Page 1 of 9
CENTRAL EXCISE
 What is Excise Duty ?
 Its a duty levied upon goods manufactured or produced in India.
 Entry No. 84 of Union List empower CG to levy excise duty on tobacco and other goods produced
or manufactured in India, Except on
 Alcoholic liquors for human consumption;
 Opium, narcotic drugs
but including medicinal and toilet preparation containing above two.
 Types Excise Duty.
 Who is liable to pay excise duty.
 Normally manufacturer or producer of goods is liable to pay ED, at time of removal/moving out
(Sale, etc) of goods from factory.
 In case of goods stored in warehouse (outside factory) as per excise law, duty is payable by
person who stores the goods.
 In case of manufacture of molasses, buyer of molasses is liable to pay ED.
 In case of Job Work, job worker is liable to pay duty, unless principal manufacturer has given
undertaking to discharge duty on behalf of job worker as per Notification 214/86.
BASIC ED / CENVAT
(1ST SCH CETA)
SPECIAL ED
(2nd
SCH CETA)
ED BY EXPORT ORIENTED
UNITS
ADDITINAL ED ADDITIONAL ED
UNDER
OTHER ACTS
Rate is applied on
value of goods
manufactured.
Normal rate is 16%.
Generally payable
on all goods.
Also called
Auxiliary Duty.
Levied on specifed
goods.
Duty abolished
wef 1/3/06 via EN.
No duty by 100% EOU or
unit in FTZ.
If EOU clear/sell goods
produced in DTADomestic
Tariff Area
, ED payable.
Amount of ED equals to
Custom Duty liveable on
like goods if imported in
India.
Though CD paid, but it is
called ED.
Hence Duty is levied only
to protect producers in
DTA.
Levied on
Goods of Special
Importance &
Textile articles.
National Calamity
Contingent Duty
(NCCD).
Levied as per FA 2001,
on :-
Pan masala,
Chewing tobacco,
Cigrattee,
Various vehicles
except two wheelers.
Page 2 of 9
Example: Hero Honda sent part of bike for polish to job worker outside factory, If hero Honda
pay duty, then job worker don’t need to pay ED.
 Excise law is governed by following:
 Acts
 Central Excise Act 1994
 Central Excise Tariff ActCETA 1985
 Rules
 Central Excise Rules 2002
 Central Excise Valuation Rules 2000
 Cenvat Credit Rules, 2004
 Goods vs Excisable Goods
Exciable Goods Goods / Non-Excisable Goods.
Defined in CEA 1994.
Good to be excisable must be MOVABLE +
MARKETABLE.
Movable means, capable of moved to other place in
same condition.
Marketable means, capable of being sold as such.
Not defined in CEA 1994
Constitution of India defined goods as ‘all material,
commodities and articles’.
Central Sale Tax Act and various sale tax act have
defined goods.
Excisable goods are goods specified in 1st and 2nd
Schedule to CETA 1985 as being subject to duty of
excise, and include salt.
Goods not finding place in 1st / 2nd schedule to
CETA are non-excisable goods.
Excisable goods may be Dutiable or Don-Dutiable
12th .
Non-excisable goods are always non-dutiable.
 Manufacture u/s 2(f) of CEA
 Manufacture includes any
Central Excise Act
1994CEA
Central Excise Tariff
Act 1985CETA
Central Excise Rules
2002CER
Central Excise
Valuation 2000CEVR
Central Credit
2004CCR
Basic structure of
central excise.
Definition, basic law,
Penalty, etc
Rates of excise against
different-2 goods.
1st
schedule for BED.
2nd
schedule for SEC.
Provision related to
assessment, collection
of duty, manner of duty
payment, registration,
maintenance of
records,etc.
To determine value of
Excisable GoodsEG
u/s
4(1).
Provision related to
cenvat of excise
duty and service
tax.
Page 3 of 9
1. Process Incidental or ancillary to the completion of manufactured product; or
2. Process which is specified, in relation to any goods (in the section/chapter notes to the 1st
schedule to CETA 1985) as manufacture.
3. Process which, in relation to goods specified in 3rd schedule to CEA 1944 involves
 Packing or repacking of such goods in unit container or
 Labelling or re-labelling of container, including declaration or alteration of retail
sale price on it or
 Adoption of any other treatment on the goods to render the product marketable
to the consumer.
Note: Process mentioned in Point 2 & 3 also called DEEMED MANUFACTURE.
 Manufacturer u/s 2(f)
 Manufacturer is a person who produces or manufactures (as defined under CEA) goods and shall
include
 Person who employs hired labour in production of excisable goods.
 Person who engages in their production or manufacture on his own account. In other
words, one who retain direction, supervision and control.
 Taxable Event
 Taxable event (i.e time) to levy ED is production/manufacture of excisable goods.
 In Wallace Flur Milss case, Supreme court said, CER merely specifies time of removal of goods as
point of collection of duty. It doesn’t make removal as taxable event. Taxable event is
manufacture. CER also permit to apply rate prevailing on date of removal of goods.
 Assessment of Duty i.e. determination of amount of ED.
Specific Rate / Specific Duty Advalorem Rate / Percentage Based
Duty determined based on length, area, volume,
etc.
Example:
Duty on cement determined based on weight i.e.
tonne.
Duty on cigarette determined based on length.
Duty determined by applying rate of duty to the
value of goods.
Example:
If rate of ED is 12%, Value is 1,00,000.
ED equal to 12,000.
Only few items are assessed under this category. Most of the items assessed under this method.
Page 4 of 9
 Valuation of Goods (Determination of value of goods, to apply rate of duty).
Methods for determination of Assessable ValueAV
, in following order
1st
Tariff Value u/s 3(2)
2nd
MRP based value/Abated value u/s 4-A
3rd
Transaction valueTV
u/s 4(1)
- CG is empowered to notify
tariff value for goods
subject to ad-valorem duty.
-Once tariff value fixed, ED
payable on such tariff value,
no other method can be
used to determine value.
-Government can alter tariff
value at any time.
-Intention of Section 3(2)
was to avoid:
Undervaluation and
LitigationCases.
-CG is empowered to notify goods, for
which it is required under Standard
Weight & Measure Act, to declare retail
price.
-Once goods notified under this section,
value shall be MRP declared on goods, as
reduced by abatement.
Hence Assessable value=
MRP - % of abatement (reduction in MRP)
-Notified goods are now mentioned in
3rd schedule to CEA 1944.
- Intention of section 4-A was
= To simplify valuation process.
= To avoid litigation.
-Other points:
= If multiple MRP declared on package,
highest of them shall be taken.
= If different-2 MRP mentioned on
packages meant for sale at different-2
places, each such MRP shall be taken.
=If MRP declared is altered to increase,
then such altered MRP shall be taken.
-All goods except those covered u/s
 3(2) 4A are covered u/s 4(1).
-u/s 4(1), AV shall be Transaction
Value if following conditions
satisfied:
= Goods are Sold
= Delivery(sale) at place of
removal(factory)
= Manufacturer & Buyer not related
= Sale price, sole/only consideration.
Hence if all 4 conditions not satisfied,
AV shall be determined as per CEVR
2000.
 Related Person u/s 4. Person shall be related person if,
 They are Inter Connected Undertaking i.e ICU.
 They are relative.
 Buyer is relative and distributor of the assessee or sub-distributor of such distributor.
 They are so associated that they have interest, directly or indirectly in the business of each
other.
Page 5 of 9
 Place of Removal u/s 4 means
 Factory
 Warehouse or other places, where EG permitted to be deposited w/o payment of duty.
 Depot, or other place from where EG are to be sold after their clearance from the factory.
 Transaction Value u/s 4 means
 Price actually paid or payable for goods sold and include
 Any amount, buyer is liable to pay to assessee or to other person(on behalf of assessee),
including but not limited to
 Warranty, Commission, Storage
 Advertisement, Marketing and selling expenses
 etc
 but does not include duty of excise, sale tax, other taxes paid/payable on such goods.
 Basic Procedure under Central Excise (CER 2002)
 Registration
 Every person, who produces/manufactures excisable goods require registration.
 CBEC by E/N may exempt person or class of person from registration. Following are
exempted:
 Small Scale IndustriesSSI
 Raw material Supplier, who get his goods manufactured by other(Job Worker)
 Trader of excisable goods. Excluding 1st &2nd Stage dealer.
 100% EOU, etc.
 Registration required for every premises.
 Registration application to Department >
 Get Certificate of Registration
 Excise registration no. Is 15 Digit alphanumeric no.
1st 10 Digit PAN + EM/ED/EU + No. Of premises.
Example: ADPOL2345B EM 002
 Daily Stock Account
 Assessee to main records on daily basis, showing ;
 Opening balance, Production, Closing Stock, Removal/sale ;
 regarding Goods produced or manufactured
 Removal(sale/transfer) against Invoice only, showing imp. details like:-
 Sellers Name, Address, Excise No., Invoice No., Sellers sign.
Page 6 of 9
 Goods quantity, description, value, duty rate & amount.
 Buyers Name, Address, etc.
 Returns (E-Return mandatory)
RETURN PERIOD TIME LIMIT PURPOSE
Monthly Return In 10 days after month Production, removal, etc
Quarterly Return
By SSI Unit
In 20 days after quarter Production, removal, etc
Quarterly Return
By Dealer
In 15 days after quarter Cenvat taken and
transferred, etc
Half yearly Return
By ISD
In 1 month, after half
year close
Cenvat taken and
distributed, etc
Annual Return
Who paid > 1cr ED PY
By Nov, after end of FY. Annual Financial -
Information Statement
Annual Return By April, after end of FY. Annual Installed-
Capacity Statement
 ED payment (E-Pay mandatory)
 Pay ED in 6 days, after month end.
 ED of March to be paid by March end.
 Export Procedure
 Export excisable goods, directly from factory/warehouse, w/o duty payment.
 Exporter shall furnish Bound or execute Letter of undertakingLUT. Goods must be exported in 6
months from date of clearance from factory.
 Method to Export w/o duty payment, Sealing at Factory by excise officer OR Self Sealing
SEALING AT FACTORY BY OFFICER SELF SEALING
Execute Bond / Submit LUT to Deptt
Prepare Invoice as per CER
Prepare ARE-1 (4 copies). It contain detail, amount, qty,etc of goods.
Present goods to deptt officer alongwith ARE-1
for inspection
Self seal the package
Call Officer, who after examination, will:-
-Ask to seal the package.
-Endorse each copy of ARE-1, give back 1 & 2
copy to exporter.
Send 3 & 4th Copy to excise deptt.
Export now remove goods from factory Export now remove goods from factory
Page 7 of 9
At port, custom officer will:-
-check sealed package.
-check & Endorse 2 copy, and return 1 copy.
At port, custom officer will:-
-Check package.
-Check & Endorse 2 copy, and return 1 copy.
Exporter export the goods
Exporter now apply to excise deptt alongwith 1 copy, to cancel bond/LUT.
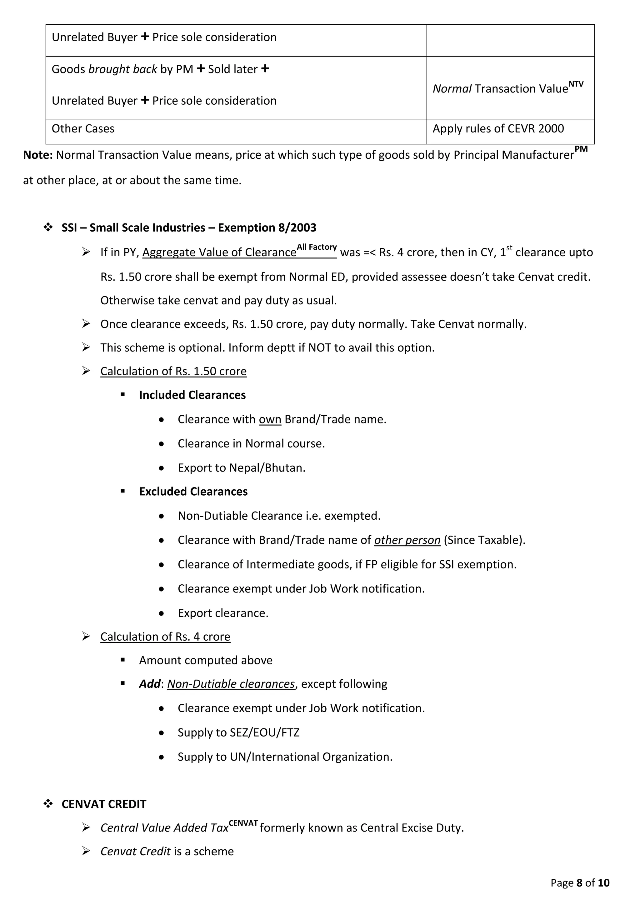
 JOB WORKJW
 Job work means
 processing or working upon of raw material or semi-finished goods
 supplied to the job worker,
 to complete a part or whole of the process
 resulting in the manufacture or finishing of an article or any operation which is
essential for aforesaid process
 and the expression "job worker" shall be construed accordingly.
 Valuation of goods manufactured on Job WorkJW
.
It’s important, when Principal ManufacturerPM
has not given undertaking to discharge duty.
Valuation to be done as per rules under CEVR 2000, which is as follows
 SSI – Small Scale Industries – Exemption 8/2003
 If in PY, Aggregate Value of ClearanceAll Factory
was =< Rs. 4 crore, then in CY, 1st clearance upto
Rs. 1.50 crore shall be exempt from Normal ED, provided assessee doesn’t take Cenvat credit.
Otherwise take cenvat and pay duty as usual.
 Once clearance exceeds, Rs. 1.50 crore, pay duty normally. Take Cenvat normally.
 This scheme is optional. Inform deptt if NOT to avail this option.
 Calculation of Rs. 1.50 crore
 Included Clearances
 Clearance with own Brand/Trade name.
 Clearance in Normal course.
 Export to Nepal/Bhutan.
 Excluded Clearances
 Non-Dutiable Clearance i.e. exempted.
 Clearance with Brand/Trade name of other person (Since Taxable).
 Clearance of Intermediate goods, if FP eligible for SSI exemption.
Page 8 of 9
 Clearance exempt under Job Work notification.
 Export clearance.
 Calculation of Rs. 4 crore
 Amount computed above
 Add: Non-Dutiable clearances, except following
 Clearance exempt under Job Work notification.
 Supply to SEZ/EOU/FTZ
 Supply to UN/International Organization.
 CENVAT CREDIT
 Central Value Added TaxCENVAT formerly known as Central Excise Duty.
 Cenvat Credit is a scheme
 where the Manufacturers or the Output service providers
 are allowed a set off of the taxes (ED/ST) paid on the inputs/RM(ED) purchased or the
input services(ST) received,
 that are used, while Manufacturing final products or providing the output service.
 Cenvat Credit governed by Cenvat Credit RulesCCR 2004
 Cenvat credit available of Excise Duty, Service Tax and some Import Duty.
 100% cenvat allowed on receipt of Input in factory/premises.
 Cenvat of Capital Goods allowed 50% in first year(on receipt in factory), balance in next
year. Amount of cenvat claimed, cannot be added to asset cost to claim depreciation.
 Cenvat of Input Service allowed 100% against receipt of invoice.
 No cenvat credit, if no ED/ST payable. Example SSI unit (upto Rs. 1.50 crore)
 Proportionate Cenvat Credit allowed (if manufacturing/providing Taxable + Non Taxable
goods/services.
 ISD can distribute cenvat credit to different premises,
 Document to take cenvat credit is INVOICE.
 Interest @ 13% for wrongful credit. Penalty upto cenvat involved, for fraud.
 Input means any input (raw material/fixed asset purchased)
 Used to manufacture final product
 Accessories (eg Mobile cover) cleared alongwith final product
 Goods used to generate electricity
 Goods used to provide output service, BUT Excluding:-
 Petrol, Diesel
 Motor vehicle
 Capital goods, except when used to manufacture final product
Page 9 of 9
 Goods used for execution of work contract (except when used to render same service)
 Input Service means any service (service received)
 Used to provide output service
 Used to manufacture final product, and include
 Services used for repair, advertisement, storage, accounting, audit, financing, training,
legal service, computer related, but exclude
 Service used for execution of work contract (except when used to render same service)
 Renting of motor vehicle
 Capital Goods (It only include following)
 Goods falling under chapter 82, 84, 85, 90 of 1st SCH of CETA
 Pollution control equipment
 Component, Spare parts, accessories of above two
 Moulds, dies, Jigs
 Refractory material
 Tubes, pipes, fitting thereof
 Storage tank
 Motor Vehicle (if satisfy few conditions) and its Component, spares, accessories
By Pawan Sehrawat
Chartered Accountant, Company Secretary

B.com(hons) indirect tax - central excise notes

  • 1.
    Page 1 of9 CENTRAL EXCISE  What is Excise Duty ?  Its a duty levied upon goods manufactured or produced in India.  Entry No. 84 of Union List empower CG to levy excise duty on tobacco and other goods produced or manufactured in India, Except on  Alcoholic liquors for human consumption;  Opium, narcotic drugs but including medicinal and toilet preparation containing above two.  Types Excise Duty.  Who is liable to pay excise duty.  Normally manufacturer or producer of goods is liable to pay ED, at time of removal/moving out (Sale, etc) of goods from factory.  In case of goods stored in warehouse (outside factory) as per excise law, duty is payable by person who stores the goods.  In case of manufacture of molasses, buyer of molasses is liable to pay ED.  In case of Job Work, job worker is liable to pay duty, unless principal manufacturer has given undertaking to discharge duty on behalf of job worker as per Notification 214/86. BASIC ED / CENVAT (1ST SCH CETA) SPECIAL ED (2nd SCH CETA) ED BY EXPORT ORIENTED UNITS ADDITINAL ED ADDITIONAL ED UNDER OTHER ACTS Rate is applied on value of goods manufactured. Normal rate is 16%. Generally payable on all goods. Also called Auxiliary Duty. Levied on specifed goods. Duty abolished wef 1/3/06 via EN. No duty by 100% EOU or unit in FTZ. If EOU clear/sell goods produced in DTADomestic Tariff Area , ED payable. Amount of ED equals to Custom Duty liveable on like goods if imported in India. Though CD paid, but it is called ED. Hence Duty is levied only to protect producers in DTA. Levied on Goods of Special Importance & Textile articles. National Calamity Contingent Duty (NCCD). Levied as per FA 2001, on :- Pan masala, Chewing tobacco, Cigrattee, Various vehicles except two wheelers.
  • 2.
    Page 2 of9 Example: Hero Honda sent part of bike for polish to job worker outside factory, If hero Honda pay duty, then job worker don’t need to pay ED.  Excise law is governed by following:  Acts  Central Excise Act 1994  Central Excise Tariff ActCETA 1985  Rules  Central Excise Rules 2002  Central Excise Valuation Rules 2000  Cenvat Credit Rules, 2004  Goods vs Excisable Goods Exciable Goods Goods / Non-Excisable Goods. Defined in CEA 1994. Good to be excisable must be MOVABLE + MARKETABLE. Movable means, capable of moved to other place in same condition. Marketable means, capable of being sold as such. Not defined in CEA 1994 Constitution of India defined goods as ‘all material, commodities and articles’. Central Sale Tax Act and various sale tax act have defined goods. Excisable goods are goods specified in 1st and 2nd Schedule to CETA 1985 as being subject to duty of excise, and include salt. Goods not finding place in 1st / 2nd schedule to CETA are non-excisable goods. Excisable goods may be Dutiable or Don-Dutiable 12th . Non-excisable goods are always non-dutiable.  Manufacture u/s 2(f) of CEA  Manufacture includes any Central Excise Act 1994CEA Central Excise Tariff Act 1985CETA Central Excise Rules 2002CER Central Excise Valuation 2000CEVR Central Credit 2004CCR Basic structure of central excise. Definition, basic law, Penalty, etc Rates of excise against different-2 goods. 1st schedule for BED. 2nd schedule for SEC. Provision related to assessment, collection of duty, manner of duty payment, registration, maintenance of records,etc. To determine value of Excisable GoodsEG u/s 4(1). Provision related to cenvat of excise duty and service tax.
  • 3.
    Page 3 of9 1. Process Incidental or ancillary to the completion of manufactured product; or 2. Process which is specified, in relation to any goods (in the section/chapter notes to the 1st schedule to CETA 1985) as manufacture. 3. Process which, in relation to goods specified in 3rd schedule to CEA 1944 involves  Packing or repacking of such goods in unit container or  Labelling or re-labelling of container, including declaration or alteration of retail sale price on it or  Adoption of any other treatment on the goods to render the product marketable to the consumer. Note: Process mentioned in Point 2 & 3 also called DEEMED MANUFACTURE.  Manufacturer u/s 2(f)  Manufacturer is a person who produces or manufactures (as defined under CEA) goods and shall include  Person who employs hired labour in production of excisable goods.  Person who engages in their production or manufacture on his own account. In other words, one who retain direction, supervision and control.  Taxable Event  Taxable event (i.e time) to levy ED is production/manufacture of excisable goods.  In Wallace Flur Milss case, Supreme court said, CER merely specifies time of removal of goods as point of collection of duty. It doesn’t make removal as taxable event. Taxable event is manufacture. CER also permit to apply rate prevailing on date of removal of goods.  Assessment of Duty i.e. determination of amount of ED. Specific Rate / Specific Duty Advalorem Rate / Percentage Based Duty determined based on length, area, volume, etc. Example: Duty on cement determined based on weight i.e. tonne. Duty on cigarette determined based on length. Duty determined by applying rate of duty to the value of goods. Example: If rate of ED is 12%, Value is 1,00,000. ED equal to 12,000. Only few items are assessed under this category. Most of the items assessed under this method.
  • 4.
    Page 4 of9  Valuation of Goods (Determination of value of goods, to apply rate of duty). Methods for determination of Assessable ValueAV , in following order 1st Tariff Value u/s 3(2) 2nd MRP based value/Abated value u/s 4-A 3rd Transaction valueTV u/s 4(1) - CG is empowered to notify tariff value for goods subject to ad-valorem duty. -Once tariff value fixed, ED payable on such tariff value, no other method can be used to determine value. -Government can alter tariff value at any time. -Intention of Section 3(2) was to avoid: Undervaluation and LitigationCases. -CG is empowered to notify goods, for which it is required under Standard Weight & Measure Act, to declare retail price. -Once goods notified under this section, value shall be MRP declared on goods, as reduced by abatement. Hence Assessable value= MRP - % of abatement (reduction in MRP) -Notified goods are now mentioned in 3rd schedule to CEA 1944. - Intention of section 4-A was = To simplify valuation process. = To avoid litigation. -Other points: = If multiple MRP declared on package, highest of them shall be taken. = If different-2 MRP mentioned on packages meant for sale at different-2 places, each such MRP shall be taken. =If MRP declared is altered to increase, then such altered MRP shall be taken. -All goods except those covered u/s  3(2) 4A are covered u/s 4(1). -u/s 4(1), AV shall be Transaction Value if following conditions satisfied: = Goods are Sold = Delivery(sale) at place of removal(factory) = Manufacturer & Buyer not related = Sale price, sole/only consideration. Hence if all 4 conditions not satisfied, AV shall be determined as per CEVR 2000.  Related Person u/s 4. Person shall be related person if,  They are Inter Connected Undertaking i.e ICU.  They are relative.  Buyer is relative and distributor of the assessee or sub-distributor of such distributor.  They are so associated that they have interest, directly or indirectly in the business of each other.
  • 5.
    Page 5 of9  Place of Removal u/s 4 means  Factory  Warehouse or other places, where EG permitted to be deposited w/o payment of duty.  Depot, or other place from where EG are to be sold after their clearance from the factory.  Transaction Value u/s 4 means  Price actually paid or payable for goods sold and include  Any amount, buyer is liable to pay to assessee or to other person(on behalf of assessee), including but not limited to  Warranty, Commission, Storage  Advertisement, Marketing and selling expenses  etc  but does not include duty of excise, sale tax, other taxes paid/payable on such goods.  Basic Procedure under Central Excise (CER 2002)  Registration  Every person, who produces/manufactures excisable goods require registration.  CBEC by E/N may exempt person or class of person from registration. Following are exempted:  Small Scale IndustriesSSI  Raw material Supplier, who get his goods manufactured by other(Job Worker)  Trader of excisable goods. Excluding 1st &2nd Stage dealer.  100% EOU, etc.  Registration required for every premises.  Registration application to Department >  Get Certificate of Registration  Excise registration no. Is 15 Digit alphanumeric no. 1st 10 Digit PAN + EM/ED/EU + No. Of premises. Example: ADPOL2345B EM 002  Daily Stock Account  Assessee to main records on daily basis, showing ;  Opening balance, Production, Closing Stock, Removal/sale ;  regarding Goods produced or manufactured  Removal(sale/transfer) against Invoice only, showing imp. details like:-  Sellers Name, Address, Excise No., Invoice No., Sellers sign.
  • 6.
    Page 6 of9  Goods quantity, description, value, duty rate & amount.  Buyers Name, Address, etc.  Returns (E-Return mandatory) RETURN PERIOD TIME LIMIT PURPOSE Monthly Return In 10 days after month Production, removal, etc Quarterly Return By SSI Unit In 20 days after quarter Production, removal, etc Quarterly Return By Dealer In 15 days after quarter Cenvat taken and transferred, etc Half yearly Return By ISD In 1 month, after half year close Cenvat taken and distributed, etc Annual Return Who paid > 1cr ED PY By Nov, after end of FY. Annual Financial - Information Statement Annual Return By April, after end of FY. Annual Installed- Capacity Statement  ED payment (E-Pay mandatory)  Pay ED in 6 days, after month end.  ED of March to be paid by March end.  Export Procedure  Export excisable goods, directly from factory/warehouse, w/o duty payment.  Exporter shall furnish Bound or execute Letter of undertakingLUT. Goods must be exported in 6 months from date of clearance from factory.  Method to Export w/o duty payment, Sealing at Factory by excise officer OR Self Sealing SEALING AT FACTORY BY OFFICER SELF SEALING Execute Bond / Submit LUT to Deptt Prepare Invoice as per CER Prepare ARE-1 (4 copies). It contain detail, amount, qty,etc of goods. Present goods to deptt officer alongwith ARE-1 for inspection Self seal the package Call Officer, who after examination, will:- -Ask to seal the package. -Endorse each copy of ARE-1, give back 1 & 2 copy to exporter. Send 3 & 4th Copy to excise deptt. Export now remove goods from factory Export now remove goods from factory
  • 7.
    Page 7 of9 At port, custom officer will:- -check sealed package. -check & Endorse 2 copy, and return 1 copy. At port, custom officer will:- -Check package. -Check & Endorse 2 copy, and return 1 copy. Exporter export the goods Exporter now apply to excise deptt alongwith 1 copy, to cancel bond/LUT.  JOB WORKJW  Job work means  processing or working upon of raw material or semi-finished goods  supplied to the job worker,  to complete a part or whole of the process  resulting in the manufacture or finishing of an article or any operation which is essential for aforesaid process  and the expression "job worker" shall be construed accordingly.  Valuation of goods manufactured on Job WorkJW . It’s important, when Principal ManufacturerPM has not given undertaking to discharge duty. Valuation to be done as per rules under CEVR 2000, which is as follows  SSI – Small Scale Industries – Exemption 8/2003  If in PY, Aggregate Value of ClearanceAll Factory was =< Rs. 4 crore, then in CY, 1st clearance upto Rs. 1.50 crore shall be exempt from Normal ED, provided assessee doesn’t take Cenvat credit. Otherwise take cenvat and pay duty as usual.  Once clearance exceeds, Rs. 1.50 crore, pay duty normally. Take Cenvat normally.  This scheme is optional. Inform deptt if NOT to avail this option.  Calculation of Rs. 1.50 crore  Included Clearances  Clearance with own Brand/Trade name.  Clearance in Normal course.  Export to Nepal/Bhutan.  Excluded Clearances  Non-Dutiable Clearance i.e. exempted.  Clearance with Brand/Trade name of other person (Since Taxable).  Clearance of Intermediate goods, if FP eligible for SSI exemption.
  • 8.
    Page 8 of9  Clearance exempt under Job Work notification.  Export clearance.  Calculation of Rs. 4 crore  Amount computed above  Add: Non-Dutiable clearances, except following  Clearance exempt under Job Work notification.  Supply to SEZ/EOU/FTZ  Supply to UN/International Organization.  CENVAT CREDIT  Central Value Added TaxCENVAT formerly known as Central Excise Duty.  Cenvat Credit is a scheme  where the Manufacturers or the Output service providers  are allowed a set off of the taxes (ED/ST) paid on the inputs/RM(ED) purchased or the input services(ST) received,  that are used, while Manufacturing final products or providing the output service.  Cenvat Credit governed by Cenvat Credit RulesCCR 2004  Cenvat credit available of Excise Duty, Service Tax and some Import Duty.  100% cenvat allowed on receipt of Input in factory/premises.  Cenvat of Capital Goods allowed 50% in first year(on receipt in factory), balance in next year. Amount of cenvat claimed, cannot be added to asset cost to claim depreciation.  Cenvat of Input Service allowed 100% against receipt of invoice.  No cenvat credit, if no ED/ST payable. Example SSI unit (upto Rs. 1.50 crore)  Proportionate Cenvat Credit allowed (if manufacturing/providing Taxable + Non Taxable goods/services.  ISD can distribute cenvat credit to different premises,  Document to take cenvat credit is INVOICE.  Interest @ 13% for wrongful credit. Penalty upto cenvat involved, for fraud.  Input means any input (raw material/fixed asset purchased)  Used to manufacture final product  Accessories (eg Mobile cover) cleared alongwith final product  Goods used to generate electricity  Goods used to provide output service, BUT Excluding:-  Petrol, Diesel  Motor vehicle  Capital goods, except when used to manufacture final product
  • 9.
    Page 9 of9  Goods used for execution of work contract (except when used to render same service)  Input Service means any service (service received)  Used to provide output service  Used to manufacture final product, and include  Services used for repair, advertisement, storage, accounting, audit, financing, training, legal service, computer related, but exclude  Service used for execution of work contract (except when used to render same service)  Renting of motor vehicle  Capital Goods (It only include following)  Goods falling under chapter 82, 84, 85, 90 of 1st SCH of CETA  Pollution control equipment  Component, Spare parts, accessories of above two  Moulds, dies, Jigs  Refractory material  Tubes, pipes, fitting thereof  Storage tank  Motor Vehicle (if satisfy few conditions) and its Component, spares, accessories By Pawan Sehrawat Chartered Accountant, Company Secretary