Thyristor commutation
Techniques
A. K. Gautam
By:
Aniruddha K. Gautam
AKGEC, Ghaziabad
Methods of Commutations
• Natural Commutations
• Forced commutations
A. K. Gautam
~
T
+
−
v ov s
R↑ ↑
Natural Commutation
•Occurs in AC circuits
•Natural Commutation of Thyristors takes place in
•AC voltage controllers.
•Phase controlled rectifiers.
•Cyclo-converters
A. K. Gautam
A. K. Gautam
ω t
ω t
ω t
ω t
S u p p l y v o l t a g e v s
S i n u s o i d a l
V o l ta g e a c r o s s S C R
L o a d v o l t a g e v o
T u r n o ff
o c c u r s h e r e
0
0
π
π
2 π
2 π
3 π
3 π
α
t c
G a t e P u l s e
π + α
α π + α
Forced Commutation
• Applied to
• dc circuits
• Choppers
• Inverters.
• Commutation achieved by reverse biasing the
SCR or by reducing the SCR current below
holding current value.
• Commutating elements such as inductance and
capacitance are used for commutation purpose.
A. K. Gautam
Methods of Forced Commutation
• Self commutation.
• Resonant pulse commutation.
• Complementary commutation.
• Impulse commutation.
• External pulse commutation.
• Line Commutation.
A. K. Gautam
CLASS A COMMUTATION: LOAD COMMUTATION
OR
(SELF COMM.)
• When R is low : L & C connects in series with R
• When R is high : C connects in Parallel with R
• Useful for dc Circuits.
•System should be under damped.
•When energized from a dc source, current must have
a natural tendency to decay to zero.
•Change in direction of current make the thyristor
turn- off.
•Oscillating current flows.
•SCR is turned off when current is zero.
A. K. Gautam
Self commutation
•Circuit is under damped by including suitable values
of L & C in series with load.
•Oscillating current flows.
•SCR is turned off when current is zero.
A. K. Gautam
V
R L V ( 0 )c
C
T i
L o a d
+ -
Expression for Current
A. K. Gautam
V
S
R S L
1
C S
V C ( 0 )
S
C
T I ( S ) + +- -
Fig. shows a transformed network
( )
( )
( )
( )
( )
2
2
1
0
1
0
1
0C
C
CCS V V
SI S
RC
V V
SI S
R SL
CS
C
S S LC
V V
R
LC S S
L LC
 − 
=
+ +

 − 
=
+
− 
=
 
+ +
+

( )
( )
( )
( )( )
2
2 2
2
0
1
0
1
2 2
C
C
V V
LI S
R
S S
L LC
V V
LI S
R R R
S S
L LC L L
−
=
+ +
−
=
   
+ + + − ÷  ÷
   
A. K. Gautam
( )
( )( )
( )
( )( )
2 2 2
2 2
2
0
1
2 2
Where,
0 1
, ,
2 2
C
C
V V
ALI S
SR R
S
L LC L
V V R R
A
L L LC L
δ ω
δ ω
−
= =
+ +     + + − ÷  ÷
     
−  
= = = − ÷
 
( )
( )
( )
2 2
is called the natural frequency
Taking inverse Laplace transforms
sint
A
I S
S
A
i t e tδ
ω
ω
ω δ ω
ω
ω
−
=
+ +
=
A. K. Gautam
( )
( )
( )( )
2
Expression for current
0
sin
Peak value of current
0
R
t
C L
C
V V
i t e t
L
V V
L
ω
ω
ω
−
∴
−
=
−
=
Expression For Voltage Across Capacitor At The Time Of
Turn Off
V
R L V ( 0 )c
C
T i
L o a d
+ -
A. K. Gautam
( )
( )
( )
Applying KVL to figure
Substituting for i,
sin sin
c R L
c
t t
c
v t V v V
di
v t V iR L
dt
A d A
v t V R e t L e t
dt
δ δ
ω ω
ω ω
− −
= − −
= − −
 
= − −  ÷
 
( ) ( )
( ) [ ]
( )
( )
sin cos sin
sin cos sin
sin cos sin
2
sin cos
2
t t t
c
t
c
t
c
t
c
A A
v t V R e t L e t e t
A
v t V e R t L t L t
A R
v t V e R t L t L t
L
A R
v t V e t L t
δ δ δ
δ
δ
δ
ω ω ω δ ω
ω ω
ω ω ω δ ω
ω
ω ω ω ω
ω
ω ω ω
ω
− − −
−
−
−
= − − −
= − + −
 
= − + −  
 
= − +  
A. K. Gautam
( )
( )( )
( )
( )( )
Substituting for A,
0
sin cos
2
0
sin cos
2
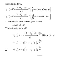
SCR turns off when current goes to zero.
i.e., at
C t
c
C t
c
V V R
v t V e t L t
L
V V R
v t V e t t
L
t
δ
δ
ω ω ω
ω
ω ω ω
ω
ω π
−
−
−  
= − +  
−  
= − +  
=
( )
( )( ) ( )
( ) ( )
( ) ( ) 2
Therefore at turn off
0
0 cos
0
0
C
c
c C
R
L
c C
V V
v t V e
v t V V V e
v t V V V e
δ π
ω
δ π
ω
π
ω
ω π
ω
−
−
−
−
= − +
 = + − 
 ∴ = + − 
A. K. Gautam
( )
( )
2
For effective commutation
the circuit should be under damped.
1
That is
2
With R = 0, and the capacitor initially uncharged
that is 0 0
sin
Note:
C
R
L LC
V
V t
i t
L LCω
 
< ÷
 
=
=
( )
1
But
sin sin
and capacitor voltage at turn off is equal to 2V
Fig. shows the waveforms for the above conditions.
Once the SCR turns off voltage across it is
negative voltage.
LC
V t C t
i t LC V
L LLC LC
ω =
∴ = =
A. K. Gautam
C u r r e n t i
C a p a c i t o r v o l t a g e
G a t e p u l s e
V o l ta g e a c r o s s S C R
0 ππ / 2
ω t
ω t
ω t
ω t
V
− V
2 V
CLASS B COMMUTATION: Resonant-pulse commutation
T1: main thyristor.
TA: Auxiliary thyristor.
iT1 : Current through thyristor.
iC : Capacitor current.
A. K. Gautam
• Series LC circuit connected across
thyristor ‘T’.
• Initially ‘C’ is charged to ‘V’ volts
with plate ‘a’ as positive.
• Current in LC oscillates when SCR is
ON.
• ‘T’ turns off when capacitor
discharges through thyristor in a
direction opposite to IL
Operations:
Mode 1:
• TA= OFF, T1= OFF
• Flow of current through C, current ic
starts flowing and C charges up to VS.
Mode 2:
• TA = OFF, T1= ON at t=0
• iT1 = iO
• When 0<t>t1
VC = VS
iC = 0
iO = IO
iT1 = iO
Mode 3:
TA = ON, T1= ON at t=t1
Current iC path : C→TA →L →CC S P O
C
i V Sin t I Sin t
L
ω ω=− =−
1
C S OV idt V Cos t
C
ω= =∫
Mode 4:
T= t2
+
TA= OFF , Vc= - Vs
Flow of resonant current: C→L →D →T1
As well as Ic increases which is opp. To
T1, iT1=Io-Ic, begin to decrease.
When Ic- Io, iT1=0, means T1= off
Mode 5:
T1= OFF at t = t3
Io flow through, C→L →D. Vc ↑ 0 → Vab
At t= t4 , Vc ↑0 → Vs
→
A. K. Gautam
3 2( )o S o
C
I V Sin t t
L
ω= −
1
3 2
1
( )
( )
o
Io
Sin
t t Ip
ω −
=
−
p s
C
I V
L
=
4 3
ab
c
O
V
t t t C
I
= − =
3 2cos ( )ab oV Vs t tω= −
….(1)
….(2)
….(3)
….(4)
….(5)
Circuit turn=off time
Peak resonant current
A. K. Gautam
CLASS C Commutation: Complementary commutation
• One thy. Commutates another and vise-versa
Mode 1:
T1= ON , Load current dirn:
Battery →R1 →T1
Battery →R2 → C→ T1
Vc
Mode 2:
T2 = ON, Capr
voltage appears as reverse bias
across T1, and turns it off.
Current dirn
:
Battery →R1 → C→ T2
Battery →R2 → T2
SV
→
A. K. Gautam
1 1
1
S
R
V
I I
R
≅ = 2
2
S
o R
V
I I
R
≅ =
When T1=ON at t = 0
or
1 2
1 1
1 1 ( )T C S R RI i i V= − = +
VC changes from 0→VS
2
( )
2
t
R CS
C
V
i e
R
−
=
2
( )
(1 )
t
R C
C SV V e
−
= −
When t= t+
So that VT1 =Vc(t)
After transient condition, Vc =VT2= VS , iC=0, 1
1
S
T
V
i
R
=
When t= t1
T2=ON, Vc (across T1) reverse and T1=OFF, VT2=0
A. K. Gautam
1T SV V= −
1
2 S
C
V
i
R
= −
1 2
2 1
2 ( )T S R RI V= +, ,
• Applying KVL law:
1
1
C C SR i i dt V
C
+ =∫
• Laplace transformation:
1
( )1
( ) C S S
C
I S CV V
R I S
C S S S
 
+ − = 
 
• After taking inverse transformation
1( )
1
2
( )
t
R CS
C
V
i t e
R
−
=
Ci = opposite direction , So that 1( )
1
2
( )
t
R CS
C
V
i t e
R
−
=
• Again,
0
1
t
C S CV V i dt
C
= + ∫ =
1
( )
1
21 t
R CS
C S
V
V V e
C R
−  
= + −  ÷
  
∴
A. K. Gautam








−=






−
12 2CR
t
sc eVV
2 1
1 2
1
1
( )
2
S R R
S
T
V
T V
i
R
i
+
=
→
When T=t2 transient condition are over now
VT1=Vs, ic=0, Vc=-Vs, VT2=Vs/R2, iT1=0
When T=t3
T1= ON, T2= commutated
iT2=0, VT2 =-Vs, VT1 =0, ic=2Vs/R2 iT1= 1 2
2 1
( )S R RV +
1
1
( )
1 0 1 2
tc
R C
T SV V e
−
 = = −
 
1 1 ln(2)Ct R C=
2 2 ln(2)Ct R C=
Turn of T2 at t1, capacitor voltage Vs suddenly appears as reverse biased across T1 to
turn it off.
Turn off time for T1 and T2
A. K. Gautam
A. K. Gautam
CLASS D COMMUTATION: Impulse Commutation
In such type of commutation circuit , a main thyristor, a auxiliary thy.,and an inductor
is used.
Mode 1:
T1-ON , io flows through Battery →T1 →load
Capacitor discharge dirn
, T1 →D →L, Capacitor
charged with opp. Polarity, which is not allowed due
to diode.
sin sinC S O P O
C
i V t I t
L
ω ω= =
1T C Oi i I= + (due to initial condition)
1T O P Oi I I Sin tω= +
1
O
LC
ω
 
= ÷
 
A. K. Gautam
Ip= Peak capacitor voltage
0
1
offt
L off
C L
i t
V i dt
C C
= =∫ L off
C
i t
C
V
=
Q P S
C
I V
L
=
m 1I ( )P axI throughT< mIS ax
C
V
L
<
2
2
mI ax
V C
L >
, , ,
Mode: 2
,
TA-ON, T1-off, C discharges through TA →T1, when this current= iO →T1-off
At t=t1
TA-ON, VT1= -VS, iT1=0
Now load current will flow through, C →TA
VC charges through –Vs to Vs
This method is called voltage commutation, due to T1 turns off due to reverse
voltage application A. K. Gautam
A. K. Gautam
External Pulse
Commutation (Class E Commutation)
V S V A U X
L
C
T 1 T 3T 2
R L
2 V A U X
+
−
•
•This Method of commutation used a pulse obtain from a source external to the main
circuit or obtain from a pulse forming network fed by an auxiliary voltage source.
• The pulse is used to apply a reverse bias and turn off the thyristor.
• Vaux Auxiliary voltage source
• L, C Oscillatory circuit to general a pulse.
•
Mode -1
• T1 T3– ON, VS – Used to supply the current through load.
• A current pulse flows having a peak value Vaux √C/L from V1 T3 L
C to charge up to 2VAUX
• When C is fully charged, Charging current tends to 0 , and T3 turns off.
Mode -1
• T2 ON ,
• Capacitor voltage appears as reverse bias across T1and turns it off.
• Capacitor C discharge through load.
A. K. Gautam
A. K. Gautam
• T1 is conducting & RL is connected across supply.
• T3 is fired & ‘C’ is charged to 2VAUX with upper plate
positive.
• T3 is self commutated.
• To turn off T1, T2 is fired.
• T2 ON results in a reverse voltage VS – 2VAUX
appearing across T1

Commutation techniques in power electronics

  • 1.
    Thyristor commutation Techniques A. K.Gautam By: Aniruddha K. Gautam AKGEC, Ghaziabad
  • 2.
    Methods of Commutations •Natural Commutations • Forced commutations A. K. Gautam
  • 3.
    ~ T + − v ov s R↑↑ Natural Commutation •Occurs in AC circuits •Natural Commutation of Thyristors takes place in •AC voltage controllers. •Phase controlled rectifiers. •Cyclo-converters A. K. Gautam
  • 4.
    A. K. Gautam ωt ω t ω t ω t S u p p l y v o l t a g e v s S i n u s o i d a l V o l ta g e a c r o s s S C R L o a d v o l t a g e v o T u r n o ff o c c u r s h e r e 0 0 π π 2 π 2 π 3 π 3 π α t c G a t e P u l s e π + α α π + α
  • 5.
    Forced Commutation • Appliedto • dc circuits • Choppers • Inverters. • Commutation achieved by reverse biasing the SCR or by reducing the SCR current below holding current value. • Commutating elements such as inductance and capacitance are used for commutation purpose. A. K. Gautam
  • 6.
    Methods of ForcedCommutation • Self commutation. • Resonant pulse commutation. • Complementary commutation. • Impulse commutation. • External pulse commutation. • Line Commutation. A. K. Gautam
  • 7.
    CLASS A COMMUTATION:LOAD COMMUTATION OR (SELF COMM.) • When R is low : L & C connects in series with R • When R is high : C connects in Parallel with R • Useful for dc Circuits. •System should be under damped. •When energized from a dc source, current must have a natural tendency to decay to zero. •Change in direction of current make the thyristor turn- off. •Oscillating current flows. •SCR is turned off when current is zero. A. K. Gautam
  • 8.
    Self commutation •Circuit isunder damped by including suitable values of L & C in series with load. •Oscillating current flows. •SCR is turned off when current is zero. A. K. Gautam V R L V ( 0 )c C T i L o a d + -
  • 9.
    Expression for Current A.K. Gautam V S R S L 1 C S V C ( 0 ) S C T I ( S ) + +- - Fig. shows a transformed network ( ) ( ) ( ) ( ) ( ) 2 2 1 0 1 0 1 0C C CCS V V SI S RC V V SI S R SL CS C S S LC V V R LC S S L LC  −  = + +   −  = + −  =   + + +  ( ) ( ) ( ) ( )( ) 2 2 2 2 0 1 0 1 2 2 C C V V LI S R S S L LC V V LI S R R R S S L LC L L − = + + − =     + + + − ÷  ÷    
  • 10.
    A. K. Gautam () ( )( ) ( ) ( )( ) 2 2 2 2 2 2 0 1 2 2 Where, 0 1 , , 2 2 C C V V ALI S SR R S L LC L V V R R A L L LC L δ ω δ ω − = = + +     + + − ÷  ÷       −   = = = − ÷   ( ) ( ) ( ) 2 2 is called the natural frequency Taking inverse Laplace transforms sint A I S S A i t e tδ ω ω ω δ ω ω ω − = + + =
  • 11.
    A. K. Gautam () ( ) ( )( ) 2 Expression for current 0 sin Peak value of current 0 R t C L C V V i t e t L V V L ω ω ω − ∴ − = − = Expression For Voltage Across Capacitor At The Time Of Turn Off V R L V ( 0 )c C T i L o a d + -
  • 12.
    A. K. Gautam () ( ) ( ) Applying KVL to figure Substituting for i, sin sin c R L c t t c v t V v V di v t V iR L dt A d A v t V R e t L e t dt δ δ ω ω ω ω − − = − − = − −   = − −  ÷   ( ) ( ) ( ) [ ] ( ) ( ) sin cos sin sin cos sin sin cos sin 2 sin cos 2 t t t c t c t c t c A A v t V R e t L e t e t A v t V e R t L t L t A R v t V e R t L t L t L A R v t V e t L t δ δ δ δ δ δ ω ω ω δ ω ω ω ω ω ω δ ω ω ω ω ω ω ω ω ω ω ω − − − − − − = − − − = − + −   = − + −     = − +  
  • 13.
    A. K. Gautam () ( )( ) ( ) ( )( ) Substituting for A, 0 sin cos 2 0 sin cos 2 SCR turns off when current goes to zero. i.e., at C t c C t c V V R v t V e t L t L V V R v t V e t t L t δ δ ω ω ω ω ω ω ω ω ω π − − −   = − +   −   = − +   = ( ) ( )( ) ( ) ( ) ( ) ( ) ( ) 2 Therefore at turn off 0 0 cos 0 0 C c c C R L c C V V v t V e v t V V V e v t V V V e δ π ω δ π ω π ω ω π ω − − − − = − +  = + −   ∴ = + − 
  • 14.
    A. K. Gautam () ( ) 2 For effective commutation the circuit should be under damped. 1 That is 2 With R = 0, and the capacitor initially uncharged that is 0 0 sin Note: C R L LC V V t i t L LCω   < ÷   = = ( ) 1 But sin sin and capacitor voltage at turn off is equal to 2V Fig. shows the waveforms for the above conditions. Once the SCR turns off voltage across it is negative voltage. LC V t C t i t LC V L LLC LC ω = ∴ = =
  • 15.
    A. K. Gautam Cu r r e n t i C a p a c i t o r v o l t a g e G a t e p u l s e V o l ta g e a c r o s s S C R 0 ππ / 2 ω t ω t ω t ω t V − V 2 V
  • 16.
    CLASS B COMMUTATION:Resonant-pulse commutation T1: main thyristor. TA: Auxiliary thyristor. iT1 : Current through thyristor. iC : Capacitor current. A. K. Gautam • Series LC circuit connected across thyristor ‘T’. • Initially ‘C’ is charged to ‘V’ volts with plate ‘a’ as positive. • Current in LC oscillates when SCR is ON. • ‘T’ turns off when capacitor discharges through thyristor in a direction opposite to IL
  • 17.
    Operations: Mode 1: • TA=OFF, T1= OFF • Flow of current through C, current ic starts flowing and C charges up to VS. Mode 2: • TA = OFF, T1= ON at t=0 • iT1 = iO • When 0<t>t1 VC = VS iC = 0 iO = IO iT1 = iO Mode 3: TA = ON, T1= ON at t=t1 Current iC path : C→TA →L →CC S P O C i V Sin t I Sin t L ω ω=− =− 1 C S OV idt V Cos t C ω= =∫ Mode 4: T= t2 + TA= OFF , Vc= - Vs Flow of resonant current: C→L →D →T1 As well as Ic increases which is opp. To T1, iT1=Io-Ic, begin to decrease. When Ic- Io, iT1=0, means T1= off Mode 5: T1= OFF at t = t3 Io flow through, C→L →D. Vc ↑ 0 → Vab At t= t4 , Vc ↑0 → Vs → A. K. Gautam
  • 18.
    3 2( )oS o C I V Sin t t L ω= − 1 3 2 1 ( ) ( ) o Io Sin t t Ip ω − = − p s C I V L = 4 3 ab c O V t t t C I = − = 3 2cos ( )ab oV Vs t tω= − ….(1) ….(2) ….(3) ….(4) ….(5) Circuit turn=off time Peak resonant current A. K. Gautam
  • 19.
    CLASS C Commutation:Complementary commutation • One thy. Commutates another and vise-versa Mode 1: T1= ON , Load current dirn: Battery →R1 →T1 Battery →R2 → C→ T1 Vc Mode 2: T2 = ON, Capr voltage appears as reverse bias across T1, and turns it off. Current dirn : Battery →R1 → C→ T2 Battery →R2 → T2 SV → A. K. Gautam
  • 20.
    1 1 1 S R V I I R ≅= 2 2 S o R V I I R ≅ = When T1=ON at t = 0 or 1 2 1 1 1 1 ( )T C S R RI i i V= − = + VC changes from 0→VS 2 ( ) 2 t R CS C V i e R − = 2 ( ) (1 ) t R C C SV V e − = − When t= t+ So that VT1 =Vc(t) After transient condition, Vc =VT2= VS , iC=0, 1 1 S T V i R = When t= t1 T2=ON, Vc (across T1) reverse and T1=OFF, VT2=0 A. K. Gautam
  • 21.
    1T SV V=− 1 2 S C V i R = − 1 2 2 1 2 ( )T S R RI V= +, , • Applying KVL law: 1 1 C C SR i i dt V C + =∫ • Laplace transformation: 1 ( )1 ( ) C S S C I S CV V R I S C S S S   + − =    • After taking inverse transformation 1( ) 1 2 ( ) t R CS C V i t e R − = Ci = opposite direction , So that 1( ) 1 2 ( ) t R CS C V i t e R − = • Again, 0 1 t C S CV V i dt C = + ∫ = 1 ( ) 1 21 t R CS C S V V V e C R −   = + −  ÷    ∴ A. K. Gautam         −=       − 12 2CR t sc eVV
  • 22.
    2 1 1 2 1 1 () 2 S R R S T V T V i R i + = → When T=t2 transient condition are over now VT1=Vs, ic=0, Vc=-Vs, VT2=Vs/R2, iT1=0 When T=t3 T1= ON, T2= commutated iT2=0, VT2 =-Vs, VT1 =0, ic=2Vs/R2 iT1= 1 2 2 1 ( )S R RV + 1 1 ( ) 1 0 1 2 tc R C T SV V e −  = = −   1 1 ln(2)Ct R C= 2 2 ln(2)Ct R C= Turn of T2 at t1, capacitor voltage Vs suddenly appears as reverse biased across T1 to turn it off. Turn off time for T1 and T2 A. K. Gautam
  • 23.
  • 24.
    CLASS D COMMUTATION:Impulse Commutation In such type of commutation circuit , a main thyristor, a auxiliary thy.,and an inductor is used. Mode 1: T1-ON , io flows through Battery →T1 →load Capacitor discharge dirn , T1 →D →L, Capacitor charged with opp. Polarity, which is not allowed due to diode. sin sinC S O P O C i V t I t L ω ω= = 1T C Oi i I= + (due to initial condition) 1T O P Oi I I Sin tω= + 1 O LC ω   = ÷   A. K. Gautam
  • 25.
    Ip= Peak capacitorvoltage 0 1 offt L off C L i t V i dt C C = =∫ L off C i t C V = Q P S C I V L = m 1I ( )P axI throughT< mIS ax C V L < 2 2 mI ax V C L > , , , Mode: 2 , TA-ON, T1-off, C discharges through TA →T1, when this current= iO →T1-off At t=t1 TA-ON, VT1= -VS, iT1=0 Now load current will flow through, C →TA VC charges through –Vs to Vs This method is called voltage commutation, due to T1 turns off due to reverse voltage application A. K. Gautam
  • 26.
    A. K. Gautam ExternalPulse Commutation (Class E Commutation) V S V A U X L C T 1 T 3T 2 R L 2 V A U X + − • •This Method of commutation used a pulse obtain from a source external to the main circuit or obtain from a pulse forming network fed by an auxiliary voltage source. • The pulse is used to apply a reverse bias and turn off the thyristor. • Vaux Auxiliary voltage source • L, C Oscillatory circuit to general a pulse. •
  • 27.
    Mode -1 • T1T3– ON, VS – Used to supply the current through load. • A current pulse flows having a peak value Vaux √C/L from V1 T3 L C to charge up to 2VAUX • When C is fully charged, Charging current tends to 0 , and T3 turns off. Mode -1 • T2 ON , • Capacitor voltage appears as reverse bias across T1and turns it off. • Capacitor C discharge through load. A. K. Gautam
  • 28.
    A. K. Gautam •T1 is conducting & RL is connected across supply. • T3 is fired & ‘C’ is charged to 2VAUX with upper plate positive. • T3 is self commutated. • To turn off T1, T2 is fired. • T2 ON results in a reverse voltage VS – 2VAUX appearing across T1