Calculus’ Problem 
solutions 
Calculus
Question - 1 
a 
1 
Evaluate I =  
ey2 dy dx by 
changing the 0 
x 
order. Where 
a=roll number
Solution - 1 
x=0 to x=2 and y=x to y=1 
**Here, given strip is vertical strip so we’ll convert it into 
the horizontal strips. 
y=0 to y=2 and x=0 to x=y 
2 
y 
 
2 
I = ey2 dy dx 
0 0 
y 
 
I = ey2 dy dx 
 
0 
0 
2 
I = ey2 dy [y-0] 
0  
 
 

2 
I = yey2 dy 
0  
2 
 
1 
2 
 
 
I = 2y ey2 dy 
 
I = 
0 
1 
2 
2 
2 [ ] x e 
0 
 1 
I = [e4-1] , Answer 
2
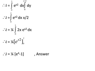
Question - 2 
1 
a 
Evaluate I=   
ex2 dy dx by 
0 
ay 
changing the order. 
Where a=roll number.
Solution - 2 
y=0 to y=1 and x=2y to x=2 
**Here, given strip is horizontal strip so we’ll 
convert it into the vertical strips. 
x=0 to x=2 and y=0 to y=x/2 
x 
2 /2 
   
I = ex2 dy dx 
0 0
2 
x 
 
/2 
 
I = ex2 dx dy 
 
0 
0 
2 
I = ex2 dx x/2 
 
0 
2 
 
I = ¼ 2x ex2 dx 
 
 
I = ¼ 
 
0 
2 
2 [ ] x e 
0 
I = ¼ [e4-1] , Answer 

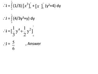
Question - 3 
1 
x 
Evaluate I =  
(x2+y2+a2) 
0 0 
dy dx by changing the 
order. Where a=roll 
number.
Solution – 3 
y=0 to y=x and x=0 to x=1 
**Here, given strip is vertical strip so we’ll convert it 
into the horizontal strips. 
x=0 to x=y and y=0 to y=1 
1 
y 
  
I= (x2+y2+a2) dy dx 
0 0 
1 
y 
 
I= dy (x2+y2+a2) dx 
0  
0 
 

1 
3 [ ] 
y 
 
I = (1/3) + (y2+4) dy 
0  
x [ 
] 0 
0I = (4/3y3+y) dy 
I = 
 
1 4 1 2 
[ y y ] 
3 2 
I = , Answer 
y 
x 
1 
0 
1 
0 
 
5 
6 
 
 

Question – 4 
Evaluate I=  
r3 dr dӨ, over 
the region between r=2asinӨ 
and r=4asinӨ, where a=the 
least roll number in the 
group=2.
Solution – 4 
**The limit is derived from the cardioid of given 
equation above the initial line. a=2 
Ө=  
to Ө= and r=4sinӨ to r=8sinӨ 
4 
 
 
 
I = r3 dr dӨ 
  
  
 
I = dӨ 
2 
2 8sin 
4sin 
4 
2 
  
4 
1 
4 
8sin 
 
3 [r ] 
4sin 
 
 

1 
4 
 
2 
 4 sin  
 
I = 3840 dӨ 
4 
**By applying Reduction formula, we’ll get 
31 
 
16 4 
I = 960 [  
] 
 
 
 
I = 180 +240 , Answer
Question - 5 
Evaluate I=  
rsinӨ dr dӨ, 
over the cardioids 
r=2a(1+cosӨ) above the initial 
line, where a=the least roll 
number in the group=2.
Solution - 5 
**The limit is derived from the cardioid of given 
equation above the initial line. a=2 
Ө=0 to Ө=  
and r=0 to r=2a(1+cosӨ) 
4(1 cos ) 
   
  
I = rsinӨ drdӨ 
0 0 
 
 
I = sinӨ dӨ ½ 
0 
4(1 cos ) 
2 [r ] 
0 
  
 

 
 
I = sinӨ ½ (4a2) (1+cosӨ) 2 dӨ 
0 
 
 
I = (-2a2) (-sinӨ) (1+cosӨ)2 dӨ 
0 
I = (-2a2) (1/3) 
3 
I = 16a2/3 , Answer 
0 
[(1 cos ) ] 
 
  
 
 
 

Prepared By… 
• Akash Ambaliya (Roll no.-2) 
• Jay Chhatraliya (Roll no.-28) 
• Parag Hinsu (Roll no.-56) 
• Brijesh Daraniya (Roll no.-31)
Thank You…

Calculus’ problem soulution

  • 1.
  • 2.
    Question - 1 a 1 Evaluate I =  ey2 dy dx by changing the 0 x order. Where a=roll number
  • 3.
    Solution - 1 x=0 to x=2 and y=x to y=1 **Here, given strip is vertical strip so we’ll convert it into the horizontal strips. y=0 to y=2 and x=0 to x=y 2 y  2 I = ey2 dy dx 0 0 y  I = ey2 dy dx  0 0 2 I = ey2 dy [y-0] 0    
  • 4.
    2 I =yey2 dy 0  2  1 2   I = 2y ey2 dy  I = 0 1 2 2 2 [ ] x e 0  1 I = [e4-1] , Answer 2
  • 5.
    Question - 2 1 a Evaluate I=   ex2 dy dx by 0 ay changing the order. Where a=roll number.
  • 6.
    Solution - 2 y=0 to y=1 and x=2y to x=2 **Here, given strip is horizontal strip so we’ll convert it into the vertical strips. x=0 to x=2 and y=0 to y=x/2 x 2 /2    I = ex2 dy dx 0 0
  • 7.
    2 x  /2  I = ex2 dx dy  0 0 2 I = ex2 dx x/2  0 2  I = ¼ 2x ex2 dx   I = ¼  0 2 2 [ ] x e 0 I = ¼ [e4-1] , Answer 
  • 8.
    Question - 3 1 x Evaluate I =  (x2+y2+a2) 0 0 dy dx by changing the order. Where a=roll number.
  • 9.
    Solution – 3 y=0 to y=x and x=0 to x=1 **Here, given strip is vertical strip so we’ll convert it into the horizontal strips. x=0 to x=y and y=0 to y=1 1 y   I= (x2+y2+a2) dy dx 0 0 1 y  I= dy (x2+y2+a2) dx 0  0  
  • 10.
    1 3 [] y  I = (1/3) + (y2+4) dy 0  x [ ] 0 0I = (4/3y3+y) dy I =  1 4 1 2 [ y y ] 3 2 I = , Answer y x 1 0 1 0  5 6   
  • 11.
    Question – 4 Evaluate I=  r3 dr dӨ, over the region between r=2asinӨ and r=4asinӨ, where a=the least roll number in the group=2.
  • 12.
    Solution – 4 **The limit is derived from the cardioid of given equation above the initial line. a=2 Ө=  to Ө= and r=4sinӨ to r=8sinӨ 4    I = r3 dr dӨ      I = dӨ 2 2 8sin 4sin 4 2   4 1 4 8sin  3 [r ] 4sin   
  • 13.
    1 4  2  4 sin   I = 3840 dӨ 4 **By applying Reduction formula, we’ll get 31  16 4 I = 960 [  ]    I = 180 +240 , Answer
  • 14.
    Question - 5 Evaluate I=  rsinӨ dr dӨ, over the cardioids r=2a(1+cosӨ) above the initial line, where a=the least roll number in the group=2.
  • 15.
    Solution - 5 **The limit is derived from the cardioid of given equation above the initial line. a=2 Ө=0 to Ө=  and r=0 to r=2a(1+cosӨ) 4(1 cos )      I = rsinӨ drdӨ 0 0   I = sinӨ dӨ ½ 0 4(1 cos ) 2 [r ] 0    
  • 16.
      I= sinӨ ½ (4a2) (1+cosӨ) 2 dӨ 0   I = (-2a2) (-sinӨ) (1+cosӨ)2 dӨ 0 I = (-2a2) (1/3) 3 I = 16a2/3 , Answer 0 [(1 cos ) ]       
  • 17.
    Prepared By… •Akash Ambaliya (Roll no.-2) • Jay Chhatraliya (Roll no.-28) • Parag Hinsu (Roll no.-56) • Brijesh Daraniya (Roll no.-31)
  • 18.