Embed presentation
Download to read offline





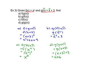
The document provides examples of evaluating composite functions. It gives the steps to find (f ◦ g)(x) by substituting the expression for g(x) into f(x) and simplifying. Examples are provided of finding (f ◦ g)(x) and (g ◦ f)(x) for various functions f(x) and g(x), as well as evaluating composite functions at given values.




