FACTORISATIONFACTORISATION
KONDETI YASHWANT
Class – VIII “A”
PREVEIW
• PART1 :FACTORS OF NATURAL NUMBERS & AGEBRAIC EXPNS
• PART2 :METHOD OF COMMON FACTORS
• PART3: FACTORISATION BY REGROUPING TERMS
• PART4 :SOLVING SUMS ON FACTORIZING EXPNS
• PART5 :SOLVING SUMS ON FACTORISATION USING IDEN
• PART6 :FACTORS OF THE FORM (x+a)(x+b)
• PART7 :DIVISION OF ALGEBRAIC EXPNS
Introduction
Factors of natural numbers
e.g. 90 = 2 x 3 x 3 x 5
Factors of algebraic expressions
Terms are formed as product of factors.
e.g. 5xy = 5 x x x y
10x(x+2)(y+3)=2x5xxx(x+2)x(y+3)
Method of common factors
• We write each term as a product of
irreducible factors. Then take out the common
factors of the terms and write the remaining
factors to get the desired factor form.
• E.g. 5ab+10a
(5xaxb)+(10xa)
(5axb) + (5ax2)
5a( b+2 ) (desired factor form)
Factorisation by regrouping terms
• Regrouping is re-arranging the terms with common
terms.
e.g. 1) a2
+ ab + 8a + 8b
a(a+b) + 8(a+b)
(a+b) (a+8)
2) 15ab – 6a + 5b – 2
3a(5b-2) + 1(5b-2)
(3a+1) (5b-2)
Let us solve some examples
5m2
n – 15mn2
5mn ( m -3n)
5 x m x n x(m-3n)
Factorise
a2
bc + ab2
c + abc2
Take the common factors
abc ( a + b +c )
a x b x c x (a + b + c)
Factorise
15pq + 15 + 9q + 25p
• Regrouping like terms to find common factors
15pq + 9q + 25p +15
3q ( 5p + 3 ) + 5 ( 5p + 3 )
(3q + 5) (5p + 3)
Factorisation using identities
• Observe the expression.
• If it has a form that fits the right hand side of one of the identities , then
the expression corresponding to the left hand side of the identity gives
the desired factorisation.
• (a+b)2
= a2
+2ab+b2
• (a-b)2
= a2
-2ab+b2
• (a2
-b2
) = (a+b)(a-b)
Few examples
• 1) p2
+ 8p + 16
It is in the form of the identity a2
+2ab+b2
therefore
p2
+ 2 (p) (4) + 42
Since a2
+ 2ab +b2
= (a+b)2
By comparison
p2
+ 8p + 16 = ( p + 4)2
( required factorisation )
Factorise
• 49p2
– 36
(7p)2
– (6)2
(7p+6) (7p-6)
•a2
– 2ab +b2
– c2
(a-b)2
– c2
(a-b-c) (a-b+c)
Factors of the form (x+a)(x+b)
• In general , for factorising an algebraic expression of the type
x2
+px+q , we find two factors a and b of q (i.e. the constant
term) such that
ab = q
a+b = p
4 2 2 4
2 2 2 2 2 2
2 2 2
2
( ) 2 ( )
( )
a a b b
a a b b
a b
− +
− +
+
2
2
2
2
4 8 4
4( 2 1)
4( 1)
4[ ( 1) 1( 1)]
4( 1)( 1)
4( 1)
x x
x x
x x x
x x x
x x
x
− +
− +
− − +
− − −
− −
−
2
2
6 8
4 2 8
( 4) 2( 4)
( 2)( 4)
p p
p p p
p p p
p p
+ +
+ + +
+ + +
+ +
2
2
10 21
7 3 21
( 7) 3( 7)
( 7)( 3)
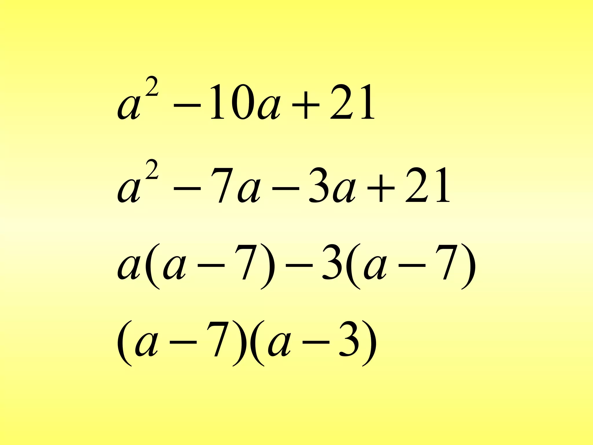
a a
a a a
a a a
a a
− +
− − +
− − −
− −
Division of algebraic expressions
• Division of monomial by another monomial
• Division of polynomial by a monomial
• Division of polynomial by polynomial
Division of monomial by another
monomial
3
6 2x x÷
Now let us write the irreducible factor forms
3
3
2
3 2
6 2 3
2 2
6 2 (3 )
(2 ) (3 )
6 2 3
x x x x
x x
x x x x
x x
x x x
= ×× × ×
= ×
∴ = × × × ×
= ×
∴ ÷ =
Division of polynomial by a monomial
2
(5 6 ) 3
(5 6)
3
(5 6)
3
x x x
x x
x
x
− ÷
−
×
−
3 2
2
2
( 2 3 ) 2
( 2 3)
2
( 2 3)
2
x x x x
x x x
x
x x
+ + ÷
+ +
×
+ +
Division of polynomial by polynomial
2
2
( 7 10) ( 5)
( 5 2 10)
( 5)
[ ( 5) 2( 5)]
( 5)
( 5)( 2)
( 5)
( 2)
y y y
y y y
y
y y y
y
y y
y
y
+ + ÷ +
+ + +
+
+ + +
+
+ +
+
+
2
2
( 14 32) ( 2)
( 16 2 32)
( 2)
[ ( 16) 2( 16)]
( 2)
( 16)( 2)
( 2)
( 16)
m m m
m m m
m
m m m
m
m m
m
m
− − ÷ +
− + −
+
− + −
+
− +
+
−
Factorisation
Factorisation

Factorisation

  • 1.
  • 2.
    PREVEIW • PART1 :FACTORSOF NATURAL NUMBERS & AGEBRAIC EXPNS • PART2 :METHOD OF COMMON FACTORS • PART3: FACTORISATION BY REGROUPING TERMS • PART4 :SOLVING SUMS ON FACTORIZING EXPNS • PART5 :SOLVING SUMS ON FACTORISATION USING IDEN • PART6 :FACTORS OF THE FORM (x+a)(x+b) • PART7 :DIVISION OF ALGEBRAIC EXPNS
  • 3.
    Introduction Factors of naturalnumbers e.g. 90 = 2 x 3 x 3 x 5 Factors of algebraic expressions Terms are formed as product of factors. e.g. 5xy = 5 x x x y 10x(x+2)(y+3)=2x5xxx(x+2)x(y+3)
  • 4.
    Method of commonfactors • We write each term as a product of irreducible factors. Then take out the common factors of the terms and write the remaining factors to get the desired factor form. • E.g. 5ab+10a (5xaxb)+(10xa) (5axb) + (5ax2) 5a( b+2 ) (desired factor form)
  • 5.
    Factorisation by regroupingterms • Regrouping is re-arranging the terms with common terms. e.g. 1) a2 + ab + 8a + 8b a(a+b) + 8(a+b) (a+b) (a+8) 2) 15ab – 6a + 5b – 2 3a(5b-2) + 1(5b-2) (3a+1) (5b-2)
  • 6.
    Let us solvesome examples
  • 7.
    5m2 n – 15mn2 5mn( m -3n) 5 x m x n x(m-3n)
  • 8.
    Factorise a2 bc + ab2 c+ abc2 Take the common factors abc ( a + b +c ) a x b x c x (a + b + c)
  • 9.
    Factorise 15pq + 15+ 9q + 25p • Regrouping like terms to find common factors 15pq + 9q + 25p +15 3q ( 5p + 3 ) + 5 ( 5p + 3 ) (3q + 5) (5p + 3)
  • 10.
    Factorisation using identities •Observe the expression. • If it has a form that fits the right hand side of one of the identities , then the expression corresponding to the left hand side of the identity gives the desired factorisation. • (a+b)2 = a2 +2ab+b2 • (a-b)2 = a2 -2ab+b2 • (a2 -b2 ) = (a+b)(a-b)
  • 11.
    Few examples • 1)p2 + 8p + 16 It is in the form of the identity a2 +2ab+b2 therefore p2 + 2 (p) (4) + 42 Since a2 + 2ab +b2 = (a+b)2 By comparison p2 + 8p + 16 = ( p + 4)2 ( required factorisation )
  • 12.
    Factorise • 49p2 – 36 (7p)2 –(6)2 (7p+6) (7p-6) •a2 – 2ab +b2 – c2 (a-b)2 – c2 (a-b-c) (a-b+c)
  • 13.
    Factors of theform (x+a)(x+b) • In general , for factorising an algebraic expression of the type x2 +px+q , we find two factors a and b of q (i.e. the constant term) such that ab = q a+b = p
  • 14.
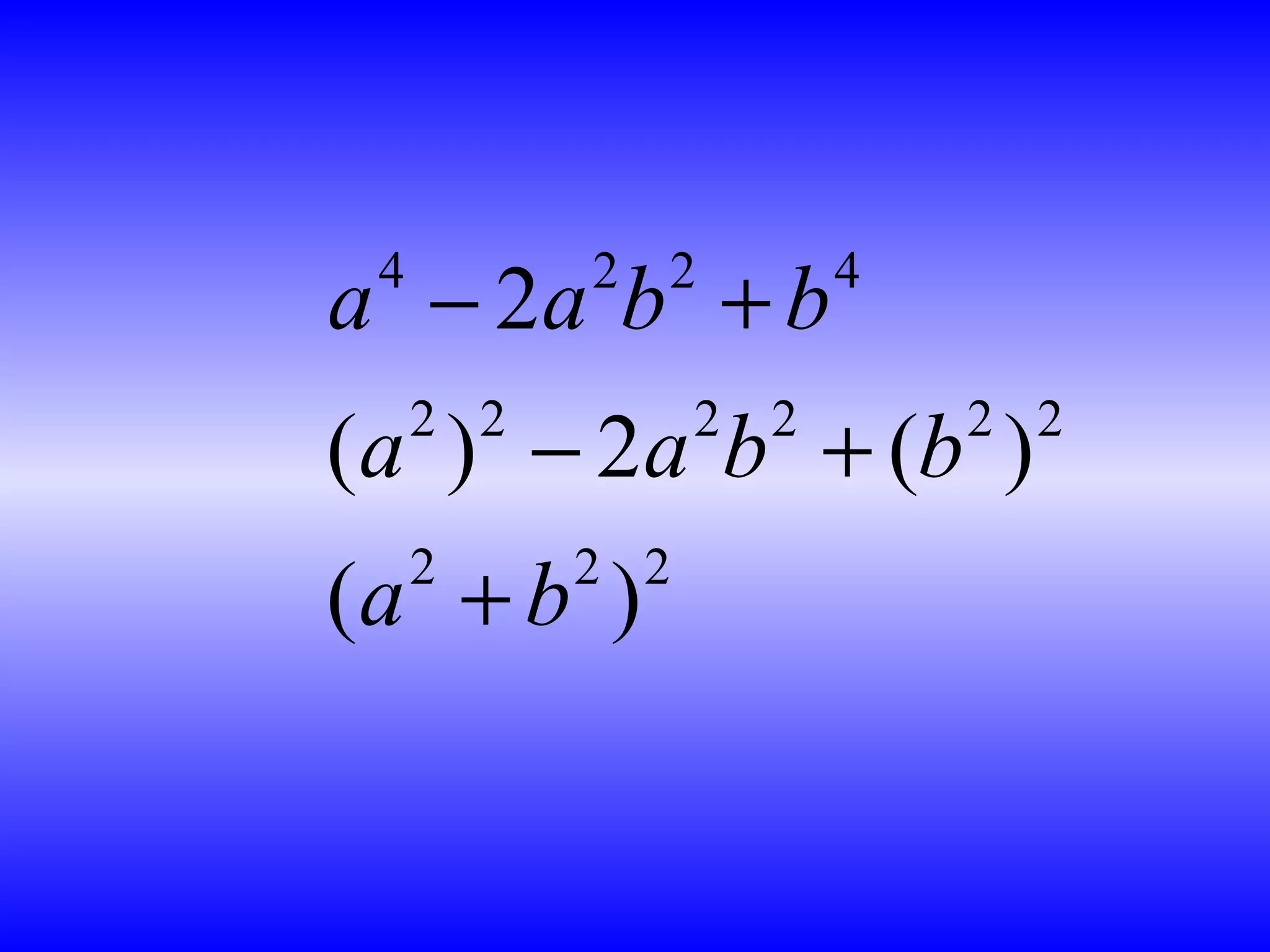
    4 2 24 2 2 2 2 2 2 2 2 2 2 ( ) 2 ( ) ( ) a a b b a a b b a b − + − + +
  • 15.
    2 2 2 2 4 8 4 4(2 1) 4( 1) 4[ ( 1) 1( 1)] 4( 1)( 1) 4( 1) x x x x x x x x x x x x x − + − + − − + − − − − − −
  • 16.
    2 2 6 8 4 28 ( 4) 2( 4) ( 2)( 4) p p p p p p p p p p + + + + + + + + + +
  • 17.
    2 2 10 21 7 321 ( 7) 3( 7) ( 7)( 3) a a a a a a a a a a − + − − + − − − − −
  • 18.
    Division of algebraicexpressions • Division of monomial by another monomial • Division of polynomial by a monomial • Division of polynomial by polynomial
  • 19.
    Division of monomialby another monomial 3 6 2x x÷ Now let us write the irreducible factor forms 3 3 2 3 2 6 2 3 2 2 6 2 (3 ) (2 ) (3 ) 6 2 3 x x x x x x x x x x x x x x x = ×× × × = × ∴ = × × × × = × ∴ ÷ =
  • 20.
    Division of polynomialby a monomial 2 (5 6 ) 3 (5 6) 3 (5 6) 3 x x x x x x x − ÷ − × −
  • 21.
    3 2 2 2 ( 23 ) 2 ( 2 3) 2 ( 2 3) 2 x x x x x x x x x x + + ÷ + + × + +
  • 22.
    Division of polynomialby polynomial 2 2 ( 7 10) ( 5) ( 5 2 10) ( 5) [ ( 5) 2( 5)] ( 5) ( 5)( 2) ( 5) ( 2) y y y y y y y y y y y y y y y + + ÷ + + + + + + + + + + + + +
  • 23.
    2 2 ( 14 32)( 2) ( 16 2 32) ( 2) [ ( 16) 2( 16)] ( 2) ( 16)( 2) ( 2) ( 16) m m m m m m m m m m m m m m m − − ÷ + − + − + − + − + − + + −