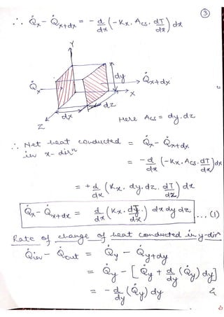
Cartesian Coordinates Derivation.pdf
Cartesian Coordinates Derivation.pdf
Cartesian Coordinates Derivation.pdf
Cartesian Coordinates Derivation.pdf
Cartesian Coordinates Derivation.pdf
Cartesian Coordinates Derivation.pdf