I. Определяне на срока на икономически живот на проекта
А. Методически указания – срока на икономически живот (Тиж) на един проект е периода,
през който се оползотворява потенциала на идеята, вложена в проекта.
Тиж=Тстроителство+Тексплоатация
Б. Изчисления по проекта
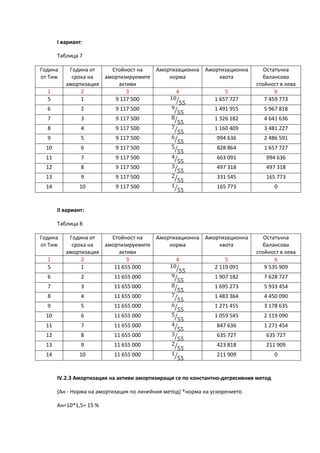
І вариант:
Тиж= 4+11=15 години
ІІ вариант
Тиж= 4+11=15 години
ІІ Изчисляване на инвестициите и другите еднократни разходи
А. Методически указания
1. Еднократните разходи са разходи за изграждане на обекта, които се правят
еднократно с оглед получаването на повтарящ се ефект за дълъг период от
време.
2. Състав на еднократните разходи- влизат преките инвестиции, съпътстващите
инвестиции, свързани инвестиции, разходи за компенсиране на загуби от
ликвидиране на обекти, разходи за заплащане на цялата или част от актуалната
стойност на съществуващи обекти, които ще се използват в проекта
( инвестициите в оборотни средства).
3. Методи за приблизително определяне на еднократните разходи могат да бъдат
следните:
- метод на аналогията;
-метод на дисконтираните парични потоци;
-метод на чистата стойност на активите;
-метод на ликвидационната стойност.
Б.Изчисления по проекта:
ІІ.1. Преки инвестиции- те обхващат всички вътрешноприсъщи инвестиционни
разходи за изграждане на обекта без разходи свързани с неговото местоположение.
І вариант
Преки инвестиции: 27 500 000
В т.ч. за Проучване и проект: 1 000 000
Строително-монтажни работи: 4 250 000
Машини и съоръжения: 20 000 000
Инвеститорски контрол: 25 000
Подготовка кадри: 50 000
Земя: 2 175 000
ІІ вариант
Преки инвестиции: 34 750 000
В т.ч. Проучване и проект: 1 000 000
Строително-монтажни работи: 5 500 000
Машини: 26 000 000
Инвеститорски контрол: 25 000
Подготовка кадри: 50 000
Земя: 2 175 000
ІІ.2. Съпътстващи инвестиции- еднократни разходи необходими за свързване на
обекта с пътната мрежа, ЖП-мрежа, електроснабдяване, ВиК и т.н. Тези разходи са в
пряка зависимост от местоположението на обекта.
І вариант
Съпътстващи инвестиции – 250 000 лв.
ІІ вариант
Съпътстващи инвестиции - 250 000 лв.
ІІ.3. Свързани инвестиции – еднократни разходи в други сектори на икономиката и
предприятия направени с цел осигуряване на доставката на суровини и материали. Също така
се включват разходи по реализацията на продукцията, разходи за изграждане на положителен
имидж на фирмата и други.
а) инвестиции за увеличаване на мощността на добивно предприятие – изчисляват се
по метода на аналогията.
I=∆Q*k Q-прираст на мощностите
к-индекс на специфичната инвестиция
I=300 000*5=1 500 000
б) размер на безлихвения кредит-
кредит= 1 500 000*50%= 750 000 лв
в) пропуснатият доход от фирмата – майка от свързани инвестиции-
Пропуснат доход= FV-PV= 𝑃𝑉(1 + 𝑅) 𝑁
− 𝑃𝑉 = 750 000 ∗ 1 + 0,15
− 750 000 = 𝟒𝟓𝟕 𝟖𝟖𝟑 лв.
ІІ вариант
Пропуснат доход= FV-PV= 𝑃𝑉(1 + 𝑅) 𝑁
− 𝑃𝑉 = 750 000 ∗ 1 + 0,15
− 750 000 = 𝟒𝟓𝟕 𝟖𝟖𝟑 лв.
ІІ. 4. Разходи за заплащане на обекти на площадката собственост на фирмата –
майка , които се ликвидират заради изграждането на новия обект.
Загубите от ликвидиране на обект се изчисляват чрез техниката на перпетуитета:
𝑃𝑉𝑝 =
𝑐
𝑟
=50 000/0,1=500 000 лв. пропуснати доходи
Загуби от ликвидация на обект:
50 000 +
50 000
0.1
= 550 000 общи загуби от ликвидиране на обекти
ІІ вариант
50 000 +
50 000
0.1
= 550 000
ІІ.5. Инвестиции в оборотни средства – инвестиции за изграждане на нови обекти
разходи за създаване на първоначален запас от суровини.
ІІ.5.1 Инвестиции в оборотни средства за запас от суровини.
Средства за запаси от суровини=Ccg(Tзт+Тзг)
Ccg- средно дневна потребност от суровини в стойност
Тзт-норма на оборотни средства в текущ запас(дни)
Тзг-норма на оборотни средства в гаранционен запас
І вариант
300 000(4+2)= 1 800 000 лв.
ІІ вариант
300 000(3+1,5)=1 350 000 лв.
ІІ.5.2 Инвестиции за създаване на запаси от резервни части
І вариант
20 000 000*3 %= 600 000 лв.
ІІ вариант
26 000 000*3%=780 000 лв.
ІІ.5.3 Общо инвестиции в оборотни средства
Таблица 1 (в левове)
Елементи на оборотните средсвта І вариант ІІ вариант
1 2 3
Запаси от суровини 1 800 000 1 350 000
Запаси от горива 250 000 225 000
Запаси от амбалаж 750 000 700 000
Запаси от резервни части 600 000 780 000
Парични средства по сметка 250 000 250 000
Общо сума 3 650 000 3 305 000
ІІ.5.4 Обща сума на еднократните разходи
Таблица 2 (в левове)
Елементи на еднократните разходи І вариант ІІ вариант
1 2 3
Преки инвестиции 27 500 000 34 750 000
Съпътстващи инвестиции 250 000 250 000
Свързани инвестиции 457 883 457 883
Разходи за ликвидиране на обекти 550 000 550 000
Инвестиции в оборотни средства 3 650 000 3 305 000
Обща сума 32 407 883 39 312 883
ІІ.6 Разпределение на еднократните разходи по години от срока на
икономически живот на проекта:
Таблица 3
Поредна година
от Тиж
І вариант ІІ вариант
Дял от общата
сума в %
Eднократни
разходи по
години в лв.
Дял от общата
сума в %
Eднократни
разходи по
години в лв
1 2 3 4 5
0 15 4 861 182 8 3 145 030
1 20 6 481 577 20 7 862 577
2 20 6 481 577 20 7 862 577
3 35 11 342 759 20 7 862 577
4 8,6 2 787 078 30,84 12 124 093
5 1,4 453 710 1,16 456 029
Общо 100 32 407 883 100 39 312 883
ІІ.7 Изчисляване на отчетната стойност на дълготрайните активи.
ІІ.7.1 Еднократни разходи, които не влизат в отчетната стойност на
дълготрайните активи.
Таблица 4 (в левове)
Елементи на еднократни разходи І вариант ІІ вариант
1 2 3
Разходи за инвеститорски контрол 25 000 25 000
Разходи за подготовка на кадри 50 000 50 000
Инвестиции в оборотни средства 3 650 000 3 305 000
Свързани инвестиции 457 883 457 883
Общо сума 4 182 883 3 837 883
ІІ.7.2 Отчетна стойност на дълготрайните активи
І варинат: 32 407 883 – 4 182 883 = 28 225 000 лв.
ІІ вариант: 39 312 883 – 3 837 883 = 35 475 000 лв.
ІІІ Производствена програма и обем на продажбите
А. Методически указания – производствената програма показва количеството продукция по
определена номенклатура, асортимент и качеството, което се предвижда да се произведе и
реализира за определен период от време (обикновено 1 година). Производствената програма
е съществен елемент от инвестиционния проект и от нея зависят останалите части на проекта
като суровини, материали и други. Производствената програма има и важно значение и
поради факта, че много от решенията, след като бъде осъществен инвестиционния проект, не
могат да бъдат променяни или това става с цената на големи разходи. Производствената
програма зависи от количеството продукция, което фирмата може да продаде на целевия
пазар при прогнозни нива на търсенето и нивото на конкуренция.
Пряка връзка с производствената програма има производствения капацитет на
фирмата. Производствения капацитет на фирмата е максималното възможно количество
продукция, което може да се произведе с наличните машини, съоражения и оборудване при
тяхното оптимално натоварване. Производственият капацитет и връзката му с
производствената програма има следните три случая:
1.ПКФ = ПП 100 %
2.ПКФ > ПП 10 – 15 %
3.ПКФ< ПП
Б. Изчисления по проекта – Производствената програма на новото предприятие е равна на
обема на възможните продажби на вътрешния и външния пазар. От друга страна възможния
обем продажби на съответния пазар е произведение от обема на пазара в тонове и пазарния
дял на фирмата в %.
Възможен обем продажби = продажби на вътрешния пазар + продажби на външния пазар
Възможен обем продажби = обем на пазара * пазарен дял
Таблица 5
Година
от Тиж
Вътрешен пазар Външен пазар Производствен
обем в тонове
1 2 3 4 5 6 7 8
5 605 000 60 363000 2 000 000 2 40000 403000
6 600 000 70 420000 2 500 000 2 50000 470000
7 600 000 75 450000 2 500 000 3 75000 525000
8 600 000 75 450000 2 500 000 3 75000 525000
9 600 000 75 450000 2 500 000 3 75000 525000
10 600 000 75 450000 2 500 000 3 75000 525000
11 600 000 75 450000 2 500 000 3 75000 525000
12 600 000 75 450000 2 500 000 3 75000 525000
13 600 000 75 450000 2 500 000 3 75000 525000
14 400 000 75 300000 1 500 000 2 30000 330000
15 250 000 70 175000 1 000 000 1 10000 185000
5 063 000
Производствената програма на вариант І и ІІ на инвестиционния проект е еднаква. По
такъв начин е спазено условието за съпоставимост на взаимоизключващи се варианти на
инвестиционен проект.
От таблица 5 се вижда, че е спазено условието капацитета на производствената програма
(525 000 тона) да не е по-голям от производствения капацитет на фирмата (550 000 тона).
ІV Разходи по производството
ІV.1 Общо постоянни и променливи разходи без амортизации
Таблица 6 (в левове)
Година от Тиж І вариант ІІ вариант
5 26 620 000 26 200 000
6 29 300 000 29 000 000
7 31 000 000 30 500 000
8 30 500 000 30 000 000
9 30 000 000 30 000 000
10 29 800 000 29 800 000
11 29 000 000 29 800 000
12 29 000 000 29 500 000
13 29 000 000 29 500 000
14 21 000 000 21 500 000
15 15 000 000 15 500 000
300 220 000 301 300 000
ІV.2 Разходи за амортизация
А. Методически указания – Амортизацията е процес на планомерно пренасяне на
стойността на дълготрайния актив на части в стойността на продукцията.
Срока на амортизация (Там) е периода, през който се осъществява прехвърлянето на
стойността на дълготрайния актив.
Нормата на амортизация (Нам) показва какъв процент от стойността на дълготрайния
актив се прехвърля за определен период от време (1 година) в стойността на продукцията.
Амортизационната квота (Ак) е частта от стойността на дълготрайния актив в левове,
която се прехвърля за 1 година. Амортизацията намалява облагаемия доход в края на отчетния
период, поради което интересът за фирмите е да включват по-високи амортизационни квоти в
стойността на продукцията, следователно рефлексира върху данък печалба. Методите на
амортизация се делят на 3 основни групи: линейни, нелинейни и смесени. Нелинейните биват
прогресивни и дегресивни.
Б. Изчисления по проекта – активите на фирмата се амортизират по различни начини, а
именно:
- по линеен метод – 20 % от общата стойност на амортизируемите активи
- по метода сума на числата – 35 %
- по константно – дегресивен – 45 %
Първоначалната стойност на амортизируемите активи е равна на отчетната стойност, от
която е извадена стойността на земята.
Обща стойност на всички амортизируеми активи:
І вариант : А сума = 28 225 000 – 2 175 000 = 26 050 000 лв
ІІ вариант :А сума = 35 475 000 – 2 175 000 = 33 300 000 лв
Амортизационния срок за всички дълготрайни активи е 10 години започват от началото
на срока на експлоатация, тоест от 5-тата година от Тиж.
ІV.2.1 Амортизация на активи – амортизира се по линеен метод.
І вариант – 26 050 000 лв.
20%/100*26 050 000= 5 210 000 лв.
По линеен
Ас= 5 210 000 лв
Срок на амортизацията е 10 години, нормата на амортизация е 10 %.
Ак = Ас * 10 % = 521 000 лв е Ак за всяка от годините от 5 до 14-та.
ІІ вариант – 33 300 000 лв
20%/100*33 300 000= 6 660 000 лв
Ас = 6 660 000 лв
Н(ан) = 10 %
Ак = 6 660 000 за всяка от годините от 5 до 14-та
ІV.2.2 Амортизация на активи по сума на числата
І вариант – 26 050 000 лв.
35%/100* 26 050 000= 9 117 500 лв.
Ас = 9 117 500 лв.
II вариант-33 300 000
35%/100*33 300 000=11 655 000 лв.
І вариант:
Таблица 7
Година
от Тиж
Година от
срока на
амортизация
Стойност на
амортизируемите
активи
Амортизационна
норма
Амортизационна
квота
Остатъчна
балансова
стойност в лева
1 2 3 4 5 6
5 1 9 117 500 10
55� 1 657 727 7 459 773
6 2 9 117 500 9
55� 1 491 955 5 967 818
7 3 9 117 500 8
55� 1 326 182 4 641 636
8 4 9 117 500 7
55� 1 160 409 3 481 227
9 5 9 117 500 6
55� 994 636 2 486 591
10 6 9 117 500 5
55� 828 864 1 657 727
11 7 9 117 500 4
55� 663 091 994 636
12 8 9 117 500 3
55� 497 318 497 318
13 9 9 117 500 2
55� 331 545 165 773
14 10 9 117 500 1
55� 165 773 0
ІІ вариант:
Таблица 8
Година
от Тиж
Година от
срока на
амортизация
Стойност на
амортизируемите
активи
Амортизационна
норма
Амортизационна
квота
Остатъчна
балансова
стойност в лева
1 2 3 4 5 6
5 1 11 655 000 10
55� 2 119 091 9 535 909
6 2 11 655 000 9
55� 1 907 182 7 628 727
7 3 11 655 000 8
55� 1 695 273 5 933 454
8 4 11 655 000 7
55� 1 483 364 4 450 090
9 5 11 655 000 6
55� 1 271 455 3 178 635
10 6 11 655 000 5
55� 1 059 545 2 119 090
11 7 11 655 000 4
55� 847 636 1 271 454
12 8 11 655 000 3
55� 635 727 635 727
13 9 11 655 000 2
55� 423 818 211 909
14 10 11 655 000 1
55� 211 909 0
ІV.2.3 Амортизация на активи амортизиращи се по константно-дегресивния метод
(Ан - Норма на амортизация по линейния метод) *норма на ускорението
Ан=10*1,5= 15 %
І вариант:
Стойност на амортизируемите активи: 26 050 000 лв.
45%/100*26 050 000= 11 722 500 лв.
Ас=11 722 500 лв.
Таблица 9
Година от
Тиж
Балансова стойност
към началото на
годината
Ан в % Ак Баланс към
края на
годината
5 11 722 500 15 1 758 375 9 964 125
6 9 964 125 15 1 494 619 8 469 506
7 8 469 506 15 1 270 426 7 199 080
8 7 199 080 15 1 079 862 6 119 218
9 6 119 218 15 917 883 5 201 336
10 5 201 336 15 780 200 4 421 135
11 4 421 135 15 663 170 3 757 965
12 3 757 965 15 563 695 3 194 270
13 3 194 270 50 1 597 135 1 597 135
14 1 597 135 100 1 597 135 0
ІІ вариант
Стойност на амортизируемите активи: 33 300 000 лв.
Ас=14 985 000 лв.
(Ан - Норма на амортизация по линейния метод) * ускорението
Ан=10*1,5= 15 %
Таблица 10
Година от
Тиж
Балансова стойност
към началото на
годината
Ан в % Ак Баланс към
края на
годината
5 14 985 000 15 2 247 750 12 737 250
6 12 737 250 15 1 910 588 10 826 663
7 10 826 663 15 1 623 999 9 202 663
8 9 202 663 15 1 380 399 7 822 264
9 7 822 264 15 1 173 340 6 648 924
10 6 648 924 15 997 339 5 651 585
11 5 651 585 15 847 738 4 803 848
12 4 803 848 15 720 577 4 083 271
13 4 083 271 50 2 041 635 2 041 635
14 2 041 635 100 2 041 635 0
Таблица 11
I вариант
Година от
Тиж
Амортизация по
линеен метод
Амортизация по
сума на числата
Амортизация по
константо-
дегресивния
метод
Обща сума
на
амортизации
1 2 3 4 5
5 521 000 1 657 727 1 758 375 3 937 102
6 521 000 1 491 955 1 494 618 3 507 573
7 521 000 1 326 182 1 270 426 3 117 608
8 521 000 1 160 409 1 079 862 2 761 271
9 521 000 994 636 917 883 2 433 519
10 521 000 828 864 780 200 2 130 064
11 521 000 663 091 663 170 1 847 261
12 521 000 497 318 563 695 1 582 013
13 521 000 331 545 1 597 136 2 449 681
14 521 000 165 773 1 597 135 2 283 908
Сума 5 210 000 9 117 500 11 722 500 26 050 000
Таблица 12
II вариант
Година от
Тиж
Амортизация по
линеен метод
Амортизация по
сума на числата
Амортизация по
константо-
дегресивния
метод
Обща сума
на
амортизации
1 2 3 4 5
5 666 000 2 119 091 2 247 750 5 032 841
6 666 000 1 907 182 1 910 588 4 483 770
7 666 000 1 695 273 1 623 999 3 985 272
8 666 000 1 483 364 1 380 399 3 529 763
9 666 000 1 271 455 1 173 340 3 110 795
10 666 000 1 059 545 997 339 2 722 884
11 666 000 847 636 847 738 2 361 374
12 666 000 635 727 720 577 2 022 304
13 666 000 423 818 2 041 635 3 131 453
14 666 000 211 909 2 041 635 2 919 544
Сума 6 660 000 11 655 000 14 985 000 33 300 000
V. Финансиране на проекта
А. Методически указания – за всеки източник на финансиране е необходимо да се
изчисли, ако не е дадено по условие, следното: сума на финансиране от съответния източник,
цената на финансирането от съответния източник (цена на капитала), относителния дял на
съответния източник в общата сума на финансирането; разходи по обслужване на съответния
източник на капитала без тези за акционерния капитал.
Важна задача на този раздел е изчисляването на среднопретеглената цена на капитала,
която ще се използва като процент за дисконтиране на входящите и изходящите парични
потоци на проекта. Цената на капитала е онази норма на възвръщаемост, при която нетния
паричен фонд получен от дадения източник се изравнява с осъвременените разходи
,направени за същия източник.
Б. Изчисления по проекта
V.1 Финансиране за сметка на емисия на облигации
V.1.1 Определяне цената на капитала осигурен чрез емисия на облигации. Цената на
облигационния капитал е нормата на възвращаемост, при която осъвременените стойности на
плащанията по дълга (лихви, погашения по номиналната стойност и евентуални премии) се
изравняват с нетния паричен фонд получен в резултат на емисията на облигации.
Нетен паричен фонд = P = ∑ = �
𝐶𝑡
1+𝑘𝑑 𝑡� +
𝐹 𝑛
1+𝑛𝑑 𝑛𝑡=1 Ct-лихва на 1 облигация
Кd-цена на облигационен заем
Fn-номинал на облигацията
n-срок на облигационен заем
T -% за облагане по ЗКПО
Т се пресмята само,ако лихвите по заема намаляват облагаемия доход.
Цена на капитала (в %) = 𝐾 𝑑 =
𝐶(1−𝑇)+
𝐹−𝑃
𝑛
𝐹+𝑝
2
Лихвата за облигации за 1вата година в лв = C= Fv – PV = F(1 +
𝑟
𝑚
) 𝑚
− 𝐹 (m-честота на
олихвяване)
І и II вариант – изчисляване на лихвата за 1 година за 1 облигация
C= 125(1 +
0,06
2
)2
− 125 = 7,6125 лева
𝐾 𝑑 =
7,61(1−0,25)+
125−130
𝑛8
125+130
2
= 0,0398 = 𝟑, 𝟗𝟖 %
V.1.2 Обща сума на финансирането с облигации
Относителен дял на капитала осигурен чрез емисия на облигации:
Wd= 10 %
Обща сума на финансирането на облигации=обща сума на едн. разходи* отн.дял
! вариант: 32 407 883* 10 % = 3 240 788,30 лв
ІІ вариант: 39 312 883*10% = 3 931 288,30 лв
V.1.3 Определяне на броя на облигациите, които осигуряват необходимия капитал:
Бр.облигации=обща сума на финансиране/пазарна цена на 1 обл.
І вариант: 3 240 788 : 130 = 24 930 облигации
ІІ вариант: 3 931 288 : 130 = 30 241 облигации
V.1.4 Изчисляване на лихвата към края на 5-тата година от срока на икономически
живот на проекта:
І и II вариант:
1 година 2 година 3 година 4 година 5 година
7,61 7,61 7,61 7,61 7,61
(1 +
𝑟
2
)4.2
(1 +
𝑟
2
)3.2
(1 +
𝑟
2
)2.2
(1 +
𝑟
2
)1
7,61
9, 6395 + 9, 0863 + 8, 5878 + 8, 0734 + 7, 61 = 42, 98 лв. лихва за 1 облигация за 5-те години
V.1.5 Общо разходи за лихви за 5-тата година
І вариант: 24 930* 42, 98 = 1 071 491,4 лв
ІІ вариант: 30 241* 42, 98 = 1 299 758,18 лв
V.1.6 Разходи за лихви за всяка от годините 6, 7, 8:
І вариант: 24 930 * 7, 61 = 189 717 лв. за всяка 1 от годините от 6-та до 8-ма
ІІ вариант: 30 241 * 7, 61 = 230 134 лв. за всяка 1 от годините от 6-та до 8-ма
V.1.7 Определяне на разходите за погасяване на главницата в края на 8ма година от
Тиж- брой облигации*номинална стойност на 1 облигация
І вариант: 24 930 * 125 = 3 116 250 лв.
ІІ вариант: 30 241 * 125 = 3 780 125 лв.
V.2 Финансиране за сметка на банков кредит
V.2.1 Сума на финансирането
І вариант: 6 150 000 лв.
ІІ вариант: 3 750 000 лв.
V.2.2 Изчисляване на лихвите, които новата фирма дължи за първите 4 години
Fv=
сумата на транша
(1+𝑟) 𝑛
Таблица 13 I вариант
Година от Тиж Траншове към
началото на
съответната
година
Сложна лихва
при r=10
Олихвена сума
към края на 4-та
година
Лихва в лв.
1 2 3 4 5
1 2 500 000 1,4641 3 660 250 1 160 250
2 2 000 000 1,331 2 662 000 662 000
3 1 000 000 1,21 1 210 000 210 000
4 650 000 1,1 715 000 65 000
Общо 6 150 000 8 247 250 2 097 250
Таблица 14 II вариант
Година от Тиж Траншове към
началото на
съответната
година
Сложна лихва
при r=10
Олихвена сума
към края на 4-та
година
Лихва в лв
1 2 3 4 5
1 750 000 1,4641 1 098 075 348 075
2 1 250 000 1,331 1 663 750 413 750
3 1 250 000 1,21 1 512 500 262 500
4 500 000 1,1 550 000 50 000
Общо 3 750 000 4 824 325 1 074 325
V.2.3 Погасителен план на инвеститорите
Таблица 15
Година от
Тиж
Плащания по
главница
Остатък по
главницата в
края на
съответната
година
Лихви върху
главница
Лихва за
гратисен
период
Лихва върху
лихва за
гратисен
период
Общо
1 2 3 4 5 6 7
5 1 537 500 4 612 500 615 000 2 097 250 209 725 2 921 975
6 1 537 500 3 075 000 461 250 -- -- 461 250
7 1 537 500 1 537 500 307 500 -- -- 307 500
8 1 537 500 0 153 750 -- -- 153 750
6 150 000 1 537 500 2 097 250 209 725 3 844 475
Таблица 16
Година от
Тиж
Плащания по
главница
Остатък по
главницата в
края на
съответната
година
Лихви върху
главница
Лихва за
гратисен
период
Лихва върху
лихва за грат.
период
Общо
1 2 3 4 5 6 7
5 937 500 2 812 500 375 000 1 074 325 107 432,5 1 556 757,5
6 937 500 1 875 000 281 250 281 250
7 937 500 937 500 187 500 187 500
8 937 500 0 93 750 93 750
3 750 000 937 500 1 074 325 107 432,5 2 119 257 ,5
V.2.4 Определяне цената на капитала осигурен с банков кредит
Ксr = Lx% (1-T)
І вариант
10 * (1 – 0,25)= 7,5%
ІІ вариант
10 *(1 – 0,25) = 7,5%
V.2.5 Относителен дял на финансиране с банков кредит
Wcr =
сума на финансиране с банков кредит
Обща сума на еднократните разходи
∗ 100
І вариант:
Wcr =
6 150 000
32 407 883
∗ 100 = 18, 98 %
ІІ вариант:
Wcr =
3 750 000
39 312 883
∗ 100 = 9, 54 %
V.3 Финансиране за сметка неразпределена печалба на фирмата – майка
V.3.1 Сума на финансиране
І вариант : 5 000 000 лв
ІІ вариант: 3 200 000 лв
V.3.2 Разходи по обслужване на източника на капитал
Тъй като лихвите не намаляват облагаемия доход те се изчисляват заедно с главницата
в края на 5-тата година от Тиж за сметка доходи от дейността.
Ако нетният доход през 5-тата година е недостатъчен да се изплати цялата сума
остатъка или разликата се изплащат през 6-тата година без да се начисляват допълнителни
лихви.
І вариант
5 000 000 * (1 + 0, 1)5
= 8 052 550 лв
ІІ вариант
3 200 000 * (1 + 0, 1)5
= 5 153 632 лв
V.3.3 Цена на финансирането с неразпределена печалба- стойността на лихвеният
процент ,който плащаме на фирмата майка
Krc = 10 %
V.3.4 Относителен дял на финансирането
Wrc =
∑ на финансиране
Обща сума на еднократните разходи
* 100
І вариант : Wrc =
5 000 000
32 407 883
* 100 = 15, 43 %
ІІ вариант : Wrc =
3 200 000
39 312 883
* 100 = 8, 14 %
V.4 Финансиране за сметка на собствени доходи от дейността
V.4.1 Сума на финансирането- по условие = на свързани инвестиции
І вариант: 457 883
І- вариант: 457 883
V.4.2 Относителен дял на финансирането
Winc =
∑на финансиране с доход от дейност
обща сума на еднократни разходи
* 100
І вариант:
Winc =
457 883
32 407 883
* 100 = 1, 41 %
ІІ вариант:
Winc =
457 883
39 312 883
* 100 = 1, 16 %
V.4.3 Цена на капитала
Kinc = Ke – 0,8% = 15% – 0,8% = 14,2 %
V.5 Финансиране за сметка на емисия на обикновени акции
V.5.1 Сума на финансирането
І вариант: 17 559 212
ІІ вариант: 27 973 712
V.5.2 Относителен дял на финансирането с обикновени акции
Wе =
∑ на финансиране от обикновени акции
обща сума на еднократни разходи
* 100
І вариант:
Wе =
17 559 212
32 407 883
* 100 = 54,18 %
ІІ вариант:
Wе =
27 973 712
39 312 883
* 100 = 71, 16 %
V.5.3 Цена на акционерния капитал – Цената на капитала,съставена от обикновени
акции е минималната норма на възвръщаемост ,която фирмата трябва да постигне ,така че
акциите й да останат с непроменена цена на капиталовите пазари.
Ке=D/P + g=30/300 + 0,05=15 %
V.6 Изчисляване на среднопретеглената цена на капитала
Kw= KdWd + KcrWcr + KrcWrc + KincWinc + KeWe
Таблица 17 I вариант
Източници на финансиране Цена на
капитала (в%)
Относителен дял
(в коефициент)
Претеглена стойост
(в %)
1 2 3 4
Облигации 3,98 0,1 0,398
Банков кредит 7,50 0,1898 1,4235
Неразпределена печалба 10 0,1543 1,543
Доход от дейността 14,2 0,0141 0,20022
Обикновени акции 15 0,5418 8,127
Сума 11,69
Таблица 18 II вариант
Източници на финансиране Цена на
капитала (в%)
Относителен дял
(в коефициент)
Претеглена стойост
(в %)
1 2 3 4
Облигации 3,98 0,1 0,398
Банков кредит 7,50 0,0954 0,7155
Неразпределена печалба 10 0,0814 0,814
Доход от дейността 14,2 0,016 0,16472
Обикновени акции 15 0,7116 10,674
Сума 12,77
VІ Приходи от продажби
А. Методически указания
1. Цената на продукта на външния пазар в лева се определя по следната формула:
Цена на продукта аналог * курса лев/долар * индекс на качество
2. Цената на продукта на вътрешния пазар:
цена на продукта на външния пазар в лв – разходи по износ + изчислено ДДС
Б. Изчисления по проекта
VІ.1 Цена на продукта на външния пазар
І вариант
(53,3 *0,7 + 59* 0,3)*1,4*0,85=65,46 лв/т
ІІ вариант
( 53,3*0,7+59*0,3)*1,4*0,87=67,00218 лв/т
VІ.2 Цена на продукта на вътрешния пазар
І вариант (65,46 – 1)*1,2 = 77,352 лв/т
ІІ вариант (67,00218 – 1)*1,2 = 79,2 лв/т
VІ.3 Общо приходи от продажби на вътрешния и външния пазар
І вариант
Таблица 19
Го
ди
на
от
Ти
ж
Про-
дажби
на
вътреш
ния
пазар
Цена с
ДДС (в
лв/т)
Приходи
на
вътрешния
пазар (в
лв) ДДС в лв
Прода
жби
на
външн
ия
пазар
Цена
по
износ
а без
разхо
ди
Продажби
на въ-
трешния
пазар
Общо
приходи
от
продажби
с ДДС
Общо
приходи без
ДДС
1 2 3 4 5 6 7 8 9 10
5 363 77,35 28 078 050 4 679 675 40 64,5 2 580 000 30 658 050 25 978 375
6 420 77,35 32 487 000 5 414 500 50 64,5 3 225 000 35 712 000 30 297 500
7 450 77,35 34 807 500 5 801 250 75 64,5 4 837 500 39 645 000 33 843 750
8 450 77,35 34 807 500 5 801 250 75 64,5 4 837 500 39 645 000 33 843 750
9 450 77,35 34 807 500 5 801 250 75 64,5 4 837 500 39 645 000 33 843 750
10 450 77,35 34 807 500 5 801 250 75 64,5 4 837 500 39 645 000 33 843 750
11 450 77,35 34 807 500 5 801 250 75 64,5 4 837 500 39 645 000 33 843 750
12 450 77,35 34 807 500 5 801 250 75 64,5 4 837 500 39 645 000 33 843 750
13 450 77,35 34 807 500 5 801 250 75 64,5 4 837 500 39 645 000 33 843 750
14 300 77,35 23 205 000 3 867 500 30 64,5 1 935 000 25 140 000 21 272 500
15 175 77,35 13 536 250 2 256 042 10 64,5 645 000 14 181 250 11 925 208
ІІ вариант
Таблица 20
Година Прод- Цена с Приходи на
ДДС в лв
Продажби Цена по Продажби Общо Общо
от Тиж дажби на
вътрешния
пазар
ДДС (в
лв/т)
вътрешния
пазар (в лв)
на
външния
пазар
износа
без
разходи
на въ-
трешния
пазар
приходи
от
продажби
с ДДС
приходи
без ДДС
1 2 3 4 5 6 7 8 9 10
5 363 79,2 28 749 600 4 791 600 40 66 2 640 000
31 389
600
26 598
000
6 420 79,2 33 264 000 5 544 000 50 66 3 300 000
36 564
000
31 020
000
7 450 79,2 35 640 000 5 940 000 75 66 4 950 000
40 590
000
34 650
000
8 450 79,2 35 640 000 5 940 000 75 66 4 950 000
40 590
000
34 650
000
9 450 79,2 35 640 000 5 940 000 75 66 4 950 000
40 590
000
34 650
000
10 450 79,2 35 640 000 5 940 000 75 66 4 950 000
40 590
000
34 650
000
11 450 79,2 35 640 000 5 940 000 75 66 4 950 000
40 590
000
34 650
000
12 450 79,2 35 640 000 5 940 000 75 66 4 950 000
40 590
000
34 650
000
13 450 79,2 35 640 000 5 940 000 75 66 4 950 000
40 590
000
34 650
000
14 300 79,2 23 760 000 3 960 000 30 66 1 980 000
25 740
000
21 780
000
15 175 79,2 13 860 000 2 310 000 10 66 660 000
14 520
000
12 210
000
VІІ Изчисляване първоначалния паричен поток (еднократните разходи)
І вариант: % на дисконтиране => Kw = 11,69%
ІІ вариант: % на дисконтиране => Кw = 12,77%
І вариант
Таблица 21
Година от Тиж Недисконтирани
еднократни разходи в
лв
Дисконтов фактор
при Kw=
11,69(1/1+Кw)^n
Дисконтирани
еднократни разходи в
лв
1 2 3 4
0 4 861 182 1 4 861 182
1 6 481 577 0,895 5 803 184
2 6 481 577 0,801 5 198 224
3 11 342 759 0,718 8 144 101
4 2 787 078 0,643 1 792 091,2
5 453 710 0,575 260 883,25
Общо 32 407 883 26 059 667
ІІ вариант
Таблица 22
Година от Тиж Недисконтирани
еднократни разходи в
лв
Дисконтов фактор
при Kw= 12,77
Дисконтирани
еднократни разходи в
лв
1 2 3 4
0 3 145 030 1 3 145 031
1 7 862 577 0,887 6 974 106
2 7 862 577 0,787 6 187 848
3 7 862 577 0,698 5 488 079
4 12 124 093 0,619 7 504 814
5 456 029 0,549 250 360
Общо 39 312 883 29 550 237
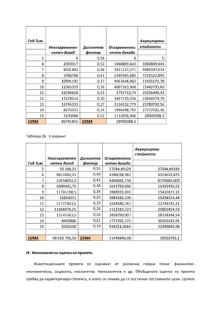
V III.2 Осъвременяване на нетния доход Таблица 25 I вариант
Год.Тиж.
Неосъвременен
нетен доход
Дисконтов
фактор
Осъвременени
нетни доходи
Акумулирани
стойности
5 0 0,58 0 0
6 2059317 0,52 1060809,643 1060809,643
7 8501802 0,46 3921127,371 4981937,014
8 5786780 0,41 2389585,885 7371522,899
9 10991192 0,37 4063648,883 11435171,78
10 11065329 0,36 4007563,908 15442735,69
11 11594628 0,33 3793713,74 19236449,43
12 11528316 0,30 3407730,356 22644179,79
13 11745233 0,27 3136552,779 25780732,56
14 8275352 0,24 1996498,792 27777231,36
15 5193906 0,22 1132056,946 28909288,3
СУМА 86741855 СУМА 28909288,3
Таблица 26 II вариант
Год.Тиж.
Неосъвременен
нетен доход
Дисконтов
фактор
Осъвременени
нетни доходи
Акумулирани
стойности
5 50 308,25 0,55 27584,89329 27584,89329
6 8814904,25 0,49 4286038,982 4313623,875
7 10358092,5 0,43 4466061,734 8779685,609
8 6909402,75 0,38 2641750,906 11421436,51
9 11765198,5 0,34 3988935,693 15410372,21
10 11818221 0,33 3884182,236 19294554,44
11 11727843,5 0,29 3448580,767 22743135,21
12 11868076,25 0,26 3122319,323 25865454,53
13 12145363,5 0,24 2858790,007 28724244,54
14 8439886 0,21 1777391,371 30501635,91
15 5032500 0,19 948211,0664 31449846,98
СУМА 98 929 796,50 СУМА 31449846,98 39952703,1
ІХ. Икономическа оценка на проекта.
Инвестиционните проекти се оценяват от различни гледни точки: финансово-
икономическа, социална, екологична, технологична и др. Обобщената оценка на проекта
трябва да характеризира степента, в която се очаква да се постигнат поставените цели. Целите
и качествата на проекта се свързват с помощта на критериите за оценяване и класиране на
проектите.
1. Нетна настояща стойност (NPV). При този метод се установява дали сумата от
дисконтираните нетни парични доходи за целия срок на икономически живот на проекта е по-
голяма, равна или по-малка от сумата от дисконтираните инвестиционни разходи през същия
период.
Методът на нетната настояща стойност се основава на следните допускания :
- Междинните доходи се реинвестират с норма на печалба, равна на приетата за
фирмата цена на капитала.
- Нетната настояща стойност на обикновен паричен поток монотонно намалява с
нарастването на процента на дисконтиране.
Критерият за оценяване и класиране на проектите е: максимална положителна нетна
настояща стойност. Въз основа на това се извежда следното правило за вземане на решение:
- NPV > 0 → проектът се приема;
- NPV < 0 → проектът се отхвърля;
- NPV = 0 → проектът е на границата изгоден/неизгоден
𝑵𝑷𝑽 = − �
𝑪𝑶𝒕
(𝟏 + 𝒓) 𝒕
+ �
𝑪𝑰 𝒕
(𝟏 + 𝒓) 𝒕
𝒎
𝒕=𝒏+𝟏
𝒎
𝒕=𝟎
,
І вариант: NPV = - 26 059 667 + 28 909 288,3 = 2 849 621,3 лв.
NPV > 0 => Проектът се приема
ІІ вариант: NPV = - 29 550 237 + 31 449 846,98 = 1 899 609,98 лв.
NPV > 0 => Проектът се приема
2. Вътрешна норма на възвръщаемост (IRR).
0 = - t=0∑n (Cot/(1 + IRR)t) + t=1+n∑m (Cit/(1 + IRR)t)
Вътрешната норма на възвръщаемост е процентът на дисконтиране, който превръща
нетната настояща стойност (NPV) в нула. Чрез този метод се прави опит всички икономически
изгоди да се представят чрез едно число. То не зависи от нормата на доходност, която
преобладава на капиталовия пазар и затова се нарича вътрешна норма на възвръщаемост. Тази
норма е вътрешна за проекта и зависи само от паричните потоци, които го характеризират през
целия срок на икономически живот.
Критерият за оценяване и класиране на проектите е: максимална положителна разлика
между IRR и процента на дисконтиране, използван за изчисляване на NPV. Това е
алтернативната цена на капитала – Kw.
Правило за вземане на решение по критерия вътрешна норма на възвъщаемост :
IRR > Kw → проектът се приема ;
IRR< Kw → проектът се отхвърля ;
IRR = Kw → проектът е на границата изгоден/неизгоден.
Използваме метода на пробите и грешките, при който се търси такава стойност на показателя,
че сумата от дисконтираните производствени разходи да е равна на сумата дисконтираните
нетни потоци (трансформиране на равенството при NPV). Заместват се различни стойност
докато се получи приблизително равенство.
Тъй като IRR и за вариант I и вариант II са по-големи от Kw за съответните варианти, и двата
проекта се приемат,но тъй като се цели максимална разлика между IRR и Kw ,то по-добрия от
двата е вариант I.
3. Срок на възвръщане на инвестициите (PBP)
Срокът на възвръщане (PBP) е продължителността на периода, необходим, за да се
възстановят първоначалните инвестиции за сметка на породения от тях паричен доход.
Критерият за оценяване и класиран на проектите е: минимален срок на възвръщане на
инвестициите. Той дава възможност да се установи кой е най-добрият проект сред
множеството взаимноизключващи се проекти. Но за да се вземе решение, е необходимо
наличието на едно важно условие: установено от фирмата или индивидуалния инвеститор
гранично условие за ефективност. Това е максималният/нормативният срок на възвръщане
РВРн, който в задание В1 е заложен като 8 години.
Правило за вземане на решение по метода срок на възвръщане :
PBP ≤ PBPн → проектът се приема ;
PBP > PBPн → проектът се отхвърля.
Таблица 27 1-ви вариант:
Год.Тиж.
Неосъвременен
нетен доход
Дисконтов
фактор
Осъвременени
нетни доходи
Акумулирани
стойности
5 0 0,58 0 0
6 2059317 0,52 1060809,643 1060809,643
7 8501802 0,46 3921127,371 4981937,014
8 5786780 0,41 2389585,885 7371522,899
9 10991192 0,37 4063648,883 11435171,78
10 11065329 0,36 4007563,908 15442735,69
11 11594628 0,33 3793713,74 19236449,43
12 11528316 0,30 3407730,356 22644179,79
13 11745233 0,27 3136552,779 25780732,56
14 8275352 0,24 1996498,792 27777231,36
15 5193906 0,22 1132056,946 28909288,3
СУМА 86741855 СУМА 28909288,3
Срокът на възвръщане (PBP) се определя на база на осъвременените към началото на
Тиж стойности на еднократните разходи и на нетния доход.
Нормативният срок на възвръщане на инвестициите (PBPн) на тази база е 8 години,
считано от началото на експлоатацията (началото на 5-та година).
От табл. 27 се вижда, че акумулираният доход в края на десетата година от началото
на експлоатацията (14-та от Тиж) надвишава стойността на първоначалните инвестици. Но за да
се възвърне цялата стойност на инвестицията, са необходими и определен брой месеци.
Техният брой се определя по следния начин:
определя се средномесечния доход през 10-та от Тиж
1996498,792 : 12 = 164 375 лв.
определя се частта от инвестициите, която остава да се възстанови през същата година.
26 059 667 – 25 780 732,56= 278 934 лв..
278 934 : 164 375 = 1,69 ≈ 2 месеца
Следователно срокът на възвръщане е 9 години и 2 месеца.
Спазвайки правилото за вземане на решение, би следвало този проект да не се
приеме, тъй като PBP › PBPн.
Таблица 28 2-ри вариант:
Год.Тиж.
Неосъвременен
нетен доход
Дисконтов
фактор
Осъвременени
нетни доходи
Акумулирани
стойности
5 50 308,25 0,55 27584,89329 27584,89329
6 8814904,25 0,49 4286038,982 4313623,875
7 10358092,5 0,43 4466061,734 8779685,609
8 6909402,75 0,38 2641750,906 11421436,51
9 11765198,5 0,34 3988935,693 15410372,21
10 11818221 0,33 3884182,236 19294554,44
11 11727843,5 0,29 3448580,767 22743135,21
12 11868076,25 0,26 3122319,323 25865454,53
13 12145363,5 0,24 2858790,007 28724244,54
14 8439886 0,21 1777391,371 30501635,91
15 5032500 0,19 948211,0664 31449846,98
СУМА 98 929 796,50 СУМА 31449846,98 39952703,1
определя се средномесечния доход през 14-та от Тиж
1 777 391,371 : 12 = 148 116 лв.
определя се частта от инвестициите, която остава да се възстанови през същата година.
29 550 237 – 28 724 244,54 = 825 992 лв.
825 992 : 148 116 = 5,58 ≈ 6 месеца
Следователно срокът на възвръщане е 9 години и 6 месеца.
Спазвайки правилото за вземане на решение, би следвало този проект да не се
приеме, тъй като PBP ≤ PBPн.
Сравнявайки двата проекта по този показател, за предпочитане е І вариант,
защото има по-малък срок на възвръщане в сравнение с IІ вариант. Но по правило и двата
варианта би трябвало по този критерий да не се приемат.
4. Коефициент на доходност (PI)
При този метод проектите се оценяват от гледна точка на дохода, който осигурява всеки
лев първоначални инвестиции. В литературата често е означаван още като коефициент
„приходи-разходи” (Benefit-Cost Ratio – BCR). Изчислява се по следната формула:
Правилото за вземане на решение по този показател е:
PI > 1,0 → проектът се приема;
PI < 1,0 → проектът не се приема;
PI = 1,0 → проектът е на границата изгоден/неизгоден.
І вариант:
𝑃𝐼 =
28909288,3
26059667
= 𝟏, 𝟏𝟏 лв. нетен доход/1 лв. инвестиции
PI > 1 следователно проектът се приема.
ІІ вариант
𝑃𝐼 =
31 449 846,98
29 550 237
= 1,06 лв. нетен доход/1 лв. инвестиции
� 𝑃𝑉𝐶𝑂
∑ 𝑃𝑉𝐶𝐼
PI=
PI > 1 следователно проектът се приема.
ХІ. Сравнителен анализ на оценките на проекта и избор на по-добрия вариант.
Сравняване на първи и втори вариант по показателите за икономическа оценка :
- нетна настояща стойност (NPV);
- вътрешна норма на възвръщаемост (IRR) ;
- срок на възвръщане на инвестициите (PBP) ;
- коефициент на доходност (PI).
Таблица 29
Критерий
Показател
Стойност на
показателя за
І вариант
Стойност на
показателя за
ІІ вариант
Критерии за
класиране на
проекта
Класиране
на
вариантит
е по
критерия
Изгоден
ли е
избрания
т
вариант
1 2 3 4 5 6
1. Нетна
настояща
стойност (NPV)
2 849 621,3 1 899 609,98
По-голяма
стойност на
показателя
(NPV)
I в.; IІ в. NPV > 0
2.IRR
12,24%
(Kw=11,69)
12,93% (Kw
12,77)
Максимална
Положителна
разлика между
IRR и процента
на
дисконтиране(
Kw)
І в.; ІI в.
IRR > k
3. Срок на
възвръщане на
инвестициите
(PBP)
9г. и 2 м. 9г. и 6 м.
По-къс срок за
възвръщане на
инвестицията
Ів; ІI в.
Не
РBP>PBP
норматив
но(8 г.)
4. Коефициент на
доходност (PI) 1,11 лв. 1,06 лв.
По-голяма
стойност на
показателя
І в.; ІI в.
PI > 1;
По показателя нетна настояща стойност (NPV) по-добър е І вариант, защото
NPV І > NPV ІI > 0.
По показателя вътрешна норма на възвръщаемост (IRR) по-добър е І вариант, защото
разликата между IRR и Kw за I вариант е по-голяма от разликата между IRR и Kw за ІI вариант.
 12,24 % - 11,69 % = 0,55 %
 12,93 % - 12,77 % = 0,16 %
По показателя срок на възвръщане на инвестициите (PBP) и двата варианта не са
приемливи, защото надвишават определения нормативен срок на възвръщане на
инвестициите(8 години), като с 4 месеца разлика по-добър е І вариант.
По показателя коефициент на доходност (PI) и двата варианта на проекта са приемливи,
като по-добър е I вариант, защото носи по-висок нетен доход на един лев инвестиция в
сравнение с ІI вариант.
ДОПЪЛНИТЕЛНИ ВЪПРОСИ – В1.
ЗАДАЧА 2 Изчислете модифицираната вътрешна норма на възвръщаемост (MIRR) като
използвате процента на дисконтиране, приложен при изчисляване на NPV, т.е. цената на
капитала (kw).
Целта е да се изчисли каква е средногодишната норма на възвръщаемост на капитала,
вложен в проекта, като се приема, че нетните парични потоци в резултат на инвестицията могат
да се реинвестират и да носят доходи до края на срока на инвестицията. Нормата на
възвръщаемост (r), която се очаква от инвестирането на НПП, е равна на среднпретеглената
цена на капитала на предприятието.
Изчисляването на MIRR се извършва по следния начин:
 Изчисляват се настоящите стойности на инвестиционните разходи с норма на
дисконтиране r;
 Изчислява се сумата на настоящите стойности на инвестиционните разходи;
 Изчисляват се бъдещите стойности на нетните парични потоци по проекта към края на
срока на получаването на ефект от инвестицията. Бъдещите стойности към края на
срока се наричат условно „терминални стойности” (ТС) на НПП. Терминалните
стойности се изчисляват с норма на възвръщаемост r.
 Изчислява се сумата на терминалните стойности.
 Търси се при каква норма на сконтиране настоящата стойност на сумата на ТС на НПП
ще бъде равна на сумата на настоящите стойности на инвестиционните разходи.
където:
∑ 𝑲 𝒏
𝑵
𝒏=𝟎
𝟏
(𝟏+𝒓) 𝒏 - сума на настоящите стойности на инвестиционните разходи;
∑ 𝐹𝑛 (1 + 𝑟) 𝑁−𝑛𝑁
𝑛=1 – сума на терминалните стойности на нетните парични потоци.
І вариант:
година
от Тиж НПП І вариант
Сложнолихвен
фактор І вариант
при Kw=11,69%
Бъдеща стойност на НПП І
вариант
5 0 3,0209452 0,00
6 2059317 2,7047589 5569955,9
7 8501802 2,4216662 20588526
8 5786780 2,1682033 12546915
9 10991192 1.941269 21336860
10 11065329 1,661659 18386803
11 11594628 1,5011826 17405653
12 11528316 1,3562044 15634752
13 11745233 1,2252276 14390583
14 8275352 1,1069 9159987,1
15 5193906 1 5193906
Сума 86741855 140213941
∑ 𝑲 𝒏
𝑵
𝒏=𝟎
𝟏
(𝟏+𝒓) 𝒏 = 26 059 667 лв.
∑ 𝐹𝑛 (1 + 𝑟) 𝑁−𝑛𝑁
𝑛=1 = 140213941 лв.
� 𝑲 𝒏
𝑵
𝒏=𝟎
𝟏
(𝟏 + 𝒓) 𝒏
=
∑ 𝑭 𝒏(𝟏 + 𝒓) 𝑵−𝒏
(𝟏 + 𝑴𝑰𝑹𝑹) 𝑵
 26 059 667 =
140 213 941
(𝟏+𝑴𝑰𝑹𝑹) 𝟏𝟓
 (𝟏 + 𝑴𝑰𝑹𝑹) 𝟏𝟓
=
𝟏𝟒𝟎 𝟐𝟏𝟑 𝟗𝟒𝟏
𝟐𝟔 𝟎𝟓𝟗 𝟔𝟔𝟕
=> (𝟏 + 𝑴𝑰𝑹𝑹) 𝟏𝟓
= 5,380494202
 𝟏 + 𝑴𝑰𝑹𝑹 = �𝟓, 𝟑𝟖𝟎𝟒𝟗𝟒𝟐𝟎𝟐
𝟏𝟓
Въведете уравнение тук.
 𝟏 + 𝑴𝑰𝑹𝑹 = 1.1187
 𝑴𝑰𝑹𝑹 = 𝟏 − 𝟏, 𝟏𝟏𝟖𝟕 = 𝟎, 𝟏𝟏𝟖𝟕 = 𝟏𝟏. 𝟖𝟕%
Извод: MIRR>k, което означава, че проектът е финансово ефективен, защото
обещава по-висока възвръщаемост от изискваната за дадения рисков клас и следва да бъде
приет.
ІІ вариант:
год от
Тиж НПП І вариант
Сложнолихвен
фактор І вариант
при Kw=12,77%
Бъдеща стойност на НПП І
вариант
5 50 308,25 3,3261032 167330,43
6 8814904,25 2,9494575 25999181,044
7 10358092,5 2,6154629 27091207,684
8 6909402,75 2,3192897 16024908,704
9 11765198,5 2,0566549 24196954,321
10 11818221 1,7056518 20157769,922
11 11727843,5 1,5328946 17977547,971
12 11868076,25 1,3776352 16349879,598
13 12145363,5 1,2381012 15037189,124
14 8439886 1,1177 9433260,582
15 5032500 1 5032500
Сума 104451664 177467729,4
∑ 𝑲 𝒏
𝑵
𝒏=𝟎
𝟏
(𝟏+𝒓) 𝒏 = 29 550 237 лв.
∑ 𝐹𝑛 (1 + 𝑟) 𝑁−𝑛𝑁
𝑛=1 = 177 467 729,4 лв.
 29 550 237 =
177 467 729,4
(𝟏+𝑴𝑰𝑹𝑹) 𝟏𝟓
 (𝟏 + 𝑴𝑰𝑹𝑹) 𝟏𝟓
=
𝟏𝟕𝟕 𝟒𝟔𝟕 𝟕𝟐𝟗,𝟒
𝟐𝟗 𝟓𝟓𝟎 𝟐𝟑𝟕
=> (𝟏 + 𝑴𝑰𝑹𝑹) 𝟏𝟓
= 6,005627954
 𝟏 + 𝑴𝑰𝑹𝑹 = �𝟔, 𝟎𝟎𝟓𝟔𝟐𝟕𝟗𝟓𝟒
𝟏𝟓
 𝟏 + 𝑴𝑰𝑹𝑹 = 1,1269
 𝑴𝑰𝑹𝑹 = 𝟏 − 𝟏, 𝟏𝟐𝟔𝟗 = 𝟎, 𝟏𝟐𝟔𝟗 = 𝟏𝟐, 𝟔𝟗 %
Извод: MIRR<k, което означава, че проектът е финансово неефективен, защото
обещава по-ниска възвръщаемост от изискваната за дадения рисков клас и следва да не
бъде приет.
ЗАДАЧА 3. Два взаимноизключващи се проекта се характеризират със следните парични
потоци:
Година Проект А Проект В
0 -100 000 лв. -96 000 лв.
1 10 000 лв. 160 000 лв.
2 350 000 лв. 160 000 лв.
Докажете дали е налице точка на Фишер и ако има такава, при какъв процент на дисконтиране.
Покажете решението и графично. Какво е значението на точката на Фишер при сравнението на
вариантите?
 Изчисляване на IRR
IRRI =>
−𝟏𝟎𝟎 𝟎𝟎𝟎
(𝟏+𝑰𝑹𝑹) 𝟎 +
𝟏𝟎 𝟎𝟎𝟎
(𝟏+𝑰𝑹𝑹) 𝟏 +
𝟑𝟓𝟎 𝟎𝟎𝟎
(𝟏+𝑰𝑹𝑹) 𝟐=92,15%
IRRII =>
−𝟗𝟔 𝟎𝟎𝟎
(𝟏+𝑰𝑹𝑹) 𝟎 +
𝟏𝟔𝟎 𝟎𝟎𝟎
(𝟏+𝑰𝑹𝑹) 𝟏 +
𝟏𝟔𝟎 𝟎𝟎𝟎
(𝟏+𝑰𝑹𝑹) 𝟐=136,99%
 При r=0
NPVI =-100 000 + 10 000/(1+0)^1 + 350 000/(1+0)^2 = 260 000 лв.
NPVII ==-96 000 + 160 000/(1+0)^1 + 160 000/(1+0)^2 = 224 000 лв
Вижда, че Вариант II има по-голяма IRR от Вариант I
 Профилите на NPV на двата проекта би трябвало да се пресичат при процент по-малък
от 92,15%
 Изчисляваме стойността на f, прилагайки формулата
NPVI = NPVII
−𝟏𝟎𝟎 𝟎𝟎𝟎
(𝟏+𝒇) 𝟎 +
𝟏𝟎 𝟎𝟎𝟎
(𝟏+𝒇) 𝟏 +
𝟑𝟓𝟎 𝟎𝟎𝟎
(𝟏+𝒇) 𝟐 =
−𝟗𝟔 𝟎𝟎𝟎
(𝟏+𝒇) 𝟎 +
𝟏𝟔𝟎 𝟎𝟎𝟎
(𝟏+𝒇) 𝟏 +
𝟏𝟔𝟎 𝟎𝟎𝟎
(𝟏+𝒇) 𝟐
4 000 =
𝟏𝟓𝟎 𝟎𝟎𝟎
(𝟏+𝒇) 𝟏 -
𝟏𝟗𝟎 𝟎𝟎𝟎
(𝟏+𝒇) 𝟐
f = 22,655%
При дисконтов процент 22,655% NPVA :
𝑁𝑃𝑉𝐼 = −100 000 +
10 000
(1 + 0.227)1
+
350 000
(1 + 0.227)2
𝑁𝑃𝑉𝐼 = −100 000 + 8150 + 232 476 = 𝟏𝟒𝟎 𝟖𝟎𝟎 лв.
При дисконтов процент 22,655% NPVБ
𝑁𝑃𝑉𝐼𝐼 = −96 000 +
160 000
(1 + 0.227)1
+
160 000
(1 + 0.227)2
𝑁𝑃𝑉𝐼𝐼 = −96 000 + 130 447 + 106 353 = 𝟏𝟒𝟎 𝟖𝟎𝟎 лв.
При изискваната норма на възвръщаемост по- малка от 22,655%, вариант 1 ще бъде
по-добър по критерия NPV, докато по критерия IRR по-добър ще е вариант 2.
 Предвид известните ни стойности на NPV за двата варианта изчерт
аваме профилите:
Точката Фишер възниква при онзи процент на дисконтиране,при който ННС при 2-та варианта е
една и съща.При наличие на изискан процент на възвръщаемост по-малък от точката на Фишер
е налице конфликт между оценките по NPV и IRR за двата варианта.Точката е важна поради
това,че при сравнението на NPV-тата предпочитанията се прехвърлят от единият проект към
другия.
260 000
224 000
140 800
22,65 92,15 136,99
NPV
Процент на дисконтиране
Точка на Фишър

Defining a project's economic life cycle

  • 1.
    I. Определяне насрока на икономически живот на проекта А. Методически указания – срока на икономически живот (Тиж) на един проект е периода, през който се оползотворява потенциала на идеята, вложена в проекта. Тиж=Тстроителство+Тексплоатация Б. Изчисления по проекта І вариант: Тиж= 4+11=15 години ІІ вариант Тиж= 4+11=15 години ІІ Изчисляване на инвестициите и другите еднократни разходи А. Методически указания 1. Еднократните разходи са разходи за изграждане на обекта, които се правят еднократно с оглед получаването на повтарящ се ефект за дълъг период от време. 2. Състав на еднократните разходи- влизат преките инвестиции, съпътстващите инвестиции, свързани инвестиции, разходи за компенсиране на загуби от ликвидиране на обекти, разходи за заплащане на цялата или част от актуалната стойност на съществуващи обекти, които ще се използват в проекта ( инвестициите в оборотни средства). 3. Методи за приблизително определяне на еднократните разходи могат да бъдат следните: - метод на аналогията; -метод на дисконтираните парични потоци; -метод на чистата стойност на активите; -метод на ликвидационната стойност. Б.Изчисления по проекта: ІІ.1. Преки инвестиции- те обхващат всички вътрешноприсъщи инвестиционни разходи за изграждане на обекта без разходи свързани с неговото местоположение. І вариант Преки инвестиции: 27 500 000 В т.ч. за Проучване и проект: 1 000 000
  • 2.
    Строително-монтажни работи: 4250 000 Машини и съоръжения: 20 000 000 Инвеститорски контрол: 25 000 Подготовка кадри: 50 000 Земя: 2 175 000 ІІ вариант Преки инвестиции: 34 750 000 В т.ч. Проучване и проект: 1 000 000 Строително-монтажни работи: 5 500 000 Машини: 26 000 000 Инвеститорски контрол: 25 000 Подготовка кадри: 50 000 Земя: 2 175 000 ІІ.2. Съпътстващи инвестиции- еднократни разходи необходими за свързване на обекта с пътната мрежа, ЖП-мрежа, електроснабдяване, ВиК и т.н. Тези разходи са в пряка зависимост от местоположението на обекта. І вариант Съпътстващи инвестиции – 250 000 лв. ІІ вариант Съпътстващи инвестиции - 250 000 лв. ІІ.3. Свързани инвестиции – еднократни разходи в други сектори на икономиката и предприятия направени с цел осигуряване на доставката на суровини и материали. Също така се включват разходи по реализацията на продукцията, разходи за изграждане на положителен имидж на фирмата и други. а) инвестиции за увеличаване на мощността на добивно предприятие – изчисляват се по метода на аналогията. I=∆Q*k Q-прираст на мощностите к-индекс на специфичната инвестиция
  • 3.
    I=300 000*5=1 500000 б) размер на безлихвения кредит- кредит= 1 500 000*50%= 750 000 лв в) пропуснатият доход от фирмата – майка от свързани инвестиции- Пропуснат доход= FV-PV= 𝑃𝑉(1 + 𝑅) 𝑁 − 𝑃𝑉 = 750 000 ∗ 1 + 0,15 − 750 000 = 𝟒𝟓𝟕 𝟖𝟖𝟑 лв. ІІ вариант Пропуснат доход= FV-PV= 𝑃𝑉(1 + 𝑅) 𝑁 − 𝑃𝑉 = 750 000 ∗ 1 + 0,15 − 750 000 = 𝟒𝟓𝟕 𝟖𝟖𝟑 лв. ІІ. 4. Разходи за заплащане на обекти на площадката собственост на фирмата – майка , които се ликвидират заради изграждането на новия обект. Загубите от ликвидиране на обект се изчисляват чрез техниката на перпетуитета: 𝑃𝑉𝑝 = 𝑐 𝑟 =50 000/0,1=500 000 лв. пропуснати доходи Загуби от ликвидация на обект: 50 000 + 50 000 0.1 = 550 000 общи загуби от ликвидиране на обекти ІІ вариант 50 000 + 50 000 0.1 = 550 000 ІІ.5. Инвестиции в оборотни средства – инвестиции за изграждане на нови обекти разходи за създаване на първоначален запас от суровини. ІІ.5.1 Инвестиции в оборотни средства за запас от суровини. Средства за запаси от суровини=Ccg(Tзт+Тзг) Ccg- средно дневна потребност от суровини в стойност Тзт-норма на оборотни средства в текущ запас(дни) Тзг-норма на оборотни средства в гаранционен запас І вариант 300 000(4+2)= 1 800 000 лв. ІІ вариант 300 000(3+1,5)=1 350 000 лв.
  • 4.
    ІІ.5.2 Инвестиции засъздаване на запаси от резервни части І вариант 20 000 000*3 %= 600 000 лв. ІІ вариант 26 000 000*3%=780 000 лв. ІІ.5.3 Общо инвестиции в оборотни средства Таблица 1 (в левове) Елементи на оборотните средсвта І вариант ІІ вариант 1 2 3 Запаси от суровини 1 800 000 1 350 000 Запаси от горива 250 000 225 000 Запаси от амбалаж 750 000 700 000 Запаси от резервни части 600 000 780 000 Парични средства по сметка 250 000 250 000 Общо сума 3 650 000 3 305 000 ІІ.5.4 Обща сума на еднократните разходи Таблица 2 (в левове) Елементи на еднократните разходи І вариант ІІ вариант 1 2 3 Преки инвестиции 27 500 000 34 750 000 Съпътстващи инвестиции 250 000 250 000 Свързани инвестиции 457 883 457 883 Разходи за ликвидиране на обекти 550 000 550 000 Инвестиции в оборотни средства 3 650 000 3 305 000 Обща сума 32 407 883 39 312 883
  • 5.
    ІІ.6 Разпределение наеднократните разходи по години от срока на икономически живот на проекта: Таблица 3 Поредна година от Тиж І вариант ІІ вариант Дял от общата сума в % Eднократни разходи по години в лв. Дял от общата сума в % Eднократни разходи по години в лв 1 2 3 4 5 0 15 4 861 182 8 3 145 030 1 20 6 481 577 20 7 862 577 2 20 6 481 577 20 7 862 577 3 35 11 342 759 20 7 862 577 4 8,6 2 787 078 30,84 12 124 093 5 1,4 453 710 1,16 456 029 Общо 100 32 407 883 100 39 312 883 ІІ.7 Изчисляване на отчетната стойност на дълготрайните активи. ІІ.7.1 Еднократни разходи, които не влизат в отчетната стойност на дълготрайните активи. Таблица 4 (в левове) Елементи на еднократни разходи І вариант ІІ вариант 1 2 3 Разходи за инвеститорски контрол 25 000 25 000 Разходи за подготовка на кадри 50 000 50 000 Инвестиции в оборотни средства 3 650 000 3 305 000 Свързани инвестиции 457 883 457 883 Общо сума 4 182 883 3 837 883 ІІ.7.2 Отчетна стойност на дълготрайните активи І варинат: 32 407 883 – 4 182 883 = 28 225 000 лв. ІІ вариант: 39 312 883 – 3 837 883 = 35 475 000 лв. ІІІ Производствена програма и обем на продажбите А. Методически указания – производствената програма показва количеството продукция по определена номенклатура, асортимент и качеството, което се предвижда да се произведе и реализира за определен период от време (обикновено 1 година). Производствената програма е съществен елемент от инвестиционния проект и от нея зависят останалите части на проекта като суровини, материали и други. Производствената програма има и важно значение и
  • 6.
    поради факта, чемного от решенията, след като бъде осъществен инвестиционния проект, не могат да бъдат променяни или това става с цената на големи разходи. Производствената програма зависи от количеството продукция, което фирмата може да продаде на целевия пазар при прогнозни нива на търсенето и нивото на конкуренция. Пряка връзка с производствената програма има производствения капацитет на фирмата. Производствения капацитет на фирмата е максималното възможно количество продукция, което може да се произведе с наличните машини, съоражения и оборудване при тяхното оптимално натоварване. Производственият капацитет и връзката му с производствената програма има следните три случая: 1.ПКФ = ПП 100 % 2.ПКФ > ПП 10 – 15 % 3.ПКФ< ПП Б. Изчисления по проекта – Производствената програма на новото предприятие е равна на обема на възможните продажби на вътрешния и външния пазар. От друга страна възможния обем продажби на съответния пазар е произведение от обема на пазара в тонове и пазарния дял на фирмата в %. Възможен обем продажби = продажби на вътрешния пазар + продажби на външния пазар Възможен обем продажби = обем на пазара * пазарен дял Таблица 5 Година от Тиж Вътрешен пазар Външен пазар Производствен обем в тонове 1 2 3 4 5 6 7 8 5 605 000 60 363000 2 000 000 2 40000 403000 6 600 000 70 420000 2 500 000 2 50000 470000 7 600 000 75 450000 2 500 000 3 75000 525000 8 600 000 75 450000 2 500 000 3 75000 525000 9 600 000 75 450000 2 500 000 3 75000 525000 10 600 000 75 450000 2 500 000 3 75000 525000 11 600 000 75 450000 2 500 000 3 75000 525000 12 600 000 75 450000 2 500 000 3 75000 525000 13 600 000 75 450000 2 500 000 3 75000 525000 14 400 000 75 300000 1 500 000 2 30000 330000 15 250 000 70 175000 1 000 000 1 10000 185000 5 063 000 Производствената програма на вариант І и ІІ на инвестиционния проект е еднаква. По такъв начин е спазено условието за съпоставимост на взаимоизключващи се варианти на инвестиционен проект.
  • 7.
    От таблица 5се вижда, че е спазено условието капацитета на производствената програма (525 000 тона) да не е по-голям от производствения капацитет на фирмата (550 000 тона). ІV Разходи по производството ІV.1 Общо постоянни и променливи разходи без амортизации Таблица 6 (в левове) Година от Тиж І вариант ІІ вариант 5 26 620 000 26 200 000 6 29 300 000 29 000 000 7 31 000 000 30 500 000 8 30 500 000 30 000 000 9 30 000 000 30 000 000 10 29 800 000 29 800 000 11 29 000 000 29 800 000 12 29 000 000 29 500 000 13 29 000 000 29 500 000 14 21 000 000 21 500 000 15 15 000 000 15 500 000 300 220 000 301 300 000 ІV.2 Разходи за амортизация А. Методически указания – Амортизацията е процес на планомерно пренасяне на стойността на дълготрайния актив на части в стойността на продукцията. Срока на амортизация (Там) е периода, през който се осъществява прехвърлянето на стойността на дълготрайния актив. Нормата на амортизация (Нам) показва какъв процент от стойността на дълготрайния актив се прехвърля за определен период от време (1 година) в стойността на продукцията. Амортизационната квота (Ак) е частта от стойността на дълготрайния актив в левове, която се прехвърля за 1 година. Амортизацията намалява облагаемия доход в края на отчетния период, поради което интересът за фирмите е да включват по-високи амортизационни квоти в стойността на продукцията, следователно рефлексира върху данък печалба. Методите на амортизация се делят на 3 основни групи: линейни, нелинейни и смесени. Нелинейните биват прогресивни и дегресивни. Б. Изчисления по проекта – активите на фирмата се амортизират по различни начини, а именно: - по линеен метод – 20 % от общата стойност на амортизируемите активи - по метода сума на числата – 35 % - по константно – дегресивен – 45 %
  • 8.
    Първоначалната стойност наамортизируемите активи е равна на отчетната стойност, от която е извадена стойността на земята. Обща стойност на всички амортизируеми активи: І вариант : А сума = 28 225 000 – 2 175 000 = 26 050 000 лв ІІ вариант :А сума = 35 475 000 – 2 175 000 = 33 300 000 лв Амортизационния срок за всички дълготрайни активи е 10 години започват от началото на срока на експлоатация, тоест от 5-тата година от Тиж. ІV.2.1 Амортизация на активи – амортизира се по линеен метод. І вариант – 26 050 000 лв. 20%/100*26 050 000= 5 210 000 лв. По линеен Ас= 5 210 000 лв Срок на амортизацията е 10 години, нормата на амортизация е 10 %. Ак = Ас * 10 % = 521 000 лв е Ак за всяка от годините от 5 до 14-та. ІІ вариант – 33 300 000 лв 20%/100*33 300 000= 6 660 000 лв Ас = 6 660 000 лв Н(ан) = 10 % Ак = 6 660 000 за всяка от годините от 5 до 14-та ІV.2.2 Амортизация на активи по сума на числата І вариант – 26 050 000 лв. 35%/100* 26 050 000= 9 117 500 лв. Ас = 9 117 500 лв. II вариант-33 300 000 35%/100*33 300 000=11 655 000 лв.
  • 9.
    І вариант: Таблица 7 Година отТиж Година от срока на амортизация Стойност на амортизируемите активи Амортизационна норма Амортизационна квота Остатъчна балансова стойност в лева 1 2 3 4 5 6 5 1 9 117 500 10 55� 1 657 727 7 459 773 6 2 9 117 500 9 55� 1 491 955 5 967 818 7 3 9 117 500 8 55� 1 326 182 4 641 636 8 4 9 117 500 7 55� 1 160 409 3 481 227 9 5 9 117 500 6 55� 994 636 2 486 591 10 6 9 117 500 5 55� 828 864 1 657 727 11 7 9 117 500 4 55� 663 091 994 636 12 8 9 117 500 3 55� 497 318 497 318 13 9 9 117 500 2 55� 331 545 165 773 14 10 9 117 500 1 55� 165 773 0 ІІ вариант: Таблица 8 Година от Тиж Година от срока на амортизация Стойност на амортизируемите активи Амортизационна норма Амортизационна квота Остатъчна балансова стойност в лева 1 2 3 4 5 6 5 1 11 655 000 10 55� 2 119 091 9 535 909 6 2 11 655 000 9 55� 1 907 182 7 628 727 7 3 11 655 000 8 55� 1 695 273 5 933 454 8 4 11 655 000 7 55� 1 483 364 4 450 090 9 5 11 655 000 6 55� 1 271 455 3 178 635 10 6 11 655 000 5 55� 1 059 545 2 119 090 11 7 11 655 000 4 55� 847 636 1 271 454 12 8 11 655 000 3 55� 635 727 635 727 13 9 11 655 000 2 55� 423 818 211 909 14 10 11 655 000 1 55� 211 909 0 ІV.2.3 Амортизация на активи амортизиращи се по константно-дегресивния метод (Ан - Норма на амортизация по линейния метод) *норма на ускорението Ан=10*1,5= 15 %
  • 10.
    І вариант: Стойност наамортизируемите активи: 26 050 000 лв. 45%/100*26 050 000= 11 722 500 лв. Ас=11 722 500 лв. Таблица 9 Година от Тиж Балансова стойност към началото на годината Ан в % Ак Баланс към края на годината 5 11 722 500 15 1 758 375 9 964 125 6 9 964 125 15 1 494 619 8 469 506 7 8 469 506 15 1 270 426 7 199 080 8 7 199 080 15 1 079 862 6 119 218 9 6 119 218 15 917 883 5 201 336 10 5 201 336 15 780 200 4 421 135 11 4 421 135 15 663 170 3 757 965 12 3 757 965 15 563 695 3 194 270 13 3 194 270 50 1 597 135 1 597 135 14 1 597 135 100 1 597 135 0 ІІ вариант Стойност на амортизируемите активи: 33 300 000 лв. Ас=14 985 000 лв. (Ан - Норма на амортизация по линейния метод) * ускорението Ан=10*1,5= 15 % Таблица 10 Година от Тиж Балансова стойност към началото на годината Ан в % Ак Баланс към края на годината 5 14 985 000 15 2 247 750 12 737 250 6 12 737 250 15 1 910 588 10 826 663 7 10 826 663 15 1 623 999 9 202 663 8 9 202 663 15 1 380 399 7 822 264 9 7 822 264 15 1 173 340 6 648 924 10 6 648 924 15 997 339 5 651 585 11 5 651 585 15 847 738 4 803 848 12 4 803 848 15 720 577 4 083 271 13 4 083 271 50 2 041 635 2 041 635 14 2 041 635 100 2 041 635 0
  • 11.
    Таблица 11 I вариант Годинаот Тиж Амортизация по линеен метод Амортизация по сума на числата Амортизация по константо- дегресивния метод Обща сума на амортизации 1 2 3 4 5 5 521 000 1 657 727 1 758 375 3 937 102 6 521 000 1 491 955 1 494 618 3 507 573 7 521 000 1 326 182 1 270 426 3 117 608 8 521 000 1 160 409 1 079 862 2 761 271 9 521 000 994 636 917 883 2 433 519 10 521 000 828 864 780 200 2 130 064 11 521 000 663 091 663 170 1 847 261 12 521 000 497 318 563 695 1 582 013 13 521 000 331 545 1 597 136 2 449 681 14 521 000 165 773 1 597 135 2 283 908 Сума 5 210 000 9 117 500 11 722 500 26 050 000 Таблица 12 II вариант Година от Тиж Амортизация по линеен метод Амортизация по сума на числата Амортизация по константо- дегресивния метод Обща сума на амортизации 1 2 3 4 5 5 666 000 2 119 091 2 247 750 5 032 841 6 666 000 1 907 182 1 910 588 4 483 770 7 666 000 1 695 273 1 623 999 3 985 272 8 666 000 1 483 364 1 380 399 3 529 763 9 666 000 1 271 455 1 173 340 3 110 795 10 666 000 1 059 545 997 339 2 722 884 11 666 000 847 636 847 738 2 361 374 12 666 000 635 727 720 577 2 022 304 13 666 000 423 818 2 041 635 3 131 453 14 666 000 211 909 2 041 635 2 919 544 Сума 6 660 000 11 655 000 14 985 000 33 300 000
  • 12.
    V. Финансиране напроекта А. Методически указания – за всеки източник на финансиране е необходимо да се изчисли, ако не е дадено по условие, следното: сума на финансиране от съответния източник, цената на финансирането от съответния източник (цена на капитала), относителния дял на съответния източник в общата сума на финансирането; разходи по обслужване на съответния източник на капитала без тези за акционерния капитал. Важна задача на този раздел е изчисляването на среднопретеглената цена на капитала, която ще се използва като процент за дисконтиране на входящите и изходящите парични потоци на проекта. Цената на капитала е онази норма на възвръщаемост, при която нетния паричен фонд получен от дадения източник се изравнява с осъвременените разходи ,направени за същия източник. Б. Изчисления по проекта V.1 Финансиране за сметка на емисия на облигации V.1.1 Определяне цената на капитала осигурен чрез емисия на облигации. Цената на облигационния капитал е нормата на възвращаемост, при която осъвременените стойности на плащанията по дълга (лихви, погашения по номиналната стойност и евентуални премии) се изравняват с нетния паричен фонд получен в резултат на емисията на облигации. Нетен паричен фонд = P = ∑ = � 𝐶𝑡 1+𝑘𝑑 𝑡� + 𝐹 𝑛 1+𝑛𝑑 𝑛𝑡=1 Ct-лихва на 1 облигация Кd-цена на облигационен заем Fn-номинал на облигацията n-срок на облигационен заем T -% за облагане по ЗКПО Т се пресмята само,ако лихвите по заема намаляват облагаемия доход. Цена на капитала (в %) = 𝐾 𝑑 = 𝐶(1−𝑇)+ 𝐹−𝑃 𝑛 𝐹+𝑝 2 Лихвата за облигации за 1вата година в лв = C= Fv – PV = F(1 + 𝑟 𝑚 ) 𝑚 − 𝐹 (m-честота на олихвяване) І и II вариант – изчисляване на лихвата за 1 година за 1 облигация C= 125(1 + 0,06 2 )2 − 125 = 7,6125 лева 𝐾 𝑑 = 7,61(1−0,25)+ 125−130 𝑛8 125+130 2 = 0,0398 = 𝟑, 𝟗𝟖 %
  • 13.
    V.1.2 Обща сумана финансирането с облигации Относителен дял на капитала осигурен чрез емисия на облигации: Wd= 10 % Обща сума на финансирането на облигации=обща сума на едн. разходи* отн.дял ! вариант: 32 407 883* 10 % = 3 240 788,30 лв ІІ вариант: 39 312 883*10% = 3 931 288,30 лв V.1.3 Определяне на броя на облигациите, които осигуряват необходимия капитал: Бр.облигации=обща сума на финансиране/пазарна цена на 1 обл. І вариант: 3 240 788 : 130 = 24 930 облигации ІІ вариант: 3 931 288 : 130 = 30 241 облигации V.1.4 Изчисляване на лихвата към края на 5-тата година от срока на икономически живот на проекта: І и II вариант: 1 година 2 година 3 година 4 година 5 година 7,61 7,61 7,61 7,61 7,61 (1 + 𝑟 2 )4.2 (1 + 𝑟 2 )3.2 (1 + 𝑟 2 )2.2 (1 + 𝑟 2 )1 7,61 9, 6395 + 9, 0863 + 8, 5878 + 8, 0734 + 7, 61 = 42, 98 лв. лихва за 1 облигация за 5-те години V.1.5 Общо разходи за лихви за 5-тата година І вариант: 24 930* 42, 98 = 1 071 491,4 лв ІІ вариант: 30 241* 42, 98 = 1 299 758,18 лв V.1.6 Разходи за лихви за всяка от годините 6, 7, 8: І вариант: 24 930 * 7, 61 = 189 717 лв. за всяка 1 от годините от 6-та до 8-ма ІІ вариант: 30 241 * 7, 61 = 230 134 лв. за всяка 1 от годините от 6-та до 8-ма V.1.7 Определяне на разходите за погасяване на главницата в края на 8ма година от Тиж- брой облигации*номинална стойност на 1 облигация І вариант: 24 930 * 125 = 3 116 250 лв. ІІ вариант: 30 241 * 125 = 3 780 125 лв.
  • 14.
    V.2 Финансиране засметка на банков кредит V.2.1 Сума на финансирането І вариант: 6 150 000 лв. ІІ вариант: 3 750 000 лв. V.2.2 Изчисляване на лихвите, които новата фирма дължи за първите 4 години Fv= сумата на транша (1+𝑟) 𝑛 Таблица 13 I вариант Година от Тиж Траншове към началото на съответната година Сложна лихва при r=10 Олихвена сума към края на 4-та година Лихва в лв. 1 2 3 4 5 1 2 500 000 1,4641 3 660 250 1 160 250 2 2 000 000 1,331 2 662 000 662 000 3 1 000 000 1,21 1 210 000 210 000 4 650 000 1,1 715 000 65 000 Общо 6 150 000 8 247 250 2 097 250 Таблица 14 II вариант Година от Тиж Траншове към началото на съответната година Сложна лихва при r=10 Олихвена сума към края на 4-та година Лихва в лв 1 2 3 4 5 1 750 000 1,4641 1 098 075 348 075 2 1 250 000 1,331 1 663 750 413 750 3 1 250 000 1,21 1 512 500 262 500 4 500 000 1,1 550 000 50 000 Общо 3 750 000 4 824 325 1 074 325
  • 15.
    V.2.3 Погасителен планна инвеститорите Таблица 15 Година от Тиж Плащания по главница Остатък по главницата в края на съответната година Лихви върху главница Лихва за гратисен период Лихва върху лихва за гратисен период Общо 1 2 3 4 5 6 7 5 1 537 500 4 612 500 615 000 2 097 250 209 725 2 921 975 6 1 537 500 3 075 000 461 250 -- -- 461 250 7 1 537 500 1 537 500 307 500 -- -- 307 500 8 1 537 500 0 153 750 -- -- 153 750 6 150 000 1 537 500 2 097 250 209 725 3 844 475 Таблица 16 Година от Тиж Плащания по главница Остатък по главницата в края на съответната година Лихви върху главница Лихва за гратисен период Лихва върху лихва за грат. период Общо 1 2 3 4 5 6 7 5 937 500 2 812 500 375 000 1 074 325 107 432,5 1 556 757,5 6 937 500 1 875 000 281 250 281 250 7 937 500 937 500 187 500 187 500 8 937 500 0 93 750 93 750 3 750 000 937 500 1 074 325 107 432,5 2 119 257 ,5 V.2.4 Определяне цената на капитала осигурен с банков кредит Ксr = Lx% (1-T) І вариант 10 * (1 – 0,25)= 7,5% ІІ вариант 10 *(1 – 0,25) = 7,5% V.2.5 Относителен дял на финансиране с банков кредит Wcr = сума на финансиране с банков кредит Обща сума на еднократните разходи ∗ 100 І вариант: Wcr = 6 150 000 32 407 883 ∗ 100 = 18, 98 %
  • 16.
    ІІ вариант: Wcr = 3750 000 39 312 883 ∗ 100 = 9, 54 % V.3 Финансиране за сметка неразпределена печалба на фирмата – майка V.3.1 Сума на финансиране І вариант : 5 000 000 лв ІІ вариант: 3 200 000 лв V.3.2 Разходи по обслужване на източника на капитал Тъй като лихвите не намаляват облагаемия доход те се изчисляват заедно с главницата в края на 5-тата година от Тиж за сметка доходи от дейността. Ако нетният доход през 5-тата година е недостатъчен да се изплати цялата сума остатъка или разликата се изплащат през 6-тата година без да се начисляват допълнителни лихви. І вариант 5 000 000 * (1 + 0, 1)5 = 8 052 550 лв ІІ вариант 3 200 000 * (1 + 0, 1)5 = 5 153 632 лв V.3.3 Цена на финансирането с неразпределена печалба- стойността на лихвеният процент ,който плащаме на фирмата майка Krc = 10 % V.3.4 Относителен дял на финансирането Wrc = ∑ на финансиране Обща сума на еднократните разходи * 100 І вариант : Wrc = 5 000 000 32 407 883 * 100 = 15, 43 % ІІ вариант : Wrc = 3 200 000 39 312 883 * 100 = 8, 14 % V.4 Финансиране за сметка на собствени доходи от дейността V.4.1 Сума на финансирането- по условие = на свързани инвестиции І вариант: 457 883 І- вариант: 457 883
  • 17.
    V.4.2 Относителен дялна финансирането Winc = ∑на финансиране с доход от дейност обща сума на еднократни разходи * 100 І вариант: Winc = 457 883 32 407 883 * 100 = 1, 41 % ІІ вариант: Winc = 457 883 39 312 883 * 100 = 1, 16 % V.4.3 Цена на капитала Kinc = Ke – 0,8% = 15% – 0,8% = 14,2 % V.5 Финансиране за сметка на емисия на обикновени акции V.5.1 Сума на финансирането І вариант: 17 559 212 ІІ вариант: 27 973 712 V.5.2 Относителен дял на финансирането с обикновени акции Wе = ∑ на финансиране от обикновени акции обща сума на еднократни разходи * 100 І вариант: Wе = 17 559 212 32 407 883 * 100 = 54,18 % ІІ вариант: Wе = 27 973 712 39 312 883 * 100 = 71, 16 % V.5.3 Цена на акционерния капитал – Цената на капитала,съставена от обикновени акции е минималната норма на възвръщаемост ,която фирмата трябва да постигне ,така че акциите й да останат с непроменена цена на капиталовите пазари. Ке=D/P + g=30/300 + 0,05=15 % V.6 Изчисляване на среднопретеглената цена на капитала
  • 18.
    Kw= KdWd +KcrWcr + KrcWrc + KincWinc + KeWe Таблица 17 I вариант Източници на финансиране Цена на капитала (в%) Относителен дял (в коефициент) Претеглена стойост (в %) 1 2 3 4 Облигации 3,98 0,1 0,398 Банков кредит 7,50 0,1898 1,4235 Неразпределена печалба 10 0,1543 1,543 Доход от дейността 14,2 0,0141 0,20022 Обикновени акции 15 0,5418 8,127 Сума 11,69 Таблица 18 II вариант Източници на финансиране Цена на капитала (в%) Относителен дял (в коефициент) Претеглена стойост (в %) 1 2 3 4 Облигации 3,98 0,1 0,398 Банков кредит 7,50 0,0954 0,7155 Неразпределена печалба 10 0,0814 0,814 Доход от дейността 14,2 0,016 0,16472 Обикновени акции 15 0,7116 10,674 Сума 12,77 VІ Приходи от продажби А. Методически указания 1. Цената на продукта на външния пазар в лева се определя по следната формула: Цена на продукта аналог * курса лев/долар * индекс на качество 2. Цената на продукта на вътрешния пазар: цена на продукта на външния пазар в лв – разходи по износ + изчислено ДДС Б. Изчисления по проекта VІ.1 Цена на продукта на външния пазар І вариант (53,3 *0,7 + 59* 0,3)*1,4*0,85=65,46 лв/т ІІ вариант ( 53,3*0,7+59*0,3)*1,4*0,87=67,00218 лв/т
  • 19.
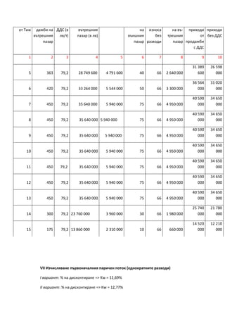
    VІ.2 Цена напродукта на вътрешния пазар І вариант (65,46 – 1)*1,2 = 77,352 лв/т ІІ вариант (67,00218 – 1)*1,2 = 79,2 лв/т VІ.3 Общо приходи от продажби на вътрешния и външния пазар І вариант Таблица 19 Го ди на от Ти ж Про- дажби на вътреш ния пазар Цена с ДДС (в лв/т) Приходи на вътрешния пазар (в лв) ДДС в лв Прода жби на външн ия пазар Цена по износ а без разхо ди Продажби на въ- трешния пазар Общо приходи от продажби с ДДС Общо приходи без ДДС 1 2 3 4 5 6 7 8 9 10 5 363 77,35 28 078 050 4 679 675 40 64,5 2 580 000 30 658 050 25 978 375 6 420 77,35 32 487 000 5 414 500 50 64,5 3 225 000 35 712 000 30 297 500 7 450 77,35 34 807 500 5 801 250 75 64,5 4 837 500 39 645 000 33 843 750 8 450 77,35 34 807 500 5 801 250 75 64,5 4 837 500 39 645 000 33 843 750 9 450 77,35 34 807 500 5 801 250 75 64,5 4 837 500 39 645 000 33 843 750 10 450 77,35 34 807 500 5 801 250 75 64,5 4 837 500 39 645 000 33 843 750 11 450 77,35 34 807 500 5 801 250 75 64,5 4 837 500 39 645 000 33 843 750 12 450 77,35 34 807 500 5 801 250 75 64,5 4 837 500 39 645 000 33 843 750 13 450 77,35 34 807 500 5 801 250 75 64,5 4 837 500 39 645 000 33 843 750 14 300 77,35 23 205 000 3 867 500 30 64,5 1 935 000 25 140 000 21 272 500 15 175 77,35 13 536 250 2 256 042 10 64,5 645 000 14 181 250 11 925 208 ІІ вариант Таблица 20 Година Прод- Цена с Приходи на ДДС в лв Продажби Цена по Продажби Общо Общо
  • 20.
    от Тиж дажбина вътрешния пазар ДДС (в лв/т) вътрешния пазар (в лв) на външния пазар износа без разходи на въ- трешния пазар приходи от продажби с ДДС приходи без ДДС 1 2 3 4 5 6 7 8 9 10 5 363 79,2 28 749 600 4 791 600 40 66 2 640 000 31 389 600 26 598 000 6 420 79,2 33 264 000 5 544 000 50 66 3 300 000 36 564 000 31 020 000 7 450 79,2 35 640 000 5 940 000 75 66 4 950 000 40 590 000 34 650 000 8 450 79,2 35 640 000 5 940 000 75 66 4 950 000 40 590 000 34 650 000 9 450 79,2 35 640 000 5 940 000 75 66 4 950 000 40 590 000 34 650 000 10 450 79,2 35 640 000 5 940 000 75 66 4 950 000 40 590 000 34 650 000 11 450 79,2 35 640 000 5 940 000 75 66 4 950 000 40 590 000 34 650 000 12 450 79,2 35 640 000 5 940 000 75 66 4 950 000 40 590 000 34 650 000 13 450 79,2 35 640 000 5 940 000 75 66 4 950 000 40 590 000 34 650 000 14 300 79,2 23 760 000 3 960 000 30 66 1 980 000 25 740 000 21 780 000 15 175 79,2 13 860 000 2 310 000 10 66 660 000 14 520 000 12 210 000 VІІ Изчисляване първоначалния паричен поток (еднократните разходи) І вариант: % на дисконтиране => Kw = 11,69% ІІ вариант: % на дисконтиране => Кw = 12,77%
  • 21.
    І вариант Таблица 21 Годинаот Тиж Недисконтирани еднократни разходи в лв Дисконтов фактор при Kw= 11,69(1/1+Кw)^n Дисконтирани еднократни разходи в лв 1 2 3 4 0 4 861 182 1 4 861 182 1 6 481 577 0,895 5 803 184 2 6 481 577 0,801 5 198 224 3 11 342 759 0,718 8 144 101 4 2 787 078 0,643 1 792 091,2 5 453 710 0,575 260 883,25 Общо 32 407 883 26 059 667 ІІ вариант Таблица 22 Година от Тиж Недисконтирани еднократни разходи в лв Дисконтов фактор при Kw= 12,77 Дисконтирани еднократни разходи в лв 1 2 3 4 0 3 145 030 1 3 145 031 1 7 862 577 0,887 6 974 106 2 7 862 577 0,787 6 187 848 3 7 862 577 0,698 5 488 079 4 12 124 093 0,619 7 504 814 5 456 029 0,549 250 360 Общо 39 312 883 29 550 237 V III.2 Осъвременяване на нетния доход Таблица 25 I вариант
  • 22.
    Год.Тиж. Неосъвременен нетен доход Дисконтов фактор Осъвременени нетни доходи Акумулирани стойности 50 0,58 0 0 6 2059317 0,52 1060809,643 1060809,643 7 8501802 0,46 3921127,371 4981937,014 8 5786780 0,41 2389585,885 7371522,899 9 10991192 0,37 4063648,883 11435171,78 10 11065329 0,36 4007563,908 15442735,69 11 11594628 0,33 3793713,74 19236449,43 12 11528316 0,30 3407730,356 22644179,79 13 11745233 0,27 3136552,779 25780732,56 14 8275352 0,24 1996498,792 27777231,36 15 5193906 0,22 1132056,946 28909288,3 СУМА 86741855 СУМА 28909288,3 Таблица 26 II вариант Год.Тиж. Неосъвременен нетен доход Дисконтов фактор Осъвременени нетни доходи Акумулирани стойности 5 50 308,25 0,55 27584,89329 27584,89329 6 8814904,25 0,49 4286038,982 4313623,875 7 10358092,5 0,43 4466061,734 8779685,609 8 6909402,75 0,38 2641750,906 11421436,51 9 11765198,5 0,34 3988935,693 15410372,21 10 11818221 0,33 3884182,236 19294554,44 11 11727843,5 0,29 3448580,767 22743135,21 12 11868076,25 0,26 3122319,323 25865454,53 13 12145363,5 0,24 2858790,007 28724244,54 14 8439886 0,21 1777391,371 30501635,91 15 5032500 0,19 948211,0664 31449846,98 СУМА 98 929 796,50 СУМА 31449846,98 39952703,1 ІХ. Икономическа оценка на проекта. Инвестиционните проекти се оценяват от различни гледни точки: финансово- икономическа, социална, екологична, технологична и др. Обобщената оценка на проекта трябва да характеризира степента, в която се очаква да се постигнат поставените цели. Целите
  • 23.
    и качествата напроекта се свързват с помощта на критериите за оценяване и класиране на проектите. 1. Нетна настояща стойност (NPV). При този метод се установява дали сумата от дисконтираните нетни парични доходи за целия срок на икономически живот на проекта е по- голяма, равна или по-малка от сумата от дисконтираните инвестиционни разходи през същия период. Методът на нетната настояща стойност се основава на следните допускания : - Междинните доходи се реинвестират с норма на печалба, равна на приетата за фирмата цена на капитала. - Нетната настояща стойност на обикновен паричен поток монотонно намалява с нарастването на процента на дисконтиране. Критерият за оценяване и класиране на проектите е: максимална положителна нетна настояща стойност. Въз основа на това се извежда следното правило за вземане на решение: - NPV > 0 → проектът се приема; - NPV < 0 → проектът се отхвърля; - NPV = 0 → проектът е на границата изгоден/неизгоден 𝑵𝑷𝑽 = − � 𝑪𝑶𝒕 (𝟏 + 𝒓) 𝒕 + � 𝑪𝑰 𝒕 (𝟏 + 𝒓) 𝒕 𝒎 𝒕=𝒏+𝟏 𝒎 𝒕=𝟎 , І вариант: NPV = - 26 059 667 + 28 909 288,3 = 2 849 621,3 лв. NPV > 0 => Проектът се приема ІІ вариант: NPV = - 29 550 237 + 31 449 846,98 = 1 899 609,98 лв.
  • 24.
    NPV > 0=> Проектът се приема 2. Вътрешна норма на възвръщаемост (IRR). 0 = - t=0∑n (Cot/(1 + IRR)t) + t=1+n∑m (Cit/(1 + IRR)t) Вътрешната норма на възвръщаемост е процентът на дисконтиране, който превръща нетната настояща стойност (NPV) в нула. Чрез този метод се прави опит всички икономически изгоди да се представят чрез едно число. То не зависи от нормата на доходност, която преобладава на капиталовия пазар и затова се нарича вътрешна норма на възвръщаемост. Тази норма е вътрешна за проекта и зависи само от паричните потоци, които го характеризират през целия срок на икономически живот. Критерият за оценяване и класиране на проектите е: максимална положителна разлика между IRR и процента на дисконтиране, използван за изчисляване на NPV. Това е алтернативната цена на капитала – Kw. Правило за вземане на решение по критерия вътрешна норма на възвъщаемост : IRR > Kw → проектът се приема ; IRR< Kw → проектът се отхвърля ; IRR = Kw → проектът е на границата изгоден/неизгоден. Използваме метода на пробите и грешките, при който се търси такава стойност на показателя, че сумата от дисконтираните производствени разходи да е равна на сумата дисконтираните нетни потоци (трансформиране на равенството при NPV). Заместват се различни стойност докато се получи приблизително равенство. Тъй като IRR и за вариант I и вариант II са по-големи от Kw за съответните варианти, и двата проекта се приемат,но тъй като се цели максимална разлика между IRR и Kw ,то по-добрия от двата е вариант I.
  • 25.
    3. Срок навъзвръщане на инвестициите (PBP) Срокът на възвръщане (PBP) е продължителността на периода, необходим, за да се възстановят първоначалните инвестиции за сметка на породения от тях паричен доход. Критерият за оценяване и класиран на проектите е: минимален срок на възвръщане на инвестициите. Той дава възможност да се установи кой е най-добрият проект сред множеството взаимноизключващи се проекти. Но за да се вземе решение, е необходимо наличието на едно важно условие: установено от фирмата или индивидуалния инвеститор гранично условие за ефективност. Това е максималният/нормативният срок на възвръщане РВРн, който в задание В1 е заложен като 8 години. Правило за вземане на решение по метода срок на възвръщане : PBP ≤ PBPн → проектът се приема ; PBP > PBPн → проектът се отхвърля. Таблица 27 1-ви вариант: Год.Тиж. Неосъвременен нетен доход Дисконтов фактор Осъвременени нетни доходи Акумулирани стойности 5 0 0,58 0 0 6 2059317 0,52 1060809,643 1060809,643 7 8501802 0,46 3921127,371 4981937,014 8 5786780 0,41 2389585,885 7371522,899 9 10991192 0,37 4063648,883 11435171,78 10 11065329 0,36 4007563,908 15442735,69 11 11594628 0,33 3793713,74 19236449,43 12 11528316 0,30 3407730,356 22644179,79 13 11745233 0,27 3136552,779 25780732,56 14 8275352 0,24 1996498,792 27777231,36
  • 26.
    15 5193906 0,221132056,946 28909288,3 СУМА 86741855 СУМА 28909288,3 Срокът на възвръщане (PBP) се определя на база на осъвременените към началото на Тиж стойности на еднократните разходи и на нетния доход. Нормативният срок на възвръщане на инвестициите (PBPн) на тази база е 8 години, считано от началото на експлоатацията (началото на 5-та година). От табл. 27 се вижда, че акумулираният доход в края на десетата година от началото на експлоатацията (14-та от Тиж) надвишава стойността на първоначалните инвестици. Но за да се възвърне цялата стойност на инвестицията, са необходими и определен брой месеци. Техният брой се определя по следния начин: определя се средномесечния доход през 10-та от Тиж 1996498,792 : 12 = 164 375 лв. определя се частта от инвестициите, която остава да се възстанови през същата година. 26 059 667 – 25 780 732,56= 278 934 лв.. 278 934 : 164 375 = 1,69 ≈ 2 месеца Следователно срокът на възвръщане е 9 години и 2 месеца. Спазвайки правилото за вземане на решение, би следвало този проект да не се приеме, тъй като PBP › PBPн.
  • 27.
    Таблица 28 2-ривариант: Год.Тиж. Неосъвременен нетен доход Дисконтов фактор Осъвременени нетни доходи Акумулирани стойности 5 50 308,25 0,55 27584,89329 27584,89329 6 8814904,25 0,49 4286038,982 4313623,875 7 10358092,5 0,43 4466061,734 8779685,609 8 6909402,75 0,38 2641750,906 11421436,51 9 11765198,5 0,34 3988935,693 15410372,21 10 11818221 0,33 3884182,236 19294554,44 11 11727843,5 0,29 3448580,767 22743135,21 12 11868076,25 0,26 3122319,323 25865454,53 13 12145363,5 0,24 2858790,007 28724244,54 14 8439886 0,21 1777391,371 30501635,91 15 5032500 0,19 948211,0664 31449846,98 СУМА 98 929 796,50 СУМА 31449846,98 39952703,1 определя се средномесечния доход през 14-та от Тиж 1 777 391,371 : 12 = 148 116 лв. определя се частта от инвестициите, която остава да се възстанови през същата година. 29 550 237 – 28 724 244,54 = 825 992 лв. 825 992 : 148 116 = 5,58 ≈ 6 месеца Следователно срокът на възвръщане е 9 години и 6 месеца.
  • 28.
    Спазвайки правилото завземане на решение, би следвало този проект да не се приеме, тъй като PBP ≤ PBPн. Сравнявайки двата проекта по този показател, за предпочитане е І вариант, защото има по-малък срок на възвръщане в сравнение с IІ вариант. Но по правило и двата варианта би трябвало по този критерий да не се приемат. 4. Коефициент на доходност (PI) При този метод проектите се оценяват от гледна точка на дохода, който осигурява всеки лев първоначални инвестиции. В литературата често е означаван още като коефициент „приходи-разходи” (Benefit-Cost Ratio – BCR). Изчислява се по следната формула: Правилото за вземане на решение по този показател е: PI > 1,0 → проектът се приема; PI < 1,0 → проектът не се приема; PI = 1,0 → проектът е на границата изгоден/неизгоден. І вариант: 𝑃𝐼 = 28909288,3 26059667 = 𝟏, 𝟏𝟏 лв. нетен доход/1 лв. инвестиции PI > 1 следователно проектът се приема. ІІ вариант 𝑃𝐼 = 31 449 846,98 29 550 237 = 1,06 лв. нетен доход/1 лв. инвестиции � 𝑃𝑉𝐶𝑂 ∑ 𝑃𝑉𝐶𝐼 PI=
  • 29.
    PI > 1следователно проектът се приема. ХІ. Сравнителен анализ на оценките на проекта и избор на по-добрия вариант. Сравняване на първи и втори вариант по показателите за икономическа оценка : - нетна настояща стойност (NPV); - вътрешна норма на възвръщаемост (IRR) ; - срок на възвръщане на инвестициите (PBP) ; - коефициент на доходност (PI). Таблица 29 Критерий Показател Стойност на показателя за І вариант Стойност на показателя за ІІ вариант Критерии за класиране на проекта Класиране на вариантит е по критерия Изгоден ли е избрания т вариант 1 2 3 4 5 6 1. Нетна настояща стойност (NPV) 2 849 621,3 1 899 609,98 По-голяма стойност на показателя (NPV) I в.; IІ в. NPV > 0 2.IRR 12,24% (Kw=11,69) 12,93% (Kw 12,77) Максимална Положителна разлика между IRR и процента на дисконтиране( Kw) І в.; ІI в. IRR > k
  • 30.
    3. Срок на възвръщанена инвестициите (PBP) 9г. и 2 м. 9г. и 6 м. По-къс срок за възвръщане на инвестицията Ів; ІI в. Не РBP>PBP норматив но(8 г.) 4. Коефициент на доходност (PI) 1,11 лв. 1,06 лв. По-голяма стойност на показателя І в.; ІI в. PI > 1; По показателя нетна настояща стойност (NPV) по-добър е І вариант, защото NPV І > NPV ІI > 0. По показателя вътрешна норма на възвръщаемост (IRR) по-добър е І вариант, защото разликата между IRR и Kw за I вариант е по-голяма от разликата между IRR и Kw за ІI вариант.  12,24 % - 11,69 % = 0,55 %  12,93 % - 12,77 % = 0,16 % По показателя срок на възвръщане на инвестициите (PBP) и двата варианта не са приемливи, защото надвишават определения нормативен срок на възвръщане на инвестициите(8 години), като с 4 месеца разлика по-добър е І вариант. По показателя коефициент на доходност (PI) и двата варианта на проекта са приемливи, като по-добър е I вариант, защото носи по-висок нетен доход на един лев инвестиция в сравнение с ІI вариант.
  • 31.
    ДОПЪЛНИТЕЛНИ ВЪПРОСИ –В1. ЗАДАЧА 2 Изчислете модифицираната вътрешна норма на възвръщаемост (MIRR) като използвате процента на дисконтиране, приложен при изчисляване на NPV, т.е. цената на капитала (kw). Целта е да се изчисли каква е средногодишната норма на възвръщаемост на капитала, вложен в проекта, като се приема, че нетните парични потоци в резултат на инвестицията могат да се реинвестират и да носят доходи до края на срока на инвестицията. Нормата на възвръщаемост (r), която се очаква от инвестирането на НПП, е равна на среднпретеглената цена на капитала на предприятието. Изчисляването на MIRR се извършва по следния начин:  Изчисляват се настоящите стойности на инвестиционните разходи с норма на дисконтиране r;  Изчислява се сумата на настоящите стойности на инвестиционните разходи;  Изчисляват се бъдещите стойности на нетните парични потоци по проекта към края на срока на получаването на ефект от инвестицията. Бъдещите стойности към края на срока се наричат условно „терминални стойности” (ТС) на НПП. Терминалните стойности се изчисляват с норма на възвръщаемост r.  Изчислява се сумата на терминалните стойности.
  • 32.
     Търси сепри каква норма на сконтиране настоящата стойност на сумата на ТС на НПП ще бъде равна на сумата на настоящите стойности на инвестиционните разходи. където: ∑ 𝑲 𝒏 𝑵 𝒏=𝟎 𝟏 (𝟏+𝒓) 𝒏 - сума на настоящите стойности на инвестиционните разходи; ∑ 𝐹𝑛 (1 + 𝑟) 𝑁−𝑛𝑁 𝑛=1 – сума на терминалните стойности на нетните парични потоци. І вариант: година от Тиж НПП І вариант Сложнолихвен фактор І вариант при Kw=11,69% Бъдеща стойност на НПП І вариант 5 0 3,0209452 0,00 6 2059317 2,7047589 5569955,9 7 8501802 2,4216662 20588526 8 5786780 2,1682033 12546915 9 10991192 1.941269 21336860 10 11065329 1,661659 18386803 11 11594628 1,5011826 17405653 12 11528316 1,3562044 15634752 13 11745233 1,2252276 14390583 14 8275352 1,1069 9159987,1 15 5193906 1 5193906 Сума 86741855 140213941 ∑ 𝑲 𝒏 𝑵 𝒏=𝟎 𝟏 (𝟏+𝒓) 𝒏 = 26 059 667 лв. ∑ 𝐹𝑛 (1 + 𝑟) 𝑁−𝑛𝑁 𝑛=1 = 140213941 лв. � 𝑲 𝒏 𝑵 𝒏=𝟎 𝟏 (𝟏 + 𝒓) 𝒏 = ∑ 𝑭 𝒏(𝟏 + 𝒓) 𝑵−𝒏 (𝟏 + 𝑴𝑰𝑹𝑹) 𝑵
  • 33.
     26 059667 = 140 213 941 (𝟏+𝑴𝑰𝑹𝑹) 𝟏𝟓  (𝟏 + 𝑴𝑰𝑹𝑹) 𝟏𝟓 = 𝟏𝟒𝟎 𝟐𝟏𝟑 𝟗𝟒𝟏 𝟐𝟔 𝟎𝟓𝟗 𝟔𝟔𝟕 => (𝟏 + 𝑴𝑰𝑹𝑹) 𝟏𝟓 = 5,380494202  𝟏 + 𝑴𝑰𝑹𝑹 = �𝟓, 𝟑𝟖𝟎𝟒𝟗𝟒𝟐𝟎𝟐 𝟏𝟓 Въведете уравнение тук.  𝟏 + 𝑴𝑰𝑹𝑹 = 1.1187  𝑴𝑰𝑹𝑹 = 𝟏 − 𝟏, 𝟏𝟏𝟖𝟕 = 𝟎, 𝟏𝟏𝟖𝟕 = 𝟏𝟏. 𝟖𝟕% Извод: MIRR>k, което означава, че проектът е финансово ефективен, защото обещава по-висока възвръщаемост от изискваната за дадения рисков клас и следва да бъде приет. ІІ вариант: год от Тиж НПП І вариант Сложнолихвен фактор І вариант при Kw=12,77% Бъдеща стойност на НПП І вариант 5 50 308,25 3,3261032 167330,43 6 8814904,25 2,9494575 25999181,044 7 10358092,5 2,6154629 27091207,684 8 6909402,75 2,3192897 16024908,704 9 11765198,5 2,0566549 24196954,321 10 11818221 1,7056518 20157769,922 11 11727843,5 1,5328946 17977547,971 12 11868076,25 1,3776352 16349879,598 13 12145363,5 1,2381012 15037189,124 14 8439886 1,1177 9433260,582 15 5032500 1 5032500 Сума 104451664 177467729,4 ∑ 𝑲 𝒏 𝑵 𝒏=𝟎 𝟏 (𝟏+𝒓) 𝒏 = 29 550 237 лв. ∑ 𝐹𝑛 (1 + 𝑟) 𝑁−𝑛𝑁 𝑛=1 = 177 467 729,4 лв.  29 550 237 = 177 467 729,4 (𝟏+𝑴𝑰𝑹𝑹) 𝟏𝟓  (𝟏 + 𝑴𝑰𝑹𝑹) 𝟏𝟓 = 𝟏𝟕𝟕 𝟒𝟔𝟕 𝟕𝟐𝟗,𝟒 𝟐𝟗 𝟓𝟓𝟎 𝟐𝟑𝟕 => (𝟏 + 𝑴𝑰𝑹𝑹) 𝟏𝟓 = 6,005627954  𝟏 + 𝑴𝑰𝑹𝑹 = �𝟔, 𝟎𝟎𝟓𝟔𝟐𝟕𝟗𝟓𝟒 𝟏𝟓  𝟏 + 𝑴𝑰𝑹𝑹 = 1,1269  𝑴𝑰𝑹𝑹 = 𝟏 − 𝟏, 𝟏𝟐𝟔𝟗 = 𝟎, 𝟏𝟐𝟔𝟗 = 𝟏𝟐, 𝟔𝟗 %
  • 34.
    Извод: MIRR<k, коетоозначава, че проектът е финансово неефективен, защото обещава по-ниска възвръщаемост от изискваната за дадения рисков клас и следва да не бъде приет. ЗАДАЧА 3. Два взаимноизключващи се проекта се характеризират със следните парични потоци: Година Проект А Проект В 0 -100 000 лв. -96 000 лв. 1 10 000 лв. 160 000 лв. 2 350 000 лв. 160 000 лв. Докажете дали е налице точка на Фишер и ако има такава, при какъв процент на дисконтиране. Покажете решението и графично. Какво е значението на точката на Фишер при сравнението на вариантите?  Изчисляване на IRR IRRI => −𝟏𝟎𝟎 𝟎𝟎𝟎 (𝟏+𝑰𝑹𝑹) 𝟎 + 𝟏𝟎 𝟎𝟎𝟎 (𝟏+𝑰𝑹𝑹) 𝟏 + 𝟑𝟓𝟎 𝟎𝟎𝟎 (𝟏+𝑰𝑹𝑹) 𝟐=92,15% IRRII => −𝟗𝟔 𝟎𝟎𝟎 (𝟏+𝑰𝑹𝑹) 𝟎 + 𝟏𝟔𝟎 𝟎𝟎𝟎 (𝟏+𝑰𝑹𝑹) 𝟏 + 𝟏𝟔𝟎 𝟎𝟎𝟎 (𝟏+𝑰𝑹𝑹) 𝟐=136,99%  При r=0 NPVI =-100 000 + 10 000/(1+0)^1 + 350 000/(1+0)^2 = 260 000 лв. NPVII ==-96 000 + 160 000/(1+0)^1 + 160 000/(1+0)^2 = 224 000 лв Вижда, че Вариант II има по-голяма IRR от Вариант I  Профилите на NPV на двата проекта би трябвало да се пресичат при процент по-малък от 92,15%  Изчисляваме стойността на f, прилагайки формулата NPVI = NPVII −𝟏𝟎𝟎 𝟎𝟎𝟎 (𝟏+𝒇) 𝟎 + 𝟏𝟎 𝟎𝟎𝟎 (𝟏+𝒇) 𝟏 + 𝟑𝟓𝟎 𝟎𝟎𝟎 (𝟏+𝒇) 𝟐 = −𝟗𝟔 𝟎𝟎𝟎 (𝟏+𝒇) 𝟎 + 𝟏𝟔𝟎 𝟎𝟎𝟎 (𝟏+𝒇) 𝟏 + 𝟏𝟔𝟎 𝟎𝟎𝟎 (𝟏+𝒇) 𝟐
  • 35.
    4 000 = 𝟏𝟓𝟎𝟎𝟎𝟎 (𝟏+𝒇) 𝟏 - 𝟏𝟗𝟎 𝟎𝟎𝟎 (𝟏+𝒇) 𝟐 f = 22,655% При дисконтов процент 22,655% NPVA : 𝑁𝑃𝑉𝐼 = −100 000 + 10 000 (1 + 0.227)1 + 350 000 (1 + 0.227)2 𝑁𝑃𝑉𝐼 = −100 000 + 8150 + 232 476 = 𝟏𝟒𝟎 𝟖𝟎𝟎 лв. При дисконтов процент 22,655% NPVБ 𝑁𝑃𝑉𝐼𝐼 = −96 000 + 160 000 (1 + 0.227)1 + 160 000 (1 + 0.227)2 𝑁𝑃𝑉𝐼𝐼 = −96 000 + 130 447 + 106 353 = 𝟏𝟒𝟎 𝟖𝟎𝟎 лв. При изискваната норма на възвръщаемост по- малка от 22,655%, вариант 1 ще бъде по-добър по критерия NPV, докато по критерия IRR по-добър ще е вариант 2.
  • 36.
     Предвид известнитени стойности на NPV за двата варианта изчерт аваме профилите: Точката Фишер възниква при онзи процент на дисконтиране,при който ННС при 2-та варианта е една и съща.При наличие на изискан процент на възвръщаемост по-малък от точката на Фишер е налице конфликт между оценките по NPV и IRR за двата варианта.Точката е важна поради това,че при сравнението на NPV-тата предпочитанията се прехвърлят от единият проект към другия. 260 000 224 000 140 800 22,65 92,15 136,99 NPV Процент на дисконтиране Точка на Фишър