Patofisiologi dan Penyimpangan KDM
Hepatitis
Invasi virus
IG Anti HAV
(Hepatitis A)

HBc AB
(Hepatitis B)

Kerusakan sel parenkim hati terutama Retikulum Endoplasma

Detoksifikasi
Terganggu

sintesa protein dan
steroid terganggu
pembentukan dan sekresi
empedu terganggu

Resiko Infeksi
ggn metabolisme GI

me ↓ energi
u/metabolisme

ggn bilirubin tidak terkonyugasi

Anoreksia, nausea, vomitus

Pe↑ bilirubin serum

Ggn Nutrisi

letih / lelah

Ikterus

Perubahan status kesehatan

warna kulit &
mukosa kuning

Koping tidak adekuat

akumulasi garam
empedu

Kecemasan

gatal pada kulit
(pruritus)
Gangguan Integritas Kulit

Intolerans Aktifitas

merangsang sel mast
mengeluarkan mediator kimia
nosiseptor terangsang

proses transduksi, transmisi,
modulasi, persepsi nyeri
Nyeri (akut)
Asuhan keperawatan pada Tn CR
Di Ruang Baji Pamai II
RS Labuang Baji Makassar

I. Identitas Klien
Nama
Umur
Jenis Kelamin
Alamat
Pekerjaan
Suku
Pendidikan
Tanggal Masuk
Tanggal Pengkajian
Sumber Informasi

: Tn. CR
: 52 tahun
: Laki – laki
: Bontang
: Tukang Bangunan
: Makassar
: SD
: 17 – 5 – 2004
: 18 – 5 – 2004
: Klien dan Keluarga

II. Riwayat Kesehatan Saat Ini
a. Keluhan Utama
Nyeri perut kanan atas
b. Riwayat Keluhan Utama
Nyeri perut kanan atas dialami sejak 1 bulan yang lalu dan dirasakan
memberat 1 minggu terakhir. Nyeri terus-menerus seperti tertusuk – tusuk tembus
ke belakang. Mual (+). Klien cepat merasa kenyang.
III. Riwayat kesehatan masa lalu
Klien belum pernah menderita penyakit ini sebelumnya. Klien memiliki
riwayat mengkonsumsi alkohol sejak 5 tahun yang lalu ( 3 -4 botol/hari). Riwayat
merokok (+). Sebelumnya klien pernah dirawat 4 hari di RS Bontang kemudian
dirujuk di RS Labuang Baji
IV. Riwayat Genogram
Ket :
-

Pada Generasi I , kakek dan nenek klien sudah meninggal, penyebab kematian
tidak diketahui
Pada Generasi II, kedua orangtua klien juga sudah meninggal, penyebab
kematian tidak diketahui
Klien berada pada Generasi III, anak terakhir dari 9 bersaudara. Kakak klien
yang ke-1 s.d. ke-7 sudah meninggal (penyebab tidak diketahui). Tidak ada
yang menderita penyakit yang sama dengan klien. Klien sudah berkeluarga
dan mempunyai anak 4 orang. Klien tinggal bersama istri dank e-4 orang
anaknya

V. Pengkajian berdasarkan Divisi Kebutuhan
1. Aktivitas-Istirahat
Klien bekerja sebagai tukang bangunan dan waktunya dihabiskan hanya untuk
menyelesaikan pekerjaannya sedangkan untuk istirahat kurang. Semenjak sakit,
klien tidak dapat lagi melakukan pekerjaannya. Waktu tidur pada malam hari mulai
jam 21.30 WITA sampai jam 05.00 WITA tapi semenjak sakit klien sering
terbangun karena nyeri perutnya
Pemeriksaan Fisik : Tonus otot kuat. Berorientasi terhadap waktu, tempat dan
orang. ROM penuh. Tidak ada dispnea. Rentang perhatian baik
dan k,lien masih dapat melakukan ADLnya sendiri, misalnya
b.a.b,b.a.k, dan makan
2. Sirkulasi
Klien tidak ada riwayat hipertensi dan tidak ada masalah dengan jantungnya.
Klien tidak batuk. Tidak ada udema pada kaki
Pemeriksaan Fisik : TD = 110/80 mmHg, Nadi = 80 x/m, P= 24 x/m, tidak ada
udema , tidak ada napas pendek, tidak ada distensi vena
jugularis. Capillary refilling kurang dari 2 detik, Konjungtiva
merah muda. Sklera ikterik. Ekstremitas hangat bila disentuh
3. Eliminasi
Selama di RS klien tidak mengalami perubahan / masalah dalam b.a.b dan
b.a.k
Pemeriksaan Fisik : Pada pemeriksaan abdomen teraba pembesaran hepar dan nyeri
tekan pada hipokondria kanan, peristaltic usus (+) 20-22 /menit
dengan durasi < 1 detik, ginjal dan kandung kemih tidak teraba
4. Reaksi Emosional
Klien merasa cemas dengan kondisinya saat ini, karena baru kali ini klien
menderita penyakit seperti ini. Tapi klien percaya pada semua tindakan medis dan
menyerahkan semuanya pada Tuhan. Dalam menghadapi masalah, klien berusaha
mencari penyelesaiannya dengan dibantu oleh keluarga. Dan untuk biaya
pengobatan klien tidak terlalu memikirkan, karena ditanggung oleh pemerintah
(JPS)
5. Makanan – Cairan
Klien biasa mengkonsumsi makanan nasi, sayur dan lauk pauk dengan
frekuensi 3 x sehari. Klien sering mengkonsumsi makanan yang pedas dan kecut.
Sejak di RS klien mengatakan nafsu makannya menurun. Klien hanya bisa
menghabiskan 2 sendok dari 1 porsi makanan yang disajikan. Klien merasa mual
dan nyeri ulu hati tidak ada
Pemeriksaan Fisik: TB = 155 cm BB = 48 kg
Perawakan kecil. Turgor kulit baik. Dasar kuku tampak ikterus.
Rongga mulut : bibir, lidah, tonsil, faring dan kelenjar saliva
dalam batas normal. Klien mengeluh terasa pahit pada
tenggorokannya pada saat menelan
6. Higiene
Klien dapat melakukan ADLnya sehari – hari tapi tidak maksimal dan untuk
perawatan diri klien dibantu keluarga (lap basah 2 x sehari)
Pemeriksaan Fisik : Badan tidak berbau, kulit bersih, rambut dan kuku tidak ada
masalah / bersih
7. Neurologis
Klien saat ini tidak merasa pusing / sakit kepala hanya kadang – kadang
apabila baru bangun tidur. Sakit kepala (-), kesemutan (-). Tidak ada gangguan
dalam penglihatan dan pendengaran
Pemeriksaan Fisik : Sadar, pupil isokor. Bereaksi terhadap cahaya. Genggaman
tangan sama kuat. Berbicara jelas dan berorientasi terhadap
waktu, tempat dan orang.
8. Nyeri
Saat pengkajian klien merasa nyeri pada daerah perut kanan atas. Klien selalu
mencari posisi yang nyaman yaitu posisi klien menekan daerah yang nyeri, sehingga
nyerinya berkurang. Klien mengatakan nyerinya timbul terus-menerus
Pemeriksaan Fisik : Ekspresi wajah meringis saat nyeri, kulit lembab, terdapat
pembesaran hepar, nyeri tekan (+)
9. Interaksi Sosial
Klien sudah menikah dan untuk membiayai hidup keluarganya, klien bekerja
sebagai tukang bangunan. Hubungan dengan istri dan anak – anaknya baik dan yang
menjadi pengambil keputusan adalah klien sendiri dan dibantu anak-anaknya. Klien
aktif dalam kegiatan yang ada di lingkungan tempat tinggalnya
10. Keamanan
Klien tidak mempunyai alergi makanan dan obat-obatan serta riwayat penyakit
menular seksual (-). Klien tidak pernah mengalami kecelakaan
11. Penyuluhan dan Pembelajaran
Bahasa yang digunakan adalah bahasa Makasssar. Pendidikan terakhir SD.
Klien kurang mendengar informasi mengenai penyebab penyakitnya dan selama di
RS sering bertanya-tanya seputar kondisinya sekarang. Klien tampak gelisah dan
ekspresi wajah tampak cemas. Klien menyerahkan semua perawatan dan
pengobatan pada dokter dan perawat. Harapan klien untuk cepat sembuh dan
berkumpul kembali bersama keluarga dan beraktifitas seperti semula
12. Ventilasi
Klien tidak mengalami gangguan pada saluran pernapasan. Sesak napas (-).
Dispnea (-)
Pemeriksaan Fisik : Pernapasan 24 x/m.
Irama dan frekuensi teratur
VI. Pemeriksaan Diagnostik
Pemeriksaan Laboratorium:
Protein total
Albumin
BIlirubin total
Bilirubin direk
SGOT
SGPT
Alkali Phospahate
Ureum
Kreatinin
Asam Urat
Glukosa sewaktu
HbsAg
VII. Pengobatan
B Comp
Vit C
Novalgin

: 6,62 gr/100 ml
: 3,51 gr/100 ml
: 5,44 mg/100 ml
: 4,16 mg/100 ml
: 221 U/L
: 107 U/L
: 777 U/L
: 32,7 mg/100 ml
: 0,76 mg/100 ml
: 14,5 mg/100 ml
: 65 mg/100 ml
: (+) / positif
3x1
3x1
1 amp/ drips/ 8 jam

(6,6 – 8,7)
(3,8 – 4,4)
( 0,00 – 1,00)
(0,00-0,30)
(0-38)
(0-41)
( 0-270)
(10-50)
(0,0 – 1,1)
(3,4 – 7,0)
(140)
KLASIFIKASI DATA
-

Data Subyektif
Klien mengatakan nyeri pada perut
kanan atas
Klien mengatakan nyerinya terusmenerus
Klien mengatakan nafsu makan
berkurang
Klien mengatakan setiap kali makan
merasa mual
Klien mengatakan tidak terlalu
mengerti tentang kondisi
penyakitnya

-

Data Obyektif
Nyeri tekan pada perut kanan atas
Porsi makan tidak dihabiskan
Klien gelisah
Mual (+)
Peristaltik usus (+)
Klien selalu menekan daerah
perutnya yang nyeri
Sklera ikterus (+)
Ekspresi wajah meringis (+)
Terdapat penbesaran hepar
Klien sering bertanya-tanya tentang
kondisi penyakitnya
Tanda – tanda vital :
TD : 110/80 mmHg
N : 80 x/m
P : 24 x/m
S : 36ºC
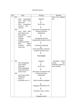
ANALISA DATA
NO
Data
1 DS:
- klien mengatakan
nyeri pada perut
kanan atas
- klien mengatakan
nyerinya terus –
menerus
DO:
- nyeri tekan pada
perut kanan atas
- klien gelisah
- ekspresi
wajah
meringis
- terdapat
pembesaran hepar
- klien
selalu
menekan
daerah
yang nyeri

Etiologi
Hepatitis

Masalah
Nyeri b.d. infiltrasi
hati

Invasi virus
Kerusakan sel parenkim hati
terutama reticulum
endoplasma
merangsang sel mast
mengeluarkan mediator kimia
nosiseptor terangsang
proses transduksi, transmisi,
modulasi, persepsi nyeri
Nyeri (akut)

2

DS:
- klien mengatakan
nafsu makan
berkurang
- klien mengatakan
setiap kali makan
merasa mual
DO:
- porsi makan tidak
dihabiskan
- mual (+)
- peristaltik usus (+)

Hepatitis
Invasi virus
Kerusakan sel parenkim hati
terutama reticulum
endoplasma
Sekresi empedu terganggu
Gangguan metabolisme GI
Anoreksia, mual, vomitus
Gangguan nutrisi

Perubahan Nutrisi
kurang
dari
kebutuhan tubuh b.d.
mual, muntah
3

DS :
- klien megatakan
tidak terlalu
mengerti tentang
kondisi penyakitnya
DO :
- klien sering
bertanya- tanya
tentang kondisi
penyakitnya
- klien gelisah

Perubahan status kesehatan
Kurang informasi
Kesalahan interpretasi

Kurang pengetahuan

Kurang pengetahuan
tentang
kondisi,
prognosis
dan
kebutuhan
pengobatan
b.d.
tidak
mengenal
sumber informasi
RENCANA ASUHAN KEPERAWATAN
NDx
1

Tujuan
Intervensi
Meminimalkan
/ 1. Kaji karakteristik nyeri dan mengontrol
nyeri
ketidaknyamanan ( lokasi,
dengan kriteria:
durasi, intensitas, frekuensi)
- klien
tampak
rileks
2. Observasi TTV klien
- ekspresi wajah
tenang
3. Ajarkan penggunaan teknik relaksasi, mis: bimbingan
imajinasi, visualisasai, teknik
napas
dalam.
Berikan
aktivitas senggang
4. Kolaborasi
pemberian analgetik sesuai indikasi

2

Kebutuhan nutrisi 1. Kaji pola makan klien, kaji
terpenuhi
dengan
cara penyajian makanan
kriteria :
- nafsu
makan
meningkat
2. Beri makan dalam porsi kecil
- klien
mampu
dan frekuensi sering sesuai
menghabiskan
selera
porsi
makan
yang diberikan
- tidak
terjadi
penurunan BB
yang berlebihan 3. Jelaskan manfaat makanan /
nutrisi bagi klien dan
keluarga terutama saat klien
sakit
4. Beri umpan balik positif saat
klien
mau
berusaha
menghabiskan makanannya
5. Penatalaksanaan
multivitamin

-

-

-

-

pemberian -

6. Timbang berat badan tiap hari -

Rasional
Memberikan dasar untuk
mengkaji perubahan pada
tingkat
nyeri
dan
mengevaluasi intervensi
Mengidentifikasi
tingkat
nyeri klien dan pedoman
untuk intervensi selanjutnya
Membantu
klien
untuk
istirahat lebih efektif dan
memfokuskan
kembali
perhatian,
sehingga
menurunkan
nyeri
dan
ketidaknyamanan
Menurunkan
nyeri,
meningkatkan kenyamanan
cara
menghidangkan
makanan
dapat
mempengaruhi nafsu makan
klien
makan banyak sulit untuk
mengatur
bila
klien
anoreksia. Anoreksia juga
paling buruk selama siang
hari membuat masukan
makanan sulit pada sore hari
dan menghindari kejenuhan
serta rangsang mual muntah
meningkatkan pengetahuan
klien dan keluarga tentang
nutrisi sehingga motivasi
untuk makan meningkat
motivasi dan meningkatkan
semangat makan klien
asupan vitamin akan dapat
memenuhi
kebutuhan
vitamin dalam tubuh dan
membantu
proses
penyembuhan
penurunan BB menunjukkan
tidak adekuatnya nutrisi
klien
3

Klien
akan 1. Kaji tingkat pemahaman menunjukkan
proses penyakit, harapan /
pemahaman tentang
prognosis,
kemungkinan
proses penyakitnya
pilihan pengobatan
dengan criteria :
- klien
dapat
menghubungkan 2. Berikan informasi khusus gejala dengan
tentang
pencegahan
/
factor penyebab
penularan penyakit,
- klien
dapat
berpartisipasi
3. Jelaskan pentingnya istirahat dalam
dalam rencana pengobatan
perawatan
dan perlunya keseimbangan
beraktifitas
4. Anjurkan perlunya
menghindari makanan /
minuman alkohol yang dapat
memperberat penyakit

-

mengidentifikasi
kurang
pengetahuan
/
salah
informasi dan memberikan
kesempatan
untuk
memberikan
informasi
tambahan sesuai keperluan
kebutuhan/
rekomendasi
akan bervariasi karena tipe
hepatitis (agen penyebab)
dan situasi individu
Tirah baring dipertahankan
selama fase akut untuk
menurunkan
kebutuhan
metabolic,
menghemat
energi untuk penyembuhan
Alkohol dapat meningkatkan
iritasi
hepatic
dan
mempengaruhi pemulihan
IMPLEMENTASI KEPERAWATAN
Hari/Tgl

NDx

Selasa,
18 Mei
2004

1

Jam
11.00

12.00

2

Implementasi
1. Mengkaji karakteristik nyeri dan
ketidaknyamanan
Hasil :
- Nyeri pada perut kanan atas,
tembus ke belakang dan
berlangsung secara terusmenerus
- Nyeri pada skala 6 (sedang)
2. Mengobservasi Tanda- Tanda
Vital
Hasil :
TD = 110/80 mmHg
N = 80 x/m
P = 24 x/m
S = 36 0 C
3. Mengajarkan teknik relaksasi
dengan mengusap daerah sekitar
nyeri
Hasil :
Klien belum bisa bertoleransi
dengan nyeri
4.
Penatalaksanaan
dalam
pemberian analgetik
Hasil :
Pemberian obat Novalgin
1
amp / drips
1. Mengkaji pola makan klien
Hasil :
- klien makan tiga kali /hari
- jenis makanan : bubur dan
lauk (TKTP)
2. Memberi makan dalam porsi
kecil dan dengan frekuensi sering
dan sesuai selera
Hasil :
- klien
hanya
makan
/
menghabiskan 3 sendok
- tiap
kali
makan
klien
mengeluh terasa pahit pada
tenggorokan
pada
saat
menelan
3. Menjelaskan manfaat makanan /
nutrisi bagi klien dan keluarga
Hasil:

Evaluasi
Jam 13.00
S:

O:
A:

klien mengatakan
masih nyeri pada
perut kanan atasnya
ekspresi
wajah
meringis
nyeri tekan pada
perut kanan atas
klien gelisah
masalah
teratasi

belum

P: Lanjutkan intervensi
1,2,3, dan 4

S: Klien mengatakan
masih merasa mual
O:
-

porsi tidak
dihabiskan
klien makan 3
sendok
mual (+)
infuse terpasang
RL
minum ± 250 cc/hr

A: Masalah belum
teratasi
P: Lanjutkan intervensi
1,2,4,5 dan 6
12.05

3

Klien mengerti tentang manfaat
makanan terutama TKTP
4. Memberi umpan balik positif saat
klien
mau
menghabiskan
makanannya
Hasil :
Klien ada kemauan untuk
menghabiskan makanannya tapi
klien takut karena kalau berusaha
makan banyak akan mual dan
bahkan muntah
5.
Penatalaksanaan
pemberian
multivitamin dan cairan per IV
Hasil :
- klien minum Vit C + B Comp
= 1:1
- Infus terpasang dangan RL
- Klien minum ± 250 cc / hari
6. Menimbang berat badan klien
Hasil :
Berat badan klien = 48 kg
1. Mengkaji tingkat pemahaman S: klien mengatakan
sudah mulai mengerti
proses penyakit, harapan dan
tentang proses
proses pengobatan
penyakitnya tapi
Hasil :
belum puas
Pemahaman klien tentang proses
penyakit dan pengobatan masih
O: klien masih sering
kurang
bertanya – tanya
2. Memberikan informasi khusus
tentang penyakitnya
tentang
pencegahan
dan
penularan penyakit, contoh :
untuk pencegahan, spt : klien A: Masalah teratasi
sebagian
disuruh istirahat yang cukup
sedangkan untuk penularan, spt :
P: Lanjutkan intervensi
melalui keringat
2 dan 4
Hasil :
Klien mengerti dan paham tapi
masih sering bertanya
3. Menjelaskan pentingnya istirahat
dalam rencana pengobatan dan
perlunya keseimbangan aktifitas
Hasil :
Klien mengerti dan akan
beristirahat semaksimal mungkin
4. Menganjurkan
perlunya
menghindari makanan/ minuman
beralkohol
yang
dapat
memperberat penyakitnya
Hasil :
Klien menyadari / tobat dan tidak
akan mengkonsumsi minuman/
makanan beralkohol seumur
hidup
Rabu,
19 Mei
2004

1

09.00

12.00

2

1. Mengkaji karakteristik nyeri dan
ketidaknyamanan
Hasil :
Klien mengatakan nyeri
masih ada tapi sifatnya
hilang-timbul
serangan nyeri sejak pukul
08.00-1400 muncul ± 6 kali
2. Mengobservasi Tanda- Tanda
Vital
Hasil :
TD = 110/70 mmHg
N = 80 x/m
P = 24 x/m
S = 36 0 C
3. Mengajarkan teknik relaksasi
dengan mengusap daerah sekitar
nyeri
Hasil :
Klien belum bisa bertoleransi
dengan nyeri
4.
Penatalaksanaan
dalam
pemberian analgetik
Hasil :
Pemberian obat Novalgin
1
amp / drips

Jam 13.00
S:

klien mengatakan
masih nyeri pada
perut kanan atasnya

O:
-

sifat nyeri hilang –
timbul (timbulnya
serangan nyeri tiap
10 menit)
- ekspresi
wajah
meringis
A:
masalah
belum
teratasi
P: Lanjutkan intervensi
1,2,3, dan 4

1. Mengkaji pola makan klien S: Klien mengatakan
masih merasa mual
sekarang
Hasil :
O:
- klien makan tiga kali /hari
- porsi tidak
- jenis makanan : bubur dan
dihabiskan
lauk (TKTP)
- klien makan 3
2. Memberi makan dalam porsi
sendok
kecil dan dengan frekuensi sering
- mual (+)
dan sesuai selera
- infuse terpasang
Hasil :
RL
- klien
hanya
makan
/
- minum ± 250 cc/hr
menghabiskan 3 sendok
- tiap
kali
makan
klien
mengeluh terasa pahit pada A: Masalah belum
tenggorokan
pada
saat
teratasi
menelan
12.05

3

Jumat,
21 Mei
2004

1

4. Memberi umpan balik positif saat P: Lanjutkan intervensi
klien
mau
menghabiskan
1,2,4,5 dan 6
makanannya
Hasil :
Klien ada kemauan untuk
menghabiskan makanannya tapi
klien takut karena kalau berusaha
makan banyak akan mual dan
bahkan muntah
5.
Penatalaksanaan
pemberian
multivitamin dan cairan per IV
Hasil :
- klien minum Vit C + B Comp
= 1:1
- Infus terpasang dangan RL
- Klien minum ± 250 cc / hari
6. Menimbang berat badan klien
Hasil :
Berat badan klien sama se[perti
kemarin = 48 kg

2. Memberikan informasi khusus
tentang
pencegahan
dan S: klien mengerti dan
merasa puas dengan
penularan penyakit, contoh :
penjelasan
yang
untuk pencegahan, spt : klien
diberikan
disuruh istirahat yang cukup
sedangkan untuk penularan, spt :
O: klien tidak bertanya –
melalui keringat
tanya / bingung lagi
Hasil :
tentang penyakitnya
Klien mengerti dan paham dan
tidak bertanya - tanya lagi
A: Masalah teratasi
tentang penyakitnya
4.
Menganjurkan
perlunya
menghindari makanan/ minuman P: beralkohol
yang
dapat
memperberat penyakitnya
Hasil :
Klien menyadari / tobat dan tidak
akan mengkonsumsi minuman/
makanan beralkohol seumur
hidup
09.00

1. Mengkaji karakteristik nyeri dan Jam 13.00
ketidaknyamanan
S: Klien mengatakan
Hasil :
masih nyeri pada
Klien mengatakan nyeri
perut kanan atasnya
masih ada tapi sifatnya
12.00

2

hilang-timbul
serangan nyeri sejak pukul O:
- Klien
tampak
08.00-1400 muncul ± 4 kali
sudah
disa
3. Mengobservasi Tanda- Tanda
beradaptasi dengan
Vital
nyerinya
Hasil :
- Ekspresi
wajah
TD = 120/70 mmHg
tampak ceria
N = 82 x/m
P = 24 x/m
A: masalah
teratasi
S = 36,2 0 C
sebagian
3. Mengajarkan teknik relaksasi
dengan mengusap daerah sekitar
P: Lanjutkan intervensi
nyeri
1,2,3, dan 4
Hasil :
Klien sudah dapat bertoleransi
dengan nyerinya
4.
Penatalaksanaan
dalam
pemberian analgetik
Hasil :
Pemberian obat Novalgin
1
amp / drips
1. Mengkaji pola makan klien
S: Klien mengatakan
Hasil :
masih merasa mual
- klien makan tiga kali /hari
- jenis makanan : bubur dan
O:
lauk (TKTP)
- porsi tidak
2. Memberi makan dalam porsi
dihabiskan
kecil dan dengan frekuensi sering
- klien makan 6
dan sesuai selera
sendok
Hasil :
- mual (+)
- klien menghabiskan porsi
- infuse terpasang
makan 6 sendok
RL
- klien masih mengeluh terasa
- minum ± 1000
pahit pada tenggorokan pada
saat menelan
cc/hr

12.05

4. Memberi umpan balik positif saat A: Masalah belum
klien
mau
menghabiskan
teratasi
makanannya
Hasil :
P: Lanjutkan intervensi
Klien ada kemauan untuk
1,2,4,5 dan 6
menghabiskan makanannya tapi
klien takut karena kalau berusaha
makan banyak akan mual dan
bahkan muntah
5.
Penatalaksanaan
pemberian
multivitamin dan cairan per IV
Hasil :
- klien minum Vit C + B Comp
= 1:1
- Infus terpasang dangan RL
- Klien minum ± 1000 cc / hari
6. Menimbang berat badan klien
Hasil :
Berat badan klien sama seperti
kemarin = 48 kg

Askep hepatitis

  • 1.
    Patofisiologi dan PenyimpanganKDM Hepatitis Invasi virus IG Anti HAV (Hepatitis A) HBc AB (Hepatitis B) Kerusakan sel parenkim hati terutama Retikulum Endoplasma Detoksifikasi Terganggu sintesa protein dan steroid terganggu pembentukan dan sekresi empedu terganggu Resiko Infeksi ggn metabolisme GI me ↓ energi u/metabolisme ggn bilirubin tidak terkonyugasi Anoreksia, nausea, vomitus Pe↑ bilirubin serum Ggn Nutrisi letih / lelah Ikterus Perubahan status kesehatan warna kulit & mukosa kuning Koping tidak adekuat akumulasi garam empedu Kecemasan gatal pada kulit (pruritus) Gangguan Integritas Kulit Intolerans Aktifitas merangsang sel mast mengeluarkan mediator kimia nosiseptor terangsang proses transduksi, transmisi, modulasi, persepsi nyeri Nyeri (akut)
  • 2.
    Asuhan keperawatan padaTn CR Di Ruang Baji Pamai II RS Labuang Baji Makassar I. Identitas Klien Nama Umur Jenis Kelamin Alamat Pekerjaan Suku Pendidikan Tanggal Masuk Tanggal Pengkajian Sumber Informasi : Tn. CR : 52 tahun : Laki – laki : Bontang : Tukang Bangunan : Makassar : SD : 17 – 5 – 2004 : 18 – 5 – 2004 : Klien dan Keluarga II. Riwayat Kesehatan Saat Ini a. Keluhan Utama Nyeri perut kanan atas b. Riwayat Keluhan Utama Nyeri perut kanan atas dialami sejak 1 bulan yang lalu dan dirasakan memberat 1 minggu terakhir. Nyeri terus-menerus seperti tertusuk – tusuk tembus ke belakang. Mual (+). Klien cepat merasa kenyang. III. Riwayat kesehatan masa lalu Klien belum pernah menderita penyakit ini sebelumnya. Klien memiliki riwayat mengkonsumsi alkohol sejak 5 tahun yang lalu ( 3 -4 botol/hari). Riwayat merokok (+). Sebelumnya klien pernah dirawat 4 hari di RS Bontang kemudian dirujuk di RS Labuang Baji IV. Riwayat Genogram
  • 3.
    Ket : - Pada GenerasiI , kakek dan nenek klien sudah meninggal, penyebab kematian tidak diketahui Pada Generasi II, kedua orangtua klien juga sudah meninggal, penyebab kematian tidak diketahui Klien berada pada Generasi III, anak terakhir dari 9 bersaudara. Kakak klien yang ke-1 s.d. ke-7 sudah meninggal (penyebab tidak diketahui). Tidak ada yang menderita penyakit yang sama dengan klien. Klien sudah berkeluarga dan mempunyai anak 4 orang. Klien tinggal bersama istri dank e-4 orang anaknya V. Pengkajian berdasarkan Divisi Kebutuhan 1. Aktivitas-Istirahat Klien bekerja sebagai tukang bangunan dan waktunya dihabiskan hanya untuk menyelesaikan pekerjaannya sedangkan untuk istirahat kurang. Semenjak sakit, klien tidak dapat lagi melakukan pekerjaannya. Waktu tidur pada malam hari mulai jam 21.30 WITA sampai jam 05.00 WITA tapi semenjak sakit klien sering terbangun karena nyeri perutnya Pemeriksaan Fisik : Tonus otot kuat. Berorientasi terhadap waktu, tempat dan orang. ROM penuh. Tidak ada dispnea. Rentang perhatian baik dan k,lien masih dapat melakukan ADLnya sendiri, misalnya b.a.b,b.a.k, dan makan 2. Sirkulasi Klien tidak ada riwayat hipertensi dan tidak ada masalah dengan jantungnya. Klien tidak batuk. Tidak ada udema pada kaki Pemeriksaan Fisik : TD = 110/80 mmHg, Nadi = 80 x/m, P= 24 x/m, tidak ada udema , tidak ada napas pendek, tidak ada distensi vena jugularis. Capillary refilling kurang dari 2 detik, Konjungtiva merah muda. Sklera ikterik. Ekstremitas hangat bila disentuh 3. Eliminasi Selama di RS klien tidak mengalami perubahan / masalah dalam b.a.b dan b.a.k Pemeriksaan Fisik : Pada pemeriksaan abdomen teraba pembesaran hepar dan nyeri tekan pada hipokondria kanan, peristaltic usus (+) 20-22 /menit dengan durasi < 1 detik, ginjal dan kandung kemih tidak teraba 4. Reaksi Emosional Klien merasa cemas dengan kondisinya saat ini, karena baru kali ini klien menderita penyakit seperti ini. Tapi klien percaya pada semua tindakan medis dan menyerahkan semuanya pada Tuhan. Dalam menghadapi masalah, klien berusaha mencari penyelesaiannya dengan dibantu oleh keluarga. Dan untuk biaya pengobatan klien tidak terlalu memikirkan, karena ditanggung oleh pemerintah (JPS)
  • 4.
    5. Makanan –Cairan Klien biasa mengkonsumsi makanan nasi, sayur dan lauk pauk dengan frekuensi 3 x sehari. Klien sering mengkonsumsi makanan yang pedas dan kecut. Sejak di RS klien mengatakan nafsu makannya menurun. Klien hanya bisa menghabiskan 2 sendok dari 1 porsi makanan yang disajikan. Klien merasa mual dan nyeri ulu hati tidak ada Pemeriksaan Fisik: TB = 155 cm BB = 48 kg Perawakan kecil. Turgor kulit baik. Dasar kuku tampak ikterus. Rongga mulut : bibir, lidah, tonsil, faring dan kelenjar saliva dalam batas normal. Klien mengeluh terasa pahit pada tenggorokannya pada saat menelan 6. Higiene Klien dapat melakukan ADLnya sehari – hari tapi tidak maksimal dan untuk perawatan diri klien dibantu keluarga (lap basah 2 x sehari) Pemeriksaan Fisik : Badan tidak berbau, kulit bersih, rambut dan kuku tidak ada masalah / bersih 7. Neurologis Klien saat ini tidak merasa pusing / sakit kepala hanya kadang – kadang apabila baru bangun tidur. Sakit kepala (-), kesemutan (-). Tidak ada gangguan dalam penglihatan dan pendengaran Pemeriksaan Fisik : Sadar, pupil isokor. Bereaksi terhadap cahaya. Genggaman tangan sama kuat. Berbicara jelas dan berorientasi terhadap waktu, tempat dan orang. 8. Nyeri Saat pengkajian klien merasa nyeri pada daerah perut kanan atas. Klien selalu mencari posisi yang nyaman yaitu posisi klien menekan daerah yang nyeri, sehingga nyerinya berkurang. Klien mengatakan nyerinya timbul terus-menerus Pemeriksaan Fisik : Ekspresi wajah meringis saat nyeri, kulit lembab, terdapat pembesaran hepar, nyeri tekan (+) 9. Interaksi Sosial Klien sudah menikah dan untuk membiayai hidup keluarganya, klien bekerja sebagai tukang bangunan. Hubungan dengan istri dan anak – anaknya baik dan yang menjadi pengambil keputusan adalah klien sendiri dan dibantu anak-anaknya. Klien aktif dalam kegiatan yang ada di lingkungan tempat tinggalnya 10. Keamanan Klien tidak mempunyai alergi makanan dan obat-obatan serta riwayat penyakit menular seksual (-). Klien tidak pernah mengalami kecelakaan 11. Penyuluhan dan Pembelajaran Bahasa yang digunakan adalah bahasa Makasssar. Pendidikan terakhir SD. Klien kurang mendengar informasi mengenai penyebab penyakitnya dan selama di RS sering bertanya-tanya seputar kondisinya sekarang. Klien tampak gelisah dan ekspresi wajah tampak cemas. Klien menyerahkan semua perawatan dan pengobatan pada dokter dan perawat. Harapan klien untuk cepat sembuh dan berkumpul kembali bersama keluarga dan beraktifitas seperti semula
  • 5.
    12. Ventilasi Klien tidakmengalami gangguan pada saluran pernapasan. Sesak napas (-). Dispnea (-) Pemeriksaan Fisik : Pernapasan 24 x/m. Irama dan frekuensi teratur VI. Pemeriksaan Diagnostik Pemeriksaan Laboratorium: Protein total Albumin BIlirubin total Bilirubin direk SGOT SGPT Alkali Phospahate Ureum Kreatinin Asam Urat Glukosa sewaktu HbsAg VII. Pengobatan B Comp Vit C Novalgin : 6,62 gr/100 ml : 3,51 gr/100 ml : 5,44 mg/100 ml : 4,16 mg/100 ml : 221 U/L : 107 U/L : 777 U/L : 32,7 mg/100 ml : 0,76 mg/100 ml : 14,5 mg/100 ml : 65 mg/100 ml : (+) / positif 3x1 3x1 1 amp/ drips/ 8 jam (6,6 – 8,7) (3,8 – 4,4) ( 0,00 – 1,00) (0,00-0,30) (0-38) (0-41) ( 0-270) (10-50) (0,0 – 1,1) (3,4 – 7,0) (140)
  • 6.
    KLASIFIKASI DATA - Data Subyektif Klienmengatakan nyeri pada perut kanan atas Klien mengatakan nyerinya terusmenerus Klien mengatakan nafsu makan berkurang Klien mengatakan setiap kali makan merasa mual Klien mengatakan tidak terlalu mengerti tentang kondisi penyakitnya - Data Obyektif Nyeri tekan pada perut kanan atas Porsi makan tidak dihabiskan Klien gelisah Mual (+) Peristaltik usus (+) Klien selalu menekan daerah perutnya yang nyeri Sklera ikterus (+) Ekspresi wajah meringis (+) Terdapat penbesaran hepar Klien sering bertanya-tanya tentang kondisi penyakitnya Tanda – tanda vital : TD : 110/80 mmHg N : 80 x/m P : 24 x/m S : 36ºC
  • 7.
    ANALISA DATA NO Data 1 DS: -klien mengatakan nyeri pada perut kanan atas - klien mengatakan nyerinya terus – menerus DO: - nyeri tekan pada perut kanan atas - klien gelisah - ekspresi wajah meringis - terdapat pembesaran hepar - klien selalu menekan daerah yang nyeri Etiologi Hepatitis Masalah Nyeri b.d. infiltrasi hati Invasi virus Kerusakan sel parenkim hati terutama reticulum endoplasma merangsang sel mast mengeluarkan mediator kimia nosiseptor terangsang proses transduksi, transmisi, modulasi, persepsi nyeri Nyeri (akut) 2 DS: - klien mengatakan nafsu makan berkurang - klien mengatakan setiap kali makan merasa mual DO: - porsi makan tidak dihabiskan - mual (+) - peristaltik usus (+) Hepatitis Invasi virus Kerusakan sel parenkim hati terutama reticulum endoplasma Sekresi empedu terganggu Gangguan metabolisme GI Anoreksia, mual, vomitus Gangguan nutrisi Perubahan Nutrisi kurang dari kebutuhan tubuh b.d. mual, muntah
  • 8.
    3 DS : - klienmegatakan tidak terlalu mengerti tentang kondisi penyakitnya DO : - klien sering bertanya- tanya tentang kondisi penyakitnya - klien gelisah Perubahan status kesehatan Kurang informasi Kesalahan interpretasi Kurang pengetahuan Kurang pengetahuan tentang kondisi, prognosis dan kebutuhan pengobatan b.d. tidak mengenal sumber informasi
  • 9.
    RENCANA ASUHAN KEPERAWATAN NDx 1 Tujuan Intervensi Meminimalkan /1. Kaji karakteristik nyeri dan mengontrol nyeri ketidaknyamanan ( lokasi, dengan kriteria: durasi, intensitas, frekuensi) - klien tampak rileks 2. Observasi TTV klien - ekspresi wajah tenang 3. Ajarkan penggunaan teknik relaksasi, mis: bimbingan imajinasi, visualisasai, teknik napas dalam. Berikan aktivitas senggang 4. Kolaborasi pemberian analgetik sesuai indikasi 2 Kebutuhan nutrisi 1. Kaji pola makan klien, kaji terpenuhi dengan cara penyajian makanan kriteria : - nafsu makan meningkat 2. Beri makan dalam porsi kecil - klien mampu dan frekuensi sering sesuai menghabiskan selera porsi makan yang diberikan - tidak terjadi penurunan BB yang berlebihan 3. Jelaskan manfaat makanan / nutrisi bagi klien dan keluarga terutama saat klien sakit 4. Beri umpan balik positif saat klien mau berusaha menghabiskan makanannya 5. Penatalaksanaan multivitamin - - - - pemberian - 6. Timbang berat badan tiap hari - Rasional Memberikan dasar untuk mengkaji perubahan pada tingkat nyeri dan mengevaluasi intervensi Mengidentifikasi tingkat nyeri klien dan pedoman untuk intervensi selanjutnya Membantu klien untuk istirahat lebih efektif dan memfokuskan kembali perhatian, sehingga menurunkan nyeri dan ketidaknyamanan Menurunkan nyeri, meningkatkan kenyamanan cara menghidangkan makanan dapat mempengaruhi nafsu makan klien makan banyak sulit untuk mengatur bila klien anoreksia. Anoreksia juga paling buruk selama siang hari membuat masukan makanan sulit pada sore hari dan menghindari kejenuhan serta rangsang mual muntah meningkatkan pengetahuan klien dan keluarga tentang nutrisi sehingga motivasi untuk makan meningkat motivasi dan meningkatkan semangat makan klien asupan vitamin akan dapat memenuhi kebutuhan vitamin dalam tubuh dan membantu proses penyembuhan penurunan BB menunjukkan tidak adekuatnya nutrisi klien
  • 10.
    3 Klien akan 1. Kajitingkat pemahaman menunjukkan proses penyakit, harapan / pemahaman tentang prognosis, kemungkinan proses penyakitnya pilihan pengobatan dengan criteria : - klien dapat menghubungkan 2. Berikan informasi khusus gejala dengan tentang pencegahan / factor penyebab penularan penyakit, - klien dapat berpartisipasi 3. Jelaskan pentingnya istirahat dalam dalam rencana pengobatan perawatan dan perlunya keseimbangan beraktifitas 4. Anjurkan perlunya menghindari makanan / minuman alkohol yang dapat memperberat penyakit - mengidentifikasi kurang pengetahuan / salah informasi dan memberikan kesempatan untuk memberikan informasi tambahan sesuai keperluan kebutuhan/ rekomendasi akan bervariasi karena tipe hepatitis (agen penyebab) dan situasi individu Tirah baring dipertahankan selama fase akut untuk menurunkan kebutuhan metabolic, menghemat energi untuk penyembuhan Alkohol dapat meningkatkan iritasi hepatic dan mempengaruhi pemulihan
  • 11.
    IMPLEMENTASI KEPERAWATAN Hari/Tgl NDx Selasa, 18 Mei 2004 1 Jam 11.00 12.00 2 Implementasi 1.Mengkaji karakteristik nyeri dan ketidaknyamanan Hasil : - Nyeri pada perut kanan atas, tembus ke belakang dan berlangsung secara terusmenerus - Nyeri pada skala 6 (sedang) 2. Mengobservasi Tanda- Tanda Vital Hasil : TD = 110/80 mmHg N = 80 x/m P = 24 x/m S = 36 0 C 3. Mengajarkan teknik relaksasi dengan mengusap daerah sekitar nyeri Hasil : Klien belum bisa bertoleransi dengan nyeri 4. Penatalaksanaan dalam pemberian analgetik Hasil : Pemberian obat Novalgin 1 amp / drips 1. Mengkaji pola makan klien Hasil : - klien makan tiga kali /hari - jenis makanan : bubur dan lauk (TKTP) 2. Memberi makan dalam porsi kecil dan dengan frekuensi sering dan sesuai selera Hasil : - klien hanya makan / menghabiskan 3 sendok - tiap kali makan klien mengeluh terasa pahit pada tenggorokan pada saat menelan 3. Menjelaskan manfaat makanan / nutrisi bagi klien dan keluarga Hasil: Evaluasi Jam 13.00 S: O: A: klien mengatakan masih nyeri pada perut kanan atasnya ekspresi wajah meringis nyeri tekan pada perut kanan atas klien gelisah masalah teratasi belum P: Lanjutkan intervensi 1,2,3, dan 4 S: Klien mengatakan masih merasa mual O: - porsi tidak dihabiskan klien makan 3 sendok mual (+) infuse terpasang RL minum ± 250 cc/hr A: Masalah belum teratasi P: Lanjutkan intervensi 1,2,4,5 dan 6
  • 12.
    12.05 3 Klien mengerti tentangmanfaat makanan terutama TKTP 4. Memberi umpan balik positif saat klien mau menghabiskan makanannya Hasil : Klien ada kemauan untuk menghabiskan makanannya tapi klien takut karena kalau berusaha makan banyak akan mual dan bahkan muntah 5. Penatalaksanaan pemberian multivitamin dan cairan per IV Hasil : - klien minum Vit C + B Comp = 1:1 - Infus terpasang dangan RL - Klien minum ± 250 cc / hari 6. Menimbang berat badan klien Hasil : Berat badan klien = 48 kg 1. Mengkaji tingkat pemahaman S: klien mengatakan sudah mulai mengerti proses penyakit, harapan dan tentang proses proses pengobatan penyakitnya tapi Hasil : belum puas Pemahaman klien tentang proses penyakit dan pengobatan masih O: klien masih sering kurang bertanya – tanya 2. Memberikan informasi khusus tentang penyakitnya tentang pencegahan dan penularan penyakit, contoh : untuk pencegahan, spt : klien A: Masalah teratasi sebagian disuruh istirahat yang cukup sedangkan untuk penularan, spt : P: Lanjutkan intervensi melalui keringat 2 dan 4 Hasil : Klien mengerti dan paham tapi masih sering bertanya 3. Menjelaskan pentingnya istirahat dalam rencana pengobatan dan perlunya keseimbangan aktifitas Hasil : Klien mengerti dan akan beristirahat semaksimal mungkin 4. Menganjurkan perlunya menghindari makanan/ minuman beralkohol yang dapat memperberat penyakitnya
  • 13.
    Hasil : Klien menyadari/ tobat dan tidak akan mengkonsumsi minuman/ makanan beralkohol seumur hidup Rabu, 19 Mei 2004 1 09.00 12.00 2 1. Mengkaji karakteristik nyeri dan ketidaknyamanan Hasil : Klien mengatakan nyeri masih ada tapi sifatnya hilang-timbul serangan nyeri sejak pukul 08.00-1400 muncul ± 6 kali 2. Mengobservasi Tanda- Tanda Vital Hasil : TD = 110/70 mmHg N = 80 x/m P = 24 x/m S = 36 0 C 3. Mengajarkan teknik relaksasi dengan mengusap daerah sekitar nyeri Hasil : Klien belum bisa bertoleransi dengan nyeri 4. Penatalaksanaan dalam pemberian analgetik Hasil : Pemberian obat Novalgin 1 amp / drips Jam 13.00 S: klien mengatakan masih nyeri pada perut kanan atasnya O: - sifat nyeri hilang – timbul (timbulnya serangan nyeri tiap 10 menit) - ekspresi wajah meringis A: masalah belum teratasi P: Lanjutkan intervensi 1,2,3, dan 4 1. Mengkaji pola makan klien S: Klien mengatakan masih merasa mual sekarang Hasil : O: - klien makan tiga kali /hari - porsi tidak - jenis makanan : bubur dan dihabiskan lauk (TKTP) - klien makan 3 2. Memberi makan dalam porsi sendok kecil dan dengan frekuensi sering - mual (+) dan sesuai selera - infuse terpasang Hasil : RL - klien hanya makan / - minum ± 250 cc/hr menghabiskan 3 sendok - tiap kali makan klien mengeluh terasa pahit pada A: Masalah belum tenggorokan pada saat teratasi menelan
  • 14.
    12.05 3 Jumat, 21 Mei 2004 1 4. Memberiumpan balik positif saat P: Lanjutkan intervensi klien mau menghabiskan 1,2,4,5 dan 6 makanannya Hasil : Klien ada kemauan untuk menghabiskan makanannya tapi klien takut karena kalau berusaha makan banyak akan mual dan bahkan muntah 5. Penatalaksanaan pemberian multivitamin dan cairan per IV Hasil : - klien minum Vit C + B Comp = 1:1 - Infus terpasang dangan RL - Klien minum ± 250 cc / hari 6. Menimbang berat badan klien Hasil : Berat badan klien sama se[perti kemarin = 48 kg 2. Memberikan informasi khusus tentang pencegahan dan S: klien mengerti dan merasa puas dengan penularan penyakit, contoh : penjelasan yang untuk pencegahan, spt : klien diberikan disuruh istirahat yang cukup sedangkan untuk penularan, spt : O: klien tidak bertanya – melalui keringat tanya / bingung lagi Hasil : tentang penyakitnya Klien mengerti dan paham dan tidak bertanya - tanya lagi A: Masalah teratasi tentang penyakitnya 4. Menganjurkan perlunya menghindari makanan/ minuman P: beralkohol yang dapat memperberat penyakitnya Hasil : Klien menyadari / tobat dan tidak akan mengkonsumsi minuman/ makanan beralkohol seumur hidup 09.00 1. Mengkaji karakteristik nyeri dan Jam 13.00 ketidaknyamanan S: Klien mengatakan Hasil : masih nyeri pada Klien mengatakan nyeri perut kanan atasnya masih ada tapi sifatnya
  • 15.
    12.00 2 hilang-timbul serangan nyeri sejakpukul O: - Klien tampak 08.00-1400 muncul ± 4 kali sudah disa 3. Mengobservasi Tanda- Tanda beradaptasi dengan Vital nyerinya Hasil : - Ekspresi wajah TD = 120/70 mmHg tampak ceria N = 82 x/m P = 24 x/m A: masalah teratasi S = 36,2 0 C sebagian 3. Mengajarkan teknik relaksasi dengan mengusap daerah sekitar P: Lanjutkan intervensi nyeri 1,2,3, dan 4 Hasil : Klien sudah dapat bertoleransi dengan nyerinya 4. Penatalaksanaan dalam pemberian analgetik Hasil : Pemberian obat Novalgin 1 amp / drips 1. Mengkaji pola makan klien S: Klien mengatakan Hasil : masih merasa mual - klien makan tiga kali /hari - jenis makanan : bubur dan O: lauk (TKTP) - porsi tidak 2. Memberi makan dalam porsi dihabiskan kecil dan dengan frekuensi sering - klien makan 6 dan sesuai selera sendok Hasil : - mual (+) - klien menghabiskan porsi - infuse terpasang makan 6 sendok RL - klien masih mengeluh terasa - minum ± 1000 pahit pada tenggorokan pada saat menelan cc/hr 12.05 4. Memberi umpan balik positif saat A: Masalah belum klien mau menghabiskan teratasi makanannya Hasil : P: Lanjutkan intervensi Klien ada kemauan untuk 1,2,4,5 dan 6 menghabiskan makanannya tapi klien takut karena kalau berusaha makan banyak akan mual dan bahkan muntah 5. Penatalaksanaan pemberian multivitamin dan cairan per IV Hasil : - klien minum Vit C + B Comp
  • 16.
    = 1:1 - Infusterpasang dangan RL - Klien minum ± 1000 cc / hari 6. Menimbang berat badan klien Hasil : Berat badan klien sama seperti kemarin = 48 kg