Exponents&
Surds
SIBUSISOTHETHWAYO
201219516
BASIC LAWS OF
EXPONENTS
Exponential notation


represent as

Base
(real number)

to the th power .
Exponent
Exponent
(integers)
(integers)
General case
(n is any positive integers)

Special cases
Exponents: Basic laws

a .a
n

= a

m

2 .2
3+2
=2
5
=2
= 32

Eg:

3

m+n

2
Exponents: Basic laws

a ÷a
n

Eg :

m

= a

n–m

3 ÷3
= 3 5–3
2
= 3
= 9
5

3
Exponents: Basic laws

a

n–n

Eg

=a
4
2
4
2
= 24-4
= 20
=1

0

=1
Exponents: Basic laws

(ab)
Eg:

=a .b

n

n

n

62
=( 2.3)

2

= 22. 32
= 4.9

∴ 6 = 36
2
Exponents: Basic laws

(a )

m n

=a

Eg :
(23)4
= 2 3x4
= 2 12

mn
Exponents: Basic laws
n

a
a
  = n
b
b

Eg:

8
 
3

n

2

2

8
=
2
3

=

64
9
Exponents: Basic
NB

• 2a = a + a = 2 x a
• a2 = a . a
• ( a + b)2 = a2 + 2ab + b2 ≠ (a2 +b2)
Exponents
an = a . a . a . a ... to n factors
a > 0 and a ≠ 1, n ε N
a n . a m = a m+n
a n ÷ a m = a n–m
an – n
= a0 = 1
(ab)n
= a n . bn
(am)n
= a mn
a
 
b

n

n

a
= n
b
Simplify

=

x

x −3

1− x

8 .6 .9
x −1 − x
16 .3

3 x

x−3

2 1− x

(2 ) .(2.3) .(3 )
4 x −1 − x
(2 ) .3
3 x

x−3

2 1− x

(2 ) .(2.3) .(3 )
4 x −1 − x
(2 ) .3

=

3x

x−3

x−3

(2 ) .(2 .3 ).(3
4 x− 4
−x
(2 ).(3 )

2− 2 x

)
x −3

3x

x−3

(2 ) .(2 .3 ).(3
4 x− 4
−x
(2 ).(3 )

=2

3 x + x − 3− 4 x + 4

= 2 . 3

= /3
2

.3

-1

2− 2 x

)

x − 3+ 2 − 2 x + x
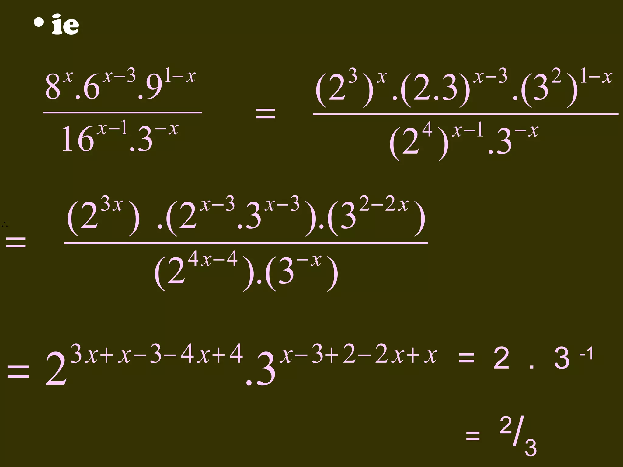
• ie
x

x −3

1− x

8 .6 .9
x −1 − x
16 .3

=

∴

3x

x−3

(2 ) .(2 .3 ).(3
4 x− 4
−x
(2 ).(3 )

=2

3 x + x − 3− 4 x + 4

.3

2 1− x

(2 ) .(2.3) .(3 )
4 x −1 − x
( 2 ) .3

=
x −3

x−3

3 x

2− 2 x

)

x − 3+ 2 − 2 x + x = 2 . 3
= 2 /3

-1
2x

8
=1
2 x −1
16

Solve for x:

3 2x

(2 )
=1
4 2 x −1
(2 )

NB

2 =1
0

6x

2
=1
8 x−4
2
2 -2x + 4 = 20
- 2x + 4 = 0

∴

x =2
Exponents: solve
3x + 3x -1
= 12
3x + 3x . 3 -1 = 12
3x ( 1 + 3 - 1) = 12
3x ( 1 + 1/3 ) = 12
3x ( 4 / 3 ) = 12
3x
3x
∴

= 12 X ¾
= 32
x = 2
Surds & Exponents

example

Basic Laws
Surds

a = a =a
2

3

a

2

=a

2
3

1
2

a≥0

a≥0

18 = 9 . 2 = 3 2
Surds
• NB

a . b = a. b

• BUT

a +b ≠ a+b

2

2

2

2
Surds • Factors
3

15

125b

4

.

400b

=

3

3

15

5 .b
2

1

6

. 4 2 4.2 2. b8
2

2 .2 . 5 . b

=

5

64b

8

6

2 4

5.b . 2b . 2

2.5.b

3

2

2

=

7

10b 2
10b 3 .2

2
4
1
2

= b

4
Surds
Simplify: Terms
Pure surds
Factorise into
perfect
squares
Split
Simplify

50 −

18

= 25.2 − 9.2

= 25. 2 − 9 . 2

=5 2 − 3 2

=2 2
REFERENCE-LIST
• This power point presentation is the
combination of five power piont
presentations, which I gathered on
my slide share. However, here below
on the next slide are the auther’s I
used on my presentation.
Thank you Guys
Acknowledgments
to
 Nurul Atiyah binti Ripin
 Irma Naziela binti Rosli
 Stephen Corcoran
 Genny Simpson
 http://www.slideshare.net/sibusisot
/savedfiles?s_title=exponent-rules-

Exponets laws& examples