Chemical Kinetics:
Rates and Mechanisms of
Chemical Reactions
C.P. Huang
University of Delaware
1
Content
1. Introduction
2. Reaction rate
3. Rate laws
4. Analysis of rate equations
5. Rate theories
6. Reaction mechanisms
1. Complex
2. Catalysis
3. Chain
7. Reactions in solution
8. Reactions at interface
2
1. INTRODUCTION
3
• Chemical Kinetics: study of rates of chemical
reactions and mechanisms by which they occur
• A reaction may be spontaneous but does not occur at
measurable rates
Objectives
4
• How fast a reaction can take place?
• What steps or pathways are involved in any chemical
reaction?
• How complete is the chemical reaction?
• What are the two major factors controlling the
outcome of chemical reactions?
• Chemical thermodynamics
• Chemical kinetics
Why kinetics
5
2. REACTION RATE
6
Definition of reaction rate
• Rate – change in some variable per unit time
• Reaction rate – change in concentration per unit time;
M/s or mol/(L-s)
• Rates are determined by monitoring concentration as
a function of time
• Rates are negative for reactants and positive
quantities for products
7
Rate 1/time
Types of reaction rate
• Instantaneous rate – rate at a specific time
• Average rate – ∆[A] over a specific time interval
• Initial rate – instantaneous rate at t = 0
• Note: Rates and rate laws are not based on
stoichiometry!! They must be determined
experimentally.
8
• Kinetics are very difficult to describe from first
principles
– Structure, elements, behavior
• Rate of reaction describes how fast reactants are
used up and products are formed
• There are 4 basic factors that affect reaction rates
– Nature of reactants
– Effective concentrations
– Temperature
– Presence of catalysts
– Number of steps
Factors affecting reaction rate
9
Nature of reactants: particle size
• The degree of intimacy among particles obviously
depends on the physical nature of the particles.
• Particles in the liquid state are closer than in the
solid state.
• Likewise, particles in a finely divided solid will be
closer than in a chunk of the solid
• In both situations, there is a larger surface area
available for the reaction to take place
• This leads to an increase in rate.
The smaller the particles the faster the reaction rates
10
Nature of reactants: bonding
• Ions react rapidly:
Ag+ + Cl- AgCl(s) Very fast
• Reactions which involve bond breaking are slower:
NH4
+ + OCN- OC(NH2)2
• Redox reactions in solutions are slow
• Transfer of electrons are faster than those of atoms.
• Reactions between covalently bonded molecules are
slow:
2 HI(g) H2(g) + I2(g)
11

Concentration
• For every reaction the particles must come into
intimate contact with each other.
• High concentrations by definition implies that
particles are closer together (than dilute
solutions).
• So rate increases with concentration.
• Surface area
– larger surface area increases reaction
• Mixing increases interaction
• Need to minimized precipitation or colloid
formation
12
• Temperature affects rate by affecting the
number and energy of collisions
• So an increase in temperature will have the
effect of increasing reaction rate
Temperature
13
• Rate has units of moles per liter per unit time
- M s-1, M h-1
• Consider the hypothetical reaction
aA + bB  cC + dD
• We can write
Reaction rates and stoichiometry
14
t
D
dt
C
c
t
B
bt
A
a
r












][1][1
][1][1
15
Example
At a given time, the rate of C2H4 reaction is 0.23
M/s. What are the rates of the other reaction
components?
C2H4(g) + 3 O2(g) → 2 CO2(g) + 2 H2O(g)
0.23 M/s ? ? ?
3. RATE LAW
16
Rate law
• Consider the following reaction
aA + bB  products
• Rate Law: equation describing the
relationship between the reaction rate and
concentration of a reactant or reactants
Rate = k[A]m[B]n
where k is called the rate constant
17
Concentration and rate
aA + bB → cC + dD
• General form of rate law:
rate = k[A]m[B]n
[A], [B] – concentration, in M or P
k – rate constant; units vary
m, n – reaction orders
• Reaction orders and, thus, rate laws must be
determined EXPERIMENTALLY!!!
– Note: m ≠ a and n ≠ b
– Overall order = sum of individual orders
18
Reaction order
• Rate = k[A][B]0 m = 1 and n = 0
- reaction is first order in A and zero order in B
- overall order = 1 + 0 = 1
- usually written: Rate = k[A]
• The values of the reaction order must be determined
experimentally; they cannot be found by looking at
the equation, i.e., the stoichiometry of the reaction
19
Rate law
• m, n are called reaction orders - they indicate the
sensitivity of the rate to concentration changes of
each reactant
• NOTE: the orders have nothing to do with the
stoichiometric coefficients in the balanced overall
equation
• An exponent of 0 means the reaction is zero order in
that reactant - rate does not depend on the
concentration of that reactant
20
Rate Law
• An exponent of 1, rate is directly proportional to the
concentration of that reactant
- if concentration is doubled, rate doubles
- reaction is first order in that reactant
• An exponent of 2, rate is proportional to the square
of concentration of that reactant
– if concentration is double, rate is quadrupled
– reaction is second order in that reactant
• The overall reaction order is the sum of all the orders
21
Reaction orders
For the reaction: A →B, the rate law is:
rate = k[A]m
Order (m) ∆[A] by a factor of Rate increases by
Zero (0) 2, 4, 15, ½, etc. None
1st (1)
2 2X
3 3X
2nd (2)
2 4X
3 9X
½ ¼X
22
Example
1. What is the order with respect to NO?
2. What is the order with respect to H2?
3. What is the overall order?
4. If [NO] is doubled, what is the effect on the reaction
rate?
5. If [H2] is halved, what is the effect on the reaction
rate?
6. What are the units of k?
23
2
1
3
quadrupled
halved
M-2-s-2
2 NO(g) + 2 H2(g) → N2(g) + 2 H2O(g)
rate = k[NO]2[H2]
24
Rate = 9x10-3 (h-1) x 0.02 (M) = 1.8x10-5 (M-h-1)
d[Cl]/dt = rate = 1.8x10-5 (M-h-1)
What is the rate of Cl- production under
these conditions?
Calculate the rate of reaction when the
concentration of PtCl2(NH3)2 is 2.0x10-2 M.
PtCl2(NH3)2 + H2O  PtCl(H2O)(NH3)2 + Cl-
Example
Calculate rate when [NO] = 0.025 M and [H2] = 0.015 M.
25
Rate = 6x10-4 (M-2-s-1)x0.025 M x 0.015 M
=225 (M-s-1)
2 NO(g) + 2 H2(g) → N2(g) + 2 H2O(g)
rate = k[NO]2[H2] k = 6.0 x 104 M-2s-1 @1000K
Example
Measurement of reaction rate
• Average reaction rate: a measure of the change in
concentration with time
• Instantaneous rate: rate of change of concentration
at any particular instant during the reaction
• Initial rate: instantaneous rate at t = 0; that is, when
the reactants are first mixed
26
Rate may be measured in three ways
Measurements of reaction rate
Here nc is true order, with respect to concentration
and nt is order with respect to time.
When nt < nc, reaction is inhibitory and when nt >nc
reaction is autocatalytic.
27
Instantaneous rate
ntC1
C2
C3
t1 t2 t3
t
C
t
C
nc
Initial rates
nc
C
t
In this reaction, the
concentration of butyl
chloride, C4H9Cl, is
measured at various
times.
C4H9Cl(aq) + H2O(l) → C4H9OH(aq) + HCl(aq)
28
Time, s [C4H9Cl], M
0 0.1000
50 0.0905
100 0.0820
150 0.0741
200 0.0671
300 0.0549
400 0.0448
500 0.0368
800 0.0200
10,000 0
29
Time, s [C4H9Cl], M Average rate, M/s
0 0.1000
50 0.0905 1.9E-4
100 0.0820 1.7E-4
150 0.0741 1.6E-4
200 0.0671 1.4E-4
300 0.0549 1.22E-4
400 0.0448 1.01E-4
500 0.0368 0.8E-4
800 0.0200 0.56E-4
10,000 0
C4H9Cl(aq) + H2O(l) → C4H9OH(aq) + HCl(aq)
30
Initial rate
Instantaneous rate at 500 s
Determination of rate law
• Measuring the initial rates as a function of the initial
concentrations
• Avoids problems of reversible reactions
• Initially there are no products so they cannot affect
the measured rate
• This method is chosen to check the effect of a single
reactant on the rate
31
The method of initial rate
Bench-Top Reactors
32
Atlas Reactors
33
http://www.syrris.com/batch-products/atlas-parallel-system
Stopped-Flow Technique
34
http://www.hi-techsci.com/techniques/stoppedflow
Temperature Jump
35
http://www.hi-techsci.com/techniques/stoppedflow
Quench-Flow Technique
36
http://www.hi-techsci.com/techniques/stoppedflow
Summary of Experimental Methods
37
Method Range of half-life, s
Conventional 102 – 108
Flow 10-3 - 102
Relaxation 10-10 -1
pressure jump 10-6 - 1
temperature jump 10-7 - 1
field pulse 10-10 – 10-3
shock tubes 10-9 – 10-3
Kinetic spectroscopy 10-15 – 10-10
4. ANALYSIS OF RATE LAW
38
Types of rate laws
39
• Differential rate law or rate law: Shows how the
reaction rate changes with concentration
• Integrated rate law: Shows how concentration
changes with time
First order
]A)[I,T(k
dt
]A[d
ν
R
A

1
t)I,T(k
o e]A[]A[ 

t
.
)I,T(k
]Alog[]Alog[ o
3032

1.0
0.1
0.01
0.001
1 2 3
t
Log [A]
40
Second order
2
A
]A)[T(k
dt
]A[d1
R 


t)T(kν
]A[]A[
i
0
11
41
  t)T(k]A[]B[
]A[
]B[
ln
]A[
]B[]A[
ln oAoB
o
oAoAoB





 





 
Third order
]C][B][A)[T(k
dt
]A[d1
R
A



1CBA 
ooo ]C[]B[]A[ 
t)T(k2
]A[
1
]A[
1
2
o
2

42
Summary Rate Equations
43
Rate = k[A]n; [A] = concentration at time t, [Ao] = initial concentration, [X] =
product conc.
[A0]-[A] = kt, [X] = kt
ln[A0] - ln[A] = kt, ln[A0] - ln([Ao] - [X]) = kt
0 order k = M/s
1st order k = 1/s
2nd order
k = M-1-s-1
3rd order k = M-2-s-1
Half-life
• The half-life, t1/2, is defined as the time it takes for
the reactant concentration to drop to half its
initial value
• Note: the half-life for a first order reaction does
not depend on the initial concentration
• The value of the half-life is constant
44
Half-Life
45
• Half-life
– A =Aoe-t
–  = ln2/t1/2
– If a rate half life is known,
fraction reacted or
remaining can be
calculated
(CH3)2N2(g)  N2(g) + C2H6(g)
Time Pressure (torr)
0 36.2
30 46.5
Ct =Coe-kt
kt0.5=ln(2)
to.5 = - [ln(2) t]/[ln(Ct/Co)]
to.5 = - [ln(2) (30)]/[ln(25.9/36.5)]=62.1 (min)
t A B C
0 36.2 0 0
3036.2(1-x) 36.2x 36.2x
46.5 = 36.2(1-x+2x)=36.2(1+x)=36.2+36.2x
46.5-36.2 = 36.2x x = 0.285
A = 36.5(1-0.285) = 25.9
46
t0.5
2t0.5
t0.53
t0.5 t0.5
t0.5
5. RATE THEORY
47
ARRHENIUS’ EQUATION
• In 1885, Hood proposed the following
equation:
• In 1884, vant’s Hoff-Arrhenius
proposed the following equation:
Kc is the equilibrium constant
T
A'
Blogk 
2
c
RT
E
dT
Klnd 

48
ARRHENIUS’ EQUATION
49
E1
E2
E=Ea
Initial state
Final state
Activated state; X*
E1
E2
E=Ea
Initial state
Final state
Activated state; X*
DCBA kk
 11
]][[]][[ 11 DCkBAk 
]][[
]][[
1
1
BA
DC
k
k
Kc 

11  EEE
2
11 lnln
RT
E
dt
kd
dt
kd 
 
1
ln
2
11

RT
E
dt
kd
1
ln
2
11
 
RT
E
dt
kd
2
ln
RT
E
dT
kd a

C
RT
E
k a
ln C = constant
Arrhenius Equation
• Svante Arrhenius developed an equation for the
mathematical relationship between k and Ea.
• A is the frequency factor, which represents the
number of effective collisions.
• : Boltzmann expression for the fraction of system
having energy in excess of the value, Ea, so that is
may be identified with the fraction of reactant
molecules that are activated complexes
50
RT
Ea
e

Arrhenius Equation
Y = m x + b
51
Or
log k = log A –Ea/(2.303 R) (1/T)
Slope = Ea/2.303 R = Ea/4.57 Cal
To find slope, m
52













12
1
2
11
ln
TT
k
k
m =
Ln k
1/T
Ea/3R
Arrhenius’ Equation
• This is Arrhenius’ Equation
• Can be arranged in the form of a straight line
• ln k = (-Ea/R)(1/T) + ln A
• Plot ln k vs. 1/T  slope = -Ea/R
1.0
0.1
0.01
0.001
1 2 3
1/T
Log [k]
EA/2.303
= dlog K/d(1/T)
Diffusion
regime
Reaction
regime
Ea < 5 kcal/mol: diffusion
control reaction
Ea > 5 kcal/mol; reactive
control
53
Activation Energy, Ea
• Energy barrier (hump) that must be overcome
for a chemical reaction to proceed
• Activated complex or transition state –
arrangement of atoms at the top of the barrier
54
Temperature Effects
• At higher temperatures, more molecules will have
adequate energy to react.
• This increases the reaction rate.
Maxwell-Boltzmann Distribution
55
Example
56
A reaction which rate constant doubles when
temperature is raised by 10oK from 300 oK. What is
its Ea value?
Given k310 = 2k300
or k1 = 2k0
Given k310 = 2k300
or k1 = 2k0
 
)mol/J(53594
k2
k
ln)34.8(
)310300(
300)(310
k
k
ln
TT
TT
E
o
o
1
0
1o
o1
a 




Summary of A and Ea
Reaction A Ea(kJ/mol)
N2ON2+O 8x1011 251 1st
N2O5 2NO+O2 6x1014 88 1st
N2+ON+NO 1x1011 315 2nd
OH+H22H2O+H 1x1011 42 2nd
CO2+OH-HCO3
- 1x1011 315 2nd
57
Example








12
a
1
2
1
a
1
T
1
T
1
R
E
k
k
ln
RT
E
Alnkln














1
2
12
21
a
k
k
lnR
TT
TT
E
)mol/kJ(8.57)mol/J(57811
00123.0
0394.0
)34.8(
298350
)298)(350(
Ea 













94.5578.070.8
298
1
308
1
324.8
57811
)00123.0ln(kln 






)ms/1(10x63.200263.0ek 394.5 

58
It is given for a specific reaction, k =0.00123 /ms at
290oK and 0.0394/ms at 350oK. What is its Ea and k
at 308oK?
Collision Theory
• COLLISION THEORY: a reaction results when
reactant molecules, which are properly oriented and
have the appropriate energy, collide
• The necessary energy is the activation energy, Ea
M. Silberberg 59
Molecular Orientation and Effective
Collisions
• Not all collisions leads to a reaction
• For effective collisions proper
orientation of the molecules must be
possible
60
Molecular Collisions
61
Before collision Effective collision
Before collision
No-effective collision
Collision Theory
RT
E
AAezv


22
AA ncd2
2
1
z 
m
T
dn2
m
T8
nd2
2
1
z 2222
AA





RT
E
BA
BA2
ABBA e
mm
mm
T8dnnv
2
1






 
 62
molecules/(cm3-s)
mπ
Tκ
c
8
 = average velocity of each molecule
m: mass of each molecules
k = Boltzmann constant
dAB: average distance, sum of radii
two identical gas molecules colliding with each other at a velocity,
v (molecules/cm3-s) [N.C. Leuis (1918) and Eyring (1935)]
zAA = # collision/(s-cm3)
Collision Theory
RT
E
BA
BA2
AB
BA
e
mm
mm
T8d
nn
v
'k
2
1






 

RT
E
BA
BA2
ABa e
mm
mm
T8dNk
2
1






 

Z
mm
mm
T8dNA
2
1
BA
BA2
ABa 




 

RT
E
2
1
eBTk


T
Z
B 
RT
E
PZek


63
k = k’Na (cm3/mol-s)
RT
E
BA
BA2
ABBA e
mm
mm
T8dnnv
2
1






 

Example
64
Estimate he rate constant for the decomposition of HI(g)
molecules at 321.4oC according to the collision theory.
Given for the HI(g) molecules the following prosperities:
2HI(g) = H2(g) +I2(g)
= 3.5 Å = 3.5x10-8 cm;
E = 44,000 cal/g-mol;
mA = mB = MHI = 128 g;
R = Na = 1.38x10-16x6.023x1023
= 8.3x107 (erg/oK-mol) = 1.98 (cal/oK-g-mol)
T = 273 + 321.4 = 594.6 oK
Example
 
)smolecules/cm(10x72.9
e10x70.1
e
128
2
6.59410x3.88)10x5.3('k
327
4.3710
)6.594)(10x34.8(44000728 7
2
1


















65
k =9.72x10-27
(cm3/moleculesx)(6.023x1023)(molecules/mol)
= 5.86x10-3 (cm3/mol-s)
=5.86x10-3x(1000)
=5.85x10-6 (L/mol-s)
Example
Collision of two water molecules at room temperature, 298 oK,
given:
d = 0.30 nm, T=298oK;
mA=mB=18(g-mol-1)/6.023x1023 =2.99x10-26 kg;
 =1.38x10-23 J/oK
    
  
)smolecules/cm(10x37.2
)smolecules/m(10x37.2
10x6/10x99.2
29810x38.18
10x3.0Z
310
316
2
1
26226
23
29

















66
Example
Reaction k’
(cm3-molecules-1-s-1)
k
(L-mol-1-s-1)
CH4+OHCH3 + H2O 8.14x10-15 4.9x1012
CH3+O2 CH2O+OH 3.76x10-36 2.26x10-9
CH3O+O CH2O+OH 1.7x10-11 1.02x1016
67
k (L-mol-1-s-1) = 1000 x6.023x1023 k’ (cm3-molecules-1-s-1)
Transition State Theory
• During a chemical reaction, reactants do not suddenly
convert to products
• The formation of products is a continuous process of
bonding breaking and forming
• At some point, a transitional species is formed containing
“partial” bonds
• This species is called the transition state or activated
complex
68
Transition State Theory
• The transition state is the configuration of atoms at the
maximum of the reaction energy diagram
• The activation energy is therefore the energy needed to
reach the transition state
• Note also that the transition state can go on to form
products or break apart to reform the reactants
b
rA
rB
R
uBC
uA
69
Transition State Theory
]][[
*][**
*
BA
AB
aa
a
K
BA
AB
BA
AB



]][[*
*
BAKr
BA
AB



RT
G
eK
*
*



T
  = 6.624x10-27 erg/s
70

K = 1.38x10-16 erg/oK
A + B = AB*  C
r = [AB*];  (s-1); [AB*](molecules/cm3)
Transiton Theory
 RTHRS
BA
AB
e
T
r /*/*
*











 RS
BA
AB
e
T
A /*
*











 
   
RTH
RTHRS
RTHRS
BA
AB
TZe
eef
T
ee
T
r
/*
/*/*
/*/*
*


















E =H*
71
Summary of Rate Theory
RT
Ea
Aek

 RT
Ea
RT
E
2
1
eBTk


RT
Ea
RT
*H
R
*S
ee
T
k



R
*S
e
T 
 RT
*H
Rate Theory Equation A term Exponential
term
Arrhenius A
Collision BT1/2
Activated
Complex
(Transition)
72
6. REACTION MECHANISMS
73
Reaction Mechanisms
• Reactions occur in a series of elementary steps
collectively called a mechanism.
• Determining the reaction mechanism is the overall goal
of kinetic studies.
• One step, the rate-determining step (RDS), is much
slower than the other.
• Usually, an intermediate (isolable) or a transition state
(non-isolable) is formed at some point during the
reaction.
• molecularity – the number of molecules that participate
in a reaction
74
Reaction Mechanism
• MECHANISM: the step-by-step pathway by which a
reaction occurs
• Each step is called an elementary step
– NO2(g) + CO(g)  NO(g) + CO2(g)
• Mechanism:
– NO2(g) + NO2(g)  NO(g) + NO3(g)
– NO3(g) + CO(g)  NO2(g) + CO2(g)
• NO3 is a reaction intermediate
75
Reaction Mechanism
• The slow step is called the rate-
determining step (RDS) or rate-limiting
step (RLS)
• A reaction can never occur faster than its
slowest step
• Overall reaction = sum of all elementary
steps
• The mechanism proposed must be
consistent with the rate law
76
Elementary Steps and Molecularity
Molecularity is the number of molecules reacting.
77
Molecularity Elementary Reaction Rate Law
Unimolecular A  products Rate = k[A]
Bimolecular A + A  products Rate = k[A]2
Bimolecular A + B  products Rate = k[A][B]
Trimolecular A + A + A  products Rate = k[A]3
Trimolecular A + A +  products Rate = k[A]2[B]
Trimolecular A + B + C  products Rate = k[A][B][C]
Steady-state Approach
• When reaction mechanism has several steps of
comparable rates, the rate-limiting step is often not
obvious. There are intermediates in some steps.
• SSA: a method used to derive a rate law based on the
assumption that one intermediate is consumed as
quickly as it is generated.
78
2 N2O5  4NO2 + O2 N2O5  NO2 + NO3 (1)
NO3 + NO2  NO+ NO2 + O2 (2)
NO3 + NO  2NO (3)
79
2N2O5 4NO + O2
N2O5 NO2 + NO3
k1
k-1
NO3 + NO NO + NO2 + O2
k2
NO3 + NO 2NO
k3
0]][[]][[
][
3332  NONOkNONOk
dt
NOd
][
]][[
][
33
232
NOk
NONOk
NO 
0]][[]][[]][[][
][
32133232521
3
  NONOkNONOkNONOkONk
dt
NOd
]][[]][[]][[
][
][
32133232
521
3
NONOkNONOkNONOk
ONk
NO


80
])[2(
][
][])[(
][
][][][
][
][
212
521
2
3
2
3212
521
21322
521
3
NOkk
ONk
NO
k
k
kNOkk
ONk
NOkNOkNOk
ONk
NO















]['
)2(
][
])[2(
]][[
]][[
][
52
12
52321
212
252321
232
2
ONk
kk
ONkkk
NOkk
NOONkkk
NONOk
dt
Od
r








Catalysis
• Catalyst – increases the rate of a reaction without being
consumed or changing chemically
• Accomplishes this by lowering the activation energy by
changing the reaction mechanism.
• Heterogeneous vs. homogeneous catalysis
• Examples:
– Catalytic converter
– Enzymes in the body
– Ozone depletion
81
Catalysis
• Reaction rates are also affected by catalysts
• Catalyst: a substance that increases the rate
of a reaction without being consumed in the
reaction
• Catalysts work by providing alternative
pathways that have lower activation energies
• A catalyst may be homogeneous or
heterogeneous
• Homogeneous: catalyst and reactants are in
the same phase
82
83
Energy
Reaction process
Uncatalyzed
pathway
Catalyzed
pathway
Reactants
products
E
Ea
Ea
• Heterogeneous: catalyst in a different phase
• Typically: a solid in a liquid
• An important example: catalytic converters in
automobile
- convert pollutants to CO2 H2O, O2, N2
- usually Pt, Pd, V2O5, Cr2O3, CuO
• Cars must use unleaded fuels – lead poisons the
catalytic bed
84
Enzyme Kinetics
Michaelis-Menten mechanism for enzyme kinetics is:
85
86
Catalytic efficiency, 
 = kcat/KM
 = k2/[(k-1+k2)/k1]
  max, = k1; if k2 >>k-1
k1 = rate of formation of ES
Diffusion limit ~ 108 – 109 M-1-s-1
For enzyme sized molecules at room
temperature
Decomposition of hydrogen peroxide
 = 4x108 M-1-s-1
Turnover number or catalytic constant
= number of catalytic cycles performed by the activate
Site in a given time intervals divided by the duration of that
87
Lineweaver Burk Plot ][
][max
SK
Sv
v
M 

   SSv
K
v
M 111
max

   
maxmax v
S
v
K
v
S M
   MM K
v
K
v
S
v
 max
1/vmax
KM/vmax
1/v
1/[S]
vmax/KM
1/KM
v/[S]
v
KM/vmax
1/vmax
[S]/v
[S]
88Hypothetical KM = 20 Vmax = 2
89
Enzyme Inhibition
Reversible: enzyme activity can be regenerated by
removing the inhibitors.
Irreversible: complete loss of enzyme activity after
a period of time
90
Competitive Inhibition
0][][]][[
][
211   ESkESkSEk
dt
ESd
0][][]][[
][
433   EIkEIkIEk
dt
EId
  
  MK
k
kk
ES
SE


 
1
21
  
  IK
EI
IE

][][][ EIESEEo 
IM
o
K
IE
K
SE
EE
]][[]][[
][ 







IM
o
K
I
K
S
EE
][][
1][
IM
o
K
I
K
S
E
E
][][
1
][


E + S ES  E + P
k1
+
I
EI E + Q
k3
KI
k-1
k2
k-3
91
][
][
2 ESk
dt
Pd

MK
SE
k
dt
Pd ]][[][
2
][
][][
1
][ 2
S
K
I
K
S
E
K
k
dt
Pd
IM
o
M 









][
][
1
][][ 2
S
K
I
K
SEk
dt
Pd
v
I
M
o
oEkv 2max 
1/v
[S]
1/vmax
[I]








][
][
1
][max
S
K
I
K
Sv
v
I
M
][
1][
1
11
maxmax SK
I
v
K
vv I
M














I
M
K
I
v
K ][
1
max
Inhibitor is replaced
from the active sites
by substrate at high [S]
92
Non-competitive inhabitation
Inhibitor binds to some other binding sites;
Inhibitor combines with both free E and ES
2 possible mechanisms:
Ternary complex is a dead-end complex and does
not breakdown to yield products
Ternary complex breaks down at a slow rate than he
ES complex
E + S ES  E + P
KM
+
I
+
I
EI + S EIS  E + P
KM
KI KI
93
E + S ES  E + P
k1
+
I
+
I
EI + S EIS  E + P
k3
KI KI
k-1
k2
k-3
][2 ESkv 
MIIM
M
KK
SI
K
I
K
S
K
S
v
v
]][[][][
1
][
max 















IM
M
K
I
S
K
S
K
S
v
v
][
1][
][
1
][
max
Vmax=k2E0
1/v
1/[S]
1/vmax-app







M
M
K
S
K
][
1
Iapp Kv
I
vv maxmaxmax
][11


1/vmax-app
[I]
1/vmax
1/(vmaxKI)
Henri-Michaelis-Menton Eq
94
Uncompetitive inhibition
No binding site for inhibitor until substrate is bound to
the enzyme, so only ternary complex is possible
95
][2 ESkv 
MIM
M
KK
SI
K
S
K
S
v
v
]][[][
1
][
max 

 







I
M
K
I
vSv
K
v
][
1
1
][
11
maxmax
Vmax=k2E0
1/v
1/[S]
1/v’
[I]
E + S ES  E + P
KM
+
I
EIS  E + Q
KI
 







IK
I
v
][
1
1
max
maxv
KM
IK
I
vv
][1
'
1
max

1/vmax
1/KI
Uncompetitive Inhibition
96
PESnSE n
n
n
SE
ES
K
]][[
][

n
n
n
n
SEKE
SEK
ESE
ES
Y
]][[][
]][[
][][
][




n
SK
Y
Y
][
1


KSn
Y
Y
log]log[
1
log 






][2 ESkv 
][][ ESEEo 
n
o SEKEE ]][[][ 
n
o
SK
E
E
][1
][


n
no
SK
SKE
ES
][1
][
][


n
n
o
n
SK
SKEk
ESkv
][1
][
][ 2
2


maxmax ][
11
v
K
Svv n

Yield
Hill eq.
n: Hill coefficient
97
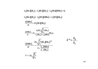
Chain Reactiosn
98
][
][
''1
]][['][
2
22
2
1
Br
HBr
k
BrHk
dt
HBrd


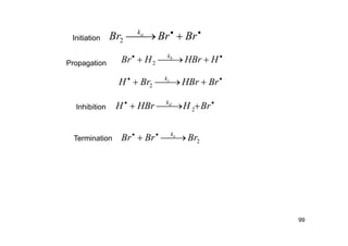
Chain reactions usually involve free radicals
The experimental rate law is
H2+Br2=2HBr
99
Initiation

 BrBrBr ak
2
Inhibition

 BrHHBrH dk
2
Termination 2BrBrBr ek
 
Propagation

 HHBrHBr bk
2

 BrHBrBrH ck
2
100
101
C2H6 = C2H4 + H2
102
103
The Lindemann Mechanism
104
N2O5 = NO2 + NO3.
k1 >> k-2 [N2O5]
Rate  k2[N2O5]2
k1 << k-2 [N2O5]
. (16)
Large M
105
7. Elementary Reaction in Solution
• Solvent effect
• Physical transfer
• Chemical effect
106
Reactions in Solution
• Upper limit for bimolecular steps of solution reaction.
Solutes behave like spheres undergoing Brown motion in
a viscous fluid and shows that the number of encounter
per cm3 per second is:
   111
4 BABABAE NNrrDDR  
dx
dN
DJ A
A
1

107
Reactions in Solution
dr
dN
DrR A
AB
1
2
4
1
AN at r=(rA+rB) is 0
1
( 0)
1
2 4 A
rr
N
Ar
dr
B NdDR
BA
A
 


 
1
)(4 AABAB NDrrR  
   111
4 BABABAE NNrrDDR  
1000
))((4 BABAa
diff
rrDDN
k



L-mol-1-s-1
108
Total flux at r from B:
Reactions in Solution
)(6 Tr
T
D



BA
BAa
diff
rrT
rrTN
k
)(3000
)(2 2

 

)(3000
8
T
RT
kdiff


)/(104.6
)01.0(3000
)298)(1031.8(8 8
7
smolLx
x
kdiff 
1)exp( 



diff
est
diff kk
Trr
ezz
BA
BA


)(
2


109
8. REACTION AT INTERFACES
• Mechanisms of surface reactions
• Transport from the bulk to the interface; AS
• Becomes adsorbed onto the surface: A+SAS
• Reacted at the surface: ASPS
• Desorbed from the surface: PS—P+S
• Transported back to the bulk:
P Bulk
110
Adsorption isotherms
(Langmuir)
11
1
BA
AS
NN
N
K 
1
AN = n/V =NaP/RT1
SN 1
TN=(1-)
1
ASN 1
TN= 
PN
T
K
a
1
1 



bP
bP


1

)(
1034.7 1
21

 atm
T
Kx
T
K
RT
KN
b a

111
K = RT/(1-)NaP
A+ S = AS; K
pV = nRT
n/V =P/RT
Adsorption Isotherm
(Fruendlich)
  

Pb
Pf
f
i
i
ii
1

f() = exp()
 = fraction of sites with energy of adsorption e between 0 and d.



 d
Pb
Pb





0
)(f(1
)(f(
Let Eads = 
T
PbT 
 )'(
m
aP
112
Maximum Adsorption Rate
112
2
1
1 8
SASE NN
T
R 









S
AS
AS
m
mm
mm



2222
SAS  
S = Total surface area of spheres in 1 cm3
12
)4( SS NrS 
= total number of spheres in 1 cm31
SN
1
2
1
1
2
A
A
S SN
m
T
R 








11
ASS SNkR 
2
1
2 






A
s
m
T
k


T
A
s pe
m
T
k 


 







2
1
2
113
A+SAS
Example
Calculate the rate constant for the adsorption of a
metal ion, with molecular weight of 100 g at room
temperature, 298 oK.
)/1)(/1)(/(1091.4
)/1)(/1)(/)(10023.6()10(1015.8
)(1015.8
1002
298104.1
2
22339
12139
2
1
16
12
scmmolLx
scmmolLxxxx
scmmoleculescmx
xx
xx
ks













114
2
1
2 






A
s
m
T
k


Langmuir-Hinshelwood
]][[
;
;
;
BSASkR
kSPBSAS
KBSSB
KASSA
s
s
B
A




2
)1( BBAA
BBAA
s
PbPb
PbPb
kR


A
B
s
AA
BB
s
AA
BBAA
s
P
P
k
Pb
Pb
k
Pb
PbPb
kR '
2
)(

2
)( BBAA
BBAA
s
PbPb
PbPb
kR


B
A
s
BB
AA
s
BB
BBAA
s
P
P
k
Pb
Pb
k
Pb
PbPb
kR '
)()( 2

BAs
BBAA
s PPk
PbPb
kR ,
1

115
bBPB <bAPA
bBPB > bAPA
bBPB , bAPA <1
Eley-Ridel Equation
skSCASB
KASSA
;
; 1


B
AA
AA
ss P
Pb
Pb
kASbkR


1
]][[
BsB
A
AA
sB
AA
AA
s PkP
P
Pb
kP
Pb
Pb
kR '
1



BAsBAAsB
AA
AB
s PPkPPbkP
Pb
Pb
kR '
1



116

Chemical kinetics

  • 1.
    Chemical Kinetics: Rates andMechanisms of Chemical Reactions C.P. Huang University of Delaware 1
  • 2.
    Content 1. Introduction 2. Reactionrate 3. Rate laws 4. Analysis of rate equations 5. Rate theories 6. Reaction mechanisms 1. Complex 2. Catalysis 3. Chain 7. Reactions in solution 8. Reactions at interface 2
  • 3.
  • 4.
    • Chemical Kinetics:study of rates of chemical reactions and mechanisms by which they occur • A reaction may be spontaneous but does not occur at measurable rates Objectives 4
  • 5.
    • How fasta reaction can take place? • What steps or pathways are involved in any chemical reaction? • How complete is the chemical reaction? • What are the two major factors controlling the outcome of chemical reactions? • Chemical thermodynamics • Chemical kinetics Why kinetics 5
  • 6.
  • 7.
    Definition of reactionrate • Rate – change in some variable per unit time • Reaction rate – change in concentration per unit time; M/s or mol/(L-s) • Rates are determined by monitoring concentration as a function of time • Rates are negative for reactants and positive quantities for products 7 Rate 1/time
  • 8.
    Types of reactionrate • Instantaneous rate – rate at a specific time • Average rate – ∆[A] over a specific time interval • Initial rate – instantaneous rate at t = 0 • Note: Rates and rate laws are not based on stoichiometry!! They must be determined experimentally. 8
  • 9.
    • Kinetics arevery difficult to describe from first principles – Structure, elements, behavior • Rate of reaction describes how fast reactants are used up and products are formed • There are 4 basic factors that affect reaction rates – Nature of reactants – Effective concentrations – Temperature – Presence of catalysts – Number of steps Factors affecting reaction rate 9
  • 10.
    Nature of reactants:particle size • The degree of intimacy among particles obviously depends on the physical nature of the particles. • Particles in the liquid state are closer than in the solid state. • Likewise, particles in a finely divided solid will be closer than in a chunk of the solid • In both situations, there is a larger surface area available for the reaction to take place • This leads to an increase in rate. The smaller the particles the faster the reaction rates 10
  • 11.
    Nature of reactants:bonding • Ions react rapidly: Ag+ + Cl- AgCl(s) Very fast • Reactions which involve bond breaking are slower: NH4 + + OCN- OC(NH2)2 • Redox reactions in solutions are slow • Transfer of electrons are faster than those of atoms. • Reactions between covalently bonded molecules are slow: 2 HI(g) H2(g) + I2(g) 11 
  • 12.
    Concentration • For everyreaction the particles must come into intimate contact with each other. • High concentrations by definition implies that particles are closer together (than dilute solutions). • So rate increases with concentration. • Surface area – larger surface area increases reaction • Mixing increases interaction • Need to minimized precipitation or colloid formation 12
  • 13.
    • Temperature affectsrate by affecting the number and energy of collisions • So an increase in temperature will have the effect of increasing reaction rate Temperature 13
  • 14.
    • Rate hasunits of moles per liter per unit time - M s-1, M h-1 • Consider the hypothetical reaction aA + bB  cC + dD • We can write Reaction rates and stoichiometry 14 t D dt C c t B bt A a r             ][1][1 ][1][1
  • 15.
    15 Example At a giventime, the rate of C2H4 reaction is 0.23 M/s. What are the rates of the other reaction components? C2H4(g) + 3 O2(g) → 2 CO2(g) + 2 H2O(g) 0.23 M/s ? ? ?
  • 16.
  • 17.
    Rate law • Considerthe following reaction aA + bB  products • Rate Law: equation describing the relationship between the reaction rate and concentration of a reactant or reactants Rate = k[A]m[B]n where k is called the rate constant 17
  • 18.
    Concentration and rate aA+ bB → cC + dD • General form of rate law: rate = k[A]m[B]n [A], [B] – concentration, in M or P k – rate constant; units vary m, n – reaction orders • Reaction orders and, thus, rate laws must be determined EXPERIMENTALLY!!! – Note: m ≠ a and n ≠ b – Overall order = sum of individual orders 18
  • 19.
    Reaction order • Rate= k[A][B]0 m = 1 and n = 0 - reaction is first order in A and zero order in B - overall order = 1 + 0 = 1 - usually written: Rate = k[A] • The values of the reaction order must be determined experimentally; they cannot be found by looking at the equation, i.e., the stoichiometry of the reaction 19
  • 20.
    Rate law • m,n are called reaction orders - they indicate the sensitivity of the rate to concentration changes of each reactant • NOTE: the orders have nothing to do with the stoichiometric coefficients in the balanced overall equation • An exponent of 0 means the reaction is zero order in that reactant - rate does not depend on the concentration of that reactant 20
  • 21.
    Rate Law • Anexponent of 1, rate is directly proportional to the concentration of that reactant - if concentration is doubled, rate doubles - reaction is first order in that reactant • An exponent of 2, rate is proportional to the square of concentration of that reactant – if concentration is double, rate is quadrupled – reaction is second order in that reactant • The overall reaction order is the sum of all the orders 21
  • 22.
    Reaction orders For thereaction: A →B, the rate law is: rate = k[A]m Order (m) ∆[A] by a factor of Rate increases by Zero (0) 2, 4, 15, ½, etc. None 1st (1) 2 2X 3 3X 2nd (2) 2 4X 3 9X ½ ¼X 22
  • 23.
    Example 1. What isthe order with respect to NO? 2. What is the order with respect to H2? 3. What is the overall order? 4. If [NO] is doubled, what is the effect on the reaction rate? 5. If [H2] is halved, what is the effect on the reaction rate? 6. What are the units of k? 23 2 1 3 quadrupled halved M-2-s-2 2 NO(g) + 2 H2(g) → N2(g) + 2 H2O(g) rate = k[NO]2[H2]
  • 24.
    24 Rate = 9x10-3(h-1) x 0.02 (M) = 1.8x10-5 (M-h-1) d[Cl]/dt = rate = 1.8x10-5 (M-h-1) What is the rate of Cl- production under these conditions? Calculate the rate of reaction when the concentration of PtCl2(NH3)2 is 2.0x10-2 M. PtCl2(NH3)2 + H2O  PtCl(H2O)(NH3)2 + Cl- Example
  • 25.
    Calculate rate when[NO] = 0.025 M and [H2] = 0.015 M. 25 Rate = 6x10-4 (M-2-s-1)x0.025 M x 0.015 M =225 (M-s-1) 2 NO(g) + 2 H2(g) → N2(g) + 2 H2O(g) rate = k[NO]2[H2] k = 6.0 x 104 M-2s-1 @1000K Example
  • 26.
    Measurement of reactionrate • Average reaction rate: a measure of the change in concentration with time • Instantaneous rate: rate of change of concentration at any particular instant during the reaction • Initial rate: instantaneous rate at t = 0; that is, when the reactants are first mixed 26 Rate may be measured in three ways
  • 27.
    Measurements of reactionrate Here nc is true order, with respect to concentration and nt is order with respect to time. When nt < nc, reaction is inhibitory and when nt >nc reaction is autocatalytic. 27 Instantaneous rate ntC1 C2 C3 t1 t2 t3 t C t C nc Initial rates nc C t
  • 28.
    In this reaction,the concentration of butyl chloride, C4H9Cl, is measured at various times. C4H9Cl(aq) + H2O(l) → C4H9OH(aq) + HCl(aq) 28 Time, s [C4H9Cl], M 0 0.1000 50 0.0905 100 0.0820 150 0.0741 200 0.0671 300 0.0549 400 0.0448 500 0.0368 800 0.0200 10,000 0
  • 29.
    29 Time, s [C4H9Cl],M Average rate, M/s 0 0.1000 50 0.0905 1.9E-4 100 0.0820 1.7E-4 150 0.0741 1.6E-4 200 0.0671 1.4E-4 300 0.0549 1.22E-4 400 0.0448 1.01E-4 500 0.0368 0.8E-4 800 0.0200 0.56E-4 10,000 0
  • 30.
    C4H9Cl(aq) + H2O(l)→ C4H9OH(aq) + HCl(aq) 30 Initial rate Instantaneous rate at 500 s
  • 31.
    Determination of ratelaw • Measuring the initial rates as a function of the initial concentrations • Avoids problems of reversible reactions • Initially there are no products so they cannot affect the measured rate • This method is chosen to check the effect of a single reactant on the rate 31 The method of initial rate
  • 32.
  • 33.
  • 34.
  • 35.
  • 36.
  • 37.
    Summary of ExperimentalMethods 37 Method Range of half-life, s Conventional 102 – 108 Flow 10-3 - 102 Relaxation 10-10 -1 pressure jump 10-6 - 1 temperature jump 10-7 - 1 field pulse 10-10 – 10-3 shock tubes 10-9 – 10-3 Kinetic spectroscopy 10-15 – 10-10
  • 38.
    4. ANALYSIS OFRATE LAW 38
  • 39.
    Types of ratelaws 39 • Differential rate law or rate law: Shows how the reaction rate changes with concentration • Integrated rate law: Shows how concentration changes with time
  • 40.
    First order ]A)[I,T(k dt ]A[d ν R A  1 t)I,T(k o e]A[]A[  t . )I,T(k ]Alog[]Alog[ o 3032  1.0 0.1 0.01 0.001 1 2 3 t Log [A] 40
  • 41.
    Second order 2 A ]A)[T(k dt ]A[d1 R    t)T(kν ]A[]A[ i 0 11 41  t)T(k]A[]B[ ]A[ ]B[ ln ]A[ ]B[]A[ ln oAoB o oAoAoB              
  • 42.
    Third order ]C][B][A)[T(k dt ]A[d1 R A    1CBA  ooo]C[]B[]A[  t)T(k2 ]A[ 1 ]A[ 1 2 o 2  42
  • 43.
    Summary Rate Equations 43 Rate= k[A]n; [A] = concentration at time t, [Ao] = initial concentration, [X] = product conc. [A0]-[A] = kt, [X] = kt ln[A0] - ln[A] = kt, ln[A0] - ln([Ao] - [X]) = kt 0 order k = M/s 1st order k = 1/s 2nd order k = M-1-s-1 3rd order k = M-2-s-1
  • 44.
    Half-life • The half-life,t1/2, is defined as the time it takes for the reactant concentration to drop to half its initial value • Note: the half-life for a first order reaction does not depend on the initial concentration • The value of the half-life is constant 44
  • 45.
    Half-Life 45 • Half-life – A=Aoe-t –  = ln2/t1/2 – If a rate half life is known, fraction reacted or remaining can be calculated (CH3)2N2(g)  N2(g) + C2H6(g) Time Pressure (torr) 0 36.2 30 46.5 Ct =Coe-kt kt0.5=ln(2) to.5 = - [ln(2) t]/[ln(Ct/Co)] to.5 = - [ln(2) (30)]/[ln(25.9/36.5)]=62.1 (min) t A B C 0 36.2 0 0 3036.2(1-x) 36.2x 36.2x 46.5 = 36.2(1-x+2x)=36.2(1+x)=36.2+36.2x 46.5-36.2 = 36.2x x = 0.285 A = 36.5(1-0.285) = 25.9
  • 46.
  • 47.
  • 48.
    ARRHENIUS’ EQUATION • In1885, Hood proposed the following equation: • In 1884, vant’s Hoff-Arrhenius proposed the following equation: Kc is the equilibrium constant T A' Blogk  2 c RT E dT Klnd   48
  • 49.
    ARRHENIUS’ EQUATION 49 E1 E2 E=Ea Initial state Finalstate Activated state; X* E1 E2 E=Ea Initial state Final state Activated state; X* DCBA kk  11 ]][[]][[ 11 DCkBAk  ]][[ ]][[ 1 1 BA DC k k Kc   11  EEE 2 11 lnln RT E dt kd dt kd    1 ln 2 11  RT E dt kd 1 ln 2 11   RT E dt kd 2 ln RT E dT kd a  C RT E k a ln C = constant
  • 50.
    Arrhenius Equation • SvanteArrhenius developed an equation for the mathematical relationship between k and Ea. • A is the frequency factor, which represents the number of effective collisions. • : Boltzmann expression for the fraction of system having energy in excess of the value, Ea, so that is may be identified with the fraction of reactant molecules that are activated complexes 50 RT Ea e 
  • 51.
    Arrhenius Equation Y =m x + b 51 Or log k = log A –Ea/(2.303 R) (1/T) Slope = Ea/2.303 R = Ea/4.57 Cal
  • 52.
    To find slope,m 52              12 1 2 11 ln TT k k m = Ln k 1/T Ea/3R
  • 53.
    Arrhenius’ Equation • Thisis Arrhenius’ Equation • Can be arranged in the form of a straight line • ln k = (-Ea/R)(1/T) + ln A • Plot ln k vs. 1/T  slope = -Ea/R 1.0 0.1 0.01 0.001 1 2 3 1/T Log [k] EA/2.303 = dlog K/d(1/T) Diffusion regime Reaction regime Ea < 5 kcal/mol: diffusion control reaction Ea > 5 kcal/mol; reactive control 53
  • 54.
    Activation Energy, Ea •Energy barrier (hump) that must be overcome for a chemical reaction to proceed • Activated complex or transition state – arrangement of atoms at the top of the barrier 54
  • 55.
    Temperature Effects • Athigher temperatures, more molecules will have adequate energy to react. • This increases the reaction rate. Maxwell-Boltzmann Distribution 55
  • 56.
    Example 56 A reaction whichrate constant doubles when temperature is raised by 10oK from 300 oK. What is its Ea value? Given k310 = 2k300 or k1 = 2k0 Given k310 = 2k300 or k1 = 2k0   )mol/J(53594 k2 k ln)34.8( )310300( 300)(310 k k ln TT TT E o o 1 0 1o o1 a     
  • 57.
    Summary of Aand Ea Reaction A Ea(kJ/mol) N2ON2+O 8x1011 251 1st N2O5 2NO+O2 6x1014 88 1st N2+ON+NO 1x1011 315 2nd OH+H22H2O+H 1x1011 42 2nd CO2+OH-HCO3 - 1x1011 315 2nd 57
  • 58.
  • 59.
    Collision Theory • COLLISIONTHEORY: a reaction results when reactant molecules, which are properly oriented and have the appropriate energy, collide • The necessary energy is the activation energy, Ea M. Silberberg 59
  • 60.
    Molecular Orientation andEffective Collisions • Not all collisions leads to a reaction • For effective collisions proper orientation of the molecules must be possible 60
  • 61.
    Molecular Collisions 61 Before collisionEffective collision Before collision No-effective collision
  • 62.
    Collision Theory RT E AAezv   22 AA ncd2 2 1 z m T dn2 m T8 nd2 2 1 z 2222 AA      RT E BA BA2 ABBA e mm mm T8dnnv 2 1          62 molecules/(cm3-s) mπ Tκ c 8  = average velocity of each molecule m: mass of each molecules k = Boltzmann constant dAB: average distance, sum of radii two identical gas molecules colliding with each other at a velocity, v (molecules/cm3-s) [N.C. Leuis (1918) and Eyring (1935)] zAA = # collision/(s-cm3)
  • 63.
    Collision Theory RT E BA BA2 AB BA e mm mm T8d nn v 'k 2 1          RT E BA BA2 ABae mm mm T8dNk 2 1          Z mm mm T8dNA 2 1 BA BA2 ABa         RT E 2 1 eBTk   T Z B  RT E PZek   63 k = k’Na (cm3/mol-s) RT E BA BA2 ABBA e mm mm T8dnnv 2 1         
  • 64.
    Example 64 Estimate he rateconstant for the decomposition of HI(g) molecules at 321.4oC according to the collision theory. Given for the HI(g) molecules the following prosperities: 2HI(g) = H2(g) +I2(g) = 3.5 Å = 3.5x10-8 cm; E = 44,000 cal/g-mol; mA = mB = MHI = 128 g; R = Na = 1.38x10-16x6.023x1023 = 8.3x107 (erg/oK-mol) = 1.98 (cal/oK-g-mol) T = 273 + 321.4 = 594.6 oK
  • 65.
  • 66.
    Example Collision of twowater molecules at room temperature, 298 oK, given: d = 0.30 nm, T=298oK; mA=mB=18(g-mol-1)/6.023x1023 =2.99x10-26 kg;  =1.38x10-23 J/oK         )smolecules/cm(10x37.2 )smolecules/m(10x37.2 10x6/10x99.2 29810x38.18 10x3.0Z 310 316 2 1 26226 23 29                  66
  • 67.
    Example Reaction k’ (cm3-molecules-1-s-1) k (L-mol-1-s-1) CH4+OHCH3 +H2O 8.14x10-15 4.9x1012 CH3+O2 CH2O+OH 3.76x10-36 2.26x10-9 CH3O+O CH2O+OH 1.7x10-11 1.02x1016 67 k (L-mol-1-s-1) = 1000 x6.023x1023 k’ (cm3-molecules-1-s-1)
  • 68.
    Transition State Theory •During a chemical reaction, reactants do not suddenly convert to products • The formation of products is a continuous process of bonding breaking and forming • At some point, a transitional species is formed containing “partial” bonds • This species is called the transition state or activated complex 68
  • 69.
    Transition State Theory •The transition state is the configuration of atoms at the maximum of the reaction energy diagram • The activation energy is therefore the energy needed to reach the transition state • Note also that the transition state can go on to form products or break apart to reform the reactants b rA rB R uBC uA 69
  • 70.
    Transition State Theory ]][[ *][** * BA AB aa a K BA AB BA AB    ]][[* * BAKr BA AB    RT G eK * *    T  = 6.624x10-27 erg/s 70  K = 1.38x10-16 erg/oK A + B = AB*  C r = [AB*];  (s-1); [AB*](molecules/cm3)
  • 71.
    Transiton Theory  RTHRS BA AB e T r/*/* *             RS BA AB e T A /* *                  RTH RTHRS RTHRS BA AB TZe eef T ee T r /* /*/* /*/* *                   E =H* 71
  • 72.
    Summary of RateTheory RT Ea Aek   RT Ea RT E 2 1 eBTk   RT Ea RT *H R *S ee T k    R *S e T   RT *H Rate Theory Equation A term Exponential term Arrhenius A Collision BT1/2 Activated Complex (Transition) 72
  • 73.
  • 74.
    Reaction Mechanisms • Reactionsoccur in a series of elementary steps collectively called a mechanism. • Determining the reaction mechanism is the overall goal of kinetic studies. • One step, the rate-determining step (RDS), is much slower than the other. • Usually, an intermediate (isolable) or a transition state (non-isolable) is formed at some point during the reaction. • molecularity – the number of molecules that participate in a reaction 74
  • 75.
    Reaction Mechanism • MECHANISM:the step-by-step pathway by which a reaction occurs • Each step is called an elementary step – NO2(g) + CO(g)  NO(g) + CO2(g) • Mechanism: – NO2(g) + NO2(g)  NO(g) + NO3(g) – NO3(g) + CO(g)  NO2(g) + CO2(g) • NO3 is a reaction intermediate 75
  • 76.
    Reaction Mechanism • Theslow step is called the rate- determining step (RDS) or rate-limiting step (RLS) • A reaction can never occur faster than its slowest step • Overall reaction = sum of all elementary steps • The mechanism proposed must be consistent with the rate law 76
  • 77.
    Elementary Steps andMolecularity Molecularity is the number of molecules reacting. 77 Molecularity Elementary Reaction Rate Law Unimolecular A  products Rate = k[A] Bimolecular A + A  products Rate = k[A]2 Bimolecular A + B  products Rate = k[A][B] Trimolecular A + A + A  products Rate = k[A]3 Trimolecular A + A +  products Rate = k[A]2[B] Trimolecular A + B + C  products Rate = k[A][B][C]
  • 78.
    Steady-state Approach • Whenreaction mechanism has several steps of comparable rates, the rate-limiting step is often not obvious. There are intermediates in some steps. • SSA: a method used to derive a rate law based on the assumption that one intermediate is consumed as quickly as it is generated. 78 2 N2O5  4NO2 + O2 N2O5  NO2 + NO3 (1) NO3 + NO2  NO+ NO2 + O2 (2) NO3 + NO  2NO (3)
  • 79.
    79 2N2O5 4NO +O2 N2O5 NO2 + NO3 k1 k-1 NO3 + NO NO + NO2 + O2 k2 NO3 + NO 2NO k3 0]][[]][[ ][ 3332  NONOkNONOk dt NOd ][ ]][[ ][ 33 232 NOk NONOk NO  0]][[]][[]][[][ ][ 32133232521 3   NONOkNONOkNONOkONk dt NOd ]][[]][[]][[ ][ ][ 32133232 521 3 NONOkNONOkNONOk ONk NO  
  • 80.
  • 81.
    Catalysis • Catalyst –increases the rate of a reaction without being consumed or changing chemically • Accomplishes this by lowering the activation energy by changing the reaction mechanism. • Heterogeneous vs. homogeneous catalysis • Examples: – Catalytic converter – Enzymes in the body – Ozone depletion 81
  • 82.
    Catalysis • Reaction ratesare also affected by catalysts • Catalyst: a substance that increases the rate of a reaction without being consumed in the reaction • Catalysts work by providing alternative pathways that have lower activation energies • A catalyst may be homogeneous or heterogeneous • Homogeneous: catalyst and reactants are in the same phase 82
  • 83.
  • 84.
    • Heterogeneous: catalystin a different phase • Typically: a solid in a liquid • An important example: catalytic converters in automobile - convert pollutants to CO2 H2O, O2, N2 - usually Pt, Pd, V2O5, Cr2O3, CuO • Cars must use unleaded fuels – lead poisons the catalytic bed 84
  • 85.
  • 86.
    86 Catalytic efficiency,  = kcat/KM  = k2/[(k-1+k2)/k1]   max, = k1; if k2 >>k-1 k1 = rate of formation of ES Diffusion limit ~ 108 – 109 M-1-s-1 For enzyme sized molecules at room temperature Decomposition of hydrogen peroxide  = 4x108 M-1-s-1 Turnover number or catalytic constant = number of catalytic cycles performed by the activate Site in a given time intervals divided by the duration of that
  • 87.
    87 Lineweaver Burk Plot][ ][max SK Sv v M      SSv K v M 111 max      maxmax v S v K v S M    MM K v K v S v  max 1/vmax KM/vmax 1/v 1/[S] vmax/KM 1/KM v/[S] v KM/vmax 1/vmax [S]/v [S]
  • 88.
  • 89.
    89 Enzyme Inhibition Reversible: enzymeactivity can be regenerated by removing the inhibitors. Irreversible: complete loss of enzyme activity after a period of time
  • 90.
    90 Competitive Inhibition 0][][]][[ ][ 211  ESkESkSEk dt ESd 0][][]][[ ][ 433   EIkEIkIEk dt EId      MK k kk ES SE     1 21      IK EI IE  ][][][ EIESEEo  IM o K IE K SE EE ]][[]][[ ][         IM o K I K S EE ][][ 1][ IM o K I K S E E ][][ 1 ][   E + S ES  E + P k1 + I EI E + Q k3 KI k-1 k2 k-3
  • 91.
    91 ][ ][ 2 ESk dt Pd  MK SE k dt Pd ]][[][ 2 ][ ][][ 1 ][2 S K I K S E K k dt Pd IM o M           ][ ][ 1 ][][ 2 S K I K SEk dt Pd v I M o oEkv 2max  1/v [S] 1/vmax [I]         ][ ][ 1 ][max S K I K Sv v I M ][ 1][ 1 11 maxmax SK I v K vv I M               I M K I v K ][ 1 max Inhibitor is replaced from the active sites by substrate at high [S]
  • 92.
    92 Non-competitive inhabitation Inhibitor bindsto some other binding sites; Inhibitor combines with both free E and ES 2 possible mechanisms: Ternary complex is a dead-end complex and does not breakdown to yield products Ternary complex breaks down at a slow rate than he ES complex E + S ES  E + P KM + I + I EI + S EIS  E + P KM KI KI
  • 93.
    93 E + SES  E + P k1 + I + I EI + S EIS  E + P k3 KI KI k-1 k2 k-3 ][2 ESkv  MIIM M KK SI K I K S K S v v ]][[][][ 1 ][ max                 IM M K I S K S K S v v ][ 1][ ][ 1 ][ max Vmax=k2E0 1/v 1/[S] 1/vmax-app        M M K S K ][ 1 Iapp Kv I vv maxmaxmax ][11   1/vmax-app [I] 1/vmax 1/(vmaxKI) Henri-Michaelis-Menton Eq
  • 94.
    94 Uncompetitive inhibition No bindingsite for inhibitor until substrate is bound to the enzyme, so only ternary complex is possible
  • 95.
    95 ][2 ESkv  MIM M KK SI K S K S v v ]][[][ 1 ][ max           I M K I vSv K v ][ 1 1 ][ 11 maxmax Vmax=k2E0 1/v 1/[S] 1/v’ [I] E + S ES  E + P KM + I EIS  E + Q KI          IK I v ][ 1 1 max maxv KM IK I vv ][1 ' 1 max  1/vmax 1/KI Uncompetitive Inhibition
  • 96.
    96 PESnSE n n n SE ES K ]][[ ][  n n n n SEKE SEK ESE ES Y ]][[][ ]][[ ][][ ][     n SK Y Y ][ 1   KSn Y Y log]log[ 1 log        ][2ESkv  ][][ ESEEo  n o SEKEE ]][[][  n o SK E E ][1 ][   n no SK SKE ES ][1 ][ ][   n n o n SK SKEk ESkv ][1 ][ ][ 2 2   maxmax ][ 11 v K Svv n  Yield Hill eq. n: Hill coefficient
  • 97.
  • 98.
    Chain Reactiosn 98 ][ ][ ''1 ]][['][ 2 22 2 1 Br HBr k BrHk dt HBrd   Chain reactionsusually involve free radicals The experimental rate law is H2+Br2=2HBr
  • 99.
    99 Initiation   BrBrBr ak 2 Inhibition  BrHHBrH dk 2 Termination 2BrBrBr ek   Propagation   HHBrHBr bk 2   BrHBrBrH ck 2
  • 100.
  • 101.
  • 102.
    C2H6 = C2H4+ H2 102
  • 103.
  • 104.
    The Lindemann Mechanism 104 N2O5= NO2 + NO3. k1 >> k-2 [N2O5] Rate  k2[N2O5]2 k1 << k-2 [N2O5]
  • 105.
  • 106.
    7. Elementary Reactionin Solution • Solvent effect • Physical transfer • Chemical effect 106
  • 107.
    Reactions in Solution •Upper limit for bimolecular steps of solution reaction. Solutes behave like spheres undergoing Brown motion in a viscous fluid and shows that the number of encounter per cm3 per second is:    111 4 BABABAE NNrrDDR   dx dN DJ A A 1  107
  • 108.
    Reactions in Solution dr dN DrRA AB 1 2 4 1 AN at r=(rA+rB) is 0 1 ( 0) 1 2 4 A rr N Ar dr B NdDR BA A       1 )(4 AABAB NDrrR      111 4 BABABAE NNrrDDR   1000 ))((4 BABAa diff rrDDN k    L-mol-1-s-1 108 Total flux at r from B:
  • 109.
    Reactions in Solution )(6Tr T D    BA BAa diff rrT rrTN k )(3000 )(2 2     )(3000 8 T RT kdiff   )/(104.6 )01.0(3000 )298)(1031.8(8 8 7 smolLx x kdiff  1)exp(     diff est diff kk Trr ezz BA BA   )( 2   109
  • 110.
    8. REACTION ATINTERFACES • Mechanisms of surface reactions • Transport from the bulk to the interface; AS • Becomes adsorbed onto the surface: A+SAS • Reacted at the surface: ASPS • Desorbed from the surface: PS—P+S • Transported back to the bulk: P Bulk 110
  • 111.
    Adsorption isotherms (Langmuir) 11 1 BA AS NN N K  1 AN= n/V =NaP/RT1 SN 1 TN=(1-) 1 ASN 1 TN=  PN T K a 1 1     bP bP   1  )( 1034.7 1 21   atm T Kx T K RT KN b a  111 K = RT/(1-)NaP A+ S = AS; K pV = nRT n/V =P/RT
  • 112.
    Adsorption Isotherm (Fruendlich)    Pb Pf f i i ii 1  f() = exp()  = fraction of sites with energy of adsorption e between 0 and d.     d Pb Pb      0 )(f(1 )(f( Let Eads =  T PbT   )'( m aP 112
  • 113.
    Maximum Adsorption Rate 112 2 1 18 SASE NN T R           S AS AS m mm mm    2222 SAS   S = Total surface area of spheres in 1 cm3 12 )4( SS NrS  = total number of spheres in 1 cm31 SN 1 2 1 1 2 A A S SN m T R          11 ASS SNkR  2 1 2        A s m T k   T A s pe m T k             2 1 2 113 A+SAS
  • 114.
    Example Calculate the rateconstant for the adsorption of a metal ion, with molecular weight of 100 g at room temperature, 298 oK. )/1)(/1)(/(1091.4 )/1)(/1)(/)(10023.6()10(1015.8 )(1015.8 1002 298104.1 2 22339 12139 2 1 16 12 scmmolLx scmmolLxxxx scmmoleculescmx xx xx ks              114 2 1 2        A s m T k  
  • 115.
    Langmuir-Hinshelwood ]][[ ; ; ; BSASkR kSPBSAS KBSSB KASSA s s B A     2 )1( BBAA BBAA s PbPb PbPb kR   A B s AA BB s AA BBAA s P P k Pb Pb k Pb PbPb kR ' 2 )(  2 )(BBAA BBAA s PbPb PbPb kR   B A s BB AA s BB BBAA s P P k Pb Pb k Pb PbPb kR ' )()( 2  BAs BBAA s PPk PbPb kR , 1  115 bBPB <bAPA bBPB > bAPA bBPB , bAPA <1
  • 116.
    Eley-Ridel Equation skSCASB KASSA ; ; 1   B AA AA ssP Pb Pb kASbkR   1 ]][[ BsB A AA sB AA AA s PkP P Pb kP Pb Pb kR ' 1    BAsBAAsB AA AB s PPkPPbkP Pb Pb kR ' 1    116