NUMERICAL METHODS FOR
2-D HEAT TRANSFER
KARTHIKA M
202112010
CHEMICAL ENGINEERING
19.04.2013
• Due to the increasing complexities
encountered in the development of modern
technology, analytical solutions usually are not
available.
• For these problems, numerical solutions
obtained using high-speed computer are very
useful, especially when the geometry of the
object of interest is irregular, or the boundary
conditions are nonlinear.


Numerical methods are necessary to solve many practical
problems in heat conduction that involve:
– complex 2D and 3D geometries
– complex boundary conditions
– variable properties



An appropriate numerical method can produce a useful
approximate solution to the temperature field T(x,y,z,t); the
method must be
– sufficiently accurate
– stable
– computationally efficient
General Features







A numerical method involves a discretization process, where
the solution domain is divided into subdomains and nodes
The PDE that describes heat conduction is replaced by a
system of algebraic equations, one for each subdomain in
terms of nodal temperatures
A solution to the system of algebraic equations almost always
requires the use of a computer
As the number of nodes (or subdomains) increase, the
numerical solution should approach the exact solution
Numerical methods introduce error and the possibility of
solution instability
Types of Numerical Methods
1. The Finite Difference Method (FDM)
– subdomains are rectangular and nodes form a
regular grid network
– nodal values of temperature constitute the
numerical solution; no interpolation functions are
included
– discretization equations can be derived from
Taylor series expansions or from a control volume
approach
2. The Finite Element Method (FEM)
– subdomain may be any polygon shape, even with
curved sides; nodes can be placed anywhere in
subdomain
– numerical solution is written as a finite series sum
of interpolation functions, which may be linear,
quadratic, cubic, etc.
– solution provides nodal temperatures and
interpolation functions for each subdomain
• In heat transfer problems, the finite difference method
is used more often and will be discussed here.
• The finite difference method involves:
 Establish nodal networks
 Derive finite difference approximations for the
governing equation at both interior and exterior nodal
points
 Develop a system of simultaneous algebraic nodal
equations
 Solve the system of equations using numerical schemes
The Nodal Networks
The basic idea is to subdivide the area of interest into sub-volumes with the distance
between adjacent nodes by Dx and Dy as shown. If the distance between points is small
enough, the differential equation can be approximated locally by a set of finite difference
equations. Each node now represents a small region where the nodal temperature is a
measure of the average temperature of the region.
Example:

Dx

m,n+1

m-1,n

m,n

m+1, n

Dy

m,n-1
x=mDx, y=nDy

m+½,n
m-½,n
intermediate points
Finite Difference Approximation
q 1 T
Heat Diffusion Equation:  T  
,
k  t
k
where  =
is the thermal diffusivity
 C PV
2


No generation and steady state: q=0 and
 0,  2T  0
t
First, approximated the first order differentiation
at intermediate points (m+1/2,n) & (m-1/2,n)
T
DT

x ( m 1/ 2,n ) Dx
T
DT

x ( m 1/ 2,n ) Dx

( m 1/ 2,n )

Tm 1,n  Tm ,n

Dx

( m 1/ 2,n )

Tm ,n  Tm 1,n

Dx
Finite Difference Approximation (cont.)
Next, approximate the second order differentiation at m,n
 2T
x 2
 2T
x 2


m ,n

m ,n

T / x m 1/ 2,n  T / x m 1/ 2,n
Dx

Tm 1,n  Tm 1,n  2Tm ,n

( Dx ) 2

Similarly, the approximation can be applied to
the other dimension y
 2T
y 2

m ,n

Tm ,n 1  Tm ,n 1  2Tm ,n

( Dy ) 2
Finite Difference Approximation (cont.)
Tm 1,n  Tm 1,n  2Tm ,n Tm ,n 1  Tm ,n 1  2Tm ,n
  2T  2T 

 x 2  y 2  
2
( Dx )
( Dy ) 2

 m ,n
To model the steady state, no generation heat equation: 2T  0
This approximation can be simplified by specify Dx=Dy
and the nodal equation can be obtained as
Tm 1,n  Tm 1,n  Tm ,n 1  Tm ,n 1  4Tm ,n  0
This equation approximates the nodal temperature distribution based on
the heat equation. This approximation is improved when the distance
between the adjacent nodal points is decreased:
DT T
DT T
Since lim( Dx  0)

,lim( Dy  0)

Dx x
Dy y
A System of Algebraic Equations
• The nodal equations derived previously are valid for all interior
points satisfying the steady state, no generation heat equation.

For each node, there is one such equation.
For example: for nodal point m=3, n=4, the equation is
T2,4 + T4,4 + T3,3 + T3,5 - 4T3,4 =0
T3,4=(1/4)(T2,4 + T4,4 + T3,3 + T3,5)
• Derive one equation for each nodal point (including both
interior and exterior points) in the system of interest. The result is
a system of N algebraic equations for a total of N nodal points.
Matrix Form
The system of equations:
a11T1  a12T2   a1N TN  C1
a21T1  a22T2 

 a2 N TN  C2

a N 1T1  a N 2T2 

 a NN TN  CN

A total of N algebraic equations for the N nodal points and the system can be
expressed as a matrix formulation: [A][T]=[C]

 a11 a12
a
a22
21
where A= 


aN 1 aN 2

a1N 
 T1 
 C1 
T 
C 
a2 N 
 , T   2  ,C   2 

 
 

 
 
aNN 
TN 
C N 
Numerical Solutions
Matrix form: [A][T]=[C].
From linear algebra: [A]-1[A][T]=[A]-1[C], [T]=[A]-1[C]
where [A]-1 is the inverse of matrix [A]. [T] is the solution vector.
• Matrix inversion requires cumbersome numerical computations and is not efficient if
the order of the matrix is high (>10).

• For high order matrix, iterative methods are usually more efficient. The famous
Jacobi & Gauss-Seidel iteration methods will be introduced in the following.
Iteration
General algebraic equation for nodal point:
i 1

a T
j 1

ij

j

 aiiTi 

N

aT

j i 1

ij

j

 Ci ,

(Example : a31T1  a32T2  a33T3 

 a1N TN  C1 , i  3)

Rewrite the equation of the form:
N
aij ( k 1)
Ci i 1 aij ( k )
(k )
Ti    T j   T j
aii j 1 aii
j i 1 aii

Replace (k) by (k-1)
for the Jacobi iteration

• (k) - specify the level of the iteration, (k-1) means the present level and (k) represents
the new level.
• An initial guess (k=0) is needed to start the iteration.
• By substituting iterated values at (k-1) into the equation, the new values at iteration
(k) can be estimated
• The iteration will be stopped when maxTi(k)-Ti(k-1), where  specifies a
predetermined value of acceptable error
CASE STUDY
Finite Volume Method Analysis of Heat Transfer in
Multi-Block Grid During Solidification
Eliseu Monteiro1, Regina Almeida2 and Abel Rouboa3
1CITAB/UTAD - Engineering Department of
University of Tr´as-os-Montes e Alto Douro, Vila Real
2CIDMA/UA - Mathematical Department of
University of Tr´as-os-Montes e Alto Douro, Vila Real
3CITAB/UTAD - Department of Mechanical Engineering and
Applied Mechanics of University of Pennsylvania,
Philadelphia, PA
1,2Portugal
3USA
The governing differential equation for the solidification problem may
be written in the following conservative form
∂ (ρCPφ)
∂t

= ∇· (k∇φ) + q˙

(1)

where ∂(ρCPφ) ∂t represents the transient contribution to the
conservative energy equation (φ temperature); ∇· (k∇φ) is the
diffusive contribution to the energy equation and q˙ represents the
energy released during the phase change.
undary conditions
Numerical solution method
• Finite volume method
Finite difference method
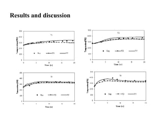
Results and discussion
• Iterative performance of the three different
numerical methods are also given.
Concluding remarks
A multi-block grid generated by bilinear interpolation was successfully applied in
combination with a generalized curvilinear coordinates system to a complex
geometry in a casting solidification scenario. To model the phase change a
simplified two dimensional mathematical model was used based on the energy
differential equation. Two discretization methods: finite differences and finite
volume were applied in order to determine, by comparison with experimental

measurements, which works better in these conditions. For this reason a coarse
grid was used. A good agreement between both discretization methods was
obtained with a slight advantage for the finite volume method. This could be
explained due to the use of more information by the finite volume method to

compute each temperature value than the finite differences method. The multiblock grid in combination with a generalized curvilinear coordinates system has
considerably advantages such as:
• better capacity to describe the contours through a lesser
number of elements, which considerably reduces the
computational time;
• - any physical feature of the cast part or mold can be
straightforwardly defined and obtained in a specific zone of
the domain;
• - the difficulty of the several virtual interfaces created by the
geometry division are easily overcome by the continuity
condition
THANK YOU

Numerical methods for 2 d heat transfer

  • 1.
    NUMERICAL METHODS FOR 2-DHEAT TRANSFER KARTHIKA M 202112010 CHEMICAL ENGINEERING 19.04.2013
  • 2.
    • Due tothe increasing complexities encountered in the development of modern technology, analytical solutions usually are not available. • For these problems, numerical solutions obtained using high-speed computer are very useful, especially when the geometry of the object of interest is irregular, or the boundary conditions are nonlinear.
  • 3.
     Numerical methods arenecessary to solve many practical problems in heat conduction that involve: – complex 2D and 3D geometries – complex boundary conditions – variable properties  An appropriate numerical method can produce a useful approximate solution to the temperature field T(x,y,z,t); the method must be – sufficiently accurate – stable – computationally efficient
  • 4.
    General Features      A numericalmethod involves a discretization process, where the solution domain is divided into subdomains and nodes The PDE that describes heat conduction is replaced by a system of algebraic equations, one for each subdomain in terms of nodal temperatures A solution to the system of algebraic equations almost always requires the use of a computer As the number of nodes (or subdomains) increase, the numerical solution should approach the exact solution Numerical methods introduce error and the possibility of solution instability
  • 5.
    Types of NumericalMethods 1. The Finite Difference Method (FDM) – subdomains are rectangular and nodes form a regular grid network – nodal values of temperature constitute the numerical solution; no interpolation functions are included – discretization equations can be derived from Taylor series expansions or from a control volume approach
  • 6.
    2. The FiniteElement Method (FEM) – subdomain may be any polygon shape, even with curved sides; nodes can be placed anywhere in subdomain – numerical solution is written as a finite series sum of interpolation functions, which may be linear, quadratic, cubic, etc. – solution provides nodal temperatures and interpolation functions for each subdomain
  • 7.
    • In heattransfer problems, the finite difference method is used more often and will be discussed here. • The finite difference method involves:  Establish nodal networks  Derive finite difference approximations for the governing equation at both interior and exterior nodal points  Develop a system of simultaneous algebraic nodal equations  Solve the system of equations using numerical schemes
  • 8.
    The Nodal Networks Thebasic idea is to subdivide the area of interest into sub-volumes with the distance between adjacent nodes by Dx and Dy as shown. If the distance between points is small enough, the differential equation can be approximated locally by a set of finite difference equations. Each node now represents a small region where the nodal temperature is a measure of the average temperature of the region. Example: Dx m,n+1 m-1,n m,n m+1, n Dy m,n-1 x=mDx, y=nDy m+½,n m-½,n intermediate points
  • 9.
    Finite Difference Approximation q1 T Heat Diffusion Equation:  T   , k  t k where  = is the thermal diffusivity  C PV 2  No generation and steady state: q=0 and  0,  2T  0 t First, approximated the first order differentiation at intermediate points (m+1/2,n) & (m-1/2,n) T DT  x ( m 1/ 2,n ) Dx T DT  x ( m 1/ 2,n ) Dx ( m 1/ 2,n ) Tm 1,n  Tm ,n  Dx ( m 1/ 2,n ) Tm ,n  Tm 1,n  Dx
  • 10.
    Finite Difference Approximation(cont.) Next, approximate the second order differentiation at m,n  2T x 2  2T x 2  m ,n m ,n T / x m 1/ 2,n  T / x m 1/ 2,n Dx Tm 1,n  Tm 1,n  2Tm ,n  ( Dx ) 2 Similarly, the approximation can be applied to the other dimension y  2T y 2 m ,n Tm ,n 1  Tm ,n 1  2Tm ,n  ( Dy ) 2
  • 11.
    Finite Difference Approximation(cont.) Tm 1,n  Tm 1,n  2Tm ,n Tm ,n 1  Tm ,n 1  2Tm ,n   2T  2T    x 2  y 2   2 ( Dx ) ( Dy ) 2   m ,n To model the steady state, no generation heat equation: 2T  0 This approximation can be simplified by specify Dx=Dy and the nodal equation can be obtained as Tm 1,n  Tm 1,n  Tm ,n 1  Tm ,n 1  4Tm ,n  0 This equation approximates the nodal temperature distribution based on the heat equation. This approximation is improved when the distance between the adjacent nodal points is decreased: DT T DT T Since lim( Dx  0)  ,lim( Dy  0)  Dx x Dy y
  • 12.
    A System ofAlgebraic Equations • The nodal equations derived previously are valid for all interior points satisfying the steady state, no generation heat equation. For each node, there is one such equation. For example: for nodal point m=3, n=4, the equation is T2,4 + T4,4 + T3,3 + T3,5 - 4T3,4 =0 T3,4=(1/4)(T2,4 + T4,4 + T3,3 + T3,5) • Derive one equation for each nodal point (including both interior and exterior points) in the system of interest. The result is a system of N algebraic equations for a total of N nodal points.
  • 13.
    Matrix Form The systemof equations: a11T1  a12T2   a1N TN  C1 a21T1  a22T2   a2 N TN  C2 a N 1T1  a N 2T2   a NN TN  CN A total of N algebraic equations for the N nodal points and the system can be expressed as a matrix formulation: [A][T]=[C]  a11 a12 a a22 21 where A=    aN 1 aN 2 a1N   T1   C1  T  C  a2 N   , T   2  ,C   2            aNN  TN  C N 
  • 14.
    Numerical Solutions Matrix form:[A][T]=[C]. From linear algebra: [A]-1[A][T]=[A]-1[C], [T]=[A]-1[C] where [A]-1 is the inverse of matrix [A]. [T] is the solution vector. • Matrix inversion requires cumbersome numerical computations and is not efficient if the order of the matrix is high (>10). • For high order matrix, iterative methods are usually more efficient. The famous Jacobi & Gauss-Seidel iteration methods will be introduced in the following.
  • 15.
    Iteration General algebraic equationfor nodal point: i 1 a T j 1 ij j  aiiTi  N aT j i 1 ij j  Ci , (Example : a31T1  a32T2  a33T3   a1N TN  C1 , i  3) Rewrite the equation of the form: N aij ( k 1) Ci i 1 aij ( k ) (k ) Ti    T j   T j aii j 1 aii j i 1 aii Replace (k) by (k-1) for the Jacobi iteration • (k) - specify the level of the iteration, (k-1) means the present level and (k) represents the new level. • An initial guess (k=0) is needed to start the iteration. • By substituting iterated values at (k-1) into the equation, the new values at iteration (k) can be estimated • The iteration will be stopped when maxTi(k)-Ti(k-1), where  specifies a predetermined value of acceptable error
  • 16.
    CASE STUDY Finite VolumeMethod Analysis of Heat Transfer in Multi-Block Grid During Solidification Eliseu Monteiro1, Regina Almeida2 and Abel Rouboa3 1CITAB/UTAD - Engineering Department of University of Tr´as-os-Montes e Alto Douro, Vila Real 2CIDMA/UA - Mathematical Department of University of Tr´as-os-Montes e Alto Douro, Vila Real 3CITAB/UTAD - Department of Mechanical Engineering and Applied Mechanics of University of Pennsylvania, Philadelphia, PA 1,2Portugal 3USA
  • 17.
    The governing differentialequation for the solidification problem may be written in the following conservative form ∂ (ρCPφ) ∂t = ∇· (k∇φ) + q˙ (1) where ∂(ρCPφ) ∂t represents the transient contribution to the conservative energy equation (φ temperature); ∇· (k∇φ) is the diffusive contribution to the energy equation and q˙ represents the energy released during the phase change.
  • 18.
  • 19.
    Numerical solution method •Finite volume method
  • 21.
  • 24.
  • 26.
    • Iterative performanceof the three different numerical methods are also given.
  • 27.
    Concluding remarks A multi-blockgrid generated by bilinear interpolation was successfully applied in combination with a generalized curvilinear coordinates system to a complex geometry in a casting solidification scenario. To model the phase change a simplified two dimensional mathematical model was used based on the energy differential equation. Two discretization methods: finite differences and finite volume were applied in order to determine, by comparison with experimental measurements, which works better in these conditions. For this reason a coarse grid was used. A good agreement between both discretization methods was obtained with a slight advantage for the finite volume method. This could be explained due to the use of more information by the finite volume method to compute each temperature value than the finite differences method. The multiblock grid in combination with a generalized curvilinear coordinates system has considerably advantages such as:
  • 28.
    • better capacityto describe the contours through a lesser number of elements, which considerably reduces the computational time; • - any physical feature of the cast part or mold can be straightforwardly defined and obtained in a specific zone of the domain; • - the difficulty of the several virtual interfaces created by the geometry division are easily overcome by the continuity condition
  • 29.