DETERMINATION OF PRIMARY
STRUCTURE OF PROTEINS
PRADEEP SINGH, HINA YASEEN
M.Sc. Medical Biochemistry
HIMSR, JAMIA HAMDARD
INTRODUCTION
 Proteins are polymers composed of hundreds or even thousands of
amino acids linked by peptide bonds.
 Proteins are most abundant biomolecules which makes about 75%
of total body weight.
 Carbon, hydrogen, oxygen and nitrogen are major components of
proteins.
 Average molecular weight of proteins range between 5kDa- 220kDa.
ORGANISATION OF PROTEIN
 Proteins are usually large molecules with a complex three
dimensional structure.
 Four levels of proteins are commonly defined as:
1. Primary structure
2. Secondary structure
3. Tertiary structure
4. Quaternary structure
Primary Structure of Proteins
 It is a linear polymer formed by linking the α-carboxyl group of one
amino acid to the α- amino group of another amino acid .
 This type of linkage is called a peptide bond or amide bond forming
polypeptide chain.
 Dipeptide is formed by two amino acids.
Similarly, tripeptide is formed by three
amino acids. Eg: Glutathione is a tripeptide.
 Each amino acid unit in a polypeptide is called residue.
 The sequence of amino acids in a polypeptide chain is
written starting with the amino terminal residue called as
N-terminal residue.
 A polypeptide chain consist of a regularly repeating part, called main chain or
backbone, and a variable part, comprising the distinct side chain (R1 , R2 , R3 etc).
 The linear polypeptide chain is cross linked and the most common cross-links are
disulphide bonds.
PEPTIDE BOND
All amino acids are linked
by peptide bond.
N terminal end- free NH2
group of amino acid.
C terminal end- free COOH
group of amino acid.
Amino acid are sequenced
from N- terminal end to
the C- terminal end.
CHARACTERISTICS OF PEPTIDE BOND
1. Partial double bond character.
2. Rigid and planer.
3. C-N bond is trans in nature.
4. Uncharged but polar.
5. This prevents free rotation
around the bond between the
carbonyl carbon and the nitrogen
of the peptide bond.
Secondary Structure
 Secondary structure are formed by a regular pattern of H-bonds and
other non covalent interactions between the side chain residues of
amino acids that are near to one another in the linear sequence.
 Example: Myoglobin
 Types of secondary structure:
1. Alpha Helix
2. Beta Pleated Sheet
3. Loops
4. Bends
 α- helix  β - pleated sheet
• Right handed spiral structure.
• H- bonding interaction.
• Proline and hydroxyproline
will not allow the formation
of alpha helix
• Almost fully extended
• Stabilized by h- bonding.
• Zig- zag or pleated pattern
• Adjacent strands in a sheet can
run in the same direction or
opposite direction.
Tertiary Structure
 The entire three dimension conformation of a
polypeptide is referred to as tertiary structure.
 Tertiary structure is maintained by weak bonds
(H-bonds, electrostatic forces and other non
covalent interactions).
 Tertiary structure represent the lowest energy
and greatest stability state of a polypeptide
chain .
 Example: Enzymes are globular proteins with a
specific tertiary structure.
Folding of primary structure to
form tertiary structure in
enzymes
Quaternary Structure
 Two or more peptides combine together
to form the quaternary structure of
protein.
 These peptides chains are linked to one
another by non covalent interactions.
 Example- Haemoglobin
Types of protein on the basis of structure
 Proteins fall into three basic classes according to shape and
solubility:
1. Fibrous Protein – Collagen
2. Globular Protein – Myoglobin, Hemoglobin
3. Membrane Proteins
• Regular linear structures
• Play structural roles in the
cell (matrix formation)
• Often water Insoluble
1. Fibrous Protein 2. Globular Protein 3. Membrane Protein
• Roughly spherical in shape
• Often water soluble
• Hydrophobic amino acid side chains
present in the interior of the molecule
while hydrophilic side chains are outside
exposed to the solution
• Hydrophobic amino acid side
chains present outside
• Play role in the cellular
transport
• Often water insoluble but
soluble in detergents
Collagen
Myoglobin GPCR
DETERMINATION OF PRIMARY STRUCTURE
OF PROTEIN
Why we Need to Determine the Primary Structure
of Protein?
 Protein play important role as “the building block of life”
 Enzyme
 Hormones and hormone receptors
 Sensing device: such as rhodopsin
 Role in immune system
 Expression of genetic information (transcription)
 Constituent of important body part: collagen
 Transporters: Albumin, Myoglobin & Hb.
 To locate the gene of interest in the host cell.
 To artificial synthesis the above products by using the applications
of biotechnology, we need the determine the primary structure of
protein.
PURIFICATION OF PROTEINS
 Step 1: Solubilization of protein
A. Homogenization
B. Centrifugation
C. Filtration
 Step 2: Stabilization of proteins
 Step 3: Purification of proteins by various techniques including chromatography,
Gel Electrophoresis etc.
 Step 4: Digestion of proteins into smaller peptides
 Step 5: Sequencing of individual peptide.
DETERMINATION OF THE AMINO ACID
COMPOSITION OF A POLYPEPTIDE
 The first step in determining the primary structure of a polypeptide is to identify and
quantitate its constituent amino acids.
 Cleavage of disulphide bonds by the 2-Ercaptoethanol.
 A purified sample of the polypeptide to be analyzed is first hydrolyzed by strong acid
(6M HCl) at 110°C for 24 hours.
 This treatment cleaves the peptide bonds and releases the individual amino acids,
which can be separated by cation-exchange chromatography.
 The separated amino acids contained in the eluate from the
column are quantitated by heating them with Ninhydrin—a
reagent that forms a purple compound with most amino acids,
ammonia, and amines.
 The amount of each amino acid is determined by
spectrophotometrically by measuring the amount of light
absorbed by the Ninhydrin derivative.
Determination of amino acid composition
Several Methods are used in combination to get the final composition-
ACID HYDROLYSIS: Purified Sample to be analysed is first hydrolysed by 6N
HCL and heated at 110-120 °C for 24hrs. in sealed vessel .
 The peptide bonds are broken and the hydrolysate is analysed by HLPC to
determine the composition.
 It degrades serine, threonine, tyrosine, tryptophan.
 ALKALINE HYDROLYSIS: A Purified sample to be analysed is
hydrolysed with a strong base e.g: NaOH and hydrolysate is
examined.
 It does not destroy tyrosine , tryptophan and glutamine but it destroys
Serine, threonine, arginine.
 ENZYMATIC HYDROLYSIS: To cleave the proteins into a small
number of peptide fragments.
 Cyanogen Bromide (CNBr) splits polypeptide chain only on the
carboxylic side of methionine residues.
SEQUENCING OF PROTEIN
End group analysis
 Identification of N- terminal and C- terminal amino acids in a
polypeptide chain is called End group analysis.
Identification of N- terminal
1) Sanger’s Method
2) Edman’s Degradation Technique
3) Dansyl Chloride Method
Sanger’s Method
 This was the first technique to determine the sequence of proteins.
 Sanger’s Reagent – 2,4- Dinitroflouro Benzene.
 Sanger’ s Reagent derivatizes the amino terminal
residues.
 The first proteins to be sequenced by the method
is Insulin by Fredrick Sanger. He got Noble Prize
in 1958.
 Only dipeptides or tripeptides can be sequenced.
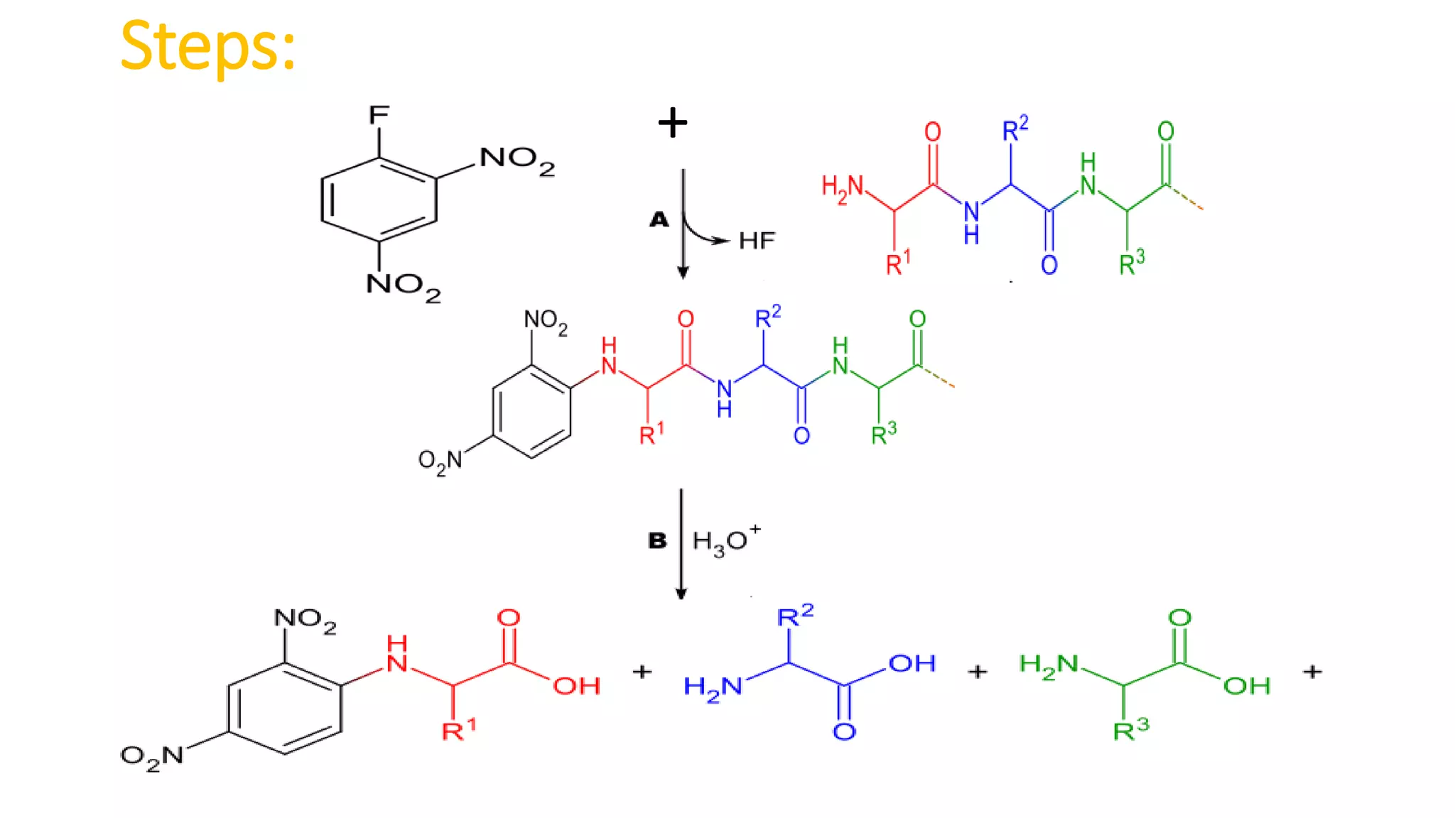
Steps:
 2,4- dinitro fluorobenzene is reacted with amino group of a peptide
or a proteins to form 2,4- dinitrophenyl derivative of N- terminal
amino acid which is yellow in colour.
 The treated peptide is then subjected to acid hydrolysis which
cleaves all the peptide bonds except the bond between 2,4- DNF
and NH2 group which is resistant to acid hydrolysis .
 Separated by Chromatography.
Steps:
+
Edman’s Degradation Method
 This process was developed by Pehr Edmen.
 Edman ‘s Reagent – Phenyl isothiocyanate
 It is a technique for identifying specific amino
acids at each position in the peptide chain
beginning at the amino terminal end.
 Edman’s technique can sequence many residues
(5-40)of a single polypeptide sample.
METHOD
 Phenyl iso thiocyanate (PITC) react with amino group of a polypeptide
under mild alkaline conditions to form a corresponding phenylthiol-
carbamoyl-peptide.
 It involves a controlled stepwise cleavage of the polypeptide.
 ADVANTAGE: This method over sanger’s Method is that the remaining
peptide after the removal of the N-terminal amino acid is not hydrolysed
and can be used again to detect the next amino acid.
DANSYL CHLORIDE METHOD
 Dansyl chloride- 5’-dimethyl-1-naphthalene-sulphonyl-chloride
 NH2 –terminal is reacted with dansyl chloride which is a fluorescent
compound to form a fluorescent dansyl amino acid derivative.
 This derivative is removed from polypeptide by hydrolysis. Amino
terminal residue is separated by Chromatography.
 ADVANTAGE: It is a sensitive method and can detect picomole
quantity
Identification of C- Terminal amino acid
 Akabori Method
 By Carboxy Peptidase
AKABORI METHOD
 Akabori method - Treatment with hydrazine
 In Akabori method, identification of c-terminus amino acids, involves the
heating of a linear peptide in the presence of anhydrous hydrazine in a sealed
tube for several hours
 The amino group of each peptide bond react with hydrazine to form the
corresponding amino acid hydrazide.
 Identified by chromatography.
 The application of microwave irradiation to the Akabori reaction
was investigated . It was observed that microwave irradiation
reduced the time required for the completion of the Akabori
reaction from hours to minutes.
This approach provided information not only about the C-terminus
but also the N-terminus.
BY CARBOXYPEPTIDASES
 Carboxy peptidases cleave a polypeptide form C-terminal,
removing one amino acid at a time by cleaving the peptide
bond.
 Removal of one amino acid leaves behind a new polypeptide
which is the target of carboxy peptidase .
 Carboxypeptidases that have a stronger preference for those
amino acids containing aromatic or branched hydrocarbon
chains are called carboxypeptidase A
 Carboxypeptidases that cleave positively charged amino acids
(arginine, lysine) are called carboxypeptidase B
 Plants contain carboxypeptidase C that liberates the amino acid
proline as well as being able to release many of the other protein
amino acids.
CLEAVAGE OF THE POLYPEPTIDE INTO
SMALLER FRAGMENTS
ENZYMATIC METHOD
 To cleave the proteins into a small no. of pure fragments.
 Example- Cyanogen Bromide (CNBr) splits polypeptide chain only on the
carboxylic side of methionine residues.
 Highly specific cleavage is also obtained by trypsin, a proteolytic enzyme
secreted by pancreas.
 Trypsin cleaves polypeptide chain on the carboxylic side of arginine residues.
 Peptides obtained specific chemical or enzymatic cleavage are separated by
some type of chromatography.
Reagent
Chemical cleavage
Cleavage site
Cyanogen bromide COOH side of methionine residue
hydroxylamine Asparagine - glycine bond
O-iodosobenzoate COOH side of tryptophan residue
2- Nitro-5-
thiocyanobenzoate
NH2 side of cysteine residue
Enzymatic cleavage
Trypsin Lysin and arginine residue
Chymotrypsin Tyrosine, tryptophan, phenylalanine, leucine and
methionine
Thrombin Arginine
Carbopeptidase A C-terminal amino acid
clostripain Arginine residue
• When exposed to trypsin
• When expose to chymotrypsin
MASS SPECTROMETRY
 PRINCIPLE- A mass spectrometer generates multiple ions from the
sample under investigation, it then separates them according to
their specific mass-to-charge ratio (m/z), and then records the
relative abundance of each ion type.
 Detect ions-
 For small organic molecules the MW can be determined to within 5 ppm
or 0.0005% which is sufficiently accurate to confirm the molecular
formula from mass alone
 For large biomolecules the MW can be determined within an accuracy of
0.01% (i.e. within 5 Da for a 50 kD protein)
 Recall 1 dalton = 1 atomic mass unit (1 amu)
 Mass spectrometry is a technique for analyzing ionized
forms of molecules in the gas phase.
 It is most readily applied to gases or to volatile liquids that
easily release gas-phase ions.
 Mass measurement obtained by determining how readily
ion is accelerated in an applied electric field.
Mass spectrometry
METHODS OF MS
Methods are widely used:-
 ESI-QTOF
 Electrospray ionization source + quadrupole mass filter + time-of-flight mass
analyzer
 MALDI-QTOF
 Matrix-assisted laser desorption ionization + quadrupole + time-of-flight
mass analyzer
 Tandem LC and Tandem MS
 Separates by HPLC, ID’s by mass and AA sequence.
Different Ionization Methods
 Electron Impact
 small molecules, 1-1000 Daltons
 Fast Atom Bombardment
 peptides, sugars, up to 6000 Daltons
 Electrospray Ionization
 peptides, proteins, up to 200,000 Daltons
 Matrix Assisted Laser Desorption
 peptides, proteins, DNA, up to 500 kD
MALDI
 Sample is ionized by bombarding sample with laser light
 Sample is mixed with a UV absorbent matrix (sinapinic acid for
proteins, 4-hydroxycinnaminic acid for peptides)
 Light wavelength matches that of absorbance maximum of matrix
so that the matrix transfers some of its energy to the analyte (leads
to ion sputtering)
Tandem Mass Spectrometry
 Purpose is to fragment ions from parent ion to provide structural
information about a molecule
 Also allows mass separation and AA identification of compounds
in complex mixtures
 Uses two or more mass analyzers/filters separated by a collision
cell filled with Argon or Xenon
 Collision cell is where selected ions are sent for further
fragmentation
Advantages of Tandem Mass
Spectrometry
 FAST
 No Gels
 Determines MW and AA sequence
 Can be used on complex mixtures-including low copy #
 Can detect post-translational modif.-ICAT
 High-thoughput capability
Enzyme linked immunosorbent assays
Western blot of SDS- polyacrylamide gel
Immunofluorescence microscopy
Other Techniques To Investigate The
Protein
Sickle Cell Disease
 It is an genetic inherited blood disorder.
 It occur due to a single amino acid substitution, in which glutamate
at position 6th has been replaced with Valine.
 Replacement of the charged glutamate with the nonpolar
valine forms a protrusion on the β-globin that fits into a
complementary site on the β chain of another
hemoglobin molecule in the cell.
 Sickled cells frequently block the flow of blood in the
narrow capillaries.
 Sickled cells have a decreased ability to deform and an
increased tendency to adhere to vessel walls, and so have
difficulty moving through small vessels.
Thank You

Determination of primary structure of proteins

  • 1.
    DETERMINATION OF PRIMARY STRUCTUREOF PROTEINS PRADEEP SINGH, HINA YASEEN M.Sc. Medical Biochemistry HIMSR, JAMIA HAMDARD
  • 2.
    INTRODUCTION  Proteins arepolymers composed of hundreds or even thousands of amino acids linked by peptide bonds.  Proteins are most abundant biomolecules which makes about 75% of total body weight.  Carbon, hydrogen, oxygen and nitrogen are major components of proteins.  Average molecular weight of proteins range between 5kDa- 220kDa.
  • 3.
    ORGANISATION OF PROTEIN Proteins are usually large molecules with a complex three dimensional structure.  Four levels of proteins are commonly defined as: 1. Primary structure 2. Secondary structure 3. Tertiary structure 4. Quaternary structure
  • 4.
    Primary Structure ofProteins  It is a linear polymer formed by linking the α-carboxyl group of one amino acid to the α- amino group of another amino acid .  This type of linkage is called a peptide bond or amide bond forming polypeptide chain.
  • 5.
     Dipeptide isformed by two amino acids. Similarly, tripeptide is formed by three amino acids. Eg: Glutathione is a tripeptide.  Each amino acid unit in a polypeptide is called residue.  The sequence of amino acids in a polypeptide chain is written starting with the amino terminal residue called as N-terminal residue.
  • 6.
     A polypeptidechain consist of a regularly repeating part, called main chain or backbone, and a variable part, comprising the distinct side chain (R1 , R2 , R3 etc).  The linear polypeptide chain is cross linked and the most common cross-links are disulphide bonds.
  • 7.
    PEPTIDE BOND All aminoacids are linked by peptide bond. N terminal end- free NH2 group of amino acid. C terminal end- free COOH group of amino acid. Amino acid are sequenced from N- terminal end to the C- terminal end.
  • 8.
    CHARACTERISTICS OF PEPTIDEBOND 1. Partial double bond character. 2. Rigid and planer. 3. C-N bond is trans in nature. 4. Uncharged but polar. 5. This prevents free rotation around the bond between the carbonyl carbon and the nitrogen of the peptide bond.
  • 9.
    Secondary Structure  Secondarystructure are formed by a regular pattern of H-bonds and other non covalent interactions between the side chain residues of amino acids that are near to one another in the linear sequence.  Example: Myoglobin  Types of secondary structure: 1. Alpha Helix 2. Beta Pleated Sheet 3. Loops 4. Bends
  • 10.
     α- helix β - pleated sheet • Right handed spiral structure. • H- bonding interaction. • Proline and hydroxyproline will not allow the formation of alpha helix • Almost fully extended • Stabilized by h- bonding. • Zig- zag or pleated pattern • Adjacent strands in a sheet can run in the same direction or opposite direction.
  • 11.
    Tertiary Structure  Theentire three dimension conformation of a polypeptide is referred to as tertiary structure.  Tertiary structure is maintained by weak bonds (H-bonds, electrostatic forces and other non covalent interactions).  Tertiary structure represent the lowest energy and greatest stability state of a polypeptide chain .  Example: Enzymes are globular proteins with a specific tertiary structure. Folding of primary structure to form tertiary structure in enzymes
  • 12.
    Quaternary Structure  Twoor more peptides combine together to form the quaternary structure of protein.  These peptides chains are linked to one another by non covalent interactions.  Example- Haemoglobin
  • 13.
    Types of proteinon the basis of structure  Proteins fall into three basic classes according to shape and solubility: 1. Fibrous Protein – Collagen 2. Globular Protein – Myoglobin, Hemoglobin 3. Membrane Proteins
  • 14.
    • Regular linearstructures • Play structural roles in the cell (matrix formation) • Often water Insoluble 1. Fibrous Protein 2. Globular Protein 3. Membrane Protein • Roughly spherical in shape • Often water soluble • Hydrophobic amino acid side chains present in the interior of the molecule while hydrophilic side chains are outside exposed to the solution • Hydrophobic amino acid side chains present outside • Play role in the cellular transport • Often water insoluble but soluble in detergents Collagen Myoglobin GPCR
  • 15.
    DETERMINATION OF PRIMARYSTRUCTURE OF PROTEIN
  • 16.
    Why we Needto Determine the Primary Structure of Protein?  Protein play important role as “the building block of life”  Enzyme  Hormones and hormone receptors  Sensing device: such as rhodopsin  Role in immune system  Expression of genetic information (transcription)  Constituent of important body part: collagen  Transporters: Albumin, Myoglobin & Hb.  To locate the gene of interest in the host cell.  To artificial synthesis the above products by using the applications of biotechnology, we need the determine the primary structure of protein.
  • 17.
    PURIFICATION OF PROTEINS Step 1: Solubilization of protein A. Homogenization B. Centrifugation C. Filtration  Step 2: Stabilization of proteins  Step 3: Purification of proteins by various techniques including chromatography, Gel Electrophoresis etc.  Step 4: Digestion of proteins into smaller peptides  Step 5: Sequencing of individual peptide.
  • 18.
    DETERMINATION OF THEAMINO ACID COMPOSITION OF A POLYPEPTIDE  The first step in determining the primary structure of a polypeptide is to identify and quantitate its constituent amino acids.  Cleavage of disulphide bonds by the 2-Ercaptoethanol.  A purified sample of the polypeptide to be analyzed is first hydrolyzed by strong acid (6M HCl) at 110°C for 24 hours.  This treatment cleaves the peptide bonds and releases the individual amino acids, which can be separated by cation-exchange chromatography.
  • 19.
     The separatedamino acids contained in the eluate from the column are quantitated by heating them with Ninhydrin—a reagent that forms a purple compound with most amino acids, ammonia, and amines.  The amount of each amino acid is determined by spectrophotometrically by measuring the amount of light absorbed by the Ninhydrin derivative.
  • 20.
    Determination of aminoacid composition Several Methods are used in combination to get the final composition- ACID HYDROLYSIS: Purified Sample to be analysed is first hydrolysed by 6N HCL and heated at 110-120 °C for 24hrs. in sealed vessel .  The peptide bonds are broken and the hydrolysate is analysed by HLPC to determine the composition.  It degrades serine, threonine, tyrosine, tryptophan.
  • 21.
     ALKALINE HYDROLYSIS:A Purified sample to be analysed is hydrolysed with a strong base e.g: NaOH and hydrolysate is examined.  It does not destroy tyrosine , tryptophan and glutamine but it destroys Serine, threonine, arginine.  ENZYMATIC HYDROLYSIS: To cleave the proteins into a small number of peptide fragments.  Cyanogen Bromide (CNBr) splits polypeptide chain only on the carboxylic side of methionine residues.
  • 22.
  • 23.
    End group analysis Identification of N- terminal and C- terminal amino acids in a polypeptide chain is called End group analysis.
  • 24.
    Identification of N-terminal 1) Sanger’s Method 2) Edman’s Degradation Technique 3) Dansyl Chloride Method
  • 25.
    Sanger’s Method  Thiswas the first technique to determine the sequence of proteins.  Sanger’s Reagent – 2,4- Dinitroflouro Benzene.  Sanger’ s Reagent derivatizes the amino terminal residues.  The first proteins to be sequenced by the method is Insulin by Fredrick Sanger. He got Noble Prize in 1958.  Only dipeptides or tripeptides can be sequenced.
  • 26.
    Steps:  2,4- dinitrofluorobenzene is reacted with amino group of a peptide or a proteins to form 2,4- dinitrophenyl derivative of N- terminal amino acid which is yellow in colour.  The treated peptide is then subjected to acid hydrolysis which cleaves all the peptide bonds except the bond between 2,4- DNF and NH2 group which is resistant to acid hydrolysis .  Separated by Chromatography.
  • 27.
  • 28.
    Edman’s Degradation Method This process was developed by Pehr Edmen.  Edman ‘s Reagent – Phenyl isothiocyanate  It is a technique for identifying specific amino acids at each position in the peptide chain beginning at the amino terminal end.  Edman’s technique can sequence many residues (5-40)of a single polypeptide sample.
  • 29.
    METHOD  Phenyl isothiocyanate (PITC) react with amino group of a polypeptide under mild alkaline conditions to form a corresponding phenylthiol- carbamoyl-peptide.  It involves a controlled stepwise cleavage of the polypeptide.  ADVANTAGE: This method over sanger’s Method is that the remaining peptide after the removal of the N-terminal amino acid is not hydrolysed and can be used again to detect the next amino acid.
  • 31.
    DANSYL CHLORIDE METHOD Dansyl chloride- 5’-dimethyl-1-naphthalene-sulphonyl-chloride  NH2 –terminal is reacted with dansyl chloride which is a fluorescent compound to form a fluorescent dansyl amino acid derivative.  This derivative is removed from polypeptide by hydrolysis. Amino terminal residue is separated by Chromatography.  ADVANTAGE: It is a sensitive method and can detect picomole quantity
  • 33.
    Identification of C-Terminal amino acid  Akabori Method  By Carboxy Peptidase
  • 34.
    AKABORI METHOD  Akaborimethod - Treatment with hydrazine  In Akabori method, identification of c-terminus amino acids, involves the heating of a linear peptide in the presence of anhydrous hydrazine in a sealed tube for several hours  The amino group of each peptide bond react with hydrazine to form the corresponding amino acid hydrazide.  Identified by chromatography.
  • 35.
     The applicationof microwave irradiation to the Akabori reaction was investigated . It was observed that microwave irradiation reduced the time required for the completion of the Akabori reaction from hours to minutes. This approach provided information not only about the C-terminus but also the N-terminus.
  • 37.
    BY CARBOXYPEPTIDASES  Carboxypeptidases cleave a polypeptide form C-terminal, removing one amino acid at a time by cleaving the peptide bond.  Removal of one amino acid leaves behind a new polypeptide which is the target of carboxy peptidase .  Carboxypeptidases that have a stronger preference for those amino acids containing aromatic or branched hydrocarbon chains are called carboxypeptidase A
  • 38.
     Carboxypeptidases thatcleave positively charged amino acids (arginine, lysine) are called carboxypeptidase B  Plants contain carboxypeptidase C that liberates the amino acid proline as well as being able to release many of the other protein amino acids.
  • 39.
    CLEAVAGE OF THEPOLYPEPTIDE INTO SMALLER FRAGMENTS
  • 40.
    ENZYMATIC METHOD  Tocleave the proteins into a small no. of pure fragments.  Example- Cyanogen Bromide (CNBr) splits polypeptide chain only on the carboxylic side of methionine residues.  Highly specific cleavage is also obtained by trypsin, a proteolytic enzyme secreted by pancreas.  Trypsin cleaves polypeptide chain on the carboxylic side of arginine residues.  Peptides obtained specific chemical or enzymatic cleavage are separated by some type of chromatography.
  • 41.
    Reagent Chemical cleavage Cleavage site Cyanogenbromide COOH side of methionine residue hydroxylamine Asparagine - glycine bond O-iodosobenzoate COOH side of tryptophan residue 2- Nitro-5- thiocyanobenzoate NH2 side of cysteine residue Enzymatic cleavage Trypsin Lysin and arginine residue Chymotrypsin Tyrosine, tryptophan, phenylalanine, leucine and methionine Thrombin Arginine Carbopeptidase A C-terminal amino acid clostripain Arginine residue
  • 43.
    • When exposedto trypsin • When expose to chymotrypsin
  • 45.
  • 46.
     PRINCIPLE- Amass spectrometer generates multiple ions from the sample under investigation, it then separates them according to their specific mass-to-charge ratio (m/z), and then records the relative abundance of each ion type.  Detect ions-
  • 47.
     For smallorganic molecules the MW can be determined to within 5 ppm or 0.0005% which is sufficiently accurate to confirm the molecular formula from mass alone  For large biomolecules the MW can be determined within an accuracy of 0.01% (i.e. within 5 Da for a 50 kD protein)  Recall 1 dalton = 1 atomic mass unit (1 amu)
  • 48.
     Mass spectrometryis a technique for analyzing ionized forms of molecules in the gas phase.  It is most readily applied to gases or to volatile liquids that easily release gas-phase ions.  Mass measurement obtained by determining how readily ion is accelerated in an applied electric field.
  • 49.
  • 50.
    METHODS OF MS Methodsare widely used:-  ESI-QTOF  Electrospray ionization source + quadrupole mass filter + time-of-flight mass analyzer  MALDI-QTOF  Matrix-assisted laser desorption ionization + quadrupole + time-of-flight mass analyzer  Tandem LC and Tandem MS  Separates by HPLC, ID’s by mass and AA sequence.
  • 51.
    Different Ionization Methods Electron Impact  small molecules, 1-1000 Daltons  Fast Atom Bombardment  peptides, sugars, up to 6000 Daltons  Electrospray Ionization  peptides, proteins, up to 200,000 Daltons  Matrix Assisted Laser Desorption  peptides, proteins, DNA, up to 500 kD
  • 52.
    MALDI  Sample isionized by bombarding sample with laser light  Sample is mixed with a UV absorbent matrix (sinapinic acid for proteins, 4-hydroxycinnaminic acid for peptides)  Light wavelength matches that of absorbance maximum of matrix so that the matrix transfers some of its energy to the analyte (leads to ion sputtering)
  • 53.
    Tandem Mass Spectrometry Purpose is to fragment ions from parent ion to provide structural information about a molecule  Also allows mass separation and AA identification of compounds in complex mixtures  Uses two or more mass analyzers/filters separated by a collision cell filled with Argon or Xenon  Collision cell is where selected ions are sent for further fragmentation
  • 54.
    Advantages of TandemMass Spectrometry  FAST  No Gels  Determines MW and AA sequence  Can be used on complex mixtures-including low copy #  Can detect post-translational modif.-ICAT  High-thoughput capability
  • 56.
    Enzyme linked immunosorbentassays Western blot of SDS- polyacrylamide gel Immunofluorescence microscopy Other Techniques To Investigate The Protein
  • 57.
    Sickle Cell Disease It is an genetic inherited blood disorder.  It occur due to a single amino acid substitution, in which glutamate at position 6th has been replaced with Valine.
  • 58.
     Replacement ofthe charged glutamate with the nonpolar valine forms a protrusion on the β-globin that fits into a complementary site on the β chain of another hemoglobin molecule in the cell.  Sickled cells frequently block the flow of blood in the narrow capillaries.  Sickled cells have a decreased ability to deform and an increased tendency to adhere to vessel walls, and so have difficulty moving through small vessels.
  • 59.

Editor's Notes

  • #3 Nitrogen is main characteristic of pr. 16% of N.
  • #5 Disulphide bonds are formed by oxidation of cysteine residues. Extracellular proteinss often have several disulphide bonds. ICP lacks
  • #6 Glutathione is formed by Glutamine, Cysteine & Glycine.
  • #7 Proline imino grp. Good h-bond doner. S-s bond is a covalent linkage formed the sulfhydryl e.G insulin and imminogloblin. Cystein to cystine formatin,oxydation
  • #8 Dig.
  • #10 Regular arrangement of amino acid that are located near to each other.
  • #11 Secondary amino group is not geometrically compatible with the right handed spiral.
  • #20 The analysis described above is performed using an amino acid analyzer—an automated machine whose components
  • #21 Also it converts Asparagine and glutamine to aspartate and glutamate
  • #32 100 times more sensitive than sanger’s React with wide verity of bases.
  • #38 Two type carboxypeptidase A B
  • #47 Analytical method to measure the molecular or atomic weight of samples
  • #49 Production of ion in gas phase Acceleration of ine to specific velocity Separation through the mass analyser. Detection each species by m/z ratio.