Page1 of 8
Decision Analysis: Decision analysis is a setof quantitative decision making techniques for decision situations
in which uncertainty exists.
Now, uncertainty can be classified into two ways/ types:
1. Subjective Probability: Subjective probability is the degree of belief to occurrence of the event.
2. Objective Probability: Objective probability is the probability which can be derived either based on
historical occurrences or based on experimentation. Alternatively can be derived from statistical
formula.
Consistency requirement: If the probability ofan eventA is 0.65, then the probability of event B must be 0.35.
i.e. P(A) + P(B) = 1
Mathematically, if A, B Є E
Then
A, B  E
A  B = φ
P(A) + P(B) = 1, which is called Consistency requirements.
# Elements of Decision Problems:
A decision problem is usually viewed as having four common elements
1. The alternative course of action: The alternative course of action involves two or more options or
alternative course of action. One and only one of these alternatives must be selected.
2. The states of nature: The state of nature are factors that affect the outcome of a decision but are
beyond control of the decision maker, such as rain, inflation, political development etc.
3. Payoff table: A payofftable is the combination for each possible combination of alternative course
of action and state of nature.
4. Uncertainty: The decision maker is uncertain about what state of nature will occur. However
choose the criterion that results in the largest payoff.
#Types of Decision –Making Environment:
The types ofdecisions people make depend on how much knowledge or information they have about the situation.
Three decision making environments are defined and explained as follows:
Type 1: Decision Making Under Certainty: In the environmentof decision making under certainty, decision makers
know with certainty the consequence of every alternative that will maximize their- well – being or will result in the
best outcome. Let’s say that you have $ 1000 to invest for a one year period. One alternative is to open a savings
account paying 6% interest and another is to invest in a government treasury bond paying 10% interest. Both
investment are secure and guaranteed, but as treasury bond will pay a higher return, you may choose that one.
Page2 of 8
Type 2: Decision Making Under Risk: In decision making under risk, the decision maker knows the probability of
occurrence ofeach outcome. For example, thatthe probability ofbeing dealt a club is 0.25. The probability of rolling
a 5 on a die is 1/6. In decision making under risk, the decision maker attempts to maximize his or her expected well-
being. Decision theory models for business problems in this environment typically employ two equivalent criteria:
maximization of expected monetary value and minimization of expected loss.
Type 3: Decision Making Under Uncertainty: In decision making under uncertainty the decision maker does not
know the probabilities ofthe various outcomes. As an example, the probability that a BNP personnel will be president
of Bangladesh 25 years from now is not known. Sometimes itis impossible to assess the probability of success of a
new undertaking or product.
Decision Making Under Risk
Decision making under risk is a probabilistic decision situation. Several possible states of nature may occur, each
with a given probability.
There are three types of methods or criteria available, which could be of help to the decision maker.
1. Expected Monetary Value: EMV is the weighted sum of possible payoffs for each alternative.
i.e. EMV (alternative i ) = (Payoff of first state of nature) x ( Probability of first state of nature)
+(Payoff of second state of nature)x(Probability of second state of nature)
+ …. + (Payoff of last state of nature)x(Probability of last state of nature).
Example: 1 Mc Douglas a national chain fast food restaurant, has been offering a traditional selection of
hamburgers, French fries, soft drinks etc. The company want to introduce breakfast items to the
menu.
Breakfast items are relatively easy to prepare and would not require a large capital outlay for
additional cooking equipment. Most important such items would be sold in the morning when the
demand for the company’s traditional products has been very week. However, because
a. Many people are known to skip breakfast and
b. The company does not know how competitors may react, the demand for the new
products is uncertain.
So, they consider three levels of customer demand- strong, average and weak.
There are two alternative acts available to Mc Douglas
A1 : Introduce breakfast items.
A2 : Do not introduce breakfast items.
And three possible states of nature
S1 : Strong demand
S2 : Average demand
S3 : Weak demand
The management developed a set of payoffs for each act / state combination. The payoff
considered such items as capital outlay, depreciation policies, training costs, additional advertising
expenditures and so on. Act A2 , do not introduce breakfast items, has zero payoffs for all states
since three would be no incremental revenue or cost associated with this decision.
Page3 of 8
Solution: The payoff table according to the data is
State
(demand)
Act
A1
(Introduced)
A2
(Not Introduced)
Strong, S1: 30 0
Average, S2: 5 0
Weak, S3: -15 0
Status Quo, means do not introduced anything.
Now the management assigns the subjective probability distribution based on the beliefs.
State
(demand) Probability
Strong, S1: 0.2
Average, S2: 0.4
Weak, S3: 0.4
Hence the payoff matrix
S Act
A1 A2 P (S)
S1: 30 0 0.2
S2: 5 0 0.4
S3: -15 0 0.4
A1 is the optimal act. So, introduced breakfast items.
Example:2
A newspaper boy has the following probabilities of selling a magazine.
No. of copies Sold Probabilities
10 0.10
11 0.15
12 0.25
13 0.25
14 0.30
Cost of a copy is 30 paisa, sale price is 50 paisa. He cannot return unsold copies. How many copies should he
order?
Solution: Sales magnitude are 10,11,12,13,14 . There is no reason to buy less than 10 or more than 14.
Now from any possible combination of supply and demand. The conditional profit table is
1. Stocking of10 copies each day will always resultin a profitof 200 paisa irrespective of demand. Even if
the demand on some day is 13 copies, he can sell only 10 and hence his conditional profit is 200 paisa.
EMV (A1) = 30 (.2) + 5 (.4) – 15 (.4)
= 6 + 2 – 6 = $2
EMV (A2) = 0(.2) + 0 (.4) + 0(.4) = 0
Page4 of 8
2. When he stocks 11 copies his profit will be 220 paisa on days when buyers request 11, 12, 13 or 14
copies. But on days when he has 11 copies on stock and buyers buy only 10 copies, his profit
decreases to (200 – 30) = 170 paisa.
Thus the conditional profit in paisa is given by Payoff = 20 x copies sold – 30 x copies unsold.
Conditional profit table
Possible Demand
(no. of copies )
Proba
bility
Possible Stock action
10 Copies 11 Copies 12 Copies 13 Copies 14 Copies
10 0.10 200 170 140 110 80
11 0.15 200 220 190 160 130
12 0.20 200 220 240 210 180
13 0.25 200 220 240 260 230
14 0.30 200 220 240 260 280
Expected Monetary Value:
EMV (10) = .10 (200) + .15 (200) + .20 (200) + .25 (200) + .30 (200) = 20 + 30 + 40 + 50 + 60 = 200
EMV (11) = .10 (170) + .15 (220) + .20 (220) + .25 (220) + .30 (220) = 17 + 33 + 44 + 55 + 66 = 215
EMV (12) = .10 (140) + .15 (190) + .20 (240) + .25 (240) + .30 (240) = 14 + 28.5 + 48 + 60 + 72 = 222.5
EMV (13) = .10 (110) + .15 (160) + .20 (210) + .25 (260) + .30 (260) = 11 + 24 + 42 + 65 + 78 = 220
EMV (14) = .10 (80) + .15 (130) + .20 (180) + .25 (230) + .30 (280) = 8 + 19.5 + 36 + 57.5 + 84 = 205
The news boy must, therefore order 12 copies to earn the highest possible average daily profit of 222.5 paisa.
2. Expected Opportunity Loss (EOL): It is an approach alternative to the EMV approach.
Opportunity loss, sometimes called regret, refers to the difference between the optimal profit or
payoff and the actual payoff received. In other words, EOL is the cost of not picking the best
solution.
The minimum expected opportunity loss is found by constructing and opportunity loss table and
computing EOL for each alternative. The steps are:
i. The first step is to create the opportunity loss table. This is done by determining the opportunity
loss for not choosing the best alternative for each state of nature.
Define Lij = as the opportunity loss under state Si for act Aj and Li j = *
iij MM 
Where Mi* =The best pay
off under state Si.
ii. The second step is to compute EOL by multiplying the probability ofeach state of nature times the
appropriate opportunity loss value.
Example: 3 Mc Dougla’s payoff matrix
S Act
A1 A2 P (S)
Page5 of 8
S1: 30 0 0.2
S2: 5 0 0.4
S3: -15 0 0.4
Now, Li j = *
iij MM  i.e. L11 = 03030*
111 MM , L12 = 30300*
112 MM ,
L21 = 055*
221 MM , L22 = 550*
222 MM ,
L31 = 15015*
331 MM , L32 = 000*
332 MM ,
Hence the opportunity loss table on the basis of the original matrix is
S Act
A1 A2 P (S)
S1: 0 30 0.2
S2: 0 5 0.4
S3: 15 0 0.4
Hence A1 is the optimal act as it minimize EOL.
Example:4
The Conditional Profit Table of the news paper boy is given
Possible Demand
(no. of copies )
Proba
bility
Possible Stock action
10 Copies 11 Copies 12 Copies 13 Copies 14 Copies
10 0.10 200 170 140 110 80
11 0.15 200 220 190 160 130
12 0.20 200 220 240 210 180
13 0.25 200 220 240 260 230
14 0.30 200 220 240 260 280
The Opportunity Loss Table / Conditional Loss table (Paisa)
Possible Demand
(no. of copies )
Proba
bility
Possible Stock action
10 Copies 11 Copies 12 Copies 13 Copies 14 Copies
10 0.10 0 30 60 90 120
11 0.15 20 0 30 60 90
12 0.20 40 20 0 30 60
13 0.25 60 40 20 0 30
14 0.30 80 60 40 20 0
Hence EOL (10) = .10 (0) + .15 (20) + .20 (40) + .25 (60) + .30 (80) = 0 + 3 + 8 + 15 + 24 = 50 (Paisa)
EOL (11) = .10 (30) + .15 (0) + .20 (20) + .25 (40) + .30 (60) = 3 + 0 + 4 + 10 + 18 = 35
EOL (12) = .10 (60) + .15 (30) + .20 (0) + .25 (20) + .30 (40) = 6 + 4.5 + 0 + 5 + 12 = 27.5
EOL (13) = .10 (90) + .15 (60) + .20 (30) + .25 (0) + .30 (20) = 9 + 9 + 6 + 0+ 6= 30
EOL (14) = .10 (120) + .15 (90) + .20 (60) + .25 (30) + .30 (0) = 12 + 13.5 + 12 + 7.5+ 0= 45
Hence stocking 12 copies each day will minimize expected opportunity loss, which is 27.5 paisa.
3. Expected Value of Perfect Information: (EVPI)
Complete and accurate information aboutthe future demand, referred to as perfectinformation
would remove all uncertainty form the problem. With this perfectinformation, the decision maker
would know in advance exactly aboutthe future demand.
EOL (A1) = 0 (.2) + 0(.4) + 15 (.4)
= $6
EOL (A2) = 30(.2) + 5 (.4) + 0(.4) = 8
Page6 of 8
EVPI represents the maximum amount he would pay to getthe additional information on which may
be based the decision alternative.
EVPI = Expected profit with perfect information – EMV i.e EVPI = EPPI – EMV (max)
Example: 5 Given Mc Douglas payoffmatrix
S Act
A1 A2 P (S)
S1: 30 0 0.2
S2: 5 0 0.4
S3: -15 0 0.4
Let Mi* = Maximum payoffor bestoutcome for first state ofnature.
 )(.8
ii SPMEPPI
S Mi* P (Si) )(.8
ii SPM
S1: 30 0.2 6
S2: 5 0.4 2
S3: 0 0.4 0
 )(.8
ii SPM = 8
8 EPPI Also Max EMV = 2
6$28 EVPI * EVPIis sometimes termed the costofuncertainty.
Exercise: 1 An ice-cream retailer buys ice-cream ata costofTk. 5 per cup and sells itfor Tk. 8 per cup; any
remaining unsold at the end ofthe day can be disposed ofata salvage price ofTk. 2 per cup. Pastsales have
ranged between 15 and 18 cups per day; there is no reason to believe thatsales volume will take on any other
magnitude in future. Find the EMV, EOL and EVPI if the sale history has the following probabilities:
Market size: 15 16 17 18
Probability: 0.10 0.20 0.40 0.30
Decision Making Under Uncertainty
When a manager cannot assess the outcome probability with confidence or when virtually no probability data are
available, other decision criteria are required. This type ofproblem has been referred to as decision making under
uncertainty. The criteria or method that we cover in this section include
1. Maximax (optimistic)
Page7 of 8
2. Maximin (pessimistic)
3. Minimax
4. Hurwicz Criterion (Criterion of realism)
5. Laplace Criterion or Equally likely criterion or Criterion ofRationality.
1. Maximax (Optimistic) Criterion: Under this the decision maker finds the maximum possible payofffor each
alternative and then chooses the alternative with maximum payoff within this group.
2. Maximin (Pessimistic) Criterion: To use this criterion the decision maker finds the minimum possible
payofffor each alternative and then chooses the alternative with maximum payoffwithin this group.
3. Minimax Criterion : The decision maker tries to minimize the regretbefore actually selecting a particular
alternative. For this he determines the maximum regretamount for each alternative and then choose the
alternative with the minimum of the above maximum regrets.
4. Hurwicz Criterion: Also called the weighted average criterion. Itis a compromise between the maximax and
maximin decision criteria. It takes both of them into account by assigning them weights in accordance with
the degree ofoptimism or pessimism.
Select α = Index of optimism, If α = 0 pessimistic, then α = 1 optimistic.
Hence α is specified (0,1) range.
Also α = 0.5 implies neither optimistic nor pessimistic.
5. Laplace Criterion: It is based on what is known as the principle ofinsufficientreason. Because ofthe
probability distribution ofthe states ofnature is not known, the criterion assigns equal probabilities toa ll the
events ofeach alternative and selectthe alternative associated with the maximum expected payoff.
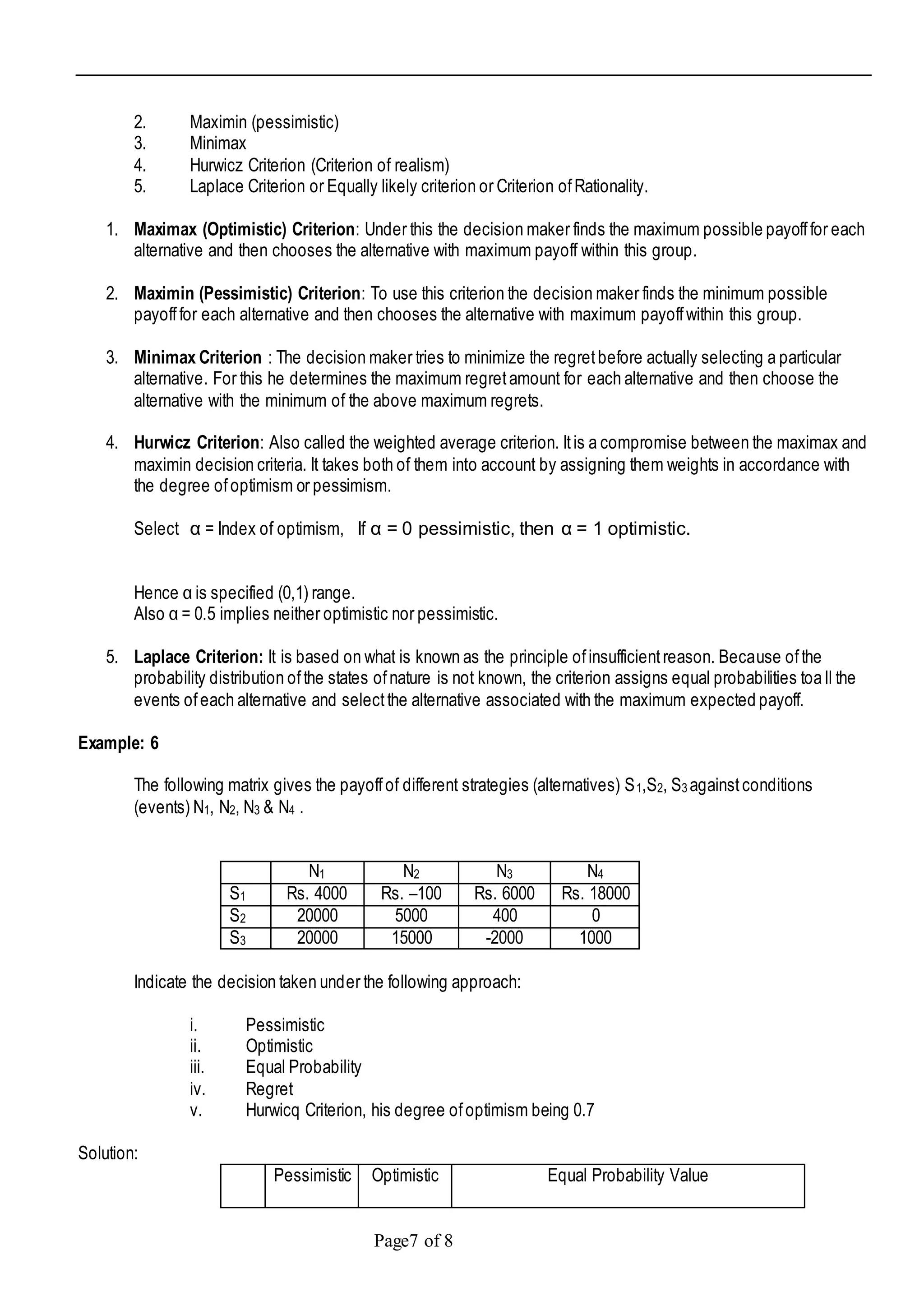
Example: 6
The following matrix gives the payoffof different strategies (alternatives) S1,S2, S3 againstconditions
(events) N1, N2, N3 & N4 .
N1 N2 N3 N4
S1 Rs. 4000 Rs. –100 Rs. 6000 Rs. 18000
S2 20000 5000 400 0
S3 20000 15000 -2000 1000
Indicate the decision taken under the following approach:
i. Pessimistic
ii. Optimistic
iii. Equal Probability
iv. Regret
v. Hurwicq Criterion, his degree ofoptimism being 0.7
Solution:
Pessimistic Optimistic Equal Probability Value
Page8 of 8
S1 -100 18000 Rs. ¼ ( 4000 – 100 + 6000 + 18000) = 6975
S2 0 20000 Rs. ¼ ( 20000 + 5000 + 400 + 0) = 6350
S3 -2000 20000 Rs. ¼ ( 20000 + 15000 -2000 + 1000) = 8500
i. S2 is the optimal decision.
ii. S2 or S3 is the optimal decision.
iii. S3 is the alternative to be selected.
iv. Under regretcriterion
i th regret= (maximum payoff – i th payoff) for the jth event.
N1 N2 N3 N4 Maximum
regret
S1 16000 15100 0 0 16000
S2 0 10000 5600 18000 18000
S3 0 0 8000 17000 17000
The decision alternative S1 would be chosen since itcorresponds to the minimal ofthe maximum possible
regrets.
v. For the given payoffmatrix the minimum and the maximum payofffor each alternative are
given below.
Minimum
payoff
Maximum
payoff
Payoff = α. Maximum + (1- α) minimum
Where α = 0.7
S1 -100 18000 .7 x 18000 + .3 x (-100) = 12570
S2 0 20000 .7 x 20000 + .3 (0) = 14000
S3 -2000 20000 .7 x 20000 + .3 (-2000) = 13400
Thus under Hurwicz rule, alternative S2 should be chosen as itis associated with the
highestpayoffof Rs. 14000.
Exercise: Taylor, p-42. No. S1-1, S1-2, S1-3,S1-4,S1-12, S1-17, 1-18, 1-21

Decision analysis

  • 1.
    Page1 of 8 DecisionAnalysis: Decision analysis is a setof quantitative decision making techniques for decision situations in which uncertainty exists. Now, uncertainty can be classified into two ways/ types: 1. Subjective Probability: Subjective probability is the degree of belief to occurrence of the event. 2. Objective Probability: Objective probability is the probability which can be derived either based on historical occurrences or based on experimentation. Alternatively can be derived from statistical formula. Consistency requirement: If the probability ofan eventA is 0.65, then the probability of event B must be 0.35. i.e. P(A) + P(B) = 1 Mathematically, if A, B Є E Then A, B  E A  B = φ P(A) + P(B) = 1, which is called Consistency requirements. # Elements of Decision Problems: A decision problem is usually viewed as having four common elements 1. The alternative course of action: The alternative course of action involves two or more options or alternative course of action. One and only one of these alternatives must be selected. 2. The states of nature: The state of nature are factors that affect the outcome of a decision but are beyond control of the decision maker, such as rain, inflation, political development etc. 3. Payoff table: A payofftable is the combination for each possible combination of alternative course of action and state of nature. 4. Uncertainty: The decision maker is uncertain about what state of nature will occur. However choose the criterion that results in the largest payoff. #Types of Decision –Making Environment: The types ofdecisions people make depend on how much knowledge or information they have about the situation. Three decision making environments are defined and explained as follows: Type 1: Decision Making Under Certainty: In the environmentof decision making under certainty, decision makers know with certainty the consequence of every alternative that will maximize their- well – being or will result in the best outcome. Let’s say that you have $ 1000 to invest for a one year period. One alternative is to open a savings account paying 6% interest and another is to invest in a government treasury bond paying 10% interest. Both investment are secure and guaranteed, but as treasury bond will pay a higher return, you may choose that one.
  • 2.
    Page2 of 8 Type2: Decision Making Under Risk: In decision making under risk, the decision maker knows the probability of occurrence ofeach outcome. For example, thatthe probability ofbeing dealt a club is 0.25. The probability of rolling a 5 on a die is 1/6. In decision making under risk, the decision maker attempts to maximize his or her expected well- being. Decision theory models for business problems in this environment typically employ two equivalent criteria: maximization of expected monetary value and minimization of expected loss. Type 3: Decision Making Under Uncertainty: In decision making under uncertainty the decision maker does not know the probabilities ofthe various outcomes. As an example, the probability that a BNP personnel will be president of Bangladesh 25 years from now is not known. Sometimes itis impossible to assess the probability of success of a new undertaking or product. Decision Making Under Risk Decision making under risk is a probabilistic decision situation. Several possible states of nature may occur, each with a given probability. There are three types of methods or criteria available, which could be of help to the decision maker. 1. Expected Monetary Value: EMV is the weighted sum of possible payoffs for each alternative. i.e. EMV (alternative i ) = (Payoff of first state of nature) x ( Probability of first state of nature) +(Payoff of second state of nature)x(Probability of second state of nature) + …. + (Payoff of last state of nature)x(Probability of last state of nature). Example: 1 Mc Douglas a national chain fast food restaurant, has been offering a traditional selection of hamburgers, French fries, soft drinks etc. The company want to introduce breakfast items to the menu. Breakfast items are relatively easy to prepare and would not require a large capital outlay for additional cooking equipment. Most important such items would be sold in the morning when the demand for the company’s traditional products has been very week. However, because a. Many people are known to skip breakfast and b. The company does not know how competitors may react, the demand for the new products is uncertain. So, they consider three levels of customer demand- strong, average and weak. There are two alternative acts available to Mc Douglas A1 : Introduce breakfast items. A2 : Do not introduce breakfast items. And three possible states of nature S1 : Strong demand S2 : Average demand S3 : Weak demand The management developed a set of payoffs for each act / state combination. The payoff considered such items as capital outlay, depreciation policies, training costs, additional advertising expenditures and so on. Act A2 , do not introduce breakfast items, has zero payoffs for all states since three would be no incremental revenue or cost associated with this decision.
  • 3.
    Page3 of 8 Solution:The payoff table according to the data is State (demand) Act A1 (Introduced) A2 (Not Introduced) Strong, S1: 30 0 Average, S2: 5 0 Weak, S3: -15 0 Status Quo, means do not introduced anything. Now the management assigns the subjective probability distribution based on the beliefs. State (demand) Probability Strong, S1: 0.2 Average, S2: 0.4 Weak, S3: 0.4 Hence the payoff matrix S Act A1 A2 P (S) S1: 30 0 0.2 S2: 5 0 0.4 S3: -15 0 0.4 A1 is the optimal act. So, introduced breakfast items. Example:2 A newspaper boy has the following probabilities of selling a magazine. No. of copies Sold Probabilities 10 0.10 11 0.15 12 0.25 13 0.25 14 0.30 Cost of a copy is 30 paisa, sale price is 50 paisa. He cannot return unsold copies. How many copies should he order? Solution: Sales magnitude are 10,11,12,13,14 . There is no reason to buy less than 10 or more than 14. Now from any possible combination of supply and demand. The conditional profit table is 1. Stocking of10 copies each day will always resultin a profitof 200 paisa irrespective of demand. Even if the demand on some day is 13 copies, he can sell only 10 and hence his conditional profit is 200 paisa. EMV (A1) = 30 (.2) + 5 (.4) – 15 (.4) = 6 + 2 – 6 = $2 EMV (A2) = 0(.2) + 0 (.4) + 0(.4) = 0
  • 4.
    Page4 of 8 2.When he stocks 11 copies his profit will be 220 paisa on days when buyers request 11, 12, 13 or 14 copies. But on days when he has 11 copies on stock and buyers buy only 10 copies, his profit decreases to (200 – 30) = 170 paisa. Thus the conditional profit in paisa is given by Payoff = 20 x copies sold – 30 x copies unsold. Conditional profit table Possible Demand (no. of copies ) Proba bility Possible Stock action 10 Copies 11 Copies 12 Copies 13 Copies 14 Copies 10 0.10 200 170 140 110 80 11 0.15 200 220 190 160 130 12 0.20 200 220 240 210 180 13 0.25 200 220 240 260 230 14 0.30 200 220 240 260 280 Expected Monetary Value: EMV (10) = .10 (200) + .15 (200) + .20 (200) + .25 (200) + .30 (200) = 20 + 30 + 40 + 50 + 60 = 200 EMV (11) = .10 (170) + .15 (220) + .20 (220) + .25 (220) + .30 (220) = 17 + 33 + 44 + 55 + 66 = 215 EMV (12) = .10 (140) + .15 (190) + .20 (240) + .25 (240) + .30 (240) = 14 + 28.5 + 48 + 60 + 72 = 222.5 EMV (13) = .10 (110) + .15 (160) + .20 (210) + .25 (260) + .30 (260) = 11 + 24 + 42 + 65 + 78 = 220 EMV (14) = .10 (80) + .15 (130) + .20 (180) + .25 (230) + .30 (280) = 8 + 19.5 + 36 + 57.5 + 84 = 205 The news boy must, therefore order 12 copies to earn the highest possible average daily profit of 222.5 paisa. 2. Expected Opportunity Loss (EOL): It is an approach alternative to the EMV approach. Opportunity loss, sometimes called regret, refers to the difference between the optimal profit or payoff and the actual payoff received. In other words, EOL is the cost of not picking the best solution. The minimum expected opportunity loss is found by constructing and opportunity loss table and computing EOL for each alternative. The steps are: i. The first step is to create the opportunity loss table. This is done by determining the opportunity loss for not choosing the best alternative for each state of nature. Define Lij = as the opportunity loss under state Si for act Aj and Li j = * iij MM  Where Mi* =The best pay off under state Si. ii. The second step is to compute EOL by multiplying the probability ofeach state of nature times the appropriate opportunity loss value. Example: 3 Mc Dougla’s payoff matrix S Act A1 A2 P (S)
  • 5.
    Page5 of 8 S1:30 0 0.2 S2: 5 0 0.4 S3: -15 0 0.4 Now, Li j = * iij MM  i.e. L11 = 03030* 111 MM , L12 = 30300* 112 MM , L21 = 055* 221 MM , L22 = 550* 222 MM , L31 = 15015* 331 MM , L32 = 000* 332 MM , Hence the opportunity loss table on the basis of the original matrix is S Act A1 A2 P (S) S1: 0 30 0.2 S2: 0 5 0.4 S3: 15 0 0.4 Hence A1 is the optimal act as it minimize EOL. Example:4 The Conditional Profit Table of the news paper boy is given Possible Demand (no. of copies ) Proba bility Possible Stock action 10 Copies 11 Copies 12 Copies 13 Copies 14 Copies 10 0.10 200 170 140 110 80 11 0.15 200 220 190 160 130 12 0.20 200 220 240 210 180 13 0.25 200 220 240 260 230 14 0.30 200 220 240 260 280 The Opportunity Loss Table / Conditional Loss table (Paisa) Possible Demand (no. of copies ) Proba bility Possible Stock action 10 Copies 11 Copies 12 Copies 13 Copies 14 Copies 10 0.10 0 30 60 90 120 11 0.15 20 0 30 60 90 12 0.20 40 20 0 30 60 13 0.25 60 40 20 0 30 14 0.30 80 60 40 20 0 Hence EOL (10) = .10 (0) + .15 (20) + .20 (40) + .25 (60) + .30 (80) = 0 + 3 + 8 + 15 + 24 = 50 (Paisa) EOL (11) = .10 (30) + .15 (0) + .20 (20) + .25 (40) + .30 (60) = 3 + 0 + 4 + 10 + 18 = 35 EOL (12) = .10 (60) + .15 (30) + .20 (0) + .25 (20) + .30 (40) = 6 + 4.5 + 0 + 5 + 12 = 27.5 EOL (13) = .10 (90) + .15 (60) + .20 (30) + .25 (0) + .30 (20) = 9 + 9 + 6 + 0+ 6= 30 EOL (14) = .10 (120) + .15 (90) + .20 (60) + .25 (30) + .30 (0) = 12 + 13.5 + 12 + 7.5+ 0= 45 Hence stocking 12 copies each day will minimize expected opportunity loss, which is 27.5 paisa. 3. Expected Value of Perfect Information: (EVPI) Complete and accurate information aboutthe future demand, referred to as perfectinformation would remove all uncertainty form the problem. With this perfectinformation, the decision maker would know in advance exactly aboutthe future demand. EOL (A1) = 0 (.2) + 0(.4) + 15 (.4) = $6 EOL (A2) = 30(.2) + 5 (.4) + 0(.4) = 8
  • 6.
    Page6 of 8 EVPIrepresents the maximum amount he would pay to getthe additional information on which may be based the decision alternative. EVPI = Expected profit with perfect information – EMV i.e EVPI = EPPI – EMV (max) Example: 5 Given Mc Douglas payoffmatrix S Act A1 A2 P (S) S1: 30 0 0.2 S2: 5 0 0.4 S3: -15 0 0.4 Let Mi* = Maximum payoffor bestoutcome for first state ofnature.  )(.8 ii SPMEPPI S Mi* P (Si) )(.8 ii SPM S1: 30 0.2 6 S2: 5 0.4 2 S3: 0 0.4 0  )(.8 ii SPM = 8 8 EPPI Also Max EMV = 2 6$28 EVPI * EVPIis sometimes termed the costofuncertainty. Exercise: 1 An ice-cream retailer buys ice-cream ata costofTk. 5 per cup and sells itfor Tk. 8 per cup; any remaining unsold at the end ofthe day can be disposed ofata salvage price ofTk. 2 per cup. Pastsales have ranged between 15 and 18 cups per day; there is no reason to believe thatsales volume will take on any other magnitude in future. Find the EMV, EOL and EVPI if the sale history has the following probabilities: Market size: 15 16 17 18 Probability: 0.10 0.20 0.40 0.30 Decision Making Under Uncertainty When a manager cannot assess the outcome probability with confidence or when virtually no probability data are available, other decision criteria are required. This type ofproblem has been referred to as decision making under uncertainty. The criteria or method that we cover in this section include 1. Maximax (optimistic)
  • 7.
    Page7 of 8 2.Maximin (pessimistic) 3. Minimax 4. Hurwicz Criterion (Criterion of realism) 5. Laplace Criterion or Equally likely criterion or Criterion ofRationality. 1. Maximax (Optimistic) Criterion: Under this the decision maker finds the maximum possible payofffor each alternative and then chooses the alternative with maximum payoff within this group. 2. Maximin (Pessimistic) Criterion: To use this criterion the decision maker finds the minimum possible payofffor each alternative and then chooses the alternative with maximum payoffwithin this group. 3. Minimax Criterion : The decision maker tries to minimize the regretbefore actually selecting a particular alternative. For this he determines the maximum regretamount for each alternative and then choose the alternative with the minimum of the above maximum regrets. 4. Hurwicz Criterion: Also called the weighted average criterion. Itis a compromise between the maximax and maximin decision criteria. It takes both of them into account by assigning them weights in accordance with the degree ofoptimism or pessimism. Select α = Index of optimism, If α = 0 pessimistic, then α = 1 optimistic. Hence α is specified (0,1) range. Also α = 0.5 implies neither optimistic nor pessimistic. 5. Laplace Criterion: It is based on what is known as the principle ofinsufficientreason. Because ofthe probability distribution ofthe states ofnature is not known, the criterion assigns equal probabilities toa ll the events ofeach alternative and selectthe alternative associated with the maximum expected payoff. Example: 6 The following matrix gives the payoffof different strategies (alternatives) S1,S2, S3 againstconditions (events) N1, N2, N3 & N4 . N1 N2 N3 N4 S1 Rs. 4000 Rs. –100 Rs. 6000 Rs. 18000 S2 20000 5000 400 0 S3 20000 15000 -2000 1000 Indicate the decision taken under the following approach: i. Pessimistic ii. Optimistic iii. Equal Probability iv. Regret v. Hurwicq Criterion, his degree ofoptimism being 0.7 Solution: Pessimistic Optimistic Equal Probability Value
  • 8.
    Page8 of 8 S1-100 18000 Rs. ¼ ( 4000 – 100 + 6000 + 18000) = 6975 S2 0 20000 Rs. ¼ ( 20000 + 5000 + 400 + 0) = 6350 S3 -2000 20000 Rs. ¼ ( 20000 + 15000 -2000 + 1000) = 8500 i. S2 is the optimal decision. ii. S2 or S3 is the optimal decision. iii. S3 is the alternative to be selected. iv. Under regretcriterion i th regret= (maximum payoff – i th payoff) for the jth event. N1 N2 N3 N4 Maximum regret S1 16000 15100 0 0 16000 S2 0 10000 5600 18000 18000 S3 0 0 8000 17000 17000 The decision alternative S1 would be chosen since itcorresponds to the minimal ofthe maximum possible regrets. v. For the given payoffmatrix the minimum and the maximum payofffor each alternative are given below. Minimum payoff Maximum payoff Payoff = α. Maximum + (1- α) minimum Where α = 0.7 S1 -100 18000 .7 x 18000 + .3 x (-100) = 12570 S2 0 20000 .7 x 20000 + .3 (0) = 14000 S3 -2000 20000 .7 x 20000 + .3 (-2000) = 13400 Thus under Hurwicz rule, alternative S2 should be chosen as itis associated with the highestpayoffof Rs. 14000. Exercise: Taylor, p-42. No. S1-1, S1-2, S1-3,S1-4,S1-12, S1-17, 1-18, 1-21