Welcome
Suchithra’s Statistics Classes
Suchithra's Statistics Classes -- Binomial Distribution, Part 3
Binomial Distribution – B.D
Part – 3
Recurrence formulae
(Based on complimentary Statistics of
Bsc , University of Calicut)
Suchithra's Statistics Classes -- Binomial Distribution, Part 3
Suchithra's Statistics Classes -- Binomial Distribution, Part 3
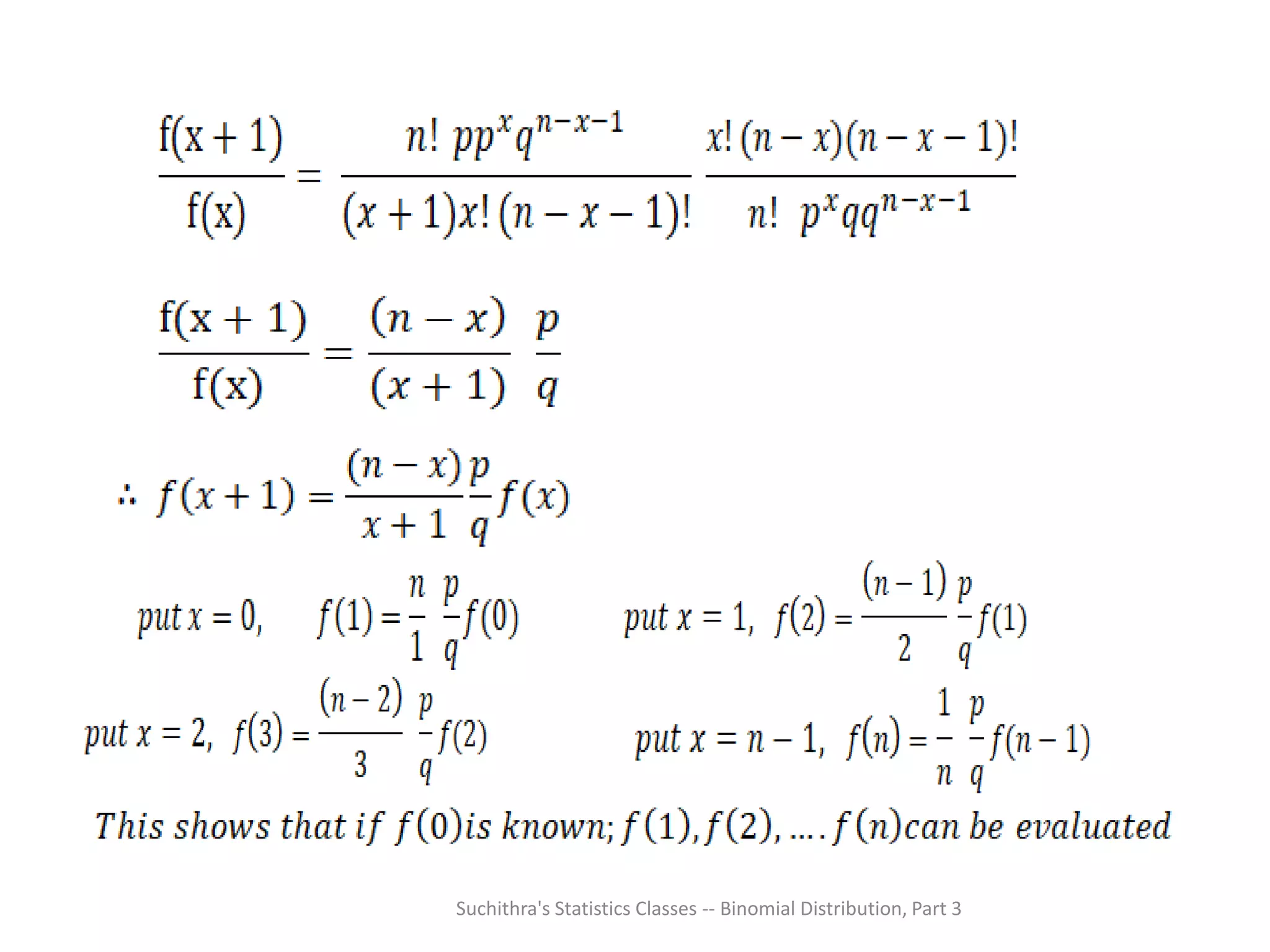
Recurrence formula for calculating binomial probabilities
We know that P(X=x) = f(x) = nCx px qn-x
P(X=(x+1)) = f(x+1) = nCx+1 px+1 qn-(x+1)
Suchithra's Statistics Classes -- Binomial Distribution, Part 3
Suchithra's Statistics Classes -- Binomial Distribution, Part 3
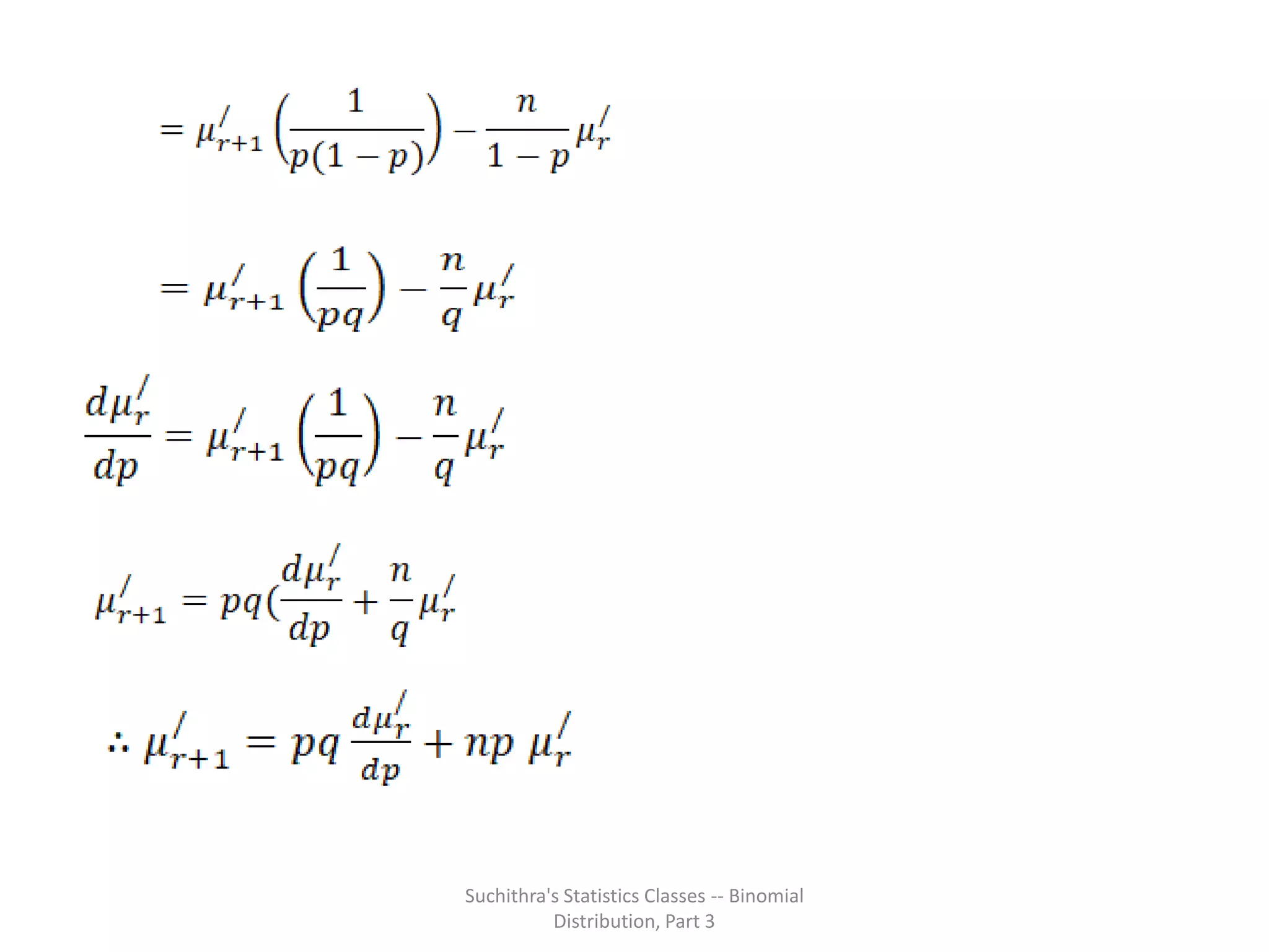
Recurrence relation for central moments
Suchithra's Statistics Classes -- Binomial Distribution, Part 3
Combine 2nd & 3rd terms together;
Suchithra's Statistics Classes -- Binomial Distribution, Part 3
Suchithra's Statistics Classes -- Binomial Distribution, Part 3
Suchithra's Statistics Classes -- Binomial
Distribution, Part 3
Suchithra's Statistics Classes -- Binomial
Distribution, Part 3
Combine 1st & 3rd terms together;
Suchithra's Statistics Classes -- Binomial
Distribution, Part 3
Things to know from this class
Suchithra's Statistics Classes -- Binomial
Distribution, Part 3
Recurrence formula for calculating binomial probabilities
Recurrence relation for central moments
Thank you for watching,
if this is found to be useful then
like & subscribe.
Suchithra’s Statistics classes
Suchithra's Statistics Classes -- Binomial Distribution, Part 3

Binomial Distribution Part 3