1
Hubungan Kinematika dengan Mekanika
Mempelajari gerak materi
tanpa melibatkan
penyebab terjadinya
gerak
Kinematika
Mempelajari gerak materi
dan penyebab
terjadinya gerak
Dinamika
Mekanika
Materi bahasan:
Pergeseran, Jarak,
Kecepatan, Percepatan
Materi bahasan:
Gaya, Usaha,
Momentum, dll…
Kerangka Acuan Perpindahan
Kecepatan Sesaat dan Rata-rata
Percepatan
Gerak dengan Percepatan Konstan
Gerak Jatuh Bebas
Analisa Grafik dari Gerak
KINEMATIKA
 Kinematika adalah bidang ilmu fisika yang mempelajari tentang
gerak suatu obyek/benda tanpa memperhatikan penyebabnya
 KECEPATAN DAN PERCEPATAN RATA-RATA
• Bila suatu benda berubah posisinya (berpindah tempat) dalam
kurun waktu tertentu, maka benda tersebut dikatakan
mempunyai kecepatan
• Bila suatu benda berubah kecepatannya dalam kurun waktu
tertentu, maka benda tersebut dikatakan mempunyai percepatan
t
v
tt
vv
a
t
x
tt
xx
v
12
12
12
12












x1 = posisi awal
x2 = posisi akhir
v1 = kecepatan awal
v2 = kecepatan akhir
t1 = waktu awal
t2 = waktu akhir
 GERAK SATU DIMENSI
 Gerak Horisontal
 Gerak Vertikal (Jatuh Bebas)
 GERAK DUA DIMENSI
 Gerak Parabola (Peluru)
 Gerak Melingkar
 Gerak Relatip
 GERAK DENGAN PERCEPATAN KONSTAN
• Setiap gerak di alam hakekatnya adalah
gerak relatif, oleh karenanya perlu dibuat
satu titik acuan tertentu.
Kerangka Acuan Perpindahan
Titik acuan (O) dapat
dipandang sebagai pusat
koordinat
Kecepatan Rata-rata adalah rate pergeseran dalam
selang waktu tertentu:
Kelajuan adalah Jarak yang ditempuh dalam selang
waktu tertentu:
v : kecepatan
r : rate pergeseran
t : selang waktu
Diperoleh dengan mengambil limit Δt  0.
t
r
tt
rr
vr






12
12
t
r
tt
rr
v
ttt
s






 0
12
12
limlim
12
8
Pesawat sedang melakukan gerak satu dimensi
9
Mobil di jalan tol sedang melakukan gerak satu dimensi
10
Kereta api sedang melakukan gerak satu dimensi
Gerak satu dimensi:
Posisi benda dinyatakan secara lengkap
dengan satu variabel saja
jyixr ˆˆ 

kzjyixr ˆˆˆ 

ixr ˆ

jyr ˆ

Untuk gerak dua dimensi dan tiga dimensi,
variabel posisi lebih dari satu
Dua Dimensi
Tiga Dimensi
11
Selanjutnya simbol
vektor dapat dibuang
 GERAK HORISONTAL
12
12
12
12
tt
vv
a
tt
xx
v






x1
x2
v1
v2
t1
t2
x1 = xo posisi awal
x2 = x posisi akhir
v1 = vo kecepatan awal
v2 = v kecepatan akhir
t1 = 0 waktu awal
t2 = t waktu akhir
Percepatan konstan :
0t
vv
aa o



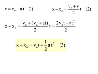
)1(atvv o 
x1 = xo posisi awal
x2 = x posisi akhir
v1 = vo kecepatan awal
v2 = v kecepatan akhir
t1 = 0 waktu awal
t2 = t waktu akhir
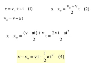
2
vv
v o 

0t
xx
tt
xx
v o
12
12






Kecepatan rata-rata :
0t
xx
2
vv oo




)2(t
2
vv
xx o
o


)1(tavv o  )2(t
2
vv
xx o
o


2
attv2
t
2
)atv(v
xx
2
ooo
o




)3(ta
2
1
tvxx 2
oo 
)1(tavv o  )2(t
2
vv
xx o
o


2
attv2
t
2
v)atv(
xx
2
o




)4(ta
2
1
tvxx 2
o 
tavvo 
)1(tavv o  )2(t
2
vv
xx o
o


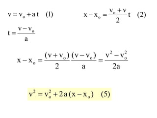
a2
vv
a
)vv(
2
)vv(
xx
2
o
2
oo
o




)5()xx(a2vv o
2
o
2

a
vv
t o

tavv)1( o 
t
2
vv
xx)2( o
o


2
oo ta
2
1
tvxx)3( 
2
o ta
2
1
tvxx)4( 
)xx(a2vv)5( o
2
o
2

5 buah persamaan dengan 4 variabel
18
• Bentuk grafik :
Sebuah pesawat jumbo jet memerlukan kecepatan minimum sebesar 360
km/jam agar dapat tinggal landas. Panjang landas pacu yang ada di bandar
udara adalah 2000 m.
a) Berapa waktu yang diperlukan sebelum tinggal landas ?
b) Berapa percepatan minimum yang harus dihasilkan oleh mesin
jumbo jet tersebut.
Jawab :
s
m
100
s3600
m1000
360
jam
km
360vm2000xx0v oo 
a). Untuk menghitung percepatan gunakan persamaan (5) :
2
2
o
2
o
2
o
2
o
2
s
m
5,2
)2000(2
0100
)xx(2
vv
a
)xx(a2vv







Variabel yang sudah diketahui 3 :
Penerapan GLBB
• Gerak Jatuh Bebas (GJB)
• Gerak Vertikal ke Bawah (GVB)
• Gerak Vertikal ke Atas (GVA)
tavv)1( o 
t
2
vv
xx)2( o
o


2
oo ta
2
1
tvxx)3( 
2
o ta
2
1
tvxx)4( 
)xx(a2vv)5( o
2
o
2

5 buah persamaan dengan 4 variabel
Gerak Jatuh Bebas (GJB)
• Benda dijatuhkan dari suatu ketinggian tanpa
kecepatan awal (v0 = 0) dan selama geraknya
mengalami percepatan tetap (g = 9,8 m/s2 =
10 m/s2 ).
• v0 = 0
• a = g
• x-xo = h
Gerak Vertikal ke Bawah (GVB)
• Gerak suatu benda yang dilempar tegak lurus
ke bawah dengan kecepatan awal (v0  0)
• v0  0
• a = g
• x-xo = h
Gerak Vertikal ke Atas (GVA)
• Gerak suatu benda yang dilempar tegak lurus
ke atas dengan kecepatan awal tertentu (v0 
0).
• v0  0
• a = - g
• x-xo = h
Tugas
• Carilah persamaan ketiga gerak tersebut
dengan ciri-ciri atau syarat yang sudah
ditentukan!!
25
• Soal: Sebuah bola dijatuhkan dari suatu ketinggian.
Tentukan kedudukan dan kelajuan bola setelah
bergerak selama 5 s.
• Soal: seorang anak melempar batu ke dalam sumur
dengan kecepatan awal 3 m/s. Anak itu mendengar
bunyi batu mengenai dasar sumur setelah 2 sekon.
Tentukan kecepatan batu dan kedalaman sumur.
• Soal: sebuah kembang api diluncurkan vertikal ke
atas dengan kecepatan awal 20 m/s. 1 detik
kemudian kembang api tersebut memancar.
Tentukan kecepatan dan ketinggian akhir kembang
api saat memancar.
26

Fisika Dasar - Gerak Satu Dimensi

  • 1.
  • 2.
    Hubungan Kinematika denganMekanika Mempelajari gerak materi tanpa melibatkan penyebab terjadinya gerak Kinematika Mempelajari gerak materi dan penyebab terjadinya gerak Dinamika Mekanika Materi bahasan: Pergeseran, Jarak, Kecepatan, Percepatan Materi bahasan: Gaya, Usaha, Momentum, dll…
  • 3.
    Kerangka Acuan Perpindahan KecepatanSesaat dan Rata-rata Percepatan Gerak dengan Percepatan Konstan Gerak Jatuh Bebas Analisa Grafik dari Gerak
  • 4.
    KINEMATIKA  Kinematika adalahbidang ilmu fisika yang mempelajari tentang gerak suatu obyek/benda tanpa memperhatikan penyebabnya  KECEPATAN DAN PERCEPATAN RATA-RATA • Bila suatu benda berubah posisinya (berpindah tempat) dalam kurun waktu tertentu, maka benda tersebut dikatakan mempunyai kecepatan • Bila suatu benda berubah kecepatannya dalam kurun waktu tertentu, maka benda tersebut dikatakan mempunyai percepatan t v tt vv a t x tt xx v 12 12 12 12             x1 = posisi awal x2 = posisi akhir v1 = kecepatan awal v2 = kecepatan akhir t1 = waktu awal t2 = waktu akhir
  • 5.
     GERAK SATUDIMENSI  Gerak Horisontal  Gerak Vertikal (Jatuh Bebas)  GERAK DUA DIMENSI  Gerak Parabola (Peluru)  Gerak Melingkar  Gerak Relatip  GERAK DENGAN PERCEPATAN KONSTAN
  • 6.
    • Setiap gerakdi alam hakekatnya adalah gerak relatif, oleh karenanya perlu dibuat satu titik acuan tertentu. Kerangka Acuan Perpindahan Titik acuan (O) dapat dipandang sebagai pusat koordinat
  • 7.
    Kecepatan Rata-rata adalahrate pergeseran dalam selang waktu tertentu: Kelajuan adalah Jarak yang ditempuh dalam selang waktu tertentu: v : kecepatan r : rate pergeseran t : selang waktu Diperoleh dengan mengambil limit Δt  0. t r tt rr vr       12 12 t r tt rr v ttt s        0 12 12 limlim 12
  • 8.
    8 Pesawat sedang melakukangerak satu dimensi
  • 9.
    9 Mobil di jalantol sedang melakukan gerak satu dimensi
  • 10.
    10 Kereta api sedangmelakukan gerak satu dimensi
  • 11.
    Gerak satu dimensi: Posisibenda dinyatakan secara lengkap dengan satu variabel saja jyixr ˆˆ   kzjyixr ˆˆˆ   ixr ˆ  jyr ˆ  Untuk gerak dua dimensi dan tiga dimensi, variabel posisi lebih dari satu Dua Dimensi Tiga Dimensi 11 Selanjutnya simbol vektor dapat dibuang
  • 12.
     GERAK HORISONTAL 12 12 12 12 tt vv a tt xx v       x1 x2 v1 v2 t1 t2 x1= xo posisi awal x2 = x posisi akhir v1 = vo kecepatan awal v2 = v kecepatan akhir t1 = 0 waktu awal t2 = t waktu akhir Percepatan konstan : 0t vv aa o    )1(atvv o 
  • 13.
    x1 = xoposisi awal x2 = x posisi akhir v1 = vo kecepatan awal v2 = v kecepatan akhir t1 = 0 waktu awal t2 = t waktu akhir 2 vv v o   0t xx tt xx v o 12 12       Kecepatan rata-rata : 0t xx 2 vv oo     )2(t 2 vv xx o o  
  • 14.
    )1(tavv o )2(t 2 vv xx o o   2 attv2 t 2 )atv(v xx 2 ooo o     )3(ta 2 1 tvxx 2 oo 
  • 15.
    )1(tavv o )2(t 2 vv xx o o   2 attv2 t 2 v)atv( xx 2 o     )4(ta 2 1 tvxx 2 o  tavvo 
  • 16.
    )1(tavv o )2(t 2 vv xx o o   a2 vv a )vv( 2 )vv( xx 2 o 2 oo o     )5()xx(a2vv o 2 o 2  a vv t o 
  • 17.
    tavv)1( o  t 2 vv xx)2(o o   2 oo ta 2 1 tvxx)3(  2 o ta 2 1 tvxx)4(  )xx(a2vv)5( o 2 o 2  5 buah persamaan dengan 4 variabel
  • 18.
  • 19.
    Sebuah pesawat jumbojet memerlukan kecepatan minimum sebesar 360 km/jam agar dapat tinggal landas. Panjang landas pacu yang ada di bandar udara adalah 2000 m. a) Berapa waktu yang diperlukan sebelum tinggal landas ? b) Berapa percepatan minimum yang harus dihasilkan oleh mesin jumbo jet tersebut. Jawab : s m 100 s3600 m1000 360 jam km 360vm2000xx0v oo  a). Untuk menghitung percepatan gunakan persamaan (5) : 2 2 o 2 o 2 o 2 o 2 s m 5,2 )2000(2 0100 )xx(2 vv a )xx(a2vv        Variabel yang sudah diketahui 3 :
  • 20.
    Penerapan GLBB • GerakJatuh Bebas (GJB) • Gerak Vertikal ke Bawah (GVB) • Gerak Vertikal ke Atas (GVA)
  • 21.
    tavv)1( o  t 2 vv xx)2(o o   2 oo ta 2 1 tvxx)3(  2 o ta 2 1 tvxx)4(  )xx(a2vv)5( o 2 o 2  5 buah persamaan dengan 4 variabel
  • 22.
    Gerak Jatuh Bebas(GJB) • Benda dijatuhkan dari suatu ketinggian tanpa kecepatan awal (v0 = 0) dan selama geraknya mengalami percepatan tetap (g = 9,8 m/s2 = 10 m/s2 ). • v0 = 0 • a = g • x-xo = h
  • 23.
    Gerak Vertikal keBawah (GVB) • Gerak suatu benda yang dilempar tegak lurus ke bawah dengan kecepatan awal (v0  0) • v0  0 • a = g • x-xo = h
  • 24.
    Gerak Vertikal keAtas (GVA) • Gerak suatu benda yang dilempar tegak lurus ke atas dengan kecepatan awal tertentu (v0  0). • v0  0 • a = - g • x-xo = h
  • 25.
    Tugas • Carilah persamaanketiga gerak tersebut dengan ciri-ciri atau syarat yang sudah ditentukan!! 25
  • 26.
    • Soal: Sebuahbola dijatuhkan dari suatu ketinggian. Tentukan kedudukan dan kelajuan bola setelah bergerak selama 5 s. • Soal: seorang anak melempar batu ke dalam sumur dengan kecepatan awal 3 m/s. Anak itu mendengar bunyi batu mengenai dasar sumur setelah 2 sekon. Tentukan kecepatan batu dan kedalaman sumur. • Soal: sebuah kembang api diluncurkan vertikal ke atas dengan kecepatan awal 20 m/s. 1 detik kemudian kembang api tersebut memancar. Tentukan kecepatan dan ketinggian akhir kembang api saat memancar. 26