Embed presentation
Download to read offline






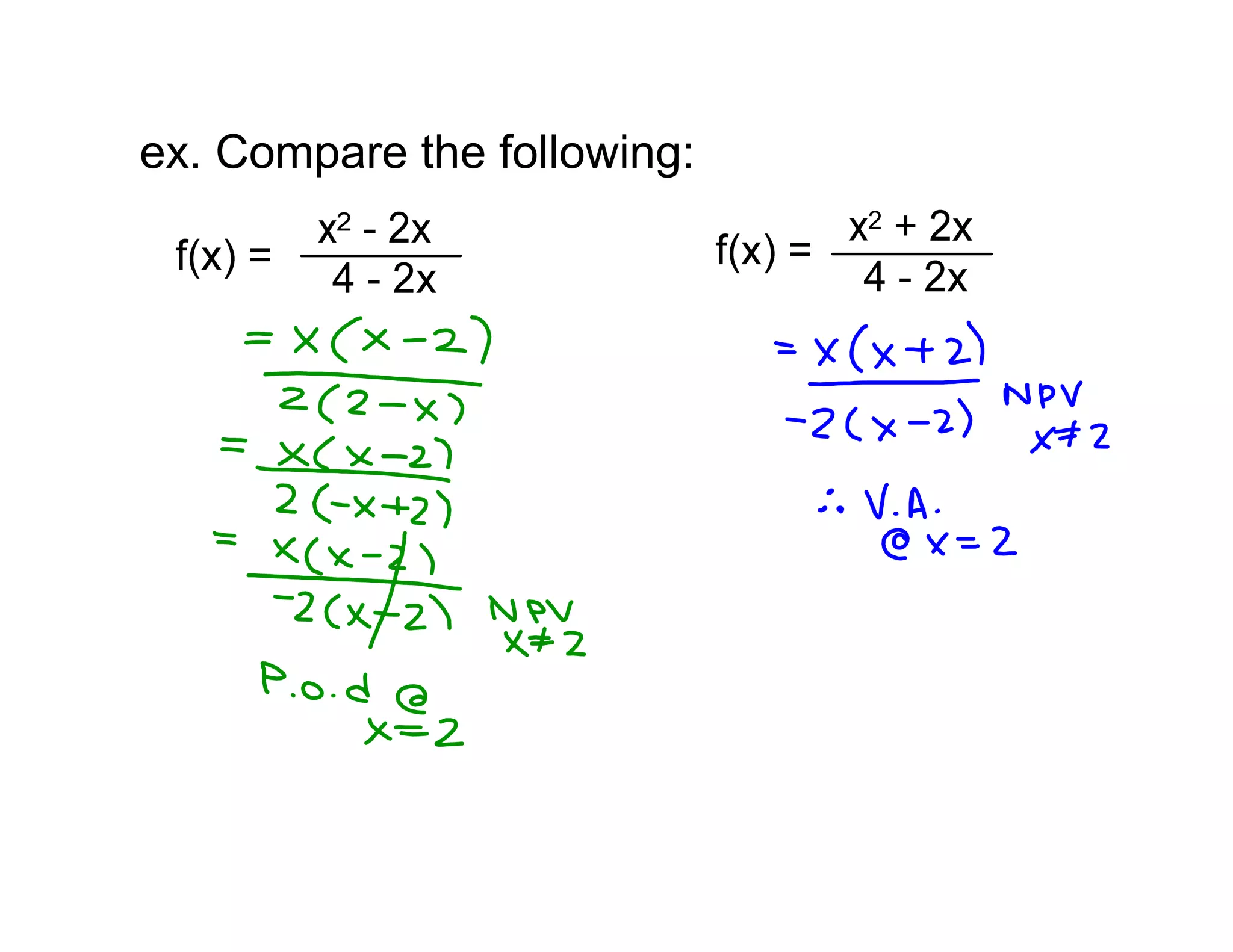
Rational functions are functions of the form f(x) = p(x)/q(x) where p(x) and q(x) are polynomials. For example, comparing rational functions like 2x/(x^2 - 4) and (x-1)/(x+1). Horizontal asymptotes of rational functions occur when the degree of the polynomial in the numerator is less than the degree of the polynomial in the denominator.





