 the equilibrium concentrations if 1.50 mol of n-butane is added
 to the equilibrium mixture?
K eq =
                   (CH3 )2CHCH3 
                  CH3CH 2CH 2CH3 
                  1.25
         K eq =        = 2.5
                  0.50

  1.75 M - x                          1.25 M + x
CH3CH2CH2CH3                         (CH3)2CHCH3

        1.25 mol + x mol
 K eq =         V           = 2.5
        1.75 mol - xmol
                V
 1.25 + x
           = 2.5
 1.75 - x
 1.25 + x = 2.5 1.75 - x 
 1.25 + x = 4.375 - 2.5 x
 3.125 = 3.5 x
 0.89 = x
CH3CH2CH2CH3   1.75 M -0.89 M = 0.86 M
(CH3 )2CHCH3   1.25 M + 0.89 M = 2.14 M
Changing the Volume

• If the number of moles of products equals the
  number of moles of reactants, then a change in
  volume of the reaction vessel will have no affect
  on the equilibrium.
• If the number of moles of product is greater than
  the number of moles of reactants, then an
  increase in volume of the reaction vessel will shift
  the equilibrium toward the formation of product.
  A decrease in the volume will shift the
  equilibrium toward the reactants.
Changing the Volume

• If the number of moles of reactant is greater
  than the number of moles of products, then
  an increase in the volume of the reaction
  vessel will shift the equilibrium toward the
  reactants. A decrease in volume will shift the
  equilibrium toward the products.
Effect of Pressure Change on a Gaseous Reaction

• If the number of moles of gaseous products
  equals the number of moles of gaseous reactants,
  then pressure changes have no effect on the
  equilibrium reaction.
• If the number of moles of gaseous products is
  greater than the number of moles of gaseous
  reactants, then an increase in pressure shifts the
  equilibrium toward the reactants. A decrease in
  pressure shifts the equilibrium toward the
  products.
Effect of Pressure Change on a Gaseous Reaction

 If the number of moles of gaseous reactants is
 greater than the number of moles of gaseous
 products, then an increase in pressure shifts
 the equilibrium toward the products. A
 decrease in pressure shifts the equilibrium
 toward the reactants.

GC Chemical Equilibrium

  • 1.
    Chemical Equilibrium k1 aA+bB cC+dD k-1 rate of the forward reaction = k1 [A]a [B]b rate of the reverse reaction = k -1 [C]c [D]d At equilibrium: rate of the forward reaction = rate of the reverse reaction k1 [A]a [B]b = k -1 [C]c [D]d
  • 2.
    Chemical Equilibrium k1 [A]a[B]b  k -1 [C]c [D]d k1 [C]c [D]d  a b k -1 [A] [B] [C]c [D]d K eq  [A]a [B]b
  • 3.
    Chemical Equilibrium • Whenequilibrium, a dynamic state, is reached the concentrations of A, B, C, and D are invariant (i.e., no longer change) • The reaction continues in a dynamic state, but the concentrations remain the same. • The rate of the forward reaction is equal to the rate of the reverse reaction.
  • 4.
    Chemical Equilibrium Concentration versus time 1.2 at equilibrium 1 0.8 [C] and [D] concentration, M 0.6 [A] and [B] 0.4 0.2 0 0 2 4 6 8 10 12 14 16 18 20 time (minutes)
  • 5.
    Chemical Equilibrium Rate versus time 1.4 at equilibrium 1.2 k1 [A]a [B]b 1 k1 [A]a [B]b = k -1 [C]c [D]d 0.8 Rate 0.6 0.4 k -1 [C]c [D]d 0.2 0 0 2 4 6 8 10 time (minutes) 12 14 16 18
  • 6.
    Consider the Reactionbetween Hydrogen and Iodine H2(g) + I2(g) 2 HI(g) If the initial concentrations of hydrogen and iodine gases are 0.0175 M, calculate the equilibrium concentrations of the reactants and products if the equilibrium constant is 55.64 at 425oC. 2  HI(g)    = 55.64  H 2(g)   I2(g)     0.0175  x 0.0175  x 2x H2(g) + I2(g) 2 HI(g)
  • 7.
    2  HI(g)    = 55.64  H 2(g)   I2(g)      2x  2 = 55.64 0.0175-x 0.0175-x  4x 2 -4 2 = 55.64 3.06 x 10 - 0.035 x + x 4x 2 = 0.0170 - 1.95 x + 55.64 x 2 0 = 0.0170 - 1.95 x + 51.64 x 2 -b ± b2 -4ac x= 2a a = 51.64; b = -1.95; and c = 0.0170
  • 8.
    -b ± b2-4ac x= 2a 1.95 ± 3.80-4 (51.64)(0.0170) x= 2(51.64) 1.95 ± 0.54 x= 103.28 x = 1.37 x 10-2 M or 2.41 x 10-2 M If x = 1.37 x 10-2 M HI(g)  = 2x = 2.73 x 10-2 M   H2(g)  = (0.0175 - x) M = (0.0175 - 0.0137) M = 3.8 x 10-3 M   I2(g)  = (0.0175 - x) M = (0.0175 - 0.0137) M = 3.8 x 10-3 M   x = 2.41 x 10-2 M is not possible, because it would lead to negative matter!
  • 9.
    The equilibrium expressiondoes not include solids For example, the equilibrium expression for the following reaction: 1 S8 + O2 (g) SO2 (g) 8 SO2(g)    = K = 4.2 x 1025 at 25o C O2(g)  eq  
  • 10.
    The equilibrium expressionwhen water is involved For example, - + HCOOH(aq) + H2O(l) HCOO(aq) + H3O(aq)  HCOO-(aq)   H3O(l)    +  = K H O  = K  HCOOH (aq)   2 (l)  a  
  • 11.
    Kc versus Kp N2(g) + 3 H2 (g) 2 NH3 (g) 2  NH3 (g)    Kc = = 3.5 x 108 at 25oC  N 2 (g)   H 2 (g)      2 PNH3 (g) Kp = 2 2 = ? at 25o C PN2 (g) PH2 (g)
  • 12.
    From PV =nRT n p where = concentration = V RT K c = K p x (RT) 2 Kc Kp = (RT) 2 2 PNH3(g) 1 2  NH3 (g)    (RT) 2 2 PNH3(g) (RT) 2 Kc = = 2 = 2 x  N 2 (g)   H 2 (g)      PN2(g) 2 PH2(g) 2 PN2(g) x PH2(g) 1 2 x (RT) 4 (RT) (RT) 2 2 PNH3(g) Kc = 2 2 x (RT) 2 PN2(g) x PH2(g) K c = K P x (RT) 2
  • 13.
    K c =K P x (RT) 2 Kc KP = 2 KP (RT) 3.5 x 108 KP = (0.08205 x 298) 2 3.5 x 105 KP = (0.08205 x 298) 2 K P = 5.9 x 105
  • 14.
    Consider the FollowingReaction: CaCO3 (s) CaO(s) +CO2 (g) K c = CO2 (g)    PCO2 K c = CO 2 (g)  =   RT PCO2 K p Kc =  RT RT (RT) K c = K p PCO2 K c = CO 2 (g)  =   RT PCO2 Kp Kc =  RT RT (RT) K c = K p
  • 15.
    Consider the FollowingReaction: Cu(NH3 )2(aq) 4 Cu 2+ + 4 NH3 (aq) (aq) 4  NH3 (aq)  Cu aq  2+ Kc =     Cu(NH3 )4(aq)   2 
  • 16.
    Manipulating the EquilibriumExpression: 1 C(s) + O2 (g) CO (g) 2 CO (g)  K1 =   = 4.6 x 1023 at 25o C 1 O2 (g)  2  
  • 17.
    Manipulating the EquilibriumExpression: 2 C(s) + O2 (g) 2CO (g) 2 CO (g)  K2 =   = K 2 = 2.1 x 1047 at 25o C O2 (g)  1  
  • 18.
    Manipulating the EquilibriumExpression: If Keq equals 3.5 x 108 for N2 (g) + 3 H2 (g) 2NH3 (g) Calculate Keq for 1 3 NH3 (g) N 2 (g) + H 2 (g) 2 2
  • 19.
    Manipulating the EquilibriumExpression: 1 3 NH3 (g) N 2 (g) + H 2 (g) 2 2 1 = 5.3 x 10-5 3.5 x 108
  • 20.
    Finding K fora Reaction from Other K values AgCl (s) + 2 NH3 (aq) Ag(NH3 )2 (aq) + Cl-(aq) +  Ag(NH3 )2  Cl(aq)  + - K eq =   2   NH3 (aq)   
  • 21.
    Finding K fora Reaction from Other K values AgCl (s) Ag +(aq) + Cl-(aq) Ksp = Ag +(aq)  Cl(aq)  = 1.8 x 10-10   -  + + Ag(aq) + 2 NH3 (aq) Ag(NH3 )2 (aq)  Ag(NH3 ) +   2 Kf = 2 = 1.6 x 107  Ag (aq)   NH3 (aq)   +  
  • 22.
    Finding K fora Reaction from Other K values  Ag(NH3 ) 2   +   Ag(NH 3 ) 2  Cl(aq)  + - 2 x  Ag (aq)  Cl(aq)  =   +  -   2   Ag (aq)   NH 3 (aq)   +    NH 3 (aq)     Ag(NH3 ) 2  Cl(aq)  + - K f x K sp =   2   NH3 (aq)     Ag(NH 3 ) 2  Cl(aq)  + - 1.6 x 107 x 1.8 x 10-10 =   2   NH3 (aq)     Ag(NH3 ) 2  Cl(aq)  + - 2.9 x 10-3 =   2  = K eq  NH 3 (aq)   
  • 23.
    Calculate Kp at226.8oC for Reaction (4) given Reactions (1), (2), and (3): (1) H 2 (g) + Br2 (g) 2 HBr (g) K P = 7.9 x 1011 (2) H 2 (g) 2 H (g) K P = 4.8 x 10-41 (3) Br2 (g) 2 Br (g) K P = 2.2 x 10-15 (4) H (g) + Br (g) HBr (g) KP = ?
  • 24.
    Kp at 226.8oCfor H(g) + Br (g) HBr (g) (1) H 2 (g) + Br2 (g) 2 HBr (g) K P1 = 7.9 x 1011 (2) H 2 (g) 2 H (g) K P2 = 4.8 x 10-41 (3) Br2 (g) 2 Br (g) K P3 = 2.2 x 10-15 (4) H (g) + Br (g) HBr (g) K P4 = ?
  • 25.
    Kp at 226.8oCfor H(g) + Br (g) HBr (g) 2 2  HBr(g)     H 2 (g)    x  Br2 (g)  =    HBr(g)    x  H 2 (g)   Br2 (g)      H (g)  2  Br (g)  2 2  H (g)   Br (g)  2         1 1 K P1 x x = K 24 P K P2 K P3 2  HBr(g)     HBr(g)    = = K 24 = K P4  H (g)   Br (g)  2 2 P  H (g)   Br (g)        
  • 26.
    Kp at 226.8oCfor H(g) + Br (g) HBr (g) 7.9 x 1011 = K P4 = 2.7 x 1033 4.8 x 10-41 x 2.2 x 10-15
  • 27.
    The Reaction Quotient,Q • Q is obtained by using a similar formula as K, but Q may not be at equilibrium. The reaction is at dynamic equilibrium when Q = Keq • If Q is greater than Keq , then the reaction is not at equilibrium and must adjust so that product(s) will go to reactant(s) until a state of dynamic equilibrium is reached • If Q is less than Keq , then the reaction is not at equilibrium and must adjust so that more reactant(s) will go to product(s) until a state of dynamic equilibrium is reached
  • 28.
    Application of Q For the following equilibrium: CH3CH2CH2CH3 (CH3 )2CHCH3 Keq = 2.5 at 25oC is the reaction at equilibrium when [CH3CH2CH2CH3] = 0.97 M and [(CH3)2CHCH3] = 2.18M? If not, calculate the equilibrium concentrations.
  • 29.
    Application of Q (CH3 )2CHCH3  =Q CH3CH 2CH 2CH3  2.18 M =Q 0.97 M 2.25 = Q Therefore, Q is less than K eq
  • 30.
    Application of Q Since Q (2.25) is less than Keq (2.5) 0.97 M - x 2.18 + x CH3CH2CH2CH3 (CH3)2CHCH3 2.18 + x = 2.5 0.97 - x x = 0.07 Therefore, the equilibrium concentration of CH3CH2CH2CH3 is 0.90 M (0.97 – 0.07) and the equilibrium concentration of (CH3)2CHCH3 is 2.25M (2.18 + 0.07)
  • 31.
    Another Application ofQ For the following equilibrium: N2 (g) + O2 (g) 2 NO (g) Keq = 1.7 x 10-3 is the reaction at equilibrium when [N2] = 0.50 M , [O2] = 0.25 M, and [NO] = 0.0042 M? If not, calculate the equilibrium concentrations.
  • 32.
    Another Application ofQ For the following equilibrium:  NO 2 Q=  N 2 O2  0.0042 2 Q= = 1.41 x 10-4 0.500.25 Q (0.000141) is less than Keq (0.0017)
  • 33.
    Another Application ofQ 0.50 M - x 0.25 - x 0.0042+2x N 2 (g) + O 2 (g) 2 NO (g) (0.0042+2x)2 K eq = 1.7 x 10-3 = (0.50 -x)(0.25 - x) x = 5.1 x 10-3
  • 34.
    Another Application ofQ x = 5.1 x 10-3 (0.0042+2 x 5.1 x 10-3 ) 2 = (0.50 -0.0051)(0.25 - 0.0051) (0.0144) 2 = 1.7x10-3 (0.495)(0.245)
  • 35.
    Let’s calculate theequilibrium constant for the following reaction at 1000 K: 2 SO2 (g) + O2 (g) 2 SO3 (g) 1.00 mol of SO2 and 1.00 mol of O2 are placed in a 1.00 L flask. When equilibrium is achieved 0.925 mol of SO2 is formed.
  • 36.
    Let’s calculate theKP for the following reaction at 800 K: 2 H2S (g) 2 H2 (g) + S2 (g) A tank contains hydrogen sulfide gas at 10.00 atm at 800 K. When equilibrium is achieved, the partial pressure of S2 is 2.0 x 10-2 atm. What is Kc for this reaction?
  • 37.
    Let’s calculate theKc for the following reaction: H I I + I2 H If 0.050 mol of trans-1,2-diodocyclohexane is dissolved in carbon tetrachloride to make a 1.00 L solution. At equilibrium the concentration of I2 is 0.035 M. What is Kp for this reaction?
  • 38.
    Kc for thefollowing reaction is 1.0 x 10-5 at 1227oC: N2 (g) + O2 (g) 2 NO(g) Calculate the equilibrium concentrations if 0.80 mole of N2 and 0.20 mole of O2 are placed initially in a 2.00 L flask at 1227oC. Calculate Kp at 1227oC, and calculate the equilibrium pressures at N2, O2, and NO at 1227oC.
  • 39.
    Le Chatelier’s Principle Whena system in dynamic equilibrium encounters stress, the system will adjust itself in order to relieve the stress.
  • 40.
    The Stresses • Changethe temperature • Change the concentration of reactants or products • Change the volume • Change the pressure (only when there is a difference between the number of moles of gaseous reactants and products)
  • 41.
    Changing the Temperature •Adjustment in the equilibrium is determined by whether the reaction is endothermic or exothermic. • If the reaction is exothermic, an increase in temperature shifts the equilibrium toward the reactants. A decrease in temperature shifts the reaction toward the products.
  • 42.
    Changing the Temperature •If the reaction is endothermic, an increase in temperature shifts the equilibrium toward the products. A decrease in temperature shifts the reaction toward the reactants. • Changes in temperature result in changes in the value of the equilibrium constant. ΔHo reaction - RT K eq = A e ΔH o reaction ln K eq =- + ln A RT
  • 43.
    For example, thefollowing data were obtained for changes in the equilibrium Constant with changes in temperature for the reaction 1 1 N 2 (g) + O2 (g) NO (g) 2 2 T Keq ln Keq 104(1/T) oC 25 4.5 x 10-31 -69.9 33.6 500 2.43 x 10-21 -47.5 12.9 1000 6.07 x 10-19 -41.9 7.89 1500 6.74 x 10-18 -39.5 5.64 2000 2.60 x 10-17 -38.2 4.40 2500 6.15 x 10-17 -37.3 3.61
  • 44.
    0 0 5 10 15 20 25 30 35 40 -10 -20 -30 Ln K -40 y = -1.0832x - 33.502 -50 -60 -70 -80 104(1/T)
  • 45.
    ΔH reaction slope =- R 4 ΔH reaction -1.0832 x 10 K = - R J 4 -1.0832 x 10 K x -8.314 = ΔH reaction K-mol J 9.00 x 10 4 = ΔH reaction mol
  • 46.
    Changes in Concentrationof Reactants and Products Increasing the concentration of the reactants creates a situation where Q is less than K; therefore, the system will adjust itself to produce more product so that Q will equal K, i.e., the equilibrium will shift toward the product.
  • 47.
    Changes in Concentrationof Reactants and Products Decreasing the concentration of the reactants creates a situation where Q is greater than K; therefore, the system will adjust itself to produce more reactants so that Q will equal K, i.e., the equilibrium will shift toward the reactants.
  • 48.
    An Example ofthe Effect of Concentration Change on an Equilibrium Reaction CH3CH2CH2CH3 (CH3 )2CHCH3 If at 25oC, the equilibrium concentrations of n-butane and Isobutane are respectively 0.500 M and 1.25 M, what would be the equilibrium concentrations if 1.50 mol of n-butane is added to the equilibrium mixture?
  • 49.
    K eq = (CH3 )2CHCH3  CH3CH 2CH 2CH3  1.25 K eq = = 2.5 0.50 1.75 M - x 1.25 M + x CH3CH2CH2CH3 (CH3)2CHCH3 1.25 mol + x mol K eq = V = 2.5 1.75 mol - xmol V 1.25 + x = 2.5 1.75 - x 1.25 + x = 2.5 1.75 - x  1.25 + x = 4.375 - 2.5 x 3.125 = 3.5 x 0.89 = x
  • 50.
    CH3CH2CH2CH3  1.75 M -0.89 M = 0.86 M (CH3 )2CHCH3   1.25 M + 0.89 M = 2.14 M
  • 51.
    Changing the Volume •If the number of moles of products equals the number of moles of reactants, then a change in volume of the reaction vessel will have no affect on the equilibrium. • If the number of moles of product is greater than the number of moles of reactants, then an increase in volume of the reaction vessel will shift the equilibrium toward the formation of product. A decrease in the volume will shift the equilibrium toward the reactants.
  • 52.
    Changing the Volume •If the number of moles of reactant is greater than the number of moles of products, then an increase in the volume of the reaction vessel will shift the equilibrium toward the reactants. A decrease in volume will shift the equilibrium toward the products.
  • 53.
    Effect of PressureChange on a Gaseous Reaction • If the number of moles of gaseous products equals the number of moles of gaseous reactants, then pressure changes have no effect on the equilibrium reaction. • If the number of moles of gaseous products is greater than the number of moles of gaseous reactants, then an increase in pressure shifts the equilibrium toward the reactants. A decrease in pressure shifts the equilibrium toward the products.
  • 54.
    Effect of PressureChange on a Gaseous Reaction If the number of moles of gaseous reactants is greater than the number of moles of gaseous products, then an increase in pressure shifts the equilibrium toward the products. A decrease in pressure shifts the equilibrium toward the reactants.