 Drugs having the cardiac ionotropic
property increase in force of contraction
of heart muscles.
 They increase the myocardial contractility and
improves cardiac output without proportionate
increase in Oxygen consumption
 Do not increase the heart rate.
 Digitalis is the genus name for the family
of the plants that provide most of the
medically useful cardiac glycosides -
Digoxin
 Cardenolides and Bufadienolides
 Digitalis purpurea – Digitoxin, Gitoxin and
Gitalin
 Digitalis lanata - Digitoxin, Gitoxin and
Digoxin
 Strophanthus gratus – Ouabin
 Thevetia nerifolia – Thevetin
 Convallaria majalis – Convallotoxin
 Bufo vulgris - Bufotoxin
Digitalis purpurea Digitalis lanata
Strophanthus gratus
Urginea maritima Thevetia
nerifolia
Convallaria majalis
 All Cardiac glycosides
aglycone (genin) part
(active pharmacologically)
sugar (glucose or digitoxose)
attached at Carbon 3 of
nucleus
 Aglycone : Steroid ring
(cyclopentanoperhydrophena
nthrene ring) and lactone
ring attached at 17th position
Cardio-active Glycosides
•Group of steroidal glycosides act as cardiotonic agent.
•They increase tone, excitability and contractility of
cardiac muscles.
General properties of Cardiac Glycosides :
Amorphous powder
Bitter taste
Solubility in H2O
Insolubility in Organic solvents
Very toxic compounds
Odorless
7
 Solubility:
 Glycosides are soluble in water and alcohols.
 Increase number of sugars increase water solubility.
 Aglycones soluble in CHCl3 and EtOAc.
 Stability:
 Acid hydrolysis:
 Split sugars from the aglycone first.
 Enzymatic hydrolysis:
 Split sugars stepwise starting from the terminal sugar.
8
 Acts on Failing Heart:
 Inability of the heart to pump sufficient blood to meet
the metabolic demands of the body
 Reduced efficiency of the heart as a pump
According to their therapeutic effects:
CHF(congestive heart failure) and cardiac muscle
stimulators such as:
 Digitalis glycosides: digoxin, digitoxin, gitoxin
(Fox glove leaves).
 Ouabain: Strophanthus gratus seeds.
 K-strophanthin: Strophanthus kombe seeds.
 Scillaren A,B which isolated from red and white
Squill bulbs. 10
According to the type of lactone ring:
1. Cardenolide (one double bond, lactone ring) :
Has five member lactone ring (unsaturated) attached at C17 B position
of steroidal nucleus.
Examples:
Digitalis glycosides:
Digoxin
Digitoxin
Gitoxin
Strophanthus gratus glycoside :
Oubain
Strophanthus Kombe glycoside :
K- strophanthin
2. Bufadienolide: (contain two double bonds, lactone ring):
Has six member ( unsaturated ) lactone ring attached at C-17 alpha –
position
Example:
Squill bulb glycoside
Scillaren 11
Nomenclature :
The cardiac glycosides occur mainly in plants from which the
names have been derived.
Digitalis purpurea,
Digitalis lanata,
Strophanthus kombe are the major sources of the
cardiac glycosides.
Aglycone moiety:
The term 'genin' at the end refers to only the aglycone
portion (without the sugar).
The aglycone portion of cardiac glycosides is more
important than the glycone portion.
Aglycone part has steroidal nucleus
(cyclopentanoperhudrophenanthrene)
12
Sugar moiety(glycone) :
The glycosides usually contain 3 to 4 sugars attached at C-3
OH.
The sugars most commonly used include L-rhamnose, D-
glucose, D-digitoxose, D-digitalose, D-digginose.
Beside Glucose and Rhamnose they usually contain
deoxysugars.
These sugars predominantly exist in the cardiac glycosides in
the β-conformation.
Digitoxose Digitose
13
STRUCTURE:
These are composed of two structural features :
the sugar (glycone) moiety and
the non-sugar (aglycone - steroid) moieties.
14
The R group at the 17-position defines the class of cardiac
glycoside.
Two classes have been observed in Nature:
1. cardenolides and
2. bufadienolides .
The cardenolides have an unsaturated butyrolactone ring
While the bufadienolides have an a-pyrone ring.
15
 Steroidal nucleus must be present.
 3b-OH group involved in glycosidic linkage.
 14b-OH group at C-14.
 A/B ring junction cis
 B/C ring junction trans
 C/D ring junction cis
 Additional oH groups at C-5, C-11 and C-16 may be
present.
 The presence of lactone ring
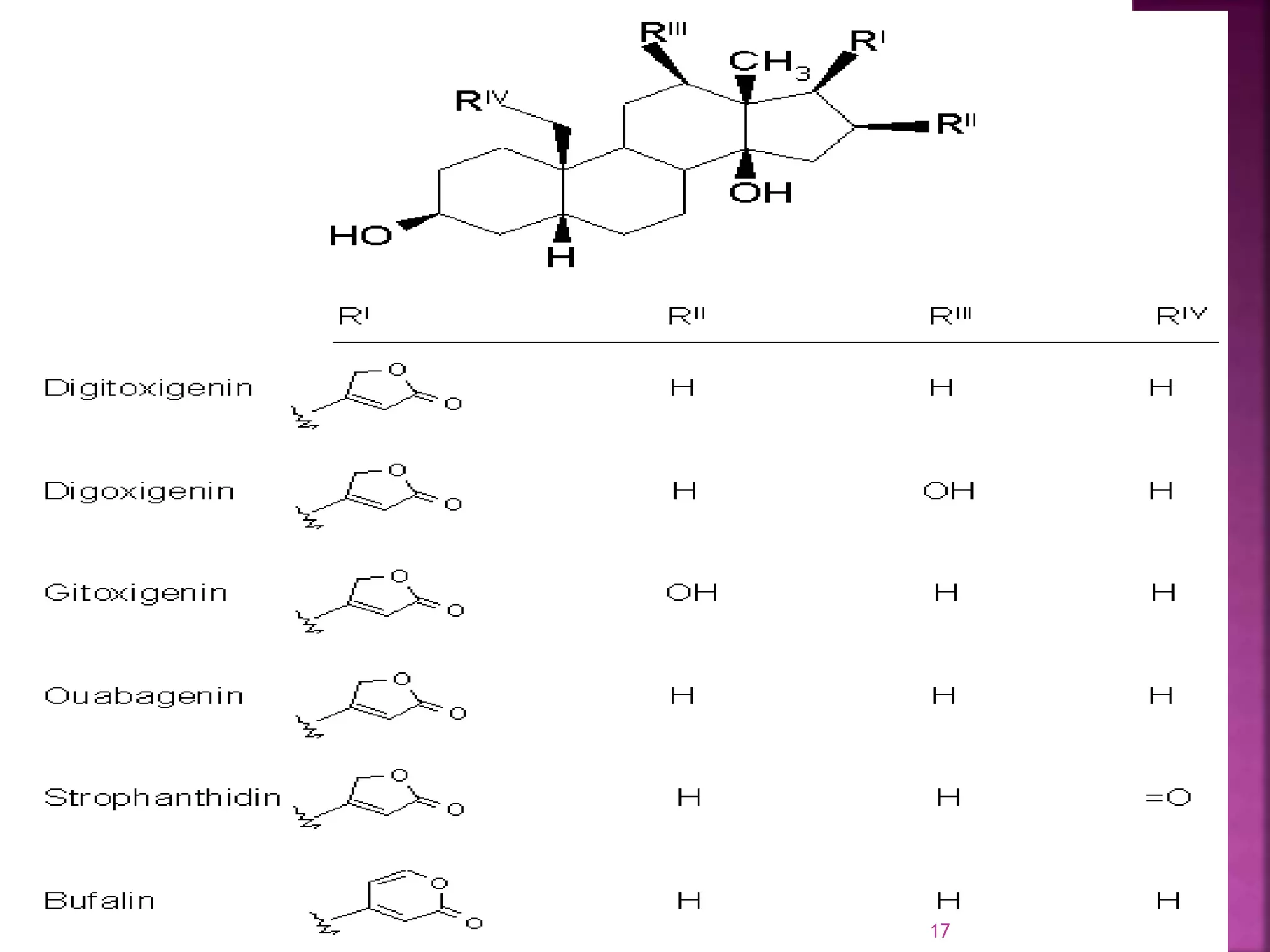
16
17
 Scrophulariaceae family:
 foxglove - biennial flowering plants
 cases of poisoning rare
 natural emetic if eaten in excess
 Digitalis purpurea leaf – purple, British
 Digitalis Tablets B.P.
 Tincture of Digitalis B.P.
 commercially grown Holland, E. Europe
 Digitalis lanata leaf – white,
Mediterranean
 used for manufacture of pure glycosides
 i.e. digoxin, lanatoside C
 commericially produced Holland, Equador, USA
18
 Digitalis consists of the
dried leaves of Digitalis
purpurea.
 It is required to contain
at least 0.3% of total
cardinolides calculated
as digitoxin.
 Parts Used: Leaves
 Habitat: Native to
Western Europe.
Although the plant is
cultivated, wild plants
are thought to be
superior.
19
 Glycosides
 purpurea glycoside A
 purpurea glycoside B
 Glucogitaloxin
 Steroid cardenolides
 contains 30 glycosides, 6 main ones
 At C-3 of the genin: a linear chain of 3 digitoxose sugar
moieties terminated by glucose.
 On drying: enzyme degradation takes place  loss of the terminal
glucose. Produces
 Digitoxin
 Gitoxin
 Gitaloxin
 also contains anthraquinone glycosides
 Saponins
 Sopogenins
 Flavonoids
20
 compounds belong to
cardenolide series
 5 membered lactone ring
 approx 96 compounds
 [1930-1950 Stroll
worked on structures]
R1 R2 Names 1y 2y
H H digitoxigenin A A digitoxin
H OH gitoxigenin B B gitoxin
OH H digoxigenin C C digoxin
OH OH diginatigenin D D diginatin
H formylester gitaloxigenin E E gitaloxin
21
*
* Acetyl group
confers crystalline
properties - makes
compounds more
easily isolated
Some cardioactive glycosides from D.lanata:
22
 sugar found on primary glycosides of D.lanata.
 glucose on the end of a chain of O-linked digitoxose
sugars at C3.
 expect about 10 compounds from D.lanata
 important ones:
 Digoxin “Lanoxin” – Wellcome – 0.25 μg white tablet
 Digitoxin “Digitalin” 0.25 μg small pink tablet
 Lanatoside “Cedilanid” 0.10 μg – less well absorbed but
used for rapid digitalisation
 Others not marketed, used experimentally 23
 They are Cardiotonics used to treat Congestive heart
failure(CHF).
 They increase force of contraction of cardiac muscles without
increase oxygen consumption.
 Increase cardiac output.
 The diastolic phase last longer so decrease heart rate.
 Have diuretic effect due to increase amount of blood passing
through the kidney. 24
 General test for steroids:
 Liebermann’s test:
 Glycoside in acetic anhydride + Few drops of conc. H2SO4
Reddish violet Green
 Test for Deoxysugars:
 Keller-Kiliani’s Test:
 Glycoside in acetic anhydride containing traces of FeCl3 +
conc. H2SO4 on the wall of the tube
Acetic acid layer acquire Bluish-green colour (Digitalis)
Acetic acid layer acquire Red colour (Squill)
25
 Test for 5-membered lactone ring:
 Legal’s test:
 Cardenolide in pyridine + Na nitroprusside + NaOH
deep red colour.
 Kedde’s test :
 Cardenolide+ 3,5 dinitrobenzoic acid (Kedde’s reagent A)
+ NaOH (Kedde’s reagent B)  violet colour.
26

Cardiac Glycosides.ppt 5th sem.ppt

  • 2.
     Drugs havingthe cardiac ionotropic property increase in force of contraction of heart muscles.  They increase the myocardial contractility and improves cardiac output without proportionate increase in Oxygen consumption  Do not increase the heart rate.  Digitalis is the genus name for the family of the plants that provide most of the medically useful cardiac glycosides - Digoxin
  • 3.
     Cardenolides andBufadienolides  Digitalis purpurea – Digitoxin, Gitoxin and Gitalin  Digitalis lanata - Digitoxin, Gitoxin and Digoxin  Strophanthus gratus – Ouabin  Thevetia nerifolia – Thevetin  Convallaria majalis – Convallotoxin  Bufo vulgris - Bufotoxin
  • 4.
    Digitalis purpurea Digitalislanata Strophanthus gratus
  • 5.
  • 6.
     All Cardiacglycosides aglycone (genin) part (active pharmacologically) sugar (glucose or digitoxose) attached at Carbon 3 of nucleus  Aglycone : Steroid ring (cyclopentanoperhydrophena nthrene ring) and lactone ring attached at 17th position
  • 7.
    Cardio-active Glycosides •Group ofsteroidal glycosides act as cardiotonic agent. •They increase tone, excitability and contractility of cardiac muscles. General properties of Cardiac Glycosides : Amorphous powder Bitter taste Solubility in H2O Insolubility in Organic solvents Very toxic compounds Odorless 7
  • 8.
     Solubility:  Glycosidesare soluble in water and alcohols.  Increase number of sugars increase water solubility.  Aglycones soluble in CHCl3 and EtOAc.  Stability:  Acid hydrolysis:  Split sugars from the aglycone first.  Enzymatic hydrolysis:  Split sugars stepwise starting from the terminal sugar. 8
  • 9.
     Acts onFailing Heart:  Inability of the heart to pump sufficient blood to meet the metabolic demands of the body  Reduced efficiency of the heart as a pump
  • 10.
    According to theirtherapeutic effects: CHF(congestive heart failure) and cardiac muscle stimulators such as:  Digitalis glycosides: digoxin, digitoxin, gitoxin (Fox glove leaves).  Ouabain: Strophanthus gratus seeds.  K-strophanthin: Strophanthus kombe seeds.  Scillaren A,B which isolated from red and white Squill bulbs. 10
  • 11.
    According to thetype of lactone ring: 1. Cardenolide (one double bond, lactone ring) : Has five member lactone ring (unsaturated) attached at C17 B position of steroidal nucleus. Examples: Digitalis glycosides: Digoxin Digitoxin Gitoxin Strophanthus gratus glycoside : Oubain Strophanthus Kombe glycoside : K- strophanthin 2. Bufadienolide: (contain two double bonds, lactone ring): Has six member ( unsaturated ) lactone ring attached at C-17 alpha – position Example: Squill bulb glycoside Scillaren 11
  • 12.
    Nomenclature : The cardiacglycosides occur mainly in plants from which the names have been derived. Digitalis purpurea, Digitalis lanata, Strophanthus kombe are the major sources of the cardiac glycosides. Aglycone moiety: The term 'genin' at the end refers to only the aglycone portion (without the sugar). The aglycone portion of cardiac glycosides is more important than the glycone portion. Aglycone part has steroidal nucleus (cyclopentanoperhudrophenanthrene) 12
  • 13.
    Sugar moiety(glycone) : Theglycosides usually contain 3 to 4 sugars attached at C-3 OH. The sugars most commonly used include L-rhamnose, D- glucose, D-digitoxose, D-digitalose, D-digginose. Beside Glucose and Rhamnose they usually contain deoxysugars. These sugars predominantly exist in the cardiac glycosides in the β-conformation. Digitoxose Digitose 13
  • 14.
    STRUCTURE: These are composedof two structural features : the sugar (glycone) moiety and the non-sugar (aglycone - steroid) moieties. 14
  • 15.
    The R groupat the 17-position defines the class of cardiac glycoside. Two classes have been observed in Nature: 1. cardenolides and 2. bufadienolides . The cardenolides have an unsaturated butyrolactone ring While the bufadienolides have an a-pyrone ring. 15
  • 16.
     Steroidal nucleusmust be present.  3b-OH group involved in glycosidic linkage.  14b-OH group at C-14.  A/B ring junction cis  B/C ring junction trans  C/D ring junction cis  Additional oH groups at C-5, C-11 and C-16 may be present.  The presence of lactone ring 16
  • 17.
  • 18.
     Scrophulariaceae family: foxglove - biennial flowering plants  cases of poisoning rare  natural emetic if eaten in excess  Digitalis purpurea leaf – purple, British  Digitalis Tablets B.P.  Tincture of Digitalis B.P.  commercially grown Holland, E. Europe  Digitalis lanata leaf – white, Mediterranean  used for manufacture of pure glycosides  i.e. digoxin, lanatoside C  commericially produced Holland, Equador, USA 18
  • 19.
     Digitalis consistsof the dried leaves of Digitalis purpurea.  It is required to contain at least 0.3% of total cardinolides calculated as digitoxin.  Parts Used: Leaves  Habitat: Native to Western Europe. Although the plant is cultivated, wild plants are thought to be superior. 19
  • 20.
     Glycosides  purpureaglycoside A  purpurea glycoside B  Glucogitaloxin  Steroid cardenolides  contains 30 glycosides, 6 main ones  At C-3 of the genin: a linear chain of 3 digitoxose sugar moieties terminated by glucose.  On drying: enzyme degradation takes place  loss of the terminal glucose. Produces  Digitoxin  Gitoxin  Gitaloxin  also contains anthraquinone glycosides  Saponins  Sopogenins  Flavonoids 20
  • 21.
     compounds belongto cardenolide series  5 membered lactone ring  approx 96 compounds  [1930-1950 Stroll worked on structures] R1 R2 Names 1y 2y H H digitoxigenin A A digitoxin H OH gitoxigenin B B gitoxin OH H digoxigenin C C digoxin OH OH diginatigenin D D diginatin H formylester gitaloxigenin E E gitaloxin 21 * * Acetyl group confers crystalline properties - makes compounds more easily isolated
  • 22.
  • 23.
     sugar foundon primary glycosides of D.lanata.  glucose on the end of a chain of O-linked digitoxose sugars at C3.  expect about 10 compounds from D.lanata  important ones:  Digoxin “Lanoxin” – Wellcome – 0.25 μg white tablet  Digitoxin “Digitalin” 0.25 μg small pink tablet  Lanatoside “Cedilanid” 0.10 μg – less well absorbed but used for rapid digitalisation  Others not marketed, used experimentally 23
  • 24.
     They areCardiotonics used to treat Congestive heart failure(CHF).  They increase force of contraction of cardiac muscles without increase oxygen consumption.  Increase cardiac output.  The diastolic phase last longer so decrease heart rate.  Have diuretic effect due to increase amount of blood passing through the kidney. 24
  • 25.
     General testfor steroids:  Liebermann’s test:  Glycoside in acetic anhydride + Few drops of conc. H2SO4 Reddish violet Green  Test for Deoxysugars:  Keller-Kiliani’s Test:  Glycoside in acetic anhydride containing traces of FeCl3 + conc. H2SO4 on the wall of the tube Acetic acid layer acquire Bluish-green colour (Digitalis) Acetic acid layer acquire Red colour (Squill) 25
  • 26.
     Test for5-membered lactone ring:  Legal’s test:  Cardenolide in pyridine + Na nitroprusside + NaOH deep red colour.  Kedde’s test :  Cardenolide+ 3,5 dinitrobenzoic acid (Kedde’s reagent A) + NaOH (Kedde’s reagent B)  violet colour. 26