Chapter 4
Mechanical Design of Transmission Lines
Outline
Introduction 2
 Types of conductors 8
 Line supports 11
 Spacing between the conductors 21
 Sag-tension calculations 24
 Effect of wind and ice 34
Introduction
 A proper mechanical design is one of the essentials in
providing good service to customers.
 A large majority of service interruption can be traced
to physical failures on the distribution system, broken
wires, broken poles, damaged insulation, damaged
equipment,etc.of course many of these service
interruption are more or less unavoidable. But their
numbers can be reduced if the design and
construction of the various physical parts can
withstand, with reasonable safety factors, not only
normal condition but also some probable abnormal
conditions
2
Cont…
3
Cont…
4
 The over head line must have a proper strength to
with stand the stress imposed on its component parts
by the line itself.
 These include stresses set up by the tension in
conductors at dead end points, vertical stresses due to
the weight of the conductors and the vertical
component of conductor tension.
 The tension in conductors should be adjusted so that
it is well within the permissible load of the material.
• An overhead line comprises mainly
i ) conductors: which carry electric power from the sending end
station to the receiving end station
ii ) support structures: which may be poles or towers and keep
the conductors at a suitable level above the ground.
iii ) insulators and pole fittings: which are attached to supports
and insulate the conductors from the ground.
iV) Cross arms: which provide support to the insulators.
V) Shield wires: which provides grounding and communication
services for the overhead transmission line.
Vi) Miscellaneous items such as phase plates, danger plates,
lightning arrestors, anti-climbing wires etc.
5
Cont…
In general ,the factors affecting a mechanical
design of the over head lines are
a)Character of line route
b)Type of supporting structures
c)Grade of construction
d)Conductors
e)Type of insulators
f) Mechanical loading
6
7
The function of overhead lines is to transmit electrical energy. The
conductor is one of the important items overhead line as most of the
capital outlay is invested for it. Therefore, proper choice of material and
size of the conductor is of considerable importance.
The conductor material used for transmission and distribution of electric
power should have the following properties:
(i) high electrical conductivity.
(ii) high tensile strength in order to withstand mechanical stresses.
(iii) low cost so that it can be used for long distances.
(iv) low specific gravity so that weight per unit volume is small.
All above requirements are not found in a single material. Therefore, while
selecting a conductor material for a particular case, a compromise is
made between the cost and the required electrical
and mechanical properties.
The metals which posses the above properties are copper, aluminum
and steel, which are used either alone or in combination.
Types of conductors
Copper
• The most common conductor used for transmission is hard-drawn
copper, because it is twice as strong as soft drawn copper and it
stretches to a much lesser extent than soft drawn copper.
• The merits of this metal as a line conductor are:
i. It has a best conductivity in comparison to other metals. The
conductivity of copper, however depends upon the percentage of
impurities present in it, the more the impurities the lesser will be
the conductivity. The conductivity of copper conductor also
depends upon the method by which it has been drawn.
ii. It has higher current density, so for the given current rating,
lesser cross-sectional area of conductor is required and hence it
provides lesser cross-sectional area to wind loads
iii. The metal is quite homogeneous
iv. It has low specific resistance
v. It is durable and has a higher scrap value
8
Aluminum
• Next to copper aluminum is the conductor used in order of
performance as far as the conductivity is concerned. Its merits and
demerits are:
i. It is cheaper than copper
ii. It is lighter in weight
iii. It is second in conductivity (among the metals used for
transmission). Commercial hard-down aluminum wire at
standard temperature has approximately 60.6 per cent
conductivity in comparison to standard annealed copper wire.
iv. For same ohmic resistance, its diameter is about 1.27 times that
of copper.
v. At higher voltages it causes less corona loss
vi. Since the diameter of the conductor is more, so it is subject to
greater wind pressure due to which greater is the swing of the
conductor and greater is the sag
vii. Since the conductors are liable to swing, so it requires larger
cross arms
9
viii. As the melting point of the conductor is low , so the short circuit etc. will
damage it .
ix. Joining of aluminum is much more difficult than that of any other
material
• In the modern over head transmission system, bare aluminum conductors are
used (for purpose of heat dissipation) which are classifies as:
i) AAC - All Aluminum Conductors
ii) AAAC - All Aluminum Alloy Conductors
iii) ACSR – Aluminum Conductors Steel Reinforced
iv) ACAR - Aluminum Conductors Alloy Reinforced
Steel
• No doubt it has got the greatest tensile strength, but it is least used for
transmission of electrical energy as it has got high resistance. Bare steel
conductors are not used since, it deteriorates rapidly owing to rusting.
Generally galvanized steel wires are used. It has the following properties:
i ) It is lowest in conductivity
ii ) It has high internal reactance
iii ) It is much subjected to eddy current and hysteresis loss
iv ) In a damp atmosphere it is rusted
• Hence its use is limited 10
Line supports
• The line supports are poles and the chief requirements for such
supports are:
i ) They must be mechanically strong
ii ) They must be light in weight without the loss of strength.
iii ) They must have least number of parts.
iv ) They must be cheap.
v ) Their maintenance cost should be minimum.
vi ) They must be easily accessible for point and erection of line
conductors.
vii ) They must have longer life.
viii ) They must be of pleasing shape.
11
• The different types of poles which can be used as line supports are:
a. Wooden poles
b. Steel tubular poles
c. Reinforced concrete poles
d. Steel towers
Fig.(1):Single phase single-circuit
12
Design of transmission line
• There are various technical and economical considerations involved
in design of a transmission line.
• Various parameters such as power handling capacity of line, distance
of transmission, voltage regulation and efficiency are specified.
• The line voltage, size of phase conductors, span, spacing and
configuration of conductors, number of insulators, clearances, and
size of earth wires are included in the design.
• With the help of these design parameters, the voltage regulation and
efficiency of the transmission line can be determined.
• A revised design is made if any of these quantities are not lying
within the specified limits.
13
Choice for Transmission Voltage
• The line voltage greatly affects the performance of line and its
cost. For getting the optimum operating transmission voltage,
we may use following empirical formula.
• A standard voltage nearer to that obtained with above
formula is selected for the given line. The formula gives the
basic estimate. By considering various technical and economic
aspects, it is possible to obtain the most economical voltage.
• The detailed analysis can then be made based on results
obtained in basic estimate which tells whether the voltage lies
in EHV (Extra High Voltage 300 to 765 kV) range or UHV (ultra
High Voltage > 765 kV) range.
14
Conductor Size Selection
• The size of conductors should be properly selected during the design as about 30 to
45 % of total cost of line is involved in cost of conductor.
• The size of conductor decides cost of towers and foundations.
• The losses in line are also dependent on size of conductor selected. Normally
ACSR conductors are used which are available in variety of sizes.
• The line should carry the rated current continuously without excessive temperature
rise for given conductor size.
– Due to temperature, the sag associated with the line and tensile strength is
affected.
– Due to high temperature, annealing of conductor takes place. Its typical value
for copper and aluminum is around 100 °C.
– The operating temperature of the line must be well below of this value and its
typically taken as 750C in practice.
– When current flows through a conductor, there are I2R losses taking place
which causes heating of conductor.
– Based on conductor heating and heat dissipation. temperature of conductor is
increased, in case of overhead transmission lines, dissipation of heat is due to
convection and radiation.
15
For steady temperature
16
Convection
17
Radiation
18
Assumptions
• For using the above formulas, it is necessary to assume
suitable conductor temperature. air temperature. air velocity
and surrounding temperature.
• Based on these values, ampere carrying capacity of line for a
given conductor can be determined.
• This is the procedure used for deciding the conductor size for
lines with operating voltages of 220 kV.
• In case of EHV and UHV lines, radio interference and corona
effect should also be taken into consideration. Such a
conductor is usually thick.
• Using bundled conductors, corona and radio interference is
economically reduced.
– The bundled conductor with two and four sub conductors
are commonly used.
19
Choice of Span
• In line span is long then less number of towers will be required
but the towers will be taller and expensive. The longer line span is
used for higher operating voltage so that high cost of insulators Is
reduced.
• The reliability of transmission line can be improved by reducing
number of towers by selecting greater line span. With appropriate
line span for the given line, the cost of line will be minimum.
• The height of tower and line span are not the only influencing
factors for cost of line in some cases as lightning hazards increase
considerably with increase in height of conductor from ground.
– Now a days, a line span of 200 to 400 m is used for high
voltage lines while for river and ravine crossing the line span
will be of the order of 800 m.
– For 400 kV lines, line spans in the range of 350 m to 400 m
can be used. 20
Spacing between the conductors
• The most suitable spacing
between the conductors can be
arrived at by mathematical
calculations.
• It can only be obtained by
empirical formulae which have
been obtained from practical
considerations.
Fig.(7):Three-phase single circuit horizontal disposition of conductor and steel towers21
Spacing between a conductors
• For finding the spacing between a conductors the
following empirical formula can be used
22
Conductor Spacing
23
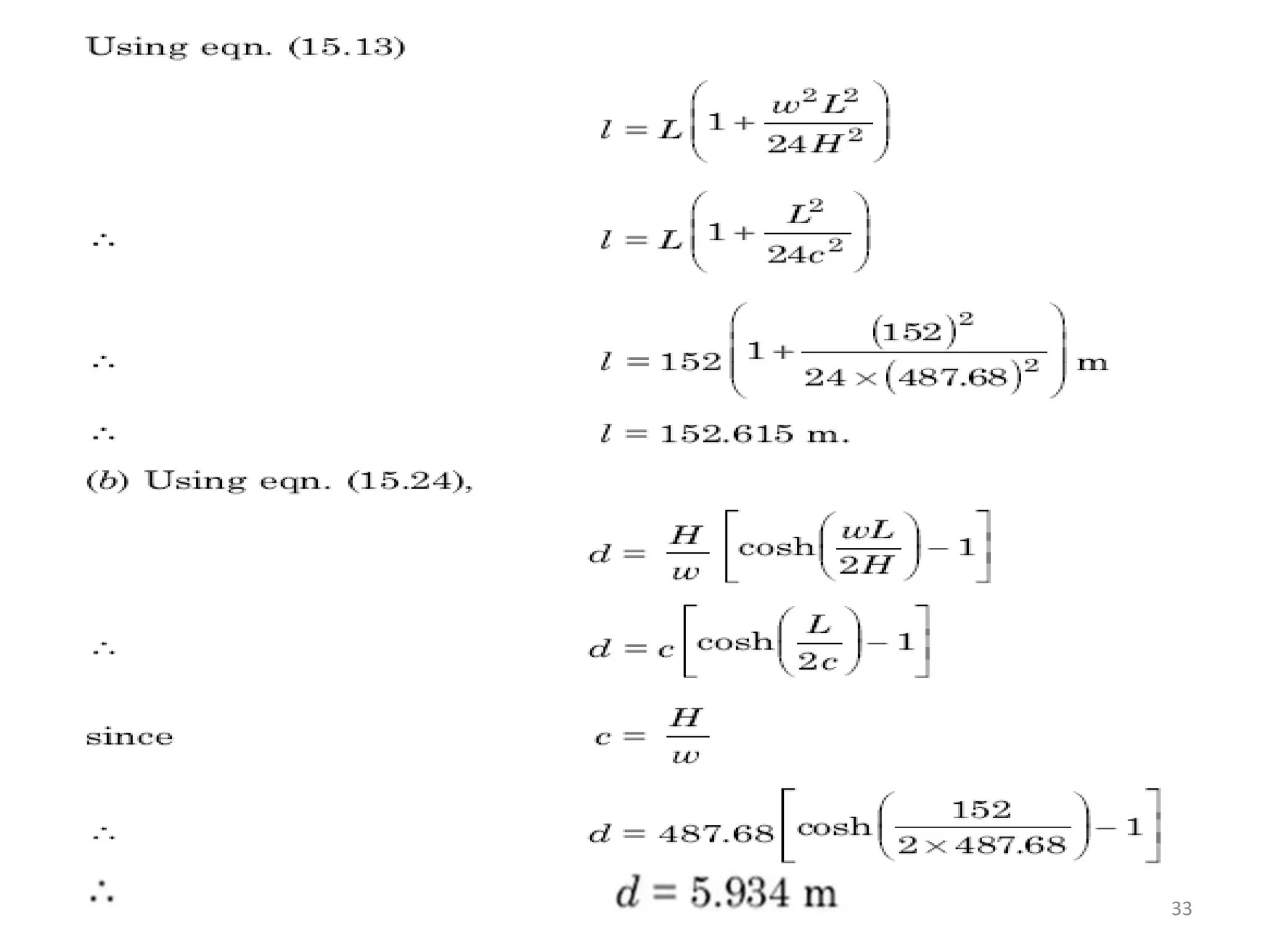
Sag-tension calculations for overhead lines
• The theory of sag tension calculation is based on the fact that when
a wire of uniform cross-section is suspended between two points at
the same level, the wire sags down and assumes the shape of a
parabolic or catenary shape.
24
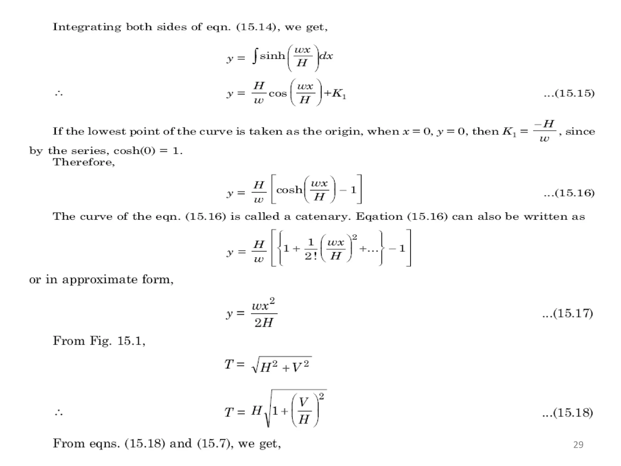
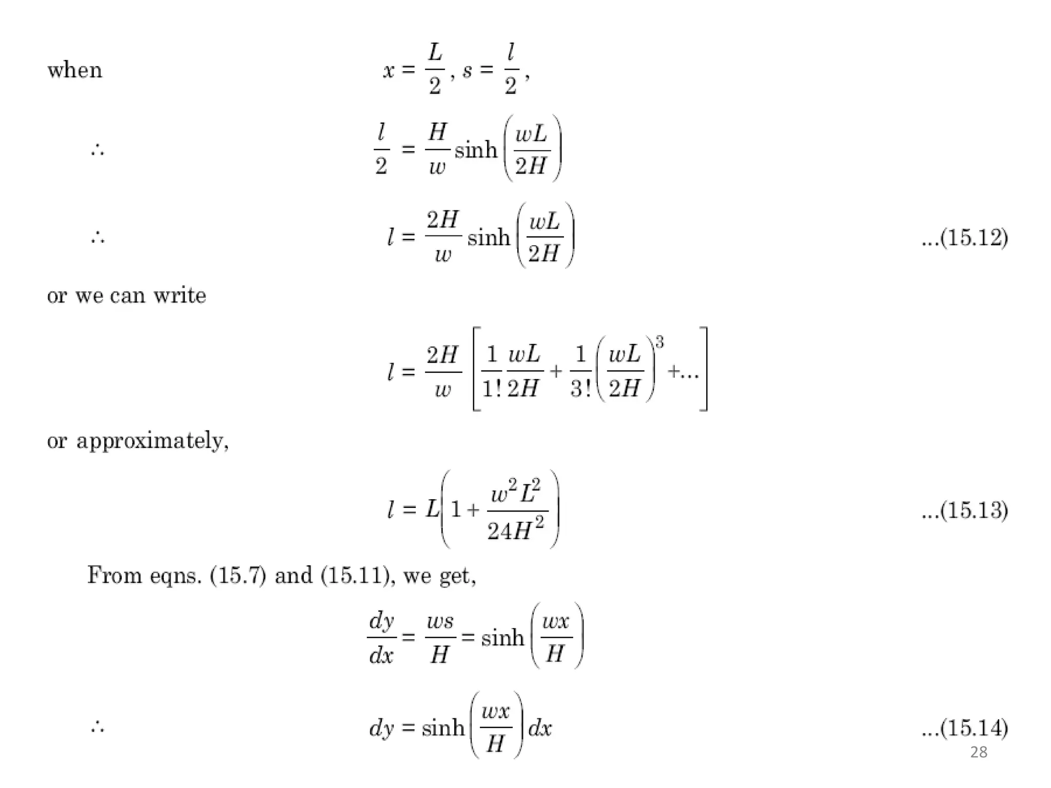
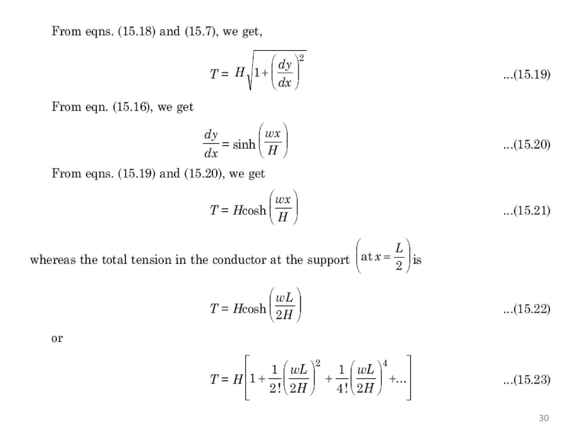
Fig.(15.1) Conductor suspended between supports at same level 25
26
27
28
29
30
31
32
33
Effect of ice covering and wind over the line
• Under the severest conditions of ice covering and wind,
the stress over the line is increased to the maximum.
The ice covering over the conductor increase the weight
of the conductor per unit length. Let, (d cm) be the
diameter of the conductor and (r cm) be the radial
thickness of ice.
Fig.(16): Representation of conductor covered with ice 34
• Cross-sectional area of the conductor
• Overall cross-sectional area when covered with ice
• Sectional area of the ice
2
4
d


2
( 2 )
4
d r

 
2
2
2 2
2 2 2
= ( 2 )
4 4
= [ ( 2 ) ]
4
= [ 4 4 ]
4
= ( )
d
d r
d r d
d r d r d
r d r
 



 
 
  

35
• Density of ice
• Weight of ice per meter length
• The effect of wind is allowed for by assuming that the
wind is blowing with a velocity of ( 80.45 km) per hour
across the line. It is equivalent to a pressure of (33.7 kg)
per square meter of the projected surface to the line to
ice.
• The projected surface per meter length of the conductor
3
0.915 / cm
g

3
( ) 100 0.915 10 Kg
0.287 ( ) Kg
r d r
r d r
 
    
 
36
( 2 )
1 sq.m
100
d r

 
( 2 )
33.7
100
0.337 ( 2 ) Kg
w
d r
P
d r

 
 
37
Fig.(11):Representation of resultant force acting on the conductor .
So, the resultant force Wi acting on the conductor from figure, is given as:
2 2
( )
i i w
W w w P
  
Sag template
38
Cont’d
39
Example
An overhead line has a span of 220 meters, the lines conductor
weights 684 kg. per 1,000 meters. Calculate the max. sag in the
line, if the maximum allowable tension in the line is 1,450 kg
Solution
Maximum sag =
2
0
8
W
T
l
220 m

l
Weight per unit length
684
Kg
1,000
0.684 Kg


0 1,450 Kg
T 
Max. sag
0.684 220 220
8 1,450
2.85 m
 



40
4
Any Question ?
?
?
?
?
?
?
? ?
?
? ?
?
? ?

Chapter 4 mechanical design of transmission lines

  • 1.
    Chapter 4 Mechanical Designof Transmission Lines Outline Introduction 2  Types of conductors 8  Line supports 11  Spacing between the conductors 21  Sag-tension calculations 24  Effect of wind and ice 34
  • 2.
    Introduction  A propermechanical design is one of the essentials in providing good service to customers.  A large majority of service interruption can be traced to physical failures on the distribution system, broken wires, broken poles, damaged insulation, damaged equipment,etc.of course many of these service interruption are more or less unavoidable. But their numbers can be reduced if the design and construction of the various physical parts can withstand, with reasonable safety factors, not only normal condition but also some probable abnormal conditions 2
  • 3.
  • 4.
    Cont… 4  The overhead line must have a proper strength to with stand the stress imposed on its component parts by the line itself.  These include stresses set up by the tension in conductors at dead end points, vertical stresses due to the weight of the conductors and the vertical component of conductor tension.  The tension in conductors should be adjusted so that it is well within the permissible load of the material.
  • 5.
    • An overheadline comprises mainly i ) conductors: which carry electric power from the sending end station to the receiving end station ii ) support structures: which may be poles or towers and keep the conductors at a suitable level above the ground. iii ) insulators and pole fittings: which are attached to supports and insulate the conductors from the ground. iV) Cross arms: which provide support to the insulators. V) Shield wires: which provides grounding and communication services for the overhead transmission line. Vi) Miscellaneous items such as phase plates, danger plates, lightning arrestors, anti-climbing wires etc. 5
  • 6.
    Cont… In general ,thefactors affecting a mechanical design of the over head lines are a)Character of line route b)Type of supporting structures c)Grade of construction d)Conductors e)Type of insulators f) Mechanical loading 6
  • 7.
    7 The function ofoverhead lines is to transmit electrical energy. The conductor is one of the important items overhead line as most of the capital outlay is invested for it. Therefore, proper choice of material and size of the conductor is of considerable importance. The conductor material used for transmission and distribution of electric power should have the following properties: (i) high electrical conductivity. (ii) high tensile strength in order to withstand mechanical stresses. (iii) low cost so that it can be used for long distances. (iv) low specific gravity so that weight per unit volume is small. All above requirements are not found in a single material. Therefore, while selecting a conductor material for a particular case, a compromise is made between the cost and the required electrical and mechanical properties. The metals which posses the above properties are copper, aluminum and steel, which are used either alone or in combination.
  • 8.
    Types of conductors Copper •The most common conductor used for transmission is hard-drawn copper, because it is twice as strong as soft drawn copper and it stretches to a much lesser extent than soft drawn copper. • The merits of this metal as a line conductor are: i. It has a best conductivity in comparison to other metals. The conductivity of copper, however depends upon the percentage of impurities present in it, the more the impurities the lesser will be the conductivity. The conductivity of copper conductor also depends upon the method by which it has been drawn. ii. It has higher current density, so for the given current rating, lesser cross-sectional area of conductor is required and hence it provides lesser cross-sectional area to wind loads iii. The metal is quite homogeneous iv. It has low specific resistance v. It is durable and has a higher scrap value 8
  • 9.
    Aluminum • Next tocopper aluminum is the conductor used in order of performance as far as the conductivity is concerned. Its merits and demerits are: i. It is cheaper than copper ii. It is lighter in weight iii. It is second in conductivity (among the metals used for transmission). Commercial hard-down aluminum wire at standard temperature has approximately 60.6 per cent conductivity in comparison to standard annealed copper wire. iv. For same ohmic resistance, its diameter is about 1.27 times that of copper. v. At higher voltages it causes less corona loss vi. Since the diameter of the conductor is more, so it is subject to greater wind pressure due to which greater is the swing of the conductor and greater is the sag vii. Since the conductors are liable to swing, so it requires larger cross arms 9
  • 10.
    viii. As themelting point of the conductor is low , so the short circuit etc. will damage it . ix. Joining of aluminum is much more difficult than that of any other material • In the modern over head transmission system, bare aluminum conductors are used (for purpose of heat dissipation) which are classifies as: i) AAC - All Aluminum Conductors ii) AAAC - All Aluminum Alloy Conductors iii) ACSR – Aluminum Conductors Steel Reinforced iv) ACAR - Aluminum Conductors Alloy Reinforced Steel • No doubt it has got the greatest tensile strength, but it is least used for transmission of electrical energy as it has got high resistance. Bare steel conductors are not used since, it deteriorates rapidly owing to rusting. Generally galvanized steel wires are used. It has the following properties: i ) It is lowest in conductivity ii ) It has high internal reactance iii ) It is much subjected to eddy current and hysteresis loss iv ) In a damp atmosphere it is rusted • Hence its use is limited 10
  • 11.
    Line supports • Theline supports are poles and the chief requirements for such supports are: i ) They must be mechanically strong ii ) They must be light in weight without the loss of strength. iii ) They must have least number of parts. iv ) They must be cheap. v ) Their maintenance cost should be minimum. vi ) They must be easily accessible for point and erection of line conductors. vii ) They must have longer life. viii ) They must be of pleasing shape. 11
  • 12.
    • The differenttypes of poles which can be used as line supports are: a. Wooden poles b. Steel tubular poles c. Reinforced concrete poles d. Steel towers Fig.(1):Single phase single-circuit 12
  • 13.
    Design of transmissionline • There are various technical and economical considerations involved in design of a transmission line. • Various parameters such as power handling capacity of line, distance of transmission, voltage regulation and efficiency are specified. • The line voltage, size of phase conductors, span, spacing and configuration of conductors, number of insulators, clearances, and size of earth wires are included in the design. • With the help of these design parameters, the voltage regulation and efficiency of the transmission line can be determined. • A revised design is made if any of these quantities are not lying within the specified limits. 13
  • 14.
    Choice for TransmissionVoltage • The line voltage greatly affects the performance of line and its cost. For getting the optimum operating transmission voltage, we may use following empirical formula. • A standard voltage nearer to that obtained with above formula is selected for the given line. The formula gives the basic estimate. By considering various technical and economic aspects, it is possible to obtain the most economical voltage. • The detailed analysis can then be made based on results obtained in basic estimate which tells whether the voltage lies in EHV (Extra High Voltage 300 to 765 kV) range or UHV (ultra High Voltage > 765 kV) range. 14
  • 15.
    Conductor Size Selection •The size of conductors should be properly selected during the design as about 30 to 45 % of total cost of line is involved in cost of conductor. • The size of conductor decides cost of towers and foundations. • The losses in line are also dependent on size of conductor selected. Normally ACSR conductors are used which are available in variety of sizes. • The line should carry the rated current continuously without excessive temperature rise for given conductor size. – Due to temperature, the sag associated with the line and tensile strength is affected. – Due to high temperature, annealing of conductor takes place. Its typical value for copper and aluminum is around 100 °C. – The operating temperature of the line must be well below of this value and its typically taken as 750C in practice. – When current flows through a conductor, there are I2R losses taking place which causes heating of conductor. – Based on conductor heating and heat dissipation. temperature of conductor is increased, in case of overhead transmission lines, dissipation of heat is due to convection and radiation. 15
  • 16.
  • 17.
  • 18.
  • 19.
    Assumptions • For usingthe above formulas, it is necessary to assume suitable conductor temperature. air temperature. air velocity and surrounding temperature. • Based on these values, ampere carrying capacity of line for a given conductor can be determined. • This is the procedure used for deciding the conductor size for lines with operating voltages of 220 kV. • In case of EHV and UHV lines, radio interference and corona effect should also be taken into consideration. Such a conductor is usually thick. • Using bundled conductors, corona and radio interference is economically reduced. – The bundled conductor with two and four sub conductors are commonly used. 19
  • 20.
    Choice of Span •In line span is long then less number of towers will be required but the towers will be taller and expensive. The longer line span is used for higher operating voltage so that high cost of insulators Is reduced. • The reliability of transmission line can be improved by reducing number of towers by selecting greater line span. With appropriate line span for the given line, the cost of line will be minimum. • The height of tower and line span are not the only influencing factors for cost of line in some cases as lightning hazards increase considerably with increase in height of conductor from ground. – Now a days, a line span of 200 to 400 m is used for high voltage lines while for river and ravine crossing the line span will be of the order of 800 m. – For 400 kV lines, line spans in the range of 350 m to 400 m can be used. 20
  • 21.
    Spacing between theconductors • The most suitable spacing between the conductors can be arrived at by mathematical calculations. • It can only be obtained by empirical formulae which have been obtained from practical considerations. Fig.(7):Three-phase single circuit horizontal disposition of conductor and steel towers21
  • 22.
    Spacing between aconductors • For finding the spacing between a conductors the following empirical formula can be used 22
  • 23.
  • 24.
    Sag-tension calculations foroverhead lines • The theory of sag tension calculation is based on the fact that when a wire of uniform cross-section is suspended between two points at the same level, the wire sags down and assumes the shape of a parabolic or catenary shape. 24
  • 25.
    Fig.(15.1) Conductor suspendedbetween supports at same level 25
  • 26.
  • 27.
  • 28.
  • 29.
  • 30.
  • 31.
  • 32.
  • 33.
  • 34.
    Effect of icecovering and wind over the line • Under the severest conditions of ice covering and wind, the stress over the line is increased to the maximum. The ice covering over the conductor increase the weight of the conductor per unit length. Let, (d cm) be the diameter of the conductor and (r cm) be the radial thickness of ice. Fig.(16): Representation of conductor covered with ice 34
  • 35.
    • Cross-sectional areaof the conductor • Overall cross-sectional area when covered with ice • Sectional area of the ice 2 4 d   2 ( 2 ) 4 d r    2 2 2 2 2 2 2 = ( 2 ) 4 4 = [ ( 2 ) ] 4 = [ 4 4 ] 4 = ( ) d d r d r d d r d r d r d r              35
  • 36.
    • Density ofice • Weight of ice per meter length • The effect of wind is allowed for by assuming that the wind is blowing with a velocity of ( 80.45 km) per hour across the line. It is equivalent to a pressure of (33.7 kg) per square meter of the projected surface to the line to ice. • The projected surface per meter length of the conductor 3 0.915 / cm g  3 ( ) 100 0.915 10 Kg 0.287 ( ) Kg r d r r d r          36 ( 2 ) 1 sq.m 100 d r   
  • 37.
    ( 2 ) 33.7 100 0.337( 2 ) Kg w d r P d r      37 Fig.(11):Representation of resultant force acting on the conductor . So, the resultant force Wi acting on the conductor from figure, is given as: 2 2 ( ) i i w W w w P   
  • 38.
  • 39.
  • 40.
    Example An overhead linehas a span of 220 meters, the lines conductor weights 684 kg. per 1,000 meters. Calculate the max. sag in the line, if the maximum allowable tension in the line is 1,450 kg Solution Maximum sag = 2 0 8 W T l 220 m  l Weight per unit length 684 Kg 1,000 0.684 Kg   0 1,450 Kg T  Max. sag 0.684 220 220 8 1,450 2.85 m      40
  • 41.