Mental Math
1. If f(x) = √x - 2 and g(x) = x2, find the domain of f(x) g(x)..
3. Write the equation of the horizontal asymptote for f(x) =
x + 5
2x - 1
2. Given that h(x) = 3x3 - x + 5 and that h(x) = f(x) - g(x),
determine f(x) and g(x).
4. The graph of a rational function, f(x), has an asymptote
Write a possible equation for f(x).
when x = 0 and a point of discontinuity when x = 1.
Composite Functions
Refers to the combining of two functions f(x) and g(x)
where the output of one function is used as the input of the
other function.
Recall, f(x) = 2x - 1 find f(3)
x = 3
The notation used for compostion is
(f ◦ g)(x) = f(g(x))
Inner brackets are done first.
First substitute into g, then into f.
Reads "f composed with g of x" or "f of g of x"
Ex. The tables below define two functions.
Use these tables to determine each value below.
x g(x)
-2 3
-1 2
0 1
1 0
2 -1
x f(x)
-2 8
-1 3
0 0
1 -1
2 0
a) f(g(-1))
b) f(f(2))
c) g(f(1))
d) g(g(2))
Given the graphs of y = f(x) and y = g(x),
determine each value below:
a) f(g(-1))
b) g(f(3))
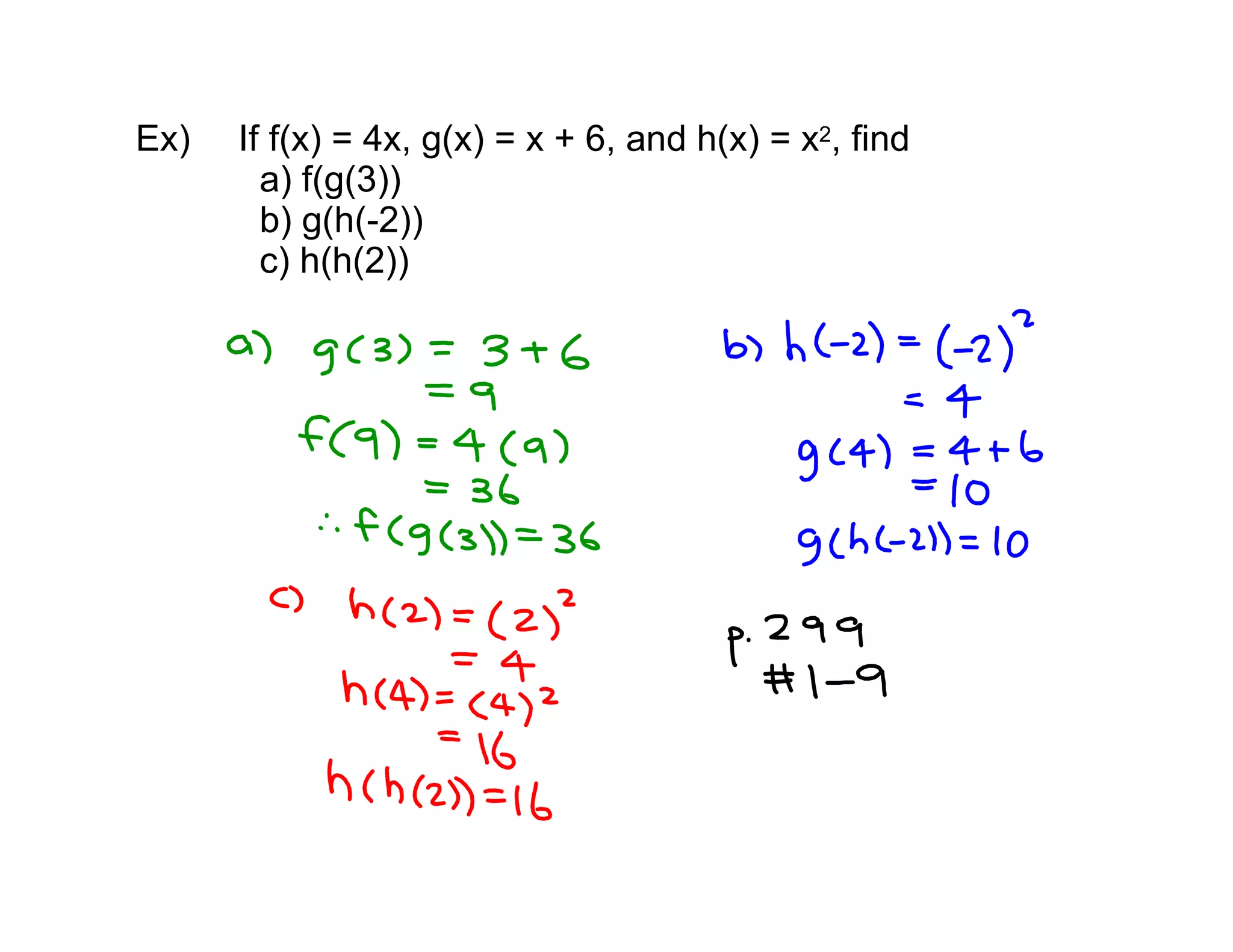
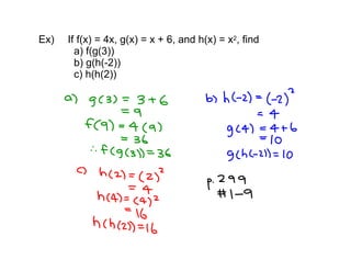
Ex) If f(x) = 4x, g(x) = x + 6, and h(x) = x2, find
a) f(g(3))
b) g(h(-2))
c) h(h(2))
Ex 1) If f(x) = x + 1 and g(x) = 2x, find (f ◦ g)(x).
Steps:
1) Write the expression for
the function of g(2x) in the
g(x) 'spot' in the composition
2) Now substitute this
expression (2x) into function f
in the x 'spot'
3) Simplify (if necessary)
Composite Functions
Ex 2) Given f(x) = 5x and g(x) = x2 + 1, find
a) (f ◦ g)(x)
b) (g ◦ f)(x)
Notice that (f ◦ g)(x) and (g ◦ f)(x) do not
necessarily have the same answer.
Ex 3) Given f(x) = x2 and g(x) = x + 3, find
a) f(g(x))
b) g(f(x))
c) f(f(x))
d) g(g(x))
and state the domain.

Day 5 examples u6w14

  • 1.
    Mental Math 1. Iff(x) = √x - 2 and g(x) = x2, find the domain of f(x) g(x).. 3. Write the equation of the horizontal asymptote for f(x) = x + 5 2x - 1 2. Given that h(x) = 3x3 - x + 5 and that h(x) = f(x) - g(x), determine f(x) and g(x). 4. The graph of a rational function, f(x), has an asymptote Write a possible equation for f(x). when x = 0 and a point of discontinuity when x = 1.
  • 2.
    Composite Functions Refers tothe combining of two functions f(x) and g(x) where the output of one function is used as the input of the other function. Recall, f(x) = 2x - 1 find f(3) x = 3 The notation used for compostion is (f ◦ g)(x) = f(g(x)) Inner brackets are done first. First substitute into g, then into f. Reads "f composed with g of x" or "f of g of x"
  • 3.
    Ex. The tablesbelow define two functions. Use these tables to determine each value below. x g(x) -2 3 -1 2 0 1 1 0 2 -1 x f(x) -2 8 -1 3 0 0 1 -1 2 0 a) f(g(-1)) b) f(f(2)) c) g(f(1)) d) g(g(2))
  • 4.
    Given the graphsof y = f(x) and y = g(x), determine each value below: a) f(g(-1)) b) g(f(3))
  • 5.
    Ex) If f(x)= 4x, g(x) = x + 6, and h(x) = x2, find a) f(g(3)) b) g(h(-2)) c) h(h(2))
  • 6.
    Ex 1) Iff(x) = x + 1 and g(x) = 2x, find (f ◦ g)(x). Steps: 1) Write the expression for the function of g(2x) in the g(x) 'spot' in the composition 2) Now substitute this expression (2x) into function f in the x 'spot' 3) Simplify (if necessary) Composite Functions
  • 7.
    Ex 2) Givenf(x) = 5x and g(x) = x2 + 1, find a) (f ◦ g)(x) b) (g ◦ f)(x) Notice that (f ◦ g)(x) and (g ◦ f)(x) do not necessarily have the same answer.
  • 8.
    Ex 3) Givenf(x) = x2 and g(x) = x + 3, find a) f(g(x)) b) g(f(x)) c) f(f(x)) d) g(g(x)) and state the domain.