Draft

               Released for use by conference participants only.

                       Not to be referenced or quoted.




                     Scaling Up Access
             to Essential Interventions
                     and Basic Services
              for Occupational Health
     Through Integrated Primary Health
                                  Care

                     Background Document
                       for the WHO Global Conference
     "Connecting Health and Labour: What Role for Occupational Health in
                            Primary Health Care?"
          29 November - 1 December 2011, The Hague, The Netherlands




                           Geneva, November 2011




47                                                                         i
Acknowledgments

This document was produced under the overall direction of Ivan D. Ivanov, Team Leader for
Occupational Health at WHO Headquarters.
Contributions in the form of analysis and case studies were provided by: Carol Black, Peter Buijs,
Jorma Rantanen, Adrienne Chattoe-Brown, Jody Tate, Jos Verbeek, Chen Rui, Somkiat
Siriruttanapruk, and Claunara Mendonça.
Suggestions were received from Rania Kawar, Carlos Dora, Igor Fedotov, Bill Gunnyeon and Chris van
Weel.
Financial support from the Unites States National Institute of Occupational Safety and Health and the
Ministry of Health, Welfare and Sport of the Netherlands is gratefully acknowledged.




47                                                                                                   ii
Table of Contents
Executive summary ............................................................................................................... 1
I.       Introduction................................................................................................................... 4
II.      Health systems and primary health care ........................................................................ 6
III.         Occupational health................................................................................................... 9
      Essential interventions......................................................................................................10
      Occupational health services ............................................................................................11
IV.          Occupational health in the context of integrated primary health care ......................14
      Integrated health services.................................................................................................14
      Integrated delivery............................................................................................................17
      Integrated financing..........................................................................................................20
V.       Examples from countries ..............................................................................................24
      United Kingdom - working for a healthier tomorrow ........................................................24
      Thailand – primary care units............................................................................................26
      Finland - municipal health centres ....................................................................................28
      Indonesia – occupational health posts in the informal sector............................................29
      China - piloting basic occupational health services ...........................................................30
      Brazil – family health teams ..............................................................................................33
      Tanzania - essential health interventions and community based insurance......................33
      India – SEWA, a community based insurance approach....................................................35
      Chile – a dual social and private health insurance approach..............................................37
      The Netherlands - treating the "blind spot" ......................................................................37
VI.          Conclusions and recommendations ..........................................................................40




47                                                                                                                                     iii
47   iv
Executive summary
Approximately half of the world's population spends at least one third of its time in the
workplace. Fair employment and decent work are important social determinants of health
and a healthy workforce is an essential prerequisite for productivity and economic
development. However, only a small proportion of the global workforce has access to
occupational health services for primary prevention and control of occupational- and work-
related diseases and injuries. Furthermore, certain global health problems, such as non-
communicable diseases, result in increasing rates of long-term sick leave and challenge the
ability of health systems to preserve and restore working capacity.
The 62nd World Health Assembly in 2009 emphasized the need to strengthen health systems
based on primary health care (PHC) in keeping with the values and principles enshrined in
the Alma-Ata Declaration. Action must be taken to provide universal access to PHC by
developing comprehensive health services, introducing national equitable and sustainable
financing mechanisms and implementing vertical health programmes, e.g. occupational
health, in the context of integrated primary health care.
Currently, a number of countries are reforming their health systems based on the values and
principles of PHC1 to improve service delivery, cost-efficiency and to ensure equity. National
debates on health reforms often touch upon insufficient collaboration between health and
labour sectors, the organization of preventive and curative health services for working
populations, and their relation to primary care2. Employers, businesses and the private
sector are engaging in providing health services to workers and communities.
In 2007, the 60th World Health Assembly urged Member States to work towards covering all
workers with essential interventions and basic occupational health services for primary
prevention of occupational- and work-related diseases and injuries. This coverage should be
particularly provided to those in the informal economy, small- and medium-sized
enterprises, agriculture, and migrant and contractual workers. How can this goal be
achieved, bearing in mind that most countries experience a shortage of human resources for
health and most people lack access to the most basic elements of social protection in a
world of work that is ever more diverse, small scale, precarious and informal?
Recent decades have seen significant progress in the development of occupational health
services in a number of industrialized countries and economies in transition and rapid
economic growth. Compulsory provision of services along with national funds for their
financing has led to almost universal coverage in some countries and a significant increase of
coverage and quality in others. However, there are some concerns. In many countries
coverage remains low and increasingly inequitable and workers with the biggest needs, such
as those in agriculture, small enterprises and informal economy, remain without access to
1
 Primary health care (PHC) is a way of organizing a health system so that everyone, both rich and poor, is able
to access the services and the conditions necessary for realizing the highest level of health. It includes
organizing health systems to provide quality and comprehensive health care to all while ensuring that poor and
other disadvantaged people have fair access to essential health services.
2
 Primary care is a component of PHC and refers to the first level of contact people have
with health-care teams. In some countries this may be a community health worker or
midwife; in others, it refers to the family practitioner.


47                                                                                                           1
the most basic occupational health services. Where occupational health services exist, they
often focus on provider-driven menus of few interventions and may not be adequate to
meet the health needs and expectations of workers. In addition, there are language,
employment status and structural barriers to accessing services which in themselves are
becoming more and more profit-oriented. In many countries occupational health is still
detached from other parts of the health system, thus resulting in fragmentation of care,
difficulties with referral and follow up, and, in general, an inability to handle work-related
health problems.
The 1978 International Conference on Primary Health Care in Alma Ata called for bringing
health care to where people live and work. However, when PHC was put into practice, the
focus was mostly on health services where people live. With only a few exceptions, the
provision of health care where people work was absent from the debate on programmes
and strategies for primary health care. Thirty years after Alma Ata there are even more
compelling arguments for using the workplace as a point of entry to the health system. The
workplace can be a setting for delivery of essential health interventions and for reaching out
to workers’ families and communities. In some cases, the workplace is the only way of
providing health care, e.g. for mining communities and migrant workers. Furthermore,
improving workers’ health can help to reduce poverty, and is an essential prerequisite for
productivity and economic development.
There have been a number of innovative attempts to extend the coverage of basic
occupational health services through integration of occupational health with primary care at
the point of delivery. One example consists of training primary care providers, such as
general practitioners, nurses, technicians and community health workers to understand
work-related health problems and to provide some basic support for small workplace
settings to improve working conditions, to train workers on how to work in a healthy and
safe way and to provide first aid. This has been undertaken primarily in rural areas and the
informal sector. Another example is designating a member of the primary care team to
provide occupational health support to workers and workplaces in the catchment area of the
primary care centre. Yet, a third example is when occupational health experts periodically
visit the primary care centre to hold an occupational health clinic providing consultations
and advice as needed.
Whatever the model, integrated PHC-based services for workers would provide the first
point of contact within the health system while emphasizing primary prevention of
occupational and work-related diseases and injuries, promotion of health and restoring
working capacity. Such services require active mechanisms for workers’ participation in
planning, delivery and evaluation, an adequate skill mix of service providers, equitable
financing and purchasing mechanisms as well as a sound policy, legal and institutional
framework.
In 2008, WHO launched a set of reforms to provide PHC to all citizens focusing on universal
coverage, people-centred care, participatory health governance and including health in all
policies.
Working towards universal coverage with occupational health services entails certain
complex measures, such as reducing the proportion of costs to the individual undertaking
the service and/or workers (insurance schemes), adding interventions to the existing
package of service provision (primary prevention in addition to curative care), increasing the


47                                                                                               2
number of workers covered, and reducing barriers to undertaking services and to individuals
accessing health services.
A new health leadership should include a solid regulatory framework to guarantee a basic
level of health protection in all workplaces and for all workers, as well as careful planning for
the provision of different occupational and primary health care services to under-served
working populations. Collaboration between health and labour sectors is essential to ensure
comprehensiveness and continuity of care. A new leadership also requires participation of
workers, employers and other workplace actors in the debate about health-care reforms.
The delivery of the essential occupational health interventions can be leveraged significantly
through integrated primary health care by putting people in the center of care. Occupational
health institutes, laboratories, clinics and information centres should provide expertise,
information and laboratory support to occupational health services and to primary care
centres. The collaboration between occupational health services and primary care centres
should be improved. The content of occupational health services needs to be reoriented
towards the health needs and expectations of the workers and not geared towards a supply
of providers. Particularly in need is provision of workplace initiatives, practical tools and
working methods that enable workers, employers and other work actors to undertake the
most basic measures for protecting and promoting health at work without unnecessarily
relying on health services.
Finally, delivering occupational health to all workers requires public policies that stimulate
inter-sectoral collaboration and coordination, not least involving health, labour,
environment, agriculture, industry, energy, transport, construction, finance, trade and
education. Social security institutions, employers, trade unions, the private sector and civil
society organizations have a particular role to play in shaping public policies for workers’
health.




47                                                                                               3
I. Introduction
Approximately half of the world's population spends at least one third of its time in the
workplace. Fair employment and decent work are important social determinants of health
and a healthy workforce is an essential prerequisite for productivity and economic
development. When carried out under favourable conditions, work provides income to
support human needs and has a positive impact on the health and well-being of individuals
and on social and economic development.
However, most of the world’s workers still labour under unhealthy and unsafe working
conditions, resulting in about 2 million deaths annually from diseases and injuries.
Occupational risks account for a substantial portion of the burden of chronic diseases.
Between 3 and 4% of global GDP is being lost to costs associated with sickness absenteeism,
diseases and injuries resulting from work.
The current financial and economic crises caused world production to contract and raised
the number of unemployed people. In 2010 there were 205 million unemployed people in
the world. This is, however, is only the tip of the iceberg of labour market distress. Different
forms of underemployment, vulnerable employment and working poverty also increase. ILO
estimates that in 2009 around 1.5 billion workers, or half of the world's workers, were in
vulnerable employment The share of workers living with their families below the US$ 2 a day
poverty line is estimated at around 39 per cent, or 1.2 billion workers worldwide. 3
There are a number of highly effective interventions for prevention of occupational diseases
and injuries. However in many countries health systems are not able to deliver these
interventions to those workers in greatest need. Less than 15% of the global workforce have
some coverage with occupational health services. Furthermore, certain global health
problems, such as non-communicable diseases, result in increasing rates of long-term sick
leave and challenge the ability of health systems to preserve and restore working capacity.
The 62nd World Health Assembly in 2009 emphasized the need to strengthen health systems
based on primary health care (PHC) in keeping with the values and principles enshrined in
the Alma-Ata Declaration. Action must be taken to provide universal access to PHC by
developing comprehensive health services, introducing national equitable and sustainable
financing mechanisms and implementing vertical health programmes, e.g. occupational
health, in the context of integrated primary health care.4
Currently, a number of countries are reforming their health systems based on the values and
principles of PHC5 to improve service delivery, cost-efficiency and to ensure equity. National
debates on health reforms often touch upon insufficient collaboration between health and
labour sectors, the organization of preventive and curative health services for working

3
  Global Employment Trends 2011. International Labour Office, Geneva, 2011.
4
  Resolution WHA62.12. Primary health care, including health system strengthening. In: Sixty-second World
Health Assembly, Geneva, 18–22 May 2009. Resolution and decisions, annexes. Geneva, World Health
Organization, 2009, (WHA62/2009/REC/1), pp 16-18.
5
  Primary health care (PHC) is a way of organizing a health system so that everyone, both rich and poor, is able
to access the services and the conditions necessary for realizing the highest level of health. It includes
organizing health systems to provide quality and comprehensive health care to all while ensuring that poor and
other disadvantaged people have fair access to essential health services.


47                                                                                                            4
populations, and their relation to primary care6. Employers, businesses and the private
sector are engaging in providing health services to workers and communities.
Many countries have already in place some form of essential interventions and services for
occupational health for occupational health. Few countries, though, have managed to
achieve a more universal coverage of workers with such interventions and to establish
sustainable mechanisms for the provision of basic services for occupational health. Other
countries are approaching WHO for access to these experiences and for technical assistance
in setting up their own programmes for scaling up coverage of workers with occupational
health care.
In 2007, the 60th World Health Assembly urged Member States to work towards full
coverage for all workers with essential interventions and basic occupational health services
for primary prevention of occupational- and work-related diseases and injuries. This
coverage should be particularly provided to those in the informal economy, small- and
medium-sized enterprises, agriculture, and migrant and contractual workers.7
How can this goal be achieved, bearing in mind that most countries experience a shortage
of human resources for health and most people lack access to the most basic elements of
social protection in a world of work that is ever more diverse, small scale, precarious and
informal?




6
 Primary care is a component of PHC and refers to the first level of contact people have with health-care
teams. In some countries this may be a community health worker or midwife; in others, it refers to the family
practitioner.
7
 Resolution WHA 60.26 "Workers' health: Global plan of action", In: Sixtieth World Health Assembly, Geneva,
14–23 May 2007, Resolution and decisions, annexes. Geneva, World Health Organization, 2007,
(WHASS1/2006–WHA60/2007/REC/1), pp 94-99.




47                                                                                                              5
II.
II. Health systems and primary health care
A health system consists of all organizations, people and actions whose primary intent is to
promote, restore or maintain health. This includes efforts to influence determinants of
health as well as more direct health-improving activities. A health system is therefore more
than the pyramid of publicly owned facilities that deliver personal health services. It includes
e.g. a mother caring for a sick child at home; private providers; behaviour change
programmes; vector-control campaigns; health insurance organizations; and occupational
safety and health. It includes intersectoral action by health staff e.g. by encouraging the
ministry of education to promote female education, a well-known determinant of better
health.
To achieve their goals, all health systems must carry out some basic functions, regardless of
how they are organized: they have to provide services; develop health workers and other
key resources; mobilize and allocate finances, and ensure health system leadership and
governance (also known as stewardship, which is about oversight and guidance of the whole
system). For the purpose of clearly articulating what WHO will do to help strengthen health
systems, the following six essential “building blocks” have been defined; all are needed to
improve outcomes:
•    Good health services are those which deliver effective, safe, quality personal and non-
     personal health interventions to those that need them, when and where needed, with
     a minimum waste of resources.
•    A well-performing health workforce is one that works in ways that are responsive, fair
     and efficient to achieve the best health outcomes possible, given available resources
     and circumstances (i.e. there are sufficient staff, fairly distributed; they are competent,
     responsive and productive).
•    A well-functioning health information system is one that ensures the production,
     analysis, dissemination and use of reliable and timely information on health
     determinants, health system performance and health status.
•    A well-functioning health system ensures equitable access to essential products,
     vaccines and technologies for protecting and restoring health that are of assured
     quality, safety, efficacy and cost-effectiveness, as e well as scientifically sound and
     cost-effective to use.
•    A good health-financing system raises adequate funds for health, in ways that ensure
     people can use needed services, and are protected from financial catastrophe or
     impoverishment associated with having to pay for them. It provides incentives for
     providers and users to be efficient.




47                                                                                             6
•      Leadership and governance involves ensuring that strategic policy frameworks exist
       and are combined with effective oversight, coalition building, regulation, attention to
       system design and accountability8.
The best measure of a health system’s performance is its impact on health outcomes.
International consensus is growing: without urgent improvements in the performance of
health systems, the world will fail to meet its health-related goals. As health systems are
highly context-specific, there is no single set of best practices that can be put forward as a
model for improved performance. But health systems that function well have certain shared
characteristics. They have procurement and distribution systems that actually deliver
interventions to those in need. They are staffed with sufficient health workers having the
right skills and motivation. And they operate with financing systems that are sustainable,
inclusive, and fair. The costs of health care should not force impoverished households even
deeper into poverty.
Primary health care is “essential health care based on practical, scientifically sound and
socially acceptable methods and technology made universally accessible to individuals and
families in the community through their full participation and at a cost that the community
and country can afford to maintain at every stage of their development in the spirit of self-
reliance and self-determination. It forms an integral part both of the country’s health
system, of which it is the central function and main focus, and of the overall social and
economic development of the community. It is the first level of contact of individuals, the
family and community with the national health system bringing health care as close as
possible to where people live and work, and constitutes the first element of a continuing
health-care process.”9
Put simply, it is aimed at ensuring that everyone, rich and poor, is able to enjoy the services
and conditions necessary for realizing the highest level of health. It includes organizing
health systems to provide quality and comprehensive health care to all, while ensuring that
the poor and other disadvantaged people have fair access to essential health services. PHC
mobilizes society and requires community participation in defining and implementing health
agendas, and underscores intersectoral approaches to health. Most important, PHC ensures
that national health development is an integral part of the overall social and economic
development of countries.10 PHC is not poor care for the poor.
Primary care is a component of PHC and usually refers to the first level of contact people
have with health-care teams. In some countries this may be a community health worker or
midwife; in others, a family practitioner.
The concepts of PHC as they were expressed 30 years ago are still valid today. The World
Health Report of 2008 "Primary Health Care: Now More Than Ever" identified major avenues
8
 Everybody's business. Strengthening health systems to improve health outcomes. WHO's framework for
action. World Health Organization, Geneva, 2007
9
 Declaration of Alma-Ata. In: Primary Health Care. Report of the International Conference on Primary Health
Care, Alma-Ata, USSR, 6-12 September 1978, Geneva, World Health Organization, 1978, pp 2-6.
10
  Equity in health (health status) means the attainment by all citizens of the highest possible level of physical,
psychological and social well-being. Equity in health care means that health-care resources are allocated
according to need; health care is provided in response to legitimate expectations of the people; health services
are received according to need regardless of the prevailing social attributes; and payment for health services is
made according to the ability to pay.



47                                                                                                               7
for health systems to narrow the intolerable gaps between aspiration and implementation.
These avenues are as four sets of reforms that reflect a convergence between the values of
primary health care, the expectations of citizens and the common health performance
challenges that cut across all contexts. They include:
     •   universal coverage reforms that ensure that health systems contribute to health
         equity, social justice and the end of exclusion, primarily by moving towards universal
         access and social health protection;
     •   service delivery reforms that re-organize health services around people’s needs and
         expectations, so as to make them more socially relevant and more responsive to the
         changing world, while producing better outcomes;
     •   public policy reforms that secure healthier communities, by integrating public health
         actions with primary care, by pursuing healthy public policies across sectors and by
         strengthening national and transnational public health interventions; and
     •   leadership reforms that replace disproportionate reliance on command and control
         on one hand, and laissez-faire disengagement of the state on the other, by the
         inclusive, participatory, negotiation-based leadership indicated by the complexity of
         contemporary health systems.
While universally applicable, these reforms do not constitute a blueprint or a manifesto for
action. The details required to give them life in each country must be driven by specific
conditions and contexts, drawing on the best available evidence.11




11
  Primary Health Care: Now More than Ever, The World Health Report 2008. Geneva, World Health
Organization, 2008.



47                                                                                               8
III.
III. Occupational health
Occupational risk factors account for substantial part of the global burden of diseases. The
WHO study from 2004 found that 37% of back pain, 16% of hearing loss, 13% of chronic
obstructive pulmonary disease, 11% of asthma, 8% of injuries, 9% of lung cancer and 2% of
leukaemia can be prevented through improving the work environment12.
The Joint ILO/WHO Committee on Occupational Health defined the following objectives of
occupational health:
       •   promoting and maintaining workers’ health and work ability;
       •   improving work and the working environment and work so it is conducive to safety
           and health;
       •   steering work organization and culture in a direction that supports health and safety
           and, in so doing, also promotes productivity of an enterprise. 13,14




12
  Concha-Barrientos M et al. Selected occupational risk factors. In: Ezzati M et al., eds. Comparative
quantification of health risks: global and regional burden of diseases attributable to selected major risk factors.
Geneva: World Health Organization, 2004:1651-801.
13
  Joint ILO/WHO Committee on Occupational health. 1950. Report of the First Meeting, 28 August - 2
September 1950. Geneva: ILO
14
     Joint ILO/WHO Committee on Occupational health. 1995. Defining Occupational Health. Geneva: ILO



47                                                                                                                9
interventions
Essential interventions
The range of the interventions addressing occupational and work-related diseases and
injuries may include both clinical (e.g. health examinations) and non-clinical interventions
(e.g. workplace risk assessment). The interventions can be categorized as preventive and
treatment interventions, where preventive interventions are usually offered to persons
unsolicited and without symptoms urging to seek help.
Preventive interventions can be divided into primary, secondary or tertiary prevention.
Primary preventive interventions aim at preventing disease or injury outcomes before the
onset of the pathological process whereas other preventive interventions address later
stages. In occupational health, primary preventive interventions aim at eliminating and
decreasing exposure known to be hazardous to health or to create a barrier to exposure.




         Figure 1. Occupational health interventions for primary prevention (J. Verbeek, 2011)

In 2011 WHO commissioned an analysis of the available systematic reviews on the
effectiveness of the interventions for primary prevention of these occupational risks. The
analysis found that regulation and incentives for employers were one of the main causes of
reducing inhalation exposure to occupational risks in the industrialized world.
Even though personal protective equipment could reduce exposure in a technical sense,
there were many practical barriers that impeded its effectiveness in practice. Hearing loss
prevention programmes were not sufficiently protective but regulation and enforcement
were found useful to reduce noise levels in workplaces. There was no evidence in the
available studies that back pain could be prevented neither by training and education nor by
ergonomic improvements nor by pre-employment examinations.
For preventing injuries, technical hazard controls such as roll-over protection structures on
tractors could reduce fatal injuries but for most technical controls there were no studies or
no systematic reviews. Incentives such as feedback and rewards for workers improved safety
behaviour and probably reduced injuries but there were no systematic reviews of measures
to improve the safety climate in an enterprise. Education and training to prevent injuries




47                                                                                               10
produced mixed results with some reviews providing evidence of effectiveness but with
other reviews not. 15

     Occupational health services

Employers and enterprises have the primary responsibility to ensure that the workplace,
work processes and work organization do not pose risks to the health and safety of workers.
In fulfilling these responsibilities employers are supported by experts in the different areas
of occupational safety and health. Occupational health services are those entrusted with
essentially preventive functions and responsible for advising employers, workers and their
representatives on the requirements for establishing and maintaining a safe and healthy
working environment which will facilitate optimal physical and mental health in relation to
work. ILO Convention No. 16116 specifies that occupational health services should include
those of the following functions that are adequate and appropriate to the occupational risks
at the worksite:
     •   identifying and assessing the risks from health hazards in the workplace;
     •   surveillance of the factors in the working environment and working practices which
         may affect workers’ health, including sanitary installations, canteens and housing
         where these facilities are provided by the employer;
     •   advice on planning and organization of work, including the design of workplaces, on
         the choice, maintenance and condition of machinery and other equipment, and on
         substances used in work;
     •   participating in the development of programmes for the improvement of working
         practices, as well as testing and evaluation of health aspects of new equipment;
     •   advice on occupational health, safety and hygiene, and on ergonomics and individual
         and collective protective equipment;
     •   surveillance of workers’ health in relation to work;
     •   promoting the adaptation of work to the worker;
     •   contributing to measures of vocational rehabilitation;
     •   collaborating in providing information, training and education in the fields of
         occupational health and hygiene and ergonomics;
     •   organizing first aid and emergency treatment;
     •   participating in analysis of occupational accidents and occupational diseases.
Occupational health services can be organized in different ways. In countries where the
provision of general health care is not sufficient, the provision of workplace specific
preventative interventions is combined with general curative and preventive care for
workers and their families. Large enterprises usually have comprehensive occupational
health service on their premises where multidisciplinary teams provide a full range of
preventative occupational health interventions and may also provide general health services
to workers and their families. Medium size enterprises may have an in-plant unit that is
staffed by one or more occupational health nurses and a part-time occupational physician or
15
  Verbeek, J. Essential occupational safety and health interventions for low and middle income countries, an
overview of the evidence. Report prepared at the request of WHO. Finnish Institute of Occupational Health,
Cochrane Occupational Safety and Health Review Group. Kuopio, 2011
16
  Occupational Health Services Convention, 1985, Seventy-first Session of the General Conference of The
International Labour Organization, 7 June 1985, Geneva


47                                                                                                             11
share an occupational health services with other enterprises in the same location or
industry. Hospitals provide services to injured or sick workers who seek care in their
outpatient clinics and emergency rooms but in some cases also operate specialized
occupational health clinics or services including both preventative and curative care. Private
centres are organized by a group of occupational health experts or a private entrepreneurial
organization to provide clinical and non-clinical (occupational hygiene) services to
enterprises. In some countries the primary care centres organized by municipal or other
local authorities or by the national health service provide some basic packages of essential
occupational health interventions to workplaces and work communities.17
The Thirteenth session of the Joint ILO/WHO Committee for Occupational Health in 2003
reviewed a new approach to providing occupational health services proposed by the
International Commission of Occupational health (ICOH). In order to move towards universal
coverage of all workers with occupational health services, ICOH developed the so called
"basic occupational health services" approach. Rantanen defined this approach as a stepwise
development of occupational health services, where the most basic (starting) level uses field
occupational health workers, such as a nurse or safety agent who have a short training in
occupational health and who work for a primary health care unit or a respective grassroots
level facility. The content of such service includes prevention of risks for accidents, healthy
physical work, basic sanitation and hygiene, and dealing with the most hazardous chemical,
physical and biological factors, including HIV/AIDS and referral to specialized services as
necessary.18
The next level is called "Basic Occupational Health Services" (BOHS) as an infrastructure-
based services working as close as possible to the workplaces and communities. Figure 2
depicts the key components of BOHS. The ILO/WHO Joint Committee on Occupational health
specified that the core content of basic occupational health services should include
surveillance and assessment of OSH risks, surveillance of individual worker health, informing
workers and managers on health hazards at work and providing preventative advice on safe
practices.19




17
  Rantanen, J. and I. Fedotov, Standards, principles and approaches in occupational health services, In:
Encyclopaedia of Occupational Health and Safety, Fourth Edition, edited by J.M. Stellman, volume I, pp. 16.2-
16.8, ILO, Geneva, 1998
18
  Rantanen, J. Basic Occupational Health Services, 3rd Edition, Finnish Institute of Occupational Health. Helsinki,
2007.
19
  Joint ILO/WHO Committee on Occupational health. 2003. Report of the Thirteenth Session. 9-12 December
2003. Geneva: ILO.



47                                                                                                              12
Basic Occupational Health Services




                       Risk assessment                 Health education                  Provision of basic
                       and monitoring of               and health                        curative services
                       the work                        promotion:                        including first aid:
                       environment:
                                                       •Workers provided                 •Provision of first aid
                       •Identification of              with appropriate                  as required
                       workers or groups of            information on
                                                       workplace risks and               •Identification of
                       workers exposed to
                                                       hazards                           exposure(s) which
                       specific hazards
                                                                                         may cause
                       •Control of causal              •Workers understand               occupational disease
                       agents such as dust,            the nature and
                                                       severity of the risks to          •Diagnosis of
                       harmful chemicals or
                                                       which they are                    occupation related
                       heat.
                                                       exposed                           disease
                       •Suggestions for the
                                                       •Workers given                    •Provision of basic
                       control of occupational
                                                       information to                    curative health
                       health related risks
                                                       manage, mitigate and              services to treat
                       •Identification and             avoid those risks by              occupation related
                       control of occupational         making their working              diseases
                       health hazards                  practices safer                   •Reporting of
                       through the use of
                                                                                         occupational disease
                       personal protective
                                                                                         and injuries
                       equipment etc.




                          Adapted from J. Rantanen, basic Occupational health services, 2007




                  Figure 2 Content of the basic occupational health services


BOHS are supposed to be staffed with a physician and a nurse with short (ten weeks) training
in occupational health as well as support from an expert with competence in basic safety and
accident prevention. The skill mix required for delivery of BOHS includes workplace and
health surveillance, risk assessment, disease and accident prevention, basic occupational
hygiene, general health care (GP level) in occupational medicine and general medicine,
communication, health promotion, self-auditing. Rantanen estimates that a minimum one
physician and two nurses are needed for every 5000 workers with great variation depending
on industrial activities and the size of workplaces and argues that BOHS should be provided
by the public sector, because of the very limited ability of small enterprises, self employed
and informal sector settings to purchase external services.15




47                                                                                                                 13
IV.
IV. Occupational health in the context of
  integrated primary health care
       Integrated health services

There is some evidence suggesting that integrated approaches to delivering health services,
compared with vertical approaches improves outcomes in selected areas including HIV,
mental health and certain communicable diseases. Nevertheless, Atun et al argue that
vertical programmes may be desirable as a temporary measure in the following cases: weak
primary health care, need for a rapid response to a health problem; to address the health
needs of specific difficult to reach target groups, or to deliver certain complex health
interventions that require highly specialized health workforce. In fact, most health services
usually combine vertical and integrated elements, with varying degrees of balance between
them.20
International evidence indicates that a well organized and integrated PHC approach will
deliver better health outcomes in the most efficient and equitable way, at a lower cost and
with higher levels of user satisfaction than other approaches to providing healthcare21. The
effective PHC system should aim to provide universal coverage of services that deliver
comprehensive, integrated and appropriate care over time and that emphasize disease and
accident prevention and health promotion. In this context integration is defined by WHO as:
            “The organization and management of health services so that people get the care
            they need, when they need it, in ways that are user-friendly, achieve the desired
            results and provide value for money22”
For the user, integration means health care that is seamless, smooth and easy to navigate.
For providers, integration means that separate technical services (and their management
support systems) are provided, managed, financed and evaluated either together, or in a
closely coordinated way. At the macro level of senior managers and policy-makers,
integration happens when decisions on policies, financing, regulation or delivery are not
inappropriately compartmentalized. Organizational integration happens when there are
mergers, contracts or strategic alliances between different institutions. Professional
integration occurs when different health professions or specialties work together to provide
joined-up services. 23
There are strong arguments for integrating some basic services for occupational health into
existing arrangements for providing primary health care. One of the principal advantages of
an integrated PHC approach is that this will enable basic services for occupational health to


20
 Atun, R., S. Bennet, A. Duran, When do vertical (stand-alone) programmes have a place in health systems?
WHO Regional Office for Europe, Copenhagen, 2008
21
     Is primary care essential? Starfield B., Lancet. 1994
22
     Integrated Health Services – what and why, Technical Brief No.1, WHO, May 2008
23
     Ibid



47                                                                                                          14
be provided closer to the locations where people live and work and to a much larger number
of workers than currently covered with specialized occupational health services.
A number of countries are testing models to integrate PHC and the basic services for
occupational health. Their experience is discussed in more detail later in this paper.
However, experience gained to-date indicates that it is possible to begin to combine PHC
and occupational health in order to provide essential occupational health interventions
services to working populations and settings with constrained resources and lack of access
to mutidiciplinary comprehensive occupational health services. An integrated approach
should not try to focus of all aspects of occupational health, but should concentrate on a
highly selective package of essential interventions that would deliver the greatest return.
Some existing public health programmes, such as HIV/AIDS, Malaria, Maternity and Child
Health, have demonstrated ability to quickly reach populations at risk and to provide them
with health information and care. Some of the most successful among these have largely
been vertically funded and managed but integrated with other PHC activities at the point of
delivery. Similarly, essential interventions and some basic services for occupational health
can be effectively integrated into existing primary health care structures and local health
systems could enable similar opportunities for providing target worker populations with a
range of appropriate OSH services. Appropriate integrated models that identify systems,
structures and health worker capacities need to be developed
An integrated approach should have a specific focus on providing services to workers in
SMEs, workers who are self-employed and those in the informal sector in order to be able to
provide these important groups with effective services. The design of such integrated
services should take careful account of what is really needed by workers. Integrating
essential interventions and basic services for occupational health into PHC could lead to
more efficient service delivery and less costly utilization by recipients than providing a
standalone system for occupational safety and health.
There are a number of potential benefits from integration. These include:
Improved access
     •   Integration would also assist with the reduction of occupational and work-related
         diseases and injuries through improved prevention practices and better access to
         education for workers through their local PHC system
     •   Clients could make one visit to one practitioner or group of practitioners rather than
         having to travel between different teams of providers in various locations thus
         improving continuity of service provision and reducing the likelihood of dropout.
     •   Small enterprises and informal sector workers would be more likely access services
         provided through their local health facility and may feel more comfortable in getting
         treatment in their normal healthcare setting rather than having to incur significant
         travel costs to be treated at a specialist facility in an urban centre
Greater health system efficiency
     •   Specialists in occupational health are in very short supply in many countries, and,
         therefore, providing supplementary training in basic occupational health to existing
         primary health care workers could be an effective strategy for rolling out these



47                                                                                            15
services into the community and providing prevention and treatment for
           uncomplicated cases.
       •   Using existing but up-skilled networks of health volunteers, auxiliary health workers,
           workers' activists and community health workers to provide support for the delivery
           of essential interventions for occupational health may prove to be an effective
           strategy for delivering services right to the community level.
       •   Integration of the basic services for occupational health into PHC can avoid
           duplication in management and support costs. Separate programmes need separate
           staffing and infrastructure; and sometimes run separate supporting systems e.g.
           logistical and procurement systems. The experience of other programmes that have
           been integrated into PHC has demonstrated reduced overall costs and improved
           treatment practices24
       •   Integrating into PHC may also be more cost effective. Duplicate implementation and
           management arrangements potentially increase the cost of programme delivery –
           however there is very little data on costs in the studies that have been undertaken to
           date.
Better prevention of illness and injury
       •   Many of the disabling and costly occupational and work-related health conditions
           that health systems have to deal with are preventable. With appropriate support,
           additional complications can be avoided or their onset delayed and health outcomes
           for clients improved
       •   Health systems can optimize the returns from scarce human and financial resources
           through offering new services in innovative ways and by emphasizing those activities
           that help to prevent accidents and illness and which delay the onset of complications.
The existing evidence base describing the benefits of integrating PHC is limited.
Reproductive health has been the focus of most of the work that has been done to date. The
research there is available suggests that the “move from disease specific programmes to
integrated services has risks as well as benefits and needs to be managed carefully”25. A
2006 Cochrane Collaboration review of “Strategies for integrating primary health services in
middle- and low-income countries at the point of delivery” concluded:
           Few studies of good quality, large and with rigorous study design have been carried
           out to investigate strategies to promote service integration in low and middle income
           countries. All describe the service supply side, and none examine or measure aspects
           of the demand side. Future studies must also assess the client's view, as this will
           influence uptake of integration strategies and their effectiveness on community
           health.”
There have been few high quality studies of integrating health programmes into PHC. More
high quality research is needed to be able to draw satisfactory conclusions regarding the
impact of integration on cost, access, service quality and health outcomes.

24
  Jenkins R, Strathdee G: The Integration of Mental Health Care with Primary Care. International Journal of Law
and Psychiatry 2000, 23:277-291.
25
     Integrated Health Services – what and why, Technical Brief No.1, WHO, May 2008



47                                                                                                          16
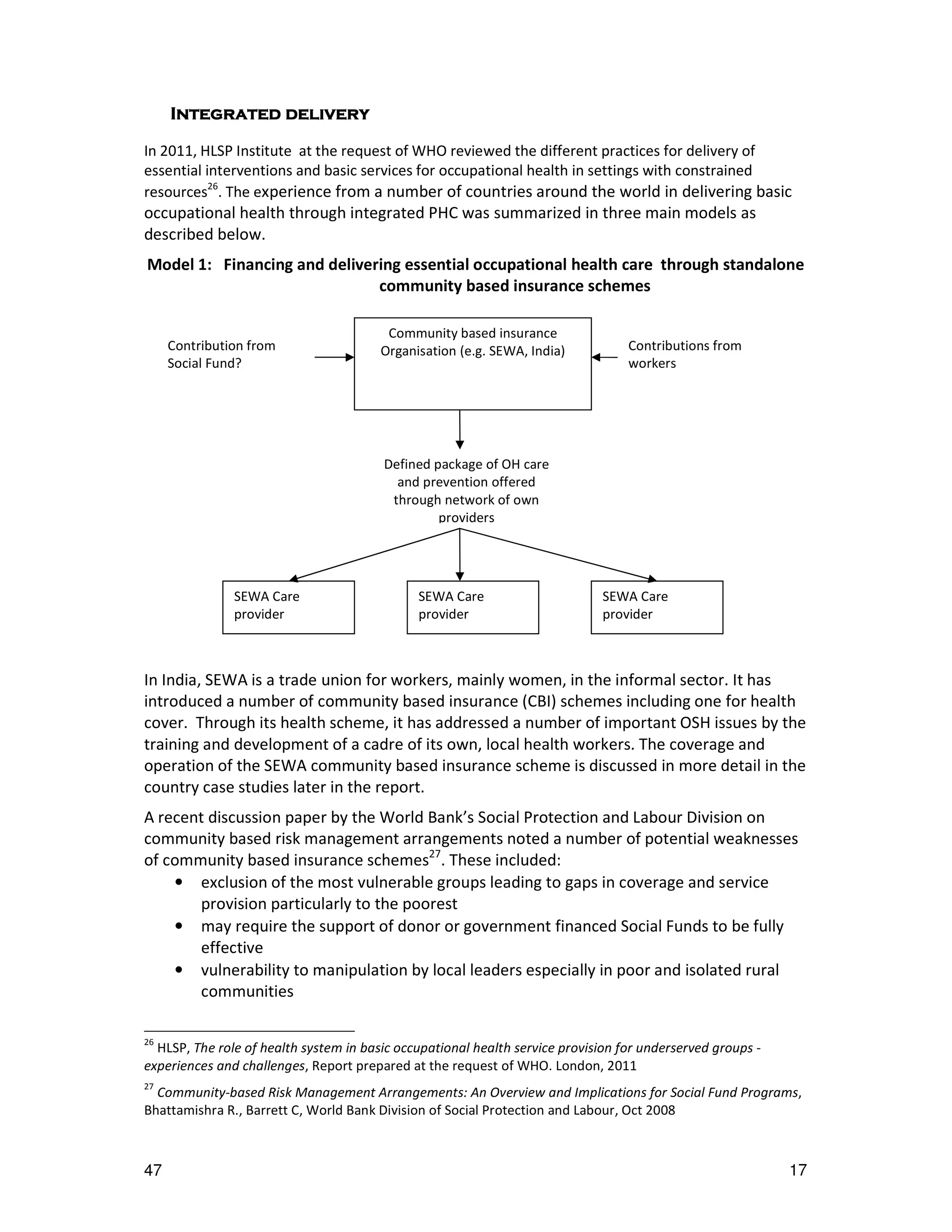
Integrated delivery
      ntegrated

In 2011, HLSP Institute at the request of WHO reviewed the different practices for delivery of
essential interventions and basic services for occupational health in settings with constrained
resources26. The experience from a number of countries around the world in delivering basic
occupational health through integrated PHC was summarized in three main models as
described below.
Model 1: Financing and delivering essential occupational health care through standalone
                              community based insurance schemes

                                         Community based insurance
     Contribution from                  Organisation (e.g. SEWA, India)           Contributions from
     Social Fund?                                                                 workers




                                        Defined package of OH care
                                          and prevention offered
                                         through network of own
                                                 providers




               SEWA Care                      SEWA Care                       SEWA Care
               provider                       provider                        provider



In India, SEWA is a trade union for workers, mainly women, in the informal sector. It has
introduced a number of community based insurance (CBI) schemes including one for health
cover. Through its health scheme, it has addressed a number of important OSH issues by the
training and development of a cadre of its own, local health workers. The coverage and
operation of the SEWA community based insurance scheme is discussed in more detail in the
country case studies later in the report.
A recent discussion paper by the World Bank’s Social Protection and Labour Division on
community based risk management arrangements noted a number of potential weaknesses
of community based insurance schemes27. These included:
    • exclusion of the most vulnerable groups leading to gaps in coverage and service
       provision particularly to the poorest
    • may require the support of donor or government financed Social Funds to be fully
       effective
    • vulnerability to manipulation by local leaders especially in poor and isolated rural
       communities

26
  HLSP, The role of health system in basic occupational health service provision for underserved groups -
experiences and challenges, Report prepared at the request of WHO. London, 2011
27
  Community-based Risk Management Arrangements: An Overview and Implications for Social Fund Programs,
Bhattamishra R., Barrett C, World Bank Division of Social Protection and Labour, Oct 2008



47                                                                                                          17
Model 2: Publicly funded essential occupational health care delivered by NGOs and private
                                        providers




                                              MoH and/or MoL
     Tax revenues &               • Sets norms and standards for OH
     user fees                    • Provides funding and capacity building                Donor funds
                                  • Manages/regulates provision of services
                                    by third party providers


            OH funding,
            capacity building                                         Information
            and oversight


                                Intermediate level in the health system (e.g. district)



                Contract management                                 Information
                and funding


                                              CSOs or private
                                                providers


                Essential OH
                interventions



                 Informal & vulnerable                      Informal & vulnerable
                 workers                                    workers



This approach to delivering care involves contracting NGOs or private providers already
delivering PHC to extend their reach to include the delivery of BOSH services to the target
groups. The reach of government services/funding can be effectively extended through the
appropriate use of non state actors. Experience in Cambodia and in other countries such as
Bangladesh has highlighted the effectiveness of using NGOs to deliver PHC to reach
underserved groups or geographically hard to reach areas28.
However, there are certain pre-requisites if this approach is to be successful. These include:
government capacity and commitment to the contracting out of services; capacity at the
national and intermediate levels to manage contracts and monitor compliance with service
28
 Cambodia: Using Contracting to Reduce Inequity in Primary Health Care Delivery, Schwartz B., Bhushan I.,
World Bank 2004


47                                                                                                          18
level agreements etc; and the availability of NGOs or private sector providers with the
capability to deliver contractually agreed services.
A 2005 review of the impact of contracting out health service provision in a range of
countries concluded that contracting out for the delivery of primary care “can be very
effective, that improvements can be rapid and that contracting for health service delivery
should be expanded and evaluated rigorously”29. However, it was also noted that many
countries which lack the capacity to organize and deliver basic health services themselves
may not have the means with which to manage contracts with NGO or private suppliers
effectively either.

     Model 3: Integrating basic occupational health into state delivered primary health care

                                                     Ministry of Health
       Tax revenues &                   • Sets norms and standards forOH in
       user fees                            partnership with Min of Labour?                     Donor funds
                                        •   Provides funding and capacity building
                                        •   Manages provision of services through
                                            own network of facilities and CHWs
                        OH funding,
                        capacity building                               Information
                        and oversight


                               Intermediate level in the health system (e.g. district)


                    Training, capacity
                    building & supervision                              Information


                                             Primary Health Care Facility
                                                  OH integrated with PHC



                        OH
                        interventions
                        – preventive
                        & curative
                                                                     Community
                                                                     health workers


                                                                                      Preventive interventions

                    Informal &                                    Informal &
                    vulnerable workers                            vulnerable workers



29
  Buying Results? Contracting for health service delivery in developing countries, Loevinsohn B, Harding A., The
Lancet 2005


47                                                                                                               19
Model 3 illustrates how basic services for occupational health might be both funded and
integrated into a PHC approach. MoH staff are responsible for developing a package of
essential occupational health interventions in partnership with the Ministry of Labour where
appropriate and, providing adequate training, supervision and funding, managing its
integration with other elements of PHC and then delivering services through a network of
primary care facilities and community health workers.
Conventional public health interventions such as immunization or DOTS treatment for TB
follow a fairly standard format and design that can be relatively easily replicated and
adapted for different country contexts. Whilst, the mode of delivery may need to change
according to the setting in which the intervention is being applied, the essential nature of
the treatment to be applied (i.e. vaccine delivery or the provision of TB drugs) remains
largely the same.
However, the OH needs of agricultural workers in Africa are going to be very different from
those of street vendors or rubbish collectors in India or artisanal fishermen in the
Philippines. This implies that a creative and flexible approach to OH design needs to be taken
that takes into account the OH needs of particular groups of workers and which tailors the
interventions to their requirements. There is therefore no “one size fits all” or standard
approach to designing and developing OH interventions. This will offer a particular challenge
to the health sector. Moreover High level knowledge and skills will be needed to accomplish
this effectively.
It is therefore not possible to be prescriptive about how OH interventions can be integrated
into PHC as health systems vary so widely from country to country. Model 3 attempts to
provide a generalized outline of how integration could be organized. However, the existing
structure of the health system in individual countries and the method of funding health
services will in large part determine how OH services can be effectively integrated into PHC.
The essential interventions and services for occupational health should be integrated as
seamlessly as possible into PHC delivery and funding mechanisms, whilst ensuring that
funding mechanisms do not throw up specific barriers to access. One size will not fit all and
it will be important to adapt the organization and services to the local context.

     Integrated
     Integrated financing

The integration of primary health care services is taking place in many developing countries
around the world. Many of the existing PHC programmes (malaria, reproductive health,
HIV/Aids, TB etc.) are vertically funded and managed interventions which are integrated at
the point of delivery in health facilities or communities. Experience in many countries has
demonstrated that whilst this approach can be very effective it can also lead to a number of
important problems such as poor allocation of funding across programmes (some can be
greatly overfunded and vice-versa), inefficiency and duplication in the use of resources and
real difficulties in getting funding for training and operational costs down to the service
delivery level. These are all important challenges that will need to be tackled when
integrating OH with PHC.




47                                                                                             20
There are five main health financing approaches which are used to fund healthcare30 (this
analysis does not include financial transfers from donors) and which could potentially serve
as funding mechanisms for OH as it integrates with PHC. These are:
       Taxation – public funding of healthcare is provided through the collection of a range of
       taxes including income tax, corporation tax, customs duties and licence fees etc.
           Advantages – taxation is generally an inexpensive way of raising funds - most
           countries already have an existing revenue collection system which can be adapted
           or expanded. Taxation can be progressive meaning those who have the most pay the
           most (e.g. income tax). Some countries are taxing good and products that are
           hazardous to health, such as alcohol, tobacco (sin tax).
           Disadvantages – tax revenues may be unpredictable due to fluctuations in the
           business cycles. The recent global financial crisis has had a significant impact on tax
           revenue collection in most countries around the world which has led to a reduction
           in the amount of funding available for public health systems and primary care.
           Taxes may be regressive - sales taxes and VAT have a disproportionate impact on the
           poor.
This is potentially a mechanism for funding OH although any new package of interventions
would have to compete with existing PHC interventions and services for resources. Public
funding of services frequently provides few incentives to improve staff performance and
under performing staff may be difficult to replace. Important issues such as the quality of
care are also difficult to address in a system that does not provide incentives (or
disincentives) for doing so.
       Social Insurance – a form of service funding where people contribute a fixed proportion
       of their income in return for a defined package of healthcare or other benefits.
           Advantages - By reinforcing the principle of risk pooling it can be a means to promote
           greater social solidarity in a health system, and can ultimately be used as a means of
           achieving universal coverage. It can be seen as a more transparent and more
           legitimate than tax-based funding as there is a clearer link between payments and
           benefits. Beneficiaries are seen as “members”. As such this approach may be more
           acceptable to the public and, as a result, also have the potential to raise more funds.
           Social insurance may be more responsive than tax funded systems as “everyone is a
           private patient not a nuisance”. It can also challenge the status quo as funding is tied
           to patients, not facilities, which is often not the case under a tax based system
           Disadvantages - Rarely self-sustaining (especially when coverage increases), requiring
           subsidies for the poor. Coverage of social health insurance is generally limited to
           curative and medical interventions (not public health). It does not always provide for
           expensive, catastrophic care – which insurance is best designed for. There is risk
           pooling although only between members and, as a result, the pool may not be that
           big if coverage is low. Social insurance must be financed from employment income -
           a narrower base than for general taxation (business taxes, import duties etc. Social
           insurance tends to be restricted (largely) to the formal sector given problems in


30
     Understanding Health Economics for Development, HLSP CD Rom, 2010


47                                                                                               21
collecting funds from the informal sector. Vulnerable groups of people are therefore
           likely to be excluded.
For example, China is piloting the use of social insurance to fund BOSH interventions for
informal and migrant workers delivered through a PHC network. Experience there, where
the cost of providing BOSH is shared between the government and employers has
demonstrated that this can be a reasonably effective system for providing services to the
majority of workers. An evaluation of the BOSH scheme in 2008 found that employers had
spent 200 RMB for each worker per year on OH per year (compared with 3000 RMB lost per
worker per year due to occupational disease). However, there were administrative problems
in keeping migrant workers enrolled in the system particularly when they moved jobs
frequently31.
Community based health insurance - is an emerging approach, which addresses the health
care challenges faced in particular by the rural poor and which helps to address both health
financing and service provision simultaneously (many of the CBI schemes are organized by
local providers of health care). It has grown rapidly in recent years, particularly in West
Africa.
           Advantages - the success of community health insurance depends upon a number of
           factors, including: trust and solidarity, typically requiring significant community
           participation; a willingness to pay which depends on economic and social factors;
           subsidies - otherwise the approach will only meet some needs of the rural sector;
           good design (to counter adverse selection, moral hazard); and a strong
           marketing/business culture.
           Disadvantages - Although sometimes successful on a smaller scale, these approaches
           have rarely been taken to scale. Establishing schemes creates a dilemma. Initial
           subsidization can be helpful in introducing the concept of insurance and reducing
           risks to those implementing any scheme, but this can be counterproductive and
           subsidies become difficult to remove. Sustainability is a key concern - access by the
           poor and vulnerable populations will invariably require subsides. The problem is that
           poor countries which have the greatest need to subsidise the poor are the very
           countries least able to provide such subsidies.
There is some evidence from the SEWA scheme in India of the successful application of the
CBI approach to providing a limited range of OSH services. However, coverage of the scheme
is limited and there are challenges in taking this kind of approach to scale.
Tanzania has developed a social health insurance organization (UMASIDA) targeted at the
informal sector in Dar es Salaam. The scheme provides both health and occupational safety
and health services to its members. It was recognized that access to social services has a
large impact on productivity and organizations of informal workers would be an appropriate
mechanism for providing such services. PHC services are provided through its own network
of dispensaries and by private providers. Secondary level care is provide through
government funded hospitals32


31
     Basic Occupational Health Services in Ba’oan, China, Chen Y., Chen J, Journal of Occupational Health, 2010
32
  The UMASIDA Mutual Health Care Scheme, A case study of an Urban based Community Health Fund, Kiwara
A, Institute of Develoment Studies, May 2005



47                                                                                                                22
The main advantage of social or community health insurance schemes for informal workers
is that they improve health expenditure efficiency (the relationship between quality and cost
of health services. There are three main reasons why informal workers would prefer group
schemes to individual spending and financing on healthcare33:
       •   by making regular contributions, the problem of indebtedness brought about by high
           medical bills can be overcome
       •   the financial power of the group may enable its administrators to negotiate services
           of better quality or which represent better value for money from private health care
           providers; and
       •   the group may be willing to spend on preventive and health promotion activities so
           as to keep down the cost of curative services.
Private health insurance - In low income countries, private insurance typically serves the
rich, though it may enjoy both direct (tax relief) or indirect subsidies (e.g. through tax
funding of the regulatory system).
           Disadvantages – whilst private insurance provides choice and is responsive to patient
           needs it introduces serious problems of adverse selection, moral hazard, supports
           little risk pooling and has the potential to absorb resources from elsewhere in the
           system (either directly or indirectly. It has high administration costs and also provides
           an escape route for the middle classes who might otherwise press for better services
           for the population at large. There is no evidence that subsidizing private insurance
           reduces the burden on the public sector as is often claimed.
This is not likely to be an effective approach for extending basic services to poor and
disadvantaged groups of workers given the scale of the costs involved and the disposable
incomes of the workers concerned.
User Fees - In the past user fees were seen as a way of raising revenue and deterring
frivolous use of health services. They were also seen as a way of formalizing informal fees
(or under the table payments). Well meaning efforts to protect the poor through waivers or
exemptions are almost always ineffective, although experience in Cambodia suggests that
exemptions may be possible. Recently there has been a strong political shift in favour of the
abolition of fees based, in part, on positive experiences in Uganda. In some countries – most
notably Uganda - the abolition of user fees has been associated with a large increase in
utilization, especially by the poor, although accompanying measures to improve the drug
supply and strengthen financial management also played key roles.
This is not likely to be an effective approach for extending basic OH services to poor and
disadvantaged groups of workers.




33
     Working Paper on the Informal Economy The Informal Sector in Sub-Saharan Africa, ILO, 2002


47                                                                                                23
V. Examples from countries
                 countries
This section looks at the approaches taken by different countries to delivering essential
interventions and basic services for occupational health in the context of integrated primary
health care. The case studies were developed by the HLSP Institute and by experts who
participated in the inter-country consultation "Integration of Workers’ Health in the
Strategies for Primary Health Care" organized by WHO and the Government of Chile on 4–7
May 2009 in Santiago, Chile. The available evidence in this area was primarily from
descriptive publications and there was little quantitative data or information available on
key issues such as costs and health impact and outcomes.

       United Kingdom - working for a healthier tomorrow 34
The UK health-care system is universal and funded from taxation, free at the point of
delivery, and covers the entire population. The National Health Service (NHS) is divided into
primary and secondary care. Primary care is controlled by regional health authorities
through primary care trusts. Primary care is the first point of contact for the public and
includes GP practices, pharmacists, opticians and dentists. Secondary care is hospital care,
both acute and planned.
Currently GPs have no access to occupational health services. Sixty years ago, when the NHS
was founded, occupational health was not included, as it was seen to be of most value and
concern to industries and businesses, and so to be paid for by employers. The current
coverage of occupational health is about 30% of workers. The trend since the 1990s has
been to outsource in-house occupational health services to external contracted service
units. There are no national standards for occupational health provision in the UK as yet.
The major causes of people leaving the workplace (2006 figures) are mental health problems
(40%), musculoskeletal (18%), cardiovascular and respiratory diseases (8%), nervous system
diseases (6%), injury and poisoning (6%) and others (22%). The overall cost of working-age
ill-health is 100 billion pounds per year, and the cost of sickness absenteeism is 13 billion
pounds per year. In addition, there are social problems and consequences beyond the
workplace, e.g. for children in workless families.
At a time when rising dependency ratios and the effects of ever-greater global competition
place huge pressures on economic and welfare systems all around the world, acting to
prevent people from becoming ill at work – and supporting and rehabilitating those who do
become ill – is not only crucial to the physical and mental health of the nation’s workforce,
but ultimately critical to the nation’s financial health, the success of British business, the
economy and the very fabric of society.
Current occupational health structures in the UK may have been right when they were
created, but there is a need now to make sure that they are appropriate for the present and
the future. It is time to reposition and redefine the role of occupational health as an integral
part of the new public health policy for the 21st century, and to reconsider the relationship


34
     Contribution from Professor Dame Carl Black, 2009


47                                                                                            24
between occupational health and the NHS, especially primary care, together with the wider
contribution of occupational health to the national economy.
GPs are critically important colleagues, and need to be supported to change and enlarge
their attitude to work as a desirable outcome of a clinical encounter. There is now clear
evidence that work is generally good for health, and therefore the benefits of work must
feature more prominently in the advice that GPs give to their patients. But general
practitioners cannot be expected to change without being offered significantly more
support. Occupational health has a role in providing such support.
The challenge for a new paradigm of occupational Health is to examine the care pathways
for working people and find new ways to support them before, during and after illness at
work. This will require forging new partnerships and new ways of working across traditional
boundaries. There is a need to bring together at local level anyone with interest or expertise
in occupational health, to find locally tailored and ever more innovative ways to allow
occupational health to make its crucial contribution to the health of the national economy.
Carol Black's report to Government, Working for a healthier tomorrow, published in March
2008, had three key objectives:
     i)         preventing illness and promoting health and well-being in the workplace;
     ii)        early intervention for those who are employed but absent with a “sick note”;
     iii)       improving the health and well-being of unemployed people within the UK benefit
                system.
The report included the following recommendations:
            •   Government should work with employers to develop a robust model for
                measuring and reporting on the benefits of investment in health and well-being.
            •   Employers should report at board level on staff health and well-being.
            •   A health and well-being consultancy service should be set up to provide
                employers with advice and support.
            •   The role of safety and health practitioners, and where present trades union safety
                representatives, in promoting the benefits of investing in health and well-being
                should be expanded.
Practical ways should be explored to make it easier for smaller employers to establish health
and well-being initiatives. An integrated approach to working-age health should be taken,
underpinned by:
                •   inclusion of occupational health and vocational rehabilitation within
                    mainstream healthcare;
                •   clear professional leadership from the occupational health and vocational
                    rehabilitation communities to expand their remits and work with new
                    partners in supporting the health of all working-age people;
                •   clear standards of practice and formal accreditation for all providers of OH
                    engaged in supporting working-age people;




47                                                                                                 25
•   a revitalized OH workforce with the development of a sound academic base
                    to provide research and support in relation to the health of all working-age
                    people;
                •   systematic gathering and analysis of data at the national, regional and local
                    level to inform the development of policy and the commissioning of services
                    relating to the health of working-age people; and
                •   awareness and understanding of the latest evidence on the most effective
                    interventions developed by organizations such as the Occupational Health
                    Clinical Effectiveness Unit.
The UK Government’s response to Black's report, entitled Improving health and work:
changing lives, was published in November 2008. The government accepted the broad thrust
and most of the detail of the recommendations in the report. The response sets out new
perspectives on health and work, improvement of workplaces, supporting people to work
and measuring outcomes of the process.
The new approach includes a new electronic “Fit Note”; piloting of a new “Fit for Work”
service; training and education for healthcare professionals especially GPs; national
standards for occupational health providers; a strategy for mental health and employment; a
national centre for working-age health and well-being; and a council of occupational health.
The response says: “By working together, our efforts will help us to combat social exclusion,
eradicate child poverty, support our aging population and build a workforce for tomorrow. By
improving health and work we will make a real difference to people’s lives.”

      Thailand – primary care units35
In 2003, the total Thai workforce was estimated at 33.8 million people. Of these, at least 51
per cent worked in the informal sector with approximately 40 per cent of the population
working in agriculture, 16 per cent in manufacturing and 6 per cent in construction. There
were also an estimated two million migrant workers, mainly from Myanmar36.
In Thailand, the Ministry of Public Health is responsible for the provision of the majority of
health services. The public health system has a four level structure:
      •   Health volunteers who have been trained in primary health care and provide services
          to 5-10 families in the local area.
      •   Primary Care Units (PCUs) of which there are approximately 7700 in Thailand, are
          normally staffed with eight trained health care workers who can provide more
          specialized services than health volunteers and who provide health care to the
          community. A PCU will service 10,000 people on average and its responsibilities will
          include disease prevention, health promotion, and treatment of illness.
      •   Secondary level services provided by medical and health personnel based in
          community hospitals.


35
     Contribution from HLSP and S. Siriruttanapruk, 2009
36
  Labour Force Survey. National Statistics Office, Ministry of Information and Communication Technology,
Thailand. http://web.nso.go.th/eng/en/stat/lfs_e/lfse.htm (accessed 29 August, 2007).



47                                                                                                         26
•   Tertiary level services which cover more specific and complicated cases provided by
         specialist medical and health care staff. These services are based in Regional, General,
         Specialized and University Hospitals.
Health system financing
Following the launch of universal health care coverage in 2002, general health services are
available to all Thai citizens, funded through health insurance. More than 25 million Thais
however do not hold public health insurance (Siriruttanapruk et al, 2006). Migrants who are
registered are able to access general health services through the Compulsory Migrant Health
Insurance (CMHI) scheme but this is not available to migrants who are not registered.
Unregistered migrants pay for services out of pocket although hospital exemptions are
available and international donors provide health services in many areas where migrants are
concentrated in addition to some provinces providing voluntary health insurance schemes to
the unregistered (IOM/WHO, 2009).
Health services are also provided by private providers under the supervision of the MOPH
and other public agencies such as the Ministry of Defence who provide services to officials
and their families and the public37.
Occupational Safety and Health in Thailand
Responsibility for occupational health and safety in Thailand is divided between three
government ministries. The Ministry of Labour enforces OSH regulations and undertakes
workplace safety inspections. The Ministry of Industry is responsible for enforcing the
Factories Act which covers workplaces with large machines and/or more than seven
workers. The Ministry of Public Health provides technical support for occupational health
services in five main areas: occupational disease surveillance; technical support;
development of OSH guidelines; training of health care workers; and research and
development.
Traditionally, OH services in Thailand have been provided through provincial and regional
public hospitals and also through some community hospitals in industrial areas. Typically,
the staff in these hospitals would have received some training in OSH and would have the
means available to monitor occupational safety risks in the workplace. The public health
office in each province has a specialist in occupational and environmental health that is
responsible for developing OSH strategies for each province.
Role of Primary Care Units (PCU) in providing basic occupational health
In order to improve the coverage and availability of OH services an initial, strategy of using
PCUs to deliver both PHC and basic OH services was developed. A pilot project was
established by the MOPH in 2004 to test a model which integrated occupational health
services into the existing public health system and which assessed the capacity of PCU staff
to deliver OSH services. The model was found to be reasonably effective and it was
demonstrated that staff in PCUs were able to effectively deliver both PHC and basic OSH
services.
PCU staff undertake OH outreach visits to workplaces - these tend to be mainly factories or
other formal work settings. However, workers in the informal sector would often still find

37
  Integrating Occupational Health Services into Public Health Systems: A Model Developed with Thailand’s
Primary Care Units, Somkiat Siriruttanapruk and team Ministry of Public Health, Thailand, ILO (2006)


47                                                                                                         27
difficulty in accessing OH services due to their dispersed, sometimes difficult to reach work
locations and a general lack of knowledge on their part of OSH issues.
In 2007 the MOPH decided to extend the model in order to identify improved ways of
delivering basic occupational health services to workers in the informal sector (Agriculture,
SMEs, Fisheries, Migrant workers and Home workers). The services included:
    • Risk assessment and workplace improvement
    • Surveillance of work-related diseases and chronic diseases
    • Health promotion
    • Provision of safety equipment
Health volunteers were used to deliver both PHC and basic OH services in the community
(Siriruttanapruk et al, 2009). The health volunteers (who receive a small stipend from the
government) were trained to work with occupational health teams to provide basic OSH
services in addition to PHC. The rationale behind the strategy is that by up-skilling the large
network of health volunteers to provide PHC and OH services, local needs can be met more
effectively and services provided more efficiently to workers in the informal economy. In
some of the test locations, health volunteers have been involved in providing workplace
safety improvements and in reducing the use of dangerous chemicals and pesticides.

       Finland - municipal health centres38

According to the Primary Health Care Act the entire Finnish population is covered by primary
health care services provided by municipal health centres. Finland has had a special
legislation on occupational health services since 1978 and it was revised in 2001. The law
obligates the employer to organize preventive OHS for his/her employees by using
competent occupational health personnel (OHP + OHN) and according to need other
experts, such as hygienists, psychologists, physiotherapists/ergonomists etc.. The obligation
is universal in all sectors, private and public, regardless of the size of company, geographical
location or type of employment contract. Provided the requirements of legislation are met,
the employer is entitled to reimbursement of 50 to 60% of the costs of the services he/she
has provided to employees.
The law requires preventive content of services, including among others workplace
surveillance, risk assessment, accident prevention, ergonomics, surveillance of health,
promotion of health and work ability of workers and advice, information and education of
occupational health, and safe and healthy working practices to workers and employers. The
employer is entitled to provide also GP level curative services for his/her employees in
connection with occupational health services and about 80% of them do so. The employer is
entitled to buy services from any of the competent and registered occupational health
service units, organize own in-company services, group services, or buy the services from a
private occupational health centre or from a municipal health centre.
The municipal health centres have a legal obligation to provide occupational health services
to anybody who is interested in getting them. Virtually all farmers and self-employed who
are covered by OHS are served by municipal health centres and for farmers the preventive
OHS workplace visits by experts are provided free of charge.


38
     Contribution from Professor J. Rantanen, 2009


47                                                                                            28
The coverage of Finnish OHS is one of the highest in the world, about 85% of all (including
self-employed) and about 90% of the workers employed by the employer. The coverage of
services is 90 to 100% of companies with 10 workers and more, while the coverage of
companies decreases substantially among the SMEs and self-employed being on average at
the level of 60%.
The municipal health centres (primary health care units) have occupational health physician
and nurse for provision of services and they can use services of other experts, e.g.
occupational hygienists or psychologists e.g. from the multidisciplinary teams of the regional
offices of occupational health (FIOH).
The experiences from provision of services by PHC units are positive. The municipal health
centres accommodate 29% of all occupational health service units in Finland and provide
occupational health services for 32% of all workers covered by OHS and for 61% of all
enterprises.
Obstacles are the thin resources and shortage of service time of OHS personnel and
tendency to prioritize the worker-oriented health service provided from the centre at the
cost of preventive interventions to the work environment, which would require more active
visiting at the workplaces.

                   occupational
       Indonesia – occupational health posts in the informal sector
Indonesia is the fourth largest country in population terms after China, India and the USA. In
2008, its total population was 228 million39. The total labour force (15 years and above) was
approximately 108 million in 2007. In 2006 it was estimated that about 63 percent of
Indonesia’s workers were employed in the informal sector, mostly in agriculture, home-
industries and fisheries etc. . Small enterprises contribute about 38 per cent of GDP40.
PHC in Indonesia is largely provided through a large network of facilities that includes: health
centres (PUSKESMAS), sub-health centres, mobile units and community based activities at
the village level. PHC and OH services are co-funded by central and local governments. A
typical health centre is led by a medical doctor supported by a range of health and other
professionals. It is responsible for providing preventative and curative services to the
community including OH together with activities aimed at health promotion, education and
empowerment41.
In 1980 Indonesia introduced Occupational Health Posts (OHP) at the community level. It is a
self-care model run by workers who are trained by health staff from a local health centre.
Services provided by OHPs include: basic first aid delivery for accidents and OH related
disease together with preventive and educative interventions intended to encourage
workers to use appropriate safety equipment. Service provision is intended to be integrated
within the PHC approach. Significant progress has been reported to-date in rolling-out the
basic OSH training required by staff at all levels of the health system in order to implement
the OHP approach42.

39
     Indonesian Country Paper on the Informal Sector and its Measurement, BPS-Statistics Indonesia, May 2008
40
     The Informal Sector and Informal Employment in Indonesia, ADB Country Report, 2010
41
     Revitalizing Primary Health Care, Indonesia Country Experience, WHO Regional Conference, Aug 2008
42
     Ibid



47                                                                                                             29
By 2008 it was reported that over 8,000 OHPs had been established although problems with
funding had been experienced. The provision of occupational health has not yet been
included in the basic PHC package of care in Indonesia and the support and financing of basic
OSH has been rather patchy both from the central level and through local administrations43.
It is important to integrate OSH into the basic PHC package of care in order to ensure that
appropriate structures are in place to provide training and supervision and also that funding
for OSH is included in overall PHC allocations.

         China - piloting basic occupational health services44
                 piloting
The economic reforms and industrialization over the last 25 years in China have resulted in a
substantial increase in the numbers of migrants moving from rural to urban areas of the
country45. A rigid system of household registration (Hukou) that only allowed people to
access social services in the areas where they are registered has been applied. Whilst this
has begun to be relaxed in a number of cities, it has still been identified as an area of
concern. As migrants generally retain their rural registration, they are often excluded from
accessing services in the areas to which they migrate, including health care and occupational
health services. In 2008 health insurance coverage was only 19% among rural migrants
compared to 58% of urban residents whose cover was generally linked to the place of
work46.
China lacks good quality, accessible primary care system. Traditionally, in urban areas,
hospitals have provided PHC - there has been a widespread belief among the urban Chinese
that hospital is best and that the quality of care provided by hospital specialist is superior to
that of general practitioners. The creation of a comprehensive primary health care system is
the centre piece of China’s health care reform announced in 200947.
The State Administration of Work Safety, a ministerial level national authority directly under
the State Council, is responsible for workplace safety and health inspection, and for ensuring
compliance with OSH provisions at provincial, city and country levels. The labour
inspectorates enforce the implementation of various laws and regulations through
supervising employers in order to establish and standardize labour contracts and collective
contracts48.
Workers in SMEs, including migrants however have limited coverage of OSH which is
attributed to a number of factors including:
     •      Factory managers and workers having little understanding of OHS.

43
  Impact and Effectiveness of Occupational Health Interventions: a qualitative study on multiple stakeholders in
occupational health for informal sectors in Indonesia, Hanifa M. Denny, College of Public Health, University of
Florida (on-going research project)
44
     HLSP analysis
45
  Hesketh, T; Jun, Y. X; Mei, L. H.(2008) Health Status and Access to Health Care of Migrant Workers in China,
Public Health Reports 2008 Mar–Apr; 123(2): 189–197
46
     Ibid
47
     China’s primary health-care reform, Liu Q., Wang B., The Lancet, March 2011
48
  Zhu, C (2008) Labour protection for women workers in China, Asian-Pacific Newsletter on Occupational
Health and Safety;15:47



47                                                                                                           30
•   The small scale of SMEs making it difficult to provide in house services like larger
         companies.
     •   Human and financial resources constrain the government’s ability to provide OSH
         services through the health system.
A gradual shift has been identified since 2000 where migrants are being increasingly seen as
a vulnerable group with growing support for improving their access to public services,
including OSH from the general public. Data on occupational health and injury rates in
general in China is unreliable as the information is collected by a number of agencies with
incomplete reporting. This is exacerbated among migrants who do not necessarily seek care
from hospitals (ibid). Clearly a major challenge in the Chinese context is in being able to
collect and utilize accurate data on OSH. This will require better integrated and more robust
data collection systems. These should enable improved identification of need and better
planning of services.
In China, migrant workers are not eligible for Government Employee Insurance which covers
public servants working in state institutions or Labour Insurance which is a work unit based
self-insurance system that covers medical costs for the workers and often their dependents
as well. (These are the main types of insurance available for employees with Hukou).
Migrant workers are also not eligible for the New Rural Cooperative Medical Insurance as
they live and work in the city49 (Mou et al, 2009).
In 2006, the Ministry of Labour and Social Security developed plans to expand health
insurance to include migrant workers with the aim of having 20 million migrant workers
enrolled by the end of 2006 and almost all by the end of 2008. Urban governments have
employed a variety of methods to greatly increase access of migrants to insurance although
this varies between cities. Monitoring and prevention of occupational health risks is included
as a goal of health system reform. China has piloted several schemes to extend the provision
of basic OSH to its large migrant population. In 2006, the MOH launched a Basic
Occupational Health Services programme in 19 pilot counties in 10 provinces. This was then
expanded to 46 counties in 19 provinces in 201050.
Bao’an county has a large migrant population who mainly work in SMEs (considered in China
to be enterprises with less than 2000 employees and an annual revenue of less than 400
million RMB)51 . A pilot scheme to test various models for providing OHS and primary care
services to groups including migrants at different levels was begun in 2008. The objectives of
the pilot were: to develop working mechanisms for resource allocation; improve multi-
sectoral cooperation and participation of workers; expand coverage of compulsory work-
related injury insurance; expand OSH service delivery; integrate occupational health service
into primary health care at county and community level and to provide OSH training52.

49
   Health care utilisation amongst Shenzhen migrant workers: does being insured make a difference?, Mou J et
al, BMC Health Services Research 2009, 9:214
50
  Migration and health in China: challenges and responses, Holdaway J, & Krafft T, International Human
Dimensions of the Programme on Global Environmental Change, Issue 1, 2011
51
  Basic Occupational Health Services in Ba’oan, China, Chen, Y; Chen, J, Journal of Occupational Health; 52: 82-
88
52
 Dr Jian, F (undated) Basic occupational health services in China, Reports from the WHO regions and from ILO,
WHO WPRO



47                                                                                                           31
Ba’oan is divided in to towns and communities with a Centre for Disease Control and
Prevention (CDC) at the district level, an institute of health care and prevention at the town
level and at least one health service centre at the community level42. This structure allows
BOSH to be integrated with the primary health care system which follows the same
structure. Three levels of service are provided:
       •   Tier 1 – (Lowest level) are the community health service centres which provide services
           to all workers. Services include:
                  o general health examination
                  o first aid services
                  o health promotion
                  o OH education.
       •   Tier 2 (Intermediate level) comprises the institutes of healthcare and prevention in the
             towns of Ba’oan which provides services to workers not exposed to serious
             occupational hazards. Services include:
                 o OH and general health examinations
                 o surveillance of working environments
                 o proposing prevention and control actions to eliminate health hazards
                 o record keeping
                 o health training for workers and education.
       •   Tier 3 – (Upper level) - the Centre for Disease Control and Prevention (CDC). Its main
             role is to provide services for workers in workplaces with serious potential risks and
             those exposed to serious hazards
                 o OH examination and potential referral to specialist occupational medical
                      clinics for treatment.
                 o surveillance of the working environment
                 o dealing with major OH accidents
                 o risk control and assessment
                 o providing information and training for basic OHS personnel.
How is the pilot scheme funded?
Under the BOHS scheme in Ba’oan, the cost is shared by the employer and the government
with employers being responsible for the surveillance of workers health and the working
environment. Basic occupational health training, education and relevant tools were provided
by the government which also offered BOHS to those who were self-employed or working in
informal factories. An evaluation of the BOHS scheme in 2008 found that employers had
spent 200 RMB for each worker per year on OH per year compared with an estimated 3000
RMB lost per worker per year due to occupational disease53.
Level of integration with other parts of the health system
Under the Ba’oan scheme, OSH services were provided through a “primary health care
approach”. Specific OSH staff were appointed as occupational health personnel at all three
levels of the scheme although it is not clear if those staff had a wider health role. A
government steering group including the district governor, Bureau of Health leaders and
other government offices, such as finance and industry, was established. The group was


53
     Basic Occupational Health Services in Ba’oan, China, Chen Y., Chen J, Journal of Occupational Health, 2010


47                                                                                                                32
responsible for organizing OHS and ensuring financial and human resources to support the
basic OSH system.
Information and reporting
Where community health service centre physicians and nurses decide that an illness might
be associated with work, it is reported to the Institutes of Health Care and Prevention to
investigate and make a definitive diagnosis. Where surveillance of workplaces has resulted in
the identification of serious hazards, they are reported and improvements required.
An evaluation of BOSH in Ba’oan found that knowledge and recognition of occupational
diseases had increased significantly in 2008 compared with 2006. Coverage rates of factories
with OHS increase from 35% in 2006 to 82% in 2008 while the coverage rate of workers with
health surveillance increased from 29% to 81%. However it was found to be difficult to
provide cover for all workers including those who changed their jobs and workplaces often
sometimes as much as three or more times a year54. The reasons for this were not explained
but it seems likely that the administrative complexities of transferring workers from one
workplace to another and possibly from one insurance scheme to another proved
overwhelming.

       Brazil – family health teams55
PHC is at the centre of the Brazilian health system and it is delivered by a government
funded Family Health Team (FHT) comprising a General Practitioner (GP), public health
nurse, dentist, community health agent and a nursing assistant. The FHT is responsible for
delivering PHC and OSH services to 800-1000 families56. All members of the FHT receive
training in OSH from OH trained physicians. The target groups for BOSH are mainly the self-
employed and the informal sector. Large enterprises in Brazil are responsible for organising
the delivery of OSH services to their employees.
The activities of FHTs however vary according to the local conditions and population. Health
promotion and prevention are the responsibility of the FHT health agent. By 2011, the aim is
to provide OSH services through 70% of the FHTs. Key OSH services provided by the FHTs
include: registering occupational accidents and diseases; following up on the health of
workers; visiting workplaces and implementing prevention measures57.

       Tanzania - essential health interventions and community based
       insurance
In 2000 the Ministry of Health adopted a national package of essential interventions58. The
package is an integrated collection of cost-effective interventions that address the main

54
     Ibid
55
     Contribution from Claunara Mendonça, 2009
56
  The Primary Health Care Strategy in Brazil, Dr Luis Rolim Sampaio, National Director of Primary Care, Nov
2006
57
  WHO/ Government of Chile (2009) Integration of workers health in strategies for primary health care, global
inter-country consultation, 4-7 May, Santiago de Chile
58
  The United Republic of Tanzania, Ministry of Health, National Package of Essential Health Interventions in
Tanzania, Dar es Salaam, January 2000



47                                                                                                             33
diseases, injuries and risk factors, plus the corresponding diagnostic and health care services.
The interventions are clustered into five groups: (1) reproductive and child health; (2)
communicable disease control; (3) non-communicable disease control; (4) treatment and
care of other common diseases of local priority within the district, e.g. eye disease, oral
conditions; and (5) community health promotion and disease prevention. The latter covers
essential interventions for water hygiene and sanitation, health education, school health as
well as occupational health and safety. The essential occupational health and safety
interventions are defined according to the level of delivery:
     •   community - safety measures, such as wearing safety gears, substituting toxic to non-
         toxic materials, establishing first aid service
     •   dispensary/health center - dissemination of education and information materials,
         supervision and monitoring
     •   district hospital - periodic medical examinations of workers; treatment of
         occupational diseases, training of safety officers in first aid, training of workplace
         safety committee members in occupational safety measures.
For each level the package also defines the activities, inputs, outputs and indicators. The
package is a way of ensuring that the most important services get also the highest priority in
terms of financing.
The UMASIDA is an umbrella health insurance organization for the informal economy in Dar
es Salaam, Tanzania. UMASIDA is an abbreviation in ki-Swahili (Umoja wa Matibabu katika
Sekta Isiyo Ra smi Dar es Salaam), which means in English: health care community fund for
the informal sector in Dar es Salaam. It grew out of an ILO/UNDP project that, in 1994-96,
experimented with the provision of integrated services for the urban informal sector in
Bogota, Dar es Salaam and Manila.
The main objective of the scheme is to provide health care to all its members and their
families on an insurance basis. One of the innovations of the project was that it not only
concentrated on economic services, such as the provision of credit and training in finance,
production, management and marketing, but also on social services, such as access to health
care as well as occupational safety and health measures. The idea behind this concept is that
access to social services has a strong impact on productivity, and that organizations of
informal sector workers would be an appropriate vehicle for organizing such services.
Initially the scheme relied solely on private providers for care to its members. Contracts
which guided care contents were signed between UMASIDA and the providers. Now
UMASIDA has its own dispensaries in Dar es Salaam, Arusha and Moshi. Its members receive
care from this combined system. Secondary level care is provided through government
hospitals
Before the scheme could become operational it was necessary to train both the beneficiaries
and providers on the dos and don’ts of mutual health schemes59. The main messages were:-
For the beneficiaries:
       • Resist overuse of service.
       • Consult provider only when necessary

59
  The UMASIDA Mutual Health Care Scheme, A case study of an Urban based Community Health Fund, Kiwara
A, Institute of Development Studies, May 2005


47                                                                                                 34
Overuse means higher premiums on your part
            •
           Don’t facilitate provision of care to unentitled people
            •
           Pay your premiums on time
            •
           Always present your identity at the point of services for you and your families if
            •
           you observe the above factors.
For the providers
           • Always ask for identity before providing services
           • It is necessary to fill all the forms presented to you by those seeking care.
           • Restrict prescriptions to the WHO approved essential drugs list.
           • A functioning Health Insurance System is an assurance that you will continue
               to get patients whose services are prepaid.

       India – SEWA, a community based insurance approach
The informal sector in India employs an estimated 260 million workers out of a total working
population estimated to be 500 million60. The majority of them are poor and have little or
no access to social security or to healthcare. The main causes of occupational disease related
morbidity and mortality in India are silicosis, musculoskeletal injuries, coal workers’
pneumoconiosis, obstructive lung diseases, asbestosis, bysinosis, pesticide poisoning and
noise induced hearing loss61.
Only workers in four sectors: mining, factories, ports and construction are currently covered
by existing OSH legislation and regulations in India. Factories and mines are the focus of the
major OSH legal provisions for workers’ health. However, the majority of workers in India do
not work in either of these work settings and so have little legal protection. There is clearly a
need to extend legal protection to include these unprotected workers.
Provision of public OSH services is very scarce although the Government of India’s Eleventh
Five Year Plan 2007-12 does include some ambitious objectives for improving OSH including
the introduction of no-fault insurance schemes for workers in the formal and informal
sectors. Government spending on occupational health in India is very low. The provision of
OSH services is not integrated with PHC and the responsibility for it lies with the Ministry of
Labour not the Ministry of Health.
SEWA was established in 1972 is a trade union for workers, mainly women, in the informal
sector. In 1992, SEWA Insurance, a community based insurance scheme was launched for its
members and provides; life, hospitalization and asset cover. The health insurance
component is the most popular service offered, although members find it more difficult to
access this component compared with life and asset protection62. However, as with many
health insurance schemes only hospital care is provided under the health insurance plan as
this tends to have the highest cost and potential to have a catastrophic impact on a poor
family’s finances.


60
     CIA World Factbook, 2007
61
     Do occupational health services really exisit in India?, Pingle S, Reliance Industries Ltd
62
  Tara Sinha, M Kent Ranson, Mirai Chatterjee, Akash Acharya And Anne J Mills (2006) Barriers to accessing
benefits in a community-based insurance scheme: lessons learnt from SEWA Insurance, Gujarat, Health Policy
Plan. (March 2006) 21 (2): 132-142.



47                                                                                                       35
As it is impossible to prevent all occupational injury and sickness, SEWA has provided
insurance against occupational injury and illness since 1994 as part of its integrated
insurance scheme. The cost of seeking any medical treatment is met through the SEWA
health insurance package. The combined cover helps an injured person to avoid further loss
of income in addition to that already caused by the illness or injury.
Lowering the cost of medical treatment through the provision of a community based
insurance approach also provides a significant incentive for workers to seek medical
attention when required rather than continuing to work and potentially suffering additional
health problems63. Workers are more likely to access PHC/OH services and seek appropriate
preventive and curative services. Well integrated PHC/OH services that are easy to use and
which provide effective treatment and advice are much more likely to be used and to deliver
better health outcomes.
SEWA has also addressed a number of important OH issues through the training and
development of a cadre of its own, local health workers. These provide SEWA members with
OSH related health education and preventative health care and are also promoting the use
of personal protective work equipment . The SEWA health workers also provide curative
care from their homes or from a health centre run by them where low-cost generic drugs are
dispensed at cost to members (Raval 2000).
OH related activities include: tuberculosis screening for workers at risk from occupational
causes, eye check-ups and a monthly mobile van out-reach service to remotely located salt-
workers. Other activities such as improving access to water and the promotion of stress
relief activities are undertaken. These also indirectly reduce the risk of injury and illness
associated with fatigue and stress caused by paid and unpaid work activities which may have
an impact on occupational health.
Recognizing that the national compensation system fails to cover informal workers and that
SEWA in conjunction with KKPKP (an association of informal scrap collectors and waste
pickers) has collaborated with design institutes in India to produce equipment for informal
workers that better meets their needs. For example, gloves which do not get too hot have
been designed for waste pickers, together with handcarts suitable for use by women.
SEWA’s integrated insurance packages, together with its provision of low cost, high quality,
health care at the community level have helped to ensure that poor, working women are
able to afford and access PHC and basic OSH services where they live and work. “The health
insurance has helped to address members’ concerns that the majority of what they earned
was spent on health care and by reducing the personal income costs associated with
occupational injury and illness”64. Some of SEWA’s poorest members may find even the low
insurance premiums charged by the organization beyond their means and are excluded from
cover65.
However, there have been some concerns expressed regarding the extent to which
information collected on OSH injuries and diseases amongst SEWA members is used to
63
  Francie Lund and Anna Marriott (2005) Occupational Health and Safety and the Poorest: Final report of a
consultancy for the Department for International Development
64
     Ibid
65
  Livelihood security through community based health insurance in India, Chatterjee, M and M.K. Ranson,
Global Health Challenges to Human Security, Harvard, 2003



47                                                                                                          36
effectively design preventive interventions. This is essential if an effective package of OH
interventions and care is to be delivered and integrated into SEWA’s community health
programmes.

       Chile – a dual social and private health insurance approach
Primary health care coverage in Chile is high. There is a dual healthcare system which allows
Chileans to opt to be covered by the government run National Health Insurance Fund (NHIF)
or by a private insurance provider. An estimated 68 percent of the population is covered by
the NHIF government, 18 percent by private insurance companies and the remaining 14
percent is provided by not-for-profit agencies or is uncovered66. Due to the multiple
provider arrangements, the public and private health systems in Chile operate almost
independently from one another – there is little coordination to achieve common health
objectives.
In contrast to the public sector, the private health care system has largely neglected the
development of PHC and instead has concentrated its resources in the hospital sector. PHC
services are provided by a network of health centres and health posts located in rural and
urban areas. Health posts are the first point of contact and refer patients to health centres.
OSH services in the formal sector are covered by mutual insurances (covering 40% of
workers), the rest are covered by PHC centres funded by the NHIF. Eighty eight percent of
enterprises in Chile employ less than 10 workers. There are a number of programmes being
developed by the public health sector which focus on integrating OSH and PHC services;
recognizing and diagnosing OH diseases; developing health education programmes; health
surveys and providing services to vulnerable groups.
The health sector is undergoing reform and OSH services are being increasingly integrated
into PHC. These reforms aim to improve equity, increase coverage to underserved groups,
prevent occupational disease and promote OSH.

       The Netherlands - treating the "blind spot"67
During the 80s and 90s The Netherlands were often called ‘The sick man of Europe’, because
of the high percentages of sickness absence and work incapacity (almost 1 million for a
workforce of 6 million). Therefore, during the last two decades many legal and
organizational reforms were undertaken regarding social security, occupational health and
the general health systems. The Working Conditions (ARBO) Act from 1981 focused on
prevention.
The 1994 reform introduced the obligation for employers to take care of their employees
during sick leave. They were required to contract an occupational health service (OHS).
Within some years coverage rose from about 40% to more than 90%. Occupational health
services are general, regional, sector or company oriented and provide comprehensive,
multidisciplinary occupational health care, including primary prevention (advising employers
about working conditions), helping employers manage sickness absence and offering
66
  Health care reform in Chile, Gabriel Bastias & Tomas Pantoja, Canadian Medical Association Journal, Dec
2008
67
     Contribution from Peter Buijs,2009




47                                                                                                          37
support to employees on sick leave to return to work. 1994 also changed the OHS from
exclusively not-for-profit establishments to a mixed system of profit-oriented and not-for-
profit services. In 2005 the Arbo Act was liberalized, giving employers more choice and
making some services voluntary or subject to agreement between social partners. This
slightly diminished OHS coverage.
The social security system for work and health is regulated mainly by the Sickness Absence
Act (SAA) and Work Incapacity Act. This system was also reformed substantially during the
beginning of the 90s. A crucial feature of this reform was the shifting of costs of workers'
health from collective sickness absence funds to individual employers. Employers are now
paying the salaries during sick leave. Starting with six weeks for companies with more than
15 employees, and two weeks for the others (1994), that period has been extended in 1996
to one year and in 2004 to two years for all companies. This has substantially increased the
employers' interest in reduction/ prevention of sickness absence and premature work
disability through improving working conditions, better sickness absence management,
medico-social support to employees on sick leave and stimulating a return to work.
Unfortunately, some employers are reluctant to employ people with a possible medical
condition, despite a legal ban on medical pre-employment assessment (except for certain
high-risk functions/jobs).
When after two years an employee is still not capable of work because of health problems,
salary payment by the individual employer is taken over by the collective Work Incapacity
Act. This requires an independent assessment of the employee’s health and functional
capacity and of the employers’ efforts to facilitate work resumption e.g. by adapting specific
working conditions, hours etc. The 2004 Gatekeepers Act introduced duties of employers,
employees and the OHS during the first 4-6 weeks of sick leave. All these reforms led to a
dramatic decrease in the rates of sickness absence and work incapacity.
The 1994 reform caused some problems in occupational health care, such as
commercialization, high turnover of occupational physicians, lack of clarity about their tasks
and position, bias and ethical considerations of being too close to the (paying) employers.
There is still a wide gap between primary care/general medical practice and occupational
health care. This is on the agenda of the government employees, employers, and healthcare
organizations. There is already a consensus about the following major problems to be
addressed:
              • Little attention and expertise on work - health problems (‘Blind Spot’);
              • Poor coordination with occupational health care/physicians;
              • Inefficiency (waiting lists, only ‘open’ Monday till Friday, 8-17 hrs etc.)
              • Little attention for the worker’s perspective and empowerment.
Dutch workers with health problems do not have to visit a general practitioner for
certification of sick leave and have mostly free access to an occupational physician, or so
called ‘work health expert’. Nevertheless, they usually contact their GP first, often weeks
before seeing an occupational physician. Though GPs are in a good position for early
detection and intervention at work-related problems, many have that ‘Blind Spot’ for
occupational health. The result is incomplete medical history, false diagnosis, inadequate
therapy, referrals to health care providers with long waiting lists or without competence in
occupational health; unnecessary absence from work for clinical examination, and
medicalization of complaints without a medical cause, such as disturbed work relations.



47                                                                                            38
Combined with healthcare inefficiency, this can cause unnecessary and long sick leave, work
incapacity, unemployment, loss of health and well being, and eventually even premature
death.
In 1997 the Dutch Centre for Occupational Health TNO carried out a state-of-the art study on
occupational health care and general practice and presented the results to the ministers of
health and labour and to the presidents of the organizations of general practitioners and
occupational physicians. The study reconfirmed the existence of Blind Spot, poor
cooperation and indicated obstacles and prerequisites. It also found that more than 80% of
the occupational physicians and general practitioners want improvement.
Based on TNO's research, the professional organizations agreed to a common vision,
regional meetings and demonstration projects including occupational physicians in some
primary health care centres. Other pilot initiatives, funded mostly by the government,
included developing general or specific coordination guidelines, e.g. for fatigue and
musculoskeletal disorders (including modules for cooperation between occupational
physicians and general practitioners in medical curricula), an occupational history
questionnaire, and a guide for workers' empowerment. However, preliminary evaluations
found too little change in the daily practice of occupational and general health care
providers; financial support was discontinued and most instruments were not implemented.




47                                                                                       39
VI. Conclusions
VI. Conclusions and recommendations
The inter-country consultation "Integration of Workers’ Health in the Strategies for Primary
Health Care" was organized by WHO and the Government of Chile on 4–7 May 2009 in
Santiago, Chile with the purpose to review countries’ experiences in integrating occupational
health services and PHC to expand coverage among underserved sectors and workers. The
consultation was attended by 24 experts in occupational health and social determinants of
health representing government and academic institutions from twelve countries, WHO and
ILO68.
Conclusions:
1.    The working population, like any other subpopulation, has the right to the highest
      attainable standard of physical and mental health. This right should not be limited to
      conditions of formal employment. Almost half of the working population do not have
      formal employment and are exposed to risks in the course of their work. Occupational
      health is needed not only to increase their productivity but also to allow them to fully
      exercise their right to health and to favourable working conditions.
2.    The health of workers is an essential prerequisite for societal productivity, and
      therefore services to protect and promote workers’ health contribute to overall
      economic and human development.
3.    Insufficient connections between the world of health and the world of work may
      jeopardize the health and well-being of the working population. There is a gap in the
      public policies for health and labour, and this requires strengthening the collaboration
      between both sectors. There are some good examples of establishing institutional
      arrangements for such collaboration.
4.    Up to now primary care development has not paid much attention to the specific
      health needs of workers. The development of health systems does not take sufficient
      account of the needs of the working populations as opposed to other high-risk
      populations.
5.    The ongoing process of renewing PHC and reforming health systems provides an
      opportunity to rethink and scale up the provision of health services to the working
      population. Failure to consider the health needs of workers may have long-term
      unfavourable consequences for public health.
6.    PHC development can improve workers’ health by providing basic occupational health
      services, referral services and specialized occupational health services to more people
      than by traditional ways. There are a number of suitable models depending on the
      characteristics of the working population and the types of health systems in the
      countries.


68
  Integration of workers’ health in strategies for primary health care. Report of Global Intercountry
Consultation organized jointly by WHO and the Government of Chile, 4–7 May 2009, Santiago, Chile. WHO,
Geneva, 2010



47                                                                                                       40
7.   It is feasible to integrate the provision of occupational health services and primary
     care. This has already been done widely in a number of countries as demonstrated by
     the cases presented at the meeting. Policy support, capacity building, worker
     participation and adequate resources are key factors for the success of such horizontal
     integration.
8.   The renewal of PHC is a process that allows for integration of occupational health at
     the primary, secondary and tertiary levels of health service delivery. This process is
     undertaken step by step; it may start with promotional activities and then move on to
     service provision.
9.   Providing comprehensive health care at the primary level requires an occupational
     health component. This is an important tool also to address the social determinants of
     health at working age.
10. Good occupational health can stimulate the development of PHC and health systems
    strengthening. It can reduce the disease burden and provide opportunities to improve
    public health and to implement essential health interventions, e.g. tobacco control and
    HIV prevention and treatment.
11. Furthermore, providing occupational health services to all workers contributes to
    achieving the goals of equity and universal coverage and brings prevention and
    promotion to primary care
12. The majority of workers, such as those in the informal economy, are not covered by
    occupational health services and even not with general health care services. The
    increasing mobility of workers requires new solutions, such as networking, for
    providing these services. Workplace-based services do not provide complete solutions.
    A complementary territorial approach to providing health services to workers could
    overcome this problem.
13. Strong public policies, infrastructure, competent human resources and adequate
    financing mechanisms are features common to all countries that have achieved
    satisfactory coverage of and access to occupational health services.
14. Improving the training of primary care providers in the area of occupational health and
    employment-related health aspects is an essential first step in integrating occupational
    health and primary care.
15. Research on organizing occupational health services and their integration with PHC
    should be strengthened in order to provide sufficient evidence for implementation of
    the WHO strategies in this field.
Recommendations
1.   PHC policies should take into account workers’ health needs and are particularly well
     placed to reach out to workers not covered by the current occupational health
     services.




47                                                                                           41
2.   Models and good practices for provision of PHC-based occupational health services
     which were described at the meeting should be systematically analysed and
     disseminated. Specific recommendations will be developed on integrating occupational
     health and primary care, through regional meetings and reviews of experiences.
3.   The broad spectrum of stakeholders should be engaged in the discourse on PHC and
     occupational health, and governments need to take responsibility and be accountable
     for addressing workers’ health, including inequalities.
4.   Policy development at the national level should be stimulated through particular
     efforts by ministries of health to improve PHC and develop it further, taking into
     consideration the health needs of the working populations.
5.   At the local level there is a need to improve the performance of primary care services
     in addressing the health needs of workers, including:
           •   developing models and standards for providing occupational health services
               under the primary care centres and community health services;
           •   building human resource and institutional capacities of primary care for
               addressing the specific health needs of workers;
           •   establishing mechanisms for intersectoral collaboration on providing health
               services to all workers;
           •   enhancing the participation of workers and working communities in the
               planning, implementation and evaluation of health services.
6.   Ministries of health have a very important role to play in protecting and promoting the
     health of all workers by integrating occupational health services into primary care and
     placing emphasis on primary prevention, including:
     -    developing PHC-based systems and structures that address the specific health
          needs of working populations with emphasis on prevention and promotion;
     -    establishing national centres of excellence and capacities for preventing and
          mitigating work- and employment-related health problems;
     -    developing human resources for occupational health;
     -    coordinating with other governmental agencies;
     -    providing for participation of workers and social partners in the development of
          policies regarding workers’ health;
     -    stimulation and funding of research needed for implementing the WHO strategies
          in this field
7.   Other stakeholders, such as labour and social security, as well as the social partners,
     should be fully engaged in the discourse on providing PHC-based services to all
     workers, e.g. through a global stakeholder forum to be convened by WHO.
8.   The lessons learned from developing PHC since 1978 and the reasons for failures with
     regard to workers’ health should be further examined.




47                                                                                             42
9.   Success stories on how workers’ health can be improved using PHC approaches should
     be identified and disseminated.
10. Mechanisms and procedures should be established to take into account work-related
    health issues at the first point of contact of individuals and communities to the health
    system.
11. The experience of the participating countries in integrating occupational health and
    primary care should be systematically described and made widely available.
12. Mechanisms for intercountry collaboration, exchange of experience and joint research
    should be established at the regional and global levels.
13. WHO, ILO and other international organizations, including international professional
    NGOs (nongovernmental organizations), the International Commission on Occupational
    Health and Wonca (World family doctors Caring for people), are urged to provide
    coherent support to national policymakers to integrate occupational health in the
    policies for PHC.
14. WHO is invited to establish an international working group to develop concrete
    recommendations for integrating occupational health in the policies for PHC based on
    the available evidence, good practices and lessons learnt.




47                                                                                         43

Background document

  • 1.
    Draft Released for use by conference participants only. Not to be referenced or quoted. Scaling Up Access to Essential Interventions and Basic Services for Occupational Health Through Integrated Primary Health Care Background Document for the WHO Global Conference "Connecting Health and Labour: What Role for Occupational Health in Primary Health Care?" 29 November - 1 December 2011, The Hague, The Netherlands Geneva, November 2011 47 i
  • 2.
    Acknowledgments This document wasproduced under the overall direction of Ivan D. Ivanov, Team Leader for Occupational Health at WHO Headquarters. Contributions in the form of analysis and case studies were provided by: Carol Black, Peter Buijs, Jorma Rantanen, Adrienne Chattoe-Brown, Jody Tate, Jos Verbeek, Chen Rui, Somkiat Siriruttanapruk, and Claunara Mendonça. Suggestions were received from Rania Kawar, Carlos Dora, Igor Fedotov, Bill Gunnyeon and Chris van Weel. Financial support from the Unites States National Institute of Occupational Safety and Health and the Ministry of Health, Welfare and Sport of the Netherlands is gratefully acknowledged. 47 ii
  • 3.
    Table of Contents Executivesummary ............................................................................................................... 1 I. Introduction................................................................................................................... 4 II. Health systems and primary health care ........................................................................ 6 III. Occupational health................................................................................................... 9 Essential interventions......................................................................................................10 Occupational health services ............................................................................................11 IV. Occupational health in the context of integrated primary health care ......................14 Integrated health services.................................................................................................14 Integrated delivery............................................................................................................17 Integrated financing..........................................................................................................20 V. Examples from countries ..............................................................................................24 United Kingdom - working for a healthier tomorrow ........................................................24 Thailand – primary care units............................................................................................26 Finland - municipal health centres ....................................................................................28 Indonesia – occupational health posts in the informal sector............................................29 China - piloting basic occupational health services ...........................................................30 Brazil – family health teams ..............................................................................................33 Tanzania - essential health interventions and community based insurance......................33 India – SEWA, a community based insurance approach....................................................35 Chile – a dual social and private health insurance approach..............................................37 The Netherlands - treating the "blind spot" ......................................................................37 VI. Conclusions and recommendations ..........................................................................40 47 iii
  • 4.
    47 iv
  • 5.
    Executive summary Approximately halfof the world's population spends at least one third of its time in the workplace. Fair employment and decent work are important social determinants of health and a healthy workforce is an essential prerequisite for productivity and economic development. However, only a small proportion of the global workforce has access to occupational health services for primary prevention and control of occupational- and work- related diseases and injuries. Furthermore, certain global health problems, such as non- communicable diseases, result in increasing rates of long-term sick leave and challenge the ability of health systems to preserve and restore working capacity. The 62nd World Health Assembly in 2009 emphasized the need to strengthen health systems based on primary health care (PHC) in keeping with the values and principles enshrined in the Alma-Ata Declaration. Action must be taken to provide universal access to PHC by developing comprehensive health services, introducing national equitable and sustainable financing mechanisms and implementing vertical health programmes, e.g. occupational health, in the context of integrated primary health care. Currently, a number of countries are reforming their health systems based on the values and principles of PHC1 to improve service delivery, cost-efficiency and to ensure equity. National debates on health reforms often touch upon insufficient collaboration between health and labour sectors, the organization of preventive and curative health services for working populations, and their relation to primary care2. Employers, businesses and the private sector are engaging in providing health services to workers and communities. In 2007, the 60th World Health Assembly urged Member States to work towards covering all workers with essential interventions and basic occupational health services for primary prevention of occupational- and work-related diseases and injuries. This coverage should be particularly provided to those in the informal economy, small- and medium-sized enterprises, agriculture, and migrant and contractual workers. How can this goal be achieved, bearing in mind that most countries experience a shortage of human resources for health and most people lack access to the most basic elements of social protection in a world of work that is ever more diverse, small scale, precarious and informal? Recent decades have seen significant progress in the development of occupational health services in a number of industrialized countries and economies in transition and rapid economic growth. Compulsory provision of services along with national funds for their financing has led to almost universal coverage in some countries and a significant increase of coverage and quality in others. However, there are some concerns. In many countries coverage remains low and increasingly inequitable and workers with the biggest needs, such as those in agriculture, small enterprises and informal economy, remain without access to 1 Primary health care (PHC) is a way of organizing a health system so that everyone, both rich and poor, is able to access the services and the conditions necessary for realizing the highest level of health. It includes organizing health systems to provide quality and comprehensive health care to all while ensuring that poor and other disadvantaged people have fair access to essential health services. 2 Primary care is a component of PHC and refers to the first level of contact people have with health-care teams. In some countries this may be a community health worker or midwife; in others, it refers to the family practitioner. 47 1
  • 6.
    the most basicoccupational health services. Where occupational health services exist, they often focus on provider-driven menus of few interventions and may not be adequate to meet the health needs and expectations of workers. In addition, there are language, employment status and structural barriers to accessing services which in themselves are becoming more and more profit-oriented. In many countries occupational health is still detached from other parts of the health system, thus resulting in fragmentation of care, difficulties with referral and follow up, and, in general, an inability to handle work-related health problems. The 1978 International Conference on Primary Health Care in Alma Ata called for bringing health care to where people live and work. However, when PHC was put into practice, the focus was mostly on health services where people live. With only a few exceptions, the provision of health care where people work was absent from the debate on programmes and strategies for primary health care. Thirty years after Alma Ata there are even more compelling arguments for using the workplace as a point of entry to the health system. The workplace can be a setting for delivery of essential health interventions and for reaching out to workers’ families and communities. In some cases, the workplace is the only way of providing health care, e.g. for mining communities and migrant workers. Furthermore, improving workers’ health can help to reduce poverty, and is an essential prerequisite for productivity and economic development. There have been a number of innovative attempts to extend the coverage of basic occupational health services through integration of occupational health with primary care at the point of delivery. One example consists of training primary care providers, such as general practitioners, nurses, technicians and community health workers to understand work-related health problems and to provide some basic support for small workplace settings to improve working conditions, to train workers on how to work in a healthy and safe way and to provide first aid. This has been undertaken primarily in rural areas and the informal sector. Another example is designating a member of the primary care team to provide occupational health support to workers and workplaces in the catchment area of the primary care centre. Yet, a third example is when occupational health experts periodically visit the primary care centre to hold an occupational health clinic providing consultations and advice as needed. Whatever the model, integrated PHC-based services for workers would provide the first point of contact within the health system while emphasizing primary prevention of occupational and work-related diseases and injuries, promotion of health and restoring working capacity. Such services require active mechanisms for workers’ participation in planning, delivery and evaluation, an adequate skill mix of service providers, equitable financing and purchasing mechanisms as well as a sound policy, legal and institutional framework. In 2008, WHO launched a set of reforms to provide PHC to all citizens focusing on universal coverage, people-centred care, participatory health governance and including health in all policies. Working towards universal coverage with occupational health services entails certain complex measures, such as reducing the proportion of costs to the individual undertaking the service and/or workers (insurance schemes), adding interventions to the existing package of service provision (primary prevention in addition to curative care), increasing the 47 2
  • 7.
    number of workerscovered, and reducing barriers to undertaking services and to individuals accessing health services. A new health leadership should include a solid regulatory framework to guarantee a basic level of health protection in all workplaces and for all workers, as well as careful planning for the provision of different occupational and primary health care services to under-served working populations. Collaboration between health and labour sectors is essential to ensure comprehensiveness and continuity of care. A new leadership also requires participation of workers, employers and other workplace actors in the debate about health-care reforms. The delivery of the essential occupational health interventions can be leveraged significantly through integrated primary health care by putting people in the center of care. Occupational health institutes, laboratories, clinics and information centres should provide expertise, information and laboratory support to occupational health services and to primary care centres. The collaboration between occupational health services and primary care centres should be improved. The content of occupational health services needs to be reoriented towards the health needs and expectations of the workers and not geared towards a supply of providers. Particularly in need is provision of workplace initiatives, practical tools and working methods that enable workers, employers and other work actors to undertake the most basic measures for protecting and promoting health at work without unnecessarily relying on health services. Finally, delivering occupational health to all workers requires public policies that stimulate inter-sectoral collaboration and coordination, not least involving health, labour, environment, agriculture, industry, energy, transport, construction, finance, trade and education. Social security institutions, employers, trade unions, the private sector and civil society organizations have a particular role to play in shaping public policies for workers’ health. 47 3
  • 8.
    I. Introduction Approximately halfof the world's population spends at least one third of its time in the workplace. Fair employment and decent work are important social determinants of health and a healthy workforce is an essential prerequisite for productivity and economic development. When carried out under favourable conditions, work provides income to support human needs and has a positive impact on the health and well-being of individuals and on social and economic development. However, most of the world’s workers still labour under unhealthy and unsafe working conditions, resulting in about 2 million deaths annually from diseases and injuries. Occupational risks account for a substantial portion of the burden of chronic diseases. Between 3 and 4% of global GDP is being lost to costs associated with sickness absenteeism, diseases and injuries resulting from work. The current financial and economic crises caused world production to contract and raised the number of unemployed people. In 2010 there were 205 million unemployed people in the world. This is, however, is only the tip of the iceberg of labour market distress. Different forms of underemployment, vulnerable employment and working poverty also increase. ILO estimates that in 2009 around 1.5 billion workers, or half of the world's workers, were in vulnerable employment The share of workers living with their families below the US$ 2 a day poverty line is estimated at around 39 per cent, or 1.2 billion workers worldwide. 3 There are a number of highly effective interventions for prevention of occupational diseases and injuries. However in many countries health systems are not able to deliver these interventions to those workers in greatest need. Less than 15% of the global workforce have some coverage with occupational health services. Furthermore, certain global health problems, such as non-communicable diseases, result in increasing rates of long-term sick leave and challenge the ability of health systems to preserve and restore working capacity. The 62nd World Health Assembly in 2009 emphasized the need to strengthen health systems based on primary health care (PHC) in keeping with the values and principles enshrined in the Alma-Ata Declaration. Action must be taken to provide universal access to PHC by developing comprehensive health services, introducing national equitable and sustainable financing mechanisms and implementing vertical health programmes, e.g. occupational health, in the context of integrated primary health care.4 Currently, a number of countries are reforming their health systems based on the values and principles of PHC5 to improve service delivery, cost-efficiency and to ensure equity. National debates on health reforms often touch upon insufficient collaboration between health and labour sectors, the organization of preventive and curative health services for working 3 Global Employment Trends 2011. International Labour Office, Geneva, 2011. 4 Resolution WHA62.12. Primary health care, including health system strengthening. In: Sixty-second World Health Assembly, Geneva, 18–22 May 2009. Resolution and decisions, annexes. Geneva, World Health Organization, 2009, (WHA62/2009/REC/1), pp 16-18. 5 Primary health care (PHC) is a way of organizing a health system so that everyone, both rich and poor, is able to access the services and the conditions necessary for realizing the highest level of health. It includes organizing health systems to provide quality and comprehensive health care to all while ensuring that poor and other disadvantaged people have fair access to essential health services. 47 4
  • 9.
    populations, and theirrelation to primary care6. Employers, businesses and the private sector are engaging in providing health services to workers and communities. Many countries have already in place some form of essential interventions and services for occupational health for occupational health. Few countries, though, have managed to achieve a more universal coverage of workers with such interventions and to establish sustainable mechanisms for the provision of basic services for occupational health. Other countries are approaching WHO for access to these experiences and for technical assistance in setting up their own programmes for scaling up coverage of workers with occupational health care. In 2007, the 60th World Health Assembly urged Member States to work towards full coverage for all workers with essential interventions and basic occupational health services for primary prevention of occupational- and work-related diseases and injuries. This coverage should be particularly provided to those in the informal economy, small- and medium-sized enterprises, agriculture, and migrant and contractual workers.7 How can this goal be achieved, bearing in mind that most countries experience a shortage of human resources for health and most people lack access to the most basic elements of social protection in a world of work that is ever more diverse, small scale, precarious and informal? 6 Primary care is a component of PHC and refers to the first level of contact people have with health-care teams. In some countries this may be a community health worker or midwife; in others, it refers to the family practitioner. 7 Resolution WHA 60.26 "Workers' health: Global plan of action", In: Sixtieth World Health Assembly, Geneva, 14–23 May 2007, Resolution and decisions, annexes. Geneva, World Health Organization, 2007, (WHASS1/2006–WHA60/2007/REC/1), pp 94-99. 47 5
  • 10.
    II. II. Health systemsand primary health care A health system consists of all organizations, people and actions whose primary intent is to promote, restore or maintain health. This includes efforts to influence determinants of health as well as more direct health-improving activities. A health system is therefore more than the pyramid of publicly owned facilities that deliver personal health services. It includes e.g. a mother caring for a sick child at home; private providers; behaviour change programmes; vector-control campaigns; health insurance organizations; and occupational safety and health. It includes intersectoral action by health staff e.g. by encouraging the ministry of education to promote female education, a well-known determinant of better health. To achieve their goals, all health systems must carry out some basic functions, regardless of how they are organized: they have to provide services; develop health workers and other key resources; mobilize and allocate finances, and ensure health system leadership and governance (also known as stewardship, which is about oversight and guidance of the whole system). For the purpose of clearly articulating what WHO will do to help strengthen health systems, the following six essential “building blocks” have been defined; all are needed to improve outcomes: • Good health services are those which deliver effective, safe, quality personal and non- personal health interventions to those that need them, when and where needed, with a minimum waste of resources. • A well-performing health workforce is one that works in ways that are responsive, fair and efficient to achieve the best health outcomes possible, given available resources and circumstances (i.e. there are sufficient staff, fairly distributed; they are competent, responsive and productive). • A well-functioning health information system is one that ensures the production, analysis, dissemination and use of reliable and timely information on health determinants, health system performance and health status. • A well-functioning health system ensures equitable access to essential products, vaccines and technologies for protecting and restoring health that are of assured quality, safety, efficacy and cost-effectiveness, as e well as scientifically sound and cost-effective to use. • A good health-financing system raises adequate funds for health, in ways that ensure people can use needed services, and are protected from financial catastrophe or impoverishment associated with having to pay for them. It provides incentives for providers and users to be efficient. 47 6
  • 11.
    Leadership and governance involves ensuring that strategic policy frameworks exist and are combined with effective oversight, coalition building, regulation, attention to system design and accountability8. The best measure of a health system’s performance is its impact on health outcomes. International consensus is growing: without urgent improvements in the performance of health systems, the world will fail to meet its health-related goals. As health systems are highly context-specific, there is no single set of best practices that can be put forward as a model for improved performance. But health systems that function well have certain shared characteristics. They have procurement and distribution systems that actually deliver interventions to those in need. They are staffed with sufficient health workers having the right skills and motivation. And they operate with financing systems that are sustainable, inclusive, and fair. The costs of health care should not force impoverished households even deeper into poverty. Primary health care is “essential health care based on practical, scientifically sound and socially acceptable methods and technology made universally accessible to individuals and families in the community through their full participation and at a cost that the community and country can afford to maintain at every stage of their development in the spirit of self- reliance and self-determination. It forms an integral part both of the country’s health system, of which it is the central function and main focus, and of the overall social and economic development of the community. It is the first level of contact of individuals, the family and community with the national health system bringing health care as close as possible to where people live and work, and constitutes the first element of a continuing health-care process.”9 Put simply, it is aimed at ensuring that everyone, rich and poor, is able to enjoy the services and conditions necessary for realizing the highest level of health. It includes organizing health systems to provide quality and comprehensive health care to all, while ensuring that the poor and other disadvantaged people have fair access to essential health services. PHC mobilizes society and requires community participation in defining and implementing health agendas, and underscores intersectoral approaches to health. Most important, PHC ensures that national health development is an integral part of the overall social and economic development of countries.10 PHC is not poor care for the poor. Primary care is a component of PHC and usually refers to the first level of contact people have with health-care teams. In some countries this may be a community health worker or midwife; in others, a family practitioner. The concepts of PHC as they were expressed 30 years ago are still valid today. The World Health Report of 2008 "Primary Health Care: Now More Than Ever" identified major avenues 8 Everybody's business. Strengthening health systems to improve health outcomes. WHO's framework for action. World Health Organization, Geneva, 2007 9 Declaration of Alma-Ata. In: Primary Health Care. Report of the International Conference on Primary Health Care, Alma-Ata, USSR, 6-12 September 1978, Geneva, World Health Organization, 1978, pp 2-6. 10 Equity in health (health status) means the attainment by all citizens of the highest possible level of physical, psychological and social well-being. Equity in health care means that health-care resources are allocated according to need; health care is provided in response to legitimate expectations of the people; health services are received according to need regardless of the prevailing social attributes; and payment for health services is made according to the ability to pay. 47 7
  • 12.
    for health systemsto narrow the intolerable gaps between aspiration and implementation. These avenues are as four sets of reforms that reflect a convergence between the values of primary health care, the expectations of citizens and the common health performance challenges that cut across all contexts. They include: • universal coverage reforms that ensure that health systems contribute to health equity, social justice and the end of exclusion, primarily by moving towards universal access and social health protection; • service delivery reforms that re-organize health services around people’s needs and expectations, so as to make them more socially relevant and more responsive to the changing world, while producing better outcomes; • public policy reforms that secure healthier communities, by integrating public health actions with primary care, by pursuing healthy public policies across sectors and by strengthening national and transnational public health interventions; and • leadership reforms that replace disproportionate reliance on command and control on one hand, and laissez-faire disengagement of the state on the other, by the inclusive, participatory, negotiation-based leadership indicated by the complexity of contemporary health systems. While universally applicable, these reforms do not constitute a blueprint or a manifesto for action. The details required to give them life in each country must be driven by specific conditions and contexts, drawing on the best available evidence.11 11 Primary Health Care: Now More than Ever, The World Health Report 2008. Geneva, World Health Organization, 2008. 47 8
  • 13.
    III. III. Occupational health Occupationalrisk factors account for substantial part of the global burden of diseases. The WHO study from 2004 found that 37% of back pain, 16% of hearing loss, 13% of chronic obstructive pulmonary disease, 11% of asthma, 8% of injuries, 9% of lung cancer and 2% of leukaemia can be prevented through improving the work environment12. The Joint ILO/WHO Committee on Occupational Health defined the following objectives of occupational health: • promoting and maintaining workers’ health and work ability; • improving work and the working environment and work so it is conducive to safety and health; • steering work organization and culture in a direction that supports health and safety and, in so doing, also promotes productivity of an enterprise. 13,14 12 Concha-Barrientos M et al. Selected occupational risk factors. In: Ezzati M et al., eds. Comparative quantification of health risks: global and regional burden of diseases attributable to selected major risk factors. Geneva: World Health Organization, 2004:1651-801. 13 Joint ILO/WHO Committee on Occupational health. 1950. Report of the First Meeting, 28 August - 2 September 1950. Geneva: ILO 14 Joint ILO/WHO Committee on Occupational health. 1995. Defining Occupational Health. Geneva: ILO 47 9
  • 14.
    interventions Essential interventions The rangeof the interventions addressing occupational and work-related diseases and injuries may include both clinical (e.g. health examinations) and non-clinical interventions (e.g. workplace risk assessment). The interventions can be categorized as preventive and treatment interventions, where preventive interventions are usually offered to persons unsolicited and without symptoms urging to seek help. Preventive interventions can be divided into primary, secondary or tertiary prevention. Primary preventive interventions aim at preventing disease or injury outcomes before the onset of the pathological process whereas other preventive interventions address later stages. In occupational health, primary preventive interventions aim at eliminating and decreasing exposure known to be hazardous to health or to create a barrier to exposure. Figure 1. Occupational health interventions for primary prevention (J. Verbeek, 2011) In 2011 WHO commissioned an analysis of the available systematic reviews on the effectiveness of the interventions for primary prevention of these occupational risks. The analysis found that regulation and incentives for employers were one of the main causes of reducing inhalation exposure to occupational risks in the industrialized world. Even though personal protective equipment could reduce exposure in a technical sense, there were many practical barriers that impeded its effectiveness in practice. Hearing loss prevention programmes were not sufficiently protective but regulation and enforcement were found useful to reduce noise levels in workplaces. There was no evidence in the available studies that back pain could be prevented neither by training and education nor by ergonomic improvements nor by pre-employment examinations. For preventing injuries, technical hazard controls such as roll-over protection structures on tractors could reduce fatal injuries but for most technical controls there were no studies or no systematic reviews. Incentives such as feedback and rewards for workers improved safety behaviour and probably reduced injuries but there were no systematic reviews of measures to improve the safety climate in an enterprise. Education and training to prevent injuries 47 10
  • 15.
    produced mixed resultswith some reviews providing evidence of effectiveness but with other reviews not. 15 Occupational health services Employers and enterprises have the primary responsibility to ensure that the workplace, work processes and work organization do not pose risks to the health and safety of workers. In fulfilling these responsibilities employers are supported by experts in the different areas of occupational safety and health. Occupational health services are those entrusted with essentially preventive functions and responsible for advising employers, workers and their representatives on the requirements for establishing and maintaining a safe and healthy working environment which will facilitate optimal physical and mental health in relation to work. ILO Convention No. 16116 specifies that occupational health services should include those of the following functions that are adequate and appropriate to the occupational risks at the worksite: • identifying and assessing the risks from health hazards in the workplace; • surveillance of the factors in the working environment and working practices which may affect workers’ health, including sanitary installations, canteens and housing where these facilities are provided by the employer; • advice on planning and organization of work, including the design of workplaces, on the choice, maintenance and condition of machinery and other equipment, and on substances used in work; • participating in the development of programmes for the improvement of working practices, as well as testing and evaluation of health aspects of new equipment; • advice on occupational health, safety and hygiene, and on ergonomics and individual and collective protective equipment; • surveillance of workers’ health in relation to work; • promoting the adaptation of work to the worker; • contributing to measures of vocational rehabilitation; • collaborating in providing information, training and education in the fields of occupational health and hygiene and ergonomics; • organizing first aid and emergency treatment; • participating in analysis of occupational accidents and occupational diseases. Occupational health services can be organized in different ways. In countries where the provision of general health care is not sufficient, the provision of workplace specific preventative interventions is combined with general curative and preventive care for workers and their families. Large enterprises usually have comprehensive occupational health service on their premises where multidisciplinary teams provide a full range of preventative occupational health interventions and may also provide general health services to workers and their families. Medium size enterprises may have an in-plant unit that is staffed by one or more occupational health nurses and a part-time occupational physician or 15 Verbeek, J. Essential occupational safety and health interventions for low and middle income countries, an overview of the evidence. Report prepared at the request of WHO. Finnish Institute of Occupational Health, Cochrane Occupational Safety and Health Review Group. Kuopio, 2011 16 Occupational Health Services Convention, 1985, Seventy-first Session of the General Conference of The International Labour Organization, 7 June 1985, Geneva 47 11
  • 16.
    share an occupationalhealth services with other enterprises in the same location or industry. Hospitals provide services to injured or sick workers who seek care in their outpatient clinics and emergency rooms but in some cases also operate specialized occupational health clinics or services including both preventative and curative care. Private centres are organized by a group of occupational health experts or a private entrepreneurial organization to provide clinical and non-clinical (occupational hygiene) services to enterprises. In some countries the primary care centres organized by municipal or other local authorities or by the national health service provide some basic packages of essential occupational health interventions to workplaces and work communities.17 The Thirteenth session of the Joint ILO/WHO Committee for Occupational Health in 2003 reviewed a new approach to providing occupational health services proposed by the International Commission of Occupational health (ICOH). In order to move towards universal coverage of all workers with occupational health services, ICOH developed the so called "basic occupational health services" approach. Rantanen defined this approach as a stepwise development of occupational health services, where the most basic (starting) level uses field occupational health workers, such as a nurse or safety agent who have a short training in occupational health and who work for a primary health care unit or a respective grassroots level facility. The content of such service includes prevention of risks for accidents, healthy physical work, basic sanitation and hygiene, and dealing with the most hazardous chemical, physical and biological factors, including HIV/AIDS and referral to specialized services as necessary.18 The next level is called "Basic Occupational Health Services" (BOHS) as an infrastructure- based services working as close as possible to the workplaces and communities. Figure 2 depicts the key components of BOHS. The ILO/WHO Joint Committee on Occupational health specified that the core content of basic occupational health services should include surveillance and assessment of OSH risks, surveillance of individual worker health, informing workers and managers on health hazards at work and providing preventative advice on safe practices.19 17 Rantanen, J. and I. Fedotov, Standards, principles and approaches in occupational health services, In: Encyclopaedia of Occupational Health and Safety, Fourth Edition, edited by J.M. Stellman, volume I, pp. 16.2- 16.8, ILO, Geneva, 1998 18 Rantanen, J. Basic Occupational Health Services, 3rd Edition, Finnish Institute of Occupational Health. Helsinki, 2007. 19 Joint ILO/WHO Committee on Occupational health. 2003. Report of the Thirteenth Session. 9-12 December 2003. Geneva: ILO. 47 12
  • 17.
    Basic Occupational HealthServices Risk assessment Health education Provision of basic and monitoring of and health curative services the work promotion: including first aid: environment: •Workers provided •Provision of first aid •Identification of with appropriate as required workers or groups of information on workplace risks and •Identification of workers exposed to hazards exposure(s) which specific hazards may cause •Control of causal •Workers understand occupational disease agents such as dust, the nature and severity of the risks to •Diagnosis of harmful chemicals or which they are occupation related heat. exposed disease •Suggestions for the •Workers given •Provision of basic control of occupational information to curative health health related risks manage, mitigate and services to treat •Identification and avoid those risks by occupation related control of occupational making their working diseases health hazards practices safer •Reporting of through the use of occupational disease personal protective and injuries equipment etc. Adapted from J. Rantanen, basic Occupational health services, 2007 Figure 2 Content of the basic occupational health services BOHS are supposed to be staffed with a physician and a nurse with short (ten weeks) training in occupational health as well as support from an expert with competence in basic safety and accident prevention. The skill mix required for delivery of BOHS includes workplace and health surveillance, risk assessment, disease and accident prevention, basic occupational hygiene, general health care (GP level) in occupational medicine and general medicine, communication, health promotion, self-auditing. Rantanen estimates that a minimum one physician and two nurses are needed for every 5000 workers with great variation depending on industrial activities and the size of workplaces and argues that BOHS should be provided by the public sector, because of the very limited ability of small enterprises, self employed and informal sector settings to purchase external services.15 47 13
  • 18.
    IV. IV. Occupational healthin the context of integrated primary health care Integrated health services There is some evidence suggesting that integrated approaches to delivering health services, compared with vertical approaches improves outcomes in selected areas including HIV, mental health and certain communicable diseases. Nevertheless, Atun et al argue that vertical programmes may be desirable as a temporary measure in the following cases: weak primary health care, need for a rapid response to a health problem; to address the health needs of specific difficult to reach target groups, or to deliver certain complex health interventions that require highly specialized health workforce. In fact, most health services usually combine vertical and integrated elements, with varying degrees of balance between them.20 International evidence indicates that a well organized and integrated PHC approach will deliver better health outcomes in the most efficient and equitable way, at a lower cost and with higher levels of user satisfaction than other approaches to providing healthcare21. The effective PHC system should aim to provide universal coverage of services that deliver comprehensive, integrated and appropriate care over time and that emphasize disease and accident prevention and health promotion. In this context integration is defined by WHO as: “The organization and management of health services so that people get the care they need, when they need it, in ways that are user-friendly, achieve the desired results and provide value for money22” For the user, integration means health care that is seamless, smooth and easy to navigate. For providers, integration means that separate technical services (and their management support systems) are provided, managed, financed and evaluated either together, or in a closely coordinated way. At the macro level of senior managers and policy-makers, integration happens when decisions on policies, financing, regulation or delivery are not inappropriately compartmentalized. Organizational integration happens when there are mergers, contracts or strategic alliances between different institutions. Professional integration occurs when different health professions or specialties work together to provide joined-up services. 23 There are strong arguments for integrating some basic services for occupational health into existing arrangements for providing primary health care. One of the principal advantages of an integrated PHC approach is that this will enable basic services for occupational health to 20 Atun, R., S. Bennet, A. Duran, When do vertical (stand-alone) programmes have a place in health systems? WHO Regional Office for Europe, Copenhagen, 2008 21 Is primary care essential? Starfield B., Lancet. 1994 22 Integrated Health Services – what and why, Technical Brief No.1, WHO, May 2008 23 Ibid 47 14
  • 19.
    be provided closerto the locations where people live and work and to a much larger number of workers than currently covered with specialized occupational health services. A number of countries are testing models to integrate PHC and the basic services for occupational health. Their experience is discussed in more detail later in this paper. However, experience gained to-date indicates that it is possible to begin to combine PHC and occupational health in order to provide essential occupational health interventions services to working populations and settings with constrained resources and lack of access to mutidiciplinary comprehensive occupational health services. An integrated approach should not try to focus of all aspects of occupational health, but should concentrate on a highly selective package of essential interventions that would deliver the greatest return. Some existing public health programmes, such as HIV/AIDS, Malaria, Maternity and Child Health, have demonstrated ability to quickly reach populations at risk and to provide them with health information and care. Some of the most successful among these have largely been vertically funded and managed but integrated with other PHC activities at the point of delivery. Similarly, essential interventions and some basic services for occupational health can be effectively integrated into existing primary health care structures and local health systems could enable similar opportunities for providing target worker populations with a range of appropriate OSH services. Appropriate integrated models that identify systems, structures and health worker capacities need to be developed An integrated approach should have a specific focus on providing services to workers in SMEs, workers who are self-employed and those in the informal sector in order to be able to provide these important groups with effective services. The design of such integrated services should take careful account of what is really needed by workers. Integrating essential interventions and basic services for occupational health into PHC could lead to more efficient service delivery and less costly utilization by recipients than providing a standalone system for occupational safety and health. There are a number of potential benefits from integration. These include: Improved access • Integration would also assist with the reduction of occupational and work-related diseases and injuries through improved prevention practices and better access to education for workers through their local PHC system • Clients could make one visit to one practitioner or group of practitioners rather than having to travel between different teams of providers in various locations thus improving continuity of service provision and reducing the likelihood of dropout. • Small enterprises and informal sector workers would be more likely access services provided through their local health facility and may feel more comfortable in getting treatment in their normal healthcare setting rather than having to incur significant travel costs to be treated at a specialist facility in an urban centre Greater health system efficiency • Specialists in occupational health are in very short supply in many countries, and, therefore, providing supplementary training in basic occupational health to existing primary health care workers could be an effective strategy for rolling out these 47 15
  • 20.
    services into thecommunity and providing prevention and treatment for uncomplicated cases. • Using existing but up-skilled networks of health volunteers, auxiliary health workers, workers' activists and community health workers to provide support for the delivery of essential interventions for occupational health may prove to be an effective strategy for delivering services right to the community level. • Integration of the basic services for occupational health into PHC can avoid duplication in management and support costs. Separate programmes need separate staffing and infrastructure; and sometimes run separate supporting systems e.g. logistical and procurement systems. The experience of other programmes that have been integrated into PHC has demonstrated reduced overall costs and improved treatment practices24 • Integrating into PHC may also be more cost effective. Duplicate implementation and management arrangements potentially increase the cost of programme delivery – however there is very little data on costs in the studies that have been undertaken to date. Better prevention of illness and injury • Many of the disabling and costly occupational and work-related health conditions that health systems have to deal with are preventable. With appropriate support, additional complications can be avoided or their onset delayed and health outcomes for clients improved • Health systems can optimize the returns from scarce human and financial resources through offering new services in innovative ways and by emphasizing those activities that help to prevent accidents and illness and which delay the onset of complications. The existing evidence base describing the benefits of integrating PHC is limited. Reproductive health has been the focus of most of the work that has been done to date. The research there is available suggests that the “move from disease specific programmes to integrated services has risks as well as benefits and needs to be managed carefully”25. A 2006 Cochrane Collaboration review of “Strategies for integrating primary health services in middle- and low-income countries at the point of delivery” concluded: Few studies of good quality, large and with rigorous study design have been carried out to investigate strategies to promote service integration in low and middle income countries. All describe the service supply side, and none examine or measure aspects of the demand side. Future studies must also assess the client's view, as this will influence uptake of integration strategies and their effectiveness on community health.” There have been few high quality studies of integrating health programmes into PHC. More high quality research is needed to be able to draw satisfactory conclusions regarding the impact of integration on cost, access, service quality and health outcomes. 24 Jenkins R, Strathdee G: The Integration of Mental Health Care with Primary Care. International Journal of Law and Psychiatry 2000, 23:277-291. 25 Integrated Health Services – what and why, Technical Brief No.1, WHO, May 2008 47 16
  • 21.
    Integrated delivery ntegrated In 2011, HLSP Institute at the request of WHO reviewed the different practices for delivery of essential interventions and basic services for occupational health in settings with constrained resources26. The experience from a number of countries around the world in delivering basic occupational health through integrated PHC was summarized in three main models as described below. Model 1: Financing and delivering essential occupational health care through standalone community based insurance schemes Community based insurance Contribution from Organisation (e.g. SEWA, India) Contributions from Social Fund? workers Defined package of OH care and prevention offered through network of own providers SEWA Care SEWA Care SEWA Care provider provider provider In India, SEWA is a trade union for workers, mainly women, in the informal sector. It has introduced a number of community based insurance (CBI) schemes including one for health cover. Through its health scheme, it has addressed a number of important OSH issues by the training and development of a cadre of its own, local health workers. The coverage and operation of the SEWA community based insurance scheme is discussed in more detail in the country case studies later in the report. A recent discussion paper by the World Bank’s Social Protection and Labour Division on community based risk management arrangements noted a number of potential weaknesses of community based insurance schemes27. These included: • exclusion of the most vulnerable groups leading to gaps in coverage and service provision particularly to the poorest • may require the support of donor or government financed Social Funds to be fully effective • vulnerability to manipulation by local leaders especially in poor and isolated rural communities 26 HLSP, The role of health system in basic occupational health service provision for underserved groups - experiences and challenges, Report prepared at the request of WHO. London, 2011 27 Community-based Risk Management Arrangements: An Overview and Implications for Social Fund Programs, Bhattamishra R., Barrett C, World Bank Division of Social Protection and Labour, Oct 2008 47 17
  • 22.
    Model 2: Publiclyfunded essential occupational health care delivered by NGOs and private providers MoH and/or MoL Tax revenues & • Sets norms and standards for OH user fees • Provides funding and capacity building Donor funds • Manages/regulates provision of services by third party providers OH funding, capacity building Information and oversight Intermediate level in the health system (e.g. district) Contract management Information and funding CSOs or private providers Essential OH interventions Informal & vulnerable Informal & vulnerable workers workers This approach to delivering care involves contracting NGOs or private providers already delivering PHC to extend their reach to include the delivery of BOSH services to the target groups. The reach of government services/funding can be effectively extended through the appropriate use of non state actors. Experience in Cambodia and in other countries such as Bangladesh has highlighted the effectiveness of using NGOs to deliver PHC to reach underserved groups or geographically hard to reach areas28. However, there are certain pre-requisites if this approach is to be successful. These include: government capacity and commitment to the contracting out of services; capacity at the national and intermediate levels to manage contracts and monitor compliance with service 28 Cambodia: Using Contracting to Reduce Inequity in Primary Health Care Delivery, Schwartz B., Bhushan I., World Bank 2004 47 18
  • 23.
    level agreements etc;and the availability of NGOs or private sector providers with the capability to deliver contractually agreed services. A 2005 review of the impact of contracting out health service provision in a range of countries concluded that contracting out for the delivery of primary care “can be very effective, that improvements can be rapid and that contracting for health service delivery should be expanded and evaluated rigorously”29. However, it was also noted that many countries which lack the capacity to organize and deliver basic health services themselves may not have the means with which to manage contracts with NGO or private suppliers effectively either. Model 3: Integrating basic occupational health into state delivered primary health care Ministry of Health Tax revenues & • Sets norms and standards forOH in user fees partnership with Min of Labour? Donor funds • Provides funding and capacity building • Manages provision of services through own network of facilities and CHWs OH funding, capacity building Information and oversight Intermediate level in the health system (e.g. district) Training, capacity building & supervision Information Primary Health Care Facility OH integrated with PHC OH interventions – preventive & curative Community health workers Preventive interventions Informal & Informal & vulnerable workers vulnerable workers 29 Buying Results? Contracting for health service delivery in developing countries, Loevinsohn B, Harding A., The Lancet 2005 47 19
  • 24.
    Model 3 illustrateshow basic services for occupational health might be both funded and integrated into a PHC approach. MoH staff are responsible for developing a package of essential occupational health interventions in partnership with the Ministry of Labour where appropriate and, providing adequate training, supervision and funding, managing its integration with other elements of PHC and then delivering services through a network of primary care facilities and community health workers. Conventional public health interventions such as immunization or DOTS treatment for TB follow a fairly standard format and design that can be relatively easily replicated and adapted for different country contexts. Whilst, the mode of delivery may need to change according to the setting in which the intervention is being applied, the essential nature of the treatment to be applied (i.e. vaccine delivery or the provision of TB drugs) remains largely the same. However, the OH needs of agricultural workers in Africa are going to be very different from those of street vendors or rubbish collectors in India or artisanal fishermen in the Philippines. This implies that a creative and flexible approach to OH design needs to be taken that takes into account the OH needs of particular groups of workers and which tailors the interventions to their requirements. There is therefore no “one size fits all” or standard approach to designing and developing OH interventions. This will offer a particular challenge to the health sector. Moreover High level knowledge and skills will be needed to accomplish this effectively. It is therefore not possible to be prescriptive about how OH interventions can be integrated into PHC as health systems vary so widely from country to country. Model 3 attempts to provide a generalized outline of how integration could be organized. However, the existing structure of the health system in individual countries and the method of funding health services will in large part determine how OH services can be effectively integrated into PHC. The essential interventions and services for occupational health should be integrated as seamlessly as possible into PHC delivery and funding mechanisms, whilst ensuring that funding mechanisms do not throw up specific barriers to access. One size will not fit all and it will be important to adapt the organization and services to the local context. Integrated Integrated financing The integration of primary health care services is taking place in many developing countries around the world. Many of the existing PHC programmes (malaria, reproductive health, HIV/Aids, TB etc.) are vertically funded and managed interventions which are integrated at the point of delivery in health facilities or communities. Experience in many countries has demonstrated that whilst this approach can be very effective it can also lead to a number of important problems such as poor allocation of funding across programmes (some can be greatly overfunded and vice-versa), inefficiency and duplication in the use of resources and real difficulties in getting funding for training and operational costs down to the service delivery level. These are all important challenges that will need to be tackled when integrating OH with PHC. 47 20
  • 25.
    There are fivemain health financing approaches which are used to fund healthcare30 (this analysis does not include financial transfers from donors) and which could potentially serve as funding mechanisms for OH as it integrates with PHC. These are: Taxation – public funding of healthcare is provided through the collection of a range of taxes including income tax, corporation tax, customs duties and licence fees etc. Advantages – taxation is generally an inexpensive way of raising funds - most countries already have an existing revenue collection system which can be adapted or expanded. Taxation can be progressive meaning those who have the most pay the most (e.g. income tax). Some countries are taxing good and products that are hazardous to health, such as alcohol, tobacco (sin tax). Disadvantages – tax revenues may be unpredictable due to fluctuations in the business cycles. The recent global financial crisis has had a significant impact on tax revenue collection in most countries around the world which has led to a reduction in the amount of funding available for public health systems and primary care. Taxes may be regressive - sales taxes and VAT have a disproportionate impact on the poor. This is potentially a mechanism for funding OH although any new package of interventions would have to compete with existing PHC interventions and services for resources. Public funding of services frequently provides few incentives to improve staff performance and under performing staff may be difficult to replace. Important issues such as the quality of care are also difficult to address in a system that does not provide incentives (or disincentives) for doing so. Social Insurance – a form of service funding where people contribute a fixed proportion of their income in return for a defined package of healthcare or other benefits. Advantages - By reinforcing the principle of risk pooling it can be a means to promote greater social solidarity in a health system, and can ultimately be used as a means of achieving universal coverage. It can be seen as a more transparent and more legitimate than tax-based funding as there is a clearer link between payments and benefits. Beneficiaries are seen as “members”. As such this approach may be more acceptable to the public and, as a result, also have the potential to raise more funds. Social insurance may be more responsive than tax funded systems as “everyone is a private patient not a nuisance”. It can also challenge the status quo as funding is tied to patients, not facilities, which is often not the case under a tax based system Disadvantages - Rarely self-sustaining (especially when coverage increases), requiring subsidies for the poor. Coverage of social health insurance is generally limited to curative and medical interventions (not public health). It does not always provide for expensive, catastrophic care – which insurance is best designed for. There is risk pooling although only between members and, as a result, the pool may not be that big if coverage is low. Social insurance must be financed from employment income - a narrower base than for general taxation (business taxes, import duties etc. Social insurance tends to be restricted (largely) to the formal sector given problems in 30 Understanding Health Economics for Development, HLSP CD Rom, 2010 47 21
  • 26.
    collecting funds fromthe informal sector. Vulnerable groups of people are therefore likely to be excluded. For example, China is piloting the use of social insurance to fund BOSH interventions for informal and migrant workers delivered through a PHC network. Experience there, where the cost of providing BOSH is shared between the government and employers has demonstrated that this can be a reasonably effective system for providing services to the majority of workers. An evaluation of the BOSH scheme in 2008 found that employers had spent 200 RMB for each worker per year on OH per year (compared with 3000 RMB lost per worker per year due to occupational disease). However, there were administrative problems in keeping migrant workers enrolled in the system particularly when they moved jobs frequently31. Community based health insurance - is an emerging approach, which addresses the health care challenges faced in particular by the rural poor and which helps to address both health financing and service provision simultaneously (many of the CBI schemes are organized by local providers of health care). It has grown rapidly in recent years, particularly in West Africa. Advantages - the success of community health insurance depends upon a number of factors, including: trust and solidarity, typically requiring significant community participation; a willingness to pay which depends on economic and social factors; subsidies - otherwise the approach will only meet some needs of the rural sector; good design (to counter adverse selection, moral hazard); and a strong marketing/business culture. Disadvantages - Although sometimes successful on a smaller scale, these approaches have rarely been taken to scale. Establishing schemes creates a dilemma. Initial subsidization can be helpful in introducing the concept of insurance and reducing risks to those implementing any scheme, but this can be counterproductive and subsidies become difficult to remove. Sustainability is a key concern - access by the poor and vulnerable populations will invariably require subsides. The problem is that poor countries which have the greatest need to subsidise the poor are the very countries least able to provide such subsidies. There is some evidence from the SEWA scheme in India of the successful application of the CBI approach to providing a limited range of OSH services. However, coverage of the scheme is limited and there are challenges in taking this kind of approach to scale. Tanzania has developed a social health insurance organization (UMASIDA) targeted at the informal sector in Dar es Salaam. The scheme provides both health and occupational safety and health services to its members. It was recognized that access to social services has a large impact on productivity and organizations of informal workers would be an appropriate mechanism for providing such services. PHC services are provided through its own network of dispensaries and by private providers. Secondary level care is provide through government funded hospitals32 31 Basic Occupational Health Services in Ba’oan, China, Chen Y., Chen J, Journal of Occupational Health, 2010 32 The UMASIDA Mutual Health Care Scheme, A case study of an Urban based Community Health Fund, Kiwara A, Institute of Develoment Studies, May 2005 47 22
  • 27.
    The main advantageof social or community health insurance schemes for informal workers is that they improve health expenditure efficiency (the relationship between quality and cost of health services. There are three main reasons why informal workers would prefer group schemes to individual spending and financing on healthcare33: • by making regular contributions, the problem of indebtedness brought about by high medical bills can be overcome • the financial power of the group may enable its administrators to negotiate services of better quality or which represent better value for money from private health care providers; and • the group may be willing to spend on preventive and health promotion activities so as to keep down the cost of curative services. Private health insurance - In low income countries, private insurance typically serves the rich, though it may enjoy both direct (tax relief) or indirect subsidies (e.g. through tax funding of the regulatory system). Disadvantages – whilst private insurance provides choice and is responsive to patient needs it introduces serious problems of adverse selection, moral hazard, supports little risk pooling and has the potential to absorb resources from elsewhere in the system (either directly or indirectly. It has high administration costs and also provides an escape route for the middle classes who might otherwise press for better services for the population at large. There is no evidence that subsidizing private insurance reduces the burden on the public sector as is often claimed. This is not likely to be an effective approach for extending basic services to poor and disadvantaged groups of workers given the scale of the costs involved and the disposable incomes of the workers concerned. User Fees - In the past user fees were seen as a way of raising revenue and deterring frivolous use of health services. They were also seen as a way of formalizing informal fees (or under the table payments). Well meaning efforts to protect the poor through waivers or exemptions are almost always ineffective, although experience in Cambodia suggests that exemptions may be possible. Recently there has been a strong political shift in favour of the abolition of fees based, in part, on positive experiences in Uganda. In some countries – most notably Uganda - the abolition of user fees has been associated with a large increase in utilization, especially by the poor, although accompanying measures to improve the drug supply and strengthen financial management also played key roles. This is not likely to be an effective approach for extending basic OH services to poor and disadvantaged groups of workers. 33 Working Paper on the Informal Economy The Informal Sector in Sub-Saharan Africa, ILO, 2002 47 23
  • 28.
    V. Examples fromcountries countries This section looks at the approaches taken by different countries to delivering essential interventions and basic services for occupational health in the context of integrated primary health care. The case studies were developed by the HLSP Institute and by experts who participated in the inter-country consultation "Integration of Workers’ Health in the Strategies for Primary Health Care" organized by WHO and the Government of Chile on 4–7 May 2009 in Santiago, Chile. The available evidence in this area was primarily from descriptive publications and there was little quantitative data or information available on key issues such as costs and health impact and outcomes. United Kingdom - working for a healthier tomorrow 34 The UK health-care system is universal and funded from taxation, free at the point of delivery, and covers the entire population. The National Health Service (NHS) is divided into primary and secondary care. Primary care is controlled by regional health authorities through primary care trusts. Primary care is the first point of contact for the public and includes GP practices, pharmacists, opticians and dentists. Secondary care is hospital care, both acute and planned. Currently GPs have no access to occupational health services. Sixty years ago, when the NHS was founded, occupational health was not included, as it was seen to be of most value and concern to industries and businesses, and so to be paid for by employers. The current coverage of occupational health is about 30% of workers. The trend since the 1990s has been to outsource in-house occupational health services to external contracted service units. There are no national standards for occupational health provision in the UK as yet. The major causes of people leaving the workplace (2006 figures) are mental health problems (40%), musculoskeletal (18%), cardiovascular and respiratory diseases (8%), nervous system diseases (6%), injury and poisoning (6%) and others (22%). The overall cost of working-age ill-health is 100 billion pounds per year, and the cost of sickness absenteeism is 13 billion pounds per year. In addition, there are social problems and consequences beyond the workplace, e.g. for children in workless families. At a time when rising dependency ratios and the effects of ever-greater global competition place huge pressures on economic and welfare systems all around the world, acting to prevent people from becoming ill at work – and supporting and rehabilitating those who do become ill – is not only crucial to the physical and mental health of the nation’s workforce, but ultimately critical to the nation’s financial health, the success of British business, the economy and the very fabric of society. Current occupational health structures in the UK may have been right when they were created, but there is a need now to make sure that they are appropriate for the present and the future. It is time to reposition and redefine the role of occupational health as an integral part of the new public health policy for the 21st century, and to reconsider the relationship 34 Contribution from Professor Dame Carl Black, 2009 47 24
  • 29.
    between occupational healthand the NHS, especially primary care, together with the wider contribution of occupational health to the national economy. GPs are critically important colleagues, and need to be supported to change and enlarge their attitude to work as a desirable outcome of a clinical encounter. There is now clear evidence that work is generally good for health, and therefore the benefits of work must feature more prominently in the advice that GPs give to their patients. But general practitioners cannot be expected to change without being offered significantly more support. Occupational health has a role in providing such support. The challenge for a new paradigm of occupational Health is to examine the care pathways for working people and find new ways to support them before, during and after illness at work. This will require forging new partnerships and new ways of working across traditional boundaries. There is a need to bring together at local level anyone with interest or expertise in occupational health, to find locally tailored and ever more innovative ways to allow occupational health to make its crucial contribution to the health of the national economy. Carol Black's report to Government, Working for a healthier tomorrow, published in March 2008, had three key objectives: i) preventing illness and promoting health and well-being in the workplace; ii) early intervention for those who are employed but absent with a “sick note”; iii) improving the health and well-being of unemployed people within the UK benefit system. The report included the following recommendations: • Government should work with employers to develop a robust model for measuring and reporting on the benefits of investment in health and well-being. • Employers should report at board level on staff health and well-being. • A health and well-being consultancy service should be set up to provide employers with advice and support. • The role of safety and health practitioners, and where present trades union safety representatives, in promoting the benefits of investing in health and well-being should be expanded. Practical ways should be explored to make it easier for smaller employers to establish health and well-being initiatives. An integrated approach to working-age health should be taken, underpinned by: • inclusion of occupational health and vocational rehabilitation within mainstream healthcare; • clear professional leadership from the occupational health and vocational rehabilitation communities to expand their remits and work with new partners in supporting the health of all working-age people; • clear standards of practice and formal accreditation for all providers of OH engaged in supporting working-age people; 47 25
  • 30.
    a revitalized OH workforce with the development of a sound academic base to provide research and support in relation to the health of all working-age people; • systematic gathering and analysis of data at the national, regional and local level to inform the development of policy and the commissioning of services relating to the health of working-age people; and • awareness and understanding of the latest evidence on the most effective interventions developed by organizations such as the Occupational Health Clinical Effectiveness Unit. The UK Government’s response to Black's report, entitled Improving health and work: changing lives, was published in November 2008. The government accepted the broad thrust and most of the detail of the recommendations in the report. The response sets out new perspectives on health and work, improvement of workplaces, supporting people to work and measuring outcomes of the process. The new approach includes a new electronic “Fit Note”; piloting of a new “Fit for Work” service; training and education for healthcare professionals especially GPs; national standards for occupational health providers; a strategy for mental health and employment; a national centre for working-age health and well-being; and a council of occupational health. The response says: “By working together, our efforts will help us to combat social exclusion, eradicate child poverty, support our aging population and build a workforce for tomorrow. By improving health and work we will make a real difference to people’s lives.” Thailand – primary care units35 In 2003, the total Thai workforce was estimated at 33.8 million people. Of these, at least 51 per cent worked in the informal sector with approximately 40 per cent of the population working in agriculture, 16 per cent in manufacturing and 6 per cent in construction. There were also an estimated two million migrant workers, mainly from Myanmar36. In Thailand, the Ministry of Public Health is responsible for the provision of the majority of health services. The public health system has a four level structure: • Health volunteers who have been trained in primary health care and provide services to 5-10 families in the local area. • Primary Care Units (PCUs) of which there are approximately 7700 in Thailand, are normally staffed with eight trained health care workers who can provide more specialized services than health volunteers and who provide health care to the community. A PCU will service 10,000 people on average and its responsibilities will include disease prevention, health promotion, and treatment of illness. • Secondary level services provided by medical and health personnel based in community hospitals. 35 Contribution from HLSP and S. Siriruttanapruk, 2009 36 Labour Force Survey. National Statistics Office, Ministry of Information and Communication Technology, Thailand. http://web.nso.go.th/eng/en/stat/lfs_e/lfse.htm (accessed 29 August, 2007). 47 26
  • 31.
    Tertiary level services which cover more specific and complicated cases provided by specialist medical and health care staff. These services are based in Regional, General, Specialized and University Hospitals. Health system financing Following the launch of universal health care coverage in 2002, general health services are available to all Thai citizens, funded through health insurance. More than 25 million Thais however do not hold public health insurance (Siriruttanapruk et al, 2006). Migrants who are registered are able to access general health services through the Compulsory Migrant Health Insurance (CMHI) scheme but this is not available to migrants who are not registered. Unregistered migrants pay for services out of pocket although hospital exemptions are available and international donors provide health services in many areas where migrants are concentrated in addition to some provinces providing voluntary health insurance schemes to the unregistered (IOM/WHO, 2009). Health services are also provided by private providers under the supervision of the MOPH and other public agencies such as the Ministry of Defence who provide services to officials and their families and the public37. Occupational Safety and Health in Thailand Responsibility for occupational health and safety in Thailand is divided between three government ministries. The Ministry of Labour enforces OSH regulations and undertakes workplace safety inspections. The Ministry of Industry is responsible for enforcing the Factories Act which covers workplaces with large machines and/or more than seven workers. The Ministry of Public Health provides technical support for occupational health services in five main areas: occupational disease surveillance; technical support; development of OSH guidelines; training of health care workers; and research and development. Traditionally, OH services in Thailand have been provided through provincial and regional public hospitals and also through some community hospitals in industrial areas. Typically, the staff in these hospitals would have received some training in OSH and would have the means available to monitor occupational safety risks in the workplace. The public health office in each province has a specialist in occupational and environmental health that is responsible for developing OSH strategies for each province. Role of Primary Care Units (PCU) in providing basic occupational health In order to improve the coverage and availability of OH services an initial, strategy of using PCUs to deliver both PHC and basic OH services was developed. A pilot project was established by the MOPH in 2004 to test a model which integrated occupational health services into the existing public health system and which assessed the capacity of PCU staff to deliver OSH services. The model was found to be reasonably effective and it was demonstrated that staff in PCUs were able to effectively deliver both PHC and basic OSH services. PCU staff undertake OH outreach visits to workplaces - these tend to be mainly factories or other formal work settings. However, workers in the informal sector would often still find 37 Integrating Occupational Health Services into Public Health Systems: A Model Developed with Thailand’s Primary Care Units, Somkiat Siriruttanapruk and team Ministry of Public Health, Thailand, ILO (2006) 47 27
  • 32.
    difficulty in accessingOH services due to their dispersed, sometimes difficult to reach work locations and a general lack of knowledge on their part of OSH issues. In 2007 the MOPH decided to extend the model in order to identify improved ways of delivering basic occupational health services to workers in the informal sector (Agriculture, SMEs, Fisheries, Migrant workers and Home workers). The services included: • Risk assessment and workplace improvement • Surveillance of work-related diseases and chronic diseases • Health promotion • Provision of safety equipment Health volunteers were used to deliver both PHC and basic OH services in the community (Siriruttanapruk et al, 2009). The health volunteers (who receive a small stipend from the government) were trained to work with occupational health teams to provide basic OSH services in addition to PHC. The rationale behind the strategy is that by up-skilling the large network of health volunteers to provide PHC and OH services, local needs can be met more effectively and services provided more efficiently to workers in the informal economy. In some of the test locations, health volunteers have been involved in providing workplace safety improvements and in reducing the use of dangerous chemicals and pesticides. Finland - municipal health centres38 According to the Primary Health Care Act the entire Finnish population is covered by primary health care services provided by municipal health centres. Finland has had a special legislation on occupational health services since 1978 and it was revised in 2001. The law obligates the employer to organize preventive OHS for his/her employees by using competent occupational health personnel (OHP + OHN) and according to need other experts, such as hygienists, psychologists, physiotherapists/ergonomists etc.. The obligation is universal in all sectors, private and public, regardless of the size of company, geographical location or type of employment contract. Provided the requirements of legislation are met, the employer is entitled to reimbursement of 50 to 60% of the costs of the services he/she has provided to employees. The law requires preventive content of services, including among others workplace surveillance, risk assessment, accident prevention, ergonomics, surveillance of health, promotion of health and work ability of workers and advice, information and education of occupational health, and safe and healthy working practices to workers and employers. The employer is entitled to provide also GP level curative services for his/her employees in connection with occupational health services and about 80% of them do so. The employer is entitled to buy services from any of the competent and registered occupational health service units, organize own in-company services, group services, or buy the services from a private occupational health centre or from a municipal health centre. The municipal health centres have a legal obligation to provide occupational health services to anybody who is interested in getting them. Virtually all farmers and self-employed who are covered by OHS are served by municipal health centres and for farmers the preventive OHS workplace visits by experts are provided free of charge. 38 Contribution from Professor J. Rantanen, 2009 47 28
  • 33.
    The coverage ofFinnish OHS is one of the highest in the world, about 85% of all (including self-employed) and about 90% of the workers employed by the employer. The coverage of services is 90 to 100% of companies with 10 workers and more, while the coverage of companies decreases substantially among the SMEs and self-employed being on average at the level of 60%. The municipal health centres (primary health care units) have occupational health physician and nurse for provision of services and they can use services of other experts, e.g. occupational hygienists or psychologists e.g. from the multidisciplinary teams of the regional offices of occupational health (FIOH). The experiences from provision of services by PHC units are positive. The municipal health centres accommodate 29% of all occupational health service units in Finland and provide occupational health services for 32% of all workers covered by OHS and for 61% of all enterprises. Obstacles are the thin resources and shortage of service time of OHS personnel and tendency to prioritize the worker-oriented health service provided from the centre at the cost of preventive interventions to the work environment, which would require more active visiting at the workplaces. occupational Indonesia – occupational health posts in the informal sector Indonesia is the fourth largest country in population terms after China, India and the USA. In 2008, its total population was 228 million39. The total labour force (15 years and above) was approximately 108 million in 2007. In 2006 it was estimated that about 63 percent of Indonesia’s workers were employed in the informal sector, mostly in agriculture, home- industries and fisheries etc. . Small enterprises contribute about 38 per cent of GDP40. PHC in Indonesia is largely provided through a large network of facilities that includes: health centres (PUSKESMAS), sub-health centres, mobile units and community based activities at the village level. PHC and OH services are co-funded by central and local governments. A typical health centre is led by a medical doctor supported by a range of health and other professionals. It is responsible for providing preventative and curative services to the community including OH together with activities aimed at health promotion, education and empowerment41. In 1980 Indonesia introduced Occupational Health Posts (OHP) at the community level. It is a self-care model run by workers who are trained by health staff from a local health centre. Services provided by OHPs include: basic first aid delivery for accidents and OH related disease together with preventive and educative interventions intended to encourage workers to use appropriate safety equipment. Service provision is intended to be integrated within the PHC approach. Significant progress has been reported to-date in rolling-out the basic OSH training required by staff at all levels of the health system in order to implement the OHP approach42. 39 Indonesian Country Paper on the Informal Sector and its Measurement, BPS-Statistics Indonesia, May 2008 40 The Informal Sector and Informal Employment in Indonesia, ADB Country Report, 2010 41 Revitalizing Primary Health Care, Indonesia Country Experience, WHO Regional Conference, Aug 2008 42 Ibid 47 29
  • 34.
    By 2008 itwas reported that over 8,000 OHPs had been established although problems with funding had been experienced. The provision of occupational health has not yet been included in the basic PHC package of care in Indonesia and the support and financing of basic OSH has been rather patchy both from the central level and through local administrations43. It is important to integrate OSH into the basic PHC package of care in order to ensure that appropriate structures are in place to provide training and supervision and also that funding for OSH is included in overall PHC allocations. China - piloting basic occupational health services44 piloting The economic reforms and industrialization over the last 25 years in China have resulted in a substantial increase in the numbers of migrants moving from rural to urban areas of the country45. A rigid system of household registration (Hukou) that only allowed people to access social services in the areas where they are registered has been applied. Whilst this has begun to be relaxed in a number of cities, it has still been identified as an area of concern. As migrants generally retain their rural registration, they are often excluded from accessing services in the areas to which they migrate, including health care and occupational health services. In 2008 health insurance coverage was only 19% among rural migrants compared to 58% of urban residents whose cover was generally linked to the place of work46. China lacks good quality, accessible primary care system. Traditionally, in urban areas, hospitals have provided PHC - there has been a widespread belief among the urban Chinese that hospital is best and that the quality of care provided by hospital specialist is superior to that of general practitioners. The creation of a comprehensive primary health care system is the centre piece of China’s health care reform announced in 200947. The State Administration of Work Safety, a ministerial level national authority directly under the State Council, is responsible for workplace safety and health inspection, and for ensuring compliance with OSH provisions at provincial, city and country levels. The labour inspectorates enforce the implementation of various laws and regulations through supervising employers in order to establish and standardize labour contracts and collective contracts48. Workers in SMEs, including migrants however have limited coverage of OSH which is attributed to a number of factors including: • Factory managers and workers having little understanding of OHS. 43 Impact and Effectiveness of Occupational Health Interventions: a qualitative study on multiple stakeholders in occupational health for informal sectors in Indonesia, Hanifa M. Denny, College of Public Health, University of Florida (on-going research project) 44 HLSP analysis 45 Hesketh, T; Jun, Y. X; Mei, L. H.(2008) Health Status and Access to Health Care of Migrant Workers in China, Public Health Reports 2008 Mar–Apr; 123(2): 189–197 46 Ibid 47 China’s primary health-care reform, Liu Q., Wang B., The Lancet, March 2011 48 Zhu, C (2008) Labour protection for women workers in China, Asian-Pacific Newsletter on Occupational Health and Safety;15:47 47 30
  • 35.
    The small scale of SMEs making it difficult to provide in house services like larger companies. • Human and financial resources constrain the government’s ability to provide OSH services through the health system. A gradual shift has been identified since 2000 where migrants are being increasingly seen as a vulnerable group with growing support for improving their access to public services, including OSH from the general public. Data on occupational health and injury rates in general in China is unreliable as the information is collected by a number of agencies with incomplete reporting. This is exacerbated among migrants who do not necessarily seek care from hospitals (ibid). Clearly a major challenge in the Chinese context is in being able to collect and utilize accurate data on OSH. This will require better integrated and more robust data collection systems. These should enable improved identification of need and better planning of services. In China, migrant workers are not eligible for Government Employee Insurance which covers public servants working in state institutions or Labour Insurance which is a work unit based self-insurance system that covers medical costs for the workers and often their dependents as well. (These are the main types of insurance available for employees with Hukou). Migrant workers are also not eligible for the New Rural Cooperative Medical Insurance as they live and work in the city49 (Mou et al, 2009). In 2006, the Ministry of Labour and Social Security developed plans to expand health insurance to include migrant workers with the aim of having 20 million migrant workers enrolled by the end of 2006 and almost all by the end of 2008. Urban governments have employed a variety of methods to greatly increase access of migrants to insurance although this varies between cities. Monitoring and prevention of occupational health risks is included as a goal of health system reform. China has piloted several schemes to extend the provision of basic OSH to its large migrant population. In 2006, the MOH launched a Basic Occupational Health Services programme in 19 pilot counties in 10 provinces. This was then expanded to 46 counties in 19 provinces in 201050. Bao’an county has a large migrant population who mainly work in SMEs (considered in China to be enterprises with less than 2000 employees and an annual revenue of less than 400 million RMB)51 . A pilot scheme to test various models for providing OHS and primary care services to groups including migrants at different levels was begun in 2008. The objectives of the pilot were: to develop working mechanisms for resource allocation; improve multi- sectoral cooperation and participation of workers; expand coverage of compulsory work- related injury insurance; expand OSH service delivery; integrate occupational health service into primary health care at county and community level and to provide OSH training52. 49 Health care utilisation amongst Shenzhen migrant workers: does being insured make a difference?, Mou J et al, BMC Health Services Research 2009, 9:214 50 Migration and health in China: challenges and responses, Holdaway J, & Krafft T, International Human Dimensions of the Programme on Global Environmental Change, Issue 1, 2011 51 Basic Occupational Health Services in Ba’oan, China, Chen, Y; Chen, J, Journal of Occupational Health; 52: 82- 88 52 Dr Jian, F (undated) Basic occupational health services in China, Reports from the WHO regions and from ILO, WHO WPRO 47 31
  • 36.
    Ba’oan is dividedin to towns and communities with a Centre for Disease Control and Prevention (CDC) at the district level, an institute of health care and prevention at the town level and at least one health service centre at the community level42. This structure allows BOSH to be integrated with the primary health care system which follows the same structure. Three levels of service are provided: • Tier 1 – (Lowest level) are the community health service centres which provide services to all workers. Services include: o general health examination o first aid services o health promotion o OH education. • Tier 2 (Intermediate level) comprises the institutes of healthcare and prevention in the towns of Ba’oan which provides services to workers not exposed to serious occupational hazards. Services include: o OH and general health examinations o surveillance of working environments o proposing prevention and control actions to eliminate health hazards o record keeping o health training for workers and education. • Tier 3 – (Upper level) - the Centre for Disease Control and Prevention (CDC). Its main role is to provide services for workers in workplaces with serious potential risks and those exposed to serious hazards o OH examination and potential referral to specialist occupational medical clinics for treatment. o surveillance of the working environment o dealing with major OH accidents o risk control and assessment o providing information and training for basic OHS personnel. How is the pilot scheme funded? Under the BOHS scheme in Ba’oan, the cost is shared by the employer and the government with employers being responsible for the surveillance of workers health and the working environment. Basic occupational health training, education and relevant tools were provided by the government which also offered BOHS to those who were self-employed or working in informal factories. An evaluation of the BOHS scheme in 2008 found that employers had spent 200 RMB for each worker per year on OH per year compared with an estimated 3000 RMB lost per worker per year due to occupational disease53. Level of integration with other parts of the health system Under the Ba’oan scheme, OSH services were provided through a “primary health care approach”. Specific OSH staff were appointed as occupational health personnel at all three levels of the scheme although it is not clear if those staff had a wider health role. A government steering group including the district governor, Bureau of Health leaders and other government offices, such as finance and industry, was established. The group was 53 Basic Occupational Health Services in Ba’oan, China, Chen Y., Chen J, Journal of Occupational Health, 2010 47 32
  • 37.
    responsible for organizingOHS and ensuring financial and human resources to support the basic OSH system. Information and reporting Where community health service centre physicians and nurses decide that an illness might be associated with work, it is reported to the Institutes of Health Care and Prevention to investigate and make a definitive diagnosis. Where surveillance of workplaces has resulted in the identification of serious hazards, they are reported and improvements required. An evaluation of BOSH in Ba’oan found that knowledge and recognition of occupational diseases had increased significantly in 2008 compared with 2006. Coverage rates of factories with OHS increase from 35% in 2006 to 82% in 2008 while the coverage rate of workers with health surveillance increased from 29% to 81%. However it was found to be difficult to provide cover for all workers including those who changed their jobs and workplaces often sometimes as much as three or more times a year54. The reasons for this were not explained but it seems likely that the administrative complexities of transferring workers from one workplace to another and possibly from one insurance scheme to another proved overwhelming. Brazil – family health teams55 PHC is at the centre of the Brazilian health system and it is delivered by a government funded Family Health Team (FHT) comprising a General Practitioner (GP), public health nurse, dentist, community health agent and a nursing assistant. The FHT is responsible for delivering PHC and OSH services to 800-1000 families56. All members of the FHT receive training in OSH from OH trained physicians. The target groups for BOSH are mainly the self- employed and the informal sector. Large enterprises in Brazil are responsible for organising the delivery of OSH services to their employees. The activities of FHTs however vary according to the local conditions and population. Health promotion and prevention are the responsibility of the FHT health agent. By 2011, the aim is to provide OSH services through 70% of the FHTs. Key OSH services provided by the FHTs include: registering occupational accidents and diseases; following up on the health of workers; visiting workplaces and implementing prevention measures57. Tanzania - essential health interventions and community based insurance In 2000 the Ministry of Health adopted a national package of essential interventions58. The package is an integrated collection of cost-effective interventions that address the main 54 Ibid 55 Contribution from Claunara Mendonça, 2009 56 The Primary Health Care Strategy in Brazil, Dr Luis Rolim Sampaio, National Director of Primary Care, Nov 2006 57 WHO/ Government of Chile (2009) Integration of workers health in strategies for primary health care, global inter-country consultation, 4-7 May, Santiago de Chile 58 The United Republic of Tanzania, Ministry of Health, National Package of Essential Health Interventions in Tanzania, Dar es Salaam, January 2000 47 33
  • 38.
    diseases, injuries andrisk factors, plus the corresponding diagnostic and health care services. The interventions are clustered into five groups: (1) reproductive and child health; (2) communicable disease control; (3) non-communicable disease control; (4) treatment and care of other common diseases of local priority within the district, e.g. eye disease, oral conditions; and (5) community health promotion and disease prevention. The latter covers essential interventions for water hygiene and sanitation, health education, school health as well as occupational health and safety. The essential occupational health and safety interventions are defined according to the level of delivery: • community - safety measures, such as wearing safety gears, substituting toxic to non- toxic materials, establishing first aid service • dispensary/health center - dissemination of education and information materials, supervision and monitoring • district hospital - periodic medical examinations of workers; treatment of occupational diseases, training of safety officers in first aid, training of workplace safety committee members in occupational safety measures. For each level the package also defines the activities, inputs, outputs and indicators. The package is a way of ensuring that the most important services get also the highest priority in terms of financing. The UMASIDA is an umbrella health insurance organization for the informal economy in Dar es Salaam, Tanzania. UMASIDA is an abbreviation in ki-Swahili (Umoja wa Matibabu katika Sekta Isiyo Ra smi Dar es Salaam), which means in English: health care community fund for the informal sector in Dar es Salaam. It grew out of an ILO/UNDP project that, in 1994-96, experimented with the provision of integrated services for the urban informal sector in Bogota, Dar es Salaam and Manila. The main objective of the scheme is to provide health care to all its members and their families on an insurance basis. One of the innovations of the project was that it not only concentrated on economic services, such as the provision of credit and training in finance, production, management and marketing, but also on social services, such as access to health care as well as occupational safety and health measures. The idea behind this concept is that access to social services has a strong impact on productivity, and that organizations of informal sector workers would be an appropriate vehicle for organizing such services. Initially the scheme relied solely on private providers for care to its members. Contracts which guided care contents were signed between UMASIDA and the providers. Now UMASIDA has its own dispensaries in Dar es Salaam, Arusha and Moshi. Its members receive care from this combined system. Secondary level care is provided through government hospitals Before the scheme could become operational it was necessary to train both the beneficiaries and providers on the dos and don’ts of mutual health schemes59. The main messages were:- For the beneficiaries: • Resist overuse of service. • Consult provider only when necessary 59 The UMASIDA Mutual Health Care Scheme, A case study of an Urban based Community Health Fund, Kiwara A, Institute of Development Studies, May 2005 47 34
  • 39.
    Overuse means higherpremiums on your part • Don’t facilitate provision of care to unentitled people • Pay your premiums on time • Always present your identity at the point of services for you and your families if • you observe the above factors. For the providers • Always ask for identity before providing services • It is necessary to fill all the forms presented to you by those seeking care. • Restrict prescriptions to the WHO approved essential drugs list. • A functioning Health Insurance System is an assurance that you will continue to get patients whose services are prepaid. India – SEWA, a community based insurance approach The informal sector in India employs an estimated 260 million workers out of a total working population estimated to be 500 million60. The majority of them are poor and have little or no access to social security or to healthcare. The main causes of occupational disease related morbidity and mortality in India are silicosis, musculoskeletal injuries, coal workers’ pneumoconiosis, obstructive lung diseases, asbestosis, bysinosis, pesticide poisoning and noise induced hearing loss61. Only workers in four sectors: mining, factories, ports and construction are currently covered by existing OSH legislation and regulations in India. Factories and mines are the focus of the major OSH legal provisions for workers’ health. However, the majority of workers in India do not work in either of these work settings and so have little legal protection. There is clearly a need to extend legal protection to include these unprotected workers. Provision of public OSH services is very scarce although the Government of India’s Eleventh Five Year Plan 2007-12 does include some ambitious objectives for improving OSH including the introduction of no-fault insurance schemes for workers in the formal and informal sectors. Government spending on occupational health in India is very low. The provision of OSH services is not integrated with PHC and the responsibility for it lies with the Ministry of Labour not the Ministry of Health. SEWA was established in 1972 is a trade union for workers, mainly women, in the informal sector. In 1992, SEWA Insurance, a community based insurance scheme was launched for its members and provides; life, hospitalization and asset cover. The health insurance component is the most popular service offered, although members find it more difficult to access this component compared with life and asset protection62. However, as with many health insurance schemes only hospital care is provided under the health insurance plan as this tends to have the highest cost and potential to have a catastrophic impact on a poor family’s finances. 60 CIA World Factbook, 2007 61 Do occupational health services really exisit in India?, Pingle S, Reliance Industries Ltd 62 Tara Sinha, M Kent Ranson, Mirai Chatterjee, Akash Acharya And Anne J Mills (2006) Barriers to accessing benefits in a community-based insurance scheme: lessons learnt from SEWA Insurance, Gujarat, Health Policy Plan. (March 2006) 21 (2): 132-142. 47 35
  • 40.
    As it isimpossible to prevent all occupational injury and sickness, SEWA has provided insurance against occupational injury and illness since 1994 as part of its integrated insurance scheme. The cost of seeking any medical treatment is met through the SEWA health insurance package. The combined cover helps an injured person to avoid further loss of income in addition to that already caused by the illness or injury. Lowering the cost of medical treatment through the provision of a community based insurance approach also provides a significant incentive for workers to seek medical attention when required rather than continuing to work and potentially suffering additional health problems63. Workers are more likely to access PHC/OH services and seek appropriate preventive and curative services. Well integrated PHC/OH services that are easy to use and which provide effective treatment and advice are much more likely to be used and to deliver better health outcomes. SEWA has also addressed a number of important OH issues through the training and development of a cadre of its own, local health workers. These provide SEWA members with OSH related health education and preventative health care and are also promoting the use of personal protective work equipment . The SEWA health workers also provide curative care from their homes or from a health centre run by them where low-cost generic drugs are dispensed at cost to members (Raval 2000). OH related activities include: tuberculosis screening for workers at risk from occupational causes, eye check-ups and a monthly mobile van out-reach service to remotely located salt- workers. Other activities such as improving access to water and the promotion of stress relief activities are undertaken. These also indirectly reduce the risk of injury and illness associated with fatigue and stress caused by paid and unpaid work activities which may have an impact on occupational health. Recognizing that the national compensation system fails to cover informal workers and that SEWA in conjunction with KKPKP (an association of informal scrap collectors and waste pickers) has collaborated with design institutes in India to produce equipment for informal workers that better meets their needs. For example, gloves which do not get too hot have been designed for waste pickers, together with handcarts suitable for use by women. SEWA’s integrated insurance packages, together with its provision of low cost, high quality, health care at the community level have helped to ensure that poor, working women are able to afford and access PHC and basic OSH services where they live and work. “The health insurance has helped to address members’ concerns that the majority of what they earned was spent on health care and by reducing the personal income costs associated with occupational injury and illness”64. Some of SEWA’s poorest members may find even the low insurance premiums charged by the organization beyond their means and are excluded from cover65. However, there have been some concerns expressed regarding the extent to which information collected on OSH injuries and diseases amongst SEWA members is used to 63 Francie Lund and Anna Marriott (2005) Occupational Health and Safety and the Poorest: Final report of a consultancy for the Department for International Development 64 Ibid 65 Livelihood security through community based health insurance in India, Chatterjee, M and M.K. Ranson, Global Health Challenges to Human Security, Harvard, 2003 47 36
  • 41.
    effectively design preventiveinterventions. This is essential if an effective package of OH interventions and care is to be delivered and integrated into SEWA’s community health programmes. Chile – a dual social and private health insurance approach Primary health care coverage in Chile is high. There is a dual healthcare system which allows Chileans to opt to be covered by the government run National Health Insurance Fund (NHIF) or by a private insurance provider. An estimated 68 percent of the population is covered by the NHIF government, 18 percent by private insurance companies and the remaining 14 percent is provided by not-for-profit agencies or is uncovered66. Due to the multiple provider arrangements, the public and private health systems in Chile operate almost independently from one another – there is little coordination to achieve common health objectives. In contrast to the public sector, the private health care system has largely neglected the development of PHC and instead has concentrated its resources in the hospital sector. PHC services are provided by a network of health centres and health posts located in rural and urban areas. Health posts are the first point of contact and refer patients to health centres. OSH services in the formal sector are covered by mutual insurances (covering 40% of workers), the rest are covered by PHC centres funded by the NHIF. Eighty eight percent of enterprises in Chile employ less than 10 workers. There are a number of programmes being developed by the public health sector which focus on integrating OSH and PHC services; recognizing and diagnosing OH diseases; developing health education programmes; health surveys and providing services to vulnerable groups. The health sector is undergoing reform and OSH services are being increasingly integrated into PHC. These reforms aim to improve equity, increase coverage to underserved groups, prevent occupational disease and promote OSH. The Netherlands - treating the "blind spot"67 During the 80s and 90s The Netherlands were often called ‘The sick man of Europe’, because of the high percentages of sickness absence and work incapacity (almost 1 million for a workforce of 6 million). Therefore, during the last two decades many legal and organizational reforms were undertaken regarding social security, occupational health and the general health systems. The Working Conditions (ARBO) Act from 1981 focused on prevention. The 1994 reform introduced the obligation for employers to take care of their employees during sick leave. They were required to contract an occupational health service (OHS). Within some years coverage rose from about 40% to more than 90%. Occupational health services are general, regional, sector or company oriented and provide comprehensive, multidisciplinary occupational health care, including primary prevention (advising employers about working conditions), helping employers manage sickness absence and offering 66 Health care reform in Chile, Gabriel Bastias & Tomas Pantoja, Canadian Medical Association Journal, Dec 2008 67 Contribution from Peter Buijs,2009 47 37
  • 42.
    support to employeeson sick leave to return to work. 1994 also changed the OHS from exclusively not-for-profit establishments to a mixed system of profit-oriented and not-for- profit services. In 2005 the Arbo Act was liberalized, giving employers more choice and making some services voluntary or subject to agreement between social partners. This slightly diminished OHS coverage. The social security system for work and health is regulated mainly by the Sickness Absence Act (SAA) and Work Incapacity Act. This system was also reformed substantially during the beginning of the 90s. A crucial feature of this reform was the shifting of costs of workers' health from collective sickness absence funds to individual employers. Employers are now paying the salaries during sick leave. Starting with six weeks for companies with more than 15 employees, and two weeks for the others (1994), that period has been extended in 1996 to one year and in 2004 to two years for all companies. This has substantially increased the employers' interest in reduction/ prevention of sickness absence and premature work disability through improving working conditions, better sickness absence management, medico-social support to employees on sick leave and stimulating a return to work. Unfortunately, some employers are reluctant to employ people with a possible medical condition, despite a legal ban on medical pre-employment assessment (except for certain high-risk functions/jobs). When after two years an employee is still not capable of work because of health problems, salary payment by the individual employer is taken over by the collective Work Incapacity Act. This requires an independent assessment of the employee’s health and functional capacity and of the employers’ efforts to facilitate work resumption e.g. by adapting specific working conditions, hours etc. The 2004 Gatekeepers Act introduced duties of employers, employees and the OHS during the first 4-6 weeks of sick leave. All these reforms led to a dramatic decrease in the rates of sickness absence and work incapacity. The 1994 reform caused some problems in occupational health care, such as commercialization, high turnover of occupational physicians, lack of clarity about their tasks and position, bias and ethical considerations of being too close to the (paying) employers. There is still a wide gap between primary care/general medical practice and occupational health care. This is on the agenda of the government employees, employers, and healthcare organizations. There is already a consensus about the following major problems to be addressed: • Little attention and expertise on work - health problems (‘Blind Spot’); • Poor coordination with occupational health care/physicians; • Inefficiency (waiting lists, only ‘open’ Monday till Friday, 8-17 hrs etc.) • Little attention for the worker’s perspective and empowerment. Dutch workers with health problems do not have to visit a general practitioner for certification of sick leave and have mostly free access to an occupational physician, or so called ‘work health expert’. Nevertheless, they usually contact their GP first, often weeks before seeing an occupational physician. Though GPs are in a good position for early detection and intervention at work-related problems, many have that ‘Blind Spot’ for occupational health. The result is incomplete medical history, false diagnosis, inadequate therapy, referrals to health care providers with long waiting lists or without competence in occupational health; unnecessary absence from work for clinical examination, and medicalization of complaints without a medical cause, such as disturbed work relations. 47 38
  • 43.
    Combined with healthcareinefficiency, this can cause unnecessary and long sick leave, work incapacity, unemployment, loss of health and well being, and eventually even premature death. In 1997 the Dutch Centre for Occupational Health TNO carried out a state-of-the art study on occupational health care and general practice and presented the results to the ministers of health and labour and to the presidents of the organizations of general practitioners and occupational physicians. The study reconfirmed the existence of Blind Spot, poor cooperation and indicated obstacles and prerequisites. It also found that more than 80% of the occupational physicians and general practitioners want improvement. Based on TNO's research, the professional organizations agreed to a common vision, regional meetings and demonstration projects including occupational physicians in some primary health care centres. Other pilot initiatives, funded mostly by the government, included developing general or specific coordination guidelines, e.g. for fatigue and musculoskeletal disorders (including modules for cooperation between occupational physicians and general practitioners in medical curricula), an occupational history questionnaire, and a guide for workers' empowerment. However, preliminary evaluations found too little change in the daily practice of occupational and general health care providers; financial support was discontinued and most instruments were not implemented. 47 39
  • 44.
    VI. Conclusions VI. Conclusionsand recommendations The inter-country consultation "Integration of Workers’ Health in the Strategies for Primary Health Care" was organized by WHO and the Government of Chile on 4–7 May 2009 in Santiago, Chile with the purpose to review countries’ experiences in integrating occupational health services and PHC to expand coverage among underserved sectors and workers. The consultation was attended by 24 experts in occupational health and social determinants of health representing government and academic institutions from twelve countries, WHO and ILO68. Conclusions: 1. The working population, like any other subpopulation, has the right to the highest attainable standard of physical and mental health. This right should not be limited to conditions of formal employment. Almost half of the working population do not have formal employment and are exposed to risks in the course of their work. Occupational health is needed not only to increase their productivity but also to allow them to fully exercise their right to health and to favourable working conditions. 2. The health of workers is an essential prerequisite for societal productivity, and therefore services to protect and promote workers’ health contribute to overall economic and human development. 3. Insufficient connections between the world of health and the world of work may jeopardize the health and well-being of the working population. There is a gap in the public policies for health and labour, and this requires strengthening the collaboration between both sectors. There are some good examples of establishing institutional arrangements for such collaboration. 4. Up to now primary care development has not paid much attention to the specific health needs of workers. The development of health systems does not take sufficient account of the needs of the working populations as opposed to other high-risk populations. 5. The ongoing process of renewing PHC and reforming health systems provides an opportunity to rethink and scale up the provision of health services to the working population. Failure to consider the health needs of workers may have long-term unfavourable consequences for public health. 6. PHC development can improve workers’ health by providing basic occupational health services, referral services and specialized occupational health services to more people than by traditional ways. There are a number of suitable models depending on the characteristics of the working population and the types of health systems in the countries. 68 Integration of workers’ health in strategies for primary health care. Report of Global Intercountry Consultation organized jointly by WHO and the Government of Chile, 4–7 May 2009, Santiago, Chile. WHO, Geneva, 2010 47 40
  • 45.
    7. It is feasible to integrate the provision of occupational health services and primary care. This has already been done widely in a number of countries as demonstrated by the cases presented at the meeting. Policy support, capacity building, worker participation and adequate resources are key factors for the success of such horizontal integration. 8. The renewal of PHC is a process that allows for integration of occupational health at the primary, secondary and tertiary levels of health service delivery. This process is undertaken step by step; it may start with promotional activities and then move on to service provision. 9. Providing comprehensive health care at the primary level requires an occupational health component. This is an important tool also to address the social determinants of health at working age. 10. Good occupational health can stimulate the development of PHC and health systems strengthening. It can reduce the disease burden and provide opportunities to improve public health and to implement essential health interventions, e.g. tobacco control and HIV prevention and treatment. 11. Furthermore, providing occupational health services to all workers contributes to achieving the goals of equity and universal coverage and brings prevention and promotion to primary care 12. The majority of workers, such as those in the informal economy, are not covered by occupational health services and even not with general health care services. The increasing mobility of workers requires new solutions, such as networking, for providing these services. Workplace-based services do not provide complete solutions. A complementary territorial approach to providing health services to workers could overcome this problem. 13. Strong public policies, infrastructure, competent human resources and adequate financing mechanisms are features common to all countries that have achieved satisfactory coverage of and access to occupational health services. 14. Improving the training of primary care providers in the area of occupational health and employment-related health aspects is an essential first step in integrating occupational health and primary care. 15. Research on organizing occupational health services and their integration with PHC should be strengthened in order to provide sufficient evidence for implementation of the WHO strategies in this field. Recommendations 1. PHC policies should take into account workers’ health needs and are particularly well placed to reach out to workers not covered by the current occupational health services. 47 41
  • 46.
    2. Models and good practices for provision of PHC-based occupational health services which were described at the meeting should be systematically analysed and disseminated. Specific recommendations will be developed on integrating occupational health and primary care, through regional meetings and reviews of experiences. 3. The broad spectrum of stakeholders should be engaged in the discourse on PHC and occupational health, and governments need to take responsibility and be accountable for addressing workers’ health, including inequalities. 4. Policy development at the national level should be stimulated through particular efforts by ministries of health to improve PHC and develop it further, taking into consideration the health needs of the working populations. 5. At the local level there is a need to improve the performance of primary care services in addressing the health needs of workers, including: • developing models and standards for providing occupational health services under the primary care centres and community health services; • building human resource and institutional capacities of primary care for addressing the specific health needs of workers; • establishing mechanisms for intersectoral collaboration on providing health services to all workers; • enhancing the participation of workers and working communities in the planning, implementation and evaluation of health services. 6. Ministries of health have a very important role to play in protecting and promoting the health of all workers by integrating occupational health services into primary care and placing emphasis on primary prevention, including: - developing PHC-based systems and structures that address the specific health needs of working populations with emphasis on prevention and promotion; - establishing national centres of excellence and capacities for preventing and mitigating work- and employment-related health problems; - developing human resources for occupational health; - coordinating with other governmental agencies; - providing for participation of workers and social partners in the development of policies regarding workers’ health; - stimulation and funding of research needed for implementing the WHO strategies in this field 7. Other stakeholders, such as labour and social security, as well as the social partners, should be fully engaged in the discourse on providing PHC-based services to all workers, e.g. through a global stakeholder forum to be convened by WHO. 8. The lessons learned from developing PHC since 1978 and the reasons for failures with regard to workers’ health should be further examined. 47 42
  • 47.
    9. Success stories on how workers’ health can be improved using PHC approaches should be identified and disseminated. 10. Mechanisms and procedures should be established to take into account work-related health issues at the first point of contact of individuals and communities to the health system. 11. The experience of the participating countries in integrating occupational health and primary care should be systematically described and made widely available. 12. Mechanisms for intercountry collaboration, exchange of experience and joint research should be established at the regional and global levels. 13. WHO, ILO and other international organizations, including international professional NGOs (nongovernmental organizations), the International Commission on Occupational Health and Wonca (World family doctors Caring for people), are urged to provide coherent support to national policymakers to integrate occupational health in the policies for PHC. 14. WHO is invited to establish an international working group to develop concrete recommendations for integrating occupational health in the policies for PHC based on the available evidence, good practices and lessons learnt. 47 43