Electronic Measurements and
Instrumentation
-By
GVNSK Sravya
Assistant Professor
ECE Dept.
Unit- I Introduction
Electronics
● Electronics is the branch of Physics and Technology concerned
with the design of circuits using transistors and microchips, and
with the behaviour and movement of electrons in a
semiconductor, conductor, vacuum or gas.
Contd…..
Measurement
Process of Comparision (Measurement)
Quantity to be measured
(Measurand)
Result (Read Out)
Standard Known
Quantity
Contd…..
Measurand
● The Physical, Chemical, Electrical quantit, property, process,
variable or a condition to be measured is referred as Measurand.
Contd…..
Instrumentation
● Instrumentation is a technology of using instruments to measure
and control the physical and chemical properties of materials is
called Instrumentation.
Contd…..
Measuring Instrument
● It is defined as a device for determining the value or magnitude
of a quantity or variable.
Electronic Instrument
● It is based on the electronic or electrical principles for its
measurement function.
Contd…..
Electronic Measurement
● The measurement of any electronic or electrical quantity is
termed as an electronic measurement.
● Measurement is used to monitor a process or operation and
Instrument is used to express the parameter.
Contd…..
Methods of Measurement
● Direct Method
a) Deflection Method b) Comparision Method
● Indirect Method
Contd…..
Instruments are classified as follows
● Monitoring of processes and operations
● Control of processes and operations
● Experimental engineering analysis
Contd…..
Advantages of Instumentation Systems
● Remote Measurement
● Accurate Measurement
● Measurement in adverse conditions
● Reduction in size
● Convinence
Block Schematic of Measuring System
Measurand
Input
Signal
Transducer
Signal
Conditioning
Display/ Record
Performance Characteristics
● Different instruments are compared and analysed by the performance
characteristics parameters.
● Performance characteristics are divided into
a) Static Characteristics
b) Dynamic Characteristics
Static Characteristics
● Static characteristics are obtained by one form or another form of a
process called calibration.
Calibration
● It is a process of making an adjustment or marking a scale so that the
readings of an instrument agree with standard.
Contd...
● Accuracy
The degree of exactness (closeness) of a measurement compared to
the expected value.
● Resolution
The smallest change in the measured variable to which an instrument
will respond.
Contd...
● Precision
A measure of the consistency or repeatability of measurements i.e.,
successive reading do not differ.
● Expected Value
The design value i.e., the most probable value that calculations
indicate one should expect to measure.
Contd...
● Sensitivity
The ratio of the change in output of the instrument to a change of
input or measured variable.
● Error
The deviation of the true value from the measured value.
Precision and Accuracy
Contd…
● If a measurement is accurate, it must also be precise, i.e.,
accuracy means precision.
● However, a precision measurement may not be accurate.
● The precision of a measurement is a quantitative or numerical
indication of the closeness with which a repeated set of
measurement of the same variable agree with the average setof
measurements.
Contd…
● Precision can also be expressed mathematically as
Problems
1. The expected value of the voltage across a resistor is 80 V.
However, the measurement gives a value of 79 V. Calculate (i)
absolute error, (ii) % error, (iii) relative accuracy, and (iv) % of
accuracy.
Contd…
● Solution
Given expected value = 80 V
measured Value = 79 V
Contd…
2. The expected value of current through a resistor is 20 mA. The
measured current value is of 18 mA. Calculate (i) absolute error,
(ii) % error, (iii) relative accuracy, and (iv) % of accuracy.
Solution.
(i) Absolute error = 2 mA
(ii) % error = 10%
(iii) Relative accuracy = 0.90
(iv) % accuracy = 90%
Contd…
3. From the given set of 10 measurements that were recorded in the
laboratory. Calculate the precision of the 6th measurement .
Measurement number Measurement value Xn
1 98
2 101
3 102
4 97
5 101
6 100
7 103
8 98
9 106
10 99
Contd…
Solution
Precision
● Precision is composed of two characteristics :
(i) Conformity
(ii) Number of significant figures
Types of Static Errors
Errors occur from different sources and are usually classified into
Static Errors
Gross Errors
Systematic
Errors
Gross
Errors
Random
Errors
Instrumen
tal Errors
Environment
al Errors
Observation
al Errors
Gross Errors
 caused by human mistakes in reading/using instruments
may also occur due to incorrect adjustment ofthe instrument and the
computational mistakes
 cannot be treated mathematically
 cannot eliminate but can minimize
 Eg: Improper use of an instrument.
This error can be minimized by taking proper carein reading and
recording measurement parameter.
Therefore, several readings must be taken to minimize the errors.
Systematic Errors
● Systematic Error is defined as a constant uniform deviation of the operation of
an instrument.
● occurs due to shortcomings of the instrument (such as defective or worn parts,
ageing or effects ofthe environment on the instrument).
● Eg: Over loading of the instrument
● These are classified into 3 types – (i) Instrumental (ii) Environmental
(iii) observational
Contd…
● Instrumental Errors
- occurs due to aging of the instrument
- due to misuse of the instrument
- due to loading effect
- due to mechanical structure
● Errors can be avoided by
(i) selecting a suitable instrument for theparticular measurement
(ii) apply correction factor by determining instrumental error
(iii) calibrate the instrument againststandard
Contd…
● Environmental Error
- due to external condition effecting the measurement including surrounding
areacondition such as change in temperature,humidity, pressure, dust,
vibrations etc.
- to avoid the error:-
(a) use air conditioner
(b) sealing certain component in theinstruments
(c) use magnetic shields
Contd…
● Observational Error
- introduce by the observer
- due to carelessness of operators
- mostly parallex errors
- Eg: an observer who tend to hold his head too far tothe left
while reading the position of the needle on thescale.
Random Errors
- due to unknown causes,
- occur when all gross errors and systematic errors are accounted
- Errors are accidental, small and independent
- Errors are treated mathematically
- can be avoided by
(a) increasing number of reading
(b) use statistical means to obtain best approximation of true value
Sources of Errors
● Poor maintenance
● Insufficient knowledge of process parameters and design conditions
● Poor design
● Certain design limitations
● Errors caused by person operating the instrument or equipment
● Change in process parameters, irregularities etc.,
Statistical analysis of Random Errors
● Statistical analysis method is employed to estimate the value or error when
unpredictable errors or random errors are dominant.
● When the reason for specific error cannot be identified and the deviation
from the true value is to be estimated, the statistical analysis method is to be
employed.
● This will give the deviation from the true value and the correctness of the
readings taken.
● This method is employed by taking a large number of readings of a particular
parameter and calculations are made in the following ways.
Contd…
1. Arithmetic mean
● The most probable value of a measured variable is the arithmetic mean of
the number of readings taken.
● A large number of readings are taken and the average value is computed.
● The arithmetic mean of n measurements at a specific count of the variable x
is given by the expression
Contd…
2. Deviation from the mean
● It is the departure of a given reading from the arithmetic mean of the group
of readings.
● The deviations from the mean can be expressed as
Contd…
3. Average Deviation (D)
● It is an indication of the precision of the instrument used in measurement.
● It is defined as the sum of the absolute values of the deviation divided by the
number of readings.
● High accurate instruments with high precision will have a low average deviation.
● Average deviation is expressed as
Contd…
4. Standard Deviation (or) Root mean square formula (σ)
● The standard deviation of an infinite number of data is the square root of the
sum of all the individual deviations squared, divided by the number of
readings.
● The standard deviation is also known as root mean square deviation.
● Reduction in this quantity means improvement in measurement.
Contd…
● Standard deviation is expressed as
● For small readings (n < 30), the denominator is expressed as (n-1) to obtain a
more accurate value.
Contd…
5. Variance (σ2)
● It is the mean square deviation.
● Variance is the square root of the standard deviation.
Contd…
Problem
1. For the given data, calculate (i) Arithmetic Mean (ii) Deviation
(iii) Algebraic sum of the deviation (iv) Average Deviation (v) Standard
Deviation (vi) Variance.
x1 = 49.7 , x2 = 50.1 , x3 = 50.2 , x4 = 49.6 , x5 = 49.7 .
Contd…
Solution
Contd…
● Variance = 0.0729
Limiting Error
• The accuracy of measuring instrument is guaranteed within a certain
percentage (%) of full scale reading.
• Limits of deviation from a specified values are called limiting errors.
• E.g manufacturer may specify the instrument to beaccurate at +2 % with
full scale deflection.
• This means that a full scale deflection reading is guaranteed to be within
the limits of 2% of a accurate reading.
• For a reading less than full scale, the limiting error increases.
Problems on Limiting Error
1. A 600 V voltmeter is specified to be accurate within + 2 % at full scale. Calculate the
limiting error when the instrument is used to measure a voltage of 250 V.
Solution:
The magnitude of limiting error, 0.02 x 600 = 12V
Therefore, the limiting error for 250V = 12/250 x 100 = 4.8%
Contd…
2. A 500 mA ammeter is specified to be accurate with + 2%. Calculate the limiting error
when instrument is used to measure 300 mA.
Solution:
Given accuracy of + 2% = 0.02
The magnitude of limiting error, 500 mA x 0.02 = 10 mA
Therefore, limiting error at 300 mA = 10mA/ 300mA x 100 % = 3.33%
Contd…
2. A 500 mA ammeter is specified to be accurate with + 2%. Calculate the limiting error
when instrument is used to measure 300 mA.
Solution:
Given accuracy of + 2% = 0.02
The magnitude of limiting error, 500 mA x 0.02 = 10 mA
Therefore, limiting error at 300 mA = 10mA/ 300mA x 100 % = 3.33%
Gaussian Law
● The Gaussian law of error is the basis for the study of random errors.
● When random errors are predominant, the probable error in a particular measurement
can be estimated.
● The equation for the Gaussian law is
Contd…
● For each reading, the probability of occurrence of deviation is calculated and a graph
is plotted between y and ω.
● The deviation is calculated in terms of σ on both sides of the average value and a
graph is plotted.
● If the average value is the true value , the probability of occurrence of zero deviation
is maximum.
● Therefore, corresponding to the average value a peak is obtained.
Contd…
Dynamic Characteristics
● Dynamic – Varying a process condition.
● Instruments rarely respond instantaneously to changes in the measured
variables due to such things as mass, thermal capacitance, fluid capacitance
or electrical capacitance.
● Pure delay in time is often encountered where the instrument waits for some
reaction to take place.
● Such industrial instruments are nearly always used for measuring quantities
that fluctuate with time.
● Therefore, the dynamic and transient behavior of the instrument is important.
Contd…
● The dynamic behavior of an instrument is determined by subjecting its
primary element (sensing element) to some unknown and predetermined
variations in the measured quantity.
● The three most common variations in the measured quantity:
● • Step change
● • Linear change
● • Sinusoidal change
Contd…
● Step change-in which the primary element is subjected to an instantaneous
and finite change in measured variable.
● Linear change-in which the primary element is following the measured
variable, changing linearly with time.
● Sinusoidal change-in which the primary element follows a measured
variable, the magnitude of which changes in accordance with a sinusoidal
function of constant amplitude.
Contd…
● The dynamic performance characteristics of an instrument are:
1. Speed of response -The rapidity with which an instrument responds to the
changes in the measured quantity.
2. Dynamic error -The difference between the true value of a quantity changing
with time and the measured value indicated by the instrument with no static
error.
3. Fidelity – The degree to which an instrument indicates the changes in the
measured variable without dynamic error.
Contd…
4. Lag - It is the retardation or delay in the response of an instrument to changes
in the measured variable.
5. Reproducibility – The degree of closeness with which a given value of a
variable may be repeatedly measured over a period of time when input is
constantly applied.
6. Repeatability – It is defined as variation of scale reading when input is
randomly applied.
Contd…
Dynamic Behavior of Instruments
● The dynamic performance of an instrument is expressed normally by a
differential equation relating the input and output quantities.
Dynamic response of zero order instruments
● The relation between input and output of an instrument is given as
Contd…
Contd…
● For Zero order systems, the output is faithful reproduction of input without
ant distortion or time lag.
● The instrument output follows input with no distortion or time lag.
● Zero order instruments provides perfect dynamic response.
Eg. Potentiometer
● Order of the instrument is based on the time delay, if time delay is minimum
means zero order instrument.
Dynamic behavior of first order instruments
● Dynamic behavior of first order instruments indicates that there will be some
time delay.
● Eg. Thermistors, Thermocouples.
● The relation between input and output of first order instrument is given by
Contd…
Measuring Instruments
Basic meter movement
● The action of the most common dc meter is based on the fundamental
principle of motor.
● The motor action is produced by the amount of current flowing through the
moving coil, which is positioned in the field of a permanent magnet.
● This basic moving coil system is often called as D’Arsonval Galvanometer.
Permanent Magnetic Moving Coil (PMMC)
● PMMC is a basic deflection mechanism used in most of the analog measuring
instruments.
● When a coil is suspended in the magnetic field of a permanent magnet in the
shape of a horseshoe, the coil is suspended so that it can rotate freely in the
magnetic field.
● When current flows in the coil, the developed electromagnetic torque causes
the coil to rotate.
Contd…
● The EM torque is counter balanced by the mechanical torque of control
springs attached to the movable coil.
● The balance of torques, and therefore the angular position of the movable
coil, is indicated by a pointer against a fixed reference called scale.
Contd…
● The equation for the developed torque is T= B A I N
where, T = Torque (Newton- meter)
B= Flux density in the air gap (webers/square meter tesla)
A = Effective coil area (square meter)
I = Current in the movable coil (A)
N = turns of wire on the coil
● In the above equation B and A are fixed parameters.
● Therefore, developed torque is a direct indication of the current in the coil.
D’Arsonval Movement
● The basic PMMC movement is called the D’Arsonval movement after its
inventor Jacques D’Arsonval in 1881.
● It offers the largest magnet in a given space and is used when maximum flux
in the air gap is required.
● It provides an instrument with low power consumption and low current
required for full scale deflection.
Contd…
Contd…
● Figure shows a permanent magnet of horse shoe with soft iron pole pieces
attached to it.
● Between pole pieces a cylinder of soft iron which serves to provide a uniform
magnetic field in the airgap between the pole pieces and the cylinder.
● The coil is wounded on a light metal frame and is mounted so that it can
rotate freely in the airgap.
● The pointer attached to the coil moves over a graduated and indicates the
angular deflection of the coil and therefore the current through the coil.
●
Contd…
● Two phosphor bronze conductive springs, provides the calibrated force
opposing the moving coil torque.
● If low frequency alternating current is applied to the movable coil, the
deflection of the pointer would be up scale for half cycle of the input
waveform and downscale in the opposite direction for the next half cycle.
● PMMC is unsuitable for AC measurement, unless the current is rectified
before reaching the coil.
Contd…
● The basic PMMC instrument is a linear reading device.
● The permanent magnet is made up of Alnico material.
● Coil area range is from 0.5 – 2.5 cm2
● Consumes low power 25W – 200µW.
● Accuracy is 2.5% of full scale deflection.
Contd…
Advantages
1. Sensitivity is high
2. High accuracy
3. Instrument is free from hysteresis error.
4. They are not affected by stray magnetic fields.
5. Can be modified by shunts and resistances to cover a wide range of currents
and voltages.
Contd…
Disadvantages
1. Suitable for DC measurements only.
2. Errors due to ageing of control springs and permanent magnet.
3. Cost is high
Meters
● Different instruments can be obtained by starting with basic meter movement
and adding various elements.
DC Instruments
● DC Ammeter – by adding a shunt resistance to the basic meter movement
forms a µA, mA or an Ammeter.
● DC Voltmeter – by adding a multiplier resistance to the basic meter
movement forms a mV, Voltmeter or Kilo Voltmeter,
● Ohmmeter – by adding a battery and resistive network to the basic meter
movement forms an ohmmeter.
AC Instrument
● AC voltage or current by adding a rectifier forming a rectifier type meter for
power and audio frequencies.
● RF voltage or current by adding a thermocouple type meter for RF.
● Adding a thermistor in a resistive bridge network forming an expanding
scale(100-140V) for power line monitoring.
DC Voltmeter
● To use basic meter movement as a DC Voltmeter, must know the amount of
current(Ifsd) required to deflect the basic meter to full scale.
● Sensitivity is based on the fact that the full scale current obtained when ever a
certain amount of resistance is present in the meter circuit for each voltage is
applied and sensitivity is expressed as Ω /V.
DC Voltmeter
● The addition of series resistor or multiplier converts the basic D’Arsonval
movement in to a DC Voltmeter.
● The multiplier limits the amount of current through the meter so as not to
exceed the full scale deflection current(Ifsd).
● Voltmeter is connected across the source or circuit component.
Contd…
● Multiplier is mounted inside the voltmeter up to 500V. For higher voltages it is
mounted outside separately.
Contd…
● Im = full scale deflection current of the meter movement (Ifsd)
Rm = internal resistance of meter
Rs = multiplier resistance
V= full range voltage of the instrument from the circuit
Voltmeter Senstivity
● The sensitivity or ohms/volt rating of a voltmeter is the ratio of the total
circuit resistance Rt to the voltage range or reciprocal of the full scale
deflection current.
or S= Rt / V
Rt = total circuit resistance , Rt = Rs + Rm
V = voltage range , S= sensitivity
Rm = internal resistance of the meter
Rs = Rt – Rm
Rs = (S x V) - Rm
Problems
1. Calculate the sensitivity of a 200 µA meter movement which is to be used as
a DC Voltmeter.
2. A basic D’Arsonval movement with a full scale deflection of 50 µA and
internal resistance of 500 Ω is used as a voltmeter. Determine the value of the
multiplier resistance needed to measure a voltage range of 0-10V.
3. Calculate the value of the multiplier resistance on the 50 V range of a DC
Voltmeter that uses a 500 µA meter movement with an internal resistance of
1KΩ.
Problems
1. Calculate the sensitivity of a 200 µA meter movement which is to be used as
a DC Voltmeter.
Solution
Sensitivity is given as
S= 1/ 200 µA
S = 5 K Ω/ V
Contd…
2. A basic D’Arsonval movement with a full scale deflection of 50 µA and
internal resistance of 500 Ω is used as a voltmeter. Determine the value of
the multiplier resistance needed to measure a voltage range of 0-10V.
Solution
Contd…
3. Calculate the value of the multiplier resistance on the 50 V range of a DC
Voltmeter that uses a 500 µA meter movement with an internal resistance of
1KΩ.
Solution
Sensitivity = 1/ Im = 1/ 500 µA = 2 KΩ/ V
Rs = (S x V) – Rm = 99 KΩ
Multirange Voltmeter
● The dc voltmeter can be converted into multirange voltmeter by connecting a
number of resistors(multipliers) along with a range switch provide greater
number of workable ranges.
Contd…
● The circuit is modified by connecting all the resistors in series and the range
selector switch selects the appropriate amount of resistance required in series
with the movement.
Contd…
● Figure 4.3 shows the practical arrangement of the multiplier resistances of a
multi range voltmeter.
● This arrangement is more advantageous, because all multiplier resistances
except the first resistor have the standard resistance value and are easily
available in precision tolerances.
● The first resistor or low range multiplier is the only special resistor which has
to be specially manufactured to meet the circuit requirements.
Problems
● A D’Arsonval movement with a full scale deflection current of 50 µA and
internal resistance of 500Ω is to be converted into a multirange voltmeter.
Determine the value of the multiplier resistance required for 0-20 V, 0-50V
and 0-100V.
Solution
Given Im = 50 µA
Rm = 500Ω
Contd…
For range 0-20 V
Rs= 399.5KΩ
For range 0-50V
Rs= 999.5K Ω
For range 0-100V
Rs= 1999.5K Ω
Contd…
● Convert a basic D’Arsonval movement with an internal resistance of 100 Ω
and a full scale deflection of 10mA into a multi range dc voltmeter with
ranges 0-5V, 0-50V and 0-100V.
Contd…
Extending Voltmeter Ranges
● The range of a voltmeter can be extended to measure high voltages, by using
a high voltage probe or by using an external multiplier resistor.
● In most meters the basic movement is used on the lowest current range to
measure very low voltages.
● Care must be taken, not to exceed the voltage drop required for full scale
deflection.
Loading Effect
● When selecting a meter for a certain voltage measurement, it is important to
consider the sensitivity of a dc voltmeter.
● A low sensitivity meter gives correct reading when measuring voltages in a
low resistance circuit and produces unreliable readings in a high resistance
circuit.
Loading Effect
● A voltmeter when connected across two points in a highly resistive circuits,
acts as a shunt for that portion of the circuit.
● Then the meter indicates a lower reading than the existing before the meter
was connected.
● This is called loading effect of an instrument due to low sensitivity
instruments.
Loading Effect
Problem
● From the previous figure, shows a simple series circuit of R1 and R2
connected to a 100V dc source. If the voltage across R2 is to be measured by
voltmeters having
a) A sensitivity of 1000Ω/V
b) A sensitivity of 20,000 Ω/V, find which voltmeter will read the accurate value
of voltage across R2, both the meters are used on the 50V range.
Solution:
Voltage across R2 is given as
Contd…
● When Voltmeter having a sensitivity of 1000 Ω/ V is connected on 50V
range then
Resistance is of Rt = S x V
Rt= 1000 X 50 V
Rt = 50 K Ω
Meter across R2 causes equivalent parallel resistance
Contd…
● Voltage across total combination is given as
Contd…
When Voltmeter having a sensitivity of 20,000 Ω/ V is connected on 50V
range then total resistance is given as
20000 X 50 = 1MΩ
This voltmeter when connected across R2 produces an equivalent parallel
resistance is given by
Contd…
Voltage across the total combination is given by
Therefore, High sensitivity voltmeter should be used to get accurate readings.
Problem
● Two different voltmeters are used to measure the voltage across Rb in the
circuit. The meters are as follows.
Meter 1: S= 1K Ω/ V, Rm=0.2 KΩ, range 10V
Meter 2: S= 20 KΩ/ V, Rm=1.5K Ω, range 10V
Calculate
(i) Voltage across Rb without any meter
(ii) Voltage across Rb when meter 1 is used
(iii) Voltage across Rb when meter 2 is used
(iv) Error in the voltmeters.
Contd…
Solution:
(i) Voltage across Rb without any meter connection is calculated using voltage
divider formula,
(ii)When Meter 1: S= 1K Ω/ V, Rm=0.2 KΩ, range 10V is connected
total resistance in the circuit is given as
Contd…
Total resistance across Rb is, Rb in parallel with meter resistance Rm1
Voltage reading obtained when meter 1 is connected by voltage division rule is,
Contd…
(iii) Total resistance when meter 2 is connected,
The parallel combination of Rb and meter 2 gives,
Voltage obtained when meter 2 is connected is,
Contd…
(iv) Error in the reading of the voltmeter is given as,
Hence, Voltmeter with high sensitivity provides accurate measurements than low
sensitivity meter.
DC Ammeter
● The PMMC galvanometer constitutes the basic movement of a dc ammeter.
● The coil winding of a basic movement is small and light, so it can carry only
very small currents.
● A low value resistor (shunt resistor) is used in DC ammeter to measure large
current.
Contd…
Contd…
Where,
Rm = internal resistance of the movement
Rsh = shunt resistance
Ish =shunt current
Im = full scale deflection current of the movement
I = full scale current of the ammeter + shunt (i.e. total current)
Since, shunt is in parallel with meter movement the voltage drop across
shunt and coil must be same and equal.
Contd…
● Shunts for low currents are enclosed in the meter, while for currents above
200A they are mounted separately.
Problems
1. A 1mA meter movement with an internal resistance of 100Ω is to be
converted into a 0-100 mA. Calculate the value of shunt resistance required.
Solution
Given, Rm = 100Ω
Im = 1 mA
I = 100 mA
Contd…
= 1mA X 100
100 mA-1mA
= 1.01 Ω
Contd…
2. A 100 µA meter movement with an internal resistance of 500Ω is to be used
in a 0-100 mA ammeter. Find the value of the required shunt.
Solution
Given, Rm = 500Ω
Im = 100 µA
I = 100 mA
Contd…
Rsh = 100 µA X 500Ω
100 mA – 100 µA
= 0.50 Ω
Multi range Ammeter
● The current range of the DC ammeter can be extended by a number of shunts
and a selector switch.
● The circuit has shunts in parallel with the meter movement to give different
current ranges.
● Switch S is a multi position switch, having low contact resistance and high
current carrying capacity, since its contacts are in series with low resistance
shunts.
Contd…
Contd…
● Make before break type of switch is used for range changing.
● This switch protects the meter from being damaged without a shunt during
range changing.
● If ordinary switch is used for range changing, the meter does not have any
shunt in parallel while the range is changed, and hence the full current passes
through the meter movement.
● Hence a make before break type switch is used.
Contd…
● The switch is designed so that when the switch position is changed, it makes
contact with the next terminal before breaking contact with the previous
terminal. Therefore, the meter movement is never left unprotected.
● Multi range ammeters are used for ranges up to 50A.
● When using a multi range ammeter, first highest range should be used and
then decrease the range.
● The resistances used for the various ranges are of very high precision values,
hence the cost of the meter increases.
Problems
1. A 1mA meter movement having an internal resistance of 100Ω is used to
convert in to a multi range ammeter having the range 0-10 mA, 0-20 mA and
0-50 mA. Determine the value of the shunt resistance required.
Solution
Given, Im = 1mA and Rm = 100Ω
Case 1: range 0-10mA
Rsh1 = (Im . Rm) / (I - Im)
= 1mA . 100
10mA-1mA
= 11.11 Ω
Contd…
Case 2: range 0-20 mA
Rsh2= 5.2 Ω
Case 3: range 0-50 mA
Rsh3 = 2.041 Ω
2. Design a multi range ammeter with range 0-1A, 0-5A and 0-10A employing
individual shunt in each D’Arsonval movement with an internal resistance of
500Ω and a full scale deflection of 10mA is available.
The Aryton Shunt or Universal Shunt
● The Aryton shunt eliminates the possibility of having the meter in the circuit
without a shunt.
● It reduces cost
● Position of the switch
Contd…
Contd…
● When switch is connected to position‘1’: Ra parallel with series combination
of Rb, Rc and the meter movement. Current through the shunt is more than
the current through the meter movement, thereby protecting the meter
movement and reducing its sensitivity.
● I1Ra = Im (Rb + Rc + Rm) (1)
Contd…
● When switch is connected to position‘2’: Ra and Rb in parallel with the series
combination of Rc and the meter movement. The current through the meter is
more than the current through the shunt resistance.
● I2(Ra+Rb) = Im ( Rc + Rm) (2)
Contd…
● When switch is connected to position‘3’: Ra, Rb and Rc in parallel with the
meter. Maximum current flows through the meter movement and very little
through the shunt. This will increase the sensitivity.
● I3(Ra+Rb+Rc) = Im Rm (3)
Problem
● Design an Aryton shunt to provide an ammeter with a current range of 0-1
mA, 10 mA, 50 mA and 100 mA. AD’Arsonval movement with an internal
resistance of 100Ω and full scale current of 50 µA is used.
Extending of Ammeter Ranges
AC Voltmeters using Rectifiers
● Rectifier type instruments generally use a PMMC movement along with a
rectifier arrangement.
● Silicon diodes are used because of low reverse current and high forward
current ratings.
Contd…
● The bridge rectifier provides a full wave pulsating dc.
● Due to the inertia of the movable coil, the meter indicates a steady deflection
proportional to the average value of the current.
● The meter scale is calibrated to give the RMS value of an alternating sine
wave input.
Contd…
● Practical rectifiers are non linear devices particularly at low values of forward
current.
● Hence meter scale is non linear at the lower end of a low range voltmeter.
Contd…
● In non linear region the meter has low sensitivity because of high forward
resistance of the diode.
● Also, the diode resistance depends on the temperature.
● Rectifier exhibits capacitance properties when reverse biased, and tends to
bypass higher frequencies.
● The meter reading may be in error by as much as 0.5% decrease for every 1
KHz. rise in frequency.
General Rectifier type AC Voltmeter
● A general rectifier type AC Voltmeter arrangement is shown below.
Contd…
● Diode D1 conducts during positive half cycle of the input and causes the
meter to deflect according to the average value of the half cycle.
● The meter movement is shunted by a resistor, Rsh, in order to draw more
current through the diode D1 and move the operating point into the linear
portion of the characteristic curve.
● In the negative half cycle, diode D2 conducts and the current through the
meter is in opposite direction, bypasses the meter movement.
AC Voltmeter using Half Wave Rectifier
● If a diode D1 is added to the dc voltmeter, then it is an ac voltmeter using
Half wave rectifier circuit capable of measuring ac voltages.
Contd…
● Sensitivity of the dc voltmeter is given by
Sdc = 1/ Ifsd = 1/1mA = 1KΩ/V
● A multiple of 10 times this value means a 10V dc input would cause exactly
full scale deflection when connected with proper polarity.
● Assuming D1 as ideal diode with negligible forward resistance and if this dc
input is replaced by a 10V rms sine wave input.
● Peak value of 10 V rms sine wave input is Ep = 10V rms X 1.414 =14.14 Vp
Contd…
● The dc will respond to the average value of the ac input,
Eav = Ep X 0.636 = 8.99V
● Since the diode conducts only during the positive half cycle and meter
movement is bypassed for another cycle, the average value over the enter
cycle is one half the average value of 8.99V, i.e., 4.5 V.
● Thus pointer will deflect for full scale if 10V dc is applied and 4.5 V when a
10Vrms sinusoidal signal is applied.
Contd…
● Thus the ac voltmeter is less sensitive than dc voltmeter.
Edc = 0.45 X Erms
● The value of the multiplier resistance is calculated as
AC Voltmeter using Full Wave Rectifier
● AC voltmeter using full wave rectifier is shown below.
Contd…
● Let 10V rms purely sinusoidal input is applied, the peak value is given as
Ep = 1.414 X Erms = 1.414 X 10 = 14.14 V peak
Average value is given as, Eav = 0.636 X Ep = 14.14 X 0.636 = 8.99 V
● Since this meter uses full wave rectifier and hence the average value of output
over a cycle is same as average of the input over a cycle i.e., is 9V
● Thus the 10V rms voltage is equal to 9V dc for full scale deflection. Thus the
pointer will deflect to 90% of full scale.
Sensitivity (ac) = 0.9 x Sensitivity (dc)
Multi range AC Voltmeter
● The series chain of resistors can be used for measuring ac voltages for the
various ranges such a voltmeter is called Multirange AC voltmeter.
● On the 2.5 V range, resistance R5 acts as a multiplier and Rsh is the shunt
resistor and acts to improve the rectifier operation.
Contd…
Problems
1. Calculate the value of the multiplier resistor for a 10V rms range on the
voltmeter shown below.
Contd…
Contd…
2. Calculate the value of the multiplier resistor for a 50 V rms ac range on the
voltmeter shown below.
Contd…
Solution:
Given, Ifsd = 1mA, Rm = 250 Ω
The dc sensitivity is given by
Sdc = 1/ Ifsd = 1/1mA = 1K Ω/ V
AC sensitivity = 0.9 X DC Sensitivity
Sac = 0.9 X 1K Ω/ V = 0.9K Ω/ V
Multiplier resistance, Rs = Rt – Rm = S X Vrange – Rm
= 0.9K Ω/ V X 10V – 250
=8.75KΩ
True RMS Voltmeter
● To measure the values of complex AC inputs, true rms responding voltmeters
are to be used.
Contd…
● This instrument produces a meter indication by sensing waveform heating
power, which is proportional to the square of the rms value of the voltage.
● This heating power can be measured by amplifying and feeding it to
a thermocouple, whose output voltages is then proportional to the Erms.
● Thermocouples are non-linear devices. This difficulty is overcome by placing
two thermocouples in the same thermal environment.
Contd…
● The unknown ac voltage is amplified and applied to the heating element of
the measuring thermocouple.
● The application of heat produces an output voltage that upsets the balance of
the bridge.
● The effect of non-linear behavior of the thermocouple in the input circuit
(measuring thermocouple) is cancelled by similar non-linear effects of the
thermocouple in the feedback circuit (balancing thermocouple).
● The two couples form part of a bridge in the input circuit of a dc amplifier.
Contd…
● The dc amplifier amplifies the unbalanced voltage; this voltage is fed back to
the heating element of the balancing thermocouple, which heats
the thermocouple, so that the bridge is balanced again, i.e. the outputs of both
the thermocouples are the same.
● At this instant, the ac current in the input thermocouple is equal to the dc
current in the heating element of the feedback thermocouple.
Contd…
● This dc current is therefore directly proportional to the effective or rms value
of the input voltage, and is indicated by the meter in the output circuit of
the dc amplifier.
● Sensitivities in the millivolt region are possible.
Ohmmeter
● The basic D’Arsonval movement can be used to measure resistance by adding
a battery and resistive network.
● There are two types of Ohmmeter.
a) Series type
b) Shunt type
Series type Ohmmeter
● A D’Arsonval movement is connected in series with a resistance R1 and a
battery which is connected to a pair of terminals A and B, across which the
unknown resistance is connected. This forms the basic type of series
ohmmeter.
Contd…
● (b)
(a)
Contd…
Where,
R1 = current limiting resistance
R2 = zero adjust resistance
V = battery
Rm = meter resistance
RX = unknown resistance
● The current flowing through the movement then depends on the magnitude of
the unknown resistance.
● Therefore, the meter deflection is directly proportional to the value of the
unknown resistance.
Contd…
● To mark the “0” reading on the scale, the terminals A and B are shorted, i.e.
the unknown resistance Rx= 0, maximum current flows in the circuit and the
shunt resistance R2 is adjusted until the movement indicates full scale current
(Ifsd). The position of the pointer on the scale is then marked “0” ohms.
Contd…
● Similarly, to mark the “∞” reading on the scale, terminals A and B are open,
i.e. the unknown resistance Rx = ∞, no current flow in the circuit and there is
no deflection of the pointer. The position of the pointer on the scale, is then
marked as “∞” ohms.
Contd…
● A major drawback in the series ohmmeter is the decrease in voltage of the
internal battery with time and age.
● Due to this, the full scale deflection current drops and the meter does not read
“0” when A and B are shorted.
● The variable shunt resistor R2 across the movement is adjusted to counteract
the drop in battery voltage, thereby bringing the pointer back to “0” ohms on
the scale.
Contd…
● A major drawback in the series ohmmeter is the decrease in voltage of the
internal battery with time and age.
● Due to this, the full scale deflection current drops and the meter does not read
“0” when A and B are shorted.
● The variable shunt resistor R2 across the movement is adjusted to counteract
the drop in battery voltage, thereby bringing the pointer back to “0” ohms on
the scale.
Contd…
● It is also possible to adjust the full scale deflection current without the shunt
R2 in the circuit, by varying the value of R1 to compensate for the voltage
drop. Since this affects the calibration of the scale, varying by R2 is much
better solution.
● The internal resistance of the coil Rm is very low compared to R1. When R2 is
varied, the current through the movement is increased and the current through
R2 is reduced, thereby bringing the pointer to the full scale deflection
position.
Contd…
● Therefore, in a series ohmmeter the scale marking on the dial, has “0” on the
right side, corresponding to full scale deflection current, and “∞” on the left
side corresponding to no current flow.
● Values of R1 and R2 can be determined from the value of Rx which gives
half the full scale deflection.
Where,
Rh = half of full scale deflection resistance.
●
Contd…
● The total resistance presented to the battery then equals 2Rh, as Rx = Rh and
the battery current needed to supply half scale deflection is Ih=V/2Rh..
● To produce full scale current, the battery current must be doubled.
● Therefore, the total current of the circuit, It=V/Rh
● The shunt current through R2 is given by I2=It-Ifsd
Contd…
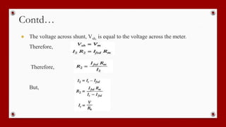
● The voltage across shunt, Vsh, is equal to the voltage across the meter.
Therefore,
Therefore,
But,
Contd…
Contd…
Shunt Type Ohmmeter
● The shunt type ohmmeter consists of a battery in series with an adjustable
resistor R1, and a D’Arsonval movement.
● The unknown resistance is connected in parallel with the meter, across the
terminals A and B, hence the name shunt type ohmmeter.
Contd…
● To mark the “0” ohms reading on the scale, terminals A and B are shorted, i.e.
the unknown resistance Rx = 0, and the current through the meter movement
is zero, since it is bypassed by the short-circuit. This pointer position is
marked as “0” ohms.
● Similarly, to mark “∞” on the scale, the terminals A and B are opened, i.e.
Rx = ∞ and full current flows through the meter movement; by appropriate
selection of the value of R1, the pointer can be made to read full scale
deflection current.
Contd…
● This ohmmeter therefore has a zero mark at the left side of the scale and an ∞
mark at the right side of the scale, corresponding to full scale
deflection current.
● The shunt type ohmmeter is particularly suited to the measurement of low
values of resistance. Hence it is used as a test instrument in the laboratory for
special low resistance applications.
Multi Range Ohmmeter
● To measure resistance over a wide range of values, we need to extend the
ohmmeter ranges. This type of ohmmeter is called a multirange ohmmeter.
Problems on Ohmmeter
1. A 100Ω basic movement is to be used as an ohmmeter requiring full scale
deflection of 1mA and internal battery voltage of 3V. A half scale deflection
marking of 1KΩ is required. Calculate
(i) the value of R1 and R2
(ii) Maximum value of R2 to compensate for a 3% drop in battery voltage.
Solution:
(i) Given, Im = 1mA, Rm = 100Ω, Rh=1KΩ, V=3V
R1 = 966.7 Ω R2= 50 Ω
Contd…
(ii) The internal battery voltage is 3V
3% of 3V is 0.09V
Therefore, the battery voltage drop with 3% drop is 3V – 0.09V = 2.91V
R2 = 52.36 Ω
Contd…
2. An ohmmeter is designed around a 1mA meter movement and a 3V battery. If
the battery voltage decays to 2.8V because of aging, calculate the resulting
error at the midrange on the ohmmeter scale.
3. A shunt type ohmmeter uses a 10mA basic D’Arsonval movement with an
internal resistance of 50 Ω. The battery voltage is 3V. It is desired to modify
the circuit by adding shunt resistance across the movement so that the
instrument indicates 10 Ω at midpoint scale, Calculate (i) value of shunt
resistance (ii) value of current limiting resistanceR1.
Contd…
Solution for 3 Problem:
For half scale deflection,
Ih = Im/2 = 10mA/2 = 5mA
Multimeter
● A multimeter is basically a PMMC meter.
● A multimeter consists of an ammeter, voltmeter and ohmmeter combined,
with a function switch to connect the appropriate circuit to the D’Arsonval
movement.
● To measure dc current the meter acts as an ammeter with a low series
resistance.
● Range changing is accomplished by shunts in such a way that the current
passing through the meter does not exceed the maximum rated value.
Contd…
Meter Protection
● DC meters are protected by connecting one or two diodes in parallel to the
meter.
● If a single diode is connected across it is called single diode protection.
● If a double diode is connected across it is called double diode protection.
● When the input increases beyond the cut in voltage of the diode, the diode
will conduct and all the current flows through the diode. As the current is
diverted through the diode, the meter is protected from excess current.
Meter Protection
Fig. (a) single diode protection (b) Double diode Protection
Problems
1. A 1mA full scale deflection current meter movement is to be used as an series
ohmmeter circuit. The meter movement has an internal resistance of 100Ω
and a 3V battery will be used in the circuit. Mark off the meter dial for
reading resistance.
Solution:
The value of Rs which will limit current to full scale deflection current can be
calculated as
Rs = (V/Ifsd) – Rm
= (3/1mA) – 100
= 2.9KΩ
Contd…
Contd…
Contd…
Contd…
2. (a) Determine the current through the meter when a 20Ω resistor is connected
across the terminals ‘x’ and ‘y’ is measured on R X 1 range.
(b) Show that this same current flows through the meter movement when a
200 Ω resistance is measured on the R X 100 range.
(c) When a 2K Ω resistor is measured on the R X 100 range.
Contd…
Contd…

Emi Unit 1

  • 1.
    Electronic Measurements and Instrumentation -By GVNSKSravya Assistant Professor ECE Dept.
  • 2.
    Unit- I Introduction Electronics ●Electronics is the branch of Physics and Technology concerned with the design of circuits using transistors and microchips, and with the behaviour and movement of electrons in a semiconductor, conductor, vacuum or gas.
  • 3.
    Contd….. Measurement Process of Comparision(Measurement) Quantity to be measured (Measurand) Result (Read Out) Standard Known Quantity
  • 4.
    Contd….. Measurand ● The Physical,Chemical, Electrical quantit, property, process, variable or a condition to be measured is referred as Measurand.
  • 5.
    Contd….. Instrumentation ● Instrumentation isa technology of using instruments to measure and control the physical and chemical properties of materials is called Instrumentation.
  • 6.
    Contd….. Measuring Instrument ● Itis defined as a device for determining the value or magnitude of a quantity or variable. Electronic Instrument ● It is based on the electronic or electrical principles for its measurement function.
  • 7.
    Contd….. Electronic Measurement ● Themeasurement of any electronic or electrical quantity is termed as an electronic measurement. ● Measurement is used to monitor a process or operation and Instrument is used to express the parameter.
  • 8.
    Contd….. Methods of Measurement ●Direct Method a) Deflection Method b) Comparision Method ● Indirect Method
  • 9.
    Contd….. Instruments are classifiedas follows ● Monitoring of processes and operations ● Control of processes and operations ● Experimental engineering analysis
  • 10.
    Contd….. Advantages of InstumentationSystems ● Remote Measurement ● Accurate Measurement ● Measurement in adverse conditions ● Reduction in size ● Convinence
  • 11.
    Block Schematic ofMeasuring System Measurand Input Signal Transducer Signal Conditioning Display/ Record
  • 12.
    Performance Characteristics ● Differentinstruments are compared and analysed by the performance characteristics parameters. ● Performance characteristics are divided into a) Static Characteristics b) Dynamic Characteristics
  • 13.
    Static Characteristics ● Staticcharacteristics are obtained by one form or another form of a process called calibration. Calibration ● It is a process of making an adjustment or marking a scale so that the readings of an instrument agree with standard.
  • 14.
    Contd... ● Accuracy The degreeof exactness (closeness) of a measurement compared to the expected value. ● Resolution The smallest change in the measured variable to which an instrument will respond.
  • 15.
    Contd... ● Precision A measureof the consistency or repeatability of measurements i.e., successive reading do not differ. ● Expected Value The design value i.e., the most probable value that calculations indicate one should expect to measure.
  • 16.
    Contd... ● Sensitivity The ratioof the change in output of the instrument to a change of input or measured variable. ● Error The deviation of the true value from the measured value.
  • 18.
  • 19.
    Contd… ● If ameasurement is accurate, it must also be precise, i.e., accuracy means precision. ● However, a precision measurement may not be accurate. ● The precision of a measurement is a quantitative or numerical indication of the closeness with which a repeated set of measurement of the same variable agree with the average setof measurements.
  • 20.
    Contd… ● Precision canalso be expressed mathematically as
  • 21.
    Problems 1. The expectedvalue of the voltage across a resistor is 80 V. However, the measurement gives a value of 79 V. Calculate (i) absolute error, (ii) % error, (iii) relative accuracy, and (iv) % of accuracy.
  • 22.
    Contd… ● Solution Given expectedvalue = 80 V measured Value = 79 V
  • 23.
    Contd… 2. The expectedvalue of current through a resistor is 20 mA. The measured current value is of 18 mA. Calculate (i) absolute error, (ii) % error, (iii) relative accuracy, and (iv) % of accuracy. Solution. (i) Absolute error = 2 mA (ii) % error = 10% (iii) Relative accuracy = 0.90 (iv) % accuracy = 90%
  • 24.
    Contd… 3. From thegiven set of 10 measurements that were recorded in the laboratory. Calculate the precision of the 6th measurement . Measurement number Measurement value Xn 1 98 2 101 3 102 4 97 5 101 6 100 7 103 8 98 9 106 10 99
  • 25.
  • 26.
    Precision ● Precision iscomposed of two characteristics : (i) Conformity (ii) Number of significant figures
  • 27.
    Types of StaticErrors Errors occur from different sources and are usually classified into Static Errors Gross Errors Systematic Errors Gross Errors Random Errors Instrumen tal Errors Environment al Errors Observation al Errors
  • 28.
    Gross Errors  causedby human mistakes in reading/using instruments may also occur due to incorrect adjustment ofthe instrument and the computational mistakes  cannot be treated mathematically  cannot eliminate but can minimize  Eg: Improper use of an instrument. This error can be minimized by taking proper carein reading and recording measurement parameter. Therefore, several readings must be taken to minimize the errors.
  • 29.
    Systematic Errors ● SystematicError is defined as a constant uniform deviation of the operation of an instrument. ● occurs due to shortcomings of the instrument (such as defective or worn parts, ageing or effects ofthe environment on the instrument). ● Eg: Over loading of the instrument ● These are classified into 3 types – (i) Instrumental (ii) Environmental (iii) observational
  • 30.
    Contd… ● Instrumental Errors -occurs due to aging of the instrument - due to misuse of the instrument - due to loading effect - due to mechanical structure ● Errors can be avoided by (i) selecting a suitable instrument for theparticular measurement (ii) apply correction factor by determining instrumental error (iii) calibrate the instrument againststandard
  • 31.
    Contd… ● Environmental Error -due to external condition effecting the measurement including surrounding areacondition such as change in temperature,humidity, pressure, dust, vibrations etc. - to avoid the error:- (a) use air conditioner (b) sealing certain component in theinstruments (c) use magnetic shields
  • 32.
    Contd… ● Observational Error -introduce by the observer - due to carelessness of operators - mostly parallex errors - Eg: an observer who tend to hold his head too far tothe left while reading the position of the needle on thescale.
  • 33.
    Random Errors - dueto unknown causes, - occur when all gross errors and systematic errors are accounted - Errors are accidental, small and independent - Errors are treated mathematically - can be avoided by (a) increasing number of reading (b) use statistical means to obtain best approximation of true value
  • 34.
    Sources of Errors ●Poor maintenance ● Insufficient knowledge of process parameters and design conditions ● Poor design ● Certain design limitations ● Errors caused by person operating the instrument or equipment ● Change in process parameters, irregularities etc.,
  • 35.
    Statistical analysis ofRandom Errors ● Statistical analysis method is employed to estimate the value or error when unpredictable errors or random errors are dominant. ● When the reason for specific error cannot be identified and the deviation from the true value is to be estimated, the statistical analysis method is to be employed. ● This will give the deviation from the true value and the correctness of the readings taken. ● This method is employed by taking a large number of readings of a particular parameter and calculations are made in the following ways.
  • 36.
    Contd… 1. Arithmetic mean ●The most probable value of a measured variable is the arithmetic mean of the number of readings taken. ● A large number of readings are taken and the average value is computed. ● The arithmetic mean of n measurements at a specific count of the variable x is given by the expression
  • 37.
    Contd… 2. Deviation fromthe mean ● It is the departure of a given reading from the arithmetic mean of the group of readings. ● The deviations from the mean can be expressed as
  • 38.
    Contd… 3. Average Deviation(D) ● It is an indication of the precision of the instrument used in measurement. ● It is defined as the sum of the absolute values of the deviation divided by the number of readings. ● High accurate instruments with high precision will have a low average deviation. ● Average deviation is expressed as
  • 39.
    Contd… 4. Standard Deviation(or) Root mean square formula (σ) ● The standard deviation of an infinite number of data is the square root of the sum of all the individual deviations squared, divided by the number of readings. ● The standard deviation is also known as root mean square deviation. ● Reduction in this quantity means improvement in measurement.
  • 40.
    Contd… ● Standard deviationis expressed as ● For small readings (n < 30), the denominator is expressed as (n-1) to obtain a more accurate value.
  • 41.
    Contd… 5. Variance (σ2) ●It is the mean square deviation. ● Variance is the square root of the standard deviation.
  • 42.
    Contd… Problem 1. For thegiven data, calculate (i) Arithmetic Mean (ii) Deviation (iii) Algebraic sum of the deviation (iv) Average Deviation (v) Standard Deviation (vi) Variance. x1 = 49.7 , x2 = 50.1 , x3 = 50.2 , x4 = 49.6 , x5 = 49.7 .
  • 43.
  • 44.
  • 45.
    Limiting Error • Theaccuracy of measuring instrument is guaranteed within a certain percentage (%) of full scale reading. • Limits of deviation from a specified values are called limiting errors. • E.g manufacturer may specify the instrument to beaccurate at +2 % with full scale deflection. • This means that a full scale deflection reading is guaranteed to be within the limits of 2% of a accurate reading. • For a reading less than full scale, the limiting error increases.
  • 46.
    Problems on LimitingError 1. A 600 V voltmeter is specified to be accurate within + 2 % at full scale. Calculate the limiting error when the instrument is used to measure a voltage of 250 V. Solution: The magnitude of limiting error, 0.02 x 600 = 12V Therefore, the limiting error for 250V = 12/250 x 100 = 4.8%
  • 47.
    Contd… 2. A 500mA ammeter is specified to be accurate with + 2%. Calculate the limiting error when instrument is used to measure 300 mA. Solution: Given accuracy of + 2% = 0.02 The magnitude of limiting error, 500 mA x 0.02 = 10 mA Therefore, limiting error at 300 mA = 10mA/ 300mA x 100 % = 3.33%
  • 48.
    Contd… 2. A 500mA ammeter is specified to be accurate with + 2%. Calculate the limiting error when instrument is used to measure 300 mA. Solution: Given accuracy of + 2% = 0.02 The magnitude of limiting error, 500 mA x 0.02 = 10 mA Therefore, limiting error at 300 mA = 10mA/ 300mA x 100 % = 3.33%
  • 49.
    Gaussian Law ● TheGaussian law of error is the basis for the study of random errors. ● When random errors are predominant, the probable error in a particular measurement can be estimated. ● The equation for the Gaussian law is
  • 50.
    Contd… ● For eachreading, the probability of occurrence of deviation is calculated and a graph is plotted between y and ω. ● The deviation is calculated in terms of σ on both sides of the average value and a graph is plotted. ● If the average value is the true value , the probability of occurrence of zero deviation is maximum. ● Therefore, corresponding to the average value a peak is obtained.
  • 51.
  • 52.
    Dynamic Characteristics ● Dynamic– Varying a process condition. ● Instruments rarely respond instantaneously to changes in the measured variables due to such things as mass, thermal capacitance, fluid capacitance or electrical capacitance. ● Pure delay in time is often encountered where the instrument waits for some reaction to take place. ● Such industrial instruments are nearly always used for measuring quantities that fluctuate with time. ● Therefore, the dynamic and transient behavior of the instrument is important.
  • 53.
    Contd… ● The dynamicbehavior of an instrument is determined by subjecting its primary element (sensing element) to some unknown and predetermined variations in the measured quantity. ● The three most common variations in the measured quantity: ● • Step change ● • Linear change ● • Sinusoidal change
  • 54.
    Contd… ● Step change-inwhich the primary element is subjected to an instantaneous and finite change in measured variable. ● Linear change-in which the primary element is following the measured variable, changing linearly with time. ● Sinusoidal change-in which the primary element follows a measured variable, the magnitude of which changes in accordance with a sinusoidal function of constant amplitude.
  • 55.
    Contd… ● The dynamicperformance characteristics of an instrument are: 1. Speed of response -The rapidity with which an instrument responds to the changes in the measured quantity. 2. Dynamic error -The difference between the true value of a quantity changing with time and the measured value indicated by the instrument with no static error. 3. Fidelity – The degree to which an instrument indicates the changes in the measured variable without dynamic error.
  • 56.
    Contd… 4. Lag -It is the retardation or delay in the response of an instrument to changes in the measured variable. 5. Reproducibility – The degree of closeness with which a given value of a variable may be repeatedly measured over a period of time when input is constantly applied. 6. Repeatability – It is defined as variation of scale reading when input is randomly applied.
  • 57.
    Contd… Dynamic Behavior ofInstruments ● The dynamic performance of an instrument is expressed normally by a differential equation relating the input and output quantities.
  • 58.
    Dynamic response ofzero order instruments ● The relation between input and output of an instrument is given as
  • 59.
  • 60.
    Contd… ● For Zeroorder systems, the output is faithful reproduction of input without ant distortion or time lag. ● The instrument output follows input with no distortion or time lag. ● Zero order instruments provides perfect dynamic response. Eg. Potentiometer ● Order of the instrument is based on the time delay, if time delay is minimum means zero order instrument.
  • 61.
    Dynamic behavior offirst order instruments ● Dynamic behavior of first order instruments indicates that there will be some time delay. ● Eg. Thermistors, Thermocouples. ● The relation between input and output of first order instrument is given by
  • 62.
  • 63.
    Measuring Instruments Basic metermovement ● The action of the most common dc meter is based on the fundamental principle of motor. ● The motor action is produced by the amount of current flowing through the moving coil, which is positioned in the field of a permanent magnet. ● This basic moving coil system is often called as D’Arsonval Galvanometer.
  • 64.
    Permanent Magnetic MovingCoil (PMMC) ● PMMC is a basic deflection mechanism used in most of the analog measuring instruments. ● When a coil is suspended in the magnetic field of a permanent magnet in the shape of a horseshoe, the coil is suspended so that it can rotate freely in the magnetic field. ● When current flows in the coil, the developed electromagnetic torque causes the coil to rotate.
  • 65.
    Contd… ● The EMtorque is counter balanced by the mechanical torque of control springs attached to the movable coil. ● The balance of torques, and therefore the angular position of the movable coil, is indicated by a pointer against a fixed reference called scale.
  • 66.
    Contd… ● The equationfor the developed torque is T= B A I N where, T = Torque (Newton- meter) B= Flux density in the air gap (webers/square meter tesla) A = Effective coil area (square meter) I = Current in the movable coil (A) N = turns of wire on the coil ● In the above equation B and A are fixed parameters. ● Therefore, developed torque is a direct indication of the current in the coil.
  • 67.
    D’Arsonval Movement ● Thebasic PMMC movement is called the D’Arsonval movement after its inventor Jacques D’Arsonval in 1881. ● It offers the largest magnet in a given space and is used when maximum flux in the air gap is required. ● It provides an instrument with low power consumption and low current required for full scale deflection.
  • 68.
  • 69.
    Contd… ● Figure showsa permanent magnet of horse shoe with soft iron pole pieces attached to it. ● Between pole pieces a cylinder of soft iron which serves to provide a uniform magnetic field in the airgap between the pole pieces and the cylinder. ● The coil is wounded on a light metal frame and is mounted so that it can rotate freely in the airgap. ● The pointer attached to the coil moves over a graduated and indicates the angular deflection of the coil and therefore the current through the coil. ●
  • 70.
    Contd… ● Two phosphorbronze conductive springs, provides the calibrated force opposing the moving coil torque. ● If low frequency alternating current is applied to the movable coil, the deflection of the pointer would be up scale for half cycle of the input waveform and downscale in the opposite direction for the next half cycle. ● PMMC is unsuitable for AC measurement, unless the current is rectified before reaching the coil.
  • 71.
    Contd… ● The basicPMMC instrument is a linear reading device. ● The permanent magnet is made up of Alnico material. ● Coil area range is from 0.5 – 2.5 cm2 ● Consumes low power 25W – 200µW. ● Accuracy is 2.5% of full scale deflection.
  • 72.
    Contd… Advantages 1. Sensitivity ishigh 2. High accuracy 3. Instrument is free from hysteresis error. 4. They are not affected by stray magnetic fields. 5. Can be modified by shunts and resistances to cover a wide range of currents and voltages.
  • 73.
    Contd… Disadvantages 1. Suitable forDC measurements only. 2. Errors due to ageing of control springs and permanent magnet. 3. Cost is high
  • 74.
    Meters ● Different instrumentscan be obtained by starting with basic meter movement and adding various elements. DC Instruments ● DC Ammeter – by adding a shunt resistance to the basic meter movement forms a µA, mA or an Ammeter. ● DC Voltmeter – by adding a multiplier resistance to the basic meter movement forms a mV, Voltmeter or Kilo Voltmeter, ● Ohmmeter – by adding a battery and resistive network to the basic meter movement forms an ohmmeter.
  • 75.
    AC Instrument ● ACvoltage or current by adding a rectifier forming a rectifier type meter for power and audio frequencies. ● RF voltage or current by adding a thermocouple type meter for RF. ● Adding a thermistor in a resistive bridge network forming an expanding scale(100-140V) for power line monitoring.
  • 76.
    DC Voltmeter ● Touse basic meter movement as a DC Voltmeter, must know the amount of current(Ifsd) required to deflect the basic meter to full scale. ● Sensitivity is based on the fact that the full scale current obtained when ever a certain amount of resistance is present in the meter circuit for each voltage is applied and sensitivity is expressed as Ω /V.
  • 77.
    DC Voltmeter ● Theaddition of series resistor or multiplier converts the basic D’Arsonval movement in to a DC Voltmeter. ● The multiplier limits the amount of current through the meter so as not to exceed the full scale deflection current(Ifsd). ● Voltmeter is connected across the source or circuit component.
  • 78.
    Contd… ● Multiplier ismounted inside the voltmeter up to 500V. For higher voltages it is mounted outside separately.
  • 79.
    Contd… ● Im =full scale deflection current of the meter movement (Ifsd) Rm = internal resistance of meter Rs = multiplier resistance V= full range voltage of the instrument from the circuit
  • 80.
    Voltmeter Senstivity ● Thesensitivity or ohms/volt rating of a voltmeter is the ratio of the total circuit resistance Rt to the voltage range or reciprocal of the full scale deflection current. or S= Rt / V Rt = total circuit resistance , Rt = Rs + Rm V = voltage range , S= sensitivity Rm = internal resistance of the meter Rs = Rt – Rm Rs = (S x V) - Rm
  • 81.
    Problems 1. Calculate thesensitivity of a 200 µA meter movement which is to be used as a DC Voltmeter. 2. A basic D’Arsonval movement with a full scale deflection of 50 µA and internal resistance of 500 Ω is used as a voltmeter. Determine the value of the multiplier resistance needed to measure a voltage range of 0-10V. 3. Calculate the value of the multiplier resistance on the 50 V range of a DC Voltmeter that uses a 500 µA meter movement with an internal resistance of 1KΩ.
  • 82.
    Problems 1. Calculate thesensitivity of a 200 µA meter movement which is to be used as a DC Voltmeter. Solution Sensitivity is given as S= 1/ 200 µA S = 5 K Ω/ V
  • 83.
    Contd… 2. A basicD’Arsonval movement with a full scale deflection of 50 µA and internal resistance of 500 Ω is used as a voltmeter. Determine the value of the multiplier resistance needed to measure a voltage range of 0-10V. Solution
  • 84.
    Contd… 3. Calculate thevalue of the multiplier resistance on the 50 V range of a DC Voltmeter that uses a 500 µA meter movement with an internal resistance of 1KΩ. Solution Sensitivity = 1/ Im = 1/ 500 µA = 2 KΩ/ V Rs = (S x V) – Rm = 99 KΩ
  • 85.
    Multirange Voltmeter ● Thedc voltmeter can be converted into multirange voltmeter by connecting a number of resistors(multipliers) along with a range switch provide greater number of workable ranges.
  • 86.
    Contd… ● The circuitis modified by connecting all the resistors in series and the range selector switch selects the appropriate amount of resistance required in series with the movement.
  • 87.
    Contd… ● Figure 4.3shows the practical arrangement of the multiplier resistances of a multi range voltmeter. ● This arrangement is more advantageous, because all multiplier resistances except the first resistor have the standard resistance value and are easily available in precision tolerances. ● The first resistor or low range multiplier is the only special resistor which has to be specially manufactured to meet the circuit requirements.
  • 88.
    Problems ● A D’Arsonvalmovement with a full scale deflection current of 50 µA and internal resistance of 500Ω is to be converted into a multirange voltmeter. Determine the value of the multiplier resistance required for 0-20 V, 0-50V and 0-100V. Solution Given Im = 50 µA Rm = 500Ω
  • 89.
    Contd… For range 0-20V Rs= 399.5KΩ For range 0-50V Rs= 999.5K Ω For range 0-100V Rs= 1999.5K Ω
  • 90.
    Contd… ● Convert abasic D’Arsonval movement with an internal resistance of 100 Ω and a full scale deflection of 10mA into a multi range dc voltmeter with ranges 0-5V, 0-50V and 0-100V.
  • 91.
  • 92.
    Extending Voltmeter Ranges ●The range of a voltmeter can be extended to measure high voltages, by using a high voltage probe or by using an external multiplier resistor. ● In most meters the basic movement is used on the lowest current range to measure very low voltages. ● Care must be taken, not to exceed the voltage drop required for full scale deflection.
  • 93.
    Loading Effect ● Whenselecting a meter for a certain voltage measurement, it is important to consider the sensitivity of a dc voltmeter. ● A low sensitivity meter gives correct reading when measuring voltages in a low resistance circuit and produces unreliable readings in a high resistance circuit.
  • 94.
    Loading Effect ● Avoltmeter when connected across two points in a highly resistive circuits, acts as a shunt for that portion of the circuit. ● Then the meter indicates a lower reading than the existing before the meter was connected. ● This is called loading effect of an instrument due to low sensitivity instruments.
  • 95.
  • 96.
    Problem ● From theprevious figure, shows a simple series circuit of R1 and R2 connected to a 100V dc source. If the voltage across R2 is to be measured by voltmeters having a) A sensitivity of 1000Ω/V b) A sensitivity of 20,000 Ω/V, find which voltmeter will read the accurate value of voltage across R2, both the meters are used on the 50V range. Solution: Voltage across R2 is given as
  • 97.
    Contd… ● When Voltmeterhaving a sensitivity of 1000 Ω/ V is connected on 50V range then Resistance is of Rt = S x V Rt= 1000 X 50 V Rt = 50 K Ω Meter across R2 causes equivalent parallel resistance
  • 98.
    Contd… ● Voltage acrosstotal combination is given as
  • 99.
    Contd… When Voltmeter havinga sensitivity of 20,000 Ω/ V is connected on 50V range then total resistance is given as 20000 X 50 = 1MΩ This voltmeter when connected across R2 produces an equivalent parallel resistance is given by
  • 100.
    Contd… Voltage across thetotal combination is given by Therefore, High sensitivity voltmeter should be used to get accurate readings.
  • 101.
    Problem ● Two differentvoltmeters are used to measure the voltage across Rb in the circuit. The meters are as follows. Meter 1: S= 1K Ω/ V, Rm=0.2 KΩ, range 10V Meter 2: S= 20 KΩ/ V, Rm=1.5K Ω, range 10V Calculate (i) Voltage across Rb without any meter (ii) Voltage across Rb when meter 1 is used (iii) Voltage across Rb when meter 2 is used (iv) Error in the voltmeters.
  • 102.
    Contd… Solution: (i) Voltage acrossRb without any meter connection is calculated using voltage divider formula, (ii)When Meter 1: S= 1K Ω/ V, Rm=0.2 KΩ, range 10V is connected total resistance in the circuit is given as
  • 103.
    Contd… Total resistance acrossRb is, Rb in parallel with meter resistance Rm1 Voltage reading obtained when meter 1 is connected by voltage division rule is,
  • 104.
    Contd… (iii) Total resistancewhen meter 2 is connected, The parallel combination of Rb and meter 2 gives, Voltage obtained when meter 2 is connected is,
  • 105.
    Contd… (iv) Error inthe reading of the voltmeter is given as, Hence, Voltmeter with high sensitivity provides accurate measurements than low sensitivity meter.
  • 106.
    DC Ammeter ● ThePMMC galvanometer constitutes the basic movement of a dc ammeter. ● The coil winding of a basic movement is small and light, so it can carry only very small currents. ● A low value resistor (shunt resistor) is used in DC ammeter to measure large current.
  • 107.
  • 108.
    Contd… Where, Rm = internalresistance of the movement Rsh = shunt resistance Ish =shunt current Im = full scale deflection current of the movement I = full scale current of the ammeter + shunt (i.e. total current) Since, shunt is in parallel with meter movement the voltage drop across shunt and coil must be same and equal.
  • 109.
    Contd… ● Shunts forlow currents are enclosed in the meter, while for currents above 200A they are mounted separately.
  • 110.
    Problems 1. A 1mAmeter movement with an internal resistance of 100Ω is to be converted into a 0-100 mA. Calculate the value of shunt resistance required. Solution Given, Rm = 100Ω Im = 1 mA I = 100 mA
  • 111.
    Contd… = 1mA X100 100 mA-1mA = 1.01 Ω
  • 112.
    Contd… 2. A 100µA meter movement with an internal resistance of 500Ω is to be used in a 0-100 mA ammeter. Find the value of the required shunt. Solution Given, Rm = 500Ω Im = 100 µA I = 100 mA
  • 113.
    Contd… Rsh = 100µA X 500Ω 100 mA – 100 µA = 0.50 Ω
  • 114.
    Multi range Ammeter ●The current range of the DC ammeter can be extended by a number of shunts and a selector switch. ● The circuit has shunts in parallel with the meter movement to give different current ranges. ● Switch S is a multi position switch, having low contact resistance and high current carrying capacity, since its contacts are in series with low resistance shunts.
  • 115.
  • 116.
    Contd… ● Make beforebreak type of switch is used for range changing. ● This switch protects the meter from being damaged without a shunt during range changing. ● If ordinary switch is used for range changing, the meter does not have any shunt in parallel while the range is changed, and hence the full current passes through the meter movement. ● Hence a make before break type switch is used.
  • 117.
    Contd… ● The switchis designed so that when the switch position is changed, it makes contact with the next terminal before breaking contact with the previous terminal. Therefore, the meter movement is never left unprotected. ● Multi range ammeters are used for ranges up to 50A. ● When using a multi range ammeter, first highest range should be used and then decrease the range. ● The resistances used for the various ranges are of very high precision values, hence the cost of the meter increases.
  • 118.
    Problems 1. A 1mAmeter movement having an internal resistance of 100Ω is used to convert in to a multi range ammeter having the range 0-10 mA, 0-20 mA and 0-50 mA. Determine the value of the shunt resistance required. Solution Given, Im = 1mA and Rm = 100Ω Case 1: range 0-10mA Rsh1 = (Im . Rm) / (I - Im) = 1mA . 100 10mA-1mA = 11.11 Ω
  • 119.
    Contd… Case 2: range0-20 mA Rsh2= 5.2 Ω Case 3: range 0-50 mA Rsh3 = 2.041 Ω 2. Design a multi range ammeter with range 0-1A, 0-5A and 0-10A employing individual shunt in each D’Arsonval movement with an internal resistance of 500Ω and a full scale deflection of 10mA is available.
  • 120.
    The Aryton Shuntor Universal Shunt ● The Aryton shunt eliminates the possibility of having the meter in the circuit without a shunt. ● It reduces cost ● Position of the switch
  • 121.
  • 122.
    Contd… ● When switchis connected to position‘1’: Ra parallel with series combination of Rb, Rc and the meter movement. Current through the shunt is more than the current through the meter movement, thereby protecting the meter movement and reducing its sensitivity. ● I1Ra = Im (Rb + Rc + Rm) (1)
  • 123.
    Contd… ● When switchis connected to position‘2’: Ra and Rb in parallel with the series combination of Rc and the meter movement. The current through the meter is more than the current through the shunt resistance. ● I2(Ra+Rb) = Im ( Rc + Rm) (2)
  • 124.
    Contd… ● When switchis connected to position‘3’: Ra, Rb and Rc in parallel with the meter. Maximum current flows through the meter movement and very little through the shunt. This will increase the sensitivity. ● I3(Ra+Rb+Rc) = Im Rm (3)
  • 125.
    Problem ● Design anAryton shunt to provide an ammeter with a current range of 0-1 mA, 10 mA, 50 mA and 100 mA. AD’Arsonval movement with an internal resistance of 100Ω and full scale current of 50 µA is used.
  • 126.
  • 127.
    AC Voltmeters usingRectifiers ● Rectifier type instruments generally use a PMMC movement along with a rectifier arrangement. ● Silicon diodes are used because of low reverse current and high forward current ratings.
  • 128.
    Contd… ● The bridgerectifier provides a full wave pulsating dc. ● Due to the inertia of the movable coil, the meter indicates a steady deflection proportional to the average value of the current. ● The meter scale is calibrated to give the RMS value of an alternating sine wave input.
  • 129.
    Contd… ● Practical rectifiersare non linear devices particularly at low values of forward current. ● Hence meter scale is non linear at the lower end of a low range voltmeter.
  • 130.
    Contd… ● In nonlinear region the meter has low sensitivity because of high forward resistance of the diode. ● Also, the diode resistance depends on the temperature. ● Rectifier exhibits capacitance properties when reverse biased, and tends to bypass higher frequencies. ● The meter reading may be in error by as much as 0.5% decrease for every 1 KHz. rise in frequency.
  • 131.
    General Rectifier typeAC Voltmeter ● A general rectifier type AC Voltmeter arrangement is shown below.
  • 132.
    Contd… ● Diode D1conducts during positive half cycle of the input and causes the meter to deflect according to the average value of the half cycle. ● The meter movement is shunted by a resistor, Rsh, in order to draw more current through the diode D1 and move the operating point into the linear portion of the characteristic curve. ● In the negative half cycle, diode D2 conducts and the current through the meter is in opposite direction, bypasses the meter movement.
  • 133.
    AC Voltmeter usingHalf Wave Rectifier ● If a diode D1 is added to the dc voltmeter, then it is an ac voltmeter using Half wave rectifier circuit capable of measuring ac voltages.
  • 134.
    Contd… ● Sensitivity ofthe dc voltmeter is given by Sdc = 1/ Ifsd = 1/1mA = 1KΩ/V ● A multiple of 10 times this value means a 10V dc input would cause exactly full scale deflection when connected with proper polarity. ● Assuming D1 as ideal diode with negligible forward resistance and if this dc input is replaced by a 10V rms sine wave input. ● Peak value of 10 V rms sine wave input is Ep = 10V rms X 1.414 =14.14 Vp
  • 135.
    Contd… ● The dcwill respond to the average value of the ac input, Eav = Ep X 0.636 = 8.99V ● Since the diode conducts only during the positive half cycle and meter movement is bypassed for another cycle, the average value over the enter cycle is one half the average value of 8.99V, i.e., 4.5 V. ● Thus pointer will deflect for full scale if 10V dc is applied and 4.5 V when a 10Vrms sinusoidal signal is applied.
  • 136.
    Contd… ● Thus theac voltmeter is less sensitive than dc voltmeter. Edc = 0.45 X Erms ● The value of the multiplier resistance is calculated as
  • 137.
    AC Voltmeter usingFull Wave Rectifier ● AC voltmeter using full wave rectifier is shown below.
  • 138.
    Contd… ● Let 10Vrms purely sinusoidal input is applied, the peak value is given as Ep = 1.414 X Erms = 1.414 X 10 = 14.14 V peak Average value is given as, Eav = 0.636 X Ep = 14.14 X 0.636 = 8.99 V ● Since this meter uses full wave rectifier and hence the average value of output over a cycle is same as average of the input over a cycle i.e., is 9V ● Thus the 10V rms voltage is equal to 9V dc for full scale deflection. Thus the pointer will deflect to 90% of full scale. Sensitivity (ac) = 0.9 x Sensitivity (dc)
  • 139.
    Multi range ACVoltmeter ● The series chain of resistors can be used for measuring ac voltages for the various ranges such a voltmeter is called Multirange AC voltmeter. ● On the 2.5 V range, resistance R5 acts as a multiplier and Rsh is the shunt resistor and acts to improve the rectifier operation.
  • 140.
  • 141.
    Problems 1. Calculate thevalue of the multiplier resistor for a 10V rms range on the voltmeter shown below.
  • 142.
  • 143.
    Contd… 2. Calculate thevalue of the multiplier resistor for a 50 V rms ac range on the voltmeter shown below.
  • 144.
    Contd… Solution: Given, Ifsd =1mA, Rm = 250 Ω The dc sensitivity is given by Sdc = 1/ Ifsd = 1/1mA = 1K Ω/ V AC sensitivity = 0.9 X DC Sensitivity Sac = 0.9 X 1K Ω/ V = 0.9K Ω/ V Multiplier resistance, Rs = Rt – Rm = S X Vrange – Rm = 0.9K Ω/ V X 10V – 250 =8.75KΩ
  • 145.
    True RMS Voltmeter ●To measure the values of complex AC inputs, true rms responding voltmeters are to be used.
  • 146.
    Contd… ● This instrumentproduces a meter indication by sensing waveform heating power, which is proportional to the square of the rms value of the voltage. ● This heating power can be measured by amplifying and feeding it to a thermocouple, whose output voltages is then proportional to the Erms. ● Thermocouples are non-linear devices. This difficulty is overcome by placing two thermocouples in the same thermal environment.
  • 147.
    Contd… ● The unknownac voltage is amplified and applied to the heating element of the measuring thermocouple. ● The application of heat produces an output voltage that upsets the balance of the bridge. ● The effect of non-linear behavior of the thermocouple in the input circuit (measuring thermocouple) is cancelled by similar non-linear effects of the thermocouple in the feedback circuit (balancing thermocouple). ● The two couples form part of a bridge in the input circuit of a dc amplifier.
  • 148.
    Contd… ● The dcamplifier amplifies the unbalanced voltage; this voltage is fed back to the heating element of the balancing thermocouple, which heats the thermocouple, so that the bridge is balanced again, i.e. the outputs of both the thermocouples are the same. ● At this instant, the ac current in the input thermocouple is equal to the dc current in the heating element of the feedback thermocouple.
  • 149.
    Contd… ● This dccurrent is therefore directly proportional to the effective or rms value of the input voltage, and is indicated by the meter in the output circuit of the dc amplifier. ● Sensitivities in the millivolt region are possible.
  • 150.
    Ohmmeter ● The basicD’Arsonval movement can be used to measure resistance by adding a battery and resistive network. ● There are two types of Ohmmeter. a) Series type b) Shunt type
  • 151.
    Series type Ohmmeter ●A D’Arsonval movement is connected in series with a resistance R1 and a battery which is connected to a pair of terminals A and B, across which the unknown resistance is connected. This forms the basic type of series ohmmeter.
  • 152.
  • 153.
    Contd… Where, R1 = currentlimiting resistance R2 = zero adjust resistance V = battery Rm = meter resistance RX = unknown resistance ● The current flowing through the movement then depends on the magnitude of the unknown resistance. ● Therefore, the meter deflection is directly proportional to the value of the unknown resistance.
  • 154.
    Contd… ● To markthe “0” reading on the scale, the terminals A and B are shorted, i.e. the unknown resistance Rx= 0, maximum current flows in the circuit and the shunt resistance R2 is adjusted until the movement indicates full scale current (Ifsd). The position of the pointer on the scale is then marked “0” ohms.
  • 155.
    Contd… ● Similarly, tomark the “∞” reading on the scale, terminals A and B are open, i.e. the unknown resistance Rx = ∞, no current flow in the circuit and there is no deflection of the pointer. The position of the pointer on the scale, is then marked as “∞” ohms.
  • 156.
    Contd… ● A majordrawback in the series ohmmeter is the decrease in voltage of the internal battery with time and age. ● Due to this, the full scale deflection current drops and the meter does not read “0” when A and B are shorted. ● The variable shunt resistor R2 across the movement is adjusted to counteract the drop in battery voltage, thereby bringing the pointer back to “0” ohms on the scale.
  • 157.
    Contd… ● A majordrawback in the series ohmmeter is the decrease in voltage of the internal battery with time and age. ● Due to this, the full scale deflection current drops and the meter does not read “0” when A and B are shorted. ● The variable shunt resistor R2 across the movement is adjusted to counteract the drop in battery voltage, thereby bringing the pointer back to “0” ohms on the scale.
  • 158.
    Contd… ● It isalso possible to adjust the full scale deflection current without the shunt R2 in the circuit, by varying the value of R1 to compensate for the voltage drop. Since this affects the calibration of the scale, varying by R2 is much better solution. ● The internal resistance of the coil Rm is very low compared to R1. When R2 is varied, the current through the movement is increased and the current through R2 is reduced, thereby bringing the pointer to the full scale deflection position.
  • 159.
    Contd… ● Therefore, ina series ohmmeter the scale marking on the dial, has “0” on the right side, corresponding to full scale deflection current, and “∞” on the left side corresponding to no current flow. ● Values of R1 and R2 can be determined from the value of Rx which gives half the full scale deflection. Where, Rh = half of full scale deflection resistance. ●
  • 160.
    Contd… ● The totalresistance presented to the battery then equals 2Rh, as Rx = Rh and the battery current needed to supply half scale deflection is Ih=V/2Rh.. ● To produce full scale current, the battery current must be doubled. ● Therefore, the total current of the circuit, It=V/Rh ● The shunt current through R2 is given by I2=It-Ifsd
  • 161.
    Contd… ● The voltageacross shunt, Vsh, is equal to the voltage across the meter. Therefore, Therefore, But,
  • 162.
  • 163.
  • 164.
    Shunt Type Ohmmeter ●The shunt type ohmmeter consists of a battery in series with an adjustable resistor R1, and a D’Arsonval movement. ● The unknown resistance is connected in parallel with the meter, across the terminals A and B, hence the name shunt type ohmmeter.
  • 165.
    Contd… ● To markthe “0” ohms reading on the scale, terminals A and B are shorted, i.e. the unknown resistance Rx = 0, and the current through the meter movement is zero, since it is bypassed by the short-circuit. This pointer position is marked as “0” ohms. ● Similarly, to mark “∞” on the scale, the terminals A and B are opened, i.e. Rx = ∞ and full current flows through the meter movement; by appropriate selection of the value of R1, the pointer can be made to read full scale deflection current.
  • 166.
    Contd… ● This ohmmetertherefore has a zero mark at the left side of the scale and an ∞ mark at the right side of the scale, corresponding to full scale deflection current. ● The shunt type ohmmeter is particularly suited to the measurement of low values of resistance. Hence it is used as a test instrument in the laboratory for special low resistance applications.
  • 167.
    Multi Range Ohmmeter ●To measure resistance over a wide range of values, we need to extend the ohmmeter ranges. This type of ohmmeter is called a multirange ohmmeter.
  • 168.
    Problems on Ohmmeter 1.A 100Ω basic movement is to be used as an ohmmeter requiring full scale deflection of 1mA and internal battery voltage of 3V. A half scale deflection marking of 1KΩ is required. Calculate (i) the value of R1 and R2 (ii) Maximum value of R2 to compensate for a 3% drop in battery voltage. Solution: (i) Given, Im = 1mA, Rm = 100Ω, Rh=1KΩ, V=3V R1 = 966.7 Ω R2= 50 Ω
  • 169.
    Contd… (ii) The internalbattery voltage is 3V 3% of 3V is 0.09V Therefore, the battery voltage drop with 3% drop is 3V – 0.09V = 2.91V R2 = 52.36 Ω
  • 170.
    Contd… 2. An ohmmeteris designed around a 1mA meter movement and a 3V battery. If the battery voltage decays to 2.8V because of aging, calculate the resulting error at the midrange on the ohmmeter scale. 3. A shunt type ohmmeter uses a 10mA basic D’Arsonval movement with an internal resistance of 50 Ω. The battery voltage is 3V. It is desired to modify the circuit by adding shunt resistance across the movement so that the instrument indicates 10 Ω at midpoint scale, Calculate (i) value of shunt resistance (ii) value of current limiting resistanceR1.
  • 171.
    Contd… Solution for 3Problem: For half scale deflection, Ih = Im/2 = 10mA/2 = 5mA
  • 174.
    Multimeter ● A multimeteris basically a PMMC meter. ● A multimeter consists of an ammeter, voltmeter and ohmmeter combined, with a function switch to connect the appropriate circuit to the D’Arsonval movement. ● To measure dc current the meter acts as an ammeter with a low series resistance. ● Range changing is accomplished by shunts in such a way that the current passing through the meter does not exceed the maximum rated value.
  • 175.
  • 176.
    Meter Protection ● DCmeters are protected by connecting one or two diodes in parallel to the meter. ● If a single diode is connected across it is called single diode protection. ● If a double diode is connected across it is called double diode protection. ● When the input increases beyond the cut in voltage of the diode, the diode will conduct and all the current flows through the diode. As the current is diverted through the diode, the meter is protected from excess current.
  • 177.
    Meter Protection Fig. (a)single diode protection (b) Double diode Protection
  • 178.
    Problems 1. A 1mAfull scale deflection current meter movement is to be used as an series ohmmeter circuit. The meter movement has an internal resistance of 100Ω and a 3V battery will be used in the circuit. Mark off the meter dial for reading resistance. Solution: The value of Rs which will limit current to full scale deflection current can be calculated as Rs = (V/Ifsd) – Rm = (3/1mA) – 100 = 2.9KΩ
  • 179.
  • 180.
  • 181.
  • 182.
    Contd… 2. (a) Determinethe current through the meter when a 20Ω resistor is connected across the terminals ‘x’ and ‘y’ is measured on R X 1 range. (b) Show that this same current flows through the meter movement when a 200 Ω resistance is measured on the R X 100 range. (c) When a 2K Ω resistor is measured on the R X 100 range.
  • 183.
  • 184.