Embed presentation
Downloaded 13 times















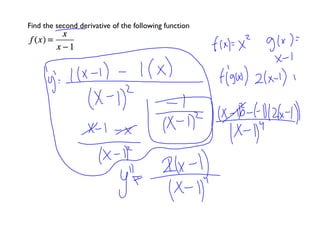
This document contains a third partial review of derivatives that asks the student to determine if statements about derivatives are true or false, find the equation of tangent lines, evaluate derivatives of various functions, and find second derivatives. It contains multiple derivative problems and concepts for the student to work through, including determining derivatives, tangent lines, and higher order derivatives.













