ANALISA DATA GAGAL GINJAL KRONIK
NO

DATA

ETIOLOGI

MASALAH
KEPERAWATAN

1

DS :

Glomerulopi, obstruksi
dan infeksi, kista gunjal

1. Pasien

Kelebihan Volume
Cairan

menyatakan
kesulitan bernapas

Kehilangan fungsi ginjal

2. Pasien
menyatakan

Disfungsi glomerulus

kembung

di

daerah abdomen

GFR menurun

DO :
1. Edema
2. Tekanan

Sekresi renin
darah

tinggi
3. Perubahan turgor

angiotensin I menjadi
angiotensin II

kulit
4. Distensi

koretks Adrenal

abdomen/asites
Sekresi aldosteron

Retensi air dan natrium

Peningkatan ECF

Peningkatan tekanan
hidrostatik

Edema
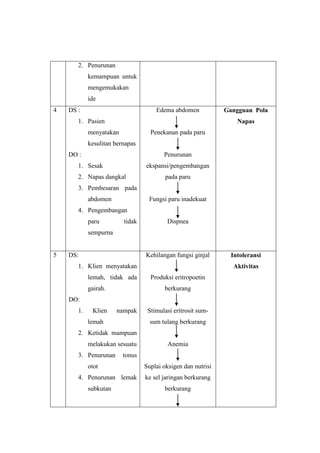
2

DS :

Penurunan GFR

1. Mual
2. Tidak

Perubahan Status
Nutrisi Kurang

adanya

Sekresi urine menurun

nafsu makan

Dari Kebutuhan
Tubuh

3. Pasien

Peningkatan kadar BUN,

menyatakan nyeri
uluhati

kreatinin, ureum dan
amonia

DO :
1. Adanya cegukan

Azotemia

2. Muntah
3. Porsi makan tidak

Rangsangan nervus vagus

dihabiskan
4. Penurunan

berat

Hipotalamus

berbau

Mual, muntah

badan.
5. Napas
amonia
Anoreksia

Nutrisi inadekuat
3

DS :

Peningkatan kadar BUN.
Kreatinin, ureum, amonia

1. Diaorientasi
terhadap

Perubahan Pola
Pikir

orang,

waktu dan tempat
2. Pasien

Penimbunan pigmen
ureum (urokrom)

menyataakan
ingatannya lemah

Intoksikasi saraf pusat

DO :
1. Pasien

nampak

peka, menarik diri

Penurunan kesadaran
2. Penurunan
kemampuan untuk
mengemukakan
ide
4

DS :

Edema abdomen

1. Pasien

Gangguan Pola
Napas

menyatakan

Penekanan pada paru

kesulitan bernapas
DO :

Penurunan

1. Sesak

ekspansi/pengembangan

2. Napas dangkal

pada paru

3. Pembesaran pada
abdomen

Fungsi paru inadekuat

4. Pengembangan
paru

tidak

Dispnea

sempurna

5

DS:

Kehilangan fungsi ginjal

1. Klien menyatakan
lemah, tidak ada
gairah.

Aktivitas
Produksi eritropoetin
berkurang

DO:
1.

Klien

nampak

lemah

Stimulasi eritrosit sumsum tulang berkurang

2. Ketidak mampuan
melakukan sesuatu
3. Penurunan

4. Penurunan lemak
subkutan

Anemia

tonus

otot

Intoleransi

Suplai oksigen dan nutrisi
ke sel jaringan berkurang
berkurang
Penurunan pembentukan
ATP

Kelemahan otot dan
tungkai

6

DS :

Vasokonstriksi pembuluh

1. Klien menyatakan
nyeri

Nyeri

darah

bagian

kepala

Tekanan darah meningkat

DO :
1. Klien

nampak

Sakit kepala

meringis
kesakitan.
2. Klien memegang
bagian yang sakit.
7

DS :

Stimulasi sum-sum tulang
berkurang dalam

DO :

Resiko Tinggi
Infeksi

memprduksi sel darah

1. Jumlah

berkurang

leukosit/sel darah
putih

berkurang

Hipersegmentasi leukosit

dalam darah
2. Pucat

Fagositosis dan
kemotaksis berkurang

Imunitas menurun

Analisa data ggk

  • 1.
    ANALISA DATA GAGALGINJAL KRONIK NO DATA ETIOLOGI MASALAH KEPERAWATAN 1 DS : Glomerulopi, obstruksi dan infeksi, kista gunjal 1. Pasien Kelebihan Volume Cairan menyatakan kesulitan bernapas Kehilangan fungsi ginjal 2. Pasien menyatakan Disfungsi glomerulus kembung di daerah abdomen GFR menurun DO : 1. Edema 2. Tekanan Sekresi renin darah tinggi 3. Perubahan turgor angiotensin I menjadi angiotensin II kulit 4. Distensi koretks Adrenal abdomen/asites Sekresi aldosteron Retensi air dan natrium Peningkatan ECF Peningkatan tekanan hidrostatik Edema
  • 2.
    2 DS : Penurunan GFR 1.Mual 2. Tidak Perubahan Status Nutrisi Kurang adanya Sekresi urine menurun nafsu makan Dari Kebutuhan Tubuh 3. Pasien Peningkatan kadar BUN, menyatakan nyeri uluhati kreatinin, ureum dan amonia DO : 1. Adanya cegukan Azotemia 2. Muntah 3. Porsi makan tidak Rangsangan nervus vagus dihabiskan 4. Penurunan berat Hipotalamus berbau Mual, muntah badan. 5. Napas amonia Anoreksia Nutrisi inadekuat 3 DS : Peningkatan kadar BUN. Kreatinin, ureum, amonia 1. Diaorientasi terhadap Perubahan Pola Pikir orang, waktu dan tempat 2. Pasien Penimbunan pigmen ureum (urokrom) menyataakan ingatannya lemah Intoksikasi saraf pusat DO : 1. Pasien nampak peka, menarik diri Penurunan kesadaran
  • 3.
    2. Penurunan kemampuan untuk mengemukakan ide 4 DS: Edema abdomen 1. Pasien Gangguan Pola Napas menyatakan Penekanan pada paru kesulitan bernapas DO : Penurunan 1. Sesak ekspansi/pengembangan 2. Napas dangkal pada paru 3. Pembesaran pada abdomen Fungsi paru inadekuat 4. Pengembangan paru tidak Dispnea sempurna 5 DS: Kehilangan fungsi ginjal 1. Klien menyatakan lemah, tidak ada gairah. Aktivitas Produksi eritropoetin berkurang DO: 1. Klien nampak lemah Stimulasi eritrosit sumsum tulang berkurang 2. Ketidak mampuan melakukan sesuatu 3. Penurunan 4. Penurunan lemak subkutan Anemia tonus otot Intoleransi Suplai oksigen dan nutrisi ke sel jaringan berkurang berkurang
  • 4.
    Penurunan pembentukan ATP Kelemahan ototdan tungkai 6 DS : Vasokonstriksi pembuluh 1. Klien menyatakan nyeri Nyeri darah bagian kepala Tekanan darah meningkat DO : 1. Klien nampak Sakit kepala meringis kesakitan. 2. Klien memegang bagian yang sakit. 7 DS : Stimulasi sum-sum tulang berkurang dalam DO : Resiko Tinggi Infeksi memprduksi sel darah 1. Jumlah berkurang leukosit/sel darah putih berkurang Hipersegmentasi leukosit dalam darah 2. Pucat Fagositosis dan kemotaksis berkurang Imunitas menurun