API 510 - for Exam
Prepared by: DSc PhD Dževad Hadžihafizović (DEng)
Sarajevo 2023
1
API 510
Current for 2014 Exam
2
API 510 Examination Preparatory
Fast Track Technical
Table of Contents
Lesson 1 Service Restrictions/Joint Efficiencies/Radiography 5
Lesson 2 Shell and Head Calculations 29
Lesson 3 Maximum Allowable Working Pressure 43
Lesson 4 Hydrostatic Head Pressure 45
Lesson 5 Hydrostatic, Pneumatic Tests and Test Gauges 53
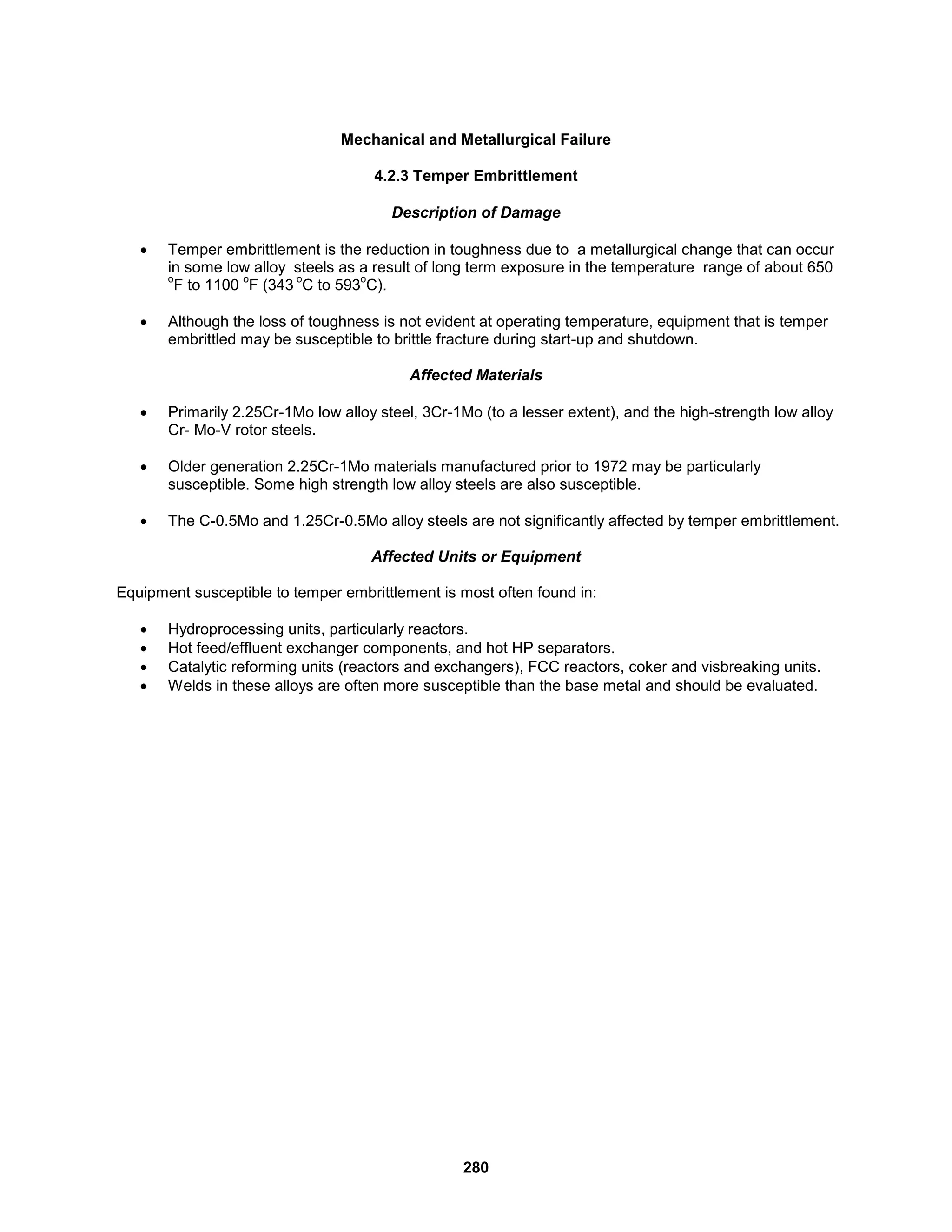
Lesson 6 Postweld Heat Treatment 57
Lesson 7 External Pressure Calculations 65
Lesson 8 Charpy Impact Testing 75
Lesson 9 Fillet Welds and Reinforcement Calculations 91
Lesson 10 Materials, Nameplates, and Data Reports 101
Lesson 11 Corrosion Calculations 105
Lesson 12 ASME Section IX Overview 115
Lesson 13 Writing a Welding Procedure Specification 143
Lesson 14 Welder Performance Qualification Test 175
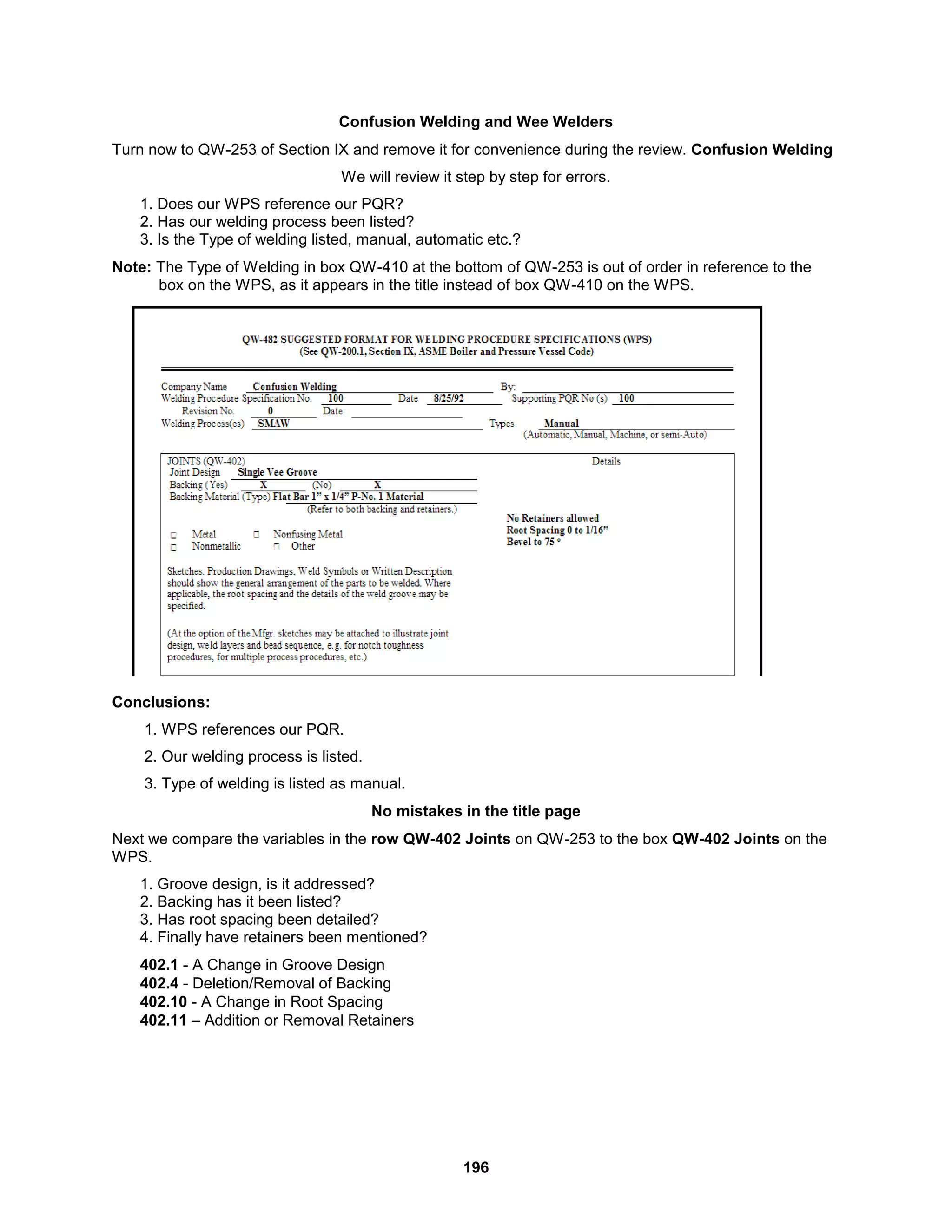
Lesson 15 Review of WPS’s and PQR’s 195
Lesson 16 Section V NDE 217
Lesson 17 RP 577 Welding Inspections and Metallurgy 251
Lesson 18 RP 571 Damage Mechanisms 279
Lesson 19 API 510 Pressure Tests and Welded Repairs 295
Lesson 20 API 572 Inspection of Pressure Vessels 305
3
Introduction
The API Exams are given the first Wednesday of December and June. There is now a trial examination
being given in September, which coincides with the API 653. This September exam may or may not
become permanent.
The Exam is given in two sections.
 The morning is the Open Book portion.
 The afternoon portion is Closed Book.
 4 hours are allotted to each.
The Open Book portion you are allowed to have all the Code books and the API Recommended
Practices to use as needed.
These books can be highlighted, tabbed and may have hand written notes in the margins of the pages.
The Closed Book portion you are not allowed to use the Code books or the API Recommended
Practices.
All questions are multiple choices; there are a total of 150 questions, each worth 2/3 point.
The Open Book half will have from 45 to 55 questions.
The balance of the questions will be on the second half Closed Book portion in the afternoon.
The examination is scored using a curve. The number of correct questions to pass varies from exam to
exam.
A passing score is based on the difficulty level of questions from one exam to another. Each question
when written is assigned a level of difficulty from 1 to 4, 4 being the hardest.
If a given exam has a high number of harder questions, it may only require 98 correct to pass, likewise
easier exams may require as many as 115 correct.
4
ASME CODES OVERVIEW
Section VIII Div.1 Unfired Pressure Vessels.
Section VIII is divided into 3 Subsections.
Subsection A
General Rules which apply to all vessels
Subsection B Methods of Fabrication
Specific Rules based on method (s) used
Subsection C
Specific Rules Based on Material (s)
On the Exam you are responsible for:
Subsection A
Only Part of the UG rules that apply to all vessels no matter how they are made or what they are
made of.
Subsection B
Only Part of the UW rules for vessel fabricated by welding.
Subsection C
Only Part of the UCS rules for vessel made of Carbon or Low Alloys.
About the course
• The course will start with Section VIII Subsection B Methods of Fabrication Part UW, Welding.
• Next we will cover Part UG General Rules and calculations.
• Then we will cover the material specific rules for Carbon and Low Alloy Steels Part UCS.
• Upon completion of the Section VIII coverage we will commence Section IX Welding.
• After Section IX we will be covering Section V NDE.
• Then Selected Coverage from, RP 577 and RP 571 and API 510.
• There will be quizzes throughout the course.
• There will be homework reading assignments.
• There will be exercises to complete between classes.
• There will be a final exam.
• You will receive 3 Practice Exams each with 150 questions and the solutions sheets for self study.
• You need Yellow highlighters.
• You need tabs.
• A red pen or pencil (optional).
• The KIS (Keep It Simple) principle applies. You need a simple calculator it need not have any
math function higher than square root.
• You may want a backup calculator during the exam.
5
Lesson 1 Service Restrictions, Joint Efficiencies, and Radiography
Objectives
• Understand the service restrictions placed on weld joints based on service conditions.
• Identify weld joints by Categories (location in vessel).
• Identify welds by Types. (How made, double welded etc.).
• Determine the accept/reject values for weld imperfections located using radiography.
• Define the extent of radiography required by Code for a desired joint efficiency.
• Find weld joint efficiency (E) by using Table UW-12.
• Determine weld joint efficiencies based on RT markings.
• Determine the E to be used for calculating the required thickness or allowed pressure for
Seamless Shell sections and Seamless heads.
• Understand the rules for using welded pipe and tubing.
6
ASME Section VIII
UW-2 Service Restrictions
(a) When vessels are to contain lethal substances footnote
1
, either liquid or gaseous, all butt welded
joints shall be fully radiographed, except under the provisions of UW-2(a)(2) and UW-2(a)(3) below, and
UW-11(a)(4).
When fabricated of carbon or low alloy steel, such vessels shall be postweld heat treated.
Footnote
1
When a vessel is to contain fluids of such a nature that a very small amount mixed or
unmixed with air is dangerous to life………..
If determined as lethal, …
(1) The joints of various categories (see UW-3) shall be as follows.
(a) Except under the provisions of (a)(2) or (a)(3) below, all joints of Category A shall be
Type No. (1) of Table UW-12.
(b) All joints of Categories B and C shall be Type No. (1) or No. (2) of Table UW-12.
These are the only two types which are considered acceptable for radiography by Section VIII Div.1
Type 1
Double Welded butt joint or equivalent. Backing if used must be removed.
Type 2
Single welded butt joint with backing which remains in place.
7
UW-3 Welded Joint Category
The term “Category” as used herein defines the location of a joint in a vessel, but not the type of
joint.
(a) Category A. Longitudinal welded joints within the main shell, communicating chambers,
transitions in diameter, or nozzles; any welded joint within a sphere, within a formed or flat
head, or within the side plates of a flat-sided vessel; circumferential welded joints connecting
hemispherical heads to main shells, to transitions in diameters, to nozzles, or to
communicating chambers.
(b) Category B. Category B. Circumferential welded joints within the main shell, communicating
chambers,
2
nozzles, or transitions in diameter including joints between the transition and a
cylinder at either the large or small end; circumferential welded joints connecting formed
heads other than hemispherical to main shells, to transitions in diameter, to nozzles, or to
communicating chambers.
2
Circumferential welded joints are butt joints if the half-apex
angle, a, is equal to or less than 30 deg and the angle joints when a is greater than 30 deg.
(See Fig. UW-3.)
(c) Category C. Welded joints connecting flanges, Van Stone laps, tubesheets, or flat heads to
main shell, to formed heads, to transitions in diameter, to nozzles, or to communicating
chambers any welded joint connecting one side plate to another side plate of a flat sided
vessel.
(d) Category D. Welded joints connecting communicating chambers or nozzles to main shells, to
spheres, to transitions in diameter, to heads, or to flat-sided vessels, and those joints
connecting nozzles to communicating chambers (for nozzles at the small end of a transition
in diameter, see Category B).
An important note:
Hemispherical heads form a Category A joint between themselves and any other part, whether it is the
shell, another hemispherical head, etc. Hemispherical Heads are never considered Seamless by Code
rules. The Category A weld made by attaching the Hemispherical Head to shell is considered part of the
Head for calculation purposes. Later on in this lesson we begin our discussion of formed seamless Heads.
The formed heads on the exam that are considered seamless are Torispherical and Ellipsoidal,
Hemispherical is not seamless by Code.
8
UW-51
Radiographic and Radioscopic Examination of Weld Joints
(a) All welded joints to be radiographed shall be examined in accordance with Article 2 of Section V except
as specified below.
(1) A complete set of radiographs and records, as described in Article 2 of Section V, for each vessel or
vessel part shall be retained by the Manufacturer, as follows:
(a) Films until the Manufacturer's Data Report has been signed by the Inspector;
(b) Records as required by this Division (10-13).
(2) A written radiographic examination procedure is not required. Demonstration of density and
penetrameter image requirements on production or technique radiographs shall be considered
satisfactory evidence of compliance with Article 2 of Section V.
(3) The requirements of T-285 of Article 2 of Section V are to be used only as a guide. Final acceptance of
radiographs shall be based on the ability to see the prescribed penetrameter image and the specified
hole or the designated wire of a wire penetrameter.
9
(b) Indications shown on the radiographs of welds and characterized as imperfections are unacceptable
under the following conditions and shall be repaired as provided in UW-38, and the repair radiographed
to UW-51 or, at the option of the Manufacturer, ultrasonically examined in accordance with the method
described in Appendix 12….
(1) Any indication characterized as a crack or zone of incomplete fusion or penetration ;
(2) Any other elongated indication on the radiograph which has length greater than:
(a) 1/4 in. for t up to 3/4 in.
(b)1/3t for t from 3/4 in. to 2-1/4 in.
(c) 3/4 in. for t over 2-1/4 in.
Where;
t = the thickness of the weld excluding any allowable reinforcement.
For a butt weld joining two members having different thicknesses at the weld, t is the thinner of these two
thicknesses. Since the value of t must be the lesser thickness this decreases the size of the maximum
acceptable indication.
10
(3) Any group of aligned indications that have an aggregate (total) length greater than t in a length
of 12t,
Example: t = 1” total length (L) cannot exceed 1” in 12”
Also individual lengths cannot exceed the following:
(b) 1/3t for t from 3/4 in. to 2-1/4 in. * In this example none of the individual indications can
exceed 1/3 x 1” = 1/3” (.333”)
(3) Except when the distance between the successive imperfections exceeds 6L where L is the
length of the longest imperfection in the group; * This means that if the two groups are
isolated from each other, they can be evaluated separately within a length of 12t.
(4) Rounded indications in excess of that specified by the acceptance standards given in
Appendix 4.
Example from Appendix 4: More on this during the Section V Coverage.
11
UW-52
Spot Examinations of Weld Joints
(a). Butt welded joints that are to be spot radiographed shall be examined locally as provided
herein.
(b) Minimum Extent of Spot Radiographic Examination
(1) One spot shall be examined on each vessel for each 50 ft increment of weld or fraction thereof
for which a joint efficiency from column (b) of Table UW-12 is selected. However, for identical
vessels, each with less than 50 ft of weld for which a joint efficiency from column (b) of Table
UW-12 is selected, 50 ft increments of weld may be represented by one spot
examination.
* The idea of this rule is that each 50’ increment is to be a hold point for approval; the next increment is
not to be started until the previous one has been accepted. The drawing below is the simplest case;
you will not see this often.
* This rule also addresses smaller, often machine welded vessels such as small air receivers. One is
picked at random for spot radiography. If it passes, all are approved.
18' fraction
18' fraction 18' fraction
50'
increment
50'
increment
25' fraction
12
(2) For each increment of weld to be examined, a sufficient number of spot radiographs shall be
taken to examine the welding of each welder or welding operator. Under conditions where two
or more welders or welding operators make weld layers in a joint, or on the two sides of a
double-welded butt joint, one spot may represent the work of all welders or welding operators.
* Every welder in a given 50’ increment must have his work radiographed. It can be a individual photo
(radiograph) or a group picture. Here welder A was radiographed alone and B & C’s work was
examined on the same radiograph.
(3) Each spot examination shall be made as soon as practicable…... The location of the spot shall
be chosen by the Inspector,… except that when the Inspector cannot be present or otherwise
make the selection, the fabricator may exercise his own judgment in selecting the spots.
(4) Radiographs required at specific locations to satisfy the rules of other paragraphs, such as
UW-9(d), UW-11(a)(5)(b), and UW-14(b), shall not be used to satisfy the requirements for spot
radiography.
Note: UW-11(a)(5)(b), will be covered in depth later in this lesson.
UW-9(d)
(d) Except when the longitudinal joints are radiographed 4 in. each side of each circumferential
welded intersection, vessels made up of two or more courses shall have the centers of the
welded longitudinal joints of adjacent courses staggered or separated by a distance of at least
five times the thickness of the thicker plate.
* Longitudinal Welds Aligned must be radiographed for at least 4 inches on each side of the joint.
UW-14(b) Single openings meeting the requirements given in UG-36(c)(3) may be located in head-to-shell
or Category B or C butt welded joints, provided the weld meets the radiographic requirements
in UW-51 for a length equal to three times the diameter of the opening with the center of the
hole at mid-length. Defects that are completely removed in cutting the hole shall not be
considered in judging the acceptability of the weld. ** UW-51, not 52 to grade film.
50' increment Welder B & C on opposite sides
of the weld.
Welders
B & C
Welder A
Alone
13
3.5" x 3 = 10.5"
* UG-36 (c)(3) addresses small opening which do not require reinforcement calculations.
Summary
The special radiography requirements given in UW-9 (d), UW-11(a)(5)(b) and UW-14 (b) cannot be
substituted for any of the spot radiography required by UW-52.
* We will see why this is significant when we commence our studies of “Joint Efficiencies” later.
14
UW-52
Spot Examinations of Weld Joints
(c) Standards for Spot Radiographic Examination.
Spot examination by radiography shall be made in accordance with the technique prescribed in UW-
51(a). The minimum length of spot radiograph shall be 6 in.
(c)(3) Rounded indications are not a factor in the acceptability of welds that are not required to be fully
radiographed.
(d) Evaluations and Retests
When a spot, radiographed as required in (b)(1) or (b)(2) above has been examined and the
radiograph discloses welding which does not comply……….The locations shall be determined by the
Inspector… if the two additional pass, repair the failed spot, if either of the two additional spots fail
the entire rejected weld shall be removed and the joint re-welded or the entire increment
completely radiographed and all defects corrected.
50' increment Second Additional Radiograph
Orig. Rejected
First Additional Radiograph
50' increment
Second Additional Radiograph
Acceptable
Repair and
radiograph
First Additional Radiograph
Acceptable
15
…, if either of the two additional spots fail the entire rejected weld shall be removed and the joint
rewelded or the entire increment completely radiographed and all defects corrected.
50' increment
First Additional Radiograph
Failed.
Original
Rejected OrSecond Additional
Radiograph Failed.
50' increment
Repair all defects in the 50' or
remove all 50' then weld and
apply spot radiography again.
Radiograph
Entire 50'
16
UW-11
Radiographic and Ultrasonic Examinations of Weld Joints
(a) Full Radiography. The following welded joints shall be examined radiographically for their full length
….
(1) All butt welds in the shell and heads of vessels used to contain lethal substances [see UW-2(a)];
* Remember, UW-2(a) demands that in lethal service the welds be of Type 1 for Category A and must be
of either Type1 or 2 for Categories B and C.
Type 1
Type 2
Lethal Service
Full Radiography
17
(a) Full Radiography. The following welded joints shall be examined radiographically for their full length
….
(2) All butt welds in vessels in which the nominal thickness [ see (g) below] at the welded joint
exceeds 1-1/2 in. (38mm), or exceeds the lesser thicknesses prescribed in UCS-57…. * This
paragraph is on the examination.
(g) For radiographic and ultrasonic examination of butt welds, the definition of nominal thickness at the
welded joint under consideration shall be the nominal thickness of the thinner of the two parts
joined. Nominal thickness is defined in 3-2.
(c) Nominal Thickness – …….For plate material, the nominal thickness shall be, at the Manufacturer’s
option, either the thickness shown on the Material Test Report {or material Certificate of Compliance
[UG-93(a)(1)]} before forming, or the measured thickness of the plate at the joint or location under
consideration.
* Information only this is not on the exam.
(a) Full Radiography. The following welded joints shall be examined radiographically for their full length
….
(2) All butt welds in vessels in which the nominal thickness [see (g) below] at the welded joint
exceeds 1-1/2 in. (38 mm), or exceeds the lesser thicknesses prescribed in UCS-57, UNF-57,
UHA-33, UCL-35, or UCL-36 for the materials covered therein, or as otherwise prescribed in
UHT-57, ULW-51, ULW-52(d), ULW-54, or ULT-57; however, except as required by UHT-57(a),
Categories B and C butt welds in nozzles and communicating chambers that neither exceed
NPS10 nor 1-1/8 in. (29 mm) wall thickness do not require any radiographic examination;
* If none of the rules in the paragraphs above apply then use the default thickness of 1-1/2”.
This means;
If the material of construction is not one of those referenced UW-11(a)(2) then the default value for
the thinner thickness exceeded becomes 1-1/2”. Since the API 510 examination is restricted to UCS
materials (carbon and low alloy steels) this rule will be demonstrated using a Carbon Steel that is
classified as a P-Number 1.
18
UCS-57
From paragraph UCS-57:
In addition to the requirements of UW-11, complete radiographic examination is required for each butt
welded joint at which the thinner of the plate or vessel wall thicknesses at the welded joint exceeds
the thickness limit above which full radiography is required in Table UCS-57.
Further Explained: For P No.1 materials the thinner of the two must exceed 1.25”.
Therefore the girth weld at the 1.25 to 1.5” joint and all above it are exempt.
Full RT
Carbon Steel P No.1
when the thinner of
the two exceeds1-¼"
t = 1.5"
t = 1.25
t = 1.75"
t = 1.25
t = 1.5"
19
UW-11 Continued
(3) All butt welds in the shell and heads of unfired steam boilers ………Steam Boilers are NOT on
the Exam.
(4) All butt welds in nozzles, communicating chambers, etc., attached to vessel sections or heads
that are required to be fully radiographed under (1) or (3) above; however, .....Categories B and C
butt welds in nozzles and communicating chambers that **neither exceed NPS 10 (DNS 250) nor
1-1/8 in. (29mm) wall thickness do not require any radiographic examination;
** This only applies to circumferential welds in small (NPS 10 / 1-1/8” thick.) nozzles and chambers.
Longitudinal seams are not exempted by this rule.
Full RT for
Lethal
or
Thickness
Weld Neck Flange
Cat. C .75" thick NPS
6" No RT
Cat. A long
seam RT req.
1-1/8" thick
NPS 10" Weld
Neck Flange
Cat. C No RT
NPS 12" Nozzle and Weld Neck
Flange. Cat. C RT. Req.
Now for the hardest rule to understand!
(5) All Category A and D butt welds in vessel sections and heads where the design of the joint or
part is based on a joint efficiency permitted by UW-12(a), in which case:
(a) Category A and B welds connecting the vessel sections or heads shall be of Type No. (1) or
Type No. (2) of Table UW-12; * Just means they must be radiographable.
(b) Category B or C butt welds [but not including those in nozzles or communicating chambers
except as required in (2) above] which intersect the Category A butt welds in vessel sections
or heads or connect seamless vessel sections or heads shall, as a minimum, meet the
requirements for spot radiography in accordance with UW-52.
20
* This paragraph is only mandatory when it is desired by the designer to use the highest joint efficiency
possible for calculations of thickness required or pressure allowed.
It is a choice the designer makes when there are no mandatory requirements based on service or
material as found in UW-11 (a) (1)*Lethal Service, (2)*Thickness exceeded
(6) All butt welds joined by… electrogas welding is not on the exam.
(7) Ultrasonic examination in accordance with UW- 53 may be substituted for radiography for the
final closure seam of a pressure vessel if the construction of the vessel does not permit
interpretable radiographs in accordance with Code requirements. The absence of suitable
radiographic equipment shall not be justification for such substitution.
(8) Exemptions from radiographic examination for certain welds in nozzles and communicating
chambers as described in (2), (4), and (5) above take precedence over the radiographic
requirements of Subsection C of this Division.
Note: This means that even though P-No. 5 for example requires RT in all thicknesses the
small/thin nozzles are exempt.
(b) Spot Radiography. Except as required in (a)(5)(b) above, butt welded joints made in
accordance with Type No. (1) or (2) of Table UW-12 which are not required to be fully
radiographed by (a) above, may be examined by spot radiography. Spot radiography shall be
in accordance with UW-52.
* If full RT is not mandatory Spot Radiography is done because the designers chose it.
If spot radiography is specified for the entire vessel, radiographic examination is not required of
Category B and C butt welds in nozzles and communicating chambers that exceed neither NPS
10 nor 1-1/8 in. wall thickness
(c) No Radiography. Except as required in (a) above, no radiographic examination of welded
joints is required when the vessel or vessel part is designed for external pressure only, or
when the joint design complies with UW-12(c).
* The designer can choose not to do RT if there is no mandatory requirement such as lethal, thickness, or
the desire for a higher joint E.
Before starting shell and head calculations let’s have a look at the types of welds and the weld joint
efficiencies that apply based on the amount of radiography applied.
These E values are found on Table UW-12 of Section VIII Division 1.
 The following is a simplification for the API 510 Exam; it does not reflect all of the possible
combinations of radiography, weld types and the resulting joint efficiencies
21
UW-12
Joint Efficiencies
Table UW-12 gives the joint efficiencies E to be used in the formulas of this Division for joints completed
by an arc or gas welding process. Except as required by UW-11(a)(5), a joint efficiency depends only on
the type of joint and on the degree of examination of the joint and does not depend on the degree of
examination of any other joint.
(a) Value of E not greater than that given in column (a)* of Table UW-12 shall be used in the design
calculations for fully radiographed butt joints [seeUW-11(a)], except that when the requirements
of UW-11(a)(5) are not met, a value of E not greater than that given in column (b) of Table UW-
12 shall be used. * Known as Full Radiography
So now we are sent back to UW-11(a)(5)…….
UW-11(a)(5) All Category A and D butt welds in vessel sections and heads where the design of the joint or
part is based on a joint efficiency permitted by UW -12(a), in which case:
(a) Category A and B welds connecting the vessel sections or heads shall be of Type No. (1) or
Type No. (2) of Table UW-12; * (simply means it can be radiographed)
(b) Category B or C butt welds [but not including those in nozzles or communicating chambers
except as required in (2) above *(excludes small/thin nozzles)] which intersect the Category A
butt welds in vessel sections or heads or connect seamless vessel sections or heads shall, as a
minimum, meet the requirements for spot radiography in accordance with UW-52.
UW-11(a)(5) explained: This rule is pointed toward Code manufacturers who buy parts from other “Code
Shops” and basically assemble a vessel. The concern is as follows;
Code Shop A buys a rolled and welded shell from Code Shop B, Shop B fully radiographs
the Type 1 weld and the shell part will be delivered to Shop A with a joint E of 1.0. which is
essentially equal to a seamless shell.
Code Shop A welds on two seamless formed heads. Unless Shop A performs at least Spot
RT on the Category B welds connecting the heads to the shell there will have been no
radiographic testing of Code Shop A’s welders. A graphical representation follows.
22
Example 1: The longitudinal seam weld is of Type 1. It has received Full RT at Code Shop B. Shop A has
not performed the required Spot RT on the head to shell welds.
Fully Radiographed Type 1 by Shop B
Heads welded on by Shop A. Without the
spot RT as described in UW-11(a)(5)(b) the
shell would be calculated at E= .85
Example 2: Now the Spot RT has been performed by Shop B. Therefore and E = 1.0 is allowed for the
shell.
Fully Radiographed Type 1 by Shop B
Heads welded on by Shop A. With the
spot RT as described in UW-11(a)(5)(b)
the shell would be calculated at E= 1.0
UW-11(a)(5) So this means that Shop A cannot simply weld the heads, nozzles etc. and never do any
radiographic testing of the Shop A welders. To make things consistent this rule applies
even if the entire vessel is made by one Code Shop.
So no matter what the circumstances this Spot RT must be performed to take a joint
efficiency from Col. A of to Table UW-12 for seamed shell course.
23
Example 3: One last comment. On the shop floor these two shells both have the potential for a Joint E
of 1.0 . You will see this again in UW-12(d) Seamless Shells and Heads.
Seamed Shell Course Type 1 Full RT
Seamless Shell Course
(b) A value of E not greater than that given in *column (b) of Table UW-12 shall be used in the
design calculations for spot radiographed butt welded joints [see UW-11(b)].
* Known as Spot Radiography
(c) A value of E not greater than that given in * column (c) of Table UW-12 shall be used in the design
calculations for welded joints that are neither fully radiographed nor spot radiographed [see UW-
11(c)]. * No Radiography
Now let’s examine the first three Types listed on Table UW-12 and examine the joint types, the
amount of radiography and the resulting Joint Efficiencies.
24
25
UG-116
Joint Efficiencies based on RT Marking
Next we will discuss Nameplate RT markings and how to determine the joint E to be used in the thickness
or pressure calculations to follow. These RT markings and their descriptions are found in paragraph UG-
116. We will now discuss these accompanied by graphical representations.
"RT 1" When all pressure retaining butt welds, other than B and C associated with nozzles and
communicating chambers that neither exceed NPS 10 nor 1-1/8 inch thickness have been
radiographically examined for their full length in a manner prescribed in UW 51, full
radiography of the above exempted Category B and C butt welds if performed, may be
recorded…...
MW-1
RT 1
Shell and Heads
E= 1.0
Lethal
"RT 2" Complete vessel satisfies UW-11(a)(5) and UW- 11(a)(5)(b) has been applied. The spot
RT rules of UW-52 must be applied to the spot RT and the Full RT rules of UW-51 to the
long seams. So the 50’ increments apply and all welders in that increment must be
examined by radiography.
MW-1
RT 2
Shell and Heads
E= 1.0
Desire
for E=1.0
"RT 2" Complete vessel satisfies UW-11(a)(5) and UW- 11(a)(5)(b) has been applied.
This is the second Case of RT 2 resulting in E = 1.0, again the rules of UW-52 apply.
RT 2
Shell and Heads
E= 1.0
Seamless Shell
Seamless Heads
26
"RT 3" Complete vessel satisfies spot radiography of UW-11(b). The simplest example, one
welding operator and only three radiographs in 122’ of weld. The following assumes Type
1 welds for all weld seams.
"RT 4" When only part of the vessel satisfies any of the above. * Only part of the vessel has
been radiographed due to a thickness limit being exceeded as listed in UCS 57 or the
desire to use E = 1.0 .
The next consideration is the shells and heads of vessels which are considered seamless. The
Efficiencies used to calculate these vessel parts are not found on Table UW-12 but are instead listed in
paragraph UW-12(d).
(d) Seamless vessel sections or heads shall be considered equivalent to welded parts of the same
geometry in which all Category A welds are Type No. 1. For calculations involving
circumferential stress in seamless vessel sections or for thickness of seamless heads, E=1.0
when the spot radiography requirements of UW-11(a)(5)(b) are met. E= 0.85 when the spot
radiography requirements of UW-11(a)(5)(b) are not met, or when the Category A or B welds
connecting seamless vessel sections or heads are Type No. 3, 4, 5, or 6 of Table UW-12.
* Note this rule applies to the Code Shop A and B issue.
27
MW-1
RT 2
Shell and Heads
E= 1.0
(d) Seamless vessel sections or heads shall be considered equivalent to welded parts of the same
geometry in which all Category A welds are Type No. 1. For calculations involving
circumferential stress in seamless vessel sections or for thickness of seamless heads, E=1.0
when the spot radiography requirements of UW-11(a)(5)(b) are met.
Shell and Heads
E= 1.0
Seamless Shell
Seamless Heads
(d) Seamless vessel …………. E= 0.85 when the spot radiography requirements of UW-11(a)(5)(b)
are not met, or when the Category A or B welds connecting seamless vessel sections or heads
are Type No. 3, 4, 5, or 6 of Table UW-12.
* Weld Type 3 to 6 can not be radiographed by Code rules.
Shell and Heads
E= 0.85
Seamless Shell
Seamless Heads
(e) Welded pipe or tubing shall be treated in the same manner as seamless, but with allowable
tensile stress taken from the welded product values of the stress tables, and the requirements of
UW-12(d) applied.
* If the spot RT is applied use E = 1.0, if not E = 0.85
Seamed Pipe Shell
Seamless Heads
28
UW-12 Joint Efficiencies
For the purposes of choosing joint efficiencies when doing vessel section or head calculations on the API
510 Examination the following can be said.
RT 1
Full Use 1.0 if joints are of Type 1 or 0.90 if Type 2
RT 2
Case 1: Use 1.0 with Seamless Heads and Shells
Case 2: Seamed Shells/Seamless Heads
• Shells Use 1.0 if joints are Type 1or if Type 2 Use 0.90
• Use 1.0 for seamless heads
RT 3
Use 0.85 if Joints are of Type 1 or 0.80 if of Type 2
Use 0.85 for Seamless heads
RT 4
* Special case of selective radiography *
Use Table UW-12 based on Joint Type and RT described in the exam question
No RT
Go to Table UW-12 and look up the E to be used for the type of weld under consideration.
Case1: Type 1 Use 0.70
Case 2: Type 2 Use 0.65
Seamless heads use 0.85
Remember that there only two (2) joint efficiencies possible for Seamless Shell and Seamless Heads they
are;
1.0 or 0.85
1.0 When the rules of UW-11(a)(5)(b) have been applied (UW-52 Spot RT applied).
0.85 When the rules have not been applied (UW-52 Spot RT not applied).
DO NOT GO TO TABLE UW-12 FOR THE E TO USE IN SEAMLESS HEADS OR SEAMLESS SHELLS
29
Lesson 2
Head and Shell Calculations
Objectives
Learn to Calculate:
• The required thickness of a cylindrical shell based on circumferential stress given a pressure (UG-
27(c)(1).
• The vessel part Maximum Allowable Working Pressure (MAWP) for a cylindrical shell based on
circumferential stress given a metal thickness (UG-27(c)(1).
• The required thickness of a head (ellipsoidal, torispherical and hemispherical) given a pressure.
(UG-32 (d), (e),& (f).
• The vessel part MAWP for a head (ellipsoidal, torispherical and hemispherical) given a metal
thickness using paragraphs UG-32 (d), (e),& (f).
• Whether a head (ellipsoidal, torispherical or hemispherical) meets Code requirements given
pressure and metal thickness UG 32(d), (e), and (f).
In any of the above you must also be able to:
• Compensate for the corrosion allowance: add or subtract based on requirements of the exam
problem. The Appendix 1* formula for cylinders, which is based on outside diameter, can be used.
• * The Appendix 1 formulas for non-standard heads will not be required.
Overview
This lesson will start with straight forward new construction calculations from Section VIII Div.1 for internal
dimension (I.D.) and progress on to consider;
• Corrosion Allowances
• Outside dimension calculation of cylindrical shells.*
• O.D. calculations will come from Appendix 1 formula 1-1 this is only issue from Appendix 1 on the
exam.
30
UG-27
Thickness of Shells under Internal Pressure
Here we find the formula and definitions for calculation of cylindrical shells under internal pressure. The
paragraph begins as follows;
(a) The thickness of shells under internal pressure shall be not less than that computed by the
following formulas. In addition, provision shall be made for any of the other loadings listed in UG-
22, when such loadings are expected…… The provided thickness of shells shall also meet UG-
16 * (addresses minimum thickness allowed).
(b) The symbols defined below are used in the formulas of this paragraph.
t = minimum required thickness of shell, in.
P = internal design pressure (see UG-21), psi
R = inside radius of the shell course under consideration
S = maximum allowable stress value, psi
E = joint efficiency for, or the efficiency of, appropriate joint in cylindrical or spherical shells, or
efficiency of ligaments are… not on the exam.
For welded vessels, use the efficiency specified in UW-12.
For ligaments between openings, …….are not on the exam.
(c) Cylindrical Shells. The minimum thickness or maximum allowable working pressure of cylindrical
shells shall be the greater thickness or lesser pressure as given by (1) or (2) below.
(1) Circumferential Stress Longitudinal Joints. When the thickness does not exceed one-half of
the inside radius, or P does not exceed 0.385SE, the following formulas shall apply: *(The
above is a test to see if these formula apply, they always do on this examination)
With the exception of Appendix 1 formula, all cylindrical shell calculations on the exam will use one of
these two formula! * Highlight these two!
P
0.6
-
SE
PR
=
t
t
0.6
+
R
SEt
=
P
OR
(2) Longitudinal Stress (Circumferential Joints). When the thickness does not exceed one-half
of the inside radius, or P does not exceed 1.25SE, the following formulas shall apply:
These formulas are not used on the exam.
* DO NOT USE or highlight them!
P
0.2
-
2SE
PR
=
t
t
0.2
+
R
2SEt
=
P
Not on the
Exam
31
Foot Note 14
Formulas in terms of the outside radius and for thicknesses and pressures beyond the limits fixed in this
paragraph are given in 1-1 to 1-3.
Of Appendix 1, only the first two shell formulas from paragraph 1-1 (a) (1) are on the Body of Knowledge!
Let’s have a look at those.
Appendix 1 Supplementary Design Formulas
1-1 THICKNESS OF CYLINDRICAL AND SPHERICAL SHELLS
(a) The following formulas, in terms of the outside radius, are equivalent to and may be used instead
of those given in UG-27 (c) and (d).
(1) For cylindrical shells (circumferential stress),
t
0.4
-
Ro
SEt
=
P
OR (1)
P
0.4
SE
PRo
=

t
(2) Longitudinal stress NOT ON EXAM cross out.
Example: Given a cylindrical shell with the following variables, solve for the MAWP of the cylinder using
both formulas.
P = ? * The question mark defines what is being solved for.
t = 0.500"
S = 15,000 psi
E = 1.0
R = 18.0“ and Routside = 18.5"
psi
t
R
SEt
8
.
409
18.3
7500
=
0.500)
x
(0.6
+
18.0
x0.500
1.0
x
15,000
=
6
.
0
P
27(c)(1)
-
UG 


psi
8
.
409
3
.
18
7500
0.500)
x
(0.4
-
5
.
18
0.500
x
1.0
x
000
,
15
0.4t
-
R
SEt
=
P
1)
-
(1
1
App
o



32
Which formula you use is determined by how the question is asked?
Example 1:
Internal Formula
A vessel shell has corroded to an inside radius of 23.58” its working pressure is 500 psi and its stress
allowed is 17,500 psi. What is the required thickness?
Other terms sometimes used:
Corroded internally, found to have an inside diameter/radius, etc.
In these cases we must use the inside formula of UG-27
Example 2:
External Formula
A vessel shell has corroded to an outside diameter of 23.58” its working pressure is 500 psi and stress
allowed is…..what is the required thickness?
Other terms sometimes used:
found externally corroded, attacked by corrosion under insulation (CUI) etc.
Here we would have to use the formula of Appendix 1.
• You can use either formula in some situations.
Example 3:
Internal Formula or External Formula
A vessel shell has corroded to an inside radius of 23.58 ” its working pressure is 500 psi and its stress
allowed is ….its original thickness was .500” and the original inside radius was 24.0 ” ** for inside
calculations use R = 23.58 (actual)
To use the outside formula we can add the original thickness to the original inside radius.
24” + .500 = 24.5” = Ro Original radius outside
Now we can use the formula of Appendix 1-1 if we chose to.
• Also there is the situation where you are given only the Outside Dimension (O.D.) and asked to solve
for the thickness required or maximum allowable working pressure.
Example 4: External Formula for Thickness
A vessel shell has an outside radius of 24.0 ” its working pressure is 500 psi and its stress allowed is
15,000 psi. The joint efficiency, E = 1.0. The shell has corroded internally to a thickness of 0.343”. What is
its present Maximum Allowable Working Pressure?
Here you must use the O.D. Formula since you cannot determine the present internal corroded radius, not
having the original thickness you cannot determine the original I.D.!
33
Here is an example of working a problem using both inside and outside dimensions having all the
information needed.
A cylindrical shell has been found to have a minimum thickness of .353". Its original thickness was .375“
with an original inside radius of 12.0”. What is its present MAWP ?
Pulling the information from the stated problem, we have:
P = 300 psi
t = .353"
S = 13,800 psi
E = .85
R = 12.0" + (.375-.353) = 12.022 corroded inside radius
Ro= 12.0" + 0.375 (orig. t) =12.375” original outside radius
Here is a graphical representation of the problem:
Which formula? R inside corroded = 12 + (0.375 – 0.353) = 12.022”
R outside = 12.0" + 0.375 (orig. t) = 12.375”
Radius Inside for MAWP using UG-27(c)(1).
psi
t
R
SEt
46
.
338
12.2338
4140.69
=
.353)
x
(0.6
+
12.022
.353
x
.85
x
13,800
=
6
.
0
P
27(c)(1)
-
UG 


Radius Outside for MAWP using App: 1 (1-1).
psi
46
.
338
2338
.
12
69
.
4140
.353)
x
(0.4
-
375
.
12
.353
x
.85
x
800
,
13
0.4t
-
R
SEt
=
P
1)
-
(1
1
App
o



You Choose!
t Corroded = 0.353"
t Corroded = 0.353"
t Orig. = 0.375"
34
Let's do a simple internal shell calculation now. We will use a shell which is seamless. You may find the
following approach helpful in keeping track of the data. As the problems become more difficult, it becomes
harder to track the variables if you are not organized.
• Make a simple sketch of the shell and label its dimensions.
• List what is required to know. We will call these givens.
• State the code paragraph that applies, i.e., UG-27, etc.
Use this approach for all calculations.
Givens: Sketch
t =
P =
R =
S =
E =
Code Paragraph UG-27 (c) (1) t
0.6
+
R
SEt
=
P
I.D. ?
t = ?
35
Problem # 1
Find the Maximum Allowable Working Pressure (MAWP) of a 12 inch inside diameter shell. This shell is
seamless and is stamped RT 2. It has an allowable stress value of 16,600 psi and the wall thickness is
.406”. No corrosion is expected.
I.D. 12.0"
SKETCH
t = .406"
R = 6.0"
Givens: Plug in from the values given in the question!
P =?
t = .406
R = D/2 = 12/2 = 6.0” this formula uses the Radius.
S = 16,600 psi
E = 1.0 per UW-12(d) Seamless shells and heads
From UG-27 (c) (1) Circumferential Stress
t
0.6
+
R
SEt
=
P
psi
44
.
1079
2436
.
6
6
.
6739
.406)
x
0.6
(
+
)
(6.0
x.406
1.0
x
16,600
= 

P
36
As can be seen the calculations are simple, it is more a matter of deciding on the correct formula to use,
inside or outside, and transferring the givens accurately to the formula. Once again use the approach;
Givens: SKETCH
P =
t =
ect.
About rounding answers. In the ASME Code and for the exam you must round DOWN for pressure
allowed so in our solution below we would round down to 1079 psi. Even if our solution had been
1079.999 we cannot round to 1080, we still round down to 1079 psi.
This is the conservative approach taken by the Codes in general and of course is different for the normal
rules of rounding.
Problem # 2
Find the minimum required thickness of a cylindrical shell designed for a working pressure of 100 psi. The
shell's inside radius is 2'-0". The longitudinal joint is type 1 (table UW-12) and no radiography was
performed. The shell is made of carbon steel rolled plate with an allowable stress of 15,000 psi.
SKETCH
t = ?
Type 1 Category
A
No RT
Givens:
t = ?
P = 100 psi
R = 24"
S = 15000
E = .70 ( From Table UW-12 column C)
From UG-27 (c) (1) Circumferential Stress
When rounding thickness required we must round up. The most conservative thing to do. So our example
below would round to .230”. Even it had been .2291 we would still round up to .230”.
P
0.6
-
SE
PR
=
t
"
.2298
=
10440
2400
=
100)
x
(0.6
-
)
.70
x
(15,000
24
x
100
=
t
37
We have now calculated the pressure allowed on a seamless shell in Problem #1 and have calculated the
thickness required of a seamed shell in Problem #2.
Now for one more example.
Problem # 3
Determine the minimum required thickness of a cylindrical shell designed for an internal pressure of 50
psi, no corrosion is expected. The shell’s inside diameter is 10’-0”.
The shell’s Category A and B, Type 1 welds have been fully radiographed. The material’s stress allowable
is 17,500 psi. The vessel will be stamped RT 1.
Long Joint (Circumferential Stress)
SKETCH:
I.D. 10'- 0"
t = ?
Type 1 Category
A & B
Full RT
Givens:
t = ?
P = 50
R = 10’ x 12” = 120”/2 = 60"
S = 17500
E = 1.0 (RT 1)
From UG-27 (c) (1) .172"
to
rounds
"
.1717
=
17470
3000
=
50)
x
(0.6
-
)
1.0
x
(17,500
60
x
50
=
t
38
You are now familiar with the basic cylindrical shell formula from UG-27. However that formula in its
published form is only useful for the calculation of vessel shells that are designed without a corrosion
allowance. Usually during design a corrosion allowance will be given to vessel part.
Example:
A vessel is being designed for a specific volume of water. The designer determines the optimum inside
diameter and length of the vessel to obtain that volume.
The engineer set the inside diameter at 48” so it must be constructed with that inside diameter, resulting in
an inside radius of 24” to be used in the calculation.
In the design calculation the engineer adds the corrosion allowance to the radius. The basic formula of
UG-27 would be modified to be;
P
0.6
-
SE
.)
.
(R
P
=
a
c
t

t
0.6
+
c.a)
(R
SEt
=
P

or
t
0.6
+
)
125
.
0
(24
SEt
=
P

Inside diameter = 48.0”
Inside radius = 24.0”
c.a. = 1/8” = 0.125”
Inside radius used in calculations = 24.0 + 0.125 =
24.125” resulting in the following;
The vessel shell would be constructed of the required calculated thickness and then rolled to an inside
radius of 24”, it retirement radius would be 24.125”
This is no different from what occurs during the evaluation of an in service vessel that has corroded.
However here we use actual measurements. Suppose the vessel shell above was built with a thickness of
0.500” and rolled to the 24.0” inside radius. Corrosion has occurred and the new minimum wall thickness
is 0.450”. To calculate we would use a radius of 24.0 + (0.500 – 0.450) or 24.050”. This would leave a
remaining corrosion allowance of .125 -.050 = .075”
39
UG-32
Internal Pressure On Formed Heads
There are three types of calculations for formed heads listed in the Body of Knowledge: Ellipsoidal,
Torispherical and Hemispherical. A sketch and the formula for thickness of each kind are below.
P
0.2
-
2SE
PD
=
t
0.1P
-
SE
0.885PL
=
t
0.2P
-
2SE
PL
=
t
(a) The required thickness at the thinnest point after forming of ellipsoidal, torispherical,
hemispherical, conical, and toriconical (not on exam) heads under pressure on the concave
side (plus heads) shall be computed…….
(b) The thickness of an unstayed ellipsoidal or torispherical head shall in no case be less than….this is
a test to see if you should use this formula or the ones given in Appendix 1. Not on Exam!
(c) The symbols defined below are used in the formulas of this paragraph:
t = minimum required thickness of head after forming, in. (mm)
P = internal design pressure (see UG-21), psi (kPa)
D = inside diameter of the head skirt; or inside length of the major axis of an ellipsoidal head; in.
(mm)
S = maximum allowable stress value in tension.
E = lowest efficiency of any joint in the head; for hemispherical heads this includes head-to-
shell joint; for welded vessels, use the efficiency specified in UW-12
L = inside spherical or crown radius, in. (mm)
There are 5 formed heads listed in UG-32. You will be responsible for the calculations of these 3 only;
(a) ElliEllipsoidal (b) Spherically Dished
(Torispherical)
(c) Hemispherical
40
Hemispherical, Ellipsoidal and, Torispherical.Heads
The next series of slides are example calculations of all three types for thickness required. These
calculations will use the exact same conditions for service, stress allowed, Joint E, dimensions, and
pressure.
• With all things being equal, which do you suspect will be the thinnest allowed?
• Which do you think will be the thickest required?
• Which is in the middle?
Examples:
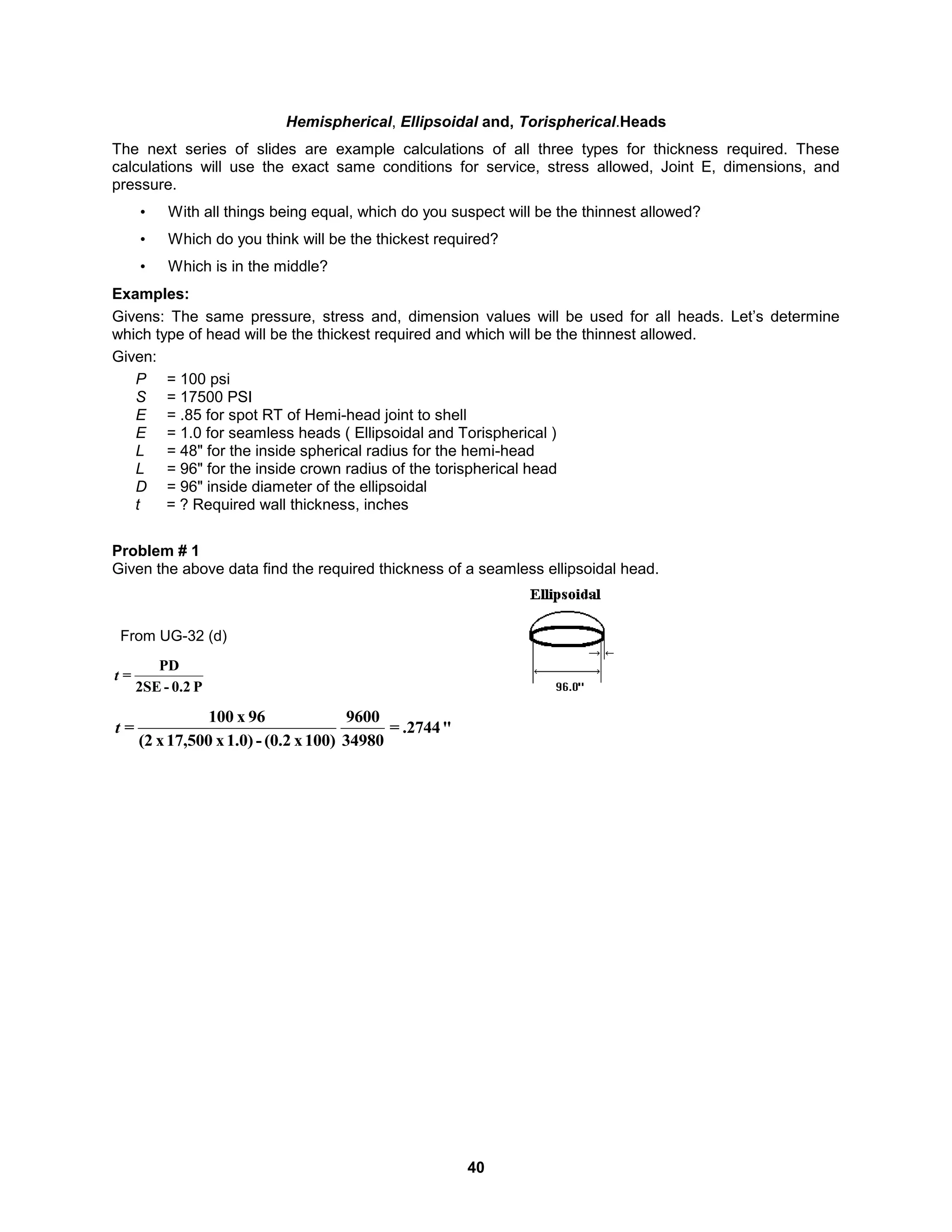
Givens: The same pressure, stress and, dimension values will be used for all heads. Let’s determine
which type of head will be the thickest required and which will be the thinnest allowed.
Given:
P = 100 psi
S = 17500 PSI
E = .85 for spot RT of Hemi-head joint to shell
E = 1.0 for seamless heads ( Ellipsoidal and Torispherical )
L = 48" for the inside spherical radius for the hemi-head
L = 96" for the inside crown radius of the torispherical head
D = 96" inside diameter of the ellipsoidal
t = ? Required wall thickness, inches
Problem # 1
Given the above data find the required thickness of a seamless ellipsoidal head.
P
0.2
-
2SE
PD
=
t
From UG-32 (d)
"
.2744
=
34980
9600
100)
x
(0.2
-
1.0)
x
17,500
x
(2
96
x
100
=
t
41
Problem # 2
Using the same data, calculate the required thickness of a hemispherical head.
0.2P
-
2SE
PL
=
t
From UG-32 (f)
"
1614
.
0
29730
4800
)
100
2
.
0
(
)
85
.
0
500
,
17
2
(
48
100




x
x
x
x
t
Problem # 3
Determine the required t of this torispherical head. (These are also called ASME flanged and dished
heads, by the way).
0.1P
-
SE
0.885PL
=
t
From UG-32(e)
"
.4857
=
17490
8496
=
100)
x
(0.1
-
1.0)
x
(17,500
96
x
100
x
0.885
=
t
So we have from thickest to thinnest, all things equal:
Torispherical = .4857” (Rounds to .486”)
Ellipsoidal = .2744 (Rounds up to .275”)
Hemispherical = .1614 (Rounds to .162”)
There have been several exams where the question was asked, “Which is required to be thickest” or
“Which can be the thinnest” Remember this.
42
One Last Important Comment:
Hemispherical heads while they can be formed seamless are not considered seamless heads by Section
VIII. As mentioned previously they essentially form a Category A seam between the head and the other
part. The spot RT of UW-12(d) does not apply to the Joint E used to calculate a Hemispherical head. They
are never seamless; their Joint E comes from Table UW-12 based on the Type of weld and the extent of
Radiography applied. * Remember This.*
43
Lesson 3
Maximum Allowable Working Pressure
UG-98
(a) The maximum allowable working pressure for a vessel is the maximum pressure permissible at the top
of the vessel in its normal operating position at the designated coincident temperature specified for
that pressure. It is the least of the values found for maximum allowable working pressure for any of
the essential parts of the vessel by the principles given in (b) below, and adjusted for any difference in
static head that may exist between the part considered and the top of the vessel (See 3-2).
(b) The maximum allowable working pressure for a vessel part is the maximum internal or external
pressure, including the static head thereon, as determined by the rules and formulas in this Division,
together with the effect of any combination of loadings listed in UG-22 which are likely to occur, for the
designated coincident temperature, excluding any metal thickness specified as corrosion allowance.
(c) Maximum allowable working pressure may be determined for more than one designated operating
temperature, using for each temperature the applicable allowable stress value. In the Code there are
two types of Maximum Allowable Working Pressures (MAWP). One is for the vessel itself, the one
most think of and refer to all the time. The other is the one for each part of a vessel referred to in UG-
98 as the part MAWP. Think of it in this way: a vessel has a shell, heads, chambers… etc., and
pressure allowed or thickness required calculations must be performed for each one to determine the
MAWP of the vessel. When doing these calculations, you cannot take credit for any extra thickness
designed into the vessel as a corrosion allowance. The weakest of the vessels parts, considering
other loadings such as the static head of the contents, weight of insulation, wind, etc., will determine
the MAWP of the entire vessel. It is the weakest link in the chain…The pressure referred to here can
be internal or external.
44
The MAWP of a vessel is the pressure allowed in a vessel at its top in its normal operating position
and at its maximum operating temperature. The MAWP can be determined for more than one
designated operating temperature, using for each temperature the applicable allowable stress value.
45
Lesson 4
Hydrostatic Head Pressure
Overview
What is Hydrostatic Head Pressure? Let’s examine the words to better understand the meaning of
hydrostatic.
• Hydro meaning liquid
• Static meaning unchanging.
• Pressure is a force exerted over an area.
Which of leads us to the following;
It is a pressure that is generated by the weight of the liquid due to gravity. The taller the height of a liquid
column the greater the force, which is expressed as pounds per square inch (psi) for our purposes. The
Hydro (liquid) of interest on the exam is water, since it is the primary liquid we use for Hydrostatic testing.
Other liquids can be and are used.
The hydrostatic head of water is part of our everyday lives. For example the water tower that supplies your
home uses the principle of “Hydrostatic Head” or gravity to push the water into your home and out of your
faucets. Let’s have a look at a graphic of a water tower that will detail this principle.
Hydrostatic Head of a Water Tower
140’ x 0.433 = 60.6 psig and 100’ x 0.433 = 43.3
46
Hydrostatic Head of Water Basic Principle
The hydrostatic head of water is equal to 0.433 psi per vertical foot above the point where the pressure
will measured. For example the hydrostatic head of water at a point in a vessel with 10 feet of water above
it is calculated by multiplying 10 x 0.433 psi.
10 x 0.433 = 4.33 psi
The 4.33 psi is being exerted totally by the weight of the water. No other external pressure having been
applied. If an external source of pressure is applied it would be added to the hydrostatic head pressure of
the water at any given point in the vessel, more on this later.
Now for a pressure vessel, no external pressure, filled with water only. 0 psi at top, the bottom is 100 x
0.433 = 43.3 psi
0 psi
43.3
psi
100 Feet
100
psi
143.3
psi
100 Feet
External pressure of 100 psi is now applied resulting in a gage pressure at the bottom of 143.3 psi. The
43.3 psi is static, never changing. From these simple water tower and pressure vessel examples the
following can be understood and applied to a pressure vessel. For a pressure vessel the MAWP is always
measured at the top in its normal operating position. Here are the issues on the exam that must be
understood to work a H.H. problem.
Case 1: How do you determine hydrostatic head based on a given elevation?
Case 2: When do you add the hydrostatic head pressure in vessel calculations?
Case 3: When do you subtract the hydrostatic head pressure in vessel calculations?
Case 1: To determine hydrostatic head based on an elevation from a stated problem it must be
understood that elevations are normally taken from the ground level to a vessel’s very top. You
must subtract the Given elevation from the Total elevation to determine vertical feet of
hydrostatic head above the given elevation.
47
Example: A vessel has an elevation of 18 feet and is mounted on a 3 foot base. What is the hydrostatic
head pressure of water at the 11 foot elevation which is located at the bottom of the top shell
course? Remember it is the number of vertical feet above the given elevation in question
which causes the hydrostatic head at that point. To find the hydrostatic head you must subtract
the elevation of the Given point from the Total elevation given for the vessel.
18' feet total
-11' desired point
7' total hydrostatic head
Hydrostatic head pressure at 11' elevation is:7 x 0.433psi = 3.03 psi
=
Case 2: Hydrostatic head at a point in a vessel must be added to the pressure used (normally vessel
MAWP) when calculating the required thickness of the vessel component at that elevation.
Example: Determine the required thickness of the shell course in Case 1. The vessel's MAWP (Always
measured at the top in the normal operating position) is 100 psi. The following variables apply:
Givens:
t = ? Circumferential stress from UG-27(c)(1)
P = 100 psi + Hydrostatic Head
S = 15,000 psi
E = 1.0
R = 20"
Since the bottom of this shell course is at the 11 foot elevation the pressure it will see is 100 psi + the
hydrostatic head.
100 + 3.03 = 103.03 psi
Also our basic formula becomes;
1379
.
18
.
14938
6
.
2060
)
3
.
103
6
.
0
(
)
0
.
1
000
,
15
(
20
03
.
103



x
x
x
x
t
.)
.
(
6
.
0
.)
.
(
H
H
P
SE
R
H
H
P
t



-
48
Case 3 You must subtract hydrostatic head pressure when determining the MAWP of a vessel. If
given a vessel of multiple parts and the MAWP for each of the parts, the MAWP of the entire
vessel is determined by subtracting the hydrostatic head pressure at the bottom of each part
to find the part which limits the MAWP of the vessel.
Example: A vessel has an elevation of 40 feet including a 4 foot base. The engineer has calculated the
following part’s MAWP to the bottom of each part based on each part's minimum thickness
and corroded diameter. Determine the MAWP of the vessel as measured at the top.
Calculated Part MAWP at the bottom of:
Top Shell Course 28' Elev. 406.5 psi
Middle Shell Course 16.5' Elev. 410.3 psi
Bottom Shell Course 4' Elev. 422.8 psi
Bottom of top shell course:
40.0' elev.
-28.0' elev.
12.0' of hydrostatic head 12' x 0.433 psi = 5.196 psi of Static
Bottom of the middle shell course:
40.0' elev.
-16.5' elev.
23.5' of hydrostatic head
23.5' x 0.433 psi = 10.175 psi of Hydrostatic HeadBottom of bottom shell course:
40.0' elev.
-4.0' elev.
36.0' of hydrostatic head
36' x 0.433 psi = 15.588 psi of Hydrostatic Head
The final step in determining the MAWP of the vessel at its top is to subtract the hydrostatic head of water
from each of the calculated Part MAWP. The lowest pressure will be the maximum gauge pressure
permitted at the top of the vessel.
Bottom of top shell course 406.5 - 5.196 = 401.3 psi
Bottom of mid shell course 410.3 - 10.175 = 400.125 psi
Bottom of btm. shell course 422.8 - 15.588 = 407.212 psi
49
Therefore the bottom of the middle shell course’s MAWP limits the pressure at the top and, determines
the MAWP of the vessel.
The MAWP of the vessel is 400.125 psi
One thing to remember is this pressure is static. In our example the if the applied external pressure at the
top were raised above 400.125 psi, then down at the 16.5’ elevation the gage would exceed that shell
course’s MAWP of 410.3.
50
One last example using a vessel which is horizontal, just to reinforce the concept that it is the Vertical
Height that must be considered. The 6.928 psi total H.H. must be considered at the bottom when
calculating the sump head.
MW-1
10'
3'
3'
Total 16' x 0.433 psi = 6.928 psi H.H.
16 feet
Depth of a Hemispherical and Ellipsoidal heads
Hydrostatic Head of Water
One final thing the determination of H.H. for two formed heads, Hemispherical and Ellipsoidal.
Hemispherical Head
For this example we will use a hemispherical head that has an inside diameter of 48 inches which means
it has a radius of 24 inches. The radius is the depth of the hemispherical head
Ellipsoidal Head
An ellipsoidal head's I. D. will be the same as the shell. The inside diameter of an ellipsoidal head is also
its major axis. This fact is the basis of finding the depth of a 2 to 1 ellipsoidal head. Notice that we are
strictly talking about 2 to 1 ellipsoidal heads. The 2 to 1 refers to the ratio of the Major Axis to the Minor
Axis of an ellipse which is used to form the head
Of course only half of the Minor Axis is used for the head.
51
Now add the 2 inch flange to the dish.
Therefore, our 2 to 1 Ellipsoidal head has a depth of 14 inches. Hint: To find the depth of a 2 to 1
ellipsoidal head divide the major axis by 4. In our example 48/4 = 12 then add the 2” flange.
Ellipsoidal
Converting to feet: 18" divided by 12 =
1.5' x 0.433 psi = 0.6495 psi
Hemispherical
Converting to feet. 32" divided by 12 =
2.666' x 0.433 psi = 1.1543 psi
Adding H.H. and Corrosion Wall Loss in Calculations
Increasing internal or decreasing external dimensions due
to corrosion was introduced in Lesson 2, “Shell and Head
Calculations”. In actual practice Hydrostatic Head would
also need to be considered. The following demonstrates
the principals involved.
Example:
A vertical vessel shell course has an MAWP of 200 psi,
and an allowable stress of 14,800 psi. The inside radius is
84”. The nameplate is stamped RT1. The shell has
corroded down to 1.28 inches. Its original t was 1.375".
There exists 21.9964 psi H.H. at the bottom of the shell
course.
What is its current calculated minimum thickness of this
shell course in accordance with rules of Section VIII
Division 1 considering both corrosion and hydrostatic
head?
52
Basic Formula: UG-27 (c) (1)
Modified to consider Hydrostatic Head and increased radius due to internal corrosion.
Givens:
H.H.)
(P
0.6
-
SE
)
(R
H.H.)
(P


 corrosion
t =?
P = 200
S = 14,800 psi
E = 1.0 RT 1
R = 84” = 84” + (1.375-1.28) = 84.095”
H.H..= 21.9964 rounded to 22 psi




)
22
(200
(0.6)
-
.0)
(14,800)(1
)
095
.
(84
22)
(200
=
t 
)
22
(2
(0.6)
-
.0)
(14,800)(1
)
095
(84.
(222)

133.2
-
14,800
18669.09
"
273
.
1
14,666.8
18669.09

Its present thickness is 1.28” and its minimum calculated thickness is 1.273, very close to repair or
retire.
P
0.6
-
SE
PR
=
t
53
Lesson 5
Hydrostatic, Pneumatic Tests
UG-99 Standard Hydrostatic Test
(a) A hydrostatic test shall be conducted on all vessels after:
(1) All fabrication has been completed, except for operations which could not be performed prior
to the test such as weld end preparation….
(2) All examinations have been performed, except those required after the test…...
(b) Except as otherwise permitted in (a) above and 27-3, vessels designed for internal pressure shall be
subjected to a hydrostatic test pressure which at every point in the vessel is at least equal to 1.3 times
the maximum allowable working pressure to be marked on the vessel multiplied by the lowest ratio
(for the materials of which the vessel is constructed) of the stress value S for the test temperature on
the vessel to the stress value S for the design temperature…Stress at Test TempStress at Design
Temp
(c) A hydrostatic test based on a calculated pressure may be used by agreement between the user and
the manufacturer… A New and Cold Test relates to a statement in API 510.
(d) The requirements of (b) above represent the minimum standard hydrostatic test pressure required by
this Division…(g) Following the application of the hydrostatic test pressure, an inspection shall be
made of all joints and connections. This inspection shall be made at a pressure not less than the test
pressure divided by 1.3. Except for leakage that might occur at temporary test closures for those
openings intended for welded connections, leakage is not allowed at the time of the required visual
inspection…. The visual inspection of joints and connections for leaks at the test pressure divided by
1.3 may be waived provided:
(1) a suitable gas leak test is applied;(2) substitution of the gas leak test is by agreement reached
between Manufacturer and Inspector;(3) all welded seams which will be hidden by assembly
be given a visual examination for workmanship prior to assembly;(4) the vessel will not contain
a “lethal” substance.(h) Any non-hazardous liquid at any temperature may be used for the
hydrostatic test if below its boiling point. Combustible liquids having a flash point less than 110°F,
such as petroleum distillates, may be used…
It is recommended that the metal temperature during hydrostatic test be maintained at least 30°F
above the minimum design metal temperature, but need not exceed 120°F, to minimize the risk of
brittle fracture.
API 510 has a different rule for this, it recommends that the temperature be 10°F above for 2”
(50mm) thickness and under and 30°F above for over 2 inches (50mm).
Footnote Caution: A small liquid relief valve set to 1-1/3 times the test pressure is recommended for
the pressure test system in case a vessel, while under test, is likely to be warmed up materially with
personnel absent.
(i) Vents shall be provided at all high points of the vessel in the position in which it is to be tested to
purge possible air pockets…
(j) Before applying pressure, the test equipment shall be examined to see that it is tight and that all
low pressure filling lines and other appurtenances…(k) Vessels, except for those in lethal service,
may be painted or otherwise coated either internally or externally, and may be lined internally, prior
to the pressure test. However, the user is cautioned that such painting / coating / lining may mask
leaks that would otherwise have been detected during the pressure test.
54
API 510 Hydrostatic Test Procedures
1. If the test is required it shall be conducted after welded repairs.
2. The test pressure must at least be1.3 times the MAWP or whatever the original design Code specified
i.e. 1.5.
3. The test pressure shall be adjusted for lowest ratio of stresses.
4. Any non-hazardous fluid may be used if below its boiling point.
5. It is recommended that the metal temperature during hydro test be maintained at least 10 °F above
MDMT for vessels 2” (51mm) and less and 30 °F above for vessels over 2” (51mm) to minimize the
risk of brittle fracture.
6. Following the application of hydro pressure a visual inspection shall be performed at no less than the
test pressure divided by 1.3 or whatever was originally used.
Problem: Calculate the required hydro test pressure for a vessel using the following conditions:
Material Carbon Steel
Design Temp. 700 °F
Test Temp 85 °F
MAWP 350 psi
Step 1 Determine the ratio of stresses for the test and design temperatures.
(a) From Table 1A Section II Part D.
Stress allowed at 700 °F = 15,500 psi
Stress allowed at 85 °F = 16,300 psi
b) Per UG-99 the ratio equals
Temp.
Design
at
Stress
Temp.
Test
at
Stress
Step 2 UG-99(b) Test pressure equals 1.3 x MAWP x ratio
1.3 x 350 psi x 1.05 = 477.75 psi at the top of the vessel
55
UW-50 NDE of Welds for Pneumatically Tested Vessels
Look at the reference next to UG-100 (See UW-50)
This is what is referred to as a parenthetical reference in the ASME Codes. You must read these to see
what modifiers the Code has placed on subject paragraph.
On welded pressure vessels to be pneumatically tested in accordance with UG-100, the full length of the
following welds shall be examined for the purpose of detecting cracks:
(a) all welds around openings;(b) all attachment welds, including welds attaching non-pressure parts to
pressure parts, having a throat thickness greater than 1/4 in….
UG-100 Standard Pneumatic
(a) Subject to the provisions of UG-99(a)(1) and (a)(2), a pneumatic test prescribed in this paragraph may
be used in lieu of the standard hydrostatic test prescribed in UG-99 for vessels:
(1) That are so designed and/or supported that they cannot safely be filled with water;
(2) Not readily dried, that are to be used in services where traces of the testing liquid cannot be
tolerated and the parts of which have, where possible, been previously tested by hydrostatic
pressure to the pressure required in UG-99.
(b) Except for enameled vessels, for which the pneumatic test pressure shall be at least equal to, but
need not exceed, the maximum allowable working pressure to be marked on the vessel, the
pneumatic test pressure shall be at least equal to 1.1 times the maximum allowable working pressure
to be stamped on the vessel multiplied by the lowest ratio of the stress value S for the test
temperature of the vessel to the stress value S for the design temperature. In no case shall the
pneumatic test pressure exceed 1.1 times…
(c) The metal temperature during pneumatic test shall be maintained at least 30°F (17°C) above the
minimum design metal temperature to minimize brittle fracture risk. [See UG-20 and General Note (6)
to Fig. UCS-66.2]
* API 510 states as minimum Pneumatic tests shall meet all the safety requirements of ASME Section VIII.
(d) The pressure in the vessel shall be gradually increased to not more than one-half of the test pressure.
The test pressure shall be increased in steps of approximately one-tenth of the test pressure until the
required test pressure has been reached. Pressure shall be reduced to a value equal to the test
pressure divided by 1.1 and held for a sufficient time to permit inspection of the vessel…
UG-100 Standard Pneumatic Test
1. If the test is required it shall be conducted after welded repairs.
2. The welded repairs shall be subjected to the tests required by UW-50.
3. The test pressure must at least be 1.1 times the MAWP or whatever the original design Code
specified i.e.1.25.
4. Test pressure is adjusted for lowest ratio of stresses. (Same method as hydrostatic testing)
5. Metal must be maintained at least 30 °F over MDMT.
6. The test pressure shall be raised at a gradual rate to not more than 1/2 the test pressure and then
raised by 1/10th of the test pressure until the test is reached.
7. Visual inspection must be made at test pressure divided by 1.1 or whatever was originally used.. The
visual may be waived if the requirements in UG-100 are met.
56
Problem: Calculate the required pneumatic test pressure for a vessel using the following conditions.
Material Carbon Steel
Design Temp. 700 o F
Test Temp 85°F
MAWP 350 psi
Step 1: Determine the ratio of stresses for the test and design temperatures.
(a) From Table 1A Section II Part D.
Stress allowed at 700 o F= 15,500 psi
Stress allowed at 85 o F= 16,300 psi(b) Per UG-100 the ratio equals
Step 2 Per UG-100(b) Test pressure equals
1.1 x MAWP x
Temp.
Design
at
Stress
Temp.
Test
at
Stress
1.1 x 350 psi x 1.05 = 404.25 psi
Pneumatic Test Procedure
1. Slowly raise the pressure to approximately one-half 404.25 psi which equals 202.125. Next raise the
pressure in steps of one-tenth of the test pressure.
2. 202.125 + 40.425 = 242.55 psi
3. 242.55 + 40.425= 282.975 psi
4. 282.975 + 40.425 = 323.40 psi
5. 323.40 + 40.425 = 363.825 psi
6. 363.825 + 40.425 = 404.25 psi
There are a total of 6 steps when raising up to pneumatic test pressure. Finally lower to the inspection
pressure of 404.25/1.1 = 367.5 psi
UG-102 Test Gauges
Overview
The Code has some definite requirements for the selection and uses of gages for the tests described in
UG-99 and UG-100. Directions for location, number of, range of and the calibration of the indicating
gage(s) is located in UG-102. The high points of UG-102 are below.
1. An indicating gage shall be connected directly to the vessel. If it is not readily visible to the operator of
the test equipment an additional gage shall be used which is visible....
2. When doing large vessel pressure tests it is recommended to have a recording gage in addition to the
indicating gage.
3. Dial type indicating gages shall have a range of about double the maximum test pressure, but in no
case shall the range of the gage be less than 1 1/2 times nor more than 4 times the maximum test
pressure.
4. Digital gages having a wider range may be used as long as they provide the same or greater accuracy
of the dial type.
5. All gages shall be calibrated against a standard deadweight tester or a calibrated master gage.
6. Gages must be calibrated any time their accuracy is in doubt.
57
Lesson 6
Post Weld Heat Treatment
UW-40 Definition of Nominal Thickness for Butt Welds
The Post Weld Heat Treatment mandatory requirements and time at temperature are based on the base
metal’s thickness. The Code defines thickness at a welded joint in a very specific way, which is as follows:
(f) The term nominal thickness as used in Tables UCS-56, UCS-56.1, UHA-32 and UHT-56, is the
thickness of the welded joint as defined below. For pressure vessels or parts of pressure vessels
being postweld heat treated in a furnace charge, it is the greatest weld thickness in any vessel or
vessel part which has not previously been postweld heat treated..
(1) When the welded joint connects parts of the same thickness, using a full penetration butt weld,
the nominal thickness is the total depth of the weld exclusive of any permitted weld
reinforcement.
Depth of
weld
(5) When a welded joint connects parts of unequal thicknesses, the nominal thickness shall be the
following:
(a) the thinner of two adjacent butt-welded parts including head to shell connections;……
UCS-56 Requirements for Post Weld Heat Treatment
PWHT is performed to specific rules based on the thickness of the weld to be heat treated. We will now
examine those rules.
(a) Before applying the detailed requirements and exemptions in these paragraphs, satisfactory weld
procedure qualifications of the procedures to be used shall be performed in accordance with all the
essential variables of Section IX including conditions of postweld heat treatment or lack of
postweld heat treatment.
Question: What must always be present prior to welding?
Answer: A Section IX qualified welding procedure.
58
UCS 56
(d) The operation of postweld heat treatment shall be carried out by one of the procedures given
in UW-40 in accordance with the following requirements:
(1) The temperature of the furnace shall not exceed 800°F (425°C) at the time the vessel or part
is placed in it.
(2) Above 800°F (425°C ), the rate3 of heating shall be not more than 400°F/hr (222°C) divided
by the maximum metal thickness of the shell or head plate in inches, but in no case more
than 400°F/hr (222°C). During the heating period there shall not be a greater variation in
temperature throughout the portion of the vessel being heated than 250°F (120°C) within any
15 ft (4.6 m) interval of length.
400°F / 2 inches so no more than 200°F/hr
UCS-56 Requirements for Post-Weld Heat Treatment
We will now examine the requirements for PWHT using the tabular form of UCS-56 for P-Number 1 base
metal.
This is just one Table, there are many more based on the material’s P-Number. The others follow the
same format and once we have learned to use this one the others will be much easier to understand. You
are responsible for all of the tables on this examination however most questions come from the P-Number
1 Table!
The tables cannot be interpreted with out reading the notes that are beneath them. Let’s have a look.
59
60
We can gather the following from the Table for P-Number 1 materials that;
• The normal holding temperature is 1100
o
F for P-No. 1.
• The minimum time at holding temperature is based on the thickness of the part.
• Note 1 references alternative PWHT holding temperatures
• Note 2 determines the thickness at which PWHT is mandatory.
There are three cases of thickness listed in the table P-1.
• Up to 2 inches (51 mm) the PWHT is held for 1 hour per inch (25 mm) of thickness with 15
minutes minimum in all cases. The 15 minute minimum applies to cases where;
1. The vessel is in lethal service and requires PWHT in all thicknesses.
2. The vessel is being heat treated voluntarily to prevent a service induced problem such as
cracking i.e. Amine service.
61
Note (2) Postweld heat treatment is mandatory under the following conditions:
(a) For welded joints over 1-1/2 in. (38 mm) nominal thickness; ( So 1- 9/16” (40 mm) and greater
would require PWHT)
(b) For welded joints over 1-1/4 in. (32 mm) nominal thickness through 1-1/2 in. (38 mm) nominal
thickness unless preheat is applied at a minimum temperature of 200°F (93°C) during
welding;
Based on the various thicknesses up to 2 inches we have the following graphical representation of these
rules.
The Code sets the minimum thickness of a vessel at 1/16” (1.6 mm) in paragraph UG-16, one exception is
for an Unfired Steam Boiler which has a 1/4” (6 mm) minimum.
1/16" to ¼” 15 min.
½” 30 min.
¾” 45 min.
1” - 1 hour.
> 1-¼” 1:15 min. No Preheat
1-½” 1:30 min. No Preheat
1-¾” 1:45 min.
2” 2 hours.
Exceeds 1-¼” up to
1-½” if no preheat
applied.
1/16" to ¼” Lethal
or Service reason
> 1-½” Thickness
Reason For PWHT 1/16 to 2 inches
The second thickness range:
• Over 2 in. (51 mm) to 5 in. (127 mm) the PWHT is held for a flat 2 hours for the first 2 inches (51
mm) of thickness with an additional 15 minutes per inch over 2 inches. Let’s look at a graphic of
this thickness range.
First 2 in. (51 mm) 2 hours
OVER 2 in. to 5 in.
(51 mm to 127 mm)
Additional 1 in. (25 mm) 15
min. - Total 2:15 min.
3 in (75 mm)
62
The third thickness range:
• Over 5 in. (127 mm) the PWHT is held for a flat 2 hours for the first 2 inches (51 mm) of
thickness with an additional 15 minutes per inch over 2 inches. For P-Number 1 there is no
change from the previous example. This third range does changes for some of the other P-
Numbers. Look at the P-Number 4 Table for example;
Alternative Post-Weld Heat Treatment Requirements for Carbon and Low Alloy Steels
By Note 1 of Table UCS 56 for P-Number 1 materials, it is possible to PWHT at a temperature lower than
that given in Table UCS-56. It involves heat treating for a longer periods of time, based on the amount of
reduction in temperature below the stated minimum in Table UCS-56.
The following Table UCS-56.1 outlines these rules.
63
Before going any further it must be cautioned that you cannot use this alternate unless you have been
referred to it by a note in one of the material tables. In our example we are using Note 1 referenced by P-
Number 1.
From the table we find that there are three columns.
• The left column lists the decrease in temperature below that given on the appropriate table in
UCS-56 based on material.
• The center lists the Minimum Holding Time at a decreased temperature and;
• The third lists references to notes below the table.
Reading Note 1 found below the chart and referenced up in the Minimum Holding Time column we see;
(1) Minimum holding time for 1 in. (25 mm) thickness or less. Add 15 minutes per inch(25 mm) fro
thickness greater tan 1 in. (25 mm).
Reading Note 2 listed in the Notes column;
(2) These lower postweld heat treatment temperatures permitted only for P-No. 1 Gr. 1 and 2 materials.
As regards Note 2, there is a P-No. 1 Group 3 material. So be cautious on the exam this could be a
trick question.
64
Note 1 is best addressed using a graphic as follows;
We will first examine a 50°F (28°C) drop from 1100 to1050°F. Below is the holding time from our previous
3” coupon based on 1100°F. How long would we be required to hold it at 1050°F?
First 1 in. (25 mm) 2 hours
Lower PWHT at 1050 F
Additional 1 in. (25 mm) add
15 min. Total 2:30
3 in (75 mm)
Additional 1 in. (25 mm) add
15 min.
Which leads to this total time, up from 2:15 min. to 2:30 min.
Now how about 100°F reduction to 1000°F?
65
Lesson 7
UG-28 External Pressure
UG – 28 Thicknesses of Shells and Tubes under External Pressure
(a) Rules for the design of shells and tubes under external pressure given in this Division are limited to
cylindrical shells, with or without stiffening rings, tubes, and spherical shells…..
(b) The symbols defined below are used in the procedures of this paragraph:
A = Factor determined from Fig. G in Subpart 3 of Section II, Part D and used to enter the
applicable material chart in Subpart 3 of Section II, Part D……
B = Factor determined from the applicable material chart in Subpart 3 of Section II, Part D for
maximum design metal temperature, psi .
DO = Outside diameter of cylindrical shell course or tube, in.
E = Not on exam.
L = Total length, in. (mm), of a tube between tubesheets, or design length of a vessel section
between lines of support (see Fig. UG-28.1). A line of support is:
(1) A circumferential line on a head…. Not on exam!
(2) A stiffening ring……. Not on exam!
(3) A jacket closure ……. Not on exam!
(4) A cone-to-cylinder Not on exam!
P = External design pressure, psi
Pa = Calculated value of maximum allowable external working pressure for the assumed value of t,
psi
RO = Outside radius of spherical shell, in.
t = Minimum required thickness of cylindrical shell or tube, or spherical shell, in.
ts = Nominal thickness of cylindrical shell or tube, in.
66
Beginning with UG-28(c) there are step by step instructions for working these problems. We will go
through these steps one at a time.
(c) Cylindrical Shells and Tubes. The required minimum thickness of a cylindrical shell or tube under
external pressure, either seamless or with longitudinal butt joints, shall be…….
1. Cylinders having Do /t values > or = 10:
Step 1 Assume a value for t and determine the ratios L/Do and Do /t.
* You do not assume a value for thickness (t) on the exam, it will be given in the stated problem for
the external pressure shell or tube calculation. As will the (Do) Diameter Outside and the (L)
Length in other words all that is needed to solve the problem will be provided.
Looking at an example, we can start learning this process.
1. Cylinders having Do /t values > or = 10:
Step 1 Assume a value for t and determine the ratios L/Do and Do /t.
Example: The cylinder has corroded to a wall thickness of 0.530”, its length is 120” and the outside
diameter is 10”. It operates at 500°F.
So then;
Temperature = 500°F
t = 0.530”
L = 120”
Do = 10”
Calculate Do/t = 10/.530 = 18.8 call it 19 (no need to be exact)
Now we do L/Do = 120/10 = 12
67
Step 2 Enter Fig. G in Subpart 3 of Section II, Part at the value of L/Do determined in Step 1
For values of L/Do greater than 50, enter the chart at a value of L/Do = 50. For values of L/Do less than
0.05, enter the chart at a value of L/Do = 0.05.
In our example problem we must go up the left side of the Fig. G until we reach the value of L/Do of 12.
• Using the chart we have the following;
•
68
Step 3 Move horizontally to the line for the value Do /t determined in Step 1.. Which in our case was 19,
but we will round this to 20 since these problems are not meant to be extremely precise. So now
we have.
69
Step 4
From this point of intersection move vertically downward to determine the value of factor A
This gives us the following;
70
Step 5 Using the value of A calculated in Step 3, enter the applicable material chart in Subpart 3 of
Section II, Part D for the material under consideration. Move vertically to an intersection with the
material/temperature line for the design temperature see UG-20). Interpolation may be made
between lines for intermediate temperatures. In cases where the value of A falls to the right of
the end of the material /temperature line, assume an intersection with the horizontal projection of
the upper end of the material/temperature line.
To use the next figure we enter at the bottom at the value Factor A = .0028 and then up to our
temperature of 500°F.
A = .0028 and then up to our temperature of 500°F.
Factor B is 12,000. Plug it into the formula and we have our External Pressure allowable, Pa Which will
be;
As regards the final answers to these problems, because of the difficulty of being precise with the Fig. G
there will always be some difference from one person to the next in the determination of Factor A. This is
allowed for on the exam by listing choices of answers that are in a range of +/- 5%. In our previous
problem the answer was 842 psi, on the exam the correct choice would have been offered as 799 to 884
psi, i.e.
Answer Range: 799 – 884 psi
psi
842
57
48000
3x19
4x12000
=
Pa 

71
To Summarize UG-28
External calculations depart significantly from internal calculations simply because under external
pressure the vessel is being crushed. Internal pressure wants to tear the vessel apart.
Because of the crushing or buckling load, the Length the Outside Diameter and the Thickness of the
vessel are important. External pressure problems are based on the thickness of the shell to the outside
diameter ratios. There are two types of external pressure calculations, the type we will use is when the
O.D to (Do) thickness ratio (t) is greater than 10 and the other type, not on the test, is when it is less than
10.
In order to solve these types of problems two charts will be required. The first chart Fig. G is used to find a
value called Factor A and then Factor A is used to find a Factor B in the second material specific chart.
The value of Factor B found is the number needed to solve the problem using the formula given in
paragraph UG-28 (c)(1) step 6. As stated in the API 510 Body of Knowledge, these charts will be provided
in the exam body, IF an external calculation is given on the examination.
72
Find the allowed external pressure on an existing vessel of a known thickness with a Do/t ratio > 10.
Problem: A vessel is operating under an external pressure, the operating temperature is 500° F. The
outside diameter of the vessel is 40 inches. Its length is 70 inches. The vessel’s wall is 1.25
inches thick and is of SA-515-70 plate. Its specified min. yield is 38,000 psi. What is the
maximum external pressure allowed?
Givens:
Temp = 500° F
t = 1.25
L = 70 inches
D0 = 40 inches
From UG-28 (c) Cylindrical Shells and Tubes
The required minimum thickness of a shell or a tube under external pressure, either seamless or with
longitudinal butt joints, shall be determined by the following procedure.
(1) Cylinders having a …
Testing to see if this paragraph applies:
32
=
1.25
40
=
t
Do
Step 1 Our value of Do is 40 inches and L is 70 inches. We will use these to determine the ratio of:
1.75
=
40
70
=
o
D
L
73
Step 2 Enter the Factor A chart at the value of 1.75 previously determined.
Step 3 Then move across horizontally to the curve Do/t = 32. Then down from this point to find the value
of Factor A which is .0045
74
Step 4. Using our value of Factor A calculated in Step 3, enter the Factor B (CS-2) chart on the bottom.
Move vertically to the material temperature line given in the stated problem (in our case 500°F).
Step 5 Then across to find the value of Factor B. We find that Factor B is approximately 13000.
Step 6 Using this value of Factor B; calculate the value of the maximum allowable external pressure Pa
using the following formula:
)
t
D
3(
4B
=
Pa
o
psi
541.66
=
96
52,000
=
3(32)
4x13,000
=
Pa
+/- 5%
Answer Range: 514 – 568 psi
75
Lesson 8 Charpy Impact Testing
This is why we Impact test!
Brittle Fracture and Charpy impact Testing
Overview
The concern expressed by the Codes should now be very clear based on the previous pictures. Brittle
fracture can and does occur. So exactly what is brittle fracture? Perhaps the best way to explain this is to
contrast two materials commonly used:
• Glass and Lead
• Glass is of course very brittle at room temperature.
• Lead is very ductile at room temperature.
• Glass shatters when struck.
• Lead deforms, it flows plastically without rupture (ductility).
• Glass is hard with a high strength and has little ductility.
• Lead is soft with a low strength and deforms under load.
In pressure vessels we need something in between.
So using the term loosely, we do not want our pressure vessel in “glass like state” when it is exposed to
lower temperatures. It must be able to absorb energy in the presence of a Code acceptable size flaw such
as a small welding discontinuity or unknown crack like flaw.
Designers must evaluate a given material of construction for its acceptability, at what ASME Section VIII
refers to as the vessel’s Minimum Design Metal Temperature (MDMT).
The question becomes, is this metal in this thickness and heat treated condition, prone to brittle fracture at
the desired MDMT?
Section VIII has several paragraphs that address the acceptability for materials; these are referred to as
exemptions from Charpy Testing. For purposes of the examination we are restricted to paragraph UCS.
76
So the task becomes evaluating a given material for exemptions from testing. This is a four step process,
ending with a ‘yes you must’ or ‘no you don’t’ solution.
The four steps are;
1. The exemption given in paragraph UG-20(f).
2. The exemptions listed in UCS-66 (Table UCS-66).
3. The reduction in temperature provided by Table UCS-66.1 to Table UCS-66
4. The reduction in temperature to Table UCS-66 given in paragraph UCS-68(c).
If at the end of the 4 steps, impact testing is required, then they must be conducted in accordance with the
rules described in the paragraph UG-84.
There exist two possible categories of questions on the examination.
1. Are they required?
2. If the tests are required
• How must they be conducted and,
• What passes and what is considered to have failed the tests?
We start with are they required?
The search will begin in UG-20(f) and progress through UCS 66, and 68. If no exemption is found impact
tests are required. The best approach is to list these by steps.
77
Step 1
UG-20(f) lists an exemption from impact testing for materials that meet “All” of the following
requirements.
1. Material is limited to P-No.1 Gr. No.1 or 2 and the thicknesses don't exceed the following:
(a) 1/2 in. for materials listed in Curve A of Fig. UCS-66;
(b) 1 in for materials from Curve B, C or D of Fig. UCS-66;
2. The completed vessel shall be hydrostatically tested
3. Design temperature is no warmer than 650°F or colder than -20°F.
4. The thermal or mechanical shock loadings are not controlling design.
5. Cyclical loading is not a controlling design requirement.
Reminder
All of the conditions of UG-20(f) must be met to take this exemption from impact testing.
Step 2 UCS-66 (a) Turn your attention to Fig. UCS-66 Impact Test Exemption Curves and Table UCS-66.
The Graph or Table is used to determine the minimum temperature a material thickness can be operated
at without mandatory impact testing.
The graph has four curves: A, B, C and D. In Fig. UCS-66 along with the graph is a listing of carbon and
low alloy steels. This listing of materials is used to determine the curve on the Graph or in the Table for a
given material.
After finding the curve for the material, there are two choices.
You may use the graph of figure UCS 66 or the Table UCS 66 to determine the minimum temperature for
a given thickness. It is recommended to use the Table. The Table is a lot easier to use with accuracy.
If the material thickness is operated at or above the temperature listed in Table UCS-66, impact tests are
not required. If the material thickness is to operate below the given minimum temperature, impact testing
is required. The temperature found in the table is the MDMT of that material thickness without impact
testing being required.
78
79
Step 2 Figure UCS-66 Material Curves
Let’s take the example of material that has been assigned to Curve B which is 2 inches (51 mm) thick.
Using the more friendly table we find the column for Curve B materials, move down until we find the
thickness row for 2 inches and across to find the MDMT that this material can be used without impact
testing is 63
o
F (17
o
C).
That doesn’t seem like an acceptable minimum design temperature for most vessels. This makes a Curve
B material a poor choice at 2” thickness.
Step 3 Figure UCS 66.1 Coincident Ratio
The Coincident Ratio is based on a vessel’s extra thickness due to its design calculations which were
based on its Maximum Temperature. Meaning that;
As metal’s temperature increases its strength decreases, hotter means weaker, therefore the allowable
stress is decreased during calculations resulting in vessel that requires thicker walls when hot than when it
is operating at its coldest temperature, the MDMT.
This ratio takes credit for the extra wall thickness that is present, but not needed to resist pressure at the
MDMT. The following graphic will help.
Usually when there is a drop in temperature there is also a drop in the pressure. The two operating
conditions are calculated and the Ratio is determined. This Ratio is given on the exam and you need only
use the table to apply this rule.
80
Coincident Ratio Figure UCS-66.1
Using the Coincident Ratio given in a problem we enter the graph on the left side at that value then across
to intersect the curve now down to find a temperature given. We take that temperature back to Table
UCS-66 and reduce the temperature given there for the material of interest by the amount we found using
Table UCS-66.1.
81
Example: The Coincident Ratio is given as .60. Now using our previous Table UCS-66 2” Curve B
material that has a MDMT of 63
o
F we adjust and find a new MDMT. Like this!
63 – 40 = 23
o
F our adjusted MDMT
Step 4
UCS-68(a) Design rules for carbon and low alloy steels stipulate requirements about construction of the
vessel or part. The main points are: mandatory joint types, required post weld heat
treatments below -55 °F unless the vessel is installed in a fixed (stationary) location, and the
coincident Ratio of stress is less than 0.35.
UCS-68(b) Welded joints must be postweld heat treated when required buy other rules of this Division
or when the MDMT is colder than -55°F and for vessel installed in a fixed (stationary)
location the coincident Ratio is 0.35 or greater.
UCS-68(c) Notice a reduction of 30°F below that of Figure UCS-66 for P-1 materials if post welded
heat treatment is performed when it is not otherwise required in the Code. This means that
30°F can be subtracted from the temperature found in Table UCS-66. If the adjusted
temperature is below that desire, Impact Tests are not required. It is exempt. If a statement
about heat treatment is made in a particular problem the task becomes finding out if heat
treatment was required or not. If it is not mentioned, it must be concluded that it was not
performed and therefore the exemption cannot be taken.
Example:
Givens:
Material SA-516-70 normalized (plate)
Thickness 2"
Min. Yield 38 KSI
MDMT -25 °F
Coincident Ratio = .85
Step 1: Check for the exemptions of UG-20(f)
82
Our material applies to Curve D of Figure UCS-66 and exceeds the 1“ limit for exemption. It also
exceeds and lower temperature limits - 20°F.
Our Material 516 Normalized is on Curve D below
FIG. UCS-66 IMPACT TEST EXEMPTION CURVES [SEE NOTES (1) AND (2)] [SEE UCS-66(A)]
83
Step 2: Checking Table UCS-66 and entering at our thickness of 2 inches on the left and moving across
to Curve D column, we find the MDMT of this thickness to be -4°F. This exemption does not
apply our goal is -25°F.
Step 3: Checking Fig. UCS-66.1 and entering at our stated Coincident Ratio of .85 and then down to
read the temperature reduction permitted we find 15°F.
84
Step 3: This 15°F is subtracted directly from the table UCS-66.
So we now have -4 from Table UCS-66
And -15 from Table UCS-66.1
-19 °F
Not there yet, we need -25 °F to be exempt from testing.
Step 4
UCS-68 (c) If postweld heat treating is performed when it is not otherwise a requirement of this
Division, a 30°F (17 °C) reduction in impact testing exemption temperature may be given to
the minimum permissible temperature from Fig. UCS-66 for P-No.1 materials.
P-1 materials (only) if post welded heat treatment is performed when it is not otherwise required.
This would occur if the note 2(b) of table UCS-56 for P No. 1 materials is complied with or if the vessel is
in general service and has no mandatory heat treatment requirements in the Code.
Checking UCS-68 (c), we find that we cannot take a reduction because PWHT is a requirement of UCS-
56 for this material's thickness of 2 inches.
Answer:
Impact tests are required for the desired MDMT of -25 °F.
So how must they be done?
85
UG-84 Charpy Impact Tests
UG-84(a) General
Charpy V-notch impact tests in accordance with the provisions of this paragraph shall be made on
weldments and all materials for shells, heads, nozzles, and other vessel parts subject to stress due to
pressure for which impact tests are required by the rules in Subsection C.
UG-84(b) Test Procedures
UG-84(b)(l) Impact test procedures and apparatus shall conform to the applicable paragraphs of SA-
370 or IS0 148 (Parts 1, 2, and 3).
UG-84(c) Test Specimens
UG-84(c) (1) Each set of impact test specimens shall consist of three specimens.
UG-84(c) (1) Each set of impact test specimens shall consist of three specimens.
UG-84(c) (2) The impact test specimens shall be of the Charpy V-notch type and shall conform in all
respects to Fig. UG-84.The standard (10 mm ×10 mm) specimens, when obtainable, shall
be used for nominal thicknesses of 0.438 in. (11.13 mm) or greater, except as otherwise
permitted.
.
86
UG-84(c)(6) When the * average value of the three specimens equals or exceeds the minimum value
permitted for a single specimen and the value for more than one specimen is below the
required average value, or when the value for one specimen is below the minimum value
permitted for a single specimen, a retest of three additional specimens shall be made. The
value for each of these retest specimens shall equal or exceed the required average value.
Example: Average required is 15 ft-lb (joules 20.4)
* 15 + 16 + 14 = 45/3 = 15 Passed.
* 18 + 14 + 13 = 45/3 = 15 Failed, more than one below 15
* 18 + 18 + 9 = 45/3 = 15 Failed, one below 2/3 of 15 = 10
UG-84(d)(1) Reports or certificates of impact tests by the material manufacturer will be acceptable
evidence that the material meets the requirements of this paragraph, provided the
specimens comply with UCS-85, UHT-5, or UHT-81, as applicable.
* This means you may not have to do impact tests on your base material because the manufacturer
has performed the tests already and they meet the Code requirements.
UG-84(f)(2) All test plates shall be subjected to heat treatment, including cooling rates and aggregate
time at temperature or temperatures as established by the Manufacturer for use in actual
manufacture.
Let’s try to interpret what this statement means in practical terms.
*Charpy tests must be conducted with the test coupon having received the minimum required PWHT. So if
a vessel underwent 2 hours of PWHT, then it has been proven that the 2 hours of PWHT did not make the
vessel subject to brittle fracture.
Now suppose you need to repair the vessel after having been in service. PWHT would be required again
for two hours where the repair was made. That local area will now have seen 4 hours of PWHT. Has the
additional 2 hours made it brittle? There is only one way to find out, more Charpy testing. Where do you
get the metal from for the Charpy coupons? Out of the vessel, which is not easy and very expensive? **
API 510 has an alternative method.
87
UG-84(g) Location, Orientation, Temperature, and Values of Weld Impact Tests
All weld impact tests shall comply with the following:
UG-84(g)(1) Each set of weld metal impact specimens shall be taken across the weld with the notch in
the weld metal. Each specimen shall be oriented so the notch is normal to the surface of
the material and one face of the specimen shall be within 1/16” (1.6 mm) of the surface of
the material.
Front View
88
UG-84(g)(2) Each set of heat affected zone impact specimens shall be taken across the
weld and of sufficient length to locate, after etching, the notch in the heat affected zone.
The notch shall be cut approximately normal to the material surface in such a manner as to
include as much heat affected zone material as possible in the resulting fracture.
89
UG-84(h) Impact Tests of Welding Procedure Qualifications
UG-84(h)(1) General. For steel vessels of welded construction, the impact toughness of the welds and
heat affected zones of the procedure qualification test plates shall be…...
UG-84(h)(2) When Required. Welding procedure impact tests shall be made when required by UCS-67,
UHT-82, or UHA-51. For vessels constructed to the rules of Part UCS, the test plate material
shall satisfy all of the following requirements……
(a) be of the same P-Number and Group Number;
(b) be in the same heat treated condition; and
(c) meet the minimum notch toughness requirements of UG- 84(c)(4) for the thickest
material of the range of base material qualified by the procedure.
(UG-84(h)(3) Material Over 1-1/2” Thick. When procedure tests are made on material over 1-1/2” (38
mm) thick, three sets of impact specimens are required.
One set of heat affected zone specimens shall be taken as described in (g)(2). Two sets of
impact specimens shall be taken from the weld with one located within 1/16” the surface of
one side of the material and one set taken as near as practical midway between the surface
and the center of thickness of the opposite side as described in (g).
90
Acceptance Values for Impact Tests
91
Lesson 9
Fillet Welds and Reinforcement
UW-16 Minimum Requirements for Attachment Welds at Openings
(a) General
(1) The terms: nozzles, connections, reinforcements, necks, tubes, fittings, pads, and other similar
terms used in this paragraph define essentially the same type construction and form a Category
D weld joint between the nozzle (or other term) and the shell, head, etc…
(2) The location and minimum size of attachment welds for nozzles and other connections shall
conform to the requirements of this paragraph in addition to the strength “path” calculations
required in UW-15. Not on exam!
These are variables that will apply to the Exam.
t = Nominal thickness of vessel shell or head, in.
t n = Nominal thickness of nozzle wall, in.
tmin = The smaller of 3/4 in. or the thickness of the thinner of the parts joined by a fillet, single-bevel,
or single-J weld, in.
tc = Not less than the smaller of 1/4 in. or 0.7tmin
t1 or t2 = Not less than the smaller of 1/4 in. or 0.7tmin
The fillet weld sizing of UW-16 can be solved in either of two ways. That is, you may determine if a fillet
weld leg size provides an adequate fillet weld throat size per Code or based on the thicknesses of the
shell and nozzle determine the minimum throat size required and convert that to leg size.
In the latter case, usually the leg size decimal value is rounded to the next fractional 1/16th inch. In these
examples we will work it both ways using the same shell and nozzle thicknesses. The examples will be
restricted to only Fig UW-16.1(i).
92
Problem: A nozzle is being attached to a shell as shown in Fig.UW-16.1 (i) using two equal size fillet
welds. The shell's thickness is 7/8 in. and the nozzle's thickness is 1/2 inch. The fillet welds are 3/8 inch in
leg size. Does this meet Code?
Case 1: Determine the minimum throat size.
From Fig. UW-16.1(i) we are given that:
min
2
1 t
4
1
1
t
+ 
t min.
2
1
t
.707
or
in.
4
1
of
smaller
the
than
less
not
t
or
t
From UW-16 we are given the following definitions:
tmin = the smaller of 3/4 in. or the thickness of the thinner of the two parts joined by a fillet weld.
t1 and t2 are the throat sizes of the welds as depicted in Fig. UW-16.1(i).
Step 1 Determine the throat size of a 3/8 in leg size fillet weld.
Throat size equals .707 times leg size.
0.707 x 0.375 in. = .265 in. = t 1 or t2
Step 2 Determine tmin
tmin = the smaller of 1/2 in or 3/4 in. So tmin = 1/2 in.
Step 3 Determine if:
min
2
1 t
4
1
1
t
+ 
t
"
625
.
.530"
.500"
25
.
1
.265"
+
"
265
.

 x
0.530" is neither greater than nor equal to .625". Therefore the first test fails and the throat size of the 3/8"
leg fillet weld is too small.
We could stop here and answer the question with a no, but let's finish up with the second test of size
required for an illustration of the technique required.
93
Step 4 Test to see if:
min.
2
1
t
.707
or
in.
4
1
of
smaller
the
than
less
not
t
or
t
Not less than the smaller of .250 in. or .707 x 1/2 in.
.707 x .500" = .353“
So not less than .250". Both t1 and t2 are .265".
.265 in. > .250 in. Fillet welds are adequate in the second test. However a fillet weld size must pass both
tests!
Case 2: Based on material thicknesses determine the minimum leg size of equal sized fillet welds to the
next 1/16th inch. In our problem thicknesses are 7/8 inch (shell) and 1/2 inch (nozzle). We have
already determined that 3/8 inch leg fillet welds are too small. So let's determine what size of
equal leg fillet welds are required rounded up to the next 1/16th inch.
The approach here is to find the value of 1-1/4 tmin and divide by 2 to find the throat of two equal sized
fillets welds. Then convert to leg size. It goes like this;
Step 1 Determine tmin
tmin = the smaller of 1/2 in or 3/4 in.
So tmin = 1/2 in.
Step 2 Determine .707 tmin
.707 x .500" = .353”
Step 3 Determine 1 1/4 tmin
1.25 x .500" = .625“
From Fig. UW-16.1(i) we are given that:
min
2
1 t
4
1
1
t
+ 
t
min.
2
1
t
.707
or
in.
4
1
of
smaller
the
than
less
not
t
or
t
Step 4.
First a 1/4" throat requires a leg size of .353” about 3/8 inches.
A : .625/2 = .3125 So .3125 + .3125 = 1 1/4 tmin
B : .3125 > .250 ( t1 or t2 minimum size is satisfied)
C : To convert throat to leg, divide the throat by .707
.3125/.707 = .4420 (Round up to the next 1/16”).
6/16 = .375 or 7/16 = .4375 or 8/16 = .500
.4375 < .4420 <.500
Answer leg size 1/2” (0.500”)
94
UG-36 Opening in Pressure Vessels
(3) Openings in vessels not subject to rapid fluctuations in pressure do not require reinforcement other
than that inherent in the construction under the following conditions:
(a) Welded, brazed, and flued connections meeting the applicable rules and with a finished
opening not larger than:
1. 3-1/2 in. (89 mm) diameter in vessel shells or heads 3/8 in. or less in thickness;
2. 2-3/8 in. diameter in vessel shells or heads over 3/8 in. in thickness;
The main things of interests in this paragraph to the API 510 inspector are the following:
(1) All references to dimensions apply to the finished construction after deduction for material added
as corrosion allowance.
(2) Openings not subject to rapid fluctuations in pressure do not require reinforcement other than that
inherent in the construction under the following conditions:
(a) The finished opening is not larger than:
3 1/2” diameter in vessel shells or heads 3/8” or less in thickness
2- 3/8” diameter in vessel shells or heads over 3/8” in thickness
(c) No two isolated un-reinforced openings, in accordance with the above shall have their centers
closer to each other than the sum of their diameters
UG-40 Limits of Reinforcement
This paragraph defines the distance in any direction that can count as reinforcement in your calculations.
This means that if a vessel wall has excess metal above that required by calculation, how far on each side
of the opening can you take credit for this extra metal as reinforcement? Also considered is how much of
the nozzle excess thickness above the hole in the vessel can be counted as reinforcement for the
opening.
UG-40 (a). You may not need to replace all of the metal removed.
Given as A: The dark cross hatched area is the diameter of the finished opening multiplied times the
minimum thickness that is the required by the calculations of UG-27 for a shell or UG -32 if
the opening is in a head, etc.
b. The vessel and the nozzle walls usually have excess thickness above that required to resist
pressure. This excess thickness is counted toward reinforcement. Corrosion allowance
cannot be included in areas A1 or A2 below.
95
Given as A1 and A2. The shaded areas are the extra metal.
c. If the nozzle extends inside the shell, within certain limits this nozzle metal can be counted,
less any corrosion allowance. The API 510 exam body of knowledge has excluded inward
projection from the test.
Given as A3 ****Note: Area 3 has been eliminated on the API 510 Body of Knowledge.
d. The welds used to attach the nozzle to the shell count as area available for reinforcement.
Interior weld area has been eliminated because the exam does not cover inward projections.
Given as A4 Out Side Fillet Only For Exam No Interior Projection on the Examination!
e. The required cross-sectional area shall be the area of the shell or head required to resist
pressure which is given as A. If the sum of A1+A2+A4 is equal to or greater than A the
opening is adequately reinforced If not, more reinforcement must be added. Usually this will
be in the form of a reinforcement pad. Its area is found as follows:
A - (A1+A2+A4) = Area required for the re-pad, thicker nozzle or, shell wall if the sum of the three is less
than A.
96
This type of problem can get complicated very quickly because of the number of steps involved. However,
the API 510 Exam Body of Knowledge has simplified this type of problem by doing this:
a. There will be no inward projection for the nozzle.
b. The nozzle will enter at 90 degrees to the shell or head (All F values are set to 1.0).
c. The opening will not pass through a Category A weld (All E values are set to 1.0).
d. Nozzles and shell will be of the same strength (All fr1, fr2 etc. values are set to 1.0).
e. Actual thickness and required thickness of shells and nozzles will be given within the problem (No
calculation for tr or tr n will be required).
f. The inspector should be able to compensate for corrosion allowance. Weld strength calculations are
excluded.
The API 510 Body of Knowledge has placed the following limits on reinforcement problems.
The inspector should:
a. Understand the key concepts of reinforcement.
1. Replacement of strength removed
2. Limits of reinforcement
3. Credit can be taken for extra metal in the shell and nozzle
b. Be able to calculate the required size of a reinforcement pad or to assure a designed pad is large
enough.
To simplify the problem:
1. All fr = 1.0
2. All F = 1.0
3. All E = 1.0
4. All thicknesses are given.
5. There will be no nozzle projecting inside the shell.
97
The original formulas
98
Crossing out the null values
99
The revised formula
Calculation of Reinforcement Example: For our example we will use the case given in Appendix L-7
Number 1. This is a simple case but serves to introduce the concepts required to begin to understand
what is required to calculate compensation problems. It is suggested that when practicing these problems,
or for that matter any of the others that you remove, if needed, the page which gives nomenclature for the
symbols used in the formulas you are applying, also any figures or tables that may be needed. In this way
you will not need to flip back and forth and there will be less chance for mistakes.
100
FIG. L-7.1 EXAMPLE OF REINFORCED OPENING
OPENINGS AND REINFORCEMENTSL-7 WELDED CONNECTIONSL-7.1 Example 1
A 4 inch I.D., 3/4 in. wall, nozzle conforming to a specification with an allowable stress of 15,000 psi is
attached by welding to a vessel that has an inside diameter of 30 in. and a shell thickness of 3/8 in.
The shell material conforms to a specification with an allowable stress of 13,700 psi. The internal
design pressure is 250 psi at a design temperature of 150°F. There is no allowance for corrosion.
The longitudinal joint meets the spot examination requirements of UW-52. The opening does not
pass through a vessel Category A joint (see UW-3). There are no butt welds in the nozzle. Check the
construction for full penetration groove-weld and for the 3/8 in. fillet cover-weld shown in Fig. L-7.l
Size of weld required [UW-16(c), Fig. UW-16.1 sketch (c)]:
tc = not less than the smaller of ¼ in. or 0.7 tmin
where;
tmin = lesser of 3/4 in. or the thickness less corrosion allowance of the thinner part joined
= lesser of 3/4 in. or 3/8 in.
tc (minimum) = lesser of ¼ in. or 0.707 (3/8), i.e., 1/4 in. or 0.263 in.
tc (actual) =0.7 (0.375) = 0.263 in.
0.263 in > 0.25 in
Cover weld is satisfactory. Strength calculations for attachment welds are not required for this
detail which conforms to Fig. UW-16.1 sketch (c) [see UW-15(b)]
fr1 = fr2 = 15.0/ 13.7 > 1.0;
Therefore, use fr1 = fr2 = 1.0
Continued
Area of reinforcement required
A1 = Larger of following
A1 = d(t-tr) = 4(0.375-0.277) 0.392 sq. in
A1 = 2(t+tn)(t-tr) = 2(0.75+0.375)(0.375-0.277) = 0.220 sq. in.
A2 = Smaller of following
A2 = 5(tn-trn)t = 5(0.75-0.034)0.375 = 1.34 sq. in.
A2 = 5(tn-trn)tn = 5(0.75-0.034)0.75 = 2.69 sq. in.
A41 = 2 x 0.5 x (0.375)2 = 0.141 sq in.
Area provided by A1 + A2 + A41 = 0.392+1.37+0.141 = 1.88 sq. in.
No Additional reinforcement is required!
101
Lesson 10
Materials, Name Plates, and Data Reports
UG-77 Material Identification
The material for pressure parts must be handled in a particular way per the Code. For instance, the Code
specifies that materials for parts of a vessel should be laid out and marked in such a way as to easily
maintain traceability after the vessel is completed.
Several techniques for identification markings are allowed and are described in this paragraph. Stamping
is the preferred method of marking vessel parts; however, as built drawings and tabulation sheets are also
acceptable. The manufacturer must maintain trace ability to the original markings.For instance, when
cutting parts for the vessel from plate the heat number stamped on the piece of plate should be
transferred prior to cutting the plate. They may be transferred immediately after cutting if a provision for
control of such transfers has been made in the Manufacturer's Quality Control System. If a particular
material should not be die stamped, plates must be made and attached with the required markings. A
record of these markings must be maintained which will allow positive identification of the vessel parts
after construction.
The part manufacturer can use only materials allowed by the Code. If a Code vessel manufacturer buys
parts that are formed, such as heads, from another, the manufacturer of the head shall transfer the
markings as applies to the material specification that the part is made from.
In addition, the part Manufacturer must supply a Partial Data Report. A Manufacturer's Partial Data Report
is not required if the part was formed or forged, etc., without the use of welding. The markings of the Part
Manufacturer must be present on the part.The highlights of this paragraph are as follows:
1. Plate is the only pressure vessel material that must always have a Mill Test Report (MTR) or
Certificate of Compliance (C of C) provided. The inspector shall examine these documents for
compliance to the material specification.
2. All other product forms must be marked in accordance with their material specification. For
example, pipe marked SA-106 gr. B.
3. All materials to be used in a vessel must be inspected before fabrication to find as best as is
possible defects, which would affect the safety of the vessel. The following describes the
inspections required.
a. Cut edges of and parts made from rolled plate for serious laminations, shearing cracks, etc.
b. Materials, which will be impact tested, must be examined for surface cracks.
c. When forming a Category C corner joint as shown in fig. UW 13.2 with flat plate thicker than
1/2 in., the flat plate must be examined before welding by magnetic particle or dye penetrant
nondestructive examination.
d. The inspector must assure himself that thickness and other dimensions of the material
comply with the requirements of this Division.
e. The inspector must verify welded repairs to defects.f. The inspector must verify that all
required tests have been performed and are acceptable (impact tests, NDE etc.).
g. The inspector must confirm material identification has been properly transferred.
h. The inspector must confirm that there are no dimensional or material defects, perform internal
and external inspections and witness pressure tests.
102
UG-116
Required Marking
The marking applied to a vessel's nameplate or directly to its shell are described in this paragraph. It is
important information. Often a vessel's Data Report is lost and the only information that is available is that
found on the Name Plate or the shell itself. In some cases the Name Plate is missing or sand blasted and
not readable. The following is a listing of what is required by the Code to be present on the Name Plate.
Required Marking
UG-116
(a) Each pressure vessel shall be marked with the following:
(1) (a) The official Code U Symbol shown in Fig. UG-116 sketch (a) on vessels inspected in
accordance with the requirements in UG-90 through UG-97 (when inspected by a user's
Inspector as provided in UG-91, the word USER shall be marked above the Code
Symbol); or
(b) The official UM Symbol shown in Fig. UG-116 sketch (b) on vessels constructed in
accordance with the provisions in U- 1 (j).
(2) Name of the Manufacturer of the pressure vessel preceded by the words "certified by";
(3) Maximum allowable working pressure _____________at temperature _____________.
(4) Maximum allowable external working pressure at temperature ;
(5) Minimum design metal temperature at maximum allowable working pressure;
(6) Manufacturer's serial number;
(7) Year built.
(b) (l) The type of construction used for the vessel shall be indicated directly under the Code Symbol
by applying the appropriate letter(s) as follows: vessels having Category A, B, or C joints (except
nozzles or other openings and their attachment) in or joining parts of the vessels:
103
(2) Vessels embodying a combination of types of construction shall be marked to indicate all of
the types of construction used.
(c) When a vessel is intended for special service and the special requirements have been
complied with [see UG-120(d)], the appropriate lettering shall be applied as listed below:
Lethal Service L
Unfired Steam Boiler UB
Direct Firing DF
This lettering shall be separated by a hyphen and applied after the lettering of (b) above.
(e) When radiographic or ultrasonic examination has been performed on a vessel in accordance with
UW-1 I, marking shall be applied under the Code Symbol as follows:
(1) "RT 1" when all pressure-retaining butt welds, other than Category B and C butt welds associated
with nozzles and communicating chambers that neither exceed NPS 10 (DN 250) nor 1-1/8 in. (29
mm) wall thickness [except as required by UHT-57(a)], satisfy the full radiography requirements of
UW-1 l(a) for their full length; full radiography of the above exempted Category B and C butt
welds, if performed, may be recorded on the Manufacturer's Data Report; or
(2) "RT 2" when the complete vessel satisfies the requirements of UW-1 l(a)(5) and when the spot
radiography requirements of UW-11(a)(5)(b) have been applied; or
(3) "RT 3" when the complete vessel satisfies the spot radiography requirements of UW-11 (b); or
(4) "RT 4" when only part of the complete vessel has satisfied the radiographic requirements of UW-
11(a) or where none of the markings "RT 1," "RT 2," or "RT 3" are applicable.
The extent of radiography and the applicable joint efficiencies shall be noted on the Manufacturer's Data
Report.
104
The letters HT must be used when the entire vessel has been Postweld heat treated.
The letter PHT when only part of the vessel has received partial Postweld heat treatment.
Code symbol must be applied after hydro or pneumatic test.
Parts of vessels for which Partial Data Report are required shall be marked by the parts manufacturer
with the following:
a. "PART"
b. Name of the Manufacturer
c. The manufacturer's serial number.
UG-119 Nameplates
In this paragraph are the details of nameplates, including such things as the size and methods of
markings allowed. The nameplate must be located within 30 in. of the vessel and must be thick enough to
resist distortion when stamping is applied. The types of acceptable attachment types include welding,
brazing, and tamper resistant mechanical fasteners of metal construction. Adhesive attachments may be
used if the provisions of Appendix 18 are met. An additional nameplate may be used if it is marked with
the words "DUPLICATE". On previous tests some questions have come from this paragraph.
UG-120 Data Reports
Data Reports must prepared on form U-1 or U-1A for all vessels that the Code Symbol will be applied to.
The Manufacturer and the Inspector must sign them. A single Data Report may represent all vessel made
in the same day production run if they meet all of the requirements listed in UG-120.
A copy of the Manufacturer's Data Report must be furnished to the User and upon request the Inspector.
The manufacturer must either keep a copy of the Data Report on file for 5 years or register the vessel and
file the Data Report with the National Board of Boiler and Pressure Vessel Inspectors.
105
Lesson 11
Corrosion Calculations
Corrosion Example Problems A 60 foot tower consisting of four (4) shell courses was found to have
varying corrosion rates in each course. Minimum wall thickness readings were taken after 4 years and 6
months of service. All original wall thicknesses included a 1/8" corrosion allowance.
The top course's original thickness was .3125". The present thickness is .3000". The second course
downward had an original thickness of .375".
During the inspection it was found to have a minimum wall thickness of .349". The third course was
measured at .440" its original thickness was .500". The bottom course had an original thickness of .625"
and measured to be .595".Determine the metal loss for the top course, the corrosion rate for the second
course, the corrosion allowance remaining in the third course, the retirement date for the bottom course.
Solutions
TOP COURSE:
Metal loss equals the previous thickness minus the present thickness.
Previous .3125"
Present -.3000"
.0125" Metal Loss
SECOND COURSE
Corrosion rate equals metal loss per given unit of time.
Previous .3750“
Present - .3490"
.0260"
Corrosion Rate s = = .006"/ Per Year (rounded)
years
Time
Loss
5
.
4
"
0260
.
106
THIRD COURSE
Remaining Corrosion Allowance equals the actual thickness minus the required thickness.
Original Thickness .500"
Original C. A. -.125"
Required Wall Thickness .375"
Actual Wall Thickness .440"
Required Wall -.375"
Remaining C.A. .065“
BOTTOM COURSE
Remaining life equals the remaining corrosion allowance divided by the corrosion rate.
1. Required Thickness
Original Thickness . 625"
Original C. A. -.125"
Required Thickness .500“
2. Remaining Corrosion Allowance
Actual Wall Thickness .595“
Required Thickness -.500"
Remaining Corr. Allow ..095“
3. Corrosion Rate
Original Thickness .625"
Present Thickness -.595“
Metal Loss .030"
Metal Loss .030“ = Corrosion Rate = .0067"/Yr.
Time 4.5 Years
4. Remaining Life
Corrosion Allowance.095“ = 14.2 Yrs. Remaining Life
Corrosion Rate .0067"/Yr.
107
Just Milling Around
In the previous examples we calculated using decimal fractions of an inch such as .006”. However
questions on the exam often have the format of Mils or thousandths of and inch. So if you are not familiar
with this terminology here are some examples.
.1 = 1/10 of an inch
.01 = 1/100 of an inch
.001 = 1/1000 of an inch or 1 Mil. This is what is used.
Take our example above .006” this translates to 6 Mils.
.0067” translates to 6.7 Mils.
Time
A year has 12 parts. The next issue is how you handle the odd months in a year. It is all good when it has
been an even number of years. However what about 2 years and 5 months?
Five months is 5/12th of a year. 5/12 = .416 years rounded to 3 places. Of course 6 months is then 6/12 or
.5 years.
Example: Based on 4.416 years and a metal loss of 50 Mils we have;
Metal Loss 50 Mils = Corrosion Rate = 11.3 Mils/Yr.
108
Time 4.416 Years
Can there be two Corrosion Rates?
Yes, in the API 510 there are, the Long Term and Short Term. Here is the Long Term. From API 510 7.1
page 7-1
The long term corrosion rate (LTCR) shall be calculated from the following formula:
The short term corrosion rate shall be calculated from the following formula:
tinitial = the thickness, in inches(millimeters), at the same location as t actual measured at the
initial installation or at the commencement of a new corrosion rate environment.
tprevious = the thickness, in inches(millimeters), at the same location as t actual measured during a
previous inspection.
Long-term and short-term corrosion rates should be compared to as part of the data assessment. The
authorized inspector, in consultation with a corrosion specialist, shall select the corrosion rate that best
reflects the current process.
109
Corrosion Example Problems
Example:
A vessel shell had a second set of ultrasonic thickness measurements after 1 year of service, the original
baseline wall thickness was 0.500”, and the second set revealed that the shell was now at 0.489”. Five
years later a third set of wall readings were taken and the shell was measured to be 0.459”.
What value should be used in the Remaining Life calculations? Comparing short term to long term
corrosion we find the following values. Normally the most aggressive will be used and in this case it will be
the Long Term Corrosion Rate.
L.T. = = 6.8 Mils/ year
S.T. = = 6 Mils/ year
The remaining life of the vessel shall be calculated from the following formula:
Remaining life (years) =
tactual = the actual minimum thickness, in inches determined at the time of inspection for a
given location or component.
trequired = the required thickness in inches at the same location or component as the t actual
measurement computed by the design formulas (e.g. , pressure and structural)
before corrosion allowance and manufacturer’s….
years
6
0.459
0.500-
years
5
0.459
-
0.489
110
Example: Determine Remaining life of the vessel shell course in the example above. T required
thickness of the shell course is 0.388” (known as tminimum). Compare S.T. and L.T.
corrosion rates as follows:
S.T. rate = 0.006” or 6 Mils a year
L.T. rate = 0.0068” or 6.8 Mils a year
Therefore we will use the most aggressive corrosion rate found to be the Long Term Rate.
Remaining life (years) =
What would be the maximum length of time before the next inspection?
ANS: ½ the Remaining Life or 10 years whichever is less.
Therefore: 17.79/2 = 8.895 years
What would be the maximum length of time before the next inspection?
From: API 510 page 6-2
6.4 Internal an On-Stream Inspection
The period between internal or on-stream inspections shall not exceed one half the estimated remaining
life of the vessel based on corrosion rate or 10 years, whichever is less. In cases where the remaining
safe operating life is estimated to be less than 4 years, the inspection interval may be the full remaining
safe operating life up to a maximum of 2 years.ANS: ½ the Remaining Life or 10 years whichever is less.
Therefore: 17.79/2 = 8.895 years
Yrs
Mils
Mils
79
.
17
8
.
6
121
"
0068
.
0
"
121
.
0
year
a
0.0068"
0.338"
-
0.459"



111
Corrosion and Minimum Thickness
For a corroded area of considerable size in which the Circumferential Stress Govern, the least thickness
along the most critical element of the area may be averaged over a length not exceeding the following:
1. For vessels with the inside diameters less than or equal to 60 inches one half the vessel diameter
or 20 inches whichever is less 2. For vessels with the inside diameters greater than 60 inches one
third the vessel diameter or 40 inches whichever is less.
When the area contains an opening the distance on either side of the opening within which the
thicknesses are averaged shall not extend beyond the limits of the reinforcement as defined in the ASME
Code.
See Fig. UG-37 and refer to reinforcement calculations for determining the extra metal in the shell.
For Limits:
d ( t – tr) or 2(t + tn) ( t – tr)
Use the Larger
112
Widely scattered pits may be ignored as long as the following are true:
1. The remaining thickness below the pit is greater than one-half the required thickness. (1/2 t
required)
1.0” – 0.125” = 0.875” the required thickness
Therefore no pit equal to 0.875”/2 = 0.4375” or greater!
Pit #3 à 0.402 < 0.4375” Acceptable.
2. The total area of the pits does not exceed 7 square inches (45 sq. centimeters) within any
8 inch (20 centimeter) diameter circle.
We will assume the pits to be circles and use the formula Pi x Radius Squared to determine the
area of each pit.
Pit # One 3.141 x (0.170/2) 2 = 0.085 2 = 0.0226 sq. in.
Pit # Two 3.141 x (0.330/2) 2 = 0.165 2 = 0.0855 sq. in.
Pit # Three 3.141 x (0.250/2) 2 = 0.125 2 = 0.0490 sq. in.
Pit # Four 3.141 x (0.377/2) 2 = 0.1185 2 = 0.1116 sq. in.
Total: 0.2678 sq. in.
Less than 7 sq. inches Acceptable
3. The sum of their dimensions along any straight line within the circle does not exceed 2 inches
Straight line for pits 1-3-4
#1. 0.170”
#3. 0.250”
#4. 0.377”
Total 0.797” < 2 inches Acceptable
113
Weld Evaluation
When the surface at a weld with a joint factor other than 1.0 as well as the surfaces remote from the weld
is corroded, an independent calculation using the appropriate weld joint factor must be made to determine
if thickness at the weld or remote from the weld governs the allowable working pressure.
For this calculation the surface at a weld includes 1 inch on either side of the weld, (measured from the
toe of the weld), or twice the minimum thickness on either side of the weld, whichever is greater.
Head Evaluation
When measuring the corroded thickness of ellipsoidal and torispherical heads the governing thickness
may be as follows:
1. The thickness of the knuckle region with the head rating calculated by the appropriate head
formula.
2. The thickness of the central portion of the dished region in which case the dished region may be
considered to be a spherical segment whose allowable pressure is calculated by the Code
formula for spherical shells.
114
3. For calculating the spherical portion using the spherical formula the following applies to find the
spherical radius L:
a. L = the OD of the Torispherical head
b. L = the ID of the shell times 90% for 2 to 1 Ellipsoidal heads
115
Lesson 12
Overview
Section IX Article I
Welding General Requirements
QW – 100 GeneralSection IX of the ASME Boiler and Pressure Vessel Code relates to the qualification of
welders, welding operators, brazers, and brazing operators, and the procedures that they employ in
welding and brazing. It is divided into two parts: Part QW gives requirements for welding and Part QB
contains requirements for brazing.
• Other Sections of the Code may specify different requirements than those specified by this Section. Such
requirements take precedence over those of this Section, and the manufacturer or contractor shall comply
with them.
QW – 100.1 A Welding Procedure Specification•(WPS) is a written document that provides direction to
the welder or welding operator for making production welds in accordance with Code requirements.
• When a WPS is to be prepared by the manufacturer or contractor, it must address, as a minimum,
the specific variables, both essential and nonessential, as provided in Article II for each process to
be used in production welding.
• As a minimum, the PQR shall document the essential variables and other specific information
identified in Article II for each process used during welding the test coupon and the results of the
required testing.
QW – 100.2• In performance qualification, the basic criterion established for welder qualification is to
determine the welder’s ability to deposit sound weld metal.
• The purpose of the performance qualification test for the welding operator is to determine the
welding operator’s mechanical ability to operate the welding equipment.
QW – 141 Mechanical Tests Mechanical tests used in procedure or performance qualification are as
follows:
QW – 141.1 Tension Tests QW – 141.2 Guided-Bend Tests
…as described in QW-150 are used to determine
the ultimate strength of groove-weld joints.
…as described in QW-160 are used to determine
the degree of soundness and ductility of groove-
weld joints.
QW – 142 Special Examinations for Welders•Radiographic examination may be substituted for
mechanical testing of QW-141 for groove-weld performance qualification as permitted in QW-304 to
prove the ability of welders to make sound welds.
• Note Radiography can not be used to qualify a Welding Procedure. Only a welder can be tested by
radiography and then only on the metals listed in QW-304
116
QW – 151.1 Reduced Section – Plate
Reduced section specimens conforming to the requirements given in QW-462.1(a) may be used for
tension tests on all thicknesses of plate.
(a) For thicknesses up to and including 1 in a full thickness specimen shall be used for each required
tension test.
(b) For plate thickness greater than 1 in., full thickness specimens or multiple specimens may be
used, provided QW-151.1(c) and QW-151.1(d) are complied with.
(c) When multiple specimens are used, in lieu of full thickness specimens, each set shall represent a
single tension test of the full plate thickness. Collectively, all of the specimens required to
represent the full thickness of the weld at one location shall comprise a set.
(d) When multiple specimens are necessary, the entire thickness shall be mechanically cut into a
minimum number of approximately equal strips of a size that can be tested in the available
equipment. Each specimen of the set shall be tested and meet the requirements of QW-153
Example: 3.5” (89 mm) in 1” (25 mm) Capacity TS Machine
117
QW – 152 Tension Test Procedures The tension test specimen shall be ruptured under tensile load. The
tensile strength shall be computed by dividing the ultimate total load by the least cross sectional
area of the specimen as calculated from actual measurements made before the load is applied.
Example: .750 width x .456 thick = .342 sq. inch (area)
24050 lbs/.342 sq. inch = 70,321.6 Pounds Sq. Inch
AREA SQ
INCHES (MM)
.
.
X
LOAD
TENSILE
STRENGTH
118
119
QW-153 Acceptance Criteria Tension Tests
Minimum values for procedure qualification are provided under the column heading “Minimum Specified
Tensile, ksi” of QW/QB- 422. In order to pass the tension test, the specimen shall have a tensile strength
that is not less than:
(a) The minimum specified tensile strength of the base metal; or
(b) The minimum specified tensile strength of the weaker of the two, if base metals of different
minimum tensile strengths are used; or…
(c) The minimum specified tensile strength of the weld metal when the applicable Section provides for
the use of weld metal having lower room temperature strength than the base metal; or…
(d) If the specimen breaks in the base metal outside of the weld or weld interface, the test shall be
accepted as meeting the requirements, provided the strength is not more than 5% below the
minimum specified tensile strength of the base metal. (Note: (d) will be the acceptance paragraph
for the majority of welding procedures and used during the WPS/PQR review.)
QW – 163 Acceptance Criteria – Bend TestsThe weld and heat-affected zone of a transverse weld-bend
specimen shall be completely within the bent portion of the specimen after testing.
The guided-bend specimens shall have no open discontinuities in the weld or heat-affected zone
exceeding 1/8 in. (3.2 mm), measured in any direction on the convex surface of the specimen after
bending. Open discontinuities occurring on the corners of the specimen during testing shall not be
considered unless there is definite evidence that they result from lack of fusion, slag inclusions, or other
internal discontinuities.
QW-171 Notch Toughness Tests Charpy V-Notch
QW-171.1 General
Charpy V-notch impact tests shall be made when required by other Sections. Test procedures and
apparatus shall conform to the requirements of SA-370.
QW-171.2 Acceptance
The acceptance criteria shall be in accordance with the Section specifying impact requirements.
QW-171.3 Location and Orientation of Test Specimen
The impact test specimen and notch location and orientation shall be as given in the Section requiring
such tests.
120
QW-191 Volumetric NDE
QW-191.1 Radiographic Examination
QW-191.1.1 Method
(a) A written radiographic examination procedure is not required.
(b) The requirements of T-285 Article 2 of Section V are to be used only as a guide.
QW-191.1.2 Acceptance Criteria
Welder and welding operator performance tests by radiography of welds in test assemblies shall be
judged unacceptable when the radiograph exhibits any imperfections in excess of the limits specified
below.
(a) Linear Indications
(1) Any type of crack or zone of incomplete fusion or penetration
(2) Any elongated slag inclusion which has a length greater than
(a) 1⁄8 in. (3 mm) for t up to 3⁄8 in. (10 mm), inclusive
(b) 1⁄3t for t over 3⁄8 in. (10 mm) to 21⁄4 in. (57 mm), inclusive
(c) 3⁄4 in. (19 mm) for t over 21⁄4 in. (57 mm)
(3) Any group of slag inclusions in line that have an aggregate length greater than t in a length of
12t, except when the distance between the successive imperfections exceeds 6L where L is
the length of the longest imperfection in the group
QW-191.1.2.3 Production Welds. The acceptance criteria for welders or welding operators who qualify
on production welds by radiography as permitted in QW-304.1 or QW-305.1 shall be per QW-191.1.2.2.
QW-191.2 Ultrasonic Examination
QW-191.2.1 Method
(a) The ultrasonic examination in QW-142 for welders and in QW-143 for welding operators may be
conducted on test welds in material 1⁄2 in. (13 mm) thick or greater.
(b) Ultrasonic examinations shall be performed using a written procedure verified by the manufacturer to
be in compliance with paragraph T-150, Article 1, Section V and the requirements of Article 4, Section
V for methods, procedures, and qualifications.
(c) Ultrasonic examination personnel shall meet the requirements of QW-191.2.2.
QW-191.2.2 Personnel Qualifications and Certifications
(a) The Manufacturer shall verify all personnel performing ultrasonic examinations for welder and welding
operator qualifications have been qualified and certified in accordance with their employer’s written
practice.
(b) The employer’s written practice for qualification and certification of examination personnel shall meet
all applicable requirements of SNT-TC-1A1 for the examination method and technique.
(c) Alternatively, the ASNT Central Certification Program (ACCP) or CP-1891 may be used to fulfill the
examination and demonstration requirements of SNT-TC-1A and the employer’s written practice.
121
QW-191.2.2 Personnel Qualifications and Certifications (Continued)
(d) Provisions for the training, experience, qualification, and certification of NDE personnel shall be
described in the Manufacturer’s Quality Control System.
QW-191.2.3 Acceptance Criteria for Qualification
Test Welds. Indications shall be sized using the applicable technique(s) provided in the written procedure
for the examination method. Indications shall be evaluated for acceptance as follows:
(a) All indications characterized as cracks, lack of fusion, or incomplete penetration are unacceptable
regardless of length.
(b) Indications exceeding 1⁄8 in. (3 mm) in length are considered relevant, and are unacceptable when
their lengths exceed
(1) 1⁄8 in. (3 mm) for t up to 3⁄8 in. (10 mm).
(2) 1⁄3t for t from 3⁄8 in. to 21⁄4 in. (10 mm to 57 mm).
(3) 3⁄4 in. (19 mm) for t over 21⁄4 in. (57 mm), where
t is the thickness of the weld excluding any allowable reinforcement. For a butt weld joining two
members having different thicknesses at the weld, t is the thinner of these two thicknesses. If a full
penetration weld includes a fillet weld, the thickness of the throat of the fillet shall be included in t.
QW-191.2.4 Acceptance Criteria for Production Welds
The acceptance criteria for welders or welding operators who qualify on production welds by ultrasonic
examination as permitted in QW-304.1 or QW-305.1 shall be per QW-191.2.3.
QW-191.3 Record of Tests. The results of welder and welding operator performance tests evaluated by
volumetric NDE shall be recorded in accordance with QW-301.4.
122
Article II
Welding Procedure Qualifications
QW – 200.1
Each manufacturer and contractor shall prepare written Welding Procedure Specifications which are
defined as follows:
(a) Welding Procedure Specification (WPS). A WPS is a written qualified welding procedure prepared
to provide direction for making production welds to Code requirements.
(b) Contents of the WPS. The completed WPS shall describe all of the essential, nonessential, and,
when required, supplementary essential variables (supplementary variables will not be on the
exam) for each welding process used in the WPS.(c) Changes to the WPS. Changes may be made
in the nonessential variables of a WPS to suit production requirements without requalification
provided such changes are documented with respect to the essential, nonessential, and, when
required, supplementary essential variables for each process. This may be by amendment to the
WPS or by use of a new WPS.
Changes in essential or supplementary essential (when required) variables require requalification of the
WPS (new or additional PQR s to support the change in essential or supplementary essential variables).
(d) Format of the WPS. The WPS may be in any format, written or tabular, to fit the needs of each
manufacturer or contractor, as long as every essential, nonessential, and, when required (not
required on the exam), supplementary essential variables outlined in QW-250 through QW-280
is included or referenced.
The WPS/PQR forms of Section IX are not mandatory.
(e) Availability of the WPS. A WPS used for Code production welding shall be available for reference
and review by the Authorized Inspector (AI) at the fabrication site.
123
QW – 200.2
Each manufacturer or contractor shall be required to prepare a procedure qualification record which is
defined as follows.
(a) Procedure Qualification Record (PQR). A PQR is a record of the welding data used to weld a test
coupon. The PQR is a record of variables recorded during the welding of the test coupons.
(b) Contents of the PQR. The completed PQR shall document all essential and, when required,
supplementary essential variables of QW- 250 through QW-280 for each welding process used
during the welding of the test coupon.
Nonessential or other variables used during the welding of the test coupon may be recorded at the
manufacturer’s or contractor’s option.
(c) Changes to the PQR. Changes to the PQR are not permitted except as described below. It is a
record of what happened during a particular welding test. Editorial corrections or addenda to the
PQR are permitted. An example of an editorial correction is an incorrect P-Number, F-Number, or
A-Number that was assigned to a particular base metal or filler metal. An example of an addendum
would be a change resulting from a Code change.
All changes to a PQR require recertification (including date) by the manufacturer or contractor. (New PQR
form and signature)
(e) Availability of the PQR. PQR’s used to support WPS’s shall be available, upon request, for review
by the Authorized Inspector (AI).. (You have the right to review).
The PQR need not be available to the welder or welding operator.
(f) Multiple WPS s With One PQR/Multiple PQR s With One WPS. Several WPS’ s may be
prepared from the data on a single PQR (e.g., a 1G plate PQR may support WPS’s for the F, V, H,
and O positions on plate or pipe within all other essential variables). A single WPS may cover
several essential variable changes as long as a supporting PQR exists for each essential and,
when required,
QW – 200.3 To reduce the number of welding procedure qualifications required, P-Numbers are
assigned to base metals dependent on characteristics such as composition, weldability, and
mechanical properties, where this can logically be done; and for steel and steel alloys (QW/QB-422)
Group Numbers are assigned additionally to P-Numbers.
These Group Numbers classify the metals within P-Numbers for the purpose of procedure qualification
where notch-toughness requirements are specified. (Group numbers are required on the PQR only
when Charpy testing is required of the production welds).
124
QW-203 Limits of Qualified Positions for Procedures
Unless specifically required otherwise by the welding variables (QW-250), a qualification in any position
qualifies the procedure for all positions. The welding process and electrodes must be suitable for use
in the positions permitted by the WPS. A welder or welding operator making and passing the WPS
qualification test is qualified for the position tested. See QW-301.2.
QW-211 Base Metal
The base metals may consist of plate, pipe, or other product forms. Qualification in plate also qualifies for
pipe welding and vice versa.
Welding Processes on the Exam
 Shielded Metal Arc Welding (SMAW)
 Submerged Arc Welding (SAW)
 Gas Metal and Flux Core Arc Welding (GMAW –FCAW)
 Gas Tungsten Arc Welding (GTAW)
QW – 251 General
QW – 251.1 Types of Variables for Welding Procedure Specifications (WPS)
These variables (listed for each welding process in QW-252 through QW-265) are subdivided into
essential variables, supplementary essential variables, and nonessential variables (QW-401).
The “Brief of Variables” listed in the Tables are for reference only. See the complete variable in Welding
Data of Article IV.
QW-251.2 Essential Variables Essential variables are those in which a change, as described in the
specific variables, is considered to affect the mechanical properties of the weldment, and shall require
requalification of the WPS.
Supplementary variables will not be on the exam WPS/PQR review questions.
All of the welding processes recognized by Section IX have a table that is referred to as the Brief Of
Variables. This Brief of Variables table references full explanations of each variable listed and the
explanations are found in Article 4 of Section IX. Well go over some of these tabular variables for each
process in order.
QW-253 SMAW
Take a look now at the top of QW-253 located on
Notice the first row of variables listed are QW-402 Joints, with four entries, Groove design, Backing,
Root spacing and, Retainers.
125
Also take notice of the Legend at the bottom of the page, which explains the symbols used with the
variables of the tables
QW-402.1 Explains what is meant by this (a change) in groove design.
QW-253
QW-402.1 A change in the type of groove (Vee-groove. U-groove, single-bevel, double-bevel, etc.)
QW-402.2 The addition or delection of a backing.
126
SUPPLEMENTARY ESSENTIALS ARE NOT ON EXAM
127
The Basic Variables are Identical in most Processes – Joints – Base Metals
Some Variables are shared such as F-Number and some are unique to a Process – Flux Wire Class
– Alloy Flux – Supplemental
You Should Study All Four
Study the differences by reading the complete variable listings in Article IV for each of the
processes.
SMAW – SAW - GMAW/FCAW - GTAW
128
Article III
Welding Performance QualificationsQW-300.1
This Article lists the welding processes separately, with the essential variables that apply to welder and
welding operator performance qualifications.
A welder or welding operator may be qualified by radiography of a test coupon, radiography of his initial
production welding, or by bend tests taken from a test coupon except as stated in QW-304 and QW-305.
QW-301.1 Intent of Tests
The performance qualification tests are intended to determine the ability of welders and welding operators
to make sound welds.
QW-301.2 Qualification Tests
• The performance qualification test shall be welded in accordance with a qualified (WPS), except that
when performance qualification is done in accordance with a WPS that requires preheat or postweld
heat treatment, these may be omitted.
• The welder or welding operator who prepares the WPS qualification test coupons meeting the
requirements of QW-200 is also qualified within the limits of the performance qualifications, listed in
QW-304 for welders and in QW-305 for welding operators.
• He is qualified only within the limits for positions specified in QW-303.
QW-302 Type of Test Required
QW-302.1 Mechanical Tests. Except as may be specified for special processes (QW-380), the type and
number of test specimens required for mechanical testing shall be in accordance with QW-452. Groove
weld test specimens shall be removed in a manner similar to that shown in figures QW-463.2(a) through
QW-463.2(g). Fillet weld test specimens shall be removed in a manner similar to that shown in figures
QW-462.4(a) through QW-462.4(d) and figure QW-463.2(h).
All mechanical tests shall meet the requirements prescribed in QW-160 or QW-180, as applicable.
QW-302.2 Volumetric NDE. When the welder or welding operator is qualified by volumetric NDE, as
permitted in QW-304 for welders and QW-305 for welding operators, the minimum length of coupon(s) to
be examined shall be 6 in. (150 mm) and shall include the entire weld circumference for pipe(s), except
that for small diameter pipe, multiple coupons may be required, but the number need not exceed four
consecutively made test coupons.
The examination technique and acceptance criteria shall be in accordance with QW-191.
129
QW-302.2 Radiographic Examinations
When the welder or welding operator is qualified by radiographic examination, the minimum length of
coupon (s) to be examined shall be 6 in. and shall include the entire weld circumference for pipe (s),
except that for small diameter pipe, multiple coupons may be required, but the number need not exceed
four consecutively made test coupons.
The radiographic technique and acceptance criteria shall be in accordance with QW-191.
QW-304 Welders
Except for the special requirements of QW-380, each welder who welds under the rules of the Code shall
have passed the mechanical and visual examinations prescribed in QW-302.1 and QW-302.4
respectively. Alternatively, welders may be qualified by volumetric NDE per QW-191 when making a
groove weld using SMAW, SAW, GTAW, PAW, and GMAW (except short-circuiting mode for radiographic
examination) or a combination of these processes, except for P-No. 21 through P-No. 26, P-No. 51
through P-No. 53, and P-No. 61 through P-No. 62 metals. Welders making groove welds in P-No. 21
through P-No. 26 and P-No. 51 through P-No. 53 metals with the GTAW process may also be qualified by
volumetric NDE per QW-191. The volumetric NDE shall be in accordance with QW-302.2.
A welder qualified to weld in accordance with one qualified WPS is also qualified to weld in accordance
with other qualified WPSs, using the same welding process, within the limits of the essential variables of
QW-350.
QW-304.1 Examination. Welds made in test coupons for performance qualification may be examined by
visual and mechanical examinations (QW-302.1, QW-302.4) or by volumetric NDE (QW-302.2) for the
process(es) and mode of arc transfer specified in QW-304. Alternatively, a minimum 6 in. (150 mm) length
of the first production weld(s) made by a welder using the process(es) and/or mode of arc transfer
specified in QW-304 may be examined by volumetric NDE.
QW-322.1 Expiration of Qualification
The performance qualification of a welder or welding operator shall be affected occurs:
(a) When he has not welded with a process during a period of 6 months or more, his qualifications for
that process shall expire; unless, within the six month period, (1) a welder has welded using
manual or semiautomatic welding process which will maintain his qualification.
(2) A welding operator has welded with a machine or automatic welding process which will
maintain.
(b) When there is a specific reason to question his ability to make welds that meet the specification,
the qualifications and shall be revoked. All other qualifications not questioned remain in effect.
130
QW-322.2 Renewal of Qualification
(a) Renewal of qualification expired under QW-322.1(a) above may be made for any process by
welding a single test coupon of either plate or pipe, of any material, thickness or diameter, in any
position, and by testing of that coupon as required by QW-301 and QW-302.
(b) Welders and welding operators whose qualifications have been revoked under QW-322.1(b)
above shall requalify. Qualification shall utilize a test coupon appropriate to the planned
production work. The coupon shall be welded and tested as required by QW-301 and QW-302.
Successful test restores the qualification.
QW-353 Shielded Metal-Arc Welding (SMAW)
Essential Variables
Using SMAW as the process the Paragraph Brief of Variables follows:
Notice the welder has only essential variables, where as the WPS/PQR can have both essential and non-
essential variables.
131
Article IV
Welding Data
QW – 401 General
A change from one welding process to another welding process is an essential variable and requires
requalification.
QW – 401.1 Essential Variables (Procedure)
A change in a welding condition which will affect the mechanical properties (other than notch toughness)
of the weldment (for example, change in P-Number, welding process, filler metal, electrode, preheat or
Postweld heat treatment, etc.).
QW – 401.2 Essential Variable Performance
A change in a welding condition which will affect the ability of a welder to deposit sound weld metal (such
as a change in welding process, deletion of backing, electrode, F-Number, technique, etc.).
Supplemental Essential Variables are not on the Exam.
QW – 401.4 Nonessential Variable Procedure
A change in a welding condition which will not affect the mechanical properties of a weldment (such as
joint design, method of back gouging or cleaning, etc.).
QW-402.1 Here are examples of complete descriptions of two non-essential variables that
correspond to the blocks on the SMAW QW-253 Brief of Variables.
A change in the type of groove (Vee groove, U-groove, single-bevel, double-bevel, etcetera).
QW-402.2
The addition or deletion of a backing
132
QW- 420.1
P-Numbers/S-Numbers will be Limited to Welding Only
133
QW-422
P-Number and S-Numbers
About 52 Pages
134
QW-424
Base Metals for Procedure Qualification
135
Filler Metal Number Listings
136
7 Pages of Filler Metal Numbers
137
This table lists what a welder is qualified for based on F-Number used during a test
138
QW-433 All other F-numbers are listed in this table
139
QW-451.1
140
Diameter Limitations for Welders
141
QW-461.4
Welding Test Positions for Plate and Pipe Groove Welds
142
QW-461.9
Summary of Welder's Qualifications Based on Type of Test
143
Lesson 13
Writing a Welding Procedure Specification
SECTION IX
Qualifying a Welding Procedure by Essential Variables
When qualifying a welding procedure you must first determine the important properties of the planned
weldment which then become the essential variables. The basic ones are:
• Base metal to be welded and thickness (T) required.
• Process (es) to be used including filler metal (s).
• Preheat.
• Postweld heat treatment or the lack thereof.
• Various others specific to the welding process used.
For this instruction we will use the SMAW Process. The brief of Essential, Supplementary Essential and
Non-Essential Variables for the SMAW process are listed in table QW-253. However this part of the
course will only cover Essential Variables not the supplementary or non-essentials. The non-essentials
will be covered latter. A definition of these variables follows.
Essential Variable – A variable that if changed requires requalification of the procedure by the
welding and testing of a new coupon or support from a previously qualified
Procedure Qualification Record (PQR), i.e. a change in the base metal
thickness (T) qualified.
Supplementary Essential – An essential variable that is used only when impact testing of a base
metal is required by a construction code, i.e. a change from one P-No
Group to another such as P1 Gr.1 to Gr.2
Non-Essential – A variable that can be changed as needed to suit production requirements
without requalification. A change in the groove design, etc.
144
QW-253 SMAW Brief of Variables
We will start our discussion with the top half of the SMAW brief of variables, beginning with the first two
Essential Variables, Base Metal and Filler Metal.
Notice that each variable references a paragraph in Article 4.
For example under Base Metals we have the entry  T qualified which is referenced to paragraph QW-
403.8
Defining Each Essential Variable “Base Metals QW-403.8 - A change in base metal thickness beyond
the range qualified in QW-451, except as otherwise permitted by QW-202.4(b).”
Paragraph QW-202.4(b) addresses joining metals of different thickness. Not on exam
This means if you have a thickness range allowed based on the thickness of the PQR test coupon as is
determined in QW-451.1. If you wish to change the WPS to weld thicker or thinner than allowed by the
present PQR the WPS must be re-qualified by the welding of an additional coupon or by providing a
previously performed PQR that fully qualifies the new or revised WPS for all essential variables, including
the new thickness range.
145
Base Metals •
Change in Thickness (T) qualified. •
QW-403.8 A change in base metal thickness beyond the range qualified in QW-451, except as
otherwise permitted by QW-202.4(b) (different thickness at the joint)
• Of concern is the thickness range qualified by the supporting PQR (s) for the WPS, from less than
a 1/16” to less than 1-1/2” it is 2 x T. To weld a thickness outside the range supported by the PQR
the WPS production welding changes must be supported by providing an additional PQR from file
or by welding a new PQR test coupon.
• t (weld metal) pass greater than 1/2”
• QW-403.9 For single-pass or multi-pass welding in which any pass (means layer of weld metal) is
greater than 1/2 in. (13 mm) thick, an increase in base metal thickness beyond 1.1 times that of the
qualification test coupon.
• The thickness range is affected. It will be restricted to 1.1 T as given above if you deposit more
than 1/2” of weld metal in a single pass (layer). This has to do with heat input.
A single pass refers to the number of weld beads required to fill up a layer of weld metal in the joint. If the
single layer/pass, t (deposited weld metal), exceeds 1/2” in thickness the WPS will be restricted to 1.1 x T
production welding.
146
Alternate Base Metals for Procedures
• QW-403.11
• Base metals specified in the WPS shall be qualified by a procedure qualification test which was
made using base metals in accordance with QW-424.
Base Metal (s) Used for Procedure Qualification Test Coupon Versus Base Metal Qualified for production
QW-424
147
Let’s examine some of the items in the table.One Metal from a P-No to Any Metal from the Same P-No
such as P1 to P1 which qualifies all P1 metals, i.e. pipe and/or plate.
One metal from a P-No to any metal from any other P-No, we will Use P-No.1 to P- No.8 as an example.
Other combinations are possible, P Nos. 1 to 3, P Nos.3 to 4 etc.
One metal from P-No 3 To any other metal from P-No. 3
One metal from P No. 3 to any other metal from P No. 3 Also qualifies P No. 3 to P No. 1.
However, one metal from P No. 3 to any metal from P No. 3 does not qualify P No. 1 to P No. 1
148
One metal from P-No.4 to any other metal from P-No.4
One metal from P No.4 to any other metal from P No.4 also qualifies P No.4 to 4, 3 and, 1.
It qualifies one metal from P No. 4 to any metal from P No. 4, 3 or 1, but does not qualify P No. 3 to P
No. 3 or P No. 1 to P No.1
149
Quiz
Using the table list the base metals qualified if we successfully weld a procedure coupon joining P-No. 5A
to P-No. 5A
1. P-No. 5A to P-No. 5A Qualifies?
P-No. 5A to __, __, or __. It does not qualify __, __, or __ to each other or to their selves.
2. P-No. 5A to P-No. 4, 3, or 1 Qualifies?
P-No. 5A to any metal assigned __,__, or __. It does not qualify __, __, or __ to each other or to their
selves.
150
Filler Metals
• Change of F-Number
• QW-404.4 A change from one F-Number in QW-432 to any other F-Number or to any other filler
metal not listed in QW-432.
• Changing the F-Number on the WPS to one other than that used for the procedure test coupon
(PQR). Such as changing from F-No. 1 to F-No. 3.
• This rule also applies to a welder’s qualification test by the way.• QW- 404.5 Change of A-
Number
• A-Nos. are the chemical analysis of the ferrous weld metal deposits produced by a given filler
metal. Changing A numbers can change the chemistry and possibly the mechanical properties of
the weldment. It also changes the weld add mixture, that part that contains both base metal and
weld metal. This occurs when changing filler metals. Changing the A No. to one other than that
used to qualify requires a new test or additional PQR (s) from a file (with one exception).
And we find the following rule, proving you must read Section IX completely!
QW-404.5 (Applicable only to ferrous metals.) A change in the chemical composition of the weld
deposit from one A-Number to any other A-Number in QW- 442.
Qualification with A-No.1 shall qualify for A-No. 2 and vice versa (Note: all other A- No. changes will
force requalification).
(Note: all other A- No. changes will force requalification of the procedure).
The definition of A Numbers 1 and 2 as listed in IX
How are they different?
We need to examine Section IX A numbers by chemistry and compare those to the AWS and also an
electrode manufacturer’s specifications or a particular electrode, first examine the A number listing from
Section IX below, looking at the chemistry.
The dot dot dot in table below indicates not specified to be present, single values are maximums. i.e.
Carbon is limited to 0.20 % maximum for A-No.1
151
The dot dot dot in table below indicates not specified to be present, single values are maximums. i.e. Carbon
is limited to 0.20 % maximum for A-No.1
Filler Metals
Consider the following filler metals for the SMAW process.
1. E-7018 which has an A-Number of 1.
2. E-7018A1 which has an A-Number of 2
Compare the chemistry tables of the IX A–Nos. to Section II Part C Filler Metals and to a Hobart filler
metal manufacturer Data Sheet.
152
From Section IX QW-442 A No. 1 by Max. %
C 0.20/ Cr…/ Mo…/ Ni…/ Mn 1.60/ Si 1.00
From Section II Part C / E-7018 SFA
5.1
A No. 1 contains by %
C 0.20/ Cr…/ Mo…/ Ni…/ Mn 1.60/ Si 1.00
Hobart’s Data Sheet for E-7018
153
Comparing All Three for E-7018
Mn 0.88
Si 0.37
Ni .019
Mo .009
Cr .043
C 0.07
Hobart
Data
Mn 1.60
Si 0.75
Ni 0.30
Mo 0.30
Cr 0.20
C …
SFA- 5.1
Sect. II C
Mn 1.60
Si 1.00
Ni ---
Mo ---
Cr ---
C 0.20
A-No. 1
Section IX
Mn 0.88
Si 0.37
Ni .019
Mo .009
Cr .043
C 0.07
Hobart
Data
Mn 1.60
Si 0.75
Ni 0.30
Mo 0.30
Cr 0.20
C …
SFA- 5.1
Sect. II C
Mn 1.60
Si 1.00
Ni ---
Mo ---
Cr ---
C 0.20
A-No. 1
Section IX
From the Section IX QW-442 A No. 2 by Max. %
C 0.15 / Cr 0.50/ Mo 0.40 – 0.65/ Ni…/ Mn 1.60/ Si 1.00
From Section II Part C / E-7018A1 SFA 5.5
A No. 2 contains by Max %
C 0.15 / Cr 0.50/ Mo 0.40 – 0.65/ Ni…/ Mn 1.60/ Si 1.00
154
Hobart’s Data Sheet for E-7018A1
Comparing All Three for E-7018A1
Mn 0.81
Si 0.44
Ni…
Mo 0.43
Cr…
C 0.04
Hobart
Data
Mn 0.90
Si 0.80
Ni…
Mo
0.40-
0.65
Cr…
C 0.12
SFA- 5.5
Sect. II C
Mn 1.60
Si 1.00
Ni…
Mo
0.40-
0.65
Cr 0.50
C 0.15
A-No. 2
Section IX
Mn 0.81
Si 0.44
Ni…
Mo 0.43
Cr…
C 0.04
Hobart
Data
Mn 0.90
Si 0.80
Ni…
Mo
0.40-
0.65
Cr…
C 0.12
SFA- 5.5
Sect. II C
Mn 1.60
Si 1.00
Ni…
Mo
0.40-
0.65
Cr 0.50
C 0.15
A-No. 2
Section IX
A note on the API Exams. If you are taking any of the three API Exams you will be required to review a
WPS and PQR. Part of that review might be a question about the A-Number listed for the filler metal in the
documents. This is a protest question. You would need ASME Section II Part C to answer that question.
Sect. II Part C is not listed as required for the exam. You have no way of answering!
155
Filler Metals
• Change in the deposited t
• QW-404.30 A change in deposited weld metal thickness beyond the range qualified in QW-451 for
procedure qualification.
• Example: In a SMAW procedure 1/4” of E-6010 was qualified on the PQR by depositing 1/8” in the
coupon (2t), the balance of the coupon was filled with E 7018. The need arises to increase the E-
6010 weld metal t to 3/8” in production. This would require a new coupon or an existing PQR.
Preheat
• A decrease in preheat greater than 100o F
• QW-406.1 A decrease of more than 100°F (38°C) in the preheat temperature qualified. The
minimum temperature for welding shall be as specified in the WPS.
• Example: A PQR coupon was welded with preheat of 250°F (121°C) but the WPS requires a
preheat of only 100°F (38°C). This is a 150°F (66°C) decrease below that qualified and will
require a new PQR or one from your files to support the lower temperature.
QW-406
Preheat
-1
-2
-3
Decrease > 100˚F (55˚C)
Ø Preheat maint.
Increase > 100˚F (55˚C) (1P)
X
156
PWHT
• Change in PWHT
• QW-407.1 This long paragraph specifies what is considered a change in post weld heat treatments.
The changes are P-Number specific with 5 different conditions of PWHT for P Nos. 1,3, 4, 5, 6,
9,10 and, 11.
For most of those and all other materials there are two conditions:
1. No PHWT
2. The specified PWHT for the P No. used based on a construction Code.
• T Limits (Thickness Limits)
• QW-407.4 For a procedure qualification test coupon receiving a post weld heat treatment in
which the upper transformation temperature is exceeded, the maximum qualified thickness for
production welds is 1.1 times the thickness of the test coupon.
• This rule only applies when a production weld will undergo heat treatment at temperature that will
alter the base metal’s physical properties, such as normalizing, etc.
157
Producing the PQR
We have looked at all of the essential variables for the SMAW process. Let’s put it all together by filling
out a SMAW PQR to support a Welding Procedure Specification (WPS). To do this it will be necessary to
specify a list of the essential variables for the welding we have planned. From QW-253 we need to
address the basic essential variables and the ranges to be used:
1. Base Metal (s) – 2” SA-516 Gr. 70 P-No. 1
2. Filler Metal (s) – E-7018 Only
3. Preheat – 175 o F for P-No.1 (from Sect. VIII Div. 1 non-mandatory Appendix R)
1. PWHT – 1100 o F Minimum per inch of thickness for P-No. 1 (from Sect. VIII Div. 1 UCS-56)
First we will fill out the top half of the PQR from the company name to the base metal information on the
left side and include a graphic of the joint design used to weld the coupon.
Next we will fill out the bottom half of the PQR with the filler metal and preheat on the left side. While not
required on the PQR by Section IX the Non-Essential variables will be entered as well.
158
Now we will fill out the upper half of the PQR with the PWHT metal on the right side. Making the comment
Not Applicable in the box for Gas, since the SMAW process does not use shielding gasses.
Finally the bottom right, which consists of all non-essential variables. Once again these are not required by
Section IX, but may be helpful for meeting a construction code requirement, i.e. Section VIII Div. 1 or
B31.3.
159
Now we start completing the back of the PQR. To do so we need some test results for our required
tension and bend tests. The tension test specimens are fabricated as given in Section IX QW-462.1(a).
.
The required number of tension test specimens are 2 as shown in Section IX QW-451.1 The required
number of tension specimens are always two, when your coupon exceeds 1”, you are allowed divide the
two specimens into multiple pieces. (see QW-151.1 (c) and (d))
The ultimate strength of the tension specimens must be computed as described in QW-152.
160
• QW-152 Tension Test Procedure
The tension test specimen shall be ruptured under tensile load. The tensile strength shall be computed by
dividing the ultimate total load by the least cross sectional area of the specimen as calculated from actual
measurements made before the load is applied.
We must measure each specimen’s width and thickness after machining as shown in QW-462.1(a).
Section IX requires two specimens be tested.
The data for our specimens was;
TS1 - width = .750” thickness = .453”
TS2 - width = .753” thickness = .456”
Area for each specimen.
TS1= .750 x.453 = .340 in.2
TS2= .753 x.456 = .343 in.2
We put the specimens in a tensile tester and pull each one apart;
161
The specimens were broke in the tensile tester and the breaking forces as read from the gage on the
machine were recorded as follows;
TS1 = 25,010 Lbs.
TS2 = 24,050 Lbs.
Computing the ultimate strength for 1 square inch for each specimen;
‘Load divided by Area’
25,010/.340 = 73,558 PSI
24,050/.343 = 70,116 PSI
We now evaluate the specimens;‘Load divided by Area’
25,010/.340 = 73,558 PSI
24,050/.343 = 70,116 PSI
Observing the character and location of the specimen failures, it was noted that both failed in the base
metal outside of the weld heat affected zones and in a ductile manner.
We can now record this information on the back side of our Procedure Qualification Record.
‘
162
But First’
We must determine the required minimum specified strength from Section IX in the P-Number listings.
We find that SA-516 Grade 70 has a Minimum Specified Tensile Strength of:
70 KSI = 70,000 Pounds Per Square
Inch.
Our tensile specimens exceeded the minimum. Now we have one more task to complete. We must do 4
side bend tests. This requirement is found in Section IX along with the accept/reject values for all bend
tests.
The required type and number of bend tests based on a 1” thick coupon are 4 Side Bend tests. Side
bends are mandatory after the coupon thickness reaches 3/4” or
larger.
We must evaluate the bend specimens to section IX QW-163.
163
QW-163 - The guided-bend specimens shall have no open discontinuity in the weld or heat-affected zone
exceeding 1/8 in. (3.2 mm), measured in any direction on the convex surface of the specimen
after bending. Open discontinuities etc.
To see the details for making the bend specimens look at QW-462.2
164
We evaluated the bend specimens to section IX and had the following comments.
Side Bend S1. No open defects acceptable
Side Bend S2. 1/32” acceptable
Side Bend S3. No open defects acceptable
Side Bend S4. No open defects acceptable
We have the correct type based on the coupon thickness and the correct number of acceptable side bend tests.We
can now fill out the top back of the PQR.
All that is left is to fill out the bottom of the back of the PQR. This will be easy, just a few housekeeping
items to complete.
165
Here is the front side of the complete Procedure Qualification Record
166
Here is the back side of the complete Procedure Qualification Record
167
The WPS
We have completed the Procedure Qualification Record, which is a laboratory report of the welding and
testing of a coupon.
• From this PQR we will write a Welding Procedure Specification. It must be in complete agreement
concerning Essential Variables with the PQR.
• The Welding Procedure Specification, must be complete. You must address all of the essential,
supplementary essential (if Notch toughness testing is required), and non-essential variables. The
best approach is to use of the Brief of Variables found in QW-253 on as an item check list.
• We will go line by line and address all of the Essential and Non-Essential variables only and since
our WPS will not require toughness testing, Supplementary Essentials will be omitted.
Starting in box QW-402 we will address each of the non-essential variables.
 Groove Design
 Backing
 Root Spacing
 Retainers
168
The following is how it was completed.
In box QW-402 we have addressed each of the non-essential variables as follows;
• Groove Design – Single Vee, Double Vee, J-Groove and, U-Groove
• Backing – The X in both the Yes and No boxes denotes that this WPS may be used with or
without backing.
• Root Spacing –This is given below Details.
• Retainers – Also given below
Details.
Since we have addressed each of the non-essential variables and thereby giving all the needed Joint
information for making a weldment, it is complete for joint design and no one should have to ask what is
allowed when using this WPS. Notice that BWC-112A is referenced for the actual details of the various
joints, such as included angle of Vee grooves and depths of J and U grooves.
169
Next QW-403 Base Metals
We have addressed each of the essential variables under Base Metal QW-403.
It is complete for P-No., Thickness range and the restriction of No t Pass > 1/2” has been addressed.
Supplementary Essentials need not be addressed, since no impact testing is required of this weldment.
Next QW-404 Filler Metals
We have addressed each of the essential variables under Filler Metal QW-404.
It is complete for AWS Classification, F-No., A-No., Size of Filler Metals, and Weld Metal Thickness
Range and all essential variable entries are correct.
Next the back and top of the WPS
We will now complete the Positions, Preheat, Electrical, and Postweld Heat Treatment on the WPS.
170
171
1. The Positions for use with this WPS are, Flat, Horizontal, Vertical and, Overhead. This instructs that
this WPS can be used with all positions.
2. The Preheat minimum is set at 100oF (38oC) which is within 100oF of the PQR actual value of
175oF.
3. The Preheat Maintenance specified as none required.
The Electrical Characteristics are;
1. Direct Current Electrode Positive.
2. Amps (I) are set to a range of 90-190 and the Volts (E) are set to a range of 15-25, these values are
normally obtained from the filler metal manufacturer’s literature or from actual experience.
3. The rest are not required for SMAW.
The Postweld Heat Treatment values are:
1. 1150 +/- 50oF (621+/- 10oC) which is in agreement with the PQR minimum value of 1100oF
(593oC)
2. Time at temperature is 1 hour, also in agreement with the PQR.
3. Gas variables are not required for SMAW.
172
We will now complete the bottom half of the back of the WPS, which consists of the Technique box QW-
410!
1. String or Weave, restricted from 2 to 3 core diameters (core wire exclusive of any coating).
2. Cleaning is limited to Brushing or Grinding. Back Gouging will be by Air Carbon Arc.
3. Multiple Pass, Single Electrode (not required), but often entered. Manual is entered in the heading
of the WPS and Peening is listed as not allowed.
4. All others are not SMAW variables.
173
The Complete WPS Front
174
The Complete WPS Back
175
Lesson 14
Welder Performance Qualification Test
SECTION IX
Welder’s Qualifications / Essential Variables We will discuss all of the welder’s essential variables listed in
QW-353 for the SMAW process.
Shielded Metal-Arc Welding (SMAW)
Essential Variables
The first essential variable listed is – Backing (Removal of). If a welder is qualified using any type of
backing, and asked to perform an open root weld he must retest without backing to be qualified to perform
the welding.
The Code definition of backing is welding with a backing bar or retainer, welding double sided welds
where the weld metal of the first pass is used after gouging/grinding as weld metal backing for the balance
of the weld. Fillet and partial penetration welds are also considered welding with backing.The next inline is
a change in Pipe Diameter qualified. As pipe diameters become smaller the difficulty for a welder is
increased resulting in a higher skill level requirement.
So this translates to a change in diameter to one smaller than qualified by the welder’s pipe coupon on a
previous test with this process.
The ranges of pipe diameters qualified are given in Section IX,
QW-452.3 GROOVE-WELD DIAMETER LIMITS
As we can see:
1. Under 1 inch (25mm) qualifies the diameter down to the size welded to unlimited diameter,
because it is only easier for the welder as the diameter of the Pipe welded increases.
Brief of Variables
Deletion of Backing
Change Pipe Diameter
Change in P Number
Change in F Number
Change in weld t deposited
Addition of a position
Change from vertical Up to Down
or Down to UP progression
Paragraph
QW 402
Joints .4
QW 403
Base Metals .16
.18
QW 404
Filler Metals .15
.30
QW 405
Positions .1
.3
Brief of Variables
Deletion of Backing
Change Pipe Diameter
Change in P Number
Change in F Number
Change in weld t deposited
Addition of a position
Change from vertical Up to Down
or Down to UP progression
Paragraph
QW 402
Joints .4
QW 403
Base Metals .16
.18
QW 404
Filler Metals .15
.30
QW 405
Positions .1
.3
176
2. From 1 inch (25mm) to 2-7/8 inch (73mm) qualifies 1 inch to unlimited.
3. Over 2-7/8 inch (73mm) qualifies 2-7/8 inch to unlimited.
QW-353 - Welder Essential Variables
P-Numbers
P-Numbers serve to group metals by mechanical and chemical properties. So it is reasonable to think
that not all metals can be welded using the same technique, or have the same level of difficulty for
welders.
There are three basic P-No groupings for welder qualifications. If a welder changes to a P-No. group that
he/she has not qualified for then a retest is required. We will have a more thorough lesson on Alternate
Base Metals later in this course.
QW-432 - F Numbers
We have now arrived at the Filler Metal Number or F- Number. F- Numbers are a grouping of electrodes
and filler metals that weld in a similar way and in general present more or less difficulty for a welder. In
other words some F-Number filler metals require different skills than others and must be qualified
individually in most cases.The table of F Numbers coming up is read in the following way…
• EXX18 stands for all SMAW electrodes ending in 18 such as E-7018, E-7018-A1, 8018-B1 etc.
So all of the above are F-Number 4
• EXX10 would be E-6010 with an F-Number of 3
• The XX is the tensile strength 70,000 PSI
Finding F-Numbers
177
178
QW-433 Alternate F-Numbers for Welder Performance Qualifications
Changing the F Number for a welder may affect his ability to weld and require requalification. There are
some provisions for using lower F-Numbers when qualifying with numbers 2 to 4 but, there are restrictions
on those qualifications.
Examples
1. Using the table QW-433, if a welder qualifies without backing with an electrode assigned to F-
Number 4. What F-Numbers can they use with backing in a production weld?
2. What F Numbers can they weld without backing?
Notice that the large table only addresses F-Numbers 1 through 5. The rest of the F-Numbers are in a
small table along with notes beneath the large table. Let’s have a look at those.
179
QW-433 Alternate F-Numbers for Welders
180
The column ‘Thickness t, of weld metal in the coupon’ refers to the amount of weld metal from a process
or a filler metal. Perhaps a bit of E-6010 and the rest E-7018 or perhaps GTAW root and SMAW fill
passes and cap.
Example:
Assume one welding process,
SMAW and one electrode E-7018 using a P-No.1 pipe
A coupon thickness of 3/8 inch was welded using E-7018. In the column on the right titled ‘Thickness of
weld metal qualified’ we see 2t, so 2 x 3/8” = 3/4” this is the maximum amount of E-7018 (F-No. 4) , that
the welder can deposit in production. Suppose now the coupon is 1/2” thick and a welder welds it with
100% E-7018 using 3 weld layers, we see that welder’s limit of deposited weld metal with an F-No.4 is
the maximum to be welded.
Another combination in the 1/2” coupon
1/8” of E-6010 (F-No.3) and 3/8” of E-7018, by the first column 2 x 1/8” = 1/4” of E-6010 (F-No.3) and 2 x
3/8” = 3/4” of 7018 (F-No.4)
The welder can deposit up to 1/4” of any F-No.3 and 3/4” of any F-No.4 with any production WPS he is
otherwise fully qualified for, meaning position, diameter, P-No., backing, progression etc.
181
The next essential variable listed is Position.
Consider the welding positions versus the welder test positions for a moment. We will use pipe test
coupons. Positions for pipe tests are designated by an alphanumeric such as 1G, 1 designates the
coupon orientation, in this example the pipe is on the horizontal and is rotated/rolled beneath the welder
and is considered to be flat welding. The G means a groove butt weld. The others are 2G, 5G and, 6G.
Turn to QW-461.4 in Section IX.QW-461.4 - Groove Welds in Pipe – Test Positions
The more difficult the test position, the more positions a welder can perform. The four positions for
welding are Flat, Horizontal, Vertical and Overhead.
These are referred to as:
F, H, V, and O
There are corresponding pipe and plate test positions that qualify a welder for F, V, H, and O. We will use
pipe in the examples.
1G qualifies F (Rotated)
2G qualifies H
5G qualifies F, V, and O
6G qualifies F, V, H, and O (this yields all positions)
Section IX allows combining test positions to produce an all position welder. Therefore if a welder tests in
2G and 5G he/she was tested for all positions.
2G covers H and 5G covers F, V, and O
This is equal to 6G that qualifies F, V, H, and O
Either of these two yields an all positions welder.
182
QW-469.1 - Performance Qualifications - Position and Diameter Limitations
All of this information is compiled into one table.
In this way you can go straight to a one page table and review a Welder Performance Qualification (WPQ)
for position and diameter qualifications.
183
Notice the entry on the top row right
Position and Type Weld Qualified. [Note (1)]
Below that Groove
Below Groove exists two sub-headings
Plate and Pipe Over 24 inches and Pipe less than or equal to 24 inches.
Ignoring Fillets because any welder qualified for groove 1G is qualified for the same fillet 1F.
184
To the left we have Qualification Test
This has the sub-headings Weld and Position
We will use the Pipe-Groove [Note (3)] row.
Starting at the top of the table in the Qualification Test column move down and stop at the 1G entry
below. To the right we see the entries F F F ignore fillets.
Move up at the first F and find Plate and Pipe over 24 in. O.D. is qualified
Move up from the second F and find Pipe less than or equal to 24 in. O.D. is qualified. See [Note (3)]
Pipe less than or equal to 24 in O.D. is qualified. See [Note (3)]
Note (3) See diameter restrictions in QW-452.3, QW-452.4, and QW-452.6 notice that while the welder
can weld on pipe in the “position qualified” they are still restricted by the diameters given in the table below
on Pipe less than or equal to 24 in O.D. The last essential variable listed is Progression.
This is as simple as it gets.
If a welder welds Vertically Up (Uphill) during a particular test he is only qualified for vertically up.
Should the welder be required to weld Vertically Down (Downhill) he will be required to weld a test
coupon (keeping other variables the same) welding Vertically Down.
The reverse is also true, qualify Downhill and you must weld another coupon to qualify Uphill.The next
series of slides address the alternate base materials for welder qualifications. As you will see a welder can
test for example on a P-No.1 base material with a selected F-No. Filler metal and, under the rules of
Section IX he can weld many other P-Numbers using the F-No. Used for the test, maintaining all the other
essential variables for the welder, position, diameter, etc.
185
QW 423 –Alternate Base Materials for Welder Qualification versus Base Metal Qualified
Base metals used for welder qualification may be substituted for the metal specified in the WPS in
accordance with the following in-text table.When a base metal in the left column is used for welder
qualification, the welder is qualified to weld all combinations of base metals in the right column
including unassigned metals of similar composition to these metals.
Warning
Base Metal (s) for
which the Welder is Qualified
P-No. 1 through P-No. 11, P-
No. 34, or P-No. 41 through
P-No. 47
P-No. 21 through P-No. 25
P-No. 51 through P-No. 53 or P-
No. 61 through P-No. 62
Base Metal (s) Used for
Welder Qualification
P-No. 1 through P-No. 11, P-
No. 34, or P-No. 41 through
P-No. 47
P-No. 21 through P-No. 25
P-No. 51 through P-No. 53 or P-
No. 61 through P-No. 62
Base Metal (s) for
which the Welder is Qualified
P-No. 1 through P-No. 11, P-
No. 34, or P-No. 41 through
P-No. 47
P-No. 21 through P-No. 25
P-No. 51 through P-No. 53 or P-
No. 61 through P-No. 62
Base Metal (s) Used for
Welder Qualification
P-No. 1 through P-No. 11, P-
No. 34, or P-No. 41 through
P-No. 47
P-No. 21 through P-No. 25
P-No. 51 through P-No. 53 or P-
No. 61 through P-No. 62
186
So, all we need to do is qualify a welder to weld any P-No from the list and he can weld all of the others.
This would be great!
There is however a problem with this theory. Welders are also limited by the Filler Metal Number (F-No.)
used during a test.
If a welder qualifies on any P-Number from P 1 through P 11, P 34 or P 41 through P47 he/she is qualified
to weld any of those metals together. Be warned - this is further limited by the F-number (s)!
If a welder qualifies on P 21 to P 25 they are
qualified to weld any of these metals together or any combination of these aluminum alloys together!
If a welder qualifies on P 51 to P 53 or P 61 to 62 the welder is qualified to weld any of these metals
together or in any combination of Titanium or Zirconium alloy!
In theory a welder could be qualified for all the listed base materials by welding just three (3) coupons.
Remember our lesson on Filler Metal Numbers (F-Numbers). This is where the welder's limitations
become very important.
One of the essential variables for a welder is the F- Number of the electrode he qualifies with during a
given test.
Suppose a welder qualifies with SMAW using an F-No.4 electrode the test coupon is a P-No.1 base
material.
The welder has qualified to weld P No. 1 to 11, 34 or 41 through 47. So let’s have him weld one of the
nickels, a P-No.41. Assume it will be required to make the weld with a filler metal that is designated as a
F-No.41 in Section IX. There is a problem, he has not qualified any of those metals with a F-No.41 filler
metal. He would have to prove his skill with the F-No.41 filler metal.The welder is qualified for SMAW
using a F-No.4 electrode not F-No.41. The welder will have to test again on any of those metals using a
SMAW electrode designated as a F-No.41, why because the F-Numbers 4 and 41 are considered to
require different skill levels to weld. The F-Number is a welder’s essential variable as well as the
procedures.
Welders are limited by all of the following essential variables (skill issues), which are in Section IX for the
welding processes listed.
187
QW-353 - Shielded Metal-Arc Welding (SMAW)
Essential Variables
Simply put the welder must qualify all of their essential variables, not just be qualified to weld a particular
P-Number. In our example he/she is disqualified for the nickel alloy weld because of the required F-
Number qualification being F-No.41 as listed on the WPS/PQR. A welder is limited by, process, pipe
diameter, P- Number, F- Number, weld metal thickness, position, backing and progression.
All of these Essential Variables must meet the requirements of the WPS to be used in the production
weld.Destructive Testing of Welder’s Qualification Coupons There are three items that must be
addressed when performing destructive testing of a welder’s test coupon.
1. The type of the specimens required?
2. How many specimens are required?
3. Where in the test coupon specimens shall be taken from?
These items are listed in Article IV Welding Data of Section IX in a tabular form, 452.1(a) and are
accompanied by notes referencing paragraphs found in Article III, of Section IX .The type and number a
listed in that paragraph.
Brief of Variables
Deletion of Backing
Change Pipe Diameter
Change in P Number
Change in F Number
Change in weld metal t deposited
Addition of a position
Change from vertical Up to Down
or Down to UP progression
Paragraph
QW 402 .4
Joints
QW 403 .16
Base Metals .18
QW 404
Filler Metals .15
.30
QW 405 .1
Positions .3
Brief of Variables
Deletion of Backing
Change Pipe Diameter
Change in P Number
Change in F Number
Change in weld metal t deposited
Addition of a position
Change from vertical Up to Down
or Down to UP progression
Paragraph
QW 402 .4
Joints
QW 403 .16
Base Metals .18
QW 404
Filler Metals .15
.30
QW 405 .1
Positions .3
188
Notice that the notes underneath the table do the following things:
General Note: Defines the “Thickness of the Weld Metal” and disallows using the reinforcement as part of
the thickness deposited.
Note 1 Specifies the number of coupons used for the listed welder pipe groove test positions, and thereby
differentiates pipe from plate coupons.
Note 2 Coupons tested by face and root bends. Limits the type of weld bend coupons that can be used
when doing combination welder or process tests a single coupon, combinations outside of this
description will require side bends.
Note 3 Allows the substitution of side bends for face and root when the coupon is 3/8” to less than 3/4”.
We will now examine the figures referenced in QW-452.1(a) for removal of Welder’s Performance
Coupons.
189
WELDING DATA
QW-463.2(d)
QW-463.2(f)
190
Next an example of the coupons required for a 2G and 5G test in a single coupon which will qualify a
welder for all four of the positions, Flat, Horizontal, Vertical and, Overhead just the same as the single 6G
test.
This coupon requires 6 bend specimens instead of the usual 4, taken from the locations indicated in the
graphic.
191
We will now examine the figures referenced in QW-452.1(b) for Welder’s “Thickness of Weld Metal (t)
Qualified”.
192
Notice that the welder must deposit at least 1/2” in a minimum of three layers/passes to be qualified for
unlimited thickness in production. All thickness below 1/2” follows the 2 x t rule.
Example:
The welder deposits 3/8” he is qualified to weld up to 3/4” in production welding with the process and filler
metal used during his test. Also, as stated previously in addition he will be limited by diameter,
progression, backing and, position.Combination tests are described in notes 1, 2, and, 3.
Example:
Note 1: Two welders deposit 1/2” each both used three layers in a single 10” Schedule 140, 1” thick
coupon with SMAW F-No 4 electrodes. They will each be qualified to weld unlimited thickness in
production with that process and F-No using the position, progression, backing and, diameter
used during the test. They could also have used different F-Numbers and/or processes and
could have been qualified unlimited thickness based on the test they performed.
Example:
Note 2: Two welders deposit 1/2” each both used three layers in a single 1” thick coupon with SMAW F-
No 4 electrodes. They will each be qualified to weld unlimited thickness in production with that
process and F-No using the position, progression, backing and, diameter used during the test.
They could also have used different F-No. s and/or processes and would have been qualified
unlimited thickness base on the test they performed.
Example:
Note 3: Two welders deposit 1/2” each both used three layers in a single 1” thick coupon with SMAW
F-No 4 electrodes. They will each be qualified to weld unlimited thickness in production with
that process and F-No using the position, progression, backing and, diameter used during the
test. They could also have used different F-Numbers and/or processes and would have been
qualified unlimited thickness base on the test they performed.
Example - Billy Bob Welder’s performance test was made under the following conditions using Big
Welding Company’s WPS CW-1010
1. P Number 1 Pipe Coupon
2. Pipe Diameter NPS 8” (8.625”)
3. Thickness 0.500”
4. 6G Position
5. Uphill Progression
6. F No 4 (SFA 5.1) 3 layers of Weld Metal
7. Process SMAW Only
193
Next we fill out the of Welder’s Performance Qualification Form QW-484 (WPQ) for Billy Bob
Welder.
194
Remember, a welder has only Essential Variables and for SMAW they are:
1. P-Number
2. F-Number
3. Diameter
4. Backing, with or without and, without qualifies both for a given F-Number and lower F-Numbers in
some instances
5. Vertical Progression (Uphill or Downhill)
6. Position (most difficult tested for)
7. Weld Metal thickness (greatest thickness)
195
Lesson 15 Review of WPS’s and PQR’s
The API candidate will be given a WPS and a PQR and will be asked to identify errors or unsupported
requirements.
Questions will be asked about individual blocks on the WPS/PQR. You will not be required to review the
entire document. The exam is in multiple choice format, normally 3 to 6 questions come from the
WPS/PQR review.
When answering the questions about the WPS and/or the PQR, look for omitted information. Every
Essential and Nonessential variable should be addressed. Common errors, such as filler metal F-
Numbers and base metal thickness ranges are typically found. The PQR test coupon thickness T can and
often does support only part of the thickness range stated on the WPS etc.
Limitations on the WPS/PQR Review
The API Body of Knowledge has limited the content of the WPS and PQR in the following key ways.
1. There will be only one welding process, and they have been limited to SMAW, GTAW, GMAW or
SAW.
2. Just one filler metal i.e. all E-7018 with no mixing of F- Numbers.
3. There will not be different thicknesses or different base metals welded to each other.
4. The P-Numbers are limited to P1, P3, P4, P5 and, P8
5. For P1, P3, P4, and, P5 the lower transition temperature is 1,333°F and the upper is transformation
is 1600°F.
6. Supplemental powdered fillers or consumable inserts will not be on the WPS/PQR.
7. Special welding processes such as corrosion resistant weld metal overlay and hard surfacing will
not be present.
8. Welds with buttering of the ferritic member or excluded.
In short the WPS/PQR review will be of the most basic type, and will not require a great deal of expertise
in Section IX.
WPS/PQR Mistakes are of Four Types
1. Missing variables, both Essentials and Non-Essentials on the WPS.
2. Missing Essential variables on the PQR, Non-Essentials are not required for the PQR.
3. Incorrect Essential Variables, such as the wrong F-Number for a filler metal or electrode. For
example:
“The electrode E-6010 has an F-Number of 3 and often the wrong F-Number is assigned to it such
as F-Number 4”
4. An Essential Variable listed on the WPS that is not supported by the PQR.
Note: Editorial mistakes such as misspellings of company names or typing errors are excluded from the
exam.
Brief of Variables
We will use the SMAW QW-253 Brief of Variables as a check list as we go through the reviews of two
WPS’ and PQR’s.
196
Confusion Welding and Wee Welders
Turn now to QW-253 of Section IX and remove it for convenience during the review. Confusion Welding
We will review it step by step for errors.
1. Does our WPS reference our PQR?
2. Has our welding process been listed?
3. Is the Type of welding listed, manual, automatic etc.?
Note: The Type of Welding in box QW-410 at the bottom of QW-253 is out of order in reference to the
box on the WPS, as it appears in the title instead of box QW-410 on the WPS.
Conclusions:
1. WPS references our PQR.
2. Our welding process is listed.
3. Type of welding is listed as manual.
No mistakes in the title page
Next we compare the variables in the row QW-402 Joints on QW-253 to the box QW-402 Joints on the
WPS.
1. Groove design, is it addressed?
2. Backing has it been listed?
3. Has root spacing been detailed?
4. Finally have retainers been mentioned?
402.1 - A Change in Groove Design
402.4 - Deletion/Removal of Backing
402.10 - A Change in Root Spacing
402.11 – Addition or Removal Retainers
197
Conclusions: Nothing is missing; there are no mistakes in box QW-402 on the WPS. Note that Non-
Essentials are only wrong if they are missing i.e. the Code user can choose any groove
design, root spacing etc.
1. Groove Design is addressed as Single Vee.
2. Backing as Flat Bar P-No.1 steel material.
3. Retainers under Details are Not Allowed.
4. Root Spacing is present under Details.
The next listings are in box QW-403 Base Metals.
1. Is the P-Number entered?
2. Is Base Metal Thickness present?
3. Has t pass > 1/2” been addressed?
Note: During the review of the PQR we will confirm that all Essential Variables are in agreement
between the WPS and the PQR regarding the specifications and ranges supported.
198
199
Conclusions:
1. The P-Number is present.
2. Base metal thickness range is present.
3. t pass > 1/2” is missing, not addressed!
This is a mistake, as all essentials variables must be addressed.
Remember, all variables that apply to the process must be addressed on the WPS, both essential and
non-essential.Check the box QW-404 on the WPS for omissions.
1. Is the F-Number present and is it correct?
2. Is the A-Number present if E-XX18 is it A No.1?
3. Diameter of electrodes allowed?
4. The range of weld metal t?
5. AWS Classification how about it?
You may remember from our previous lesson that A-Numbers cannot be correctly identified without
Section II Part C of the ASME Code. So we can only check for its presence on the form.
Everything on the list is present, but is the Essential Variable F-Number correct? We can’t check the A-
Number without Section II Part C.
Check the F-Number for E-7018 which appears under the title E-XX18.
200
Conclusions:
1. The F-Number is present but wrong!
2. The A-Number is present.
3. Diameter/Size of electrodes are missing!
4. The range of weld metal t is present.
5. AWS Classification is listed.Now to the back of the WPS to the box QW-405 Positions
1. Are the positions allowed for welding present?
2. Has progression permitted been entered?
Since fillets are not on the list of QW-253 you may ignore this entry
201
Conclusion:
1. The positions allowed for welding are present?
2. Progression permitted has been entered?
There are no mistakes. However the positions allowed would have been better stated in actual practice by
using Flat, Horizontal, Vertical and Overhead (F,H,V,O). 6G is a welder’s all positions qualification test.
Now Preheat in box QW-406
1. Has Preheat Temperature been entered?
2. Preheat Maintenance is it there?
Interpass Temp. Is a Supplementary Essential you may ignore this entry for the purposes of the test.
Conclusion:
1. Preheat Temperature has been entered.
2. Interpass Temp is present but was not required.
3. Preheat Maintenance Temperature is missing!
There is one mistake. Preheat Maintenance Temp. is not present, this is an error by omission of a Non-
Essential Variable.Now Post Weld Heat Treatment in box QW-407.
1. Simple it is addressed as NONE.
We will check it against the PQR during the PQR review portion of this instruction.
202
Conclusion:
All we need do is to make sure it is in agreement with what occurred during the making of the supporting
PQR test coupon. We will compare those during the PQR portion of this review.Next up is the box QW-
408 Gases.
This is not applicable to the SMAW Process. We will ignore it completely on this review, now for box QW-
409 Electrical Characteristics.
1. Has the Current been entered?
2. How about the Polarity?
3. What about the Amps (I)?
4. Volts (E)?
Conclusion:
1. The Current has been entered.
2. Polarity is there.
3. Amps (I) are present.
4. Volts (E) it is there.
No mistakes in block QW-409
Finally block QW-410 Technique
1. String or Weave allowed or both?
2. Initial or interpass cleaning, how?
3. Method of Back Gouging?
4. Multiple to Single pass/side permitted?
5. Peening, is it there?
6. Manual or Automatic welding?
7. Thermal Process applies to P number. 11 materials only
203
Conclusion:
1. String or Weave both is allowed.
2. Initial or interpass cleaning, addressed.
3. Method of Back Gouging present.
4. Multiple to Single pass/side, not addressed!
5. Peening addressed as None Allowed.
6. Manual/Automatic appears in the title.
One mistake found, Multiple or Single Pass an error by omission. Now to the front of the PQR and its title
section.
There isn’t much to see here. The correct company name etc., but the API Body of Knowledge specifies
that the WPS will be supported by only one PQR and it will be the correct one. This leaves the
welding Process which is addressed as SMAW. All others are non-essential variables and those are not
required to be on the PQR, in fact they could be missing.
204
Anything else in the title will fall under Editorial and is not considered on the exam WPS/PQR review
questions.
Conclusion:
1. SMAW has been addressed, no mistakes in the PQR title.
Note: The PQR does not have to reference the WPS. A single PQR may support multiple WPS’ since
WPS’ are often written years after the PQR’s were made. How could you know the WPS number
years before it will be written?
We start all over using QW-253 and the box QW-402 Joints on the PQR, all of those are Non-Essential
Variables and are not required on the PQR.
Nothing to do here, the box is blank and that is not a mistake.
Note: In a real world PQR, you would never leave the joint design information blank, in fact you would
detail it, but Section IX clearly states that Non-Essentials are optional. However the Construction Code will
usually force this information be present. For the PQR on this examination it is not required.
205
Using QW-253 in the box QW- 403 Base Metals, we check the following items:
1. Has the P-Number been addressed and does it agree with the WPS?
2. Has the thickness of test coupon been entered and does it support the full range stated on the
WPS for production welding.
Conclusion:
1. No P-Numbers listed!
2. The thickness of the test Coupon is stated to be 0.500 but it does not support the full range stated
on the WPS of 1/16” to 1”.
There are two mistakes, No P-Numbers and the thickness range qualified by the coupon is not
adequate for the WPS’ proposed thickness’.
Turn now to QW-451.1
206
We can see that the range supported by the coupon is from 3/16” to 2T. Our T is 0.500 so the range
supported is from 3/16” to 1”. Look back to the front of the WPS, it states a range of 1/16” to 1”.
The entire range of thickness on the WPS is not supported by the PQR’s test coupon thickness, since it
does not support a thickness below 3/16”. What is the P-Number of SA-53 Grade B? What should have
been entered in the P-Number boxes?
Turn now to
207
Turn your attention to box QW-404 Filler Metals.
1. Has the F-Number been addressed and correctly?
2. Has the A -Number been entered?
3. AWS Classification, is it present?
Note: Since Supplementary Essentials will not be on the exam, the AWS Class in this case is a
Non-Essential Variable. By Section IX, it is not required on the PQR! Strange but true, it could be
omitted and only the F-Number listed. Real world it would be there.
Box 404 Filler Metals
Conclusions:
1. The F-No for E-7018 is correct and is present.
2. The A-No is present.
3. AWS Class is shown as E-7018.
4. Deposited weld metal not addressed.
1 Mistake!
208
Skipping the Non-Essentials of QW-405 Positions and turning to QW-406 Preheat we ask the following:
1. Preheat Temp, is it there and if so does it support the WPS values?
2. Interpass Temp do we need it?
Conclusions:
5. Preheat Temp is there but does not support the WPS, the PQR must be within 100°F of the WPS’
listed preheat for production which is only 60 o F.
The PQR was qualified with preheat of 175 o F! To fix this you could revise the WPS to a minimum
preheat of 75°F (175 – 100 = 75°F).
Take a look at the paragraph QW-406.1
2. Interpass Temp is not there, but we do not need it since it is a Supplementary Essential.
One Mistake Preheat does not support the WPS.
Now for the Postweld Heat Treatment box.
Is it present and, did it agree with the WPS’ Type, Temp and Time?
Conclusions:
1. Well since the block is empty, there is only one conclusion. The Essential Variable PWHT has not
been addressed. The block being empty does not mean it was not done; it may or may not have
been postweld heat treated. How can anyone know?
One mistake, PWHT not addressed.All the remaining blocks contain Non-Essential Variables and
are blank.
They are not needed on a PQR so we will just pass those blocks and turn to the back of the PQR.
Next the Tensile Tests listed in the block QW-150.
1. Is the correct number of tension tests present?
2. Is the math correct?
3. Did the specimens fail at or above the Minimum stated in the rules of QW-153.1 for SA-53 Grade
B?
209
Conclusions:
1. The correct number of tension tests is present, two.
2. The math is correct (using normal rounding).
3. The specimens did meet the Minimum stated by the rules of QW-153.1 for the SA-53 Grade B pipe.
Now confirm the above statements.You can see on right that we need two tension tests.
By QW-152 area into load = Tensile Strength
Specimen No. 1
.750” x .453: = .340 sq.”
25010 lbs/.340 sq.” = 73,559 PSI
Specimen No. 2
.753” x .456” = .343 sq.”
24,050 lbs/.343 sq.” = 70,116 PSI
210
The Minimum Specified Tensile Strength is 60,000 PSI.
The specimens did meet the Minimum stated in the rules of QW-151.3 for SA-53 Grade B. It has a
minimum specified tensile strength of 60,000 PSI. According to the requirements of Section IX the
specimens could have failed 5% below that and still been acceptable. They failed in the base metal
which is also a requirement of QW-153.1
Now the Bend Specimens
1. Is the correct number present?
2. Are they the correct types?
3. Where the results reported and
acceptable?
Conclusions:
1. The correct number is 4 and only three are fully present.
2. They are not the correct types, it should be all face and root bends (4 total), or since the coupon is
at least 3/8” (.500) 4 side bends are permitted.
3. The results were reported and are not acceptable.
There are three mistakes, incorrect number and types of bend specimens, max size of defect exceeds
1/8”.Last, the bottom of the PQR.
1. Has the PQR been signed?
Conclusion: No.
This is a mistake a PQR is not certified without a signature.
211
212
Wee Welders
Now we will do the second WPS/PQR review. We will go through this box by box and find the mistakes
and do a recap at the end of this lesson.
213
214
QW-483 SUGGESTED FORMAT FOR WELDING PROCEDURE QUALIFICATION RECORDS (PQR)
(See QW-200.2, Section IX, ASME Boiler & Pressure Vessel Code)
Record Actual Conditions Used to Weld Test Coupon.
Company Name: Wee Welders
Procedure Qualification Record No.: R-20 Date: 1/30/92
WPS No.: R-20
Welding Process (es) SMAW
Types (Manual, Automatic, Semi-Auto.)
JOINTS (QW-402)
Groove Design of Test Coupon
(For combination qualifications, the deposited weld metal thickness shall be recorded for each filler metal or process used.)
BASE METALS (QW403) POSTWELD HEAT TREATMENT (QW-407)
Material Spec. SA-369 Type:
Type or Grade: FP 1 Temp: 1150°F
P No.: 3 Gr. No. to P No.: 3 Gr. No. Time: 30 mins.
Thickness of Test Coupon: 0.365“ Diameter 10“ GAS (QW-408)
Other: Shielding
FILLER METALS (QW-404) Shield Flow (cfh)
F No 4 Purge Gas
A No 2 Purge Flow
SFA Spec Number 5.1 Trailing Gas
AWS Class. No E-7018-A1 Trailing Flow
Size of Electrode “ “ ELECTRICAL CHARACTERISTICS (QW-409)
Size of Filler Current
Flux Class. Max Amps
Deposit Thk. ” ” Max Volts
Trade Name Joules
Consum. Insert : Tungsten Size
Tungsten Type
POSITION (QW-405) Pulsing Current
Welding Position TECHNIQUE (QW-410)
Welding Progress: Bead Type
Bead Width
PREHEAT (QW-406) Cup Size
Preheat Temp. : 70º F Back Gouging
Interpass Temp.: º F Layers
Preheat Maintenance: º F Electrodes
Travel Speed
Oscillation
215
216
Mistakes on the WPS
Joints (QW-402)
5. Root gap not addressed
6. Retainers not addressed
Filler Metals (QW-404)
3. E-7018 - A1 is not A Number 1 it is A Number 2
4. Weld metal thickness not addressed.
Technique (QW-410)
5. Multi or single pass not addressed.
Mistakes on the PQR
Tensile Tests (QW-150)
6. First tensile specimen was not within the tolerance. The specimen failed at less than 95 % of the
specified ultimate tensile strength for the material.
Guided Bend Tests (QW-160)
7. The test coupon is 0.365” and it must be 0.375 or greater to use side bends. The coupons should
have been subjected to two face and two root bends.
217
Lesson 16
ASME Section V NDE
FROM THE API 510 BODY OF KNOWLEDGE
III. NONDESTRUCTIVE EXAMINATION
ASME Section V, Nondestructive Examination
NOTE: The examination will cover ONLY the main body of each referenced Article, except as noted.
Article 1 SCOPE OF SECTION V
The inspector should be familiar with and understand;
1. The Scope of Section V,
2. Rules for use of Section V as a referenced Code,
3. Responsibilities of the Owner / User, and of subcontractors,
4. Calibration,
5. Definitions of "inspection" and examination",
6. Record keeping requirements.
ASME Section V
T-110 Scope
(a) Unless otherwise specified by the referencing Code Section or other referencing documents,
this Section of the Code contains requirements and methods for nondestructive examination
which are Code requirements to the extent they are specifically referenced and required by other
Code Sections.
T-130 Equipment
It is the responsibility of the Manufacturer, fabricator, or installer to ensure that the examination
equipment being used conforms to the requirements of this Code Section.
T-150 Procedure
(b) When an examination to the requirements of this Section of the Code is required by other
Sections of the Code, it shall be the responsibility of the Manufacturer, fabricator, or installer to
establish nondestructive examination procedures and personnel certification procedures
conforming to the referencing Code requirements.
(c) When required by the referencing Code Section, all nondestructive examinations performed
under this Code Section shall be done to a written procedure. This procedure shall be
demonstrated to the satisfaction of the Inspector. The procedure or method shall comply with the
applicable requirements of this Section for the particular examination method….Where so
required; written procedures shall be made available to the Inspector on request. At least
one copy of each procedure shall be readily available to the Manufacturer’s Nondestructive
Examination Personnel for their reference and use.
218
T-170 Examinations and Inspections
a) Throughout this Section of the Code, the word Inspector means the Authorized Inspector who
has been qualified as required in the various referencing Code Sections.
b) The special distinction established in the various Code Sections between inspection and
examination and the personnel performing them is also adopted in this Code Section. In other
words, the term inspection applies to the functions performed by the Authorized Inspector, but
the term examination applies to those quality control functions performed by personnel
employed by the Manufacturer.
T-180 Evaluation
The acceptance standards for these methods shall be as stated in the referencing document
(s).
T-190 Records / Documentation
Records/Documentation shall be in accordance with the referencing document (s) and the applicable
requirements of Subsection A and/or B of this Code Section.
The code user shall be responsible for all required Records/Documentation.
Article 2 Radiographic Examination
The inspector should be familiar with and understand;
1. The Scope of Article 2 and general requirements,
2. The rules for radiography as typically applied on pressure vessels such as, but not limited to:
a. Required marking
b. Type, selection, number, and placement of IQI’s,
c. Allowable density
d. Control of backscatter radiation
e. Location markers
7. Records
T-210 Scope
The radiographic method described in this Article for examination of materials including castings and
welds shall be used together with Article 1, General Requirements. Definitions of terms used in this Article
are in Mandatory Appendix V of this Article……
T-223 Backscatter Radiation
A lead symbol “B,” with minimum dimensions of 1/2 " in height and 1/16 in. in thickness, shall be
attached to the back of each film holder during each exposure to determine if backscatter radiation is
exposing the film.
Alert! Can be a Closed Book question!
T-224 System of Identification
A system shall be used to produce permanent identification on the radiograph traceable to the contract,
component, weld or weld seam, or part numbers, as appropriate. In addition, the Manufacturer’s symbol or
name and the date of the radiograph shall be plainly and permanently included on the radiograph. This
identification system does not necessarily require that the information appear as radiographic images.
In any case, this information shall not obscure the area of interest.
219
T-225 Monitoring Density Limitations of Radiographs
Either a densitometer or step wedge comparison film shall be used for judging film density.
T – 233 Image Quality Indicator (IQI) Design
IQIs shall be either the hole type or the wire type. Hole-type IQIs shall be manufactured and identified in
accordance with the requirements or alternates allowed in SE-1025. Wire-type IQIs shall be
manufactured and identified in accordance with the requirements or alternates allowed in SE-747, except
that the largest wire number or the identity number may be omitted. ASME standard IQIs shall consist of
those in Table T-233.1 for hole type and those in Table T-233.2 for wire type.
Table T-233.1 Hole Type IQI Thickness and Hole Diameters
 Questions that come from this table are directed at such things as looking up the thickness of
the IQI based on a Designation Number or a specific hole diameter such as 1T, 2T, or 4T for
a IQI Designation Number.
220
It is interesting to note that all the Designation Numbers directly relate to the thickness of the Hole Type
IQI except for three, numbers 7, 12 and 17. Let’s have a look.
* These types of questions should be expected on the first half, Open Book portion of the exam.
Another feature of the Designation Number is in reference to the specific hole such as 1T, 2T, or 4T. The
T is the thickness of a given IQI Designation such Number 15 for example. So the 1 x T hole has a
diameter of 0.015” and thus the 2 x T hole = 0.030”, 4 x T = 0.060”.
However this rule does not hold for the smaller IQI Numbers 5 and 7 which are both identical to Number
10. To say it another way, Numbers 5, 7 and, 10 all have the same diameter of 1T, 2T and 4T holes.
Take a look!
221
Table T-233.2 ire IQI Designation, Wire Diameter, and Wire Identity
The alternative and, some think better, Image Quality Indicator (IQI) it the Wire Type.
Information Only No Questions on the Exam
222
Typical question on the Open Book portion of the exam are what is the diameter of a given wire size.
For Example:
What is the wire size of a Set A # 4 wire?
Answer: 0.0063” (0.16 mm).
There’s not much tricky here, just read carefully.
223
T-274 Geometric Unsharpness
Geometric Unsharpness shall be determined in accordance with:
Ug = Fd /D
Where:
Ug = Geometric unsharpness
F = Source size: the maximum projected dimension of the radiating source (or effective focal spot)
in the plane perpendicular to the distance D from the weld or object being radiographed,
inches.
D = The distance from source of radiation to weld or object being radiographed, inches.
d = Distance from source side of weld or object being radiographed to the film, inches.
D and d shall be determined at the approximate center of the area of interest.
* All that is needed here is to remember what the terms mean.
Here is a short definition of Geometric Unsharpness;
Source to film distance, object to film distance, and source size directly affect the degree of penumbra
shadow and geometric unsharpness of a radiograph. Codes and standards used in industrial radiography
require that geometric unsharpness be limited.
224
T-275 Location Markers
Location markers (see Fig. T-275), which are to appear as radiographic images on the film, shall be
placed on the part, not on the exposure holder / cassette.
Their locations shall be permanently marked on the surface of the part being radiographed when
permitted, or on a map, in a manner permitting the area of interest on a radiograph to be accurately
traceable to its location on the part, for the required retention period of the radiograph. Evidence shall also
be provided on the radiograph that the required coverage of the region being examined has been
obtained. Location markers shall be placed as follows.
T-275.1 Single-Wall Viewing
(a) Source-Side Markers. Location markers shall be placed on the source side when radiographing
the following:
(1) Flat components or longitudinal joints in cylindrical or conical components;
(2) Curved or spherical components whose concave side is toward the source and when the
“source-to material” distance is less than the inside radius of the component;
(3) Curved or spherical components whose convex side is toward the source.
Using Fig. T-275 we have these three examples;
225
(b) Film-Side Markers
(1) Location markers shall be placed on the film side when radiographing either curved or
spherical components whose concave side is toward the source and when the “source-to-
material” distance is greater than the inside radius.
(c) Either Side Markers. Location markers may be placed on either the source side or film side when
radiographing either curved or spherical components whose concave side is toward the source
and the “source-to-material” distance equals the inside radius of the component.
T – 275.2 Double-Wall Viewing
For double-wall viewing, at least one location marker shall be placed adjacent to the weld (or on the
material in the area of interest) for each radiograph.
226
T-275.3 Mapping the Placement of Location Markers
When inaccessibility or other limitations prevent the placement of markers as stipulated in T-275.1 and T-
275.2, a dimensioned map of the actual marker placement shall accompany the radiographs to show that
full coverage has been obtained.
T-276.1 IQI Material
IQI’s shall be selected from either the same alloy material group or grade as identified in SE-1025 or from
an alloy material group or grade with less radiation absorption than the material being radiographed.
T-276.2 Size
The designated hole IQI or essential wire shall be as specified in Table T-276. A thinner or thicker hole-
type IQI may be substituted for any section thickness listed in Table T-276, provided an equivalent IQI
sensitivity is maintained. See T-283.2.
(a) Welds With Reinforcements. The thickness on which the IQI is based is the nominal single-wall
thickness plus the estimated weld reinforcement not to exceed the maximum permitted by the
referencing Code Section. Backing rings or strips shall not be considered as part of the thickness in IQI
selection. The actual measurement of the weld reinforcement is not required.
(b) Welds Without Reinforcements. The thickness on which the IQI is based is the nominal single-wall
thickness. Backing rings or strips shall not be considered as part of the weld thickness in IQI selection.
227
Table T – 276 IQI Selection
For the exam you may be required to select the proper IQI for a radiograph. This is by establishing the
part thickness as previously discussed, the type of shot, “Source Side” or “Film Side” and apply Table T-
276.1
Example: For a film side shot of a part thickness that is 0.500: (12.7 mm) what would be the required
Hole Type IQI Number?
Answer: # 15
Be careful, don’t answer with the wire number when asked for the hole type designator!
T-277.1 Placement of IQIs
(a) Source-Side IQI(s). The IQI(s) shall be placed on the source side of the part being examined,
except for the condition described in T-277.1(b). When, due to part or weld configuration or size,
it is not practical to place the IQI(s) on the part or weld, the IQI(s) may be placed on a separate
block. Separate blocks shall be made of the same or radiographically similar materials (as defined
in SE-1025) and may be used to facilitate IQI positioning.
There is no restriction on the separate block thickness, provided the IQI/area of- interest density tolerance
requirements of T-282.2 are met.
(1) The IQI on the source side of the separate block shall be placed no closer to the film than the
source side of the part being radiographed.
(2) The separate block shall be placed as close as possible to the part being radiographed.
(3) The block dimensions shall exceed the IQI dimensions such that the outline of at least three
sides of the IQI image shall be visible on the radiograph.
228
(b) Film-Side IQI(s). Where inaccessibility prevents hand placing the IQI(s) on the source side, the
IQI(s) shall be placed on the film side in contact with the part being examined. A lead letter “F”
shall be placed adjacent to or on the IQI(s), but shall not mask the essential hole where hole IQIs
are used.
(c) IQI Placement for Welds - Hole IQI s. The IQI (s) may be placed adjacent to or on the weld.
The identification number (s) and, when used, the lead letter “F,” shall not be in the area of
interest, except when geometric configuration makes it impractical.
(d) IQI Placement for Welds — Wire IQIs. The IQI(s) shall be placed on the weld so that the length of
the wires is perpendicular to the length of the weld (Across the weld). The IQI identification and,
when used, the lead letter "F," shall not be in the area of interest, except when geometric
configuration makes it impractical.
T-281 Quality of Radiographs
All radiographs shall be free from mechanical, chemical, or other blemishes to the extent that they do not
mask and are not confused with the image of any discontinuity in the area of interest of the object being
radiographed. Such blemishes include, but are not limited to:
(a) Fogging;
(b) Processing defects such as streaks, watermarks, or chemical stains;
(c) Scratches, finger marks, crimps, dirtiness, static marks, smudges, or tears;
(d) False indications due to defective screens.
T-282.1 Density Limitation
The transmitted film density through the radiographic image of the body of the appropriate hole IQI or
adjacent to the designated wire of a wire IQI and the area of interest shall be ** 1.8 minimum for single
film viewing for radiographs made with an X-ray source and 2.0 minimum for radiographs made with
a gamma ray source.
For composite viewing of multiple film exposures, each film of the composite set shall have a minimum
density of 1.3. The maximum density shall be 4.0 for either single or composite viewing. A tolerance of
0.05 in density is allowed for variations between densitometer readings.
This has often been a Closed Book question, due to the belief that an inspector should know the density
limits for film as part of his everyday duties.
T- 282.2 Density Variation
(a) General. If the density of the radiograph anywhere through the area of interest varies by more
than minus 15% or plus 30% from the density through the body of the hole IQI or adjacent
to the designated wire of a wire IQI, within the minimum/maximum allowable density ranges
specified in T-282.1, then an additional IQI shall be used for each exceptional area or areas and
the radiograph retaken. When calculating the allowable variation in density, the calculation may be
rounded to the nearest 0.1 within the range specified in T-282.1.
(b) With Shims. When shims are used the plus 30% density restriction of (a) above may be exceeded,
provided the required IQI sensitivity is displayed and the density limitations of T-282.1 are not
exceeded.
T- 283 IQI Sensitivity
T-283.1 Required Sensitivity. Radiography shall be performed with a technique of sufficient sensitivity to
display the designated hole IQI image and the essential hole, or the essential wire of a wire IQI. The
radiographs shall also display the IQI identifying numbers and letters. If the designated hole IQI image and
essential hole, or essential wire, do not show on any film in a multiple film technique, but do show in
composite film viewing, interpretation shall be permitted only by composite film viewing.
229
T-283.2 Equivalent Hole-Type Sensitivity.
A thinner or thicker hole-type IQI than the required IQI may be substituted, provided an equivalent or
better IQI sensitivity, as listed in Table T-283, is achieved and all other requirements for radiography are
met. Equivalent IQI sensitivity is shown in any row of Table T-283, which contains the required IQI and
hole. Better IQI sensitivity is shown in any row of Table T-283, which is above the equivalent sensitivity
row. If the required IQI and hole are not represented in the table, the next thinner IQI row from Table T-
283 may be used to establish equivalent IQI sensitivity.
T – 284 Excessive Backscatter
If a light image of the “B,” as described in T-223, appears on a darker background of the radiograph,
protection from backscatter is insufficient and the radiograph shall be considered unacceptable. A dark
image of the “B” on a lighter background is not cause for rejection.
This seems to be on almost every examination, API 510, 570 and, 653. It can be open or closed
book.
230
Section VIII Appendix 4
Rounded Indications Charts Acceptance Standard for Radiographically Determined Rounded Indications
in Welds
4-1 Applicability of These Standards
These standards are applicable to ferritic, austenitic, and nonferrous materials.
4-2 Terminology
(a) Rounded Indications. * Indications with a maximum length of three times the width or less
on the radiograph are defined as rounded indications. These indications may be circular, elliptical,
conical, or irregular in shape and may have tails. When evaluating the size of an indication, the
tail shall be included. The indication may be from any imperfection in the weld, such as porosity,
slag, or tungsten. * Prime test question.
(b) Aligned Indications. A sequence of four or more rounded indications shall be considered to be
aligned when they touch a line parallel to the length of the weld drawn through the center of the
two outer rounded indications.
(c) Thickness t. t is the thickness of the weld, excluding any allowable reinforcement. For a butt weld
joining two members having different thicknesses at the weld, t is the thinner of these two
thicknesses. If a full penetration weld includes a fillet weld, the thickness of the throat of the fillet
shall be included in t.
This is the standard definition of t found in other paragraphs of Section VIII.
231
4-3 Acceptance Criteria
(a) Image Density. Density within the image of the indication may vary and is not a criterion for
acceptance or rejection.
(b) Relevant Indications. (See Table 4-1 for examples.) Only those rounded indications which
exceed the following dimensions shall be considered relevant.
1/10 t for t less than 1/8 in.
1/64 in. for t from 1/8 in. to 1/4 in. incl.
1/32 in. for t greater than 1/4 in. to 2 in. incl.
1/16 in. for t greater than 2 in.
(c) Maximum Size of Rounded Indication. (See Table 4-1 for examples.) The maximum permissible
size of any indication shall be 1/4t, or 5/32 in., whichever is smaller; except that an isolated
indication separated from an adjacent indication by 1 in. or more may be 1/3t, or 1/4 in., whichever
is less. For t greater than 2 in. the maximum permissible size of an isolated indication shall be
increased to 3/8 in.
(d) Aligned Rounded Indications. Aligned rounded indications are acceptable when the summation
of the diameters of the indications is less than t in a length of 12 t. See Fig. 4-1. The length of
groups of aligned rounded indications and the spacing between the groups shall meet the
requirements of Fig. 4-2.
Example 1: The summation of diameters = .900” in a 1.0” thick weld over a 12” length , acceptable. The
summation of 1.0” in 12” length is unacceptable.
Example 2: The summation of diameters = .245” in a .250” thick weld over a 12 x .250”= 3” length,
acceptable. The summation of diameters = 12 x .250” = 3”, unacceptable.
232
(e) Spacing. The distance between adjacent rounded indications is not a factor in determining
acceptance or rejection, except as required for isolated indications or groups of aligned
indications.
(f) Rounded Indication Charts. The rounded indications characterized as imperfections shall not
exceed that shown in the charts. The charts in Figs. 4-3 through 4-8 illustrate various types of
assorted, randomly dispersed and clustered rounded indications for different weld thicknesses
greater than 1/8 in. (3.2 mm). These charts represent the maximum acceptable concentration
limits for rounded indications. The charts for each thickness range represent full-scale 6 in.
radiographs, and shall not be enlarged or reduced.
233
(g) Weld Thickness t less than 1/8 in.
For t less than 1/8 in. the maximum number of rounded indications shall not exceed 12 in a 6 in.
length of weld. A proportionally fewer number of indications shall be permitted in welds less than
6 in. in length.
(h) Clustered Indications.
The illustrations for clustered indications show up to four times as many indications in a local area, as that
shown in the illustrations for random indications. The length of an acceptable cluster shall not exceed
the lesser of 1 in. or 2t. Where more than one cluster is present, the sum of the lengths of the clusters
shall not exceed 1 in. in a 6 in. length weld.
234
SE-797 Standard Practice for Measuring Thickness
By Manual Ultrasonic Pulse-Echo Contact Method
E. Article 23, Ultrasonic Standards, Section SE–797 only – Standard practice for measuring thickness
by manual ultrasonic pulse-echo contact method:
The inspector should be familiar with and understand;
1. The Scope of Article 23, Section SE-797,
2. The general rules for applying and using the Ultrasonic method
3. The specific procedures for Ultrasonic thickness measurement as contained in paragraph 7.
Scope
This practice provides guidelines for measuring the thickness of materials using the contact pulse-echo
method at temperatures not to exceed 200°F (93°C).
Best know this fact
The velocity in the material being examined is a function of the physical properties of the material. It is
usually assumed to be a constant for a given class of materials.
Thickness (T), when measured by the pulse-echo ultrasonic method, is a product of the velocity of sound
in the material and one half the transit time (round trip) through the material.
T = Vt/2
Where:
T = Thickness
V = Velocity
t = time
One or more reference blocks are required having known velocity, or of the same material to be
examined, and having thicknesses accurately measured and in the range of thicknesses to be measured.
It is generally desirable that the thicknesses be “round numbers” rather than miscellaneous odd values.
One block should have a thickness value near the maximum of the range of interest and another
block near the minimum thickness.
Following are four cases of Direct Contact thickness measurement calibration. Questions on the exam
come from here primarily. These are the calibration and as such it is expected that an API Inspector has a
working knowledge of calibration. Meaning these can be Closed Book exam questions.
7.1 Case I — Direct Contact, Single-Element
Search Unit:
7.1.1 Conditions — The display start is synchronized to the initial pulse. All display elements are
linear. Full thickness is displayed on the A-scan display.
Buzz words that mean Direct Contact Single-Element or Case 1.
7.1.4 The readings should then be checked and adjusted on standardization blocks with thickness of
lesser value to improve the overall accuracy of the system.
235
7.2 Case II — Delay Line Single-Element Search
Unit:
7.2.1 Conditions — When using this search unit, it is necessary that the equipment be capable of
correcting for the time during which the sound passes through the delay line so that the end
of the delay can be made to coincide with zero thickness. This requires a so-called “delay” control
in the instrument or automatic electronic sensing of zero thickness.
Be able to recognize this statement is associated with Case II.
7.2.2.1 Use at least two standardization blocks. One should have a thickness near the maximum of
the range to be measured and the other block near the minimum thickness. For convenience, it
is desirable that the thickness should be “round numbers” so that the difference between them
also has a convenient round number” value.
Repeated many times in SE-797, two blocks, round numbers.
7.2.2.2 Place the search unit sequentially on one and then the other block, and obtain both readings.
The difference between these two readings should be calculated. If the reading thickness
difference is less than the actual thickness difference, place the search unit on the thicker
specimen, and adjust the material standardize control to expand the thickness range. If reading
thickness difference is greater than the actual thickness difference, place the search unit on
thicker specimen, and adjust the material standardize control to decrease…
Know this sequence of calibration.
7.3 Case III — Dual Search Units:
7.3.1 The method described in 7.2 (Case II) is also suitable for equipment using dual search units in the
thicker ranges, above 3 mm (0.125 in.). However, below those values there is an inherent error due to the
Vee path that the sound beam travels. The transit time is no longer linearly proportional to thickness, and
the condition deteriorates toward the low thickness end of the range.
A feature that identifies Case III.
7.4 Case IV — Thick Sections:
7.4.1 Conditions — For use when a high degree of accuracy is required for thick sections.
7.4.2 Direct contact search unit and initial pulse synchronization are used. The display start is delayed as
described in 7.4.4. All display elements should be linear. Incremental thickness is displayed on the A-scan
display.
7.4.3 Basic standardization of the sweep will be made as described in Case I. The standardization block
chosen for this standardization should have a thickness that will permit standardizing the full-sweep
distance to adequate accuracy, that is, about 10 mm (0.4 in.) or 25 mm (1.0 in.) full scale.
7.4.4 After basic standardization, the sweep must be delayed. For instance, if the nominal part
thickness is expected to be from 50 to 60 mm (2.0 to 2.4 in.), and the basic standardization block is 10
mm (0.4 in.), and the incremental thickness displayed will also be from 50 to 60 mm (2.0 to 2.4 in.), the
following steps are required. Adjust the delay control so that the fifth back echo of the basic
standardization block, equivalent to 50 mm (2.0 in.), is aligned with the 0 reference on the A-scan display.
The sixth back echo should then occur at the right edge of the standardized sweep.
236
237
Section VIII Appendix 12 Ultrasonic Examination of Welds (UT)
12-1 Scope
(a) This Appendix describes methods which shall be employed when ultrasonic examination of
welds is specified in this Division.
(b) Article 4 of Section V shall be applied for detail requirements in methods.
12 – 2 Certification of Competence of Nondestructive Examiner
The Manufacturer shall certify that personnel performing and evaluating ultrasonic examinations required
by this Division have been qualified and certified in accordance with their employer’s written practice.
SNT-TC-1A shall be used as a guideline for employers. Alternatively, the ASNT Central Certification
Program (ACCP)1 or CP-189 may be used to fulfill the examination and demonstration requirements of
SNT-TC-1A and the employer’s written practice. These requirements are repeated throughout the all of
the Appendices i.e. Appendix 4, 6, and 8.
12 – 3 Acceptance – Rejection Standards
These Standards shall apply unless other standards are specified for specific applications within this
Division. Imperfections which produce a response greater than 20% of the reference level shall be
investigated to the extent that the operator can determine the shape, identity, and location of all such
imperfections and evaluate them in terms of the acceptance standards given in (a) and (b) below.
(a) Indications characterized as cracks, lack of fusion, or incomplete penetration are
unacceptable regardless of length. Once again referenced in all Appendices!
(b) Other imperfections are unacceptable if the indications exceed the reference level amplitude
and have lengths which exceed:
(1) 1/4 in. for t up to 3/4 in. ;
(2) 1/3t for t from 3/4 in. to 2-1/4 in.;
(3) 3/4 in. for t over 2-1/4 in. .
where t is the thickness of the weld excluding any allowable reinforcement. For a butt weld
joining two members having different thicknesses at the weld, t is the thinner of these two
thicknesses…
12 – 4 Report of Examination
The Manufacturer shall prepare a report of the ultrasonic examination and a copy of this report shall be
retained by the Manufacturer until the Manufacturer’s Data Report has been signed by the Inspector. The
report shall contain the information required by Section V. In addition, a record of repaired areas shall be
noted as well as the results of the reexamination of the repaired areas. The Manufacturer shall also
maintain a record of all reflections from uncorrected areas having responses that exceed 50% of the
reference level.
238
Liquid Penetrant Testing Section V
Article 6, Liquid Penetrant Examination, including Mandatory Appendices II and III:
The inspector should be familiar with and understand:
1. The Scope of Article 6,
2. The general rules for applying and using the liquid penetrant method such as, but not limited to;
a) Procedures
b) Contaminants
c) Techniques
d) Examination
e) Interpretation
f) Documentation and
g) Record keeping
T- 600 Scope
The liquid penetrant examination method is an effective means for * detecting discontinuities which are
open to the surface of nonporous metals and other materials. Typical discontinuities detectable by
this method are cracks, seams, laps, and porosity. In principle, a liquid penetrant is applied to the surface
to be examined and allowed to enter.
* Closed book question for certain.
T- 620 General
Liquid penetrant examination shall be performed in accordance with a written procedure. Each procedure
shall include at least:
(a) The materials, shapes, or sizes to be examined, and the extent of the examination;
(b) Type (number or letter designation if available) of each penetrant, penetrant remover, emulsifier,
and developer;
(c) Processing details for pre-examination cleaning and drying, including the cleaning materials used
and minimum time allowed for drying;
T- 642 Surface Preparation
(a) In general, satisfactory results may be obtained when the surface of the part is in the as-welded,
as rolled, as-cast, or as-forged condition. Surface preparation by grinding, machining, or other
methods may be necessary where surface irregularities could mask indications of unacceptable
discontinuities.
(b) Prior to each liquid penetrant examination, the surface to be examined and all adjacent areas
within at least 1 in. shall be dry and free of all dirt, grease, lint, scale, welding flux, weld spatter,
paint, oil, and other.
1 inch is common to all cleaning operations for NDE.
239
T- 650 Procedure / Technique
T- 651 Techniques
Either a color contrast (visible) penetrant or a fluorescent penetrant shall be used with one of the following
three penetrant processes:
(a) Water washable
(b) Post-emulsifying
(c) Solvent removable
The visible and fluorescent penetrant used in combination with these three penetrant processes result in
six liquid penetrant techniques.
6 Techniques from Two Processes
1. Visible water washable
2. Visible post-emulsifying
3. Visible solvent removable
4. Fluorescent water washable
5. Fluorescent post-emulsifying
6. Fluorescent solvent removable
T-652 Techniques for Standard Temperatures
As a standard technique, the temperature of the penetrant and the surface of the part to be processed
shall not be below 40°F (5°C) nor above 125°F (52°C) throughout the examination period. Local heating or
cooling is permitted provided the part temperature remains in the range of 40°F to 125°F (5°C to 52°C)
during the examination. Where it is not practical to comply with these temperature limitations, other
temperatures and times may be used, provided the procedures are qualified as specified in T-653.
These temperatures can be on the Closed Book portion.
T-653 Techniques for Nonstandard Temperatures
When it is not practical to conduct a liquid penetrant examination within the temperature range of 40°F to
125°F (5°C to 52°C), the examination procedure at the proposed lower or higher temperature range
requires qualification of the penetrant materials and processing in accordance with Mandatory Appendix III
of this Article.
.
240
Comparator Block Appendix III
T- 654 Technique Restrictions
Fluorescent penetrant examination shall not follow a color contrast penetrant examination. Intermixing
of penetrant materials from different families or different manufacturers is not permitted.
This something that all inspectors are expected to know, Closed Book…
A retest with water washable penetrant may cause loss of marginal indications due to contamination.
T- 671 Penetrant Application
The penetrant may be applied by any suitable means, such as dipping, brushing, or spraying. If the
penetrant is applied by spraying using compressed-air-type apparatus, filters shall be placed on the
upstream side near the air inlet to preclude contamination of the penetrant by oil…
T- 672 Penetration Time
Penetration time is critical. The minimum penetration time shall be as required in Table T-672 or as
qualified by demonstration for specific applications.
241
T- 673 Excess Penetrant Removal
After the specified penetration time has elapsed, any penetrant remaining on the surface shall be
removed, taking care to minimize removal of penetrant from discontinuities.
T- 673.1 Water Washable Penetrant
Excess water washable penetrant shall be removed with a water spray. The water pressure shall not
exceed 50 psi, and the water temperature shall not exceed 110°F.
T- 673.3 Solvent Removable Penetrant
Excess solvent removable penetrant shall be removed by wiping with a cloth or absorbent paper,
repeating the operation until most traces of penetrant have been removed. The remaining traces shall be
removed by lightly wiping the surface with cloth or absorbent paper moistened with solvent. To minimize
removal of penetrant from discontinuities, care shall be taken to avoid the use of excess solvent.
Flushing the surface with solvent, following the application of the penetrant and prior to
developing, is prohibited.
Definitely Closed Book
T- 674 Drying After Excess Penetrant Removal
(a) For the water washable or post-emulsifying technique, the surfaces may be dried by blotting with
clean materials or by using circulating air, provided the temperature of the surface is not raised
above 125°F (52°C).
(b) For the solvent removable technique, the surfaces may be dried by normal evaporation, blotting,
wiping, or forced air.
T- 675 Developing
The developer shall be applied as soon as possible after penetrant removal; the time interval shall not
exceed that established in the procedure. Insufficient coating thickness may not draw the penetrant out of
discontinuities; conversely, excessive coating thickness may mask indications. With color contrast
penetrants, only a wet developer shall be used. With fluorescent penetrant, a wet or dry developer may be
used.
Developing time for final interpretation begins immediately after the application of a dry developer or
as soon as a wet developer coating is dry. The minimum developing time shall be as required by Table
T-672.
T- 676.1 Final Interpretation
Final interpretation shall be made within 10 to 60 min after the requirements of T-675.3 are satisfied. If
bleed-out does not alter the examination results, longer periods are permitted. If the surface to be
examined is large enough to preclude complete examination within the prescribed or established time, the
examination shall be performed in increments.
T- 676.2 Characterizing Indications
The type of discontinuities is difficult to evaluate if the penetrant diffuses excessively into the developer. If
this condition occurs, close observation of the formation of indication (s) during application of the
developer may assist in characterizing and determining the extent of the indication.
242
Appendix 8
Section VIII Methods for Liquid Penetrant Examination (PT)
8-1
(a) This Appendix describes methods which shall be employed whenever liquid penetrant examination
is specified in this Division.
8-2 Certification of Competency of Nondestructive Examination Personnel
The manufacturer shall certify that each liquid penetrant examiner meets the following requirements.
(a) He has vision, with correction if necessary, to enable him to read a Jaeger Type No. 2 Standard
Chart at a distance of not less than 12 in. , and is capable of distinguishing and differentiating
contrast between colors used. These requirements shall be checked annually.
(b) He is competent in the techniques of the liquid penetrant examination method for which he is
certified.
8-3 Evaluation of Indications
An indication of an imperfection may be larger than the imperfection that causes it; however, the size of
the indication is the basis for acceptance evaluation. Only indications with major dimensions greater
than 1/16 in. shall be considered relevant.
(a) A linear indication is one having a length greater than three times the width.
(b) A rounded indication is one of circular or elliptical shape with the length equal to or less than three
times the width.
(c) Any questionable or doubtful indications shall be reexamined to determine whether or not they are
relevant.
8-4 Acceptance Standards
These acceptance standards shall apply unless other more restrictive standards are specified for specific
materials or applications within this Division. All surfaces to be examined shall be free of:
(a) Relevant linear indications.
(b) Relevant rounded indications greater than 3/16 in.
(c) Four or more relevant rounded indications in a line separated by 1/16 in. or less (edge to edge).
243
8-5 Repair Requirements
Unacceptable imperfections shall be repaired and reexamination made to assure removal or reduction to
an acceptable size. Whenever an imperfection is repaired by chipping or grinding and subsequent repair
by welding is not required, the excavated area shall be blended into the surrounding surface so as to avoid
sharp notches, crevices, or corners. Where welding is required.
All of the Appendices mention this operation for repairs.
(a) Treatment of Indications Believed Nonrelevant. Any indication which is believed to be nonrelevant
shall be regarded as an imperfection unless it is shown by reexamination by the same method or
by the use of other nondestructive methods and/or by surface conditioning that no unacceptable
imperfection is present.
(b) Examination of Areas From Which Defects Have Been Removed. After a defect is thought to have
been removed and prior to making weld repairs, the area shall be examined by suitable methods
to ensure it has been removed or reduced to an acceptably sized imperfection.
(c) Reexamination of Repair Areas. After repairs have been made, the repaired area shall be blended
into the surrounding surface so as to avoid sharp notches, crevices, or corners and reexamined
by the liquid penetrant method and by all other methods of examination that were originally
required for the affected area, except that, when the depth of repair is less than the
radiographic sensitivity required, re-radiography may be omitted.
244
Magnetic Particle Testing Section V
Article 7, Magnetic Particle Examination (Yoke and Prod techniques only)
The inspector should be familiar with and understand the general rules for applying and using the
magnetic particle
method such as, but not limited to;
1. The Scope of Article 7,
2. General requirements such as but not limited to requirements for:
a. Procedures
b. Techniques (Yoke and Prod only)
c. Calibration
d. Examination
e. Interpretation
3. Documentation and record keeping
T- 720 General
The magnetic particle examination method may be applied to detect cracks and other discontinuities on or
near the surfaces of ferromagnetic materials. The sensitivity is greatest for surface discontinuities and
diminishes rapidly with increasing depth of subsurface discontinuities below the surface. Typical types of
discontinuities that can be detected by this method are cracks, laps, seams, maximum sensitivity will be to
linear discontinuities oriented perpendicular to the lines of flux. For optimum effectiveness in detecting all
types of discontinuities, each area should be examined at least twice, with the lines of flux during one
examination approximately perpendicular to the lines of flux during the other.
T-721 Written Procedures
T- 721.1 Requirements
Magnetic particle examination shall be performed in accordance with a written procedure, which shall as a
minimum contain the requirements listed in Table T-721. The written procedure shall establish a single
value, or a range of values, for each requirement.
245
T- 721.2 Procedure Qualifications
When Procedure qualification is specified, a change of a requirement in Table T-721 identified as an
essential variable from the specified value, or range of values shall require requalification of the written
procedure.
T- 741 Surface Conditioning
T- 741.1 Preparation (b) Prior to magnetic particle examination, the surface to be examined and all
adjacent areas within at least *1 in.
Once again we see that 1in is the standard distance for cleaning prior all the surface examinations.
T- 750 TECHNIQUE
T- 751 Techniques
One or more of the following five magnetization techniques shall be used:
(a) Prod technique:
(b) Longitudinal ….. Not on Exam
(c) Circular …….Not on Exam
(d) Yoke technique:
(e) Multidirectional….. Not on ExamT – 752 Prod TechniqueT-752.1 Magnetizing Procedure.
For the prod technique, magnetization is accomplished by portable.
T-752.2 Direct or rectified magnetizing current shall be used. The current shall be 100 (minimum) amp/in.
to 125 (maximum) amp/in. of prod spacing for sections 3/4 in. thick or greater. For sections less
than 3/4 in. thick, the current shall be 90 amp/in. to 110 amp/in. of prod spacing.
This is not something the every day inspector would know as part of his work. It should be Open
Book.
T-752.3 Prod spacing shall not exceed 8 in . Shorter spacing may be used to accommodate the
geometric limitations of the area being examined or to increase the sensitivity, but prod spacing
of less than 3 in are usually not practical due to banding of the particles around the prods.
Reported to be on Closed Book
T- 755 Yoke Technique
T-755.1 Application This method shall only be applied to detect discontinuities that are open to the
surface of the part.
T-755.2 Magnetizing Procedure.
For this technique alternating or direct current electromagnetic yokes, or permanent magnet yokes shall
be used.
Note: For materials 1/4” or less in thickness, alternating current yokes are superior to direct or permanent
magnet yokes of equal lifting power for the detection of SURFACE discontinuities.
Closed book for sure.
246
T- 760 Calibration of Equipment
(a) Frequency. Each piece of magnetizing equipment with an ammeter shall be calibrated at least
once a year, or whenever the equipment has been subjected to major electric repair, periodic
overhaul, or damage. If equipment has not been in use for a year or more, calibration shall be
done prior to first use.(b) Procedure. The accuracy of the unit’s meter shall be verified annually by
equipment traceable to a national standard. Comparative readings shall be taken for at least three
different current output levels encompassing the usable range.(c) Tolerance. The unit’s meter
reading shall not deviate by more than ±10% of full scale, relative to the actual current value as
shown by the test meter.
T- 762 Lifting Power of Yokes
(a) Prior to use, the magnetizing power of electromagnetic yokes shall have been checked within the
past year. The magnetizing power of permanent magnetic yokes shall be checked daily prior to
use. The magnetizing power of all yokes shall be checked whenever the yoke has been damaged
or repaired.
(b) Each alternating current electromagnetic yoke shall have a lifting power of at least 10 lb at the
maximum pole spacing that will be used.
(c) Each direct current or permanent magnetic yoke shall have a lifting power of at least 40 lb (18.1
kg) at the maximum pole spacing that will be used.
On almost every exam both open and closed book.
247
T- 764 Magnetic Field Adequacy and Direction
T-764.1 Magnetic Field Adequacy
The applied magnetic field shall have sufficient strength to produce satisfactory indications, but shall not
be so strong…
T-764.1.1 Pie-Shaped Magnetic Particle Field Indicator
The indicator, shown in Fig T-764.1.1 shall be positioned on the surface to be examined, such that the
copper-plated side is away from the inspected surface. A suitable field strength is indicated when a clearly
defined line…
T-764.1.2 Artificial Flaw Shims
The shim, shown in Fig T-764.1.2 shall be attached to the surface to be examined, such that the… Hall
Effect not on Examination.
248
T- 773 Method of Examination
The ferromagnetic particles used in an examination medium can be either wet or dry, an may be either
fluorescent or nonfluorescent. Examination(s) shall be by the * continuous method.
(a) Dry Particles. The magnetizing current shall remain on while the examination medium is being
applied and while any excess of the examination medium is being removed.
(b) Wet Particles. The magnetizing current shall be turned on ** after the particles have been
applied. Flow particles shall stop with the application of current.
Known to be test questions on both halves.
T- 774 Examination Coverage
All examinations shall be conducted with sufficient field overlap to ensure 100% coverage at the
required sensitivity (T-753).
T – 777.1 Visible (Color Contrast) Magnetic Particles... A minimum light intensity of 100 fc (1000
Lx) is required to ensure adequate sensitivity during the examination and evaluation of indications.
249
T-777.2 Fluorescent Magnetic Particles With Black Light
With fluorescent magnetic particles, the process is essentially the same as in T-777.1, with the exception
that the examination is performed using an ultraviolet light (i.e., nominal 365 nm), called black light. The
examination shall be performed as follows:
(a) It shall be performed in a darkened area.
(b) Examiners shall be in a darkened area for at least 5 min prior to performing examinations to enable
their eyes to adapt to dark viewing. Glasses or lenses worn by examiners shall not be photochromic or
exhibit anyfluorescence.
(c) Black lights shall achieve a minimum of 1000 uW/cm
2
on the surface of the part being examined
throughout the examination.
(d) Reflectors, filters, glasses, and lenses should be checked and, if necessary, cleaned prior to use.
Cracked or broken reflectors, filters, glasses, or lenses shall be replaced immediately.
(e) The black light intensity shall be measured with a black light meter prior to use, whenever the light’s
power source is interrupted or changed, and at the completion of the examination or series of
examinations.
T- 780 Evaluation
(a) All indications shall be evaluated in terms of the acceptance standards of the referencing Code
Section.
(b) Discontinuities on or near the surface are indicated by retention of the examination medium. However,
localized surface irregularities due to machining marks or other surface conditions may produce false
indications.
(c) Broad areas of particle accumulation, which might mask indications from discontinuities, are
prohibited, and such areas shall be cleaned and reexamined.
250
Appendix 6 Section VIII
Magnetic Particle Examination (MT)
6-1 Scope(a) This Appendix provides for procedures which shall be followed whenever magnetic particle
examination is specified in this Division.
(b) Article 7 of Section V shall be applied for the detail requirements in methods and procedures,…
(c) Magnetic particle examination shall be performed in accordance with a written procedure,…
6 – 2 Certification of Competency for Nondestructive Examination PersonnelThe manufacturer shall
certify that each magnetic particle examiner meets the following requirements.(a) He has vision,
with correction if necessary, to enable him to read a Jaeger Type No. 2 Standard Chart at a
distance of not less than 12 in., and is capable of distinguishing and differentiating contrast
between colors used. These requirements shall be checked annually. Repeat of the other
appendices.
(b) He is competent in the techniques of the magnetic particle examination method, for which he is
certified,
6-3 Evaluation of Indications
Indications will be revealed by retention of magnetic particles. All such indications are not necessarily
imperfections, however, since excessive surface roughness, magnetic permeability variations (such as at
the edge of heat affected zones), etc., may produce similar indications. An indication of an imperfection
may be larger than the imperfection that causes it; however, the size of the indication is the basis for
acceptance evaluation. Only indications which have any dimension greater than ** 1/16 in. shall be
considered relevant.
** Same as for Dye Penetrant!(a) A linear indication is one having a length greater than three
times the width. Repeat……of the description of a linear indication from other NDE methods
such as Dye penetrant.
(b) A rounded indication is one of circular or elliptical shape with a length equal to or less than
three times its width. Repeat of the description of a rounded indication.(c) Any questionable or
doubtful indications shall be reexamined to determine whether or not they are relevant.
6 – 4 Acceptance StandardsThese acceptance standards shall apply unless other more restrictive
standards are specified for specific materials or applications within this Division.
All surfaces to be examined shall be free of:
(a) Relevant linear indications;(b) Relevant rounded indications greater than 3/16 in. ;(c) Four or more
relevant rounded indications in a line separated by 1/16 in. or less, edge to edge.
251
Lesson 17
RP-577 Welding Inspection and Metallurgy
Introduction
Much of the content of RP-577 has been gathered from other technical and Code publications. Overall it is
a fine publication and represents a lot of hard work.
Since many of these subjects are covered in previous lessons, such as several of the NDE processes and
Welding procedures this lesson will not address those same issues again, unless there is added
information not presented previously.
RP-577 should be taken quite seriously during study. It is a new document on the examination, and as
such you should expect approximately 10 questions from it. You may even prefer to use this document as
your primary source for the study of welding and NDE as it is specifically pointed at in-service inspection
methods.
However the ASME Code Sections V, VIII Div.1 and, IX must not be neglected as they are still a part of
the examination.
The parts of RP-577 covered in the lesson will not be addressed completely. The effort will be to introduce
the topics of RP-577 and familiarize the student with its content and study responsibilities. However a
question and answer study exercise has been provided for exam preparation.
Lesson Objectives
• Become familiar with definitions and welding inspection terminology
• Understand the tasks and processes required to perform welding inspections.
- Tasks Prior to Welding.
- Tasks during Welding Operations
- Tasks upon Completion of Welding
- Non-conformances and Defects
- NDE Examiner Certification
- Safety Precautions
• Introduce the welding process types and their advantages and disadvantages based on intended
application, these include:
- Shielded Metal Arc Welding (SMAW)
- Gas Tungsten Arc Welding (GTAW)
- Gas Metal Arc Welding (GMAW)
- Flux Core Arc Welding (FCAW)
- Submerged Arc Welding (SAW)
- Stud Arc Welding (SW)
252
Lesson Objectives
• Introduce Non-Destructive Examinations methods not covered in previous class lessons and their
applications, to include;
- Types of Discontinuities
- Materials Identification methods
- Visual Examination (VT)
- Alternating Current Field Measurement (ACFM)
- Eddy Current Inspection (ET)
- Hardness Testing
- Pressure and Leak Testing (LT)
- Weld Inspection Data Recording
• Outline basic application of metallurgy to the welding processes, including;
- The Structure of Metals and Alloys
- Physical Properties
- Mechanical Properties
- Preheating
- Post-weld Heat Treatment
- Hardening
- Material Test Reports
- Weldability of Steels
- Weldability of High-alloys
• Present the nature of and remedies for Refinery and Petrochemical Plant Welding Issues, such
as;
- General Issues in welding
- Hot Tapping and In-service Welding
- Lack of Fusion with GMAW-S Welding Process
Other Items to be discussed
• Welding Terminology and Welding Symbols
• Actions to Address Improperly made production welds.
• Guide to common filler metals selection
• Example RT reports
253
We will begin with Section 3 - Definitions
Once again we will not attempt to cover any of these items in their entirety during class. This is to be
considered an introduction to RP-577 and to the subject material on the exam Body of Knowledge.
Definitions
Many of the definitions listed are common and probably many of these you already know. However
what you and I think of as being one thing, they may use a different term for.
Example: Penetrameter is an outdated term it is now called an Image Quality Indicator (IQI).
We will go through a few of the less known definitions, but subjects from RP-577 are largely a read
and remember task for the exam.
‘Some of the less known’
Autogenous weld: A fusion weld made without filler metal. (The most common of these types of welds is
made on tubing and performed with Gas Tungsten Arc Welding often using an automated welding device)
Actual throat: The shortest distance between the weld root and the face of a fillet weld.
Be sure to spend some time learning to recognize definitions!
254
Section 4
Welding Inspection
The focus of Section 4 is to detail the tasks that are considered the responsibility of the Inspection group
as well other concerned parties who will design, examine, or perform welding.
The other issues that the inspector must address as part of tasks prior to welding are;
NDE Information
Welding Equipment and Instruments
Heat Treatment and Pressure Testing
Materials
Weld Preparation
Preheat
Welding Consumables
The items above are very similar in there language as to the individual of the various group’s
responsibilities, concentrate on the INSPECTOR’S tasks during your studies.
While Section 4 of RP-577 is rather lengthy, it follows a definite outlined pattern. The emphasis should be
on items that you do not have actual work experience with.
For example if you have not followed a PWHT procedure spend your time studying these items as
opposed to something you have experience with.
Do not overlook items such as Safety Precautions or Documentation during your studies.
255
Welding Processes
• These 6 welding process types and their advantages and disadvantages based on intended
application should be thoroughly understood prior to examination day. The following is a brief
overview of;
- Shielded Metal Arc Welding (SMAW)
- Gas Tungsten Arc Welding (GTAW)
- Gas Metal Arc Welding (GMAW)
- Flux Core Arc Welding (FCAW)
- Submerged Arc Welding (SAW)
- Stud Arc Welding (SW)
5.2 Shielded Metal Arc Welding (SMAW)
SMAW is the most widely used of the various arc welding processes. SMAW uses an arc between a
covered electrode and the weld pool. It employs the heat of the arc, coming from the tip of a consumable
covered electrode, to melt the base metal. Shielding is provided from the decomposition of the electrode
covering, without the application of pressure and with filler metal from the electrode.
• Either alternating current (ac) or direct current (dc) may be employed, depending on the welding
power supply and the electrode selected.
• A constant-current (CC) power supply is preferred. SMAW is a manual welding process. See
Figures 1 and 2 for schematics of the SMAW circuit and welding process.
256
• Advantages
- Simple, inexpensive and portable
- Useable in tight places
- Less sensitive to wind and drafts than other processes
- Useable with most common metals and alloys
• Limitations
- Slow welding compared to GMAW or SAW
- Cleaning problems due to slag left from electrode covering
Study each of the six welding processes in order to recognize these by written descriptions. Get to know
the advantages and disadvantages of all six.
257
Appendix A Terminology and Symbols
We will defer the NDE and Metallurgy coverage for now and stay with the welding topics from RP-571.
Appendix A consists of 5 pages of graphics. The topics are;
A.1 Weld Joint Types
A.2 Weld Symbols
A.3 Weld Joint Nomenclature
A.4 Electrode Identification
A.1 Weld Joint Types
• You may be required to identify any of these joints based on a description or a sketch.
258
A.2 Weld Symbols
A-3 Supplementary Symbols
A.4 Weld Joint Nomenclature
259
A.5 Weld Joint Nomenclature
A.6 Electrode Identification
SMAW
You can be required answer Closed Book questions on the AWS Classification shown in these
figures.
A.7 Electrode Identification
GMAW/GTAW
260
A.8 Electrode Identification
FCAW
A.9 Electrode Identification
SAW
261
Appendix B
Actions to Address Improperly Made Production Welds
The following flow charts are the recommended method of addressing problems during welding. Here
again we have case of just having to try and remember where this information is and possibly answer
a Open Book question as regards the proper corrective action based on the listed circumstances.
Production welds made by an unqualified welder or an improper welding procedure should be
addressed to assure the final weldments meet the service requirements. A welder may be unqualified
for several reasons including expired qualification, not qualified for the thickness, not qualified in the
technique, or not qualified for the material of construction. Figure B-1 details some potential steps to
address the disposition of these welds.
A welding procedure may be improper if the weldment is made outside the range of essential
variables (and supplementary essential variables, if required) qualified for the WPS. Figure B-2 details
some potential steps to address weldments made with an improper welding procedure.
Figure B -1 Suggested Actions for Welds Made by an Incorrect Welder
Identify and quarantine all improper
weldments made by welder
Test Welder to qualify
Identify reason for failure
and retrain welder
Retest Welder
Perform additional NDE
of production welds
Accept and
Document
welds
Repair welds that
failed NDE
requirements
Cut Out Weld(s)
Pass
Fail
Pass Pass
Fail
Fail
Potential Causes
a. Expired qualification.
b. Not qualified in range.
c. Not qualified in method.
d. Not qualified in material
262
Figure B-2 Steps to Address Production Welds Made to an Improper WPS
Identify and quarantine all
weldments made to the improper
WPS
Review criticality of the
differences
Specify changes to
obtain proper WPS
Review PQR for
suitability or rerun PQR
Apply NDE QA/QC
Accept and
Document
welds
Repair weld
Cut Out and
reweld with
correct WPS
Welment has minor impact
on component integrity
Pass
Suitable for
application
Unsuitable
for
application
Welment has significant
impact on component
integrity
Fail
Cut Out and
reweld with
correct WPS
263
Appendix D
Expect “Look up Questions” from these tables.
264
265
Section 9 Non-Destructive Examination
In this section we will primarily cover the NDE process not covered in ASME Section V. For classroom
instruction we will only go over the highlights, strengths and weakness of the given processes.
Once again this is a subject that will demand a lot of personal study for the candidate to do well on the
exam. Expect to put many hours into this and the previous welding material.
Be warned, as regards the examination the amount of detail about the actual practice of NDE in
Section 9 is huge, when taken as a whole. It is really only an overview of the common NDE
processes.
There are about 13 pages of text, a dozen or so Tables, and approximately 40 Figures. This is going
to take a lot of study.
Section 9 Non-Destructive Examination
Discontinuities
The following statements from this section should give a good clue as to how the API committee will
handle questions from this area.
“The inspector should choose an NDE method capable of detecting the discontinuity in the type of
weld joint due to the configuration. Table 2 and Figure 11 list the common types and location of
discontinuities and illustrate their positions within a butt weld. The most commonly used NDE methods
used during weld inspection are shown in Table 3.”
“Table 4 lists the various weld joint types and common NDE methods available to inspect their
configuration. Table 5 further lists the detection capabilities of the most common NDE methods.
Additional methods, like alternating current field measurement (ACFM), have applications in weld
inspection and are described in this section but are less commonly used.”
“The inspector should be aware of discontinuities common to specific base metals and weld
processes to assure these discontinuities are detectable. Table 6 is a summary of these
discontinuities, potential NDE methods and possible solutions to the weld process
266
Table - 2 Common Types of Discontinuities
Table - 2 Common Types of Discontinuities
Numbers in Circles refer to Table 2
267
Table 3 Commonly Used NDE Methods
Table 4 - Capability of the Applicable Method for Weld Types
Table 5 - Capability of the Applicable Method Vs. Discontinuity
268
Table 6 - Discontinuities Commonly Encountered in Welding Processes
269
9.2 MATERIALS IDENTIFICATION
During welding inspection, the inspector may need to verify the conformance of the base material
and filler metal chemistries with the selected or specified alloyed materials.
This may include reviewing the certified mill test report, reviewing stamps or markings on the
components, or require PMI testing. It is the responsibility of the owner/user to establish a written
material verification program indicating the extent and type of PMI to be conducted. Guidelines for
material control and verification are outlined in API RP 578.
9.3 VISUAL EXAMINATION (VT)
9.3.1 General
Visual examination is the most extensively used NDE method for welds. It includes either the direct or
indirect observation of the exposed surfaces of the weld and base metal. Direct visual examination is
conducted when access is sufficient to place the eye within 6 in. – 24 in. (150 mm – 600 mm) of the
surface to be examined and at an angle not less than 30 degrees to the surface as illustrated in Figure
12. Mirrors may be used to improve the angle of vision. Remote visual examination may be
substituted for direct examination.
9.3.1 General
Remote examination may use aids such as telescopes, borescopes, fiberscope, cameras or other
suitable instruments, provided they have a resolution at least equivalent to that which is attained by
direct visual examination. In either case, the illumination should be sufficient to allow resolution of fine
detail. These illumination requirements are to be addressed in a written procedure.
Figure 12 – Direct Visual Examination Requirements
270
• Complete your studies by becoming familiar with all of the remaining topics in this section.
9.3.2.1 Optical Aids
9.3.2.2 Mechanical Aids
9.3.2.3 Weld Examination Devices
• Concentrate on the various figures and the name of each inspection device, how it is used, and
what it is used for. Also be aware that pictures can be part of the exam.
Example Weld Examination Device:
The inspection tool in the picture below is ______________.
1. A Bridge Cam Gauge
2. A T-Fillet Weld Gauge
3. A Weld Fillet Gauge
4. An Adjustable Fillet Weld Gauge
271
9.5 Alternating Current Field Measurement (ACFM)
Principle of Operation
• The ACFM technique is an electromagnetic non-contacting technique that is able to detect and
size surface breaking defects in a range of different materials and through coatings of varying
thickness.
• This technique is ideal for inspecting complex geometries such as nozzles, ring-grooves,
grind-out areas or radiuses. It requires minimal surface preparation and can be used at
elevated temperatures up to 900°F (482°C).
• With its increased sensitivity to shallow cracks, ACFM is used for the evaluation and
monitoring of existing cracks.
• ACFM uses a probe similar to an eddy current probe and introduces an alternating current in a
thin skin near to the surface of any conductor. When a uniform current is introduced into the area
under test, if it is defect free, the current is undisturbed.
• If the area has a crack present, the current flows around the ends and the faces of the crack.
A magnetic field is present above the surface associated with this uniform alternating current and
will be disturbed if a surface-breaking crack is present.
Spend time becoming familiar with the various NDE methods and their proper applications. If you are
familiar with most of the NDE methods then concentrate on those you may not have been exposed to,
such as ACFM.
272
10 Metallurgy
Solid metals are crystalline in nature and all have a structure in which the atoms of each crystal are
arranged in a specific geometric pattern. The physical properties of metallic materials including
strength, ductility and toughness can be attributed to the chemical make-up and orderly arrangement
of these atoms.
• Metals in molten or liquid states have no orderly arrangement to the atoms contained in the melt.
As the melt cools, a temperature is reached at which clusters of atoms bond with each other and
start to solidify developing into solid crystals within the melt. The individual crystals of pure metal
are identical except for their orientation and are called grains.
• As the temperature is reduced further, these crystals change in form eventually touch and where
the grains touch an irregular transition layer of atoms is formed, which is called the grain
boundary. Eventually the entire melt solidifies, interlocking the grains into a solid metallic structure
called a casting.
• Knowledge of cast structures is important since the welding process is somewhat akin to
making a casting in a foundry.
• Because of the similarity in the shape of its grains, a weld can be considered a small casting.
• A solidified weld may have a structure that looks very much like that of a cast piece of equipment.
However, the thermal conditions that are experienced during welding produce a cast structure
with characteristics unique to welding.
10.2.3 Welding Metallurgy
We will begin our discussion here with Welding Metallurgy. Previous sections about the structures of
metals are very general in nature, reading these a time or two should be sufficient preparation.
273
Some Important Points
 Most typical weld metals are rapidly solidified and, like the structure of a casting described earlier,
usually solidify in the same manner as a casting and have a fine grain dendritic micro structure.
 The solidified weld metal is a mixture of melted base metal and deposited weld filler metal, if
used.
 The heat-affected zone (HAZ) is adjacent to the weld and is that portion of the base metal that
has not been melted, but whose mechanical properties or microstructure have been altered by the
preheating temperature and the heat of welding.
 There will typically be a change in grain size or grain structure and hardness in the HAZ of steel.
 The size or width of the HAZ is dependent on the heat input used during welding.
 For carbon steels, the HAZ includes those regions heated to greater than 1350°F (700°C). Each
weld pass applied will have its own HAZ and the overlapping heat affected zones will extend
through the full thickness of the plate or part welded.
 The third component in a welded joint is the base metal.
 The physical properties of base metals, filler metals and alloys being joined can have an influence
on the efficiency and applicability of a welding process.
 Examples of physical properties of a metal are the melting temperature, the thermal conductivity,
electrical conductivity, the coefficient of thermal expansion, and density.
Summary
Spend time with this material; questions would be expected to few and fairly simple on this material.
However do not neglect it all together.
274
11 Refineries and Petrochemical Plant Welding Issues
11.1 General
This section provides details of specific welding issues encountered by the inspector in refineries and
petrochemical plants.
11.2 Hot Tapping and In-Service Welding
• API Publication 2201 provides an in depth review of the safety aspects to be considered.
• The following is a brief summary of welding related issues.
• Two primary concerns when welding on in-service piping and equipment are burn through and
cracking.
• Burn through will occur if the un-melted area beneath the weld pool can no longer contain the
pressure within the pipe or equipment.
• Weld cracking results when fast weld-cooling rates produce a hard, crack-susceptible weld
microstructure.
• Fast cooling rates can be caused by flowing contents inside the piping and equipment, which
remove heat quickly.
11.2.1 Electrode Considerations
• Hot tap and in-service welding operations should be carried out only with low-hydrogen
consumables and electrodes (e.g., E7016, E7018 and E7048).
• Extra-low-hydrogen consumables such as Exxxx-H4 should be used for welding carbon steels
with CE greater than 0.43% or where there is potential for hydrogen assisted cracking (HAC) such
as cold worked pieces, high strength, and highly constrained areas.
• Cellulosic type electrodes (e.g., E6010, E6011 or E7010) may be used for root and hot passes.
• Root pass with low-hydrogen electrodes reduces risk of Hydrogen Assisted Cracking (HAC). It
also reduces risk of burn through.
11.2.1 Electrode Considerations
It should be noted that cellulosic electrodes have the following adverse effects on the integrity of the
weldment:
a. Deep penetration, therefore higher risk of burn-through than low-hydrogen electrodes; and
b. High diffusible hydrogen, therefore higher risk of hydrogen
assisted cracking.
11.2.2 Flow Rates
275
Under most conditions, it is desirable to maintain some product flow inside of any material being
welded. This helps to dissipate the heat and to limit the metal temperature.
Liquid flow rates in piping shall be between 1.3 ft/ sec. and 4.0 ft/sec. (0.4 m/sec. and 1.3 m/sec.).
Faster liquid flow rates may cool the weld area too quickly and thereby cause hard zones that are
susceptible to weld cracking or low toughness properties in the weldment.
Because this is not a problem when the pipe contains gases, there is no need to specify a maximum
velocity.
If the normal flow of liquids exceeds these values or if the flow cools the metal to below dew point, it is
advisable to compensate by preheating the weld area to at least 70°F (20°C) and maintaining that
temperature until the weld has been completed.
Some Important Points
• Welding on a line under no-flow conditions or intermittent flow conditions, e.g., a flare line, shall
not be attempted unless it has been confirmed that no explosive or flammable mixture will be
present.
• It shall be confirmed that no ingress of oxygen in the line is possible. In cases where this
requirement cannot be met, inert gas or nitrogen purging is recommended.
• An appropriate flow rate should be maintained to minimize the possibility of burn-through or
combustion. The minimum flow rate is 1.3 ft/sec. (0.4 m/sec.) for liquid and gas.
• For liquids, the maximum flow rate usually required to minimize risk of high hardness weld zone
due to fast cooling rate. There is no restriction in maximum velocity for gas lines, subject to
maintaining preheat temperatures.
11.2.3 Other Considerations
To avoid overheating and burn through, the welding procedure specification should be based on
experience in performing welding operations on similar piping or equipment, and/or be based on heat
transfer analysis.
Many users establish procedures detailing the minimum wall thickness that can be hot tapped or
welded in-service for a given set of conditions like pressure, temperature, and flow rate.
To minimize burn through, the first weld pass to equipment or piping less than 1/4 in. (6.35 mm) thick
should be made with 3/32 in. (4.76 mm) or smaller diameter welding electrode to limit heat input.
For equipment and piping wall thicknesses where burn through is not a primary concern, a larger
diameter electrode can be used. Weaving the bead should also be avoided as this increases the heat
input.
Adverse effects can also occur from the heat on the process fluid. In addition, welds associated with
hot taps or in-service welding often cannot be stress relieved and may be susceptible to cracking in
certain environments.
276
Any hot tapping or in-service welding on systems containing those listed in Table 13 should be
carefully reviewed.
Substance Hot Tapping/ In-Service Welding Hazard
Acetylene Explosion or unstable reaction with the addition of localized heat.
Acetonitrile Explosion or unstable reaction with the addition of localized heat.
Amines and
caustic
Stress corrosion cracking due to high thermal stress upon the
addition of localized heat and high hardness of non-PWHT’s Weld.
Hydrogen embrittlement
Butadiene Explosion or unstable reaction
Chlorine Carbon Steel will burn in the presence of chlorine and high heat
Compressed Air Combustion /metal burning
Ethylene Exothermic decomposition or explosion
Ethylene Oxide Exothermic decomposition or explosion
Hydrogen High temperature hydrogen attack
Hydrogen assisted cracking
Hydrogen
Sulfide (wet
H2S)
Stress corrosion cracking due to high hardness of non-PWHT’s
weld. Hydrogen embrittlement.
Pyrophoric scale.
Hydrofluoric
Acid
Hazardous substance.
Oxygen Combustion/metal burning
Propylene Explosion or unstable reaction
Propylene Oxide Explosion or unstable reaction
Steam High pressure steam can blow out.
277
11.2.4 Inspection
Some Important Points
Inspection tasks typically associated with hot tapping or welding on in-service equipment should
include:
a. Verifying adequate wall thickness along the lengths of the proposed welds typically using UT
or RT.
b. Verifying the welding procedure. Often, plants have welding procedures qualified specifically
for hot taps and in service welding.
c. Verifying flow conditions.
d. Specifying the sequence of welding full encirclement sleeves and fittings (circumferential and
longitudinal welds).
e. Verifying fit-up of the hot tap fitting.
f. Auditing welding to assure the welding procedure is being followed.
g. Perform NDE of completed welds. Typically this includes VT, UT shear wave using special
procedures for the joint configuration, MT or PT as applicable for material and temperature.
h. Witness leak testing of fitting, if specified.
278
11.3
Lack of Fusion with GMAW-S Welding Process
A large quantity of ASTM A 106, Grade B Pipe, 4 in. through 10 in. was found to have lack of fusion
(LOF) after being fabricated using the GMAW-S welding process. This piping was in normal fluid
service and required 5% radiographic examination. Initially the radiographic film was read acceptable,
but LOF it is not easily interpreted by most radiographers.
During this piping project, a weld was found to have lack of fusion while modifying a spool piece. The
cut through the weld revealed the defect. Follow-up investigation and further examination indicated the
root pass was acceptable in all cases, but subsequent weld passes exhibited LOF when a
radiographer experienced in this particular discontinuity, read the film. ASME B31.3 considers LOF a
defect.
The gas metal arc welding (GMAW) process can utilize various metal transfer modes. When using the
low voltage, short circuiting mode (designated by the -S extension), the molten weld puddle is able to
freeze more quickly. This allows the unique ability to weld out of position, to weld thin base metals,
and to weld open butt root passes.
Due to this inherent nature of the welding process the BPV Code Section IX, restricts this process by:
a) Requiring welders qualify with mechanical testing rather than by radiographic examination.
b) Limiting the base metal thickness qualified by the procedure to 1.1 times the test coupon
thickness for coupons less than 1/2 in. thick (12.7 mm) per variable QW-403.10.
c) Limiting the deposited weld metal thickness qualified by the procedure to 1.1 times the deposited
thickness for coupons less than 1/2 in. thick (12.7 mm) per variable QW-404-32.
d) Making variable QW-409.2 an essential variable when qualifying a welder for the GMAW-S
process.
279
Lesson 18
RP 571
Damage Mechanisms Affecting Fixed Equipment in the Refining Industry
The following lesson will give an example a type of failure from each section and category listed on the
API 510 exam Body of Knowledge. This will only be a brief introduction, a practice exercise covering all of
the topics has been provided in the study material.
The damage mechanisms are divided into the following categories:
a) Mechanical and Metallurgical Failure
b) Uniform or Localized Loss of Thickness
c) High Temperature Corrosion
d) Environment Assisted Cracking
e) Refinery Industry Damage Mechanisms
From these four groups you are responsible for;
a) Mechanical and Metallurgical Failure
• 4.2.3 – Temper Embrittlement
• 4.2.7 – Brittle Fracture
• 4.2.9 – Thermal Fatigue
• 4.2.14 – Erosion/Erosion-Corrosion
• 4.2.16 – Mechanical Failure
b) Uniform or Localized Loss of Thickness
• 4.3.2 – Atmospheric Corrosion
• 4.3.3 – Corrosion Under Insulation (CUI)
• 4.3.4 – Cooling Water Corrosion
• 4.3.5 – Boiler Water Condensate Corrosion
c) High Temperature Corrosion
• 4.4.2 – Sulfidation
d) Environment Assisted Cracking
• 4.5.1 – Chloride Stress Corrosion Cracking (Cl-SCC)
• 4.5.2 – Corrosion Fatigue
• 4.5.3 – Caustic Stress Corrosion Cracking (Caustic Embrittlement)
e) Refinery Industry Damage Mechanisms
1. Environment Assisted
• 5.1.2.3 – Wet H2S Damage Blistering/HIC/SOHIC/SCC)
2. Other Mechanisms
• 5.1.3.1 – High Temperature Hydrogen Attack (HTHA)
280
Mechanical and Metallurgical Failure
4.2.3 Temper Embrittlement
Description of Damage
 Temper embrittlement is the reduction in toughness due to a metallurgical change that can occur
in some low alloy steels as a result of long term exposure in the temperature range of about 650
o
F to 1100
o
F (343
o
C to 593
o
C).
 Although the loss of toughness is not evident at operating temperature, equipment that is temper
embrittled may be susceptible to brittle fracture during start-up and shutdown.
Affected Materials
 Primarily 2.25Cr-1Mo low alloy steel, 3Cr-1Mo (to a lesser extent), and the high-strength low alloy
Cr- Mo-V rotor steels.
 Older generation 2.25Cr-1Mo materials manufactured prior to 1972 may be particularly
susceptible. Some high strength low alloy steels are also susceptible.
 The C-0.5Mo and 1.25Cr-0.5Mo alloy steels are not significantly affected by temper embrittlement.
Affected Units or Equipment
Equipment susceptible to temper embrittlement is most often found in:
 Hydroprocessing units, particularly reactors.
 Hot feed/effluent exchanger components, and hot HP separators.
 Catalytic reforming units (reactors and exchangers), FCC reactors, coker and visbreaking units.
 Welds in these alloys are often more susceptible than the base metal and should be evaluated.
281
Appearance of Damage
 Temper embrittlement is a metallurgical change that is not readily apparent and can be confirmed
through impact testing. Damage due to temper embrittlement may result in catastrophic brittle
fracture.
 Temper embrittlement can be identified by an upward shift in the ductile-to-brittle transition
temperature measured in a Charpy V-notch impact test, as compared to the non-embrittled or de-
embrittled material.
Inspection and Monitoring
 A common method of monitoring is to install blocks of original heats of the alloy steel material
inside the reactor. Samples are periodically removed from these blocks for impact testing to
monitor progress of temper embrittlement or until a major repair issue arises.
 Process conditions should be monitored to ensure that a proper pressurization sequence is
followed to
 help prevent brittle fracture due to temper embrittlement.
282
Uniform or Localized Loss of Thickness
4.3.2 Atmospheric Corrosion
Description of Damage
 A form of corrosion that occurs from moisture associated with atmospheric conditions. Marine
environments and moist polluted industrial environments with airborne contaminants are most
severe. Dry rural environments cause very little corrosion.
Affected Materials
 Carbon steel, low alloy steels and copper alloyed aluminum.
Affected Units or Equipment
 Piping and equipment with operating temperatures sufficiently low to allow moisture to be present.
 Paint or coating system in poor condition.
 Equipment may be susceptible if cycled between ambient and higher or lower operating
temperatures.
 Equipment shut down or idled for prolonged periods unless properly mothballed.
 Tanks and piping are particularly susceptible. Piping that rests on pipe supports is very prone to
attack due to water entrapment between the pipe and the support.
 Bimetallic connections such as copper to aluminum electrical connections.
Appearance
 The attack will be general or localized, depending upon whether or not the moisture is trapped.
 If there is no coating or if there is a coating failure, corrosion or loss in thickness can be general.
 Localized coating failures will tend to promote corrosion.
 Metal loss may not be visually evident, although normally a distinctive iron oxide (red rust) scale
forms.
Inspection and Monitoring
 VT and UT are techniques that can be used.
283
High Temperature Corrosion [400
o
F (204
o
C)]
Sulfidation
(Also known as Sulfidic Corrosion)
Description of Damage
Corrosion of carbon steel and other alloys resulting from their reaction with sulfur compounds in high
temperature environments. The presence of hydrogen accelerates corrosion.
Affected Materials
 All iron based materials including carbon steel and low alloy steels, 300 Series SS and 400 Series
SS.
 Nickel base alloys are also affected to varying degrees depending on composition, especially
chromium content.
 Copper base alloys form sulfide at lower temperatures than carbon steel.
Affected Units or Equipment
 Sulfidation occurs in piping and equipment in high temperature environments where sulfur-
containing streams are processed.
 Common areas of concern are the crude, FCC, coker, vacuum, visbreaker and hydroprocessing
units.
 Heaters fired with oil, gas, coke and most other sources of fuel may be affected depending on
sulfur levels in the fuel.
 Boilers and high temperature equipment exposed to sulfur-containing gases can be affected.
Appearance of Damage
 Depending on service conditions, corrosion is most often in the form of uniform thinning but can
also occur as localized corrosion or high velocity erosion-corrosion damage.
 A sulfide scale will usually cover the surface of components. Deposits may be thick or thin
depending on the alloy, corrosiveness of the stream, fluid velocities and presence of contaminants
Sulfidation Failure in an Elbow
284
Inspection and Monitoring
 Process conditions should be monitored for increasing temperatures and/or changing sulfur
levels.
 Temperatures can be monitored through the use of tube skin thermocouples and/or infrared
thermography.
 Evidence of thinning can be detected using external ultrasonic thickness measurements and
profile radiography.
 Proactive and retroactive PMI programs are used for alloy verification and to check for alloy mix-
ups in services where Sulfidation is anticipated.
285
Environment – Assisted Cracking
Chloride Stress Corrosion Cracking
A cracking process that requires the simultaneous action of a corrodent and sustained tensile stress
This excludes corrosion-reduced sections that fail by fast fracture. It also excludes intercrystalline or
transcrystalline corrosion, which can disintegrate an alloy without applied or residual stress. Stress-
corrosion cracking may occur in combination with hydrogen embrittlement.
Description of Damage
Surface initiated cracks caused by environmental cracking of 300 Series Stainless Steel and some nickel
base alloys under the combined action of:
 Tensile stress
 Temperature
 Aqueous chloride environment.
 The presence of dissolved oxygen increases chances for cracking.
Affected Materials
 All 300 Series Stainless Steels are highly susceptible.
b) Duplex stainless steels are more resistant.
c) Nickel base alloys are highly resistant.
Affected Units or Equipment
 All 300 Series SS piping and pressure vessel components in any process units are susceptible to
CUl-SCC.
 Cracking has occurred in water-cooled condensers and in the process side of crude tower
overhead condensers.
 Drains in hydroprocessing units are susceptible to cracking during startup/shutdown if not
properly purged.
286
Appearance of Damage
 Surface breaking cracks can occur from the process side or externally under insulation.
 The material usually shows no visible signs of corrosion.
 Characteristic stress corrosion cracks have many branches and may be visually detectable by a
craze/cracked appearance of the surface.
 Metallography of cracked samples typically shows branched transgranular cracks. Sometimes
intergranular cracking of sensitized 300 Series SS may also be seen.
 Welds in 300 Series SS usually contain some ferrite, producing a duplex structure that is usually
more resistant to CUl – SCC.
 Fracture surfaces often have a brittle appearance.
External cracking of 304 Stainless Steel instrument tubing
4.5.1.7 Inspection and Monitoring
 Cracking is surface connected and may be detected visually in some cases.
 PT or phase analysis EC techniques are the preferred methods.
 Eddy current inspection methods have also been used on condenser tubes as well as piping and
pressure vessels.
 Extremely fine cracks may be difficult to find with PT. Special surface preparation methods,
including polishing or high-pressure water blast, may be required in some cases, especially in high
pressure services.
 UT.
 Often, RT is not sufficiently sensitive to detect cracks except in advanced stages where a
significant network of cracks has developed.
287
Refining Industry Damage Mechanisms
Environment – Assisted Cracking
Wet H2S Damage (Blistering/HIC/SOHIC/SSC)
Description of Damage
This section describes four types of damage that result in blistering and/or cracking of carbon steel and
low alloy steels in wet H2S environments.
Hydrogen Blistering
 Hydrogen blisters may form as surface bulges on the ID, the OD or within the wall thickness of a
pipe or vessel.
 The blister results from hydrogen atoms that form during the sulfide corrosion process on the
surface of the steel, that diffuse into the steel, and collect at a discontinuity in the steel such as an
inclusion or lamination.
 The hydrogen atoms combine to form hydrogen molecules and the pressure builds to the point
where blister forms.
 Blistering results from hydrogen generated by corrosion, not hydrogen gas from the process
stream.
Hydrogen Blistering and Hydrogen Induced Cracking Damage
288
Hydrogen Blistering
289
Wet H2S Damage (Blistering/HIC/SOHIC/SSC)
Hydrogen Induced Cracking (HIC)
 Hydrogen blisters can form at many different depths from the surface of the steel, in the middle of
the plate or near a weld. In some cases, neighboring or adjacent blisters that are at slightly
different depths (planes) may develop cracks that link them together. Interconnecting cracks
between the blisters often have a stair step appearance, and so HIC is sometimes referred to as
“stepwise cracking”
Hydrogen Induced Cracking (HIC) Cross-section of plate showing HIC damage in the shell of a trim
cooler which had been cooling vapors off a HHPS vessel in a hydroprocessing unit.
290
Stress Oriented Hydrogen Induced Cracking (SOHIC)
 SOHIC is similar to HIC but is a potentially more damaging form of cracking which appears as
arrays of cracks stacked on top of each other. The result is a through-thickness crack that is
perpendicular to the surface and is driven by high levels of stress (residual or applied). They
usually appear in the base metal adjacent to the weld heat affected zones where they initiate from
HIC damage or other cracks or defects including sulfide stress cracks.
Hydrogen blistering that is accompanied by SOHIC damage at the weld.
291
Wet H2S Damage (Blistering/HIC/SOHIC/SSC)
Sulfide Stress Corrosion Cracking (SSC)
 Sulfide Stress Cracking (SSC) is defined as cracking of metal under the combined action of
tensile stress and corrosion in the presence of water and H2S.
 SSC is a form of hydrogen stress cracking resulting from absorption of atomic hydrogen that is
produced by the sulfide corrosion process on the metal surface.
 SSC can initiate on the surface of steels in highly localized zones of high hardness in the weld
metal and heat affected zones.
 Zones of high hardness can sometimes be found in weld cover passes and attachment welds
which are not tempered (softened) by subsequent passes.
 PWHT is beneficial in reducing the hardness and residual stresses that render a steel susceptible
to SSC.
 High strength steels are also susceptible to SSC but these are only used in limited applications in
the refining industry.
 Some carbon steels contain residual elements that form hard areas in the heat affected zones
that will not temper at normal stress relieving temperatures. Using preheat helps minimize these
hardness problems.
SCC Damage of a Hard Weld
292
Affected Materials
 Carbon steel and low alloy steels.
Affected Units or Equipment
 Blistering, HIC, SOHIC and SSC damage can occur throughout the refinery wherever there is a
wet H2S environment present.
 In hydroprocessing units, typical locations include fractionator overhead drums, fractionation
towers, absorber and stripper towers, compressor interstage separators and knockout drums and
various heat exchangers, condensers, and coolers.
Inspection and Monitoring
 Inspection for wet H2S damage generally focuses on weld seams and nozzles.
 Cracks may be seen visually, crack detection is best performed with WFMT, EC, RT or ACFM
techniques. Surface preparation is required for WFMT but not for ACFM. PT cannot find tight
cracks and should not be depended on.
 UT techniques including external SWUT can be used. SWUT is especially useful for volumetric
inspection and crack sizing.
 Grinding out the crack or removal by thermal arc gouging is a viable method of crack depth
determination.
293
Refinery Industry
Other Mechanisms
High Temperature Hydrogen Attack (HTHA)
Description of Damage
 High temperature hydrogen attack results from exposure to hydrogen at elevated temperatures
and pressures. The hydrogen reacts with carbides in steel to form methane (CH4) which cannot
diffuse through the steel.
 Methane pressure builds up, forming bubbles or cavities, micro fissures and fissures that may
combine to form cracks.
 Failure can occur when the cracks reduce the load carrying ability of the pressure containing part.
Affected Materials
In order of increasing resistance:
1. Carbon steel
2. C-0.5Mo
3. Mn-0.5Mo
4. 1Cr-0.5Mo
5. 1.25Cr-0.5Mo
6. 2.25Cr-1Mo
7. 2.25Cr-1Mo-V
8. 3Cr-1Mo
9. 5Cr-0.5Mo and similar steels with variations in chemistry.
Affected Units
 Hydroprocessing units, such as hydrotreaters (desulfurizers) and hydrocrackers, catalytic
reformers, hydrogen producing units and hydrogen cleanup units, such as pressure swing
absorption units, are all susceptible to HTHA.
 Boiler tubes in very high pressure steam service.
294
Appearance of Damage
 HTHA can be confirmed through the use of specialized techniques including metallographic
analysis.
 In the early stages of HTHA, bubbles/cavities can be detected in samples by a scanning
microscope.
 In later stages of damage, decarburization and/or fissures can be seen by examining samples
under a microscope and may sometimes be seen by in-situ metallography.
 Cracking and fissuring are intergranular and occur adjacent to pearlite (iron carbide) areas in
carbon steels.
 Some blistering may be visible to the naked eye.
Inspection and Monitoring
 Damage may occur randomly in welds or weld heat affected zones as well as the base metal,
making detection of HTHA extremely difficult.
 Ultrasonic techniques using a combination of velocity ratio and backscatter have been the most
successful in finding fissuring and/or serious cracking.
 Visual inspection for blisters on the inside surface may indicate methane formation and potential
HTHA.
 HTHA may occur without the formation of surface blisters.
 Other forms of inspection, including WFMT and RT, are severely limited in their ability to detect
anything except damage where cracking has already developed.
295
Lesson 19
API 510
Pressure Testing and Welded Repairs
This overview will be restricted primarily to a small part of Sections 5 and 8 of the API 510 the subject
matter that is the most difficult to understand and those items in API 510 that give rules different from
those given in the ASME Code Sections.
Other subject material such as, scope of the 510, definitions and, responsibilities are covered by practice
exercises, practice exams and most importantly, the students reading of the API 510 document.
5.8 Pressure Testing
5.8.1 When to Perform a Pressure Test
5.8.1.1 Pressure tests are not normally conducted as part of routine inspection. A pressure test is normally
required after an alteration. After repairs are completed, a pressure test shall be applied if the inspector
believes that one is necessary. Alternatives to pressure tests are outlined in 5.8.7.
5.8.1.2 Pressure tests are typically performed on an entire vessel. However, where practical, pressure
tests of vessel components/ sections can be performed in lieu of entire vessels (e.g. a new nozzle). An
engineer should be consulted when a pressure test of vessel components/sections is to be performed to
ensure it is suitable for the intended purpose.
5.8.2 Test Pressure
5.8.2.1 When a code hydrostatic pressure test is required, the minimum test pressure should be in
accordance with the rules of the rating code (construction code used to determine the MAWP)**. For this
purpose, the minimum test pressure for vessels that have been rerated using the design allowable stress
published in the 1999 addendum or later of ASME Section VIII: Division I, Code Case 2290, or Code Case
2278, is 130% of MAWP and corrected for temperature. The minimum test pressure for vessels rerated
using the design allowable stress of ASME Section VIII: Division I, published prior to the 1999 addendum,
is 150% of MAWP and corrected for temperature. The minimum test pressure for vessels designed using
ASME Section VIII: Division 1 is as follows:
Test Pressure in psi (MPa) = 1.5 MAWP × (Stest temp/Sdesign temp), prior to 1999 addendum
Test Pressure in psi (MPa) = 1.3 MAWP × (Stest temp/Sdesign temp), 1999 addendum and later
Where;
Stest temp = allowable stress at test temperature in ksi (MPa)
Sdesign temp = allowable stress at design temperature in ksi (MPa)
** This means if a vessel was constructed to an edition of the ASME Code or any other Code that
requires a different multiplier than 1.3 (hydro) or 1.1 (pneumatic) then the original multiplier should
be used.
5.8.2.2 When a non-code related pressure test is performed after repairs, the test pressure may be
conducted at pressures determined by the owner/user.
296
5.8.3 Pressure Test Preparation
5.8.3.1 Before applying a pressure test, appropriate precautions and procedures should be taken to
assure the safety of personnel involved with the pressure test. A close visual inspection of pressure vessel
components should not be performed until the vessel pressure is at or below the MAWP. This review is
especially important for in-service pressure vessels.
5.8.3.2 When a pressure test is to be conducted in which the test pressure will exceed the set pressure of
the pressure-relieving device(s), the pressure-relieving device(s) should be removed. An alternative to
removing the pressure-relieving device (s) is to use test clamps to hold down the valve disks. Applying an
additional load to the valve spring by turning the compression screw is prohibited. Other
appurtenances, such as gauge glasses, pressure gauges, and rupture disks, that may be incapable of
withstanding the test pressure should be removed or blanked off. When the pressure test has been
completed, pressure-relieving devices and appurtenances removed or made inoperable during the
pressure test shall be reinstalled or reactivated.
5.8.4 Hydrostatic Pressure Tests
5.8.4.1 Before applying a hydrostatic test, the supporting structures and foundation design should be
reviewed to assure they are suitable for the hydrostatic load.
5.8.4.2 Hydrostatic pressure tests of equipment having components of Type 300 series stainless steel
should be conducted with potable water or steam condensate having a chloride concentration of less
than 50 ppm. After the test, the vessel should be completely drained and dried. The inspector should
verify the specified water quality is used and that the vessel has been drained and dried.
5.8.5 Pneumatic Pressure Tests
Pneumatic testing (including combined hydro-pneumatic) may be used when hydrostatic testing is
impracticable because of limited supporting structure or foundation, refractory linings, or process
reasons. When used, the potential personnel and property risks of pneumatic testing shall be
considered by an inspector or engineer before conducting the test. As a minimum, the inspection
precautions contained in the ASME Code shall be applied when performing any pneumatic test.
As a minimum, the inspection precautions contained in the ASME Code shall be applied in any
pneumatic testing (NDE of UW-50 and brought up in steps of 1/10 beginning at half way to test
pressure).
5.8.6 Test Temperature and Brittle Fracture Considerations
5.8.6.1 At ambient temperatures, carbon, low-alloy, and other ferritic steels may be susceptible to brittle
failure. A number of failures have been attributed to brittle fracture of steels that were exposed to
temperatures below their transition temperature and to pressures greater than 20% of the required
hydrostatic test pressure. Most brittle fractures, however, have occurred on the first application of a high
stress level (the first hydrostatic or overload). The potential for a brittle failure shall be evaluated prior
to hydrostatic or especially prior to pneumatic testing because or the higher potential energy involved.
Special attention should be given when testing low-alloy steels, especially 2-1/4 Cr-1Mo, because they
may be prone to temper embrittlement.
297
5.8.6.2 To minimize the risk of brittle fracture during a pressure test, the metal temperature should be
maintained at least **30ºF (17ºC) above the MDMT for vessels that are more than 2 in. (5 cm) thick, and
10ºF (6ºC) above the MDMT for vessels that have a thickness of 2 in. (5 cm) or less. The test
temperature need not exceed 120ºF (50ºC) unless there is information on the brittle characteristics of the
vessel material indicating a higher test temperature is needed.
This differs from the ASME which recommends 30°F in all thicknesses. Use the API rules for the
exam.
5.8.7 Pressure Testing Alternatives
5.8.7.1 Appropriate NDE shall be specified and conducted when a pressure test is not performed after a
major repair or alteration. Substituting NDE procedures for a pressure test after an alteration may be done
only after the engineer and inspector have approved.
5.8.7.2 For cases where UT is substituted for radiographic inspection, the owner/user shall specify
industry-qualified UT shear wave examiners or the application of Code Case 2235, as applicable, for
closure welds that have not been pressure tested and for welding repairs identified by the engineer or
inspector.
298
SECTION 8—REPAIRS, ALTERATIONS, AND RERATING OF PRESSURE VESSELS
8.1.5.1.2 Fillet-welded Patches
8.1.5.1.2.1 Fillet-welded patches may be used to make temporary repairs to damaged, corroded, or
eroded areas of pressure vessel components. Cracks shall not be repaired in this manner unless the
engineer determines that the cracks will not be expected to propagate from under the patch. In some
cases, the engineer may need to perform a fitness-for-service analysis. Temporary repairs using fillet-
welded patches shall be approved by an inspector and engineer. The use of fillet-welded patches may be
subject to the acceptance of the governing jurisdiction.
8.1.5.1.2.2 Fillet-welded patches require special design consideration, especially related to weld joint
efficiency. Fillet-welded patches may be applied to the internal or external surfaces of shells, heads, and
headers provided that, in the judgment of the engineer, either of the following is true:
a. The fillet-welded patches provide design safety equivalent to reinforced openings designed according
to the applicable construction code.
b. The fillet-welded patches are designed to absorb the membrane strain of the parts so that in
accordance with the rules of the applicable construction code, the following result:
1. The allowable membrane stress is not exceeded in the vessel parts or the patches.
2. The strain in the patches does not result in fillet-weld stresses that exceed allowable stresses for
such welds.
Exceptions to this requirement shall be justified with an appropriate fitness-for-service analysis.
8.1.5.1.2.3 A fillet-welded patch shall not be installed on top of an existing fillet-welded patch. When
installing a fillet-welded patch adjacent to an existing fillet-welded patch, the distance between the toes of
the fillet weld shall not be less than
Where:
d = Minimum distance between toes of fillet welds of adjacent fillet weld attachments, in in. (mm),
R = The inside radius of the vessel, in in. (mm),
t = The actual thickness of the underlying vessel wall, in in. (mm)
Rt
4
d 
299
Example:
Vessel has an inside radius of 30 inches
Vessel wall at patch site is 0.435 inch
8.1.5.1.2.4 Fillet-welded patch plates shall have rounded corners with a minimum radius of 1 in. (25
mm) minimum radius.
"
.
. 44
14
435
x
30
4
d 

300
SECTION 8—REPAIRS, ALTERATIONS, AND RERATING OF PRESSURE VESSELS
Preheat or Controlled Deposition Welding Methods as Alternatives to Postweld Heat Treatment
Definition Controlled Deposition
3.11 controlled-deposition welding:
 Any welding technique used to obtain controlled grain refinement and tempering of the underlying
heat affected zone (HAZ) in the base metal.
 Various controlled-deposition techniques, such as temper-bead (tempering of the layer below the
current bead being deposited) and half-bead (requiring removal of one-half of the first layer), are
included.
 Controlled-deposition welding requires control of the entire welding procedure including the joint
detail, preheating and post heating, welding technique, and welding parameters. Refer to
supporting technical information found in Welding Research Council Bulletin 412.
Preheat/Controlled Deposition
Benefits
 May allow welded repairs to a vessel that was constructed to the ASME Section VIII Div.1 which
required PWHT to be repaired without further PWHT of the vessel’s material.
 Preheat and controlled deposition welding, as described in 7.2.3.1 and 7.2.3.2, may be used in
lieu of post-weld heat treatment where PWHT is inadvisable or mechanically unnecessary.
 Prior to using any alternative method, a metallurgical review conducted by a pressure vessel
engineer shall be performed.
 The review should consider factors such as the reason for the original PWHT of the equipment,
susceptibility of the service to promote stress corrosion cracking, stresses in the location of the
weld, susceptibility to high temperature hydrogen attack, susceptibility to creep, etc.
 Selection of the welding method used shall be based on the rules of the construction code
applicable to the work planned along with technical consideration of the adequacy of the weld in
the as-welded condition at operating and pressure test conditions.
301
8.1.6.4.2 Preheat or Controlled Deposition Welding Methods as Alternatives to Postweld Heat
Treatment
8.1.6.4.2.1 General
8.1.6.4.2.1.1 Preheat and controlled deposition welding, as described in 8.1.6.4.2.2 and 8.1.6.4.2.3,
may be used in lieu of PWHT where PWHT is inadvisable or mechanically unnecessary. Prior to using
any alternative method, a metallurgical review conducted by an engineer shall be performed to assure
the proposed alternative is suitable for the application. The review should consider factors such as the
reason for the original PWHT of the equipment, susceptibility to stress corrosion cracking, stresses in
the location of the weld, susceptibility to high temperature hydrogen attack, susceptibility to creep, etc.
8.1.6.4.2.1.2 Selection of the welding method used shall be based on the rules of the construction
code applicable to the work planned along with technical consideration of the adequacy of the weld in
the as-welded condition at operating and pressure test conditions.
8.1.6.4.2.1.3 When reference is made in this section to materials by the ASME designation, P-Number
and Group Number, the requirements of this section apply to the applicable materials of the original
code of construction, either ASME or other, which conform by chemical composition and mechanical
properties to the ASME P-Number and Group Number designations.
8.1.6.4.2.1.4 Vessels constructed of steels other than those listed in 8.1.6.4.2.2 and 8.1.6.4.2.3,
that initially required PWHT, shall be postweld heat treated if alterations or repairs involving pressure
boundary welding are performed. When one of the following methods is used as an alternative to
PWHT, the **PWHT joint efficiency factor may be continued if the factor has been used in the
currently rated design.
** This statement is unclear, but it appears to indicate that the radiography and the resulting weld
joint efficiency are not be affected by the repair method.
302
8.1.6.4.2.2 Preheating Method (Notch Toughness Testing Not Required)
8.1.6.4.2.2.1 The preheating method, when performed in lieu of PWHT, is limited to the following
materials and weld processes:
a. The materials shall be limited to P-No. 1, Group 1, 2, and 3, and to P-No. 3, Group 1 and 2
(excluding Mn-Mo steels in Group 2).
b. The welding shall be limited to the shielded-metal-arc welding (SMAW), gas-metal-arc welding
(GMAW), and gas-tungsten arc welding (GTAW) processes.
8.1.6.4.2.2.2 The preheat method shall be performed as follows:
The weld area shall be preheated and maintained at a minimum temperature of 300°F (150°C) during
welding. The 300°F (150°C) temperature should be checked to assure that 4 in. (100 mm) of the
material or four times the material thickness (whichever is greater) on each side of the groove is
maintained at the minimum temperature during welding. The maximum interpass temperature shall
not exceed 600°F (315°C). When the weld does not penetrate through the full thickness of the
material, the minimum preheat and maximum interpass temperatures need only be maintained at
a distance of 4 in. (100 mm) or four times the depth of the repair weld, whichever is greater on
each side of the joint.
Note: Notch toughness testing is not required when using this preheat method in lieu of PWHT.
8.1.6.4.2.3 Controlled-deposition Welding Method (Notch Toughness Testing Required)
The controlled-deposition welding method may be used in lieu of PWHT in accordance with the following:
a. Notch toughness testing, such as that established by ASME Code Section VIII: Division 1, parts UG-
84 and UCS-66, is necessary when impact tests are required by the original code of construction or
the construction code applicable to the work planned.
b. The materials shall be limited to P-No. 1, P-No .3 and P-No. 4 steels
c. The welding shall be limited to the shielded-metal-arc welding (SMAW), gas-metal-arc welding
(GMAW), and gas-tungsten arc welding (GTAW) processes.
d. A weld procedure specification shall be developed and qualified for each application. The welding
procedure shall define the preheat temperature and interpass temperature and include the post
heating temperature requirement in f(8). The qualification thickness for the test plates and repair
grooves shall be in accordance with Table 8-1. The test material for the welding procedure
qualification shall be of the same material specification (including specification type, grade, class and
condition of heat treatment) as the original material specification for the repair. If the original material
specification is obsolete, the test material used should conform as much as possible to the material
used for construction, but in no case shall the material be lower in strength or have a carbon content
of more than 0.35%.
e. When impact tests are required by the construction code applicable to the work planned, the PQR
shall include sufficient tests to determine if the toughness of the weld metal and the heat-affected
zone of the base metal in the as-welded condition is adequate at the minimum design metal
temperature (such as the criteria used in ASME Code Section VIII: Division I, parts UG-84 and UCS
66). If special hardness limits are necessary (for example, as set forth in NACE RP 0472 and MR
0103) for corrosion resistance, the PQR shall include hardness tests as well.
f. The WPS shall include the following additional requirements:
303
1. The supplementary essential variables of ASME Code, Section IX, Paragraph QW-250, shall apply.
2. The maximum weld heat input for each layer shall not exceed that used in the procedure qualification
test.
3. The minimum preheat temperature for welding shall not be less than that used in the procedure
qualification test.
4. The maximum interpass temperature for welding shall not be greater than that used in the procedure
qualification test.
5. The preheat temperature shall be checked to assure that 4 in. (100 mm) of the material or four times
the material thickness (whichever is greater) on each side of the weld joint will be maintained at the
minimum temperature during welding. When the weld does not penetrate through the full thickness
of the material, the minimum preheat temperature need only be maintained at a distance of 4 in. (100
mm) or four times the depth of the repair weld, whichever is greater on each side of the joint.
6. For the welding processes in 8.1.6.4.2.3c, use only electrodes and filler metals that are classified by
the filler metal specification with an optional supplemental diffusible-hydrogen designator of H8 or
lower. When shielding gases are used with a process, the gas shall exhibit a dew point that is no
higher than –60°F (–50°C). Surfaces on which welding will be done shall be maintained in a dry
condition during welding and free of rust, mill scale and hydrogen producing contaminants such as
oil, grease and other organic materials.
7. The welding technique shall be a controlled-deposition, temper-bead or half-bead technique. The
specific technique shall be used in the procedure qualification test.
8. For welds made by SMAW, after completion of welding and without allowing the weldment to cool
below the minimum preheat temperature, the temperature of the weldment shall be raised to a
temperature of 500°F ± 50°F (260°C ± 30°C) for a minimum period of two hours to assist out-gassing
diffusion of any weld metal hydrogen picked up during welding. This hydrogen bake-out treatment
may be omitted provided the electrode used is classified by the filler metal specification with an
optional supplemental diffusible-hydrogen designator of H4 (such as E7018-H4).
9. After the finished repair weld has cooled to ambient temperature, the final temper bead
reinforcement layer shall be removed substantially flush with the surface of the base material.
304
Example Coupon
Courtesy Sperko Engineering
305
Lesson 20
API 572
Vessel Inspection
The primary purpose of inspection is to identify active deterioration mechanisms and to specify the repair,
replacement, or future inspections for affected piping or vessels. This requires identifying the appropriate
inspection techniques, developing information about the physical condition of the vessel, the causes of
deterioration, and the rate of deterioration for a vessel.
Program Goals
Effective Vessel Inspection programs are very important tools. If properly implemented such programs will
help to avoid losses in the form of:
- Capital equipment
- Loss of production
The Inspector
Inspecting for Deterioration
The most important element of an effective Vessel Inspection program is without a doubt the Inspector.
The Inspector must know:
 What to Inspect For (types of problems)?
 Where to Inspect (where problems are found)?
 How to Inspect (proper inspection methods)?
Considerations
Some of the factors to consider when establishing an inspection program for vessels are:
 Categorizing the vessels into risk groups of similar failure modes (localized or general corrosion,
environmental cracking, etc.).
 Identifying susceptible locations where accelerated corrosion and/or cracking, distortion etc. is
expected.
 Accessibility for inspections.
Corrosion
The key to the effective monitoring of piping or vessels for corrosion is identifying and establishing
corrosion-monitoring locations (CMLs). CMLs are designated areas in the piping system where thickness
measurements are periodically taken. By taking repeated measurements and recording the same points
over extended periods, corrosion rates can more accurately be calculated.
306
Basic Vessel Inspection
Introduction
Before starting the inspection of a pressure vessel, especially one in severe service, the inspector should
determine;
 Pressure, temperature, and service conditions under which the vessel has been operated since the
last inspection.
 Equipment construction details including materials of construction, the presence of internal
attachments, and weld details.
 The Inspector should confer with operations to determine whether there have been any abnormal
operating conditions such as excessive pressures or temperatures.
 The data gathered may offer valuable clues to the type and location of corrosion and to other forms of
damage that may have occurred such as scaling, bulging, or warping.
Careful visual inspection of each vessel is important to determine if other forms of inspection may be
needed.
 A proper Visual Inspection is the most important non-destructive examination.
 Surface preparation is essential to all inspection methods.
External Inspections
When to Inspect
 External Inspections may be made when the vessel is in or out of service.
 Inspections that can be done in service will shorten inspection time when the vessels are out of
service.
Where to Inspect
 External inspection of pressure vessels and exchangers should start with ladders, stairways,
platforms, or walkways connected to or bearing on the vessel.
 Careful visual inspection should be made for corroded or broken parts, cracks, the tightness of
bolts, the condition of paint or galvanizing material, the wear of ladder rungs and stair treads the
security of handrails/safety gates
•.
307
What to Inspect For?
 Inspect deck plates for wear, which might make the decking slippery.
 Corrosion or loose bolting, lightly tapping with a small hammer works well for testing.
 If suspect, floor plates can be removed to check supporting members.
 Welds that attach ladder and deck parts often corrode due to poor paint bonding.
Foundations and Supports
What to Inspect For?
Foundations for vessels are almost invariably constructed of steel-reinforced concrete or structural steel
fireproofed with concrete.
308
 They should be inspected for deterioration such as spalling, cracking, and settling.
 The foundations for exchangers usually consist of steel cradles on concrete piers.
 Occasionally the supports are made entirely of steel.
 The crevice formed between an exchanger shell or a horizontal vessel and a cradle support should
be carefully checked. Moisture lying in the crevice can cause rapid attack on carbon steel and on
low-chrome-molybdenum steels.
Where to Inspect?
 The cradle is sealed with a mastic compound; this seal should be checked by judiciously picking at the
mastic with a scraper to make sure that it is intact. Cradles are often seal welded to vessel shells to
prevent moisture from accumulating in the crevice and causing corrosion.
309
 Excessive heat, mechanical shock, corrosion of reinforcing steel, or the freezing of entrapped
moisture. Inspection for this type of damage should consist of visual observation and scraping.
 The condition of anchor bolts cannot always be determined by visual inspection, the area of contact
between the bolts and any concrete or steel should be scraped and examined for corrosion.
This will not usually reveal the condition below the top surface of the base plate or lugs, however a
sidewise blow with a hammer can reveal deterioration of the anchor bolt below the base plate.
Anchor Bolt and Nut may appear new but in fact be corroded beneath the NUT. Hammer Test!
 Distortion of anchor bolts may indicate serious foundation settlement. The nuts on anchor bolts should
be inspected to determine whether they are properly tightened.
 Ultrasonic testing may also be used to test bolts.
Concrete Supports
Where to Inspect?
 Inspection of concrete supports is similar to inspection of concrete foundations.
 Opening between concrete supports and a vessel shell or head should be sealed to prevent water
entry between the supports and the vessel.
 Visual inspection with some picking and scraping should disclose the condition of the seal. A
concentration cell could develop there and cause rapid corrosion.
Steel Supports
What to Inspect For?
Steel supports should be inspected for corrosion, distortion, and cracking. While a great deal of
importance is placed on the vessel’s or exchanger’s condition it must not be forgotten that the steel
supports can and do corrode. This can lead to a serious condition if not corrected. Do not over look the
Inspection of steel support structures.
310
Steel Supports
Where to Inspect
 Thickness can be determined by taking readings with transfer or indicating calipers or Ultrasonic
instruments in the most severely corroded areas.
 Visual examination of the support surfaces should be supplemented by wire brushing, picking and
tapping with a hammer.
 Columns and load-carrying beams should be inspected for buckling or excessive deflection. This can
be inspected visually with the aid of a straightedge or plumb line.
 Taking diameter measurements at several points approximately 60 degrees (1.0 radian) apart can
check distortion of cylindrical skirts
 The inside surface of a skirt sheet is often subject to attack by condensed moisture, especially when
the temperature in the enclosed area is less than approximately 100
°
F (38
°
C) or when steam is put in
the skirt to warm the bottom of the vessel.
Nozzles
What to Inspect For?
 If any settling of the vessel has occurred, nozzles and adjacent shell areas should be inspected for
distortion and cracking.
 Excessive pipe expansions, internal explosions, earthquakes, and fires may also damage piping
connections. Flange faces may be checked with a square for distortion.
311
If there is any evidence of distortion or cracks in the area around the nozzles, all seams and the shell
in this area should be examined for cracks.
 Exposed gasket surfaces should be checked for scoring and corrosion. The surfaces should be
cleaned thoroughly and carefully for a good visual inspection.
Where to Inspect
 Lap joint flanges or slip flanges such as Van Stone flanges should be checked for corrosion between
the flange and the pipe.
 Leaks are likely to occur at piping attachments to the vessel wall. Leaks can be located visually while
the vessel is in service or under test conditions.
 Evidence of a leak is usually in the form of discoloration to the vessel, insulation, fireproofing or paint,
or as damage to or wetting of the insulation.
Grounding Connections
What to Inspect For
 Grounding connections should be visually examined to verify that good electrical contact is
maintained.
 The cable connections should be checked for tightness and positive bonding to the vessels and
corrosion where it penetrates the foundation, slab or ground.
 The continuity of all ground wires should be checked.
312
Auxiliary Equipment
Where to Inspect?
 Auxiliary equipment, such as gauge connections, float wells, sight glasses, and safety valves, may be
visually inspected while the unit is in service. Undue vibration of these parts should be noted.
 The vibrations should be arrested by adding supports, or calculations should be performed by a
qualified engineer to assure that the vibrations will not cause a fatigue failure.
Protective Coatings
Where to Inspect?
The condition of the protective coating on a vessel shell should be determined.
 Rust spots, blisters, and film lifting are the types of paint failures usually found.
 Film lifting is not easily seen unless the film has bulged or has broken.
 Scraping paint away from blisters and rust spots often reveals pits in the vessel walls.
Protective Coatings
How to Inspect?
 Depth of pitting can be measured with a pit gauge or a depth gauge.
 Likely spots for paint failure are in crevices, in constantly moist areas, and at welded or riveted vessel
seams.
 Bottom heads of vessels supported on skirts in humid locations are other likely points of paint failure.
Insulation
What to Inspect For?
Visual examination of insulation is normally sufficient to determine its condition. A few samples may be
removed to better determine the condition of the insulation and the metal wall under it. The supporting
clips, angles, bands, and wires should all be examined visually for corrosion and breakage.
Inspection for corrosion under insulation (CUI) should be considered for externally insulated vessels
subject to moisture ingress and which:
 Operate between 25
°
F and 250
°
F (-4
°
C to 121
°
C)
 Are in intermittent service
313
External Metal Surfaces
Where to Inspect?
The external metal surfaces of a vessel may be inspected visually by picking, scraping, and limited
hammering to locate corroded areas.
CAUTION: Extreme care should be used on operating equipment containing hot, harmful, or high-
pressure material.
How to Inspect?
 Thickness measurements of the vessel walls, heads, and nozzles are usually required at each
complete vessel inspection.
 Whether these measurements are taken from the outside of a vessel or the inside will depend on the
location and accessibility of the corroded areas.
 Under normal conditions, at least one measurement in each shell ring and one measurement on
each head should be taken.
 If much corrosion is evident, several readings should be taken in the most corroded areas.
 If no history exists on a particular vessel, getting readings in each quadrant of each shell ring and
head should be considered.
External Evidence of Corrosion
What to Inspect For?
Some of the types of corrosion that may be found on external surfaces of a vessel are:
 Atmospheric corrosion
 Caustic embrittlement
 Hydrogen blistering
 Soil corrosion
 Extent of atmospheric corrosion on the outside of a vessel will vary with local climatic, coating, and
service conditions.
 When caustic is stored or used in a vessel, the vessel should be checked for caustic embrittlement.
 Attack is most likely to occur at connections for internal heating units and in areas of residual or other
high stress
External Evidence of Corrosion
Where to Inspect?
 The most likely areas for caustic embrittlement are around nozzle welds and in or next to welded
seams.
 Visual inspection can disclose this type of attack.
 Caustic material seeping through the cracks will often deposit white salts that are readily visible.
 Those areas below the liquid level in vessels that contain an acidic corrodent are more likely to be
subject to hydrogen blistering.
 Hydrogen blistering is typically found on the inside of a vessel.
 However hydrogen blisters may be found on either the ID or OD surface depending on the location of
the void that causes the blistering. Blisters are found most easily by visual examination.
 A flashlight beam directed parallel to the metal surface (shadowing) will sometimes reveal blisters.
 When many small blisters occur, they can often be found by running the fingers over the metal
surface.
314
External Inspections
Where to Inspect?
The external surfaces of the vessels should be examined not only for corrosion, but also for:
 Leaks, cracks, buckles, bulges, defects in the metal plates, deformation or corrosion of any external
stiffeners.
 If the vessel is insulated, small sections of insulation should be removed, particularly where moisture
might accumulate.
 In welded vessels, cracks are most commonly found at nozzle connections, in welded seams, and
at bracket and support welds.
 In riveted vessels, the most common location is at metal ligaments between the rivets.
How to Inspect?
 Close visual inspection with some picking or scrapping will disclose most cracks.
 Buckles and bulges will normally be quite evident.
 Small distortions can be found and measured by placing a straightedge against the shell of the vessel.
 Some distortion is normal, and determining the cause of distortion is very important.
 Causes of distortion such as internal vapor explosions or excessive internal corrosion will be
disclosed by the internal inspection.
 The extent of bulging or buckling can be determined by measuring the changes in circumferences or
by making profiles of the vessel wall.
 Profiles are made by taking measurements from a line parallel to the vessel wall.
315
Preliminary Internal Visual Inspection
Surface Preparation
The degree of surface preparation needed for internal inspection will vary with several factors. Foremost
among these factors are the following:
 The type of deterioration expected.
 The location of any deterioration
 Usually the cleanliness required by the operations will be sufficient for inspection purposes, such as:
 Washing with hot water
 Steaming
 Solvents
 Scraping
 Extra cleaning methods are necessary when stress-corrosion cracking, wet sulfide cracking, hydrogen
attack, or other metallurgical forms of degradation are suspected.
 Extensive cracking, deep pitting, and extensive weld deterioration require cleaning over wide areas
Where to Inspect?
If this is not the first inspection, the initial step in preparation for an internal inspection is to review the
previous records of the vessel to be inspected.
 The type of corrosion (pitted or uniform), its location, and any other obvious data should be
established. In refinery process vessels, certain areas corrode much more rapidly than others do.
Examples:
 Bottom heads and shells of fractionators processing high-sulfur crude oils are susceptible to sulfide
corrosion.
 Corrosion will usually be most intense around the inlet lines in these vessels.
 High temperature sulfur corrosion tends to be uniform compared to more localized corrosion from
high naphthenic acids
 Vessels that are subject to wet hydrogen sulfide (H2S) or have cyanide environments are subject
to cracks in their welds and heat-affected zones.
Examples of such vessels are:
 Fractionation Towers
 Distillation Towers
 Knock Out Drums
 Reflux Accumulators
 Exchanger Shells
 Vessels where sludge may settle out and form concentration cells can occur. The areas contacted by
the sludge are most susceptible to corrosion. This corrosion may be rapid if the sludge contains
acidic components.
 If steam is injected into a vessel, corrosion and erosion may occur at places directly opposite the
steam inlet.
 Bottom heads and areas that can collect condensate are also likely to be corroded.
316
 When a reboiler is used at the bottom of a tower to maintain a desired temperature:
 The point where the hot process stream returns to the tower may be noticeably corroded.
 Especially true if the process stream contains components that may decompose with heat and form
acid compounds, as in alkylation units and soap or detergent plants.
 Areas opposite inlet streams maybe subject to impingement attack or erosion.
 Vessels in water service, such as exchangers or coolers are subjected to maximum corrosion where
the water temperatures are highest.
 When water is on the tubeside of an exchanger, the outlet side of the channel will most likely be
corroded.
Where to Inspect
In any type of vessel, corrosion may occur where dissimilar metals are in close contact. The less noble of
the two metals will corrode.
Example:
 Carbon steel exchanger channel’s gasket surfaces near brass tube sheets will often corrode at a
higher rate than it would elsewhere.
317
Cracks in vessels are most likely to occur where there are sharp changes in shape or size or near welded
seams.
Examples:
 Nozzles
 Exchanger channel and shell-cover flanges
 Baffles in exchanger channels
 Floating tube-sheet covers
When materials flow at high velocities an accelerated attack can be expected if changes are made in the
direction of flow at:
 Tube inlets in tubular units
 Return bends in double-pipe units
 Condenser box or air cooler coils
The preliminary inspection may reveal unsafe conditions, such as those due to loose internals that
may fall or due to badly corroded or broken internal ladders or platforms. These parts must be repaired or
removed immediately before a more detailed inspection may proceed.
Detailed Internal Visual Inspection
Where to Inspect?
Inspectors should understand the function of the vessel, internals, and each nozzle to assess findings.
 Detailed inspections should start at one end of a vessel and progress to the other end.
 A systematic procedure should be followed to avoid over inspecting obscure but important items. A
check list is recommended, perhaps even after an inspector has developed “Inspection Skills”.
What to Inspect For?
All areas of the vessel should be inspected for:
 Corrosion
 Erosion
 Hydrogen blistering
 Deformation, cracking, and laminations.
A careful record should be made of the types and locations of all deterioration found.
How to Inspect?
 Thickness measurements should be taken at those locations that show the most deterioration. When
deterioration appears to be widespread, enough readings should be taken to assure an accurate
determination of the remaining thickness.
 When deterioration is slight, one thickness measurement on each head and each shell course may be
sufficient on small vessels, more should be taken on large vessels.
Pitting corrosion can usually be found by scratching suspected areas with a pointed scraper. When
extensive and deep pitting or grooving is found, and depth measurements are wanted, the areas may
need to be abrasive blasted.
318
 Depths of pits or grooves can be measured with a depth gauge, a pit gauge, or (in the case of large
pits or wide grooves) with a straightedge and a steel rule.
 Depths can be estimated by extending the lead of a mechanical pencil as a depth gage.
 Depressions or pockets that can hold sludge or water should be scraped clean and carefully
examined for evidence of corrosion.
A hammer can be used to inspect for thin areas of vessel shells, nozzles, and parts.
 Experience is needed before the hammer can be used effectively. When striking the shell, nozzle, or
part, an experienced inspector can often find:
 Thin spots by listening to the resulting sound (a dull sound) and by noting the feel of the hammer as it
strikes.
When cracks are suspected or found, their extent can be inspected for with:
 Liquid penetrant
 Magnetic particle (wet or dry) techniques
 Angle beam ultrasonic inspection methods
Where to Inspect
Heavy wall reactors operate at high pressure and have special inspection requirements. Usually these
vessels are constructed from Chrome Molybdenum steels. The major areas of concern with respect to
crack damage are:
 Attachment weld(s) of an internal component
 Main weld seams
 Gasket grooves (ring joint flanges)
 Nozzle attachment welds
319
What to Inspect For?
Welded seams in vessel shells should be closely checked when the service is:
 Amine
 Wet hydrogen sulfide (H2S)
 Caustic
 Ammonia
 Other services that may promote cracking
In addition, welds in vessels constructed of high-strength steels [(above 70,000 psi tensile (483 Mpa)] or
coarse grain steels should be checked.
How to Inspect?
 The wet fluorescent magnetic particle technique is considered the best means for locating surface
indications in these metals.
 Eddy Current, AC current and ultrasonic methods are also available for the detection of surface
breaking defects, the newer techniques have the advantage of increased speed. A number of the
methods have a limited depth measuring capability.
Where to Inspect?
 Nozzles connected to the vessel should be visually examined for internal corrosion.
How to Inspect?
 The wall thickness of nozzles can best be obtained with ultrasonic instruments.
 Measurements can be made with a pair of internal, spring-type transfer calipers or with direct reading,
scissor-type, inside diameter calipers.
Where to Inspect?
 When the piping is disconnected, actual nozzle wall thickness can be obtained by using a caliper
around the flange. In this way, any eccentric corrosion of the nozzle will be revealed.
 Nozzles, especially Pressure Safety Valve inlets, should be inspected for deposits.
In most instances, inspection of internal equipment should be made when adjacent shell areas are
inspected. This may be very difficult in some large vessels.
This inspection should include but is not limited to:
 Supports for trays
 Baffles
 Screens
 Grids
 Piping, internal
 Stiffeners
320
How to Inspect?
Most of this inspection will be visual. Light tapping with a hammer can be used as a check for soundness.
 If there appears to be any metal loss, the thickness of the support should be measured and checked
against the original thickness. Transfer or direct- reading calipers, micrometers, or ultrasonic
thickness instruments can be used for these measurements.
Where to Inspect?
All internal piping should be thoroughly inspected visually, especially at threaded connections.
How to Inspect?
Hammer testing of a nozzle by an experienced inspector is a quick way to determine its condition. The
sound, the feel, and any indentation will indicate any thinness or cracking in the nozzle.
What to Inspect For?
Erosion
Erosion usually differs in appearance from corrosion.
 Erosion is characterized by a smooth, bright appearance; marked absence of the erosion product and
metal loss, usually confined to a clearly marked local area.
 Corroded areas are not commonly smooth or bright.
Erosion
321
Corrosion
The shells of exchangers, next to bundle baffles and inlet impingement plates should be checked for
erosion.
How to Inspect
 Erosion or corrosion at the baffles of exchangers will often show up as a series of regularly spaced
rings when a flashlight beam is place parallel to the shell surface. Sometimes, a lack of scale will
indicate this type of erosion.

API_510_for_Exam.pdf

  • 1.
    API 510 -for Exam Prepared by: DSc PhD Dževad Hadžihafizović (DEng) Sarajevo 2023
  • 2.
  • 3.
    2 API 510 ExaminationPreparatory Fast Track Technical Table of Contents Lesson 1 Service Restrictions/Joint Efficiencies/Radiography 5 Lesson 2 Shell and Head Calculations 29 Lesson 3 Maximum Allowable Working Pressure 43 Lesson 4 Hydrostatic Head Pressure 45 Lesson 5 Hydrostatic, Pneumatic Tests and Test Gauges 53 Lesson 6 Postweld Heat Treatment 57 Lesson 7 External Pressure Calculations 65 Lesson 8 Charpy Impact Testing 75 Lesson 9 Fillet Welds and Reinforcement Calculations 91 Lesson 10 Materials, Nameplates, and Data Reports 101 Lesson 11 Corrosion Calculations 105 Lesson 12 ASME Section IX Overview 115 Lesson 13 Writing a Welding Procedure Specification 143 Lesson 14 Welder Performance Qualification Test 175 Lesson 15 Review of WPS’s and PQR’s 195 Lesson 16 Section V NDE 217 Lesson 17 RP 577 Welding Inspections and Metallurgy 251 Lesson 18 RP 571 Damage Mechanisms 279 Lesson 19 API 510 Pressure Tests and Welded Repairs 295 Lesson 20 API 572 Inspection of Pressure Vessels 305
  • 4.
    3 Introduction The API Examsare given the first Wednesday of December and June. There is now a trial examination being given in September, which coincides with the API 653. This September exam may or may not become permanent. The Exam is given in two sections.  The morning is the Open Book portion.  The afternoon portion is Closed Book.  4 hours are allotted to each. The Open Book portion you are allowed to have all the Code books and the API Recommended Practices to use as needed. These books can be highlighted, tabbed and may have hand written notes in the margins of the pages. The Closed Book portion you are not allowed to use the Code books or the API Recommended Practices. All questions are multiple choices; there are a total of 150 questions, each worth 2/3 point. The Open Book half will have from 45 to 55 questions. The balance of the questions will be on the second half Closed Book portion in the afternoon. The examination is scored using a curve. The number of correct questions to pass varies from exam to exam. A passing score is based on the difficulty level of questions from one exam to another. Each question when written is assigned a level of difficulty from 1 to 4, 4 being the hardest. If a given exam has a high number of harder questions, it may only require 98 correct to pass, likewise easier exams may require as many as 115 correct.
  • 5.
    4 ASME CODES OVERVIEW SectionVIII Div.1 Unfired Pressure Vessels. Section VIII is divided into 3 Subsections. Subsection A General Rules which apply to all vessels Subsection B Methods of Fabrication Specific Rules based on method (s) used Subsection C Specific Rules Based on Material (s) On the Exam you are responsible for: Subsection A Only Part of the UG rules that apply to all vessels no matter how they are made or what they are made of. Subsection B Only Part of the UW rules for vessel fabricated by welding. Subsection C Only Part of the UCS rules for vessel made of Carbon or Low Alloys. About the course • The course will start with Section VIII Subsection B Methods of Fabrication Part UW, Welding. • Next we will cover Part UG General Rules and calculations. • Then we will cover the material specific rules for Carbon and Low Alloy Steels Part UCS. • Upon completion of the Section VIII coverage we will commence Section IX Welding. • After Section IX we will be covering Section V NDE. • Then Selected Coverage from, RP 577 and RP 571 and API 510. • There will be quizzes throughout the course. • There will be homework reading assignments. • There will be exercises to complete between classes. • There will be a final exam. • You will receive 3 Practice Exams each with 150 questions and the solutions sheets for self study. • You need Yellow highlighters. • You need tabs. • A red pen or pencil (optional). • The KIS (Keep It Simple) principle applies. You need a simple calculator it need not have any math function higher than square root. • You may want a backup calculator during the exam.
  • 6.
    5 Lesson 1 ServiceRestrictions, Joint Efficiencies, and Radiography Objectives • Understand the service restrictions placed on weld joints based on service conditions. • Identify weld joints by Categories (location in vessel). • Identify welds by Types. (How made, double welded etc.). • Determine the accept/reject values for weld imperfections located using radiography. • Define the extent of radiography required by Code for a desired joint efficiency. • Find weld joint efficiency (E) by using Table UW-12. • Determine weld joint efficiencies based on RT markings. • Determine the E to be used for calculating the required thickness or allowed pressure for Seamless Shell sections and Seamless heads. • Understand the rules for using welded pipe and tubing.
  • 7.
    6 ASME Section VIII UW-2Service Restrictions (a) When vessels are to contain lethal substances footnote 1 , either liquid or gaseous, all butt welded joints shall be fully radiographed, except under the provisions of UW-2(a)(2) and UW-2(a)(3) below, and UW-11(a)(4). When fabricated of carbon or low alloy steel, such vessels shall be postweld heat treated. Footnote 1 When a vessel is to contain fluids of such a nature that a very small amount mixed or unmixed with air is dangerous to life……….. If determined as lethal, … (1) The joints of various categories (see UW-3) shall be as follows. (a) Except under the provisions of (a)(2) or (a)(3) below, all joints of Category A shall be Type No. (1) of Table UW-12. (b) All joints of Categories B and C shall be Type No. (1) or No. (2) of Table UW-12. These are the only two types which are considered acceptable for radiography by Section VIII Div.1 Type 1 Double Welded butt joint or equivalent. Backing if used must be removed. Type 2 Single welded butt joint with backing which remains in place.
  • 8.
    7 UW-3 Welded JointCategory The term “Category” as used herein defines the location of a joint in a vessel, but not the type of joint. (a) Category A. Longitudinal welded joints within the main shell, communicating chambers, transitions in diameter, or nozzles; any welded joint within a sphere, within a formed or flat head, or within the side plates of a flat-sided vessel; circumferential welded joints connecting hemispherical heads to main shells, to transitions in diameters, to nozzles, or to communicating chambers. (b) Category B. Category B. Circumferential welded joints within the main shell, communicating chambers, 2 nozzles, or transitions in diameter including joints between the transition and a cylinder at either the large or small end; circumferential welded joints connecting formed heads other than hemispherical to main shells, to transitions in diameter, to nozzles, or to communicating chambers. 2 Circumferential welded joints are butt joints if the half-apex angle, a, is equal to or less than 30 deg and the angle joints when a is greater than 30 deg. (See Fig. UW-3.) (c) Category C. Welded joints connecting flanges, Van Stone laps, tubesheets, or flat heads to main shell, to formed heads, to transitions in diameter, to nozzles, or to communicating chambers any welded joint connecting one side plate to another side plate of a flat sided vessel. (d) Category D. Welded joints connecting communicating chambers or nozzles to main shells, to spheres, to transitions in diameter, to heads, or to flat-sided vessels, and those joints connecting nozzles to communicating chambers (for nozzles at the small end of a transition in diameter, see Category B). An important note: Hemispherical heads form a Category A joint between themselves and any other part, whether it is the shell, another hemispherical head, etc. Hemispherical Heads are never considered Seamless by Code rules. The Category A weld made by attaching the Hemispherical Head to shell is considered part of the Head for calculation purposes. Later on in this lesson we begin our discussion of formed seamless Heads. The formed heads on the exam that are considered seamless are Torispherical and Ellipsoidal, Hemispherical is not seamless by Code.
  • 9.
    8 UW-51 Radiographic and RadioscopicExamination of Weld Joints (a) All welded joints to be radiographed shall be examined in accordance with Article 2 of Section V except as specified below. (1) A complete set of radiographs and records, as described in Article 2 of Section V, for each vessel or vessel part shall be retained by the Manufacturer, as follows: (a) Films until the Manufacturer's Data Report has been signed by the Inspector; (b) Records as required by this Division (10-13). (2) A written radiographic examination procedure is not required. Demonstration of density and penetrameter image requirements on production or technique radiographs shall be considered satisfactory evidence of compliance with Article 2 of Section V. (3) The requirements of T-285 of Article 2 of Section V are to be used only as a guide. Final acceptance of radiographs shall be based on the ability to see the prescribed penetrameter image and the specified hole or the designated wire of a wire penetrameter.
  • 10.
    9 (b) Indications shownon the radiographs of welds and characterized as imperfections are unacceptable under the following conditions and shall be repaired as provided in UW-38, and the repair radiographed to UW-51 or, at the option of the Manufacturer, ultrasonically examined in accordance with the method described in Appendix 12…. (1) Any indication characterized as a crack or zone of incomplete fusion or penetration ; (2) Any other elongated indication on the radiograph which has length greater than: (a) 1/4 in. for t up to 3/4 in. (b)1/3t for t from 3/4 in. to 2-1/4 in. (c) 3/4 in. for t over 2-1/4 in. Where; t = the thickness of the weld excluding any allowable reinforcement. For a butt weld joining two members having different thicknesses at the weld, t is the thinner of these two thicknesses. Since the value of t must be the lesser thickness this decreases the size of the maximum acceptable indication.
  • 11.
    10 (3) Any groupof aligned indications that have an aggregate (total) length greater than t in a length of 12t, Example: t = 1” total length (L) cannot exceed 1” in 12” Also individual lengths cannot exceed the following: (b) 1/3t for t from 3/4 in. to 2-1/4 in. * In this example none of the individual indications can exceed 1/3 x 1” = 1/3” (.333”) (3) Except when the distance between the successive imperfections exceeds 6L where L is the length of the longest imperfection in the group; * This means that if the two groups are isolated from each other, they can be evaluated separately within a length of 12t. (4) Rounded indications in excess of that specified by the acceptance standards given in Appendix 4. Example from Appendix 4: More on this during the Section V Coverage.
  • 12.
    11 UW-52 Spot Examinations ofWeld Joints (a). Butt welded joints that are to be spot radiographed shall be examined locally as provided herein. (b) Minimum Extent of Spot Radiographic Examination (1) One spot shall be examined on each vessel for each 50 ft increment of weld or fraction thereof for which a joint efficiency from column (b) of Table UW-12 is selected. However, for identical vessels, each with less than 50 ft of weld for which a joint efficiency from column (b) of Table UW-12 is selected, 50 ft increments of weld may be represented by one spot examination. * The idea of this rule is that each 50’ increment is to be a hold point for approval; the next increment is not to be started until the previous one has been accepted. The drawing below is the simplest case; you will not see this often. * This rule also addresses smaller, often machine welded vessels such as small air receivers. One is picked at random for spot radiography. If it passes, all are approved. 18' fraction 18' fraction 18' fraction 50' increment 50' increment 25' fraction
  • 13.
    12 (2) For eachincrement of weld to be examined, a sufficient number of spot radiographs shall be taken to examine the welding of each welder or welding operator. Under conditions where two or more welders or welding operators make weld layers in a joint, or on the two sides of a double-welded butt joint, one spot may represent the work of all welders or welding operators. * Every welder in a given 50’ increment must have his work radiographed. It can be a individual photo (radiograph) or a group picture. Here welder A was radiographed alone and B & C’s work was examined on the same radiograph. (3) Each spot examination shall be made as soon as practicable…... The location of the spot shall be chosen by the Inspector,… except that when the Inspector cannot be present or otherwise make the selection, the fabricator may exercise his own judgment in selecting the spots. (4) Radiographs required at specific locations to satisfy the rules of other paragraphs, such as UW-9(d), UW-11(a)(5)(b), and UW-14(b), shall not be used to satisfy the requirements for spot radiography. Note: UW-11(a)(5)(b), will be covered in depth later in this lesson. UW-9(d) (d) Except when the longitudinal joints are radiographed 4 in. each side of each circumferential welded intersection, vessels made up of two or more courses shall have the centers of the welded longitudinal joints of adjacent courses staggered or separated by a distance of at least five times the thickness of the thicker plate. * Longitudinal Welds Aligned must be radiographed for at least 4 inches on each side of the joint. UW-14(b) Single openings meeting the requirements given in UG-36(c)(3) may be located in head-to-shell or Category B or C butt welded joints, provided the weld meets the radiographic requirements in UW-51 for a length equal to three times the diameter of the opening with the center of the hole at mid-length. Defects that are completely removed in cutting the hole shall not be considered in judging the acceptability of the weld. ** UW-51, not 52 to grade film. 50' increment Welder B & C on opposite sides of the weld. Welders B & C Welder A Alone
  • 14.
    13 3.5" x 3= 10.5" * UG-36 (c)(3) addresses small opening which do not require reinforcement calculations. Summary The special radiography requirements given in UW-9 (d), UW-11(a)(5)(b) and UW-14 (b) cannot be substituted for any of the spot radiography required by UW-52. * We will see why this is significant when we commence our studies of “Joint Efficiencies” later.
  • 15.
    14 UW-52 Spot Examinations ofWeld Joints (c) Standards for Spot Radiographic Examination. Spot examination by radiography shall be made in accordance with the technique prescribed in UW- 51(a). The minimum length of spot radiograph shall be 6 in. (c)(3) Rounded indications are not a factor in the acceptability of welds that are not required to be fully radiographed. (d) Evaluations and Retests When a spot, radiographed as required in (b)(1) or (b)(2) above has been examined and the radiograph discloses welding which does not comply……….The locations shall be determined by the Inspector… if the two additional pass, repair the failed spot, if either of the two additional spots fail the entire rejected weld shall be removed and the joint re-welded or the entire increment completely radiographed and all defects corrected. 50' increment Second Additional Radiograph Orig. Rejected First Additional Radiograph 50' increment Second Additional Radiograph Acceptable Repair and radiograph First Additional Radiograph Acceptable
  • 16.
    15 …, if eitherof the two additional spots fail the entire rejected weld shall be removed and the joint rewelded or the entire increment completely radiographed and all defects corrected. 50' increment First Additional Radiograph Failed. Original Rejected OrSecond Additional Radiograph Failed. 50' increment Repair all defects in the 50' or remove all 50' then weld and apply spot radiography again. Radiograph Entire 50'
  • 17.
    16 UW-11 Radiographic and UltrasonicExaminations of Weld Joints (a) Full Radiography. The following welded joints shall be examined radiographically for their full length …. (1) All butt welds in the shell and heads of vessels used to contain lethal substances [see UW-2(a)]; * Remember, UW-2(a) demands that in lethal service the welds be of Type 1 for Category A and must be of either Type1 or 2 for Categories B and C. Type 1 Type 2 Lethal Service Full Radiography
  • 18.
    17 (a) Full Radiography.The following welded joints shall be examined radiographically for their full length …. (2) All butt welds in vessels in which the nominal thickness [ see (g) below] at the welded joint exceeds 1-1/2 in. (38mm), or exceeds the lesser thicknesses prescribed in UCS-57…. * This paragraph is on the examination. (g) For radiographic and ultrasonic examination of butt welds, the definition of nominal thickness at the welded joint under consideration shall be the nominal thickness of the thinner of the two parts joined. Nominal thickness is defined in 3-2. (c) Nominal Thickness – …….For plate material, the nominal thickness shall be, at the Manufacturer’s option, either the thickness shown on the Material Test Report {or material Certificate of Compliance [UG-93(a)(1)]} before forming, or the measured thickness of the plate at the joint or location under consideration. * Information only this is not on the exam. (a) Full Radiography. The following welded joints shall be examined radiographically for their full length …. (2) All butt welds in vessels in which the nominal thickness [see (g) below] at the welded joint exceeds 1-1/2 in. (38 mm), or exceeds the lesser thicknesses prescribed in UCS-57, UNF-57, UHA-33, UCL-35, or UCL-36 for the materials covered therein, or as otherwise prescribed in UHT-57, ULW-51, ULW-52(d), ULW-54, or ULT-57; however, except as required by UHT-57(a), Categories B and C butt welds in nozzles and communicating chambers that neither exceed NPS10 nor 1-1/8 in. (29 mm) wall thickness do not require any radiographic examination; * If none of the rules in the paragraphs above apply then use the default thickness of 1-1/2”. This means; If the material of construction is not one of those referenced UW-11(a)(2) then the default value for the thinner thickness exceeded becomes 1-1/2”. Since the API 510 examination is restricted to UCS materials (carbon and low alloy steels) this rule will be demonstrated using a Carbon Steel that is classified as a P-Number 1.
  • 19.
    18 UCS-57 From paragraph UCS-57: Inaddition to the requirements of UW-11, complete radiographic examination is required for each butt welded joint at which the thinner of the plate or vessel wall thicknesses at the welded joint exceeds the thickness limit above which full radiography is required in Table UCS-57. Further Explained: For P No.1 materials the thinner of the two must exceed 1.25”. Therefore the girth weld at the 1.25 to 1.5” joint and all above it are exempt. Full RT Carbon Steel P No.1 when the thinner of the two exceeds1-¼" t = 1.5" t = 1.25 t = 1.75" t = 1.25 t = 1.5"
  • 20.
    19 UW-11 Continued (3) Allbutt welds in the shell and heads of unfired steam boilers ………Steam Boilers are NOT on the Exam. (4) All butt welds in nozzles, communicating chambers, etc., attached to vessel sections or heads that are required to be fully radiographed under (1) or (3) above; however, .....Categories B and C butt welds in nozzles and communicating chambers that **neither exceed NPS 10 (DNS 250) nor 1-1/8 in. (29mm) wall thickness do not require any radiographic examination; ** This only applies to circumferential welds in small (NPS 10 / 1-1/8” thick.) nozzles and chambers. Longitudinal seams are not exempted by this rule. Full RT for Lethal or Thickness Weld Neck Flange Cat. C .75" thick NPS 6" No RT Cat. A long seam RT req. 1-1/8" thick NPS 10" Weld Neck Flange Cat. C No RT NPS 12" Nozzle and Weld Neck Flange. Cat. C RT. Req. Now for the hardest rule to understand! (5) All Category A and D butt welds in vessel sections and heads where the design of the joint or part is based on a joint efficiency permitted by UW-12(a), in which case: (a) Category A and B welds connecting the vessel sections or heads shall be of Type No. (1) or Type No. (2) of Table UW-12; * Just means they must be radiographable. (b) Category B or C butt welds [but not including those in nozzles or communicating chambers except as required in (2) above] which intersect the Category A butt welds in vessel sections or heads or connect seamless vessel sections or heads shall, as a minimum, meet the requirements for spot radiography in accordance with UW-52.
  • 21.
    20 * This paragraphis only mandatory when it is desired by the designer to use the highest joint efficiency possible for calculations of thickness required or pressure allowed. It is a choice the designer makes when there are no mandatory requirements based on service or material as found in UW-11 (a) (1)*Lethal Service, (2)*Thickness exceeded (6) All butt welds joined by… electrogas welding is not on the exam. (7) Ultrasonic examination in accordance with UW- 53 may be substituted for radiography for the final closure seam of a pressure vessel if the construction of the vessel does not permit interpretable radiographs in accordance with Code requirements. The absence of suitable radiographic equipment shall not be justification for such substitution. (8) Exemptions from radiographic examination for certain welds in nozzles and communicating chambers as described in (2), (4), and (5) above take precedence over the radiographic requirements of Subsection C of this Division. Note: This means that even though P-No. 5 for example requires RT in all thicknesses the small/thin nozzles are exempt. (b) Spot Radiography. Except as required in (a)(5)(b) above, butt welded joints made in accordance with Type No. (1) or (2) of Table UW-12 which are not required to be fully radiographed by (a) above, may be examined by spot radiography. Spot radiography shall be in accordance with UW-52. * If full RT is not mandatory Spot Radiography is done because the designers chose it. If spot radiography is specified for the entire vessel, radiographic examination is not required of Category B and C butt welds in nozzles and communicating chambers that exceed neither NPS 10 nor 1-1/8 in. wall thickness (c) No Radiography. Except as required in (a) above, no radiographic examination of welded joints is required when the vessel or vessel part is designed for external pressure only, or when the joint design complies with UW-12(c). * The designer can choose not to do RT if there is no mandatory requirement such as lethal, thickness, or the desire for a higher joint E. Before starting shell and head calculations let’s have a look at the types of welds and the weld joint efficiencies that apply based on the amount of radiography applied. These E values are found on Table UW-12 of Section VIII Division 1.  The following is a simplification for the API 510 Exam; it does not reflect all of the possible combinations of radiography, weld types and the resulting joint efficiencies
  • 22.
    21 UW-12 Joint Efficiencies Table UW-12gives the joint efficiencies E to be used in the formulas of this Division for joints completed by an arc or gas welding process. Except as required by UW-11(a)(5), a joint efficiency depends only on the type of joint and on the degree of examination of the joint and does not depend on the degree of examination of any other joint. (a) Value of E not greater than that given in column (a)* of Table UW-12 shall be used in the design calculations for fully radiographed butt joints [seeUW-11(a)], except that when the requirements of UW-11(a)(5) are not met, a value of E not greater than that given in column (b) of Table UW- 12 shall be used. * Known as Full Radiography So now we are sent back to UW-11(a)(5)……. UW-11(a)(5) All Category A and D butt welds in vessel sections and heads where the design of the joint or part is based on a joint efficiency permitted by UW -12(a), in which case: (a) Category A and B welds connecting the vessel sections or heads shall be of Type No. (1) or Type No. (2) of Table UW-12; * (simply means it can be radiographed) (b) Category B or C butt welds [but not including those in nozzles or communicating chambers except as required in (2) above *(excludes small/thin nozzles)] which intersect the Category A butt welds in vessel sections or heads or connect seamless vessel sections or heads shall, as a minimum, meet the requirements for spot radiography in accordance with UW-52. UW-11(a)(5) explained: This rule is pointed toward Code manufacturers who buy parts from other “Code Shops” and basically assemble a vessel. The concern is as follows; Code Shop A buys a rolled and welded shell from Code Shop B, Shop B fully radiographs the Type 1 weld and the shell part will be delivered to Shop A with a joint E of 1.0. which is essentially equal to a seamless shell. Code Shop A welds on two seamless formed heads. Unless Shop A performs at least Spot RT on the Category B welds connecting the heads to the shell there will have been no radiographic testing of Code Shop A’s welders. A graphical representation follows.
  • 23.
    22 Example 1: Thelongitudinal seam weld is of Type 1. It has received Full RT at Code Shop B. Shop A has not performed the required Spot RT on the head to shell welds. Fully Radiographed Type 1 by Shop B Heads welded on by Shop A. Without the spot RT as described in UW-11(a)(5)(b) the shell would be calculated at E= .85 Example 2: Now the Spot RT has been performed by Shop B. Therefore and E = 1.0 is allowed for the shell. Fully Radiographed Type 1 by Shop B Heads welded on by Shop A. With the spot RT as described in UW-11(a)(5)(b) the shell would be calculated at E= 1.0 UW-11(a)(5) So this means that Shop A cannot simply weld the heads, nozzles etc. and never do any radiographic testing of the Shop A welders. To make things consistent this rule applies even if the entire vessel is made by one Code Shop. So no matter what the circumstances this Spot RT must be performed to take a joint efficiency from Col. A of to Table UW-12 for seamed shell course.
  • 24.
    23 Example 3: Onelast comment. On the shop floor these two shells both have the potential for a Joint E of 1.0 . You will see this again in UW-12(d) Seamless Shells and Heads. Seamed Shell Course Type 1 Full RT Seamless Shell Course (b) A value of E not greater than that given in *column (b) of Table UW-12 shall be used in the design calculations for spot radiographed butt welded joints [see UW-11(b)]. * Known as Spot Radiography (c) A value of E not greater than that given in * column (c) of Table UW-12 shall be used in the design calculations for welded joints that are neither fully radiographed nor spot radiographed [see UW- 11(c)]. * No Radiography Now let’s examine the first three Types listed on Table UW-12 and examine the joint types, the amount of radiography and the resulting Joint Efficiencies.
  • 25.
  • 26.
    25 UG-116 Joint Efficiencies basedon RT Marking Next we will discuss Nameplate RT markings and how to determine the joint E to be used in the thickness or pressure calculations to follow. These RT markings and their descriptions are found in paragraph UG- 116. We will now discuss these accompanied by graphical representations. "RT 1" When all pressure retaining butt welds, other than B and C associated with nozzles and communicating chambers that neither exceed NPS 10 nor 1-1/8 inch thickness have been radiographically examined for their full length in a manner prescribed in UW 51, full radiography of the above exempted Category B and C butt welds if performed, may be recorded…... MW-1 RT 1 Shell and Heads E= 1.0 Lethal "RT 2" Complete vessel satisfies UW-11(a)(5) and UW- 11(a)(5)(b) has been applied. The spot RT rules of UW-52 must be applied to the spot RT and the Full RT rules of UW-51 to the long seams. So the 50’ increments apply and all welders in that increment must be examined by radiography. MW-1 RT 2 Shell and Heads E= 1.0 Desire for E=1.0 "RT 2" Complete vessel satisfies UW-11(a)(5) and UW- 11(a)(5)(b) has been applied. This is the second Case of RT 2 resulting in E = 1.0, again the rules of UW-52 apply. RT 2 Shell and Heads E= 1.0 Seamless Shell Seamless Heads
  • 27.
    26 "RT 3" Completevessel satisfies spot radiography of UW-11(b). The simplest example, one welding operator and only three radiographs in 122’ of weld. The following assumes Type 1 welds for all weld seams. "RT 4" When only part of the vessel satisfies any of the above. * Only part of the vessel has been radiographed due to a thickness limit being exceeded as listed in UCS 57 or the desire to use E = 1.0 . The next consideration is the shells and heads of vessels which are considered seamless. The Efficiencies used to calculate these vessel parts are not found on Table UW-12 but are instead listed in paragraph UW-12(d). (d) Seamless vessel sections or heads shall be considered equivalent to welded parts of the same geometry in which all Category A welds are Type No. 1. For calculations involving circumferential stress in seamless vessel sections or for thickness of seamless heads, E=1.0 when the spot radiography requirements of UW-11(a)(5)(b) are met. E= 0.85 when the spot radiography requirements of UW-11(a)(5)(b) are not met, or when the Category A or B welds connecting seamless vessel sections or heads are Type No. 3, 4, 5, or 6 of Table UW-12. * Note this rule applies to the Code Shop A and B issue.
  • 28.
    27 MW-1 RT 2 Shell andHeads E= 1.0 (d) Seamless vessel sections or heads shall be considered equivalent to welded parts of the same geometry in which all Category A welds are Type No. 1. For calculations involving circumferential stress in seamless vessel sections or for thickness of seamless heads, E=1.0 when the spot radiography requirements of UW-11(a)(5)(b) are met. Shell and Heads E= 1.0 Seamless Shell Seamless Heads (d) Seamless vessel …………. E= 0.85 when the spot radiography requirements of UW-11(a)(5)(b) are not met, or when the Category A or B welds connecting seamless vessel sections or heads are Type No. 3, 4, 5, or 6 of Table UW-12. * Weld Type 3 to 6 can not be radiographed by Code rules. Shell and Heads E= 0.85 Seamless Shell Seamless Heads (e) Welded pipe or tubing shall be treated in the same manner as seamless, but with allowable tensile stress taken from the welded product values of the stress tables, and the requirements of UW-12(d) applied. * If the spot RT is applied use E = 1.0, if not E = 0.85 Seamed Pipe Shell Seamless Heads
  • 29.
    28 UW-12 Joint Efficiencies Forthe purposes of choosing joint efficiencies when doing vessel section or head calculations on the API 510 Examination the following can be said. RT 1 Full Use 1.0 if joints are of Type 1 or 0.90 if Type 2 RT 2 Case 1: Use 1.0 with Seamless Heads and Shells Case 2: Seamed Shells/Seamless Heads • Shells Use 1.0 if joints are Type 1or if Type 2 Use 0.90 • Use 1.0 for seamless heads RT 3 Use 0.85 if Joints are of Type 1 or 0.80 if of Type 2 Use 0.85 for Seamless heads RT 4 * Special case of selective radiography * Use Table UW-12 based on Joint Type and RT described in the exam question No RT Go to Table UW-12 and look up the E to be used for the type of weld under consideration. Case1: Type 1 Use 0.70 Case 2: Type 2 Use 0.65 Seamless heads use 0.85 Remember that there only two (2) joint efficiencies possible for Seamless Shell and Seamless Heads they are; 1.0 or 0.85 1.0 When the rules of UW-11(a)(5)(b) have been applied (UW-52 Spot RT applied). 0.85 When the rules have not been applied (UW-52 Spot RT not applied). DO NOT GO TO TABLE UW-12 FOR THE E TO USE IN SEAMLESS HEADS OR SEAMLESS SHELLS
  • 30.
    29 Lesson 2 Head andShell Calculations Objectives Learn to Calculate: • The required thickness of a cylindrical shell based on circumferential stress given a pressure (UG- 27(c)(1). • The vessel part Maximum Allowable Working Pressure (MAWP) for a cylindrical shell based on circumferential stress given a metal thickness (UG-27(c)(1). • The required thickness of a head (ellipsoidal, torispherical and hemispherical) given a pressure. (UG-32 (d), (e),& (f). • The vessel part MAWP for a head (ellipsoidal, torispherical and hemispherical) given a metal thickness using paragraphs UG-32 (d), (e),& (f). • Whether a head (ellipsoidal, torispherical or hemispherical) meets Code requirements given pressure and metal thickness UG 32(d), (e), and (f). In any of the above you must also be able to: • Compensate for the corrosion allowance: add or subtract based on requirements of the exam problem. The Appendix 1* formula for cylinders, which is based on outside diameter, can be used. • * The Appendix 1 formulas for non-standard heads will not be required. Overview This lesson will start with straight forward new construction calculations from Section VIII Div.1 for internal dimension (I.D.) and progress on to consider; • Corrosion Allowances • Outside dimension calculation of cylindrical shells.* • O.D. calculations will come from Appendix 1 formula 1-1 this is only issue from Appendix 1 on the exam.
  • 31.
    30 UG-27 Thickness of Shellsunder Internal Pressure Here we find the formula and definitions for calculation of cylindrical shells under internal pressure. The paragraph begins as follows; (a) The thickness of shells under internal pressure shall be not less than that computed by the following formulas. In addition, provision shall be made for any of the other loadings listed in UG- 22, when such loadings are expected…… The provided thickness of shells shall also meet UG- 16 * (addresses minimum thickness allowed). (b) The symbols defined below are used in the formulas of this paragraph. t = minimum required thickness of shell, in. P = internal design pressure (see UG-21), psi R = inside radius of the shell course under consideration S = maximum allowable stress value, psi E = joint efficiency for, or the efficiency of, appropriate joint in cylindrical or spherical shells, or efficiency of ligaments are… not on the exam. For welded vessels, use the efficiency specified in UW-12. For ligaments between openings, …….are not on the exam. (c) Cylindrical Shells. The minimum thickness or maximum allowable working pressure of cylindrical shells shall be the greater thickness or lesser pressure as given by (1) or (2) below. (1) Circumferential Stress Longitudinal Joints. When the thickness does not exceed one-half of the inside radius, or P does not exceed 0.385SE, the following formulas shall apply: *(The above is a test to see if these formula apply, they always do on this examination) With the exception of Appendix 1 formula, all cylindrical shell calculations on the exam will use one of these two formula! * Highlight these two! P 0.6 - SE PR = t t 0.6 + R SEt = P OR (2) Longitudinal Stress (Circumferential Joints). When the thickness does not exceed one-half of the inside radius, or P does not exceed 1.25SE, the following formulas shall apply: These formulas are not used on the exam. * DO NOT USE or highlight them! P 0.2 - 2SE PR = t t 0.2 + R 2SEt = P Not on the Exam
  • 32.
    31 Foot Note 14 Formulasin terms of the outside radius and for thicknesses and pressures beyond the limits fixed in this paragraph are given in 1-1 to 1-3. Of Appendix 1, only the first two shell formulas from paragraph 1-1 (a) (1) are on the Body of Knowledge! Let’s have a look at those. Appendix 1 Supplementary Design Formulas 1-1 THICKNESS OF CYLINDRICAL AND SPHERICAL SHELLS (a) The following formulas, in terms of the outside radius, are equivalent to and may be used instead of those given in UG-27 (c) and (d). (1) For cylindrical shells (circumferential stress), t 0.4 - Ro SEt = P OR (1) P 0.4 SE PRo =  t (2) Longitudinal stress NOT ON EXAM cross out. Example: Given a cylindrical shell with the following variables, solve for the MAWP of the cylinder using both formulas. P = ? * The question mark defines what is being solved for. t = 0.500" S = 15,000 psi E = 1.0 R = 18.0“ and Routside = 18.5" psi t R SEt 8 . 409 18.3 7500 = 0.500) x (0.6 + 18.0 x0.500 1.0 x 15,000 = 6 . 0 P 27(c)(1) - UG    psi 8 . 409 3 . 18 7500 0.500) x (0.4 - 5 . 18 0.500 x 1.0 x 000 , 15 0.4t - R SEt = P 1) - (1 1 App o   
  • 33.
    32 Which formula youuse is determined by how the question is asked? Example 1: Internal Formula A vessel shell has corroded to an inside radius of 23.58” its working pressure is 500 psi and its stress allowed is 17,500 psi. What is the required thickness? Other terms sometimes used: Corroded internally, found to have an inside diameter/radius, etc. In these cases we must use the inside formula of UG-27 Example 2: External Formula A vessel shell has corroded to an outside diameter of 23.58” its working pressure is 500 psi and stress allowed is…..what is the required thickness? Other terms sometimes used: found externally corroded, attacked by corrosion under insulation (CUI) etc. Here we would have to use the formula of Appendix 1. • You can use either formula in some situations. Example 3: Internal Formula or External Formula A vessel shell has corroded to an inside radius of 23.58 ” its working pressure is 500 psi and its stress allowed is ….its original thickness was .500” and the original inside radius was 24.0 ” ** for inside calculations use R = 23.58 (actual) To use the outside formula we can add the original thickness to the original inside radius. 24” + .500 = 24.5” = Ro Original radius outside Now we can use the formula of Appendix 1-1 if we chose to. • Also there is the situation where you are given only the Outside Dimension (O.D.) and asked to solve for the thickness required or maximum allowable working pressure. Example 4: External Formula for Thickness A vessel shell has an outside radius of 24.0 ” its working pressure is 500 psi and its stress allowed is 15,000 psi. The joint efficiency, E = 1.0. The shell has corroded internally to a thickness of 0.343”. What is its present Maximum Allowable Working Pressure? Here you must use the O.D. Formula since you cannot determine the present internal corroded radius, not having the original thickness you cannot determine the original I.D.!
  • 34.
    33 Here is anexample of working a problem using both inside and outside dimensions having all the information needed. A cylindrical shell has been found to have a minimum thickness of .353". Its original thickness was .375“ with an original inside radius of 12.0”. What is its present MAWP ? Pulling the information from the stated problem, we have: P = 300 psi t = .353" S = 13,800 psi E = .85 R = 12.0" + (.375-.353) = 12.022 corroded inside radius Ro= 12.0" + 0.375 (orig. t) =12.375” original outside radius Here is a graphical representation of the problem: Which formula? R inside corroded = 12 + (0.375 – 0.353) = 12.022” R outside = 12.0" + 0.375 (orig. t) = 12.375” Radius Inside for MAWP using UG-27(c)(1). psi t R SEt 46 . 338 12.2338 4140.69 = .353) x (0.6 + 12.022 .353 x .85 x 13,800 = 6 . 0 P 27(c)(1) - UG    Radius Outside for MAWP using App: 1 (1-1). psi 46 . 338 2338 . 12 69 . 4140 .353) x (0.4 - 375 . 12 .353 x .85 x 800 , 13 0.4t - R SEt = P 1) - (1 1 App o    You Choose! t Corroded = 0.353" t Corroded = 0.353" t Orig. = 0.375"
  • 35.
    34 Let's do asimple internal shell calculation now. We will use a shell which is seamless. You may find the following approach helpful in keeping track of the data. As the problems become more difficult, it becomes harder to track the variables if you are not organized. • Make a simple sketch of the shell and label its dimensions. • List what is required to know. We will call these givens. • State the code paragraph that applies, i.e., UG-27, etc. Use this approach for all calculations. Givens: Sketch t = P = R = S = E = Code Paragraph UG-27 (c) (1) t 0.6 + R SEt = P I.D. ? t = ?
  • 36.
    35 Problem # 1 Findthe Maximum Allowable Working Pressure (MAWP) of a 12 inch inside diameter shell. This shell is seamless and is stamped RT 2. It has an allowable stress value of 16,600 psi and the wall thickness is .406”. No corrosion is expected. I.D. 12.0" SKETCH t = .406" R = 6.0" Givens: Plug in from the values given in the question! P =? t = .406 R = D/2 = 12/2 = 6.0” this formula uses the Radius. S = 16,600 psi E = 1.0 per UW-12(d) Seamless shells and heads From UG-27 (c) (1) Circumferential Stress t 0.6 + R SEt = P psi 44 . 1079 2436 . 6 6 . 6739 .406) x 0.6 ( + ) (6.0 x.406 1.0 x 16,600 =   P
  • 37.
    36 As can beseen the calculations are simple, it is more a matter of deciding on the correct formula to use, inside or outside, and transferring the givens accurately to the formula. Once again use the approach; Givens: SKETCH P = t = ect. About rounding answers. In the ASME Code and for the exam you must round DOWN for pressure allowed so in our solution below we would round down to 1079 psi. Even if our solution had been 1079.999 we cannot round to 1080, we still round down to 1079 psi. This is the conservative approach taken by the Codes in general and of course is different for the normal rules of rounding. Problem # 2 Find the minimum required thickness of a cylindrical shell designed for a working pressure of 100 psi. The shell's inside radius is 2'-0". The longitudinal joint is type 1 (table UW-12) and no radiography was performed. The shell is made of carbon steel rolled plate with an allowable stress of 15,000 psi. SKETCH t = ? Type 1 Category A No RT Givens: t = ? P = 100 psi R = 24" S = 15000 E = .70 ( From Table UW-12 column C) From UG-27 (c) (1) Circumferential Stress When rounding thickness required we must round up. The most conservative thing to do. So our example below would round to .230”. Even it had been .2291 we would still round up to .230”. P 0.6 - SE PR = t " .2298 = 10440 2400 = 100) x (0.6 - ) .70 x (15,000 24 x 100 = t
  • 38.
    37 We have nowcalculated the pressure allowed on a seamless shell in Problem #1 and have calculated the thickness required of a seamed shell in Problem #2. Now for one more example. Problem # 3 Determine the minimum required thickness of a cylindrical shell designed for an internal pressure of 50 psi, no corrosion is expected. The shell’s inside diameter is 10’-0”. The shell’s Category A and B, Type 1 welds have been fully radiographed. The material’s stress allowable is 17,500 psi. The vessel will be stamped RT 1. Long Joint (Circumferential Stress) SKETCH: I.D. 10'- 0" t = ? Type 1 Category A & B Full RT Givens: t = ? P = 50 R = 10’ x 12” = 120”/2 = 60" S = 17500 E = 1.0 (RT 1) From UG-27 (c) (1) .172" to rounds " .1717 = 17470 3000 = 50) x (0.6 - ) 1.0 x (17,500 60 x 50 = t
  • 39.
    38 You are nowfamiliar with the basic cylindrical shell formula from UG-27. However that formula in its published form is only useful for the calculation of vessel shells that are designed without a corrosion allowance. Usually during design a corrosion allowance will be given to vessel part. Example: A vessel is being designed for a specific volume of water. The designer determines the optimum inside diameter and length of the vessel to obtain that volume. The engineer set the inside diameter at 48” so it must be constructed with that inside diameter, resulting in an inside radius of 24” to be used in the calculation. In the design calculation the engineer adds the corrosion allowance to the radius. The basic formula of UG-27 would be modified to be; P 0.6 - SE .) . (R P = a c t  t 0.6 + c.a) (R SEt = P  or t 0.6 + ) 125 . 0 (24 SEt = P  Inside diameter = 48.0” Inside radius = 24.0” c.a. = 1/8” = 0.125” Inside radius used in calculations = 24.0 + 0.125 = 24.125” resulting in the following; The vessel shell would be constructed of the required calculated thickness and then rolled to an inside radius of 24”, it retirement radius would be 24.125” This is no different from what occurs during the evaluation of an in service vessel that has corroded. However here we use actual measurements. Suppose the vessel shell above was built with a thickness of 0.500” and rolled to the 24.0” inside radius. Corrosion has occurred and the new minimum wall thickness is 0.450”. To calculate we would use a radius of 24.0 + (0.500 – 0.450) or 24.050”. This would leave a remaining corrosion allowance of .125 -.050 = .075”
  • 40.
    39 UG-32 Internal Pressure OnFormed Heads There are three types of calculations for formed heads listed in the Body of Knowledge: Ellipsoidal, Torispherical and Hemispherical. A sketch and the formula for thickness of each kind are below. P 0.2 - 2SE PD = t 0.1P - SE 0.885PL = t 0.2P - 2SE PL = t (a) The required thickness at the thinnest point after forming of ellipsoidal, torispherical, hemispherical, conical, and toriconical (not on exam) heads under pressure on the concave side (plus heads) shall be computed……. (b) The thickness of an unstayed ellipsoidal or torispherical head shall in no case be less than….this is a test to see if you should use this formula or the ones given in Appendix 1. Not on Exam! (c) The symbols defined below are used in the formulas of this paragraph: t = minimum required thickness of head after forming, in. (mm) P = internal design pressure (see UG-21), psi (kPa) D = inside diameter of the head skirt; or inside length of the major axis of an ellipsoidal head; in. (mm) S = maximum allowable stress value in tension. E = lowest efficiency of any joint in the head; for hemispherical heads this includes head-to- shell joint; for welded vessels, use the efficiency specified in UW-12 L = inside spherical or crown radius, in. (mm) There are 5 formed heads listed in UG-32. You will be responsible for the calculations of these 3 only; (a) ElliEllipsoidal (b) Spherically Dished (Torispherical) (c) Hemispherical
  • 41.
    40 Hemispherical, Ellipsoidal and,Torispherical.Heads The next series of slides are example calculations of all three types for thickness required. These calculations will use the exact same conditions for service, stress allowed, Joint E, dimensions, and pressure. • With all things being equal, which do you suspect will be the thinnest allowed? • Which do you think will be the thickest required? • Which is in the middle? Examples: Givens: The same pressure, stress and, dimension values will be used for all heads. Let’s determine which type of head will be the thickest required and which will be the thinnest allowed. Given: P = 100 psi S = 17500 PSI E = .85 for spot RT of Hemi-head joint to shell E = 1.0 for seamless heads ( Ellipsoidal and Torispherical ) L = 48" for the inside spherical radius for the hemi-head L = 96" for the inside crown radius of the torispherical head D = 96" inside diameter of the ellipsoidal t = ? Required wall thickness, inches Problem # 1 Given the above data find the required thickness of a seamless ellipsoidal head. P 0.2 - 2SE PD = t From UG-32 (d) " .2744 = 34980 9600 100) x (0.2 - 1.0) x 17,500 x (2 96 x 100 = t
  • 42.
    41 Problem # 2 Usingthe same data, calculate the required thickness of a hemispherical head. 0.2P - 2SE PL = t From UG-32 (f) " 1614 . 0 29730 4800 ) 100 2 . 0 ( ) 85 . 0 500 , 17 2 ( 48 100     x x x x t Problem # 3 Determine the required t of this torispherical head. (These are also called ASME flanged and dished heads, by the way). 0.1P - SE 0.885PL = t From UG-32(e) " .4857 = 17490 8496 = 100) x (0.1 - 1.0) x (17,500 96 x 100 x 0.885 = t So we have from thickest to thinnest, all things equal: Torispherical = .4857” (Rounds to .486”) Ellipsoidal = .2744 (Rounds up to .275”) Hemispherical = .1614 (Rounds to .162”) There have been several exams where the question was asked, “Which is required to be thickest” or “Which can be the thinnest” Remember this.
  • 43.
    42 One Last ImportantComment: Hemispherical heads while they can be formed seamless are not considered seamless heads by Section VIII. As mentioned previously they essentially form a Category A seam between the head and the other part. The spot RT of UW-12(d) does not apply to the Joint E used to calculate a Hemispherical head. They are never seamless; their Joint E comes from Table UW-12 based on the Type of weld and the extent of Radiography applied. * Remember This.*
  • 44.
    43 Lesson 3 Maximum AllowableWorking Pressure UG-98 (a) The maximum allowable working pressure for a vessel is the maximum pressure permissible at the top of the vessel in its normal operating position at the designated coincident temperature specified for that pressure. It is the least of the values found for maximum allowable working pressure for any of the essential parts of the vessel by the principles given in (b) below, and adjusted for any difference in static head that may exist between the part considered and the top of the vessel (See 3-2). (b) The maximum allowable working pressure for a vessel part is the maximum internal or external pressure, including the static head thereon, as determined by the rules and formulas in this Division, together with the effect of any combination of loadings listed in UG-22 which are likely to occur, for the designated coincident temperature, excluding any metal thickness specified as corrosion allowance. (c) Maximum allowable working pressure may be determined for more than one designated operating temperature, using for each temperature the applicable allowable stress value. In the Code there are two types of Maximum Allowable Working Pressures (MAWP). One is for the vessel itself, the one most think of and refer to all the time. The other is the one for each part of a vessel referred to in UG- 98 as the part MAWP. Think of it in this way: a vessel has a shell, heads, chambers… etc., and pressure allowed or thickness required calculations must be performed for each one to determine the MAWP of the vessel. When doing these calculations, you cannot take credit for any extra thickness designed into the vessel as a corrosion allowance. The weakest of the vessels parts, considering other loadings such as the static head of the contents, weight of insulation, wind, etc., will determine the MAWP of the entire vessel. It is the weakest link in the chain…The pressure referred to here can be internal or external.
  • 45.
    44 The MAWP ofa vessel is the pressure allowed in a vessel at its top in its normal operating position and at its maximum operating temperature. The MAWP can be determined for more than one designated operating temperature, using for each temperature the applicable allowable stress value.
  • 46.
    45 Lesson 4 Hydrostatic HeadPressure Overview What is Hydrostatic Head Pressure? Let’s examine the words to better understand the meaning of hydrostatic. • Hydro meaning liquid • Static meaning unchanging. • Pressure is a force exerted over an area. Which of leads us to the following; It is a pressure that is generated by the weight of the liquid due to gravity. The taller the height of a liquid column the greater the force, which is expressed as pounds per square inch (psi) for our purposes. The Hydro (liquid) of interest on the exam is water, since it is the primary liquid we use for Hydrostatic testing. Other liquids can be and are used. The hydrostatic head of water is part of our everyday lives. For example the water tower that supplies your home uses the principle of “Hydrostatic Head” or gravity to push the water into your home and out of your faucets. Let’s have a look at a graphic of a water tower that will detail this principle. Hydrostatic Head of a Water Tower 140’ x 0.433 = 60.6 psig and 100’ x 0.433 = 43.3
  • 47.
    46 Hydrostatic Head ofWater Basic Principle The hydrostatic head of water is equal to 0.433 psi per vertical foot above the point where the pressure will measured. For example the hydrostatic head of water at a point in a vessel with 10 feet of water above it is calculated by multiplying 10 x 0.433 psi. 10 x 0.433 = 4.33 psi The 4.33 psi is being exerted totally by the weight of the water. No other external pressure having been applied. If an external source of pressure is applied it would be added to the hydrostatic head pressure of the water at any given point in the vessel, more on this later. Now for a pressure vessel, no external pressure, filled with water only. 0 psi at top, the bottom is 100 x 0.433 = 43.3 psi 0 psi 43.3 psi 100 Feet 100 psi 143.3 psi 100 Feet External pressure of 100 psi is now applied resulting in a gage pressure at the bottom of 143.3 psi. The 43.3 psi is static, never changing. From these simple water tower and pressure vessel examples the following can be understood and applied to a pressure vessel. For a pressure vessel the MAWP is always measured at the top in its normal operating position. Here are the issues on the exam that must be understood to work a H.H. problem. Case 1: How do you determine hydrostatic head based on a given elevation? Case 2: When do you add the hydrostatic head pressure in vessel calculations? Case 3: When do you subtract the hydrostatic head pressure in vessel calculations? Case 1: To determine hydrostatic head based on an elevation from a stated problem it must be understood that elevations are normally taken from the ground level to a vessel’s very top. You must subtract the Given elevation from the Total elevation to determine vertical feet of hydrostatic head above the given elevation.
  • 48.
    47 Example: A vesselhas an elevation of 18 feet and is mounted on a 3 foot base. What is the hydrostatic head pressure of water at the 11 foot elevation which is located at the bottom of the top shell course? Remember it is the number of vertical feet above the given elevation in question which causes the hydrostatic head at that point. To find the hydrostatic head you must subtract the elevation of the Given point from the Total elevation given for the vessel. 18' feet total -11' desired point 7' total hydrostatic head Hydrostatic head pressure at 11' elevation is:7 x 0.433psi = 3.03 psi = Case 2: Hydrostatic head at a point in a vessel must be added to the pressure used (normally vessel MAWP) when calculating the required thickness of the vessel component at that elevation. Example: Determine the required thickness of the shell course in Case 1. The vessel's MAWP (Always measured at the top in the normal operating position) is 100 psi. The following variables apply: Givens: t = ? Circumferential stress from UG-27(c)(1) P = 100 psi + Hydrostatic Head S = 15,000 psi E = 1.0 R = 20" Since the bottom of this shell course is at the 11 foot elevation the pressure it will see is 100 psi + the hydrostatic head. 100 + 3.03 = 103.03 psi Also our basic formula becomes; 1379 . 18 . 14938 6 . 2060 ) 3 . 103 6 . 0 ( ) 0 . 1 000 , 15 ( 20 03 . 103    x x x x t .) . ( 6 . 0 .) . ( H H P SE R H H P t    -
  • 49.
    48 Case 3 Youmust subtract hydrostatic head pressure when determining the MAWP of a vessel. If given a vessel of multiple parts and the MAWP for each of the parts, the MAWP of the entire vessel is determined by subtracting the hydrostatic head pressure at the bottom of each part to find the part which limits the MAWP of the vessel. Example: A vessel has an elevation of 40 feet including a 4 foot base. The engineer has calculated the following part’s MAWP to the bottom of each part based on each part's minimum thickness and corroded diameter. Determine the MAWP of the vessel as measured at the top. Calculated Part MAWP at the bottom of: Top Shell Course 28' Elev. 406.5 psi Middle Shell Course 16.5' Elev. 410.3 psi Bottom Shell Course 4' Elev. 422.8 psi Bottom of top shell course: 40.0' elev. -28.0' elev. 12.0' of hydrostatic head 12' x 0.433 psi = 5.196 psi of Static Bottom of the middle shell course: 40.0' elev. -16.5' elev. 23.5' of hydrostatic head 23.5' x 0.433 psi = 10.175 psi of Hydrostatic HeadBottom of bottom shell course: 40.0' elev. -4.0' elev. 36.0' of hydrostatic head 36' x 0.433 psi = 15.588 psi of Hydrostatic Head The final step in determining the MAWP of the vessel at its top is to subtract the hydrostatic head of water from each of the calculated Part MAWP. The lowest pressure will be the maximum gauge pressure permitted at the top of the vessel. Bottom of top shell course 406.5 - 5.196 = 401.3 psi Bottom of mid shell course 410.3 - 10.175 = 400.125 psi Bottom of btm. shell course 422.8 - 15.588 = 407.212 psi
  • 50.
    49 Therefore the bottomof the middle shell course’s MAWP limits the pressure at the top and, determines the MAWP of the vessel. The MAWP of the vessel is 400.125 psi One thing to remember is this pressure is static. In our example the if the applied external pressure at the top were raised above 400.125 psi, then down at the 16.5’ elevation the gage would exceed that shell course’s MAWP of 410.3.
  • 51.
    50 One last exampleusing a vessel which is horizontal, just to reinforce the concept that it is the Vertical Height that must be considered. The 6.928 psi total H.H. must be considered at the bottom when calculating the sump head. MW-1 10' 3' 3' Total 16' x 0.433 psi = 6.928 psi H.H. 16 feet Depth of a Hemispherical and Ellipsoidal heads Hydrostatic Head of Water One final thing the determination of H.H. for two formed heads, Hemispherical and Ellipsoidal. Hemispherical Head For this example we will use a hemispherical head that has an inside diameter of 48 inches which means it has a radius of 24 inches. The radius is the depth of the hemispherical head Ellipsoidal Head An ellipsoidal head's I. D. will be the same as the shell. The inside diameter of an ellipsoidal head is also its major axis. This fact is the basis of finding the depth of a 2 to 1 ellipsoidal head. Notice that we are strictly talking about 2 to 1 ellipsoidal heads. The 2 to 1 refers to the ratio of the Major Axis to the Minor Axis of an ellipse which is used to form the head Of course only half of the Minor Axis is used for the head.
  • 52.
    51 Now add the2 inch flange to the dish. Therefore, our 2 to 1 Ellipsoidal head has a depth of 14 inches. Hint: To find the depth of a 2 to 1 ellipsoidal head divide the major axis by 4. In our example 48/4 = 12 then add the 2” flange. Ellipsoidal Converting to feet: 18" divided by 12 = 1.5' x 0.433 psi = 0.6495 psi Hemispherical Converting to feet. 32" divided by 12 = 2.666' x 0.433 psi = 1.1543 psi Adding H.H. and Corrosion Wall Loss in Calculations Increasing internal or decreasing external dimensions due to corrosion was introduced in Lesson 2, “Shell and Head Calculations”. In actual practice Hydrostatic Head would also need to be considered. The following demonstrates the principals involved. Example: A vertical vessel shell course has an MAWP of 200 psi, and an allowable stress of 14,800 psi. The inside radius is 84”. The nameplate is stamped RT1. The shell has corroded down to 1.28 inches. Its original t was 1.375". There exists 21.9964 psi H.H. at the bottom of the shell course. What is its current calculated minimum thickness of this shell course in accordance with rules of Section VIII Division 1 considering both corrosion and hydrostatic head?
  • 53.
    52 Basic Formula: UG-27(c) (1) Modified to consider Hydrostatic Head and increased radius due to internal corrosion. Givens: H.H.) (P 0.6 - SE ) (R H.H.) (P    corrosion t =? P = 200 S = 14,800 psi E = 1.0 RT 1 R = 84” = 84” + (1.375-1.28) = 84.095” H.H..= 21.9964 rounded to 22 psi     ) 22 (200 (0.6) - .0) (14,800)(1 ) 095 . (84 22) (200 = t  ) 22 (2 (0.6) - .0) (14,800)(1 ) 095 (84. (222)  133.2 - 14,800 18669.09 " 273 . 1 14,666.8 18669.09  Its present thickness is 1.28” and its minimum calculated thickness is 1.273, very close to repair or retire. P 0.6 - SE PR = t
  • 54.
    53 Lesson 5 Hydrostatic, PneumaticTests UG-99 Standard Hydrostatic Test (a) A hydrostatic test shall be conducted on all vessels after: (1) All fabrication has been completed, except for operations which could not be performed prior to the test such as weld end preparation…. (2) All examinations have been performed, except those required after the test…... (b) Except as otherwise permitted in (a) above and 27-3, vessels designed for internal pressure shall be subjected to a hydrostatic test pressure which at every point in the vessel is at least equal to 1.3 times the maximum allowable working pressure to be marked on the vessel multiplied by the lowest ratio (for the materials of which the vessel is constructed) of the stress value S for the test temperature on the vessel to the stress value S for the design temperature…Stress at Test TempStress at Design Temp (c) A hydrostatic test based on a calculated pressure may be used by agreement between the user and the manufacturer… A New and Cold Test relates to a statement in API 510. (d) The requirements of (b) above represent the minimum standard hydrostatic test pressure required by this Division…(g) Following the application of the hydrostatic test pressure, an inspection shall be made of all joints and connections. This inspection shall be made at a pressure not less than the test pressure divided by 1.3. Except for leakage that might occur at temporary test closures for those openings intended for welded connections, leakage is not allowed at the time of the required visual inspection…. The visual inspection of joints and connections for leaks at the test pressure divided by 1.3 may be waived provided: (1) a suitable gas leak test is applied;(2) substitution of the gas leak test is by agreement reached between Manufacturer and Inspector;(3) all welded seams which will be hidden by assembly be given a visual examination for workmanship prior to assembly;(4) the vessel will not contain a “lethal” substance.(h) Any non-hazardous liquid at any temperature may be used for the hydrostatic test if below its boiling point. Combustible liquids having a flash point less than 110°F, such as petroleum distillates, may be used… It is recommended that the metal temperature during hydrostatic test be maintained at least 30°F above the minimum design metal temperature, but need not exceed 120°F, to minimize the risk of brittle fracture. API 510 has a different rule for this, it recommends that the temperature be 10°F above for 2” (50mm) thickness and under and 30°F above for over 2 inches (50mm). Footnote Caution: A small liquid relief valve set to 1-1/3 times the test pressure is recommended for the pressure test system in case a vessel, while under test, is likely to be warmed up materially with personnel absent. (i) Vents shall be provided at all high points of the vessel in the position in which it is to be tested to purge possible air pockets… (j) Before applying pressure, the test equipment shall be examined to see that it is tight and that all low pressure filling lines and other appurtenances…(k) Vessels, except for those in lethal service, may be painted or otherwise coated either internally or externally, and may be lined internally, prior to the pressure test. However, the user is cautioned that such painting / coating / lining may mask leaks that would otherwise have been detected during the pressure test.
  • 55.
    54 API 510 HydrostaticTest Procedures 1. If the test is required it shall be conducted after welded repairs. 2. The test pressure must at least be1.3 times the MAWP or whatever the original design Code specified i.e. 1.5. 3. The test pressure shall be adjusted for lowest ratio of stresses. 4. Any non-hazardous fluid may be used if below its boiling point. 5. It is recommended that the metal temperature during hydro test be maintained at least 10 °F above MDMT for vessels 2” (51mm) and less and 30 °F above for vessels over 2” (51mm) to minimize the risk of brittle fracture. 6. Following the application of hydro pressure a visual inspection shall be performed at no less than the test pressure divided by 1.3 or whatever was originally used. Problem: Calculate the required hydro test pressure for a vessel using the following conditions: Material Carbon Steel Design Temp. 700 °F Test Temp 85 °F MAWP 350 psi Step 1 Determine the ratio of stresses for the test and design temperatures. (a) From Table 1A Section II Part D. Stress allowed at 700 °F = 15,500 psi Stress allowed at 85 °F = 16,300 psi b) Per UG-99 the ratio equals Temp. Design at Stress Temp. Test at Stress Step 2 UG-99(b) Test pressure equals 1.3 x MAWP x ratio 1.3 x 350 psi x 1.05 = 477.75 psi at the top of the vessel
  • 56.
    55 UW-50 NDE ofWelds for Pneumatically Tested Vessels Look at the reference next to UG-100 (See UW-50) This is what is referred to as a parenthetical reference in the ASME Codes. You must read these to see what modifiers the Code has placed on subject paragraph. On welded pressure vessels to be pneumatically tested in accordance with UG-100, the full length of the following welds shall be examined for the purpose of detecting cracks: (a) all welds around openings;(b) all attachment welds, including welds attaching non-pressure parts to pressure parts, having a throat thickness greater than 1/4 in…. UG-100 Standard Pneumatic (a) Subject to the provisions of UG-99(a)(1) and (a)(2), a pneumatic test prescribed in this paragraph may be used in lieu of the standard hydrostatic test prescribed in UG-99 for vessels: (1) That are so designed and/or supported that they cannot safely be filled with water; (2) Not readily dried, that are to be used in services where traces of the testing liquid cannot be tolerated and the parts of which have, where possible, been previously tested by hydrostatic pressure to the pressure required in UG-99. (b) Except for enameled vessels, for which the pneumatic test pressure shall be at least equal to, but need not exceed, the maximum allowable working pressure to be marked on the vessel, the pneumatic test pressure shall be at least equal to 1.1 times the maximum allowable working pressure to be stamped on the vessel multiplied by the lowest ratio of the stress value S for the test temperature of the vessel to the stress value S for the design temperature. In no case shall the pneumatic test pressure exceed 1.1 times… (c) The metal temperature during pneumatic test shall be maintained at least 30°F (17°C) above the minimum design metal temperature to minimize brittle fracture risk. [See UG-20 and General Note (6) to Fig. UCS-66.2] * API 510 states as minimum Pneumatic tests shall meet all the safety requirements of ASME Section VIII. (d) The pressure in the vessel shall be gradually increased to not more than one-half of the test pressure. The test pressure shall be increased in steps of approximately one-tenth of the test pressure until the required test pressure has been reached. Pressure shall be reduced to a value equal to the test pressure divided by 1.1 and held for a sufficient time to permit inspection of the vessel… UG-100 Standard Pneumatic Test 1. If the test is required it shall be conducted after welded repairs. 2. The welded repairs shall be subjected to the tests required by UW-50. 3. The test pressure must at least be 1.1 times the MAWP or whatever the original design Code specified i.e.1.25. 4. Test pressure is adjusted for lowest ratio of stresses. (Same method as hydrostatic testing) 5. Metal must be maintained at least 30 °F over MDMT. 6. The test pressure shall be raised at a gradual rate to not more than 1/2 the test pressure and then raised by 1/10th of the test pressure until the test is reached. 7. Visual inspection must be made at test pressure divided by 1.1 or whatever was originally used.. The visual may be waived if the requirements in UG-100 are met.
  • 57.
    56 Problem: Calculate therequired pneumatic test pressure for a vessel using the following conditions. Material Carbon Steel Design Temp. 700 o F Test Temp 85°F MAWP 350 psi Step 1: Determine the ratio of stresses for the test and design temperatures. (a) From Table 1A Section II Part D. Stress allowed at 700 o F= 15,500 psi Stress allowed at 85 o F= 16,300 psi(b) Per UG-100 the ratio equals Step 2 Per UG-100(b) Test pressure equals 1.1 x MAWP x Temp. Design at Stress Temp. Test at Stress 1.1 x 350 psi x 1.05 = 404.25 psi Pneumatic Test Procedure 1. Slowly raise the pressure to approximately one-half 404.25 psi which equals 202.125. Next raise the pressure in steps of one-tenth of the test pressure. 2. 202.125 + 40.425 = 242.55 psi 3. 242.55 + 40.425= 282.975 psi 4. 282.975 + 40.425 = 323.40 psi 5. 323.40 + 40.425 = 363.825 psi 6. 363.825 + 40.425 = 404.25 psi There are a total of 6 steps when raising up to pneumatic test pressure. Finally lower to the inspection pressure of 404.25/1.1 = 367.5 psi UG-102 Test Gauges Overview The Code has some definite requirements for the selection and uses of gages for the tests described in UG-99 and UG-100. Directions for location, number of, range of and the calibration of the indicating gage(s) is located in UG-102. The high points of UG-102 are below. 1. An indicating gage shall be connected directly to the vessel. If it is not readily visible to the operator of the test equipment an additional gage shall be used which is visible.... 2. When doing large vessel pressure tests it is recommended to have a recording gage in addition to the indicating gage. 3. Dial type indicating gages shall have a range of about double the maximum test pressure, but in no case shall the range of the gage be less than 1 1/2 times nor more than 4 times the maximum test pressure. 4. Digital gages having a wider range may be used as long as they provide the same or greater accuracy of the dial type. 5. All gages shall be calibrated against a standard deadweight tester or a calibrated master gage. 6. Gages must be calibrated any time their accuracy is in doubt.
  • 58.
    57 Lesson 6 Post WeldHeat Treatment UW-40 Definition of Nominal Thickness for Butt Welds The Post Weld Heat Treatment mandatory requirements and time at temperature are based on the base metal’s thickness. The Code defines thickness at a welded joint in a very specific way, which is as follows: (f) The term nominal thickness as used in Tables UCS-56, UCS-56.1, UHA-32 and UHT-56, is the thickness of the welded joint as defined below. For pressure vessels or parts of pressure vessels being postweld heat treated in a furnace charge, it is the greatest weld thickness in any vessel or vessel part which has not previously been postweld heat treated.. (1) When the welded joint connects parts of the same thickness, using a full penetration butt weld, the nominal thickness is the total depth of the weld exclusive of any permitted weld reinforcement. Depth of weld (5) When a welded joint connects parts of unequal thicknesses, the nominal thickness shall be the following: (a) the thinner of two adjacent butt-welded parts including head to shell connections;…… UCS-56 Requirements for Post Weld Heat Treatment PWHT is performed to specific rules based on the thickness of the weld to be heat treated. We will now examine those rules. (a) Before applying the detailed requirements and exemptions in these paragraphs, satisfactory weld procedure qualifications of the procedures to be used shall be performed in accordance with all the essential variables of Section IX including conditions of postweld heat treatment or lack of postweld heat treatment. Question: What must always be present prior to welding? Answer: A Section IX qualified welding procedure.
  • 59.
    58 UCS 56 (d) Theoperation of postweld heat treatment shall be carried out by one of the procedures given in UW-40 in accordance with the following requirements: (1) The temperature of the furnace shall not exceed 800°F (425°C) at the time the vessel or part is placed in it. (2) Above 800°F (425°C ), the rate3 of heating shall be not more than 400°F/hr (222°C) divided by the maximum metal thickness of the shell or head plate in inches, but in no case more than 400°F/hr (222°C). During the heating period there shall not be a greater variation in temperature throughout the portion of the vessel being heated than 250°F (120°C) within any 15 ft (4.6 m) interval of length. 400°F / 2 inches so no more than 200°F/hr UCS-56 Requirements for Post-Weld Heat Treatment We will now examine the requirements for PWHT using the tabular form of UCS-56 for P-Number 1 base metal. This is just one Table, there are many more based on the material’s P-Number. The others follow the same format and once we have learned to use this one the others will be much easier to understand. You are responsible for all of the tables on this examination however most questions come from the P-Number 1 Table! The tables cannot be interpreted with out reading the notes that are beneath them. Let’s have a look.
  • 60.
  • 61.
    60 We can gatherthe following from the Table for P-Number 1 materials that; • The normal holding temperature is 1100 o F for P-No. 1. • The minimum time at holding temperature is based on the thickness of the part. • Note 1 references alternative PWHT holding temperatures • Note 2 determines the thickness at which PWHT is mandatory. There are three cases of thickness listed in the table P-1. • Up to 2 inches (51 mm) the PWHT is held for 1 hour per inch (25 mm) of thickness with 15 minutes minimum in all cases. The 15 minute minimum applies to cases where; 1. The vessel is in lethal service and requires PWHT in all thicknesses. 2. The vessel is being heat treated voluntarily to prevent a service induced problem such as cracking i.e. Amine service.
  • 62.
    61 Note (2) Postweldheat treatment is mandatory under the following conditions: (a) For welded joints over 1-1/2 in. (38 mm) nominal thickness; ( So 1- 9/16” (40 mm) and greater would require PWHT) (b) For welded joints over 1-1/4 in. (32 mm) nominal thickness through 1-1/2 in. (38 mm) nominal thickness unless preheat is applied at a minimum temperature of 200°F (93°C) during welding; Based on the various thicknesses up to 2 inches we have the following graphical representation of these rules. The Code sets the minimum thickness of a vessel at 1/16” (1.6 mm) in paragraph UG-16, one exception is for an Unfired Steam Boiler which has a 1/4” (6 mm) minimum. 1/16" to ¼” 15 min. ½” 30 min. ¾” 45 min. 1” - 1 hour. > 1-¼” 1:15 min. No Preheat 1-½” 1:30 min. No Preheat 1-¾” 1:45 min. 2” 2 hours. Exceeds 1-¼” up to 1-½” if no preheat applied. 1/16" to ¼” Lethal or Service reason > 1-½” Thickness Reason For PWHT 1/16 to 2 inches The second thickness range: • Over 2 in. (51 mm) to 5 in. (127 mm) the PWHT is held for a flat 2 hours for the first 2 inches (51 mm) of thickness with an additional 15 minutes per inch over 2 inches. Let’s look at a graphic of this thickness range. First 2 in. (51 mm) 2 hours OVER 2 in. to 5 in. (51 mm to 127 mm) Additional 1 in. (25 mm) 15 min. - Total 2:15 min. 3 in (75 mm)
  • 63.
    62 The third thicknessrange: • Over 5 in. (127 mm) the PWHT is held for a flat 2 hours for the first 2 inches (51 mm) of thickness with an additional 15 minutes per inch over 2 inches. For P-Number 1 there is no change from the previous example. This third range does changes for some of the other P- Numbers. Look at the P-Number 4 Table for example; Alternative Post-Weld Heat Treatment Requirements for Carbon and Low Alloy Steels By Note 1 of Table UCS 56 for P-Number 1 materials, it is possible to PWHT at a temperature lower than that given in Table UCS-56. It involves heat treating for a longer periods of time, based on the amount of reduction in temperature below the stated minimum in Table UCS-56. The following Table UCS-56.1 outlines these rules.
  • 64.
    63 Before going anyfurther it must be cautioned that you cannot use this alternate unless you have been referred to it by a note in one of the material tables. In our example we are using Note 1 referenced by P- Number 1. From the table we find that there are three columns. • The left column lists the decrease in temperature below that given on the appropriate table in UCS-56 based on material. • The center lists the Minimum Holding Time at a decreased temperature and; • The third lists references to notes below the table. Reading Note 1 found below the chart and referenced up in the Minimum Holding Time column we see; (1) Minimum holding time for 1 in. (25 mm) thickness or less. Add 15 minutes per inch(25 mm) fro thickness greater tan 1 in. (25 mm). Reading Note 2 listed in the Notes column; (2) These lower postweld heat treatment temperatures permitted only for P-No. 1 Gr. 1 and 2 materials. As regards Note 2, there is a P-No. 1 Group 3 material. So be cautious on the exam this could be a trick question.
  • 65.
    64 Note 1 isbest addressed using a graphic as follows; We will first examine a 50°F (28°C) drop from 1100 to1050°F. Below is the holding time from our previous 3” coupon based on 1100°F. How long would we be required to hold it at 1050°F? First 1 in. (25 mm) 2 hours Lower PWHT at 1050 F Additional 1 in. (25 mm) add 15 min. Total 2:30 3 in (75 mm) Additional 1 in. (25 mm) add 15 min. Which leads to this total time, up from 2:15 min. to 2:30 min. Now how about 100°F reduction to 1000°F?
  • 66.
    65 Lesson 7 UG-28 ExternalPressure UG – 28 Thicknesses of Shells and Tubes under External Pressure (a) Rules for the design of shells and tubes under external pressure given in this Division are limited to cylindrical shells, with or without stiffening rings, tubes, and spherical shells….. (b) The symbols defined below are used in the procedures of this paragraph: A = Factor determined from Fig. G in Subpart 3 of Section II, Part D and used to enter the applicable material chart in Subpart 3 of Section II, Part D…… B = Factor determined from the applicable material chart in Subpart 3 of Section II, Part D for maximum design metal temperature, psi . DO = Outside diameter of cylindrical shell course or tube, in. E = Not on exam. L = Total length, in. (mm), of a tube between tubesheets, or design length of a vessel section between lines of support (see Fig. UG-28.1). A line of support is: (1) A circumferential line on a head…. Not on exam! (2) A stiffening ring……. Not on exam! (3) A jacket closure ……. Not on exam! (4) A cone-to-cylinder Not on exam! P = External design pressure, psi Pa = Calculated value of maximum allowable external working pressure for the assumed value of t, psi RO = Outside radius of spherical shell, in. t = Minimum required thickness of cylindrical shell or tube, or spherical shell, in. ts = Nominal thickness of cylindrical shell or tube, in.
  • 67.
    66 Beginning with UG-28(c)there are step by step instructions for working these problems. We will go through these steps one at a time. (c) Cylindrical Shells and Tubes. The required minimum thickness of a cylindrical shell or tube under external pressure, either seamless or with longitudinal butt joints, shall be……. 1. Cylinders having Do /t values > or = 10: Step 1 Assume a value for t and determine the ratios L/Do and Do /t. * You do not assume a value for thickness (t) on the exam, it will be given in the stated problem for the external pressure shell or tube calculation. As will the (Do) Diameter Outside and the (L) Length in other words all that is needed to solve the problem will be provided. Looking at an example, we can start learning this process. 1. Cylinders having Do /t values > or = 10: Step 1 Assume a value for t and determine the ratios L/Do and Do /t. Example: The cylinder has corroded to a wall thickness of 0.530”, its length is 120” and the outside diameter is 10”. It operates at 500°F. So then; Temperature = 500°F t = 0.530” L = 120” Do = 10” Calculate Do/t = 10/.530 = 18.8 call it 19 (no need to be exact) Now we do L/Do = 120/10 = 12
  • 68.
    67 Step 2 EnterFig. G in Subpart 3 of Section II, Part at the value of L/Do determined in Step 1 For values of L/Do greater than 50, enter the chart at a value of L/Do = 50. For values of L/Do less than 0.05, enter the chart at a value of L/Do = 0.05. In our example problem we must go up the left side of the Fig. G until we reach the value of L/Do of 12. • Using the chart we have the following; •
  • 69.
    68 Step 3 Movehorizontally to the line for the value Do /t determined in Step 1.. Which in our case was 19, but we will round this to 20 since these problems are not meant to be extremely precise. So now we have.
  • 70.
    69 Step 4 From thispoint of intersection move vertically downward to determine the value of factor A This gives us the following;
  • 71.
    70 Step 5 Usingthe value of A calculated in Step 3, enter the applicable material chart in Subpart 3 of Section II, Part D for the material under consideration. Move vertically to an intersection with the material/temperature line for the design temperature see UG-20). Interpolation may be made between lines for intermediate temperatures. In cases where the value of A falls to the right of the end of the material /temperature line, assume an intersection with the horizontal projection of the upper end of the material/temperature line. To use the next figure we enter at the bottom at the value Factor A = .0028 and then up to our temperature of 500°F. A = .0028 and then up to our temperature of 500°F. Factor B is 12,000. Plug it into the formula and we have our External Pressure allowable, Pa Which will be; As regards the final answers to these problems, because of the difficulty of being precise with the Fig. G there will always be some difference from one person to the next in the determination of Factor A. This is allowed for on the exam by listing choices of answers that are in a range of +/- 5%. In our previous problem the answer was 842 psi, on the exam the correct choice would have been offered as 799 to 884 psi, i.e. Answer Range: 799 – 884 psi psi 842 57 48000 3x19 4x12000 = Pa  
  • 72.
    71 To Summarize UG-28 Externalcalculations depart significantly from internal calculations simply because under external pressure the vessel is being crushed. Internal pressure wants to tear the vessel apart. Because of the crushing or buckling load, the Length the Outside Diameter and the Thickness of the vessel are important. External pressure problems are based on the thickness of the shell to the outside diameter ratios. There are two types of external pressure calculations, the type we will use is when the O.D to (Do) thickness ratio (t) is greater than 10 and the other type, not on the test, is when it is less than 10. In order to solve these types of problems two charts will be required. The first chart Fig. G is used to find a value called Factor A and then Factor A is used to find a Factor B in the second material specific chart. The value of Factor B found is the number needed to solve the problem using the formula given in paragraph UG-28 (c)(1) step 6. As stated in the API 510 Body of Knowledge, these charts will be provided in the exam body, IF an external calculation is given on the examination.
  • 73.
    72 Find the allowedexternal pressure on an existing vessel of a known thickness with a Do/t ratio > 10. Problem: A vessel is operating under an external pressure, the operating temperature is 500° F. The outside diameter of the vessel is 40 inches. Its length is 70 inches. The vessel’s wall is 1.25 inches thick and is of SA-515-70 plate. Its specified min. yield is 38,000 psi. What is the maximum external pressure allowed? Givens: Temp = 500° F t = 1.25 L = 70 inches D0 = 40 inches From UG-28 (c) Cylindrical Shells and Tubes The required minimum thickness of a shell or a tube under external pressure, either seamless or with longitudinal butt joints, shall be determined by the following procedure. (1) Cylinders having a … Testing to see if this paragraph applies: 32 = 1.25 40 = t Do Step 1 Our value of Do is 40 inches and L is 70 inches. We will use these to determine the ratio of: 1.75 = 40 70 = o D L
  • 74.
    73 Step 2 Enterthe Factor A chart at the value of 1.75 previously determined. Step 3 Then move across horizontally to the curve Do/t = 32. Then down from this point to find the value of Factor A which is .0045
  • 75.
    74 Step 4. Usingour value of Factor A calculated in Step 3, enter the Factor B (CS-2) chart on the bottom. Move vertically to the material temperature line given in the stated problem (in our case 500°F). Step 5 Then across to find the value of Factor B. We find that Factor B is approximately 13000. Step 6 Using this value of Factor B; calculate the value of the maximum allowable external pressure Pa using the following formula: ) t D 3( 4B = Pa o psi 541.66 = 96 52,000 = 3(32) 4x13,000 = Pa +/- 5% Answer Range: 514 – 568 psi
  • 76.
    75 Lesson 8 CharpyImpact Testing This is why we Impact test! Brittle Fracture and Charpy impact Testing Overview The concern expressed by the Codes should now be very clear based on the previous pictures. Brittle fracture can and does occur. So exactly what is brittle fracture? Perhaps the best way to explain this is to contrast two materials commonly used: • Glass and Lead • Glass is of course very brittle at room temperature. • Lead is very ductile at room temperature. • Glass shatters when struck. • Lead deforms, it flows plastically without rupture (ductility). • Glass is hard with a high strength and has little ductility. • Lead is soft with a low strength and deforms under load. In pressure vessels we need something in between. So using the term loosely, we do not want our pressure vessel in “glass like state” when it is exposed to lower temperatures. It must be able to absorb energy in the presence of a Code acceptable size flaw such as a small welding discontinuity or unknown crack like flaw. Designers must evaluate a given material of construction for its acceptability, at what ASME Section VIII refers to as the vessel’s Minimum Design Metal Temperature (MDMT). The question becomes, is this metal in this thickness and heat treated condition, prone to brittle fracture at the desired MDMT? Section VIII has several paragraphs that address the acceptability for materials; these are referred to as exemptions from Charpy Testing. For purposes of the examination we are restricted to paragraph UCS.
  • 77.
    76 So the taskbecomes evaluating a given material for exemptions from testing. This is a four step process, ending with a ‘yes you must’ or ‘no you don’t’ solution. The four steps are; 1. The exemption given in paragraph UG-20(f). 2. The exemptions listed in UCS-66 (Table UCS-66). 3. The reduction in temperature provided by Table UCS-66.1 to Table UCS-66 4. The reduction in temperature to Table UCS-66 given in paragraph UCS-68(c). If at the end of the 4 steps, impact testing is required, then they must be conducted in accordance with the rules described in the paragraph UG-84. There exist two possible categories of questions on the examination. 1. Are they required? 2. If the tests are required • How must they be conducted and, • What passes and what is considered to have failed the tests? We start with are they required? The search will begin in UG-20(f) and progress through UCS 66, and 68. If no exemption is found impact tests are required. The best approach is to list these by steps.
  • 78.
    77 Step 1 UG-20(f) listsan exemption from impact testing for materials that meet “All” of the following requirements. 1. Material is limited to P-No.1 Gr. No.1 or 2 and the thicknesses don't exceed the following: (a) 1/2 in. for materials listed in Curve A of Fig. UCS-66; (b) 1 in for materials from Curve B, C or D of Fig. UCS-66; 2. The completed vessel shall be hydrostatically tested 3. Design temperature is no warmer than 650°F or colder than -20°F. 4. The thermal or mechanical shock loadings are not controlling design. 5. Cyclical loading is not a controlling design requirement. Reminder All of the conditions of UG-20(f) must be met to take this exemption from impact testing. Step 2 UCS-66 (a) Turn your attention to Fig. UCS-66 Impact Test Exemption Curves and Table UCS-66. The Graph or Table is used to determine the minimum temperature a material thickness can be operated at without mandatory impact testing. The graph has four curves: A, B, C and D. In Fig. UCS-66 along with the graph is a listing of carbon and low alloy steels. This listing of materials is used to determine the curve on the Graph or in the Table for a given material. After finding the curve for the material, there are two choices. You may use the graph of figure UCS 66 or the Table UCS 66 to determine the minimum temperature for a given thickness. It is recommended to use the Table. The Table is a lot easier to use with accuracy. If the material thickness is operated at or above the temperature listed in Table UCS-66, impact tests are not required. If the material thickness is to operate below the given minimum temperature, impact testing is required. The temperature found in the table is the MDMT of that material thickness without impact testing being required.
  • 79.
  • 80.
    79 Step 2 FigureUCS-66 Material Curves Let’s take the example of material that has been assigned to Curve B which is 2 inches (51 mm) thick. Using the more friendly table we find the column for Curve B materials, move down until we find the thickness row for 2 inches and across to find the MDMT that this material can be used without impact testing is 63 o F (17 o C). That doesn’t seem like an acceptable minimum design temperature for most vessels. This makes a Curve B material a poor choice at 2” thickness. Step 3 Figure UCS 66.1 Coincident Ratio The Coincident Ratio is based on a vessel’s extra thickness due to its design calculations which were based on its Maximum Temperature. Meaning that; As metal’s temperature increases its strength decreases, hotter means weaker, therefore the allowable stress is decreased during calculations resulting in vessel that requires thicker walls when hot than when it is operating at its coldest temperature, the MDMT. This ratio takes credit for the extra wall thickness that is present, but not needed to resist pressure at the MDMT. The following graphic will help. Usually when there is a drop in temperature there is also a drop in the pressure. The two operating conditions are calculated and the Ratio is determined. This Ratio is given on the exam and you need only use the table to apply this rule.
  • 81.
    80 Coincident Ratio FigureUCS-66.1 Using the Coincident Ratio given in a problem we enter the graph on the left side at that value then across to intersect the curve now down to find a temperature given. We take that temperature back to Table UCS-66 and reduce the temperature given there for the material of interest by the amount we found using Table UCS-66.1.
  • 82.
    81 Example: The CoincidentRatio is given as .60. Now using our previous Table UCS-66 2” Curve B material that has a MDMT of 63 o F we adjust and find a new MDMT. Like this! 63 – 40 = 23 o F our adjusted MDMT Step 4 UCS-68(a) Design rules for carbon and low alloy steels stipulate requirements about construction of the vessel or part. The main points are: mandatory joint types, required post weld heat treatments below -55 °F unless the vessel is installed in a fixed (stationary) location, and the coincident Ratio of stress is less than 0.35. UCS-68(b) Welded joints must be postweld heat treated when required buy other rules of this Division or when the MDMT is colder than -55°F and for vessel installed in a fixed (stationary) location the coincident Ratio is 0.35 or greater. UCS-68(c) Notice a reduction of 30°F below that of Figure UCS-66 for P-1 materials if post welded heat treatment is performed when it is not otherwise required in the Code. This means that 30°F can be subtracted from the temperature found in Table UCS-66. If the adjusted temperature is below that desire, Impact Tests are not required. It is exempt. If a statement about heat treatment is made in a particular problem the task becomes finding out if heat treatment was required or not. If it is not mentioned, it must be concluded that it was not performed and therefore the exemption cannot be taken. Example: Givens: Material SA-516-70 normalized (plate) Thickness 2" Min. Yield 38 KSI MDMT -25 °F Coincident Ratio = .85 Step 1: Check for the exemptions of UG-20(f)
  • 83.
    82 Our material appliesto Curve D of Figure UCS-66 and exceeds the 1“ limit for exemption. It also exceeds and lower temperature limits - 20°F. Our Material 516 Normalized is on Curve D below FIG. UCS-66 IMPACT TEST EXEMPTION CURVES [SEE NOTES (1) AND (2)] [SEE UCS-66(A)]
  • 84.
    83 Step 2: CheckingTable UCS-66 and entering at our thickness of 2 inches on the left and moving across to Curve D column, we find the MDMT of this thickness to be -4°F. This exemption does not apply our goal is -25°F. Step 3: Checking Fig. UCS-66.1 and entering at our stated Coincident Ratio of .85 and then down to read the temperature reduction permitted we find 15°F.
  • 85.
    84 Step 3: This15°F is subtracted directly from the table UCS-66. So we now have -4 from Table UCS-66 And -15 from Table UCS-66.1 -19 °F Not there yet, we need -25 °F to be exempt from testing. Step 4 UCS-68 (c) If postweld heat treating is performed when it is not otherwise a requirement of this Division, a 30°F (17 °C) reduction in impact testing exemption temperature may be given to the minimum permissible temperature from Fig. UCS-66 for P-No.1 materials. P-1 materials (only) if post welded heat treatment is performed when it is not otherwise required. This would occur if the note 2(b) of table UCS-56 for P No. 1 materials is complied with or if the vessel is in general service and has no mandatory heat treatment requirements in the Code. Checking UCS-68 (c), we find that we cannot take a reduction because PWHT is a requirement of UCS- 56 for this material's thickness of 2 inches. Answer: Impact tests are required for the desired MDMT of -25 °F. So how must they be done?
  • 86.
    85 UG-84 Charpy ImpactTests UG-84(a) General Charpy V-notch impact tests in accordance with the provisions of this paragraph shall be made on weldments and all materials for shells, heads, nozzles, and other vessel parts subject to stress due to pressure for which impact tests are required by the rules in Subsection C. UG-84(b) Test Procedures UG-84(b)(l) Impact test procedures and apparatus shall conform to the applicable paragraphs of SA- 370 or IS0 148 (Parts 1, 2, and 3). UG-84(c) Test Specimens UG-84(c) (1) Each set of impact test specimens shall consist of three specimens. UG-84(c) (1) Each set of impact test specimens shall consist of three specimens. UG-84(c) (2) The impact test specimens shall be of the Charpy V-notch type and shall conform in all respects to Fig. UG-84.The standard (10 mm ×10 mm) specimens, when obtainable, shall be used for nominal thicknesses of 0.438 in. (11.13 mm) or greater, except as otherwise permitted. .
  • 87.
    86 UG-84(c)(6) When the* average value of the three specimens equals or exceeds the minimum value permitted for a single specimen and the value for more than one specimen is below the required average value, or when the value for one specimen is below the minimum value permitted for a single specimen, a retest of three additional specimens shall be made. The value for each of these retest specimens shall equal or exceed the required average value. Example: Average required is 15 ft-lb (joules 20.4) * 15 + 16 + 14 = 45/3 = 15 Passed. * 18 + 14 + 13 = 45/3 = 15 Failed, more than one below 15 * 18 + 18 + 9 = 45/3 = 15 Failed, one below 2/3 of 15 = 10 UG-84(d)(1) Reports or certificates of impact tests by the material manufacturer will be acceptable evidence that the material meets the requirements of this paragraph, provided the specimens comply with UCS-85, UHT-5, or UHT-81, as applicable. * This means you may not have to do impact tests on your base material because the manufacturer has performed the tests already and they meet the Code requirements. UG-84(f)(2) All test plates shall be subjected to heat treatment, including cooling rates and aggregate time at temperature or temperatures as established by the Manufacturer for use in actual manufacture. Let’s try to interpret what this statement means in practical terms. *Charpy tests must be conducted with the test coupon having received the minimum required PWHT. So if a vessel underwent 2 hours of PWHT, then it has been proven that the 2 hours of PWHT did not make the vessel subject to brittle fracture. Now suppose you need to repair the vessel after having been in service. PWHT would be required again for two hours where the repair was made. That local area will now have seen 4 hours of PWHT. Has the additional 2 hours made it brittle? There is only one way to find out, more Charpy testing. Where do you get the metal from for the Charpy coupons? Out of the vessel, which is not easy and very expensive? ** API 510 has an alternative method.
  • 88.
    87 UG-84(g) Location, Orientation,Temperature, and Values of Weld Impact Tests All weld impact tests shall comply with the following: UG-84(g)(1) Each set of weld metal impact specimens shall be taken across the weld with the notch in the weld metal. Each specimen shall be oriented so the notch is normal to the surface of the material and one face of the specimen shall be within 1/16” (1.6 mm) of the surface of the material. Front View
  • 89.
    88 UG-84(g)(2) Each setof heat affected zone impact specimens shall be taken across the weld and of sufficient length to locate, after etching, the notch in the heat affected zone. The notch shall be cut approximately normal to the material surface in such a manner as to include as much heat affected zone material as possible in the resulting fracture.
  • 90.
    89 UG-84(h) Impact Testsof Welding Procedure Qualifications UG-84(h)(1) General. For steel vessels of welded construction, the impact toughness of the welds and heat affected zones of the procedure qualification test plates shall be…... UG-84(h)(2) When Required. Welding procedure impact tests shall be made when required by UCS-67, UHT-82, or UHA-51. For vessels constructed to the rules of Part UCS, the test plate material shall satisfy all of the following requirements…… (a) be of the same P-Number and Group Number; (b) be in the same heat treated condition; and (c) meet the minimum notch toughness requirements of UG- 84(c)(4) for the thickest material of the range of base material qualified by the procedure. (UG-84(h)(3) Material Over 1-1/2” Thick. When procedure tests are made on material over 1-1/2” (38 mm) thick, three sets of impact specimens are required. One set of heat affected zone specimens shall be taken as described in (g)(2). Two sets of impact specimens shall be taken from the weld with one located within 1/16” the surface of one side of the material and one set taken as near as practical midway between the surface and the center of thickness of the opposite side as described in (g).
  • 91.
  • 92.
    91 Lesson 9 Fillet Weldsand Reinforcement UW-16 Minimum Requirements for Attachment Welds at Openings (a) General (1) The terms: nozzles, connections, reinforcements, necks, tubes, fittings, pads, and other similar terms used in this paragraph define essentially the same type construction and form a Category D weld joint between the nozzle (or other term) and the shell, head, etc… (2) The location and minimum size of attachment welds for nozzles and other connections shall conform to the requirements of this paragraph in addition to the strength “path” calculations required in UW-15. Not on exam! These are variables that will apply to the Exam. t = Nominal thickness of vessel shell or head, in. t n = Nominal thickness of nozzle wall, in. tmin = The smaller of 3/4 in. or the thickness of the thinner of the parts joined by a fillet, single-bevel, or single-J weld, in. tc = Not less than the smaller of 1/4 in. or 0.7tmin t1 or t2 = Not less than the smaller of 1/4 in. or 0.7tmin The fillet weld sizing of UW-16 can be solved in either of two ways. That is, you may determine if a fillet weld leg size provides an adequate fillet weld throat size per Code or based on the thicknesses of the shell and nozzle determine the minimum throat size required and convert that to leg size. In the latter case, usually the leg size decimal value is rounded to the next fractional 1/16th inch. In these examples we will work it both ways using the same shell and nozzle thicknesses. The examples will be restricted to only Fig UW-16.1(i).
  • 93.
    92 Problem: A nozzleis being attached to a shell as shown in Fig.UW-16.1 (i) using two equal size fillet welds. The shell's thickness is 7/8 in. and the nozzle's thickness is 1/2 inch. The fillet welds are 3/8 inch in leg size. Does this meet Code? Case 1: Determine the minimum throat size. From Fig. UW-16.1(i) we are given that: min 2 1 t 4 1 1 t +  t min. 2 1 t .707 or in. 4 1 of smaller the than less not t or t From UW-16 we are given the following definitions: tmin = the smaller of 3/4 in. or the thickness of the thinner of the two parts joined by a fillet weld. t1 and t2 are the throat sizes of the welds as depicted in Fig. UW-16.1(i). Step 1 Determine the throat size of a 3/8 in leg size fillet weld. Throat size equals .707 times leg size. 0.707 x 0.375 in. = .265 in. = t 1 or t2 Step 2 Determine tmin tmin = the smaller of 1/2 in or 3/4 in. So tmin = 1/2 in. Step 3 Determine if: min 2 1 t 4 1 1 t +  t " 625 . .530" .500" 25 . 1 .265" + " 265 .   x 0.530" is neither greater than nor equal to .625". Therefore the first test fails and the throat size of the 3/8" leg fillet weld is too small. We could stop here and answer the question with a no, but let's finish up with the second test of size required for an illustration of the technique required.
  • 94.
    93 Step 4 Testto see if: min. 2 1 t .707 or in. 4 1 of smaller the than less not t or t Not less than the smaller of .250 in. or .707 x 1/2 in. .707 x .500" = .353“ So not less than .250". Both t1 and t2 are .265". .265 in. > .250 in. Fillet welds are adequate in the second test. However a fillet weld size must pass both tests! Case 2: Based on material thicknesses determine the minimum leg size of equal sized fillet welds to the next 1/16th inch. In our problem thicknesses are 7/8 inch (shell) and 1/2 inch (nozzle). We have already determined that 3/8 inch leg fillet welds are too small. So let's determine what size of equal leg fillet welds are required rounded up to the next 1/16th inch. The approach here is to find the value of 1-1/4 tmin and divide by 2 to find the throat of two equal sized fillets welds. Then convert to leg size. It goes like this; Step 1 Determine tmin tmin = the smaller of 1/2 in or 3/4 in. So tmin = 1/2 in. Step 2 Determine .707 tmin .707 x .500" = .353” Step 3 Determine 1 1/4 tmin 1.25 x .500" = .625“ From Fig. UW-16.1(i) we are given that: min 2 1 t 4 1 1 t +  t min. 2 1 t .707 or in. 4 1 of smaller the than less not t or t Step 4. First a 1/4" throat requires a leg size of .353” about 3/8 inches. A : .625/2 = .3125 So .3125 + .3125 = 1 1/4 tmin B : .3125 > .250 ( t1 or t2 minimum size is satisfied) C : To convert throat to leg, divide the throat by .707 .3125/.707 = .4420 (Round up to the next 1/16”). 6/16 = .375 or 7/16 = .4375 or 8/16 = .500 .4375 < .4420 <.500 Answer leg size 1/2” (0.500”)
  • 95.
    94 UG-36 Opening inPressure Vessels (3) Openings in vessels not subject to rapid fluctuations in pressure do not require reinforcement other than that inherent in the construction under the following conditions: (a) Welded, brazed, and flued connections meeting the applicable rules and with a finished opening not larger than: 1. 3-1/2 in. (89 mm) diameter in vessel shells or heads 3/8 in. or less in thickness; 2. 2-3/8 in. diameter in vessel shells or heads over 3/8 in. in thickness; The main things of interests in this paragraph to the API 510 inspector are the following: (1) All references to dimensions apply to the finished construction after deduction for material added as corrosion allowance. (2) Openings not subject to rapid fluctuations in pressure do not require reinforcement other than that inherent in the construction under the following conditions: (a) The finished opening is not larger than: 3 1/2” diameter in vessel shells or heads 3/8” or less in thickness 2- 3/8” diameter in vessel shells or heads over 3/8” in thickness (c) No two isolated un-reinforced openings, in accordance with the above shall have their centers closer to each other than the sum of their diameters UG-40 Limits of Reinforcement This paragraph defines the distance in any direction that can count as reinforcement in your calculations. This means that if a vessel wall has excess metal above that required by calculation, how far on each side of the opening can you take credit for this extra metal as reinforcement? Also considered is how much of the nozzle excess thickness above the hole in the vessel can be counted as reinforcement for the opening. UG-40 (a). You may not need to replace all of the metal removed. Given as A: The dark cross hatched area is the diameter of the finished opening multiplied times the minimum thickness that is the required by the calculations of UG-27 for a shell or UG -32 if the opening is in a head, etc. b. The vessel and the nozzle walls usually have excess thickness above that required to resist pressure. This excess thickness is counted toward reinforcement. Corrosion allowance cannot be included in areas A1 or A2 below.
  • 96.
    95 Given as A1and A2. The shaded areas are the extra metal. c. If the nozzle extends inside the shell, within certain limits this nozzle metal can be counted, less any corrosion allowance. The API 510 exam body of knowledge has excluded inward projection from the test. Given as A3 ****Note: Area 3 has been eliminated on the API 510 Body of Knowledge. d. The welds used to attach the nozzle to the shell count as area available for reinforcement. Interior weld area has been eliminated because the exam does not cover inward projections. Given as A4 Out Side Fillet Only For Exam No Interior Projection on the Examination! e. The required cross-sectional area shall be the area of the shell or head required to resist pressure which is given as A. If the sum of A1+A2+A4 is equal to or greater than A the opening is adequately reinforced If not, more reinforcement must be added. Usually this will be in the form of a reinforcement pad. Its area is found as follows: A - (A1+A2+A4) = Area required for the re-pad, thicker nozzle or, shell wall if the sum of the three is less than A.
  • 97.
    96 This type ofproblem can get complicated very quickly because of the number of steps involved. However, the API 510 Exam Body of Knowledge has simplified this type of problem by doing this: a. There will be no inward projection for the nozzle. b. The nozzle will enter at 90 degrees to the shell or head (All F values are set to 1.0). c. The opening will not pass through a Category A weld (All E values are set to 1.0). d. Nozzles and shell will be of the same strength (All fr1, fr2 etc. values are set to 1.0). e. Actual thickness and required thickness of shells and nozzles will be given within the problem (No calculation for tr or tr n will be required). f. The inspector should be able to compensate for corrosion allowance. Weld strength calculations are excluded. The API 510 Body of Knowledge has placed the following limits on reinforcement problems. The inspector should: a. Understand the key concepts of reinforcement. 1. Replacement of strength removed 2. Limits of reinforcement 3. Credit can be taken for extra metal in the shell and nozzle b. Be able to calculate the required size of a reinforcement pad or to assure a designed pad is large enough. To simplify the problem: 1. All fr = 1.0 2. All F = 1.0 3. All E = 1.0 4. All thicknesses are given. 5. There will be no nozzle projecting inside the shell.
  • 98.
  • 99.
  • 100.
    99 The revised formula Calculationof Reinforcement Example: For our example we will use the case given in Appendix L-7 Number 1. This is a simple case but serves to introduce the concepts required to begin to understand what is required to calculate compensation problems. It is suggested that when practicing these problems, or for that matter any of the others that you remove, if needed, the page which gives nomenclature for the symbols used in the formulas you are applying, also any figures or tables that may be needed. In this way you will not need to flip back and forth and there will be less chance for mistakes.
  • 101.
    100 FIG. L-7.1 EXAMPLEOF REINFORCED OPENING OPENINGS AND REINFORCEMENTSL-7 WELDED CONNECTIONSL-7.1 Example 1 A 4 inch I.D., 3/4 in. wall, nozzle conforming to a specification with an allowable stress of 15,000 psi is attached by welding to a vessel that has an inside diameter of 30 in. and a shell thickness of 3/8 in. The shell material conforms to a specification with an allowable stress of 13,700 psi. The internal design pressure is 250 psi at a design temperature of 150°F. There is no allowance for corrosion. The longitudinal joint meets the spot examination requirements of UW-52. The opening does not pass through a vessel Category A joint (see UW-3). There are no butt welds in the nozzle. Check the construction for full penetration groove-weld and for the 3/8 in. fillet cover-weld shown in Fig. L-7.l Size of weld required [UW-16(c), Fig. UW-16.1 sketch (c)]: tc = not less than the smaller of ¼ in. or 0.7 tmin where; tmin = lesser of 3/4 in. or the thickness less corrosion allowance of the thinner part joined = lesser of 3/4 in. or 3/8 in. tc (minimum) = lesser of ¼ in. or 0.707 (3/8), i.e., 1/4 in. or 0.263 in. tc (actual) =0.7 (0.375) = 0.263 in. 0.263 in > 0.25 in Cover weld is satisfactory. Strength calculations for attachment welds are not required for this detail which conforms to Fig. UW-16.1 sketch (c) [see UW-15(b)] fr1 = fr2 = 15.0/ 13.7 > 1.0; Therefore, use fr1 = fr2 = 1.0 Continued Area of reinforcement required A1 = Larger of following A1 = d(t-tr) = 4(0.375-0.277) 0.392 sq. in A1 = 2(t+tn)(t-tr) = 2(0.75+0.375)(0.375-0.277) = 0.220 sq. in. A2 = Smaller of following A2 = 5(tn-trn)t = 5(0.75-0.034)0.375 = 1.34 sq. in. A2 = 5(tn-trn)tn = 5(0.75-0.034)0.75 = 2.69 sq. in. A41 = 2 x 0.5 x (0.375)2 = 0.141 sq in. Area provided by A1 + A2 + A41 = 0.392+1.37+0.141 = 1.88 sq. in. No Additional reinforcement is required!
  • 102.
    101 Lesson 10 Materials, NamePlates, and Data Reports UG-77 Material Identification The material for pressure parts must be handled in a particular way per the Code. For instance, the Code specifies that materials for parts of a vessel should be laid out and marked in such a way as to easily maintain traceability after the vessel is completed. Several techniques for identification markings are allowed and are described in this paragraph. Stamping is the preferred method of marking vessel parts; however, as built drawings and tabulation sheets are also acceptable. The manufacturer must maintain trace ability to the original markings.For instance, when cutting parts for the vessel from plate the heat number stamped on the piece of plate should be transferred prior to cutting the plate. They may be transferred immediately after cutting if a provision for control of such transfers has been made in the Manufacturer's Quality Control System. If a particular material should not be die stamped, plates must be made and attached with the required markings. A record of these markings must be maintained which will allow positive identification of the vessel parts after construction. The part manufacturer can use only materials allowed by the Code. If a Code vessel manufacturer buys parts that are formed, such as heads, from another, the manufacturer of the head shall transfer the markings as applies to the material specification that the part is made from. In addition, the part Manufacturer must supply a Partial Data Report. A Manufacturer's Partial Data Report is not required if the part was formed or forged, etc., without the use of welding. The markings of the Part Manufacturer must be present on the part.The highlights of this paragraph are as follows: 1. Plate is the only pressure vessel material that must always have a Mill Test Report (MTR) or Certificate of Compliance (C of C) provided. The inspector shall examine these documents for compliance to the material specification. 2. All other product forms must be marked in accordance with their material specification. For example, pipe marked SA-106 gr. B. 3. All materials to be used in a vessel must be inspected before fabrication to find as best as is possible defects, which would affect the safety of the vessel. The following describes the inspections required. a. Cut edges of and parts made from rolled plate for serious laminations, shearing cracks, etc. b. Materials, which will be impact tested, must be examined for surface cracks. c. When forming a Category C corner joint as shown in fig. UW 13.2 with flat plate thicker than 1/2 in., the flat plate must be examined before welding by magnetic particle or dye penetrant nondestructive examination. d. The inspector must assure himself that thickness and other dimensions of the material comply with the requirements of this Division. e. The inspector must verify welded repairs to defects.f. The inspector must verify that all required tests have been performed and are acceptable (impact tests, NDE etc.). g. The inspector must confirm material identification has been properly transferred. h. The inspector must confirm that there are no dimensional or material defects, perform internal and external inspections and witness pressure tests.
  • 103.
    102 UG-116 Required Marking The markingapplied to a vessel's nameplate or directly to its shell are described in this paragraph. It is important information. Often a vessel's Data Report is lost and the only information that is available is that found on the Name Plate or the shell itself. In some cases the Name Plate is missing or sand blasted and not readable. The following is a listing of what is required by the Code to be present on the Name Plate. Required Marking UG-116 (a) Each pressure vessel shall be marked with the following: (1) (a) The official Code U Symbol shown in Fig. UG-116 sketch (a) on vessels inspected in accordance with the requirements in UG-90 through UG-97 (when inspected by a user's Inspector as provided in UG-91, the word USER shall be marked above the Code Symbol); or (b) The official UM Symbol shown in Fig. UG-116 sketch (b) on vessels constructed in accordance with the provisions in U- 1 (j). (2) Name of the Manufacturer of the pressure vessel preceded by the words "certified by"; (3) Maximum allowable working pressure _____________at temperature _____________. (4) Maximum allowable external working pressure at temperature ; (5) Minimum design metal temperature at maximum allowable working pressure; (6) Manufacturer's serial number; (7) Year built. (b) (l) The type of construction used for the vessel shall be indicated directly under the Code Symbol by applying the appropriate letter(s) as follows: vessels having Category A, B, or C joints (except nozzles or other openings and their attachment) in or joining parts of the vessels:
  • 104.
    103 (2) Vessels embodyinga combination of types of construction shall be marked to indicate all of the types of construction used. (c) When a vessel is intended for special service and the special requirements have been complied with [see UG-120(d)], the appropriate lettering shall be applied as listed below: Lethal Service L Unfired Steam Boiler UB Direct Firing DF This lettering shall be separated by a hyphen and applied after the lettering of (b) above. (e) When radiographic or ultrasonic examination has been performed on a vessel in accordance with UW-1 I, marking shall be applied under the Code Symbol as follows: (1) "RT 1" when all pressure-retaining butt welds, other than Category B and C butt welds associated with nozzles and communicating chambers that neither exceed NPS 10 (DN 250) nor 1-1/8 in. (29 mm) wall thickness [except as required by UHT-57(a)], satisfy the full radiography requirements of UW-1 l(a) for their full length; full radiography of the above exempted Category B and C butt welds, if performed, may be recorded on the Manufacturer's Data Report; or (2) "RT 2" when the complete vessel satisfies the requirements of UW-1 l(a)(5) and when the spot radiography requirements of UW-11(a)(5)(b) have been applied; or (3) "RT 3" when the complete vessel satisfies the spot radiography requirements of UW-11 (b); or (4) "RT 4" when only part of the complete vessel has satisfied the radiographic requirements of UW- 11(a) or where none of the markings "RT 1," "RT 2," or "RT 3" are applicable. The extent of radiography and the applicable joint efficiencies shall be noted on the Manufacturer's Data Report.
  • 105.
    104 The letters HTmust be used when the entire vessel has been Postweld heat treated. The letter PHT when only part of the vessel has received partial Postweld heat treatment. Code symbol must be applied after hydro or pneumatic test. Parts of vessels for which Partial Data Report are required shall be marked by the parts manufacturer with the following: a. "PART" b. Name of the Manufacturer c. The manufacturer's serial number. UG-119 Nameplates In this paragraph are the details of nameplates, including such things as the size and methods of markings allowed. The nameplate must be located within 30 in. of the vessel and must be thick enough to resist distortion when stamping is applied. The types of acceptable attachment types include welding, brazing, and tamper resistant mechanical fasteners of metal construction. Adhesive attachments may be used if the provisions of Appendix 18 are met. An additional nameplate may be used if it is marked with the words "DUPLICATE". On previous tests some questions have come from this paragraph. UG-120 Data Reports Data Reports must prepared on form U-1 or U-1A for all vessels that the Code Symbol will be applied to. The Manufacturer and the Inspector must sign them. A single Data Report may represent all vessel made in the same day production run if they meet all of the requirements listed in UG-120. A copy of the Manufacturer's Data Report must be furnished to the User and upon request the Inspector. The manufacturer must either keep a copy of the Data Report on file for 5 years or register the vessel and file the Data Report with the National Board of Boiler and Pressure Vessel Inspectors.
  • 106.
    105 Lesson 11 Corrosion Calculations CorrosionExample Problems A 60 foot tower consisting of four (4) shell courses was found to have varying corrosion rates in each course. Minimum wall thickness readings were taken after 4 years and 6 months of service. All original wall thicknesses included a 1/8" corrosion allowance. The top course's original thickness was .3125". The present thickness is .3000". The second course downward had an original thickness of .375". During the inspection it was found to have a minimum wall thickness of .349". The third course was measured at .440" its original thickness was .500". The bottom course had an original thickness of .625" and measured to be .595".Determine the metal loss for the top course, the corrosion rate for the second course, the corrosion allowance remaining in the third course, the retirement date for the bottom course. Solutions TOP COURSE: Metal loss equals the previous thickness minus the present thickness. Previous .3125" Present -.3000" .0125" Metal Loss SECOND COURSE Corrosion rate equals metal loss per given unit of time. Previous .3750“ Present - .3490" .0260" Corrosion Rate s = = .006"/ Per Year (rounded) years Time Loss 5 . 4 " 0260 .
  • 107.
    106 THIRD COURSE Remaining CorrosionAllowance equals the actual thickness minus the required thickness. Original Thickness .500" Original C. A. -.125" Required Wall Thickness .375" Actual Wall Thickness .440" Required Wall -.375" Remaining C.A. .065“ BOTTOM COURSE Remaining life equals the remaining corrosion allowance divided by the corrosion rate. 1. Required Thickness Original Thickness . 625" Original C. A. -.125" Required Thickness .500“ 2. Remaining Corrosion Allowance Actual Wall Thickness .595“ Required Thickness -.500" Remaining Corr. Allow ..095“ 3. Corrosion Rate Original Thickness .625" Present Thickness -.595“ Metal Loss .030" Metal Loss .030“ = Corrosion Rate = .0067"/Yr. Time 4.5 Years 4. Remaining Life Corrosion Allowance.095“ = 14.2 Yrs. Remaining Life Corrosion Rate .0067"/Yr.
  • 108.
    107 Just Milling Around Inthe previous examples we calculated using decimal fractions of an inch such as .006”. However questions on the exam often have the format of Mils or thousandths of and inch. So if you are not familiar with this terminology here are some examples. .1 = 1/10 of an inch .01 = 1/100 of an inch .001 = 1/1000 of an inch or 1 Mil. This is what is used. Take our example above .006” this translates to 6 Mils. .0067” translates to 6.7 Mils. Time A year has 12 parts. The next issue is how you handle the odd months in a year. It is all good when it has been an even number of years. However what about 2 years and 5 months? Five months is 5/12th of a year. 5/12 = .416 years rounded to 3 places. Of course 6 months is then 6/12 or .5 years. Example: Based on 4.416 years and a metal loss of 50 Mils we have; Metal Loss 50 Mils = Corrosion Rate = 11.3 Mils/Yr.
  • 109.
    108 Time 4.416 Years Canthere be two Corrosion Rates? Yes, in the API 510 there are, the Long Term and Short Term. Here is the Long Term. From API 510 7.1 page 7-1 The long term corrosion rate (LTCR) shall be calculated from the following formula: The short term corrosion rate shall be calculated from the following formula: tinitial = the thickness, in inches(millimeters), at the same location as t actual measured at the initial installation or at the commencement of a new corrosion rate environment. tprevious = the thickness, in inches(millimeters), at the same location as t actual measured during a previous inspection. Long-term and short-term corrosion rates should be compared to as part of the data assessment. The authorized inspector, in consultation with a corrosion specialist, shall select the corrosion rate that best reflects the current process.
  • 110.
    109 Corrosion Example Problems Example: Avessel shell had a second set of ultrasonic thickness measurements after 1 year of service, the original baseline wall thickness was 0.500”, and the second set revealed that the shell was now at 0.489”. Five years later a third set of wall readings were taken and the shell was measured to be 0.459”. What value should be used in the Remaining Life calculations? Comparing short term to long term corrosion we find the following values. Normally the most aggressive will be used and in this case it will be the Long Term Corrosion Rate. L.T. = = 6.8 Mils/ year S.T. = = 6 Mils/ year The remaining life of the vessel shall be calculated from the following formula: Remaining life (years) = tactual = the actual minimum thickness, in inches determined at the time of inspection for a given location or component. trequired = the required thickness in inches at the same location or component as the t actual measurement computed by the design formulas (e.g. , pressure and structural) before corrosion allowance and manufacturer’s…. years 6 0.459 0.500- years 5 0.459 - 0.489
  • 111.
    110 Example: Determine Remaininglife of the vessel shell course in the example above. T required thickness of the shell course is 0.388” (known as tminimum). Compare S.T. and L.T. corrosion rates as follows: S.T. rate = 0.006” or 6 Mils a year L.T. rate = 0.0068” or 6.8 Mils a year Therefore we will use the most aggressive corrosion rate found to be the Long Term Rate. Remaining life (years) = What would be the maximum length of time before the next inspection? ANS: ½ the Remaining Life or 10 years whichever is less. Therefore: 17.79/2 = 8.895 years What would be the maximum length of time before the next inspection? From: API 510 page 6-2 6.4 Internal an On-Stream Inspection The period between internal or on-stream inspections shall not exceed one half the estimated remaining life of the vessel based on corrosion rate or 10 years, whichever is less. In cases where the remaining safe operating life is estimated to be less than 4 years, the inspection interval may be the full remaining safe operating life up to a maximum of 2 years.ANS: ½ the Remaining Life or 10 years whichever is less. Therefore: 17.79/2 = 8.895 years Yrs Mils Mils 79 . 17 8 . 6 121 " 0068 . 0 " 121 . 0 year a 0.0068" 0.338" - 0.459"   
  • 112.
    111 Corrosion and MinimumThickness For a corroded area of considerable size in which the Circumferential Stress Govern, the least thickness along the most critical element of the area may be averaged over a length not exceeding the following: 1. For vessels with the inside diameters less than or equal to 60 inches one half the vessel diameter or 20 inches whichever is less 2. For vessels with the inside diameters greater than 60 inches one third the vessel diameter or 40 inches whichever is less. When the area contains an opening the distance on either side of the opening within which the thicknesses are averaged shall not extend beyond the limits of the reinforcement as defined in the ASME Code. See Fig. UG-37 and refer to reinforcement calculations for determining the extra metal in the shell. For Limits: d ( t – tr) or 2(t + tn) ( t – tr) Use the Larger
  • 113.
    112 Widely scattered pitsmay be ignored as long as the following are true: 1. The remaining thickness below the pit is greater than one-half the required thickness. (1/2 t required) 1.0” – 0.125” = 0.875” the required thickness Therefore no pit equal to 0.875”/2 = 0.4375” or greater! Pit #3 à 0.402 < 0.4375” Acceptable. 2. The total area of the pits does not exceed 7 square inches (45 sq. centimeters) within any 8 inch (20 centimeter) diameter circle. We will assume the pits to be circles and use the formula Pi x Radius Squared to determine the area of each pit. Pit # One 3.141 x (0.170/2) 2 = 0.085 2 = 0.0226 sq. in. Pit # Two 3.141 x (0.330/2) 2 = 0.165 2 = 0.0855 sq. in. Pit # Three 3.141 x (0.250/2) 2 = 0.125 2 = 0.0490 sq. in. Pit # Four 3.141 x (0.377/2) 2 = 0.1185 2 = 0.1116 sq. in. Total: 0.2678 sq. in. Less than 7 sq. inches Acceptable 3. The sum of their dimensions along any straight line within the circle does not exceed 2 inches Straight line for pits 1-3-4 #1. 0.170” #3. 0.250” #4. 0.377” Total 0.797” < 2 inches Acceptable
  • 114.
    113 Weld Evaluation When thesurface at a weld with a joint factor other than 1.0 as well as the surfaces remote from the weld is corroded, an independent calculation using the appropriate weld joint factor must be made to determine if thickness at the weld or remote from the weld governs the allowable working pressure. For this calculation the surface at a weld includes 1 inch on either side of the weld, (measured from the toe of the weld), or twice the minimum thickness on either side of the weld, whichever is greater. Head Evaluation When measuring the corroded thickness of ellipsoidal and torispherical heads the governing thickness may be as follows: 1. The thickness of the knuckle region with the head rating calculated by the appropriate head formula. 2. The thickness of the central portion of the dished region in which case the dished region may be considered to be a spherical segment whose allowable pressure is calculated by the Code formula for spherical shells.
  • 115.
    114 3. For calculatingthe spherical portion using the spherical formula the following applies to find the spherical radius L: a. L = the OD of the Torispherical head b. L = the ID of the shell times 90% for 2 to 1 Ellipsoidal heads
  • 116.
    115 Lesson 12 Overview Section IXArticle I Welding General Requirements QW – 100 GeneralSection IX of the ASME Boiler and Pressure Vessel Code relates to the qualification of welders, welding operators, brazers, and brazing operators, and the procedures that they employ in welding and brazing. It is divided into two parts: Part QW gives requirements for welding and Part QB contains requirements for brazing. • Other Sections of the Code may specify different requirements than those specified by this Section. Such requirements take precedence over those of this Section, and the manufacturer or contractor shall comply with them. QW – 100.1 A Welding Procedure Specification•(WPS) is a written document that provides direction to the welder or welding operator for making production welds in accordance with Code requirements. • When a WPS is to be prepared by the manufacturer or contractor, it must address, as a minimum, the specific variables, both essential and nonessential, as provided in Article II for each process to be used in production welding. • As a minimum, the PQR shall document the essential variables and other specific information identified in Article II for each process used during welding the test coupon and the results of the required testing. QW – 100.2• In performance qualification, the basic criterion established for welder qualification is to determine the welder’s ability to deposit sound weld metal. • The purpose of the performance qualification test for the welding operator is to determine the welding operator’s mechanical ability to operate the welding equipment. QW – 141 Mechanical Tests Mechanical tests used in procedure or performance qualification are as follows: QW – 141.1 Tension Tests QW – 141.2 Guided-Bend Tests …as described in QW-150 are used to determine the ultimate strength of groove-weld joints. …as described in QW-160 are used to determine the degree of soundness and ductility of groove- weld joints. QW – 142 Special Examinations for Welders•Radiographic examination may be substituted for mechanical testing of QW-141 for groove-weld performance qualification as permitted in QW-304 to prove the ability of welders to make sound welds. • Note Radiography can not be used to qualify a Welding Procedure. Only a welder can be tested by radiography and then only on the metals listed in QW-304
  • 117.
    116 QW – 151.1Reduced Section – Plate Reduced section specimens conforming to the requirements given in QW-462.1(a) may be used for tension tests on all thicknesses of plate. (a) For thicknesses up to and including 1 in a full thickness specimen shall be used for each required tension test. (b) For plate thickness greater than 1 in., full thickness specimens or multiple specimens may be used, provided QW-151.1(c) and QW-151.1(d) are complied with. (c) When multiple specimens are used, in lieu of full thickness specimens, each set shall represent a single tension test of the full plate thickness. Collectively, all of the specimens required to represent the full thickness of the weld at one location shall comprise a set. (d) When multiple specimens are necessary, the entire thickness shall be mechanically cut into a minimum number of approximately equal strips of a size that can be tested in the available equipment. Each specimen of the set shall be tested and meet the requirements of QW-153 Example: 3.5” (89 mm) in 1” (25 mm) Capacity TS Machine
  • 118.
    117 QW – 152Tension Test Procedures The tension test specimen shall be ruptured under tensile load. The tensile strength shall be computed by dividing the ultimate total load by the least cross sectional area of the specimen as calculated from actual measurements made before the load is applied. Example: .750 width x .456 thick = .342 sq. inch (area) 24050 lbs/.342 sq. inch = 70,321.6 Pounds Sq. Inch AREA SQ INCHES (MM) . . X LOAD TENSILE STRENGTH
  • 119.
  • 120.
    119 QW-153 Acceptance CriteriaTension Tests Minimum values for procedure qualification are provided under the column heading “Minimum Specified Tensile, ksi” of QW/QB- 422. In order to pass the tension test, the specimen shall have a tensile strength that is not less than: (a) The minimum specified tensile strength of the base metal; or (b) The minimum specified tensile strength of the weaker of the two, if base metals of different minimum tensile strengths are used; or… (c) The minimum specified tensile strength of the weld metal when the applicable Section provides for the use of weld metal having lower room temperature strength than the base metal; or… (d) If the specimen breaks in the base metal outside of the weld or weld interface, the test shall be accepted as meeting the requirements, provided the strength is not more than 5% below the minimum specified tensile strength of the base metal. (Note: (d) will be the acceptance paragraph for the majority of welding procedures and used during the WPS/PQR review.) QW – 163 Acceptance Criteria – Bend TestsThe weld and heat-affected zone of a transverse weld-bend specimen shall be completely within the bent portion of the specimen after testing. The guided-bend specimens shall have no open discontinuities in the weld or heat-affected zone exceeding 1/8 in. (3.2 mm), measured in any direction on the convex surface of the specimen after bending. Open discontinuities occurring on the corners of the specimen during testing shall not be considered unless there is definite evidence that they result from lack of fusion, slag inclusions, or other internal discontinuities. QW-171 Notch Toughness Tests Charpy V-Notch QW-171.1 General Charpy V-notch impact tests shall be made when required by other Sections. Test procedures and apparatus shall conform to the requirements of SA-370. QW-171.2 Acceptance The acceptance criteria shall be in accordance with the Section specifying impact requirements. QW-171.3 Location and Orientation of Test Specimen The impact test specimen and notch location and orientation shall be as given in the Section requiring such tests.
  • 121.
    120 QW-191 Volumetric NDE QW-191.1Radiographic Examination QW-191.1.1 Method (a) A written radiographic examination procedure is not required. (b) The requirements of T-285 Article 2 of Section V are to be used only as a guide. QW-191.1.2 Acceptance Criteria Welder and welding operator performance tests by radiography of welds in test assemblies shall be judged unacceptable when the radiograph exhibits any imperfections in excess of the limits specified below. (a) Linear Indications (1) Any type of crack or zone of incomplete fusion or penetration (2) Any elongated slag inclusion which has a length greater than (a) 1⁄8 in. (3 mm) for t up to 3⁄8 in. (10 mm), inclusive (b) 1⁄3t for t over 3⁄8 in. (10 mm) to 21⁄4 in. (57 mm), inclusive (c) 3⁄4 in. (19 mm) for t over 21⁄4 in. (57 mm) (3) Any group of slag inclusions in line that have an aggregate length greater than t in a length of 12t, except when the distance between the successive imperfections exceeds 6L where L is the length of the longest imperfection in the group QW-191.1.2.3 Production Welds. The acceptance criteria for welders or welding operators who qualify on production welds by radiography as permitted in QW-304.1 or QW-305.1 shall be per QW-191.1.2.2. QW-191.2 Ultrasonic Examination QW-191.2.1 Method (a) The ultrasonic examination in QW-142 for welders and in QW-143 for welding operators may be conducted on test welds in material 1⁄2 in. (13 mm) thick or greater. (b) Ultrasonic examinations shall be performed using a written procedure verified by the manufacturer to be in compliance with paragraph T-150, Article 1, Section V and the requirements of Article 4, Section V for methods, procedures, and qualifications. (c) Ultrasonic examination personnel shall meet the requirements of QW-191.2.2. QW-191.2.2 Personnel Qualifications and Certifications (a) The Manufacturer shall verify all personnel performing ultrasonic examinations for welder and welding operator qualifications have been qualified and certified in accordance with their employer’s written practice. (b) The employer’s written practice for qualification and certification of examination personnel shall meet all applicable requirements of SNT-TC-1A1 for the examination method and technique. (c) Alternatively, the ASNT Central Certification Program (ACCP) or CP-1891 may be used to fulfill the examination and demonstration requirements of SNT-TC-1A and the employer’s written practice.
  • 122.
    121 QW-191.2.2 Personnel Qualificationsand Certifications (Continued) (d) Provisions for the training, experience, qualification, and certification of NDE personnel shall be described in the Manufacturer’s Quality Control System. QW-191.2.3 Acceptance Criteria for Qualification Test Welds. Indications shall be sized using the applicable technique(s) provided in the written procedure for the examination method. Indications shall be evaluated for acceptance as follows: (a) All indications characterized as cracks, lack of fusion, or incomplete penetration are unacceptable regardless of length. (b) Indications exceeding 1⁄8 in. (3 mm) in length are considered relevant, and are unacceptable when their lengths exceed (1) 1⁄8 in. (3 mm) for t up to 3⁄8 in. (10 mm). (2) 1⁄3t for t from 3⁄8 in. to 21⁄4 in. (10 mm to 57 mm). (3) 3⁄4 in. (19 mm) for t over 21⁄4 in. (57 mm), where t is the thickness of the weld excluding any allowable reinforcement. For a butt weld joining two members having different thicknesses at the weld, t is the thinner of these two thicknesses. If a full penetration weld includes a fillet weld, the thickness of the throat of the fillet shall be included in t. QW-191.2.4 Acceptance Criteria for Production Welds The acceptance criteria for welders or welding operators who qualify on production welds by ultrasonic examination as permitted in QW-304.1 or QW-305.1 shall be per QW-191.2.3. QW-191.3 Record of Tests. The results of welder and welding operator performance tests evaluated by volumetric NDE shall be recorded in accordance with QW-301.4.
  • 123.
    122 Article II Welding ProcedureQualifications QW – 200.1 Each manufacturer and contractor shall prepare written Welding Procedure Specifications which are defined as follows: (a) Welding Procedure Specification (WPS). A WPS is a written qualified welding procedure prepared to provide direction for making production welds to Code requirements. (b) Contents of the WPS. The completed WPS shall describe all of the essential, nonessential, and, when required, supplementary essential variables (supplementary variables will not be on the exam) for each welding process used in the WPS.(c) Changes to the WPS. Changes may be made in the nonessential variables of a WPS to suit production requirements without requalification provided such changes are documented with respect to the essential, nonessential, and, when required, supplementary essential variables for each process. This may be by amendment to the WPS or by use of a new WPS. Changes in essential or supplementary essential (when required) variables require requalification of the WPS (new or additional PQR s to support the change in essential or supplementary essential variables). (d) Format of the WPS. The WPS may be in any format, written or tabular, to fit the needs of each manufacturer or contractor, as long as every essential, nonessential, and, when required (not required on the exam), supplementary essential variables outlined in QW-250 through QW-280 is included or referenced. The WPS/PQR forms of Section IX are not mandatory. (e) Availability of the WPS. A WPS used for Code production welding shall be available for reference and review by the Authorized Inspector (AI) at the fabrication site.
  • 124.
    123 QW – 200.2 Eachmanufacturer or contractor shall be required to prepare a procedure qualification record which is defined as follows. (a) Procedure Qualification Record (PQR). A PQR is a record of the welding data used to weld a test coupon. The PQR is a record of variables recorded during the welding of the test coupons. (b) Contents of the PQR. The completed PQR shall document all essential and, when required, supplementary essential variables of QW- 250 through QW-280 for each welding process used during the welding of the test coupon. Nonessential or other variables used during the welding of the test coupon may be recorded at the manufacturer’s or contractor’s option. (c) Changes to the PQR. Changes to the PQR are not permitted except as described below. It is a record of what happened during a particular welding test. Editorial corrections or addenda to the PQR are permitted. An example of an editorial correction is an incorrect P-Number, F-Number, or A-Number that was assigned to a particular base metal or filler metal. An example of an addendum would be a change resulting from a Code change. All changes to a PQR require recertification (including date) by the manufacturer or contractor. (New PQR form and signature) (e) Availability of the PQR. PQR’s used to support WPS’s shall be available, upon request, for review by the Authorized Inspector (AI).. (You have the right to review). The PQR need not be available to the welder or welding operator. (f) Multiple WPS s With One PQR/Multiple PQR s With One WPS. Several WPS’ s may be prepared from the data on a single PQR (e.g., a 1G plate PQR may support WPS’s for the F, V, H, and O positions on plate or pipe within all other essential variables). A single WPS may cover several essential variable changes as long as a supporting PQR exists for each essential and, when required, QW – 200.3 To reduce the number of welding procedure qualifications required, P-Numbers are assigned to base metals dependent on characteristics such as composition, weldability, and mechanical properties, where this can logically be done; and for steel and steel alloys (QW/QB-422) Group Numbers are assigned additionally to P-Numbers. These Group Numbers classify the metals within P-Numbers for the purpose of procedure qualification where notch-toughness requirements are specified. (Group numbers are required on the PQR only when Charpy testing is required of the production welds).
  • 125.
    124 QW-203 Limits ofQualified Positions for Procedures Unless specifically required otherwise by the welding variables (QW-250), a qualification in any position qualifies the procedure for all positions. The welding process and electrodes must be suitable for use in the positions permitted by the WPS. A welder or welding operator making and passing the WPS qualification test is qualified for the position tested. See QW-301.2. QW-211 Base Metal The base metals may consist of plate, pipe, or other product forms. Qualification in plate also qualifies for pipe welding and vice versa. Welding Processes on the Exam  Shielded Metal Arc Welding (SMAW)  Submerged Arc Welding (SAW)  Gas Metal and Flux Core Arc Welding (GMAW –FCAW)  Gas Tungsten Arc Welding (GTAW) QW – 251 General QW – 251.1 Types of Variables for Welding Procedure Specifications (WPS) These variables (listed for each welding process in QW-252 through QW-265) are subdivided into essential variables, supplementary essential variables, and nonessential variables (QW-401). The “Brief of Variables” listed in the Tables are for reference only. See the complete variable in Welding Data of Article IV. QW-251.2 Essential Variables Essential variables are those in which a change, as described in the specific variables, is considered to affect the mechanical properties of the weldment, and shall require requalification of the WPS. Supplementary variables will not be on the exam WPS/PQR review questions. All of the welding processes recognized by Section IX have a table that is referred to as the Brief Of Variables. This Brief of Variables table references full explanations of each variable listed and the explanations are found in Article 4 of Section IX. Well go over some of these tabular variables for each process in order. QW-253 SMAW Take a look now at the top of QW-253 located on Notice the first row of variables listed are QW-402 Joints, with four entries, Groove design, Backing, Root spacing and, Retainers.
  • 126.
    125 Also take noticeof the Legend at the bottom of the page, which explains the symbols used with the variables of the tables QW-402.1 Explains what is meant by this (a change) in groove design. QW-253 QW-402.1 A change in the type of groove (Vee-groove. U-groove, single-bevel, double-bevel, etc.) QW-402.2 The addition or delection of a backing.
  • 127.
  • 128.
    127 The Basic Variablesare Identical in most Processes – Joints – Base Metals Some Variables are shared such as F-Number and some are unique to a Process – Flux Wire Class – Alloy Flux – Supplemental You Should Study All Four Study the differences by reading the complete variable listings in Article IV for each of the processes. SMAW – SAW - GMAW/FCAW - GTAW
  • 129.
    128 Article III Welding PerformanceQualificationsQW-300.1 This Article lists the welding processes separately, with the essential variables that apply to welder and welding operator performance qualifications. A welder or welding operator may be qualified by radiography of a test coupon, radiography of his initial production welding, or by bend tests taken from a test coupon except as stated in QW-304 and QW-305. QW-301.1 Intent of Tests The performance qualification tests are intended to determine the ability of welders and welding operators to make sound welds. QW-301.2 Qualification Tests • The performance qualification test shall be welded in accordance with a qualified (WPS), except that when performance qualification is done in accordance with a WPS that requires preheat or postweld heat treatment, these may be omitted. • The welder or welding operator who prepares the WPS qualification test coupons meeting the requirements of QW-200 is also qualified within the limits of the performance qualifications, listed in QW-304 for welders and in QW-305 for welding operators. • He is qualified only within the limits for positions specified in QW-303. QW-302 Type of Test Required QW-302.1 Mechanical Tests. Except as may be specified for special processes (QW-380), the type and number of test specimens required for mechanical testing shall be in accordance with QW-452. Groove weld test specimens shall be removed in a manner similar to that shown in figures QW-463.2(a) through QW-463.2(g). Fillet weld test specimens shall be removed in a manner similar to that shown in figures QW-462.4(a) through QW-462.4(d) and figure QW-463.2(h). All mechanical tests shall meet the requirements prescribed in QW-160 or QW-180, as applicable. QW-302.2 Volumetric NDE. When the welder or welding operator is qualified by volumetric NDE, as permitted in QW-304 for welders and QW-305 for welding operators, the minimum length of coupon(s) to be examined shall be 6 in. (150 mm) and shall include the entire weld circumference for pipe(s), except that for small diameter pipe, multiple coupons may be required, but the number need not exceed four consecutively made test coupons. The examination technique and acceptance criteria shall be in accordance with QW-191.
  • 130.
    129 QW-302.2 Radiographic Examinations Whenthe welder or welding operator is qualified by radiographic examination, the minimum length of coupon (s) to be examined shall be 6 in. and shall include the entire weld circumference for pipe (s), except that for small diameter pipe, multiple coupons may be required, but the number need not exceed four consecutively made test coupons. The radiographic technique and acceptance criteria shall be in accordance with QW-191. QW-304 Welders Except for the special requirements of QW-380, each welder who welds under the rules of the Code shall have passed the mechanical and visual examinations prescribed in QW-302.1 and QW-302.4 respectively. Alternatively, welders may be qualified by volumetric NDE per QW-191 when making a groove weld using SMAW, SAW, GTAW, PAW, and GMAW (except short-circuiting mode for radiographic examination) or a combination of these processes, except for P-No. 21 through P-No. 26, P-No. 51 through P-No. 53, and P-No. 61 through P-No. 62 metals. Welders making groove welds in P-No. 21 through P-No. 26 and P-No. 51 through P-No. 53 metals with the GTAW process may also be qualified by volumetric NDE per QW-191. The volumetric NDE shall be in accordance with QW-302.2. A welder qualified to weld in accordance with one qualified WPS is also qualified to weld in accordance with other qualified WPSs, using the same welding process, within the limits of the essential variables of QW-350. QW-304.1 Examination. Welds made in test coupons for performance qualification may be examined by visual and mechanical examinations (QW-302.1, QW-302.4) or by volumetric NDE (QW-302.2) for the process(es) and mode of arc transfer specified in QW-304. Alternatively, a minimum 6 in. (150 mm) length of the first production weld(s) made by a welder using the process(es) and/or mode of arc transfer specified in QW-304 may be examined by volumetric NDE. QW-322.1 Expiration of Qualification The performance qualification of a welder or welding operator shall be affected occurs: (a) When he has not welded with a process during a period of 6 months or more, his qualifications for that process shall expire; unless, within the six month period, (1) a welder has welded using manual or semiautomatic welding process which will maintain his qualification. (2) A welding operator has welded with a machine or automatic welding process which will maintain. (b) When there is a specific reason to question his ability to make welds that meet the specification, the qualifications and shall be revoked. All other qualifications not questioned remain in effect.
  • 131.
    130 QW-322.2 Renewal ofQualification (a) Renewal of qualification expired under QW-322.1(a) above may be made for any process by welding a single test coupon of either plate or pipe, of any material, thickness or diameter, in any position, and by testing of that coupon as required by QW-301 and QW-302. (b) Welders and welding operators whose qualifications have been revoked under QW-322.1(b) above shall requalify. Qualification shall utilize a test coupon appropriate to the planned production work. The coupon shall be welded and tested as required by QW-301 and QW-302. Successful test restores the qualification. QW-353 Shielded Metal-Arc Welding (SMAW) Essential Variables Using SMAW as the process the Paragraph Brief of Variables follows: Notice the welder has only essential variables, where as the WPS/PQR can have both essential and non- essential variables.
  • 132.
    131 Article IV Welding Data QW– 401 General A change from one welding process to another welding process is an essential variable and requires requalification. QW – 401.1 Essential Variables (Procedure) A change in a welding condition which will affect the mechanical properties (other than notch toughness) of the weldment (for example, change in P-Number, welding process, filler metal, electrode, preheat or Postweld heat treatment, etc.). QW – 401.2 Essential Variable Performance A change in a welding condition which will affect the ability of a welder to deposit sound weld metal (such as a change in welding process, deletion of backing, electrode, F-Number, technique, etc.). Supplemental Essential Variables are not on the Exam. QW – 401.4 Nonessential Variable Procedure A change in a welding condition which will not affect the mechanical properties of a weldment (such as joint design, method of back gouging or cleaning, etc.). QW-402.1 Here are examples of complete descriptions of two non-essential variables that correspond to the blocks on the SMAW QW-253 Brief of Variables. A change in the type of groove (Vee groove, U-groove, single-bevel, double-bevel, etcetera). QW-402.2 The addition or deletion of a backing
  • 133.
    132 QW- 420.1 P-Numbers/S-Numbers willbe Limited to Welding Only
  • 134.
  • 135.
    134 QW-424 Base Metals forProcedure Qualification
  • 136.
  • 137.
    136 7 Pages ofFiller Metal Numbers
  • 138.
    137 This table listswhat a welder is qualified for based on F-Number used during a test
  • 139.
    138 QW-433 All otherF-numbers are listed in this table
  • 140.
  • 141.
  • 142.
    141 QW-461.4 Welding Test Positionsfor Plate and Pipe Groove Welds
  • 143.
    142 QW-461.9 Summary of Welder'sQualifications Based on Type of Test
  • 144.
    143 Lesson 13 Writing aWelding Procedure Specification SECTION IX Qualifying a Welding Procedure by Essential Variables When qualifying a welding procedure you must first determine the important properties of the planned weldment which then become the essential variables. The basic ones are: • Base metal to be welded and thickness (T) required. • Process (es) to be used including filler metal (s). • Preheat. • Postweld heat treatment or the lack thereof. • Various others specific to the welding process used. For this instruction we will use the SMAW Process. The brief of Essential, Supplementary Essential and Non-Essential Variables for the SMAW process are listed in table QW-253. However this part of the course will only cover Essential Variables not the supplementary or non-essentials. The non-essentials will be covered latter. A definition of these variables follows. Essential Variable – A variable that if changed requires requalification of the procedure by the welding and testing of a new coupon or support from a previously qualified Procedure Qualification Record (PQR), i.e. a change in the base metal thickness (T) qualified. Supplementary Essential – An essential variable that is used only when impact testing of a base metal is required by a construction code, i.e. a change from one P-No Group to another such as P1 Gr.1 to Gr.2 Non-Essential – A variable that can be changed as needed to suit production requirements without requalification. A change in the groove design, etc.
  • 145.
    144 QW-253 SMAW Briefof Variables We will start our discussion with the top half of the SMAW brief of variables, beginning with the first two Essential Variables, Base Metal and Filler Metal. Notice that each variable references a paragraph in Article 4. For example under Base Metals we have the entry  T qualified which is referenced to paragraph QW- 403.8 Defining Each Essential Variable “Base Metals QW-403.8 - A change in base metal thickness beyond the range qualified in QW-451, except as otherwise permitted by QW-202.4(b).” Paragraph QW-202.4(b) addresses joining metals of different thickness. Not on exam This means if you have a thickness range allowed based on the thickness of the PQR test coupon as is determined in QW-451.1. If you wish to change the WPS to weld thicker or thinner than allowed by the present PQR the WPS must be re-qualified by the welding of an additional coupon or by providing a previously performed PQR that fully qualifies the new or revised WPS for all essential variables, including the new thickness range.
  • 146.
    145 Base Metals • Changein Thickness (T) qualified. • QW-403.8 A change in base metal thickness beyond the range qualified in QW-451, except as otherwise permitted by QW-202.4(b) (different thickness at the joint) • Of concern is the thickness range qualified by the supporting PQR (s) for the WPS, from less than a 1/16” to less than 1-1/2” it is 2 x T. To weld a thickness outside the range supported by the PQR the WPS production welding changes must be supported by providing an additional PQR from file or by welding a new PQR test coupon. • t (weld metal) pass greater than 1/2” • QW-403.9 For single-pass or multi-pass welding in which any pass (means layer of weld metal) is greater than 1/2 in. (13 mm) thick, an increase in base metal thickness beyond 1.1 times that of the qualification test coupon. • The thickness range is affected. It will be restricted to 1.1 T as given above if you deposit more than 1/2” of weld metal in a single pass (layer). This has to do with heat input. A single pass refers to the number of weld beads required to fill up a layer of weld metal in the joint. If the single layer/pass, t (deposited weld metal), exceeds 1/2” in thickness the WPS will be restricted to 1.1 x T production welding.
  • 147.
    146 Alternate Base Metalsfor Procedures • QW-403.11 • Base metals specified in the WPS shall be qualified by a procedure qualification test which was made using base metals in accordance with QW-424. Base Metal (s) Used for Procedure Qualification Test Coupon Versus Base Metal Qualified for production QW-424
  • 148.
    147 Let’s examine someof the items in the table.One Metal from a P-No to Any Metal from the Same P-No such as P1 to P1 which qualifies all P1 metals, i.e. pipe and/or plate. One metal from a P-No to any metal from any other P-No, we will Use P-No.1 to P- No.8 as an example. Other combinations are possible, P Nos. 1 to 3, P Nos.3 to 4 etc. One metal from P-No 3 To any other metal from P-No. 3 One metal from P No. 3 to any other metal from P No. 3 Also qualifies P No. 3 to P No. 1. However, one metal from P No. 3 to any metal from P No. 3 does not qualify P No. 1 to P No. 1
  • 149.
    148 One metal fromP-No.4 to any other metal from P-No.4 One metal from P No.4 to any other metal from P No.4 also qualifies P No.4 to 4, 3 and, 1. It qualifies one metal from P No. 4 to any metal from P No. 4, 3 or 1, but does not qualify P No. 3 to P No. 3 or P No. 1 to P No.1
  • 150.
    149 Quiz Using the tablelist the base metals qualified if we successfully weld a procedure coupon joining P-No. 5A to P-No. 5A 1. P-No. 5A to P-No. 5A Qualifies? P-No. 5A to __, __, or __. It does not qualify __, __, or __ to each other or to their selves. 2. P-No. 5A to P-No. 4, 3, or 1 Qualifies? P-No. 5A to any metal assigned __,__, or __. It does not qualify __, __, or __ to each other or to their selves.
  • 151.
    150 Filler Metals • Changeof F-Number • QW-404.4 A change from one F-Number in QW-432 to any other F-Number or to any other filler metal not listed in QW-432. • Changing the F-Number on the WPS to one other than that used for the procedure test coupon (PQR). Such as changing from F-No. 1 to F-No. 3. • This rule also applies to a welder’s qualification test by the way.• QW- 404.5 Change of A- Number • A-Nos. are the chemical analysis of the ferrous weld metal deposits produced by a given filler metal. Changing A numbers can change the chemistry and possibly the mechanical properties of the weldment. It also changes the weld add mixture, that part that contains both base metal and weld metal. This occurs when changing filler metals. Changing the A No. to one other than that used to qualify requires a new test or additional PQR (s) from a file (with one exception). And we find the following rule, proving you must read Section IX completely! QW-404.5 (Applicable only to ferrous metals.) A change in the chemical composition of the weld deposit from one A-Number to any other A-Number in QW- 442. Qualification with A-No.1 shall qualify for A-No. 2 and vice versa (Note: all other A- No. changes will force requalification). (Note: all other A- No. changes will force requalification of the procedure). The definition of A Numbers 1 and 2 as listed in IX How are they different? We need to examine Section IX A numbers by chemistry and compare those to the AWS and also an electrode manufacturer’s specifications or a particular electrode, first examine the A number listing from Section IX below, looking at the chemistry. The dot dot dot in table below indicates not specified to be present, single values are maximums. i.e. Carbon is limited to 0.20 % maximum for A-No.1
  • 152.
    151 The dot dotdot in table below indicates not specified to be present, single values are maximums. i.e. Carbon is limited to 0.20 % maximum for A-No.1 Filler Metals Consider the following filler metals for the SMAW process. 1. E-7018 which has an A-Number of 1. 2. E-7018A1 which has an A-Number of 2 Compare the chemistry tables of the IX A–Nos. to Section II Part C Filler Metals and to a Hobart filler metal manufacturer Data Sheet.
  • 153.
    152 From Section IXQW-442 A No. 1 by Max. % C 0.20/ Cr…/ Mo…/ Ni…/ Mn 1.60/ Si 1.00 From Section II Part C / E-7018 SFA 5.1 A No. 1 contains by % C 0.20/ Cr…/ Mo…/ Ni…/ Mn 1.60/ Si 1.00 Hobart’s Data Sheet for E-7018
  • 154.
    153 Comparing All Threefor E-7018 Mn 0.88 Si 0.37 Ni .019 Mo .009 Cr .043 C 0.07 Hobart Data Mn 1.60 Si 0.75 Ni 0.30 Mo 0.30 Cr 0.20 C … SFA- 5.1 Sect. II C Mn 1.60 Si 1.00 Ni --- Mo --- Cr --- C 0.20 A-No. 1 Section IX Mn 0.88 Si 0.37 Ni .019 Mo .009 Cr .043 C 0.07 Hobart Data Mn 1.60 Si 0.75 Ni 0.30 Mo 0.30 Cr 0.20 C … SFA- 5.1 Sect. II C Mn 1.60 Si 1.00 Ni --- Mo --- Cr --- C 0.20 A-No. 1 Section IX From the Section IX QW-442 A No. 2 by Max. % C 0.15 / Cr 0.50/ Mo 0.40 – 0.65/ Ni…/ Mn 1.60/ Si 1.00 From Section II Part C / E-7018A1 SFA 5.5 A No. 2 contains by Max % C 0.15 / Cr 0.50/ Mo 0.40 – 0.65/ Ni…/ Mn 1.60/ Si 1.00
  • 155.
    154 Hobart’s Data Sheetfor E-7018A1 Comparing All Three for E-7018A1 Mn 0.81 Si 0.44 Ni… Mo 0.43 Cr… C 0.04 Hobart Data Mn 0.90 Si 0.80 Ni… Mo 0.40- 0.65 Cr… C 0.12 SFA- 5.5 Sect. II C Mn 1.60 Si 1.00 Ni… Mo 0.40- 0.65 Cr 0.50 C 0.15 A-No. 2 Section IX Mn 0.81 Si 0.44 Ni… Mo 0.43 Cr… C 0.04 Hobart Data Mn 0.90 Si 0.80 Ni… Mo 0.40- 0.65 Cr… C 0.12 SFA- 5.5 Sect. II C Mn 1.60 Si 1.00 Ni… Mo 0.40- 0.65 Cr 0.50 C 0.15 A-No. 2 Section IX A note on the API Exams. If you are taking any of the three API Exams you will be required to review a WPS and PQR. Part of that review might be a question about the A-Number listed for the filler metal in the documents. This is a protest question. You would need ASME Section II Part C to answer that question. Sect. II Part C is not listed as required for the exam. You have no way of answering!
  • 156.
    155 Filler Metals • Changein the deposited t • QW-404.30 A change in deposited weld metal thickness beyond the range qualified in QW-451 for procedure qualification. • Example: In a SMAW procedure 1/4” of E-6010 was qualified on the PQR by depositing 1/8” in the coupon (2t), the balance of the coupon was filled with E 7018. The need arises to increase the E- 6010 weld metal t to 3/8” in production. This would require a new coupon or an existing PQR. Preheat • A decrease in preheat greater than 100o F • QW-406.1 A decrease of more than 100°F (38°C) in the preheat temperature qualified. The minimum temperature for welding shall be as specified in the WPS. • Example: A PQR coupon was welded with preheat of 250°F (121°C) but the WPS requires a preheat of only 100°F (38°C). This is a 150°F (66°C) decrease below that qualified and will require a new PQR or one from your files to support the lower temperature. QW-406 Preheat -1 -2 -3 Decrease > 100˚F (55˚C) Ø Preheat maint. Increase > 100˚F (55˚C) (1P) X
  • 157.
    156 PWHT • Change inPWHT • QW-407.1 This long paragraph specifies what is considered a change in post weld heat treatments. The changes are P-Number specific with 5 different conditions of PWHT for P Nos. 1,3, 4, 5, 6, 9,10 and, 11. For most of those and all other materials there are two conditions: 1. No PHWT 2. The specified PWHT for the P No. used based on a construction Code. • T Limits (Thickness Limits) • QW-407.4 For a procedure qualification test coupon receiving a post weld heat treatment in which the upper transformation temperature is exceeded, the maximum qualified thickness for production welds is 1.1 times the thickness of the test coupon. • This rule only applies when a production weld will undergo heat treatment at temperature that will alter the base metal’s physical properties, such as normalizing, etc.
  • 158.
    157 Producing the PQR Wehave looked at all of the essential variables for the SMAW process. Let’s put it all together by filling out a SMAW PQR to support a Welding Procedure Specification (WPS). To do this it will be necessary to specify a list of the essential variables for the welding we have planned. From QW-253 we need to address the basic essential variables and the ranges to be used: 1. Base Metal (s) – 2” SA-516 Gr. 70 P-No. 1 2. Filler Metal (s) – E-7018 Only 3. Preheat – 175 o F for P-No.1 (from Sect. VIII Div. 1 non-mandatory Appendix R) 1. PWHT – 1100 o F Minimum per inch of thickness for P-No. 1 (from Sect. VIII Div. 1 UCS-56) First we will fill out the top half of the PQR from the company name to the base metal information on the left side and include a graphic of the joint design used to weld the coupon. Next we will fill out the bottom half of the PQR with the filler metal and preheat on the left side. While not required on the PQR by Section IX the Non-Essential variables will be entered as well.
  • 159.
    158 Now we willfill out the upper half of the PQR with the PWHT metal on the right side. Making the comment Not Applicable in the box for Gas, since the SMAW process does not use shielding gasses. Finally the bottom right, which consists of all non-essential variables. Once again these are not required by Section IX, but may be helpful for meeting a construction code requirement, i.e. Section VIII Div. 1 or B31.3.
  • 160.
    159 Now we startcompleting the back of the PQR. To do so we need some test results for our required tension and bend tests. The tension test specimens are fabricated as given in Section IX QW-462.1(a). . The required number of tension test specimens are 2 as shown in Section IX QW-451.1 The required number of tension specimens are always two, when your coupon exceeds 1”, you are allowed divide the two specimens into multiple pieces. (see QW-151.1 (c) and (d)) The ultimate strength of the tension specimens must be computed as described in QW-152.
  • 161.
    160 • QW-152 TensionTest Procedure The tension test specimen shall be ruptured under tensile load. The tensile strength shall be computed by dividing the ultimate total load by the least cross sectional area of the specimen as calculated from actual measurements made before the load is applied. We must measure each specimen’s width and thickness after machining as shown in QW-462.1(a). Section IX requires two specimens be tested. The data for our specimens was; TS1 - width = .750” thickness = .453” TS2 - width = .753” thickness = .456” Area for each specimen. TS1= .750 x.453 = .340 in.2 TS2= .753 x.456 = .343 in.2 We put the specimens in a tensile tester and pull each one apart;
  • 162.
    161 The specimens werebroke in the tensile tester and the breaking forces as read from the gage on the machine were recorded as follows; TS1 = 25,010 Lbs. TS2 = 24,050 Lbs. Computing the ultimate strength for 1 square inch for each specimen; ‘Load divided by Area’ 25,010/.340 = 73,558 PSI 24,050/.343 = 70,116 PSI We now evaluate the specimens;‘Load divided by Area’ 25,010/.340 = 73,558 PSI 24,050/.343 = 70,116 PSI Observing the character and location of the specimen failures, it was noted that both failed in the base metal outside of the weld heat affected zones and in a ductile manner. We can now record this information on the back side of our Procedure Qualification Record. ‘
  • 163.
    162 But First’ We mustdetermine the required minimum specified strength from Section IX in the P-Number listings. We find that SA-516 Grade 70 has a Minimum Specified Tensile Strength of: 70 KSI = 70,000 Pounds Per Square Inch. Our tensile specimens exceeded the minimum. Now we have one more task to complete. We must do 4 side bend tests. This requirement is found in Section IX along with the accept/reject values for all bend tests. The required type and number of bend tests based on a 1” thick coupon are 4 Side Bend tests. Side bends are mandatory after the coupon thickness reaches 3/4” or larger. We must evaluate the bend specimens to section IX QW-163.
  • 164.
    163 QW-163 - Theguided-bend specimens shall have no open discontinuity in the weld or heat-affected zone exceeding 1/8 in. (3.2 mm), measured in any direction on the convex surface of the specimen after bending. Open discontinuities etc. To see the details for making the bend specimens look at QW-462.2
  • 165.
    164 We evaluated thebend specimens to section IX and had the following comments. Side Bend S1. No open defects acceptable Side Bend S2. 1/32” acceptable Side Bend S3. No open defects acceptable Side Bend S4. No open defects acceptable We have the correct type based on the coupon thickness and the correct number of acceptable side bend tests.We can now fill out the top back of the PQR. All that is left is to fill out the bottom of the back of the PQR. This will be easy, just a few housekeeping items to complete.
  • 166.
    165 Here is thefront side of the complete Procedure Qualification Record
  • 167.
    166 Here is theback side of the complete Procedure Qualification Record
  • 168.
    167 The WPS We havecompleted the Procedure Qualification Record, which is a laboratory report of the welding and testing of a coupon. • From this PQR we will write a Welding Procedure Specification. It must be in complete agreement concerning Essential Variables with the PQR. • The Welding Procedure Specification, must be complete. You must address all of the essential, supplementary essential (if Notch toughness testing is required), and non-essential variables. The best approach is to use of the Brief of Variables found in QW-253 on as an item check list. • We will go line by line and address all of the Essential and Non-Essential variables only and since our WPS will not require toughness testing, Supplementary Essentials will be omitted. Starting in box QW-402 we will address each of the non-essential variables.  Groove Design  Backing  Root Spacing  Retainers
  • 169.
    168 The following ishow it was completed. In box QW-402 we have addressed each of the non-essential variables as follows; • Groove Design – Single Vee, Double Vee, J-Groove and, U-Groove • Backing – The X in both the Yes and No boxes denotes that this WPS may be used with or without backing. • Root Spacing –This is given below Details. • Retainers – Also given below Details. Since we have addressed each of the non-essential variables and thereby giving all the needed Joint information for making a weldment, it is complete for joint design and no one should have to ask what is allowed when using this WPS. Notice that BWC-112A is referenced for the actual details of the various joints, such as included angle of Vee grooves and depths of J and U grooves.
  • 170.
    169 Next QW-403 BaseMetals We have addressed each of the essential variables under Base Metal QW-403. It is complete for P-No., Thickness range and the restriction of No t Pass > 1/2” has been addressed. Supplementary Essentials need not be addressed, since no impact testing is required of this weldment. Next QW-404 Filler Metals We have addressed each of the essential variables under Filler Metal QW-404. It is complete for AWS Classification, F-No., A-No., Size of Filler Metals, and Weld Metal Thickness Range and all essential variable entries are correct. Next the back and top of the WPS We will now complete the Positions, Preheat, Electrical, and Postweld Heat Treatment on the WPS.
  • 171.
  • 172.
    171 1. The Positionsfor use with this WPS are, Flat, Horizontal, Vertical and, Overhead. This instructs that this WPS can be used with all positions. 2. The Preheat minimum is set at 100oF (38oC) which is within 100oF of the PQR actual value of 175oF. 3. The Preheat Maintenance specified as none required. The Electrical Characteristics are; 1. Direct Current Electrode Positive. 2. Amps (I) are set to a range of 90-190 and the Volts (E) are set to a range of 15-25, these values are normally obtained from the filler metal manufacturer’s literature or from actual experience. 3. The rest are not required for SMAW. The Postweld Heat Treatment values are: 1. 1150 +/- 50oF (621+/- 10oC) which is in agreement with the PQR minimum value of 1100oF (593oC) 2. Time at temperature is 1 hour, also in agreement with the PQR. 3. Gas variables are not required for SMAW.
  • 173.
    172 We will nowcomplete the bottom half of the back of the WPS, which consists of the Technique box QW- 410! 1. String or Weave, restricted from 2 to 3 core diameters (core wire exclusive of any coating). 2. Cleaning is limited to Brushing or Grinding. Back Gouging will be by Air Carbon Arc. 3. Multiple Pass, Single Electrode (not required), but often entered. Manual is entered in the heading of the WPS and Peening is listed as not allowed. 4. All others are not SMAW variables.
  • 174.
  • 175.
  • 176.
    175 Lesson 14 Welder PerformanceQualification Test SECTION IX Welder’s Qualifications / Essential Variables We will discuss all of the welder’s essential variables listed in QW-353 for the SMAW process. Shielded Metal-Arc Welding (SMAW) Essential Variables The first essential variable listed is – Backing (Removal of). If a welder is qualified using any type of backing, and asked to perform an open root weld he must retest without backing to be qualified to perform the welding. The Code definition of backing is welding with a backing bar or retainer, welding double sided welds where the weld metal of the first pass is used after gouging/grinding as weld metal backing for the balance of the weld. Fillet and partial penetration welds are also considered welding with backing.The next inline is a change in Pipe Diameter qualified. As pipe diameters become smaller the difficulty for a welder is increased resulting in a higher skill level requirement. So this translates to a change in diameter to one smaller than qualified by the welder’s pipe coupon on a previous test with this process. The ranges of pipe diameters qualified are given in Section IX, QW-452.3 GROOVE-WELD DIAMETER LIMITS As we can see: 1. Under 1 inch (25mm) qualifies the diameter down to the size welded to unlimited diameter, because it is only easier for the welder as the diameter of the Pipe welded increases. Brief of Variables Deletion of Backing Change Pipe Diameter Change in P Number Change in F Number Change in weld t deposited Addition of a position Change from vertical Up to Down or Down to UP progression Paragraph QW 402 Joints .4 QW 403 Base Metals .16 .18 QW 404 Filler Metals .15 .30 QW 405 Positions .1 .3 Brief of Variables Deletion of Backing Change Pipe Diameter Change in P Number Change in F Number Change in weld t deposited Addition of a position Change from vertical Up to Down or Down to UP progression Paragraph QW 402 Joints .4 QW 403 Base Metals .16 .18 QW 404 Filler Metals .15 .30 QW 405 Positions .1 .3
  • 177.
    176 2. From 1inch (25mm) to 2-7/8 inch (73mm) qualifies 1 inch to unlimited. 3. Over 2-7/8 inch (73mm) qualifies 2-7/8 inch to unlimited. QW-353 - Welder Essential Variables P-Numbers P-Numbers serve to group metals by mechanical and chemical properties. So it is reasonable to think that not all metals can be welded using the same technique, or have the same level of difficulty for welders. There are three basic P-No groupings for welder qualifications. If a welder changes to a P-No. group that he/she has not qualified for then a retest is required. We will have a more thorough lesson on Alternate Base Metals later in this course. QW-432 - F Numbers We have now arrived at the Filler Metal Number or F- Number. F- Numbers are a grouping of electrodes and filler metals that weld in a similar way and in general present more or less difficulty for a welder. In other words some F-Number filler metals require different skills than others and must be qualified individually in most cases.The table of F Numbers coming up is read in the following way… • EXX18 stands for all SMAW electrodes ending in 18 such as E-7018, E-7018-A1, 8018-B1 etc. So all of the above are F-Number 4 • EXX10 would be E-6010 with an F-Number of 3 • The XX is the tensile strength 70,000 PSI Finding F-Numbers
  • 178.
  • 179.
    178 QW-433 Alternate F-Numbersfor Welder Performance Qualifications Changing the F Number for a welder may affect his ability to weld and require requalification. There are some provisions for using lower F-Numbers when qualifying with numbers 2 to 4 but, there are restrictions on those qualifications. Examples 1. Using the table QW-433, if a welder qualifies without backing with an electrode assigned to F- Number 4. What F-Numbers can they use with backing in a production weld? 2. What F Numbers can they weld without backing? Notice that the large table only addresses F-Numbers 1 through 5. The rest of the F-Numbers are in a small table along with notes beneath the large table. Let’s have a look at those.
  • 180.
  • 181.
    180 The column ‘Thicknesst, of weld metal in the coupon’ refers to the amount of weld metal from a process or a filler metal. Perhaps a bit of E-6010 and the rest E-7018 or perhaps GTAW root and SMAW fill passes and cap. Example: Assume one welding process, SMAW and one electrode E-7018 using a P-No.1 pipe A coupon thickness of 3/8 inch was welded using E-7018. In the column on the right titled ‘Thickness of weld metal qualified’ we see 2t, so 2 x 3/8” = 3/4” this is the maximum amount of E-7018 (F-No. 4) , that the welder can deposit in production. Suppose now the coupon is 1/2” thick and a welder welds it with 100% E-7018 using 3 weld layers, we see that welder’s limit of deposited weld metal with an F-No.4 is the maximum to be welded. Another combination in the 1/2” coupon 1/8” of E-6010 (F-No.3) and 3/8” of E-7018, by the first column 2 x 1/8” = 1/4” of E-6010 (F-No.3) and 2 x 3/8” = 3/4” of 7018 (F-No.4) The welder can deposit up to 1/4” of any F-No.3 and 3/4” of any F-No.4 with any production WPS he is otherwise fully qualified for, meaning position, diameter, P-No., backing, progression etc.
  • 182.
    181 The next essentialvariable listed is Position. Consider the welding positions versus the welder test positions for a moment. We will use pipe test coupons. Positions for pipe tests are designated by an alphanumeric such as 1G, 1 designates the coupon orientation, in this example the pipe is on the horizontal and is rotated/rolled beneath the welder and is considered to be flat welding. The G means a groove butt weld. The others are 2G, 5G and, 6G. Turn to QW-461.4 in Section IX.QW-461.4 - Groove Welds in Pipe – Test Positions The more difficult the test position, the more positions a welder can perform. The four positions for welding are Flat, Horizontal, Vertical and Overhead. These are referred to as: F, H, V, and O There are corresponding pipe and plate test positions that qualify a welder for F, V, H, and O. We will use pipe in the examples. 1G qualifies F (Rotated) 2G qualifies H 5G qualifies F, V, and O 6G qualifies F, V, H, and O (this yields all positions) Section IX allows combining test positions to produce an all position welder. Therefore if a welder tests in 2G and 5G he/she was tested for all positions. 2G covers H and 5G covers F, V, and O This is equal to 6G that qualifies F, V, H, and O Either of these two yields an all positions welder.
  • 183.
    182 QW-469.1 - PerformanceQualifications - Position and Diameter Limitations All of this information is compiled into one table. In this way you can go straight to a one page table and review a Welder Performance Qualification (WPQ) for position and diameter qualifications.
  • 184.
    183 Notice the entryon the top row right Position and Type Weld Qualified. [Note (1)] Below that Groove Below Groove exists two sub-headings Plate and Pipe Over 24 inches and Pipe less than or equal to 24 inches. Ignoring Fillets because any welder qualified for groove 1G is qualified for the same fillet 1F.
  • 185.
    184 To the leftwe have Qualification Test This has the sub-headings Weld and Position We will use the Pipe-Groove [Note (3)] row. Starting at the top of the table in the Qualification Test column move down and stop at the 1G entry below. To the right we see the entries F F F ignore fillets. Move up at the first F and find Plate and Pipe over 24 in. O.D. is qualified Move up from the second F and find Pipe less than or equal to 24 in. O.D. is qualified. See [Note (3)] Pipe less than or equal to 24 in O.D. is qualified. See [Note (3)] Note (3) See diameter restrictions in QW-452.3, QW-452.4, and QW-452.6 notice that while the welder can weld on pipe in the “position qualified” they are still restricted by the diameters given in the table below on Pipe less than or equal to 24 in O.D. The last essential variable listed is Progression. This is as simple as it gets. If a welder welds Vertically Up (Uphill) during a particular test he is only qualified for vertically up. Should the welder be required to weld Vertically Down (Downhill) he will be required to weld a test coupon (keeping other variables the same) welding Vertically Down. The reverse is also true, qualify Downhill and you must weld another coupon to qualify Uphill.The next series of slides address the alternate base materials for welder qualifications. As you will see a welder can test for example on a P-No.1 base material with a selected F-No. Filler metal and, under the rules of Section IX he can weld many other P-Numbers using the F-No. Used for the test, maintaining all the other essential variables for the welder, position, diameter, etc.
  • 186.
    185 QW 423 –AlternateBase Materials for Welder Qualification versus Base Metal Qualified Base metals used for welder qualification may be substituted for the metal specified in the WPS in accordance with the following in-text table.When a base metal in the left column is used for welder qualification, the welder is qualified to weld all combinations of base metals in the right column including unassigned metals of similar composition to these metals. Warning Base Metal (s) for which the Welder is Qualified P-No. 1 through P-No. 11, P- No. 34, or P-No. 41 through P-No. 47 P-No. 21 through P-No. 25 P-No. 51 through P-No. 53 or P- No. 61 through P-No. 62 Base Metal (s) Used for Welder Qualification P-No. 1 through P-No. 11, P- No. 34, or P-No. 41 through P-No. 47 P-No. 21 through P-No. 25 P-No. 51 through P-No. 53 or P- No. 61 through P-No. 62 Base Metal (s) for which the Welder is Qualified P-No. 1 through P-No. 11, P- No. 34, or P-No. 41 through P-No. 47 P-No. 21 through P-No. 25 P-No. 51 through P-No. 53 or P- No. 61 through P-No. 62 Base Metal (s) Used for Welder Qualification P-No. 1 through P-No. 11, P- No. 34, or P-No. 41 through P-No. 47 P-No. 21 through P-No. 25 P-No. 51 through P-No. 53 or P- No. 61 through P-No. 62
  • 187.
    186 So, all weneed to do is qualify a welder to weld any P-No from the list and he can weld all of the others. This would be great! There is however a problem with this theory. Welders are also limited by the Filler Metal Number (F-No.) used during a test. If a welder qualifies on any P-Number from P 1 through P 11, P 34 or P 41 through P47 he/she is qualified to weld any of those metals together. Be warned - this is further limited by the F-number (s)! If a welder qualifies on P 21 to P 25 they are qualified to weld any of these metals together or any combination of these aluminum alloys together! If a welder qualifies on P 51 to P 53 or P 61 to 62 the welder is qualified to weld any of these metals together or in any combination of Titanium or Zirconium alloy! In theory a welder could be qualified for all the listed base materials by welding just three (3) coupons. Remember our lesson on Filler Metal Numbers (F-Numbers). This is where the welder's limitations become very important. One of the essential variables for a welder is the F- Number of the electrode he qualifies with during a given test. Suppose a welder qualifies with SMAW using an F-No.4 electrode the test coupon is a P-No.1 base material. The welder has qualified to weld P No. 1 to 11, 34 or 41 through 47. So let’s have him weld one of the nickels, a P-No.41. Assume it will be required to make the weld with a filler metal that is designated as a F-No.41 in Section IX. There is a problem, he has not qualified any of those metals with a F-No.41 filler metal. He would have to prove his skill with the F-No.41 filler metal.The welder is qualified for SMAW using a F-No.4 electrode not F-No.41. The welder will have to test again on any of those metals using a SMAW electrode designated as a F-No.41, why because the F-Numbers 4 and 41 are considered to require different skill levels to weld. The F-Number is a welder’s essential variable as well as the procedures. Welders are limited by all of the following essential variables (skill issues), which are in Section IX for the welding processes listed.
  • 188.
    187 QW-353 - ShieldedMetal-Arc Welding (SMAW) Essential Variables Simply put the welder must qualify all of their essential variables, not just be qualified to weld a particular P-Number. In our example he/she is disqualified for the nickel alloy weld because of the required F- Number qualification being F-No.41 as listed on the WPS/PQR. A welder is limited by, process, pipe diameter, P- Number, F- Number, weld metal thickness, position, backing and progression. All of these Essential Variables must meet the requirements of the WPS to be used in the production weld.Destructive Testing of Welder’s Qualification Coupons There are three items that must be addressed when performing destructive testing of a welder’s test coupon. 1. The type of the specimens required? 2. How many specimens are required? 3. Where in the test coupon specimens shall be taken from? These items are listed in Article IV Welding Data of Section IX in a tabular form, 452.1(a) and are accompanied by notes referencing paragraphs found in Article III, of Section IX .The type and number a listed in that paragraph. Brief of Variables Deletion of Backing Change Pipe Diameter Change in P Number Change in F Number Change in weld metal t deposited Addition of a position Change from vertical Up to Down or Down to UP progression Paragraph QW 402 .4 Joints QW 403 .16 Base Metals .18 QW 404 Filler Metals .15 .30 QW 405 .1 Positions .3 Brief of Variables Deletion of Backing Change Pipe Diameter Change in P Number Change in F Number Change in weld metal t deposited Addition of a position Change from vertical Up to Down or Down to UP progression Paragraph QW 402 .4 Joints QW 403 .16 Base Metals .18 QW 404 Filler Metals .15 .30 QW 405 .1 Positions .3
  • 189.
    188 Notice that thenotes underneath the table do the following things: General Note: Defines the “Thickness of the Weld Metal” and disallows using the reinforcement as part of the thickness deposited. Note 1 Specifies the number of coupons used for the listed welder pipe groove test positions, and thereby differentiates pipe from plate coupons. Note 2 Coupons tested by face and root bends. Limits the type of weld bend coupons that can be used when doing combination welder or process tests a single coupon, combinations outside of this description will require side bends. Note 3 Allows the substitution of side bends for face and root when the coupon is 3/8” to less than 3/4”. We will now examine the figures referenced in QW-452.1(a) for removal of Welder’s Performance Coupons.
  • 190.
  • 191.
    190 Next an exampleof the coupons required for a 2G and 5G test in a single coupon which will qualify a welder for all four of the positions, Flat, Horizontal, Vertical and, Overhead just the same as the single 6G test. This coupon requires 6 bend specimens instead of the usual 4, taken from the locations indicated in the graphic.
  • 192.
    191 We will nowexamine the figures referenced in QW-452.1(b) for Welder’s “Thickness of Weld Metal (t) Qualified”.
  • 193.
    192 Notice that thewelder must deposit at least 1/2” in a minimum of three layers/passes to be qualified for unlimited thickness in production. All thickness below 1/2” follows the 2 x t rule. Example: The welder deposits 3/8” he is qualified to weld up to 3/4” in production welding with the process and filler metal used during his test. Also, as stated previously in addition he will be limited by diameter, progression, backing and, position.Combination tests are described in notes 1, 2, and, 3. Example: Note 1: Two welders deposit 1/2” each both used three layers in a single 10” Schedule 140, 1” thick coupon with SMAW F-No 4 electrodes. They will each be qualified to weld unlimited thickness in production with that process and F-No using the position, progression, backing and, diameter used during the test. They could also have used different F-Numbers and/or processes and could have been qualified unlimited thickness based on the test they performed. Example: Note 2: Two welders deposit 1/2” each both used three layers in a single 1” thick coupon with SMAW F- No 4 electrodes. They will each be qualified to weld unlimited thickness in production with that process and F-No using the position, progression, backing and, diameter used during the test. They could also have used different F-No. s and/or processes and would have been qualified unlimited thickness base on the test they performed. Example: Note 3: Two welders deposit 1/2” each both used three layers in a single 1” thick coupon with SMAW F-No 4 electrodes. They will each be qualified to weld unlimited thickness in production with that process and F-No using the position, progression, backing and, diameter used during the test. They could also have used different F-Numbers and/or processes and would have been qualified unlimited thickness base on the test they performed. Example - Billy Bob Welder’s performance test was made under the following conditions using Big Welding Company’s WPS CW-1010 1. P Number 1 Pipe Coupon 2. Pipe Diameter NPS 8” (8.625”) 3. Thickness 0.500” 4. 6G Position 5. Uphill Progression 6. F No 4 (SFA 5.1) 3 layers of Weld Metal 7. Process SMAW Only
  • 194.
    193 Next we fillout the of Welder’s Performance Qualification Form QW-484 (WPQ) for Billy Bob Welder.
  • 195.
    194 Remember, a welderhas only Essential Variables and for SMAW they are: 1. P-Number 2. F-Number 3. Diameter 4. Backing, with or without and, without qualifies both for a given F-Number and lower F-Numbers in some instances 5. Vertical Progression (Uphill or Downhill) 6. Position (most difficult tested for) 7. Weld Metal thickness (greatest thickness)
  • 196.
    195 Lesson 15 Reviewof WPS’s and PQR’s The API candidate will be given a WPS and a PQR and will be asked to identify errors or unsupported requirements. Questions will be asked about individual blocks on the WPS/PQR. You will not be required to review the entire document. The exam is in multiple choice format, normally 3 to 6 questions come from the WPS/PQR review. When answering the questions about the WPS and/or the PQR, look for omitted information. Every Essential and Nonessential variable should be addressed. Common errors, such as filler metal F- Numbers and base metal thickness ranges are typically found. The PQR test coupon thickness T can and often does support only part of the thickness range stated on the WPS etc. Limitations on the WPS/PQR Review The API Body of Knowledge has limited the content of the WPS and PQR in the following key ways. 1. There will be only one welding process, and they have been limited to SMAW, GTAW, GMAW or SAW. 2. Just one filler metal i.e. all E-7018 with no mixing of F- Numbers. 3. There will not be different thicknesses or different base metals welded to each other. 4. The P-Numbers are limited to P1, P3, P4, P5 and, P8 5. For P1, P3, P4, and, P5 the lower transition temperature is 1,333°F and the upper is transformation is 1600°F. 6. Supplemental powdered fillers or consumable inserts will not be on the WPS/PQR. 7. Special welding processes such as corrosion resistant weld metal overlay and hard surfacing will not be present. 8. Welds with buttering of the ferritic member or excluded. In short the WPS/PQR review will be of the most basic type, and will not require a great deal of expertise in Section IX. WPS/PQR Mistakes are of Four Types 1. Missing variables, both Essentials and Non-Essentials on the WPS. 2. Missing Essential variables on the PQR, Non-Essentials are not required for the PQR. 3. Incorrect Essential Variables, such as the wrong F-Number for a filler metal or electrode. For example: “The electrode E-6010 has an F-Number of 3 and often the wrong F-Number is assigned to it such as F-Number 4” 4. An Essential Variable listed on the WPS that is not supported by the PQR. Note: Editorial mistakes such as misspellings of company names or typing errors are excluded from the exam. Brief of Variables We will use the SMAW QW-253 Brief of Variables as a check list as we go through the reviews of two WPS’ and PQR’s.
  • 197.
    196 Confusion Welding andWee Welders Turn now to QW-253 of Section IX and remove it for convenience during the review. Confusion Welding We will review it step by step for errors. 1. Does our WPS reference our PQR? 2. Has our welding process been listed? 3. Is the Type of welding listed, manual, automatic etc.? Note: The Type of Welding in box QW-410 at the bottom of QW-253 is out of order in reference to the box on the WPS, as it appears in the title instead of box QW-410 on the WPS. Conclusions: 1. WPS references our PQR. 2. Our welding process is listed. 3. Type of welding is listed as manual. No mistakes in the title page Next we compare the variables in the row QW-402 Joints on QW-253 to the box QW-402 Joints on the WPS. 1. Groove design, is it addressed? 2. Backing has it been listed? 3. Has root spacing been detailed? 4. Finally have retainers been mentioned? 402.1 - A Change in Groove Design 402.4 - Deletion/Removal of Backing 402.10 - A Change in Root Spacing 402.11 – Addition or Removal Retainers
  • 198.
    197 Conclusions: Nothing ismissing; there are no mistakes in box QW-402 on the WPS. Note that Non- Essentials are only wrong if they are missing i.e. the Code user can choose any groove design, root spacing etc. 1. Groove Design is addressed as Single Vee. 2. Backing as Flat Bar P-No.1 steel material. 3. Retainers under Details are Not Allowed. 4. Root Spacing is present under Details. The next listings are in box QW-403 Base Metals. 1. Is the P-Number entered? 2. Is Base Metal Thickness present? 3. Has t pass > 1/2” been addressed? Note: During the review of the PQR we will confirm that all Essential Variables are in agreement between the WPS and the PQR regarding the specifications and ranges supported.
  • 199.
  • 200.
    199 Conclusions: 1. The P-Numberis present. 2. Base metal thickness range is present. 3. t pass > 1/2” is missing, not addressed! This is a mistake, as all essentials variables must be addressed. Remember, all variables that apply to the process must be addressed on the WPS, both essential and non-essential.Check the box QW-404 on the WPS for omissions. 1. Is the F-Number present and is it correct? 2. Is the A-Number present if E-XX18 is it A No.1? 3. Diameter of electrodes allowed? 4. The range of weld metal t? 5. AWS Classification how about it? You may remember from our previous lesson that A-Numbers cannot be correctly identified without Section II Part C of the ASME Code. So we can only check for its presence on the form. Everything on the list is present, but is the Essential Variable F-Number correct? We can’t check the A- Number without Section II Part C. Check the F-Number for E-7018 which appears under the title E-XX18.
  • 201.
    200 Conclusions: 1. The F-Numberis present but wrong! 2. The A-Number is present. 3. Diameter/Size of electrodes are missing! 4. The range of weld metal t is present. 5. AWS Classification is listed.Now to the back of the WPS to the box QW-405 Positions 1. Are the positions allowed for welding present? 2. Has progression permitted been entered? Since fillets are not on the list of QW-253 you may ignore this entry
  • 202.
    201 Conclusion: 1. The positionsallowed for welding are present? 2. Progression permitted has been entered? There are no mistakes. However the positions allowed would have been better stated in actual practice by using Flat, Horizontal, Vertical and Overhead (F,H,V,O). 6G is a welder’s all positions qualification test. Now Preheat in box QW-406 1. Has Preheat Temperature been entered? 2. Preheat Maintenance is it there? Interpass Temp. Is a Supplementary Essential you may ignore this entry for the purposes of the test. Conclusion: 1. Preheat Temperature has been entered. 2. Interpass Temp is present but was not required. 3. Preheat Maintenance Temperature is missing! There is one mistake. Preheat Maintenance Temp. is not present, this is an error by omission of a Non- Essential Variable.Now Post Weld Heat Treatment in box QW-407. 1. Simple it is addressed as NONE. We will check it against the PQR during the PQR review portion of this instruction.
  • 203.
    202 Conclusion: All we needdo is to make sure it is in agreement with what occurred during the making of the supporting PQR test coupon. We will compare those during the PQR portion of this review.Next up is the box QW- 408 Gases. This is not applicable to the SMAW Process. We will ignore it completely on this review, now for box QW- 409 Electrical Characteristics. 1. Has the Current been entered? 2. How about the Polarity? 3. What about the Amps (I)? 4. Volts (E)? Conclusion: 1. The Current has been entered. 2. Polarity is there. 3. Amps (I) are present. 4. Volts (E) it is there. No mistakes in block QW-409 Finally block QW-410 Technique 1. String or Weave allowed or both? 2. Initial or interpass cleaning, how? 3. Method of Back Gouging? 4. Multiple to Single pass/side permitted? 5. Peening, is it there? 6. Manual or Automatic welding? 7. Thermal Process applies to P number. 11 materials only
  • 204.
    203 Conclusion: 1. String orWeave both is allowed. 2. Initial or interpass cleaning, addressed. 3. Method of Back Gouging present. 4. Multiple to Single pass/side, not addressed! 5. Peening addressed as None Allowed. 6. Manual/Automatic appears in the title. One mistake found, Multiple or Single Pass an error by omission. Now to the front of the PQR and its title section. There isn’t much to see here. The correct company name etc., but the API Body of Knowledge specifies that the WPS will be supported by only one PQR and it will be the correct one. This leaves the welding Process which is addressed as SMAW. All others are non-essential variables and those are not required to be on the PQR, in fact they could be missing.
  • 205.
    204 Anything else inthe title will fall under Editorial and is not considered on the exam WPS/PQR review questions. Conclusion: 1. SMAW has been addressed, no mistakes in the PQR title. Note: The PQR does not have to reference the WPS. A single PQR may support multiple WPS’ since WPS’ are often written years after the PQR’s were made. How could you know the WPS number years before it will be written? We start all over using QW-253 and the box QW-402 Joints on the PQR, all of those are Non-Essential Variables and are not required on the PQR. Nothing to do here, the box is blank and that is not a mistake. Note: In a real world PQR, you would never leave the joint design information blank, in fact you would detail it, but Section IX clearly states that Non-Essentials are optional. However the Construction Code will usually force this information be present. For the PQR on this examination it is not required.
  • 206.
    205 Using QW-253 inthe box QW- 403 Base Metals, we check the following items: 1. Has the P-Number been addressed and does it agree with the WPS? 2. Has the thickness of test coupon been entered and does it support the full range stated on the WPS for production welding. Conclusion: 1. No P-Numbers listed! 2. The thickness of the test Coupon is stated to be 0.500 but it does not support the full range stated on the WPS of 1/16” to 1”. There are two mistakes, No P-Numbers and the thickness range qualified by the coupon is not adequate for the WPS’ proposed thickness’. Turn now to QW-451.1
  • 207.
    206 We can seethat the range supported by the coupon is from 3/16” to 2T. Our T is 0.500 so the range supported is from 3/16” to 1”. Look back to the front of the WPS, it states a range of 1/16” to 1”. The entire range of thickness on the WPS is not supported by the PQR’s test coupon thickness, since it does not support a thickness below 3/16”. What is the P-Number of SA-53 Grade B? What should have been entered in the P-Number boxes? Turn now to
  • 208.
    207 Turn your attentionto box QW-404 Filler Metals. 1. Has the F-Number been addressed and correctly? 2. Has the A -Number been entered? 3. AWS Classification, is it present? Note: Since Supplementary Essentials will not be on the exam, the AWS Class in this case is a Non-Essential Variable. By Section IX, it is not required on the PQR! Strange but true, it could be omitted and only the F-Number listed. Real world it would be there. Box 404 Filler Metals Conclusions: 1. The F-No for E-7018 is correct and is present. 2. The A-No is present. 3. AWS Class is shown as E-7018. 4. Deposited weld metal not addressed. 1 Mistake!
  • 209.
    208 Skipping the Non-Essentialsof QW-405 Positions and turning to QW-406 Preheat we ask the following: 1. Preheat Temp, is it there and if so does it support the WPS values? 2. Interpass Temp do we need it? Conclusions: 5. Preheat Temp is there but does not support the WPS, the PQR must be within 100°F of the WPS’ listed preheat for production which is only 60 o F. The PQR was qualified with preheat of 175 o F! To fix this you could revise the WPS to a minimum preheat of 75°F (175 – 100 = 75°F). Take a look at the paragraph QW-406.1 2. Interpass Temp is not there, but we do not need it since it is a Supplementary Essential. One Mistake Preheat does not support the WPS. Now for the Postweld Heat Treatment box. Is it present and, did it agree with the WPS’ Type, Temp and Time? Conclusions: 1. Well since the block is empty, there is only one conclusion. The Essential Variable PWHT has not been addressed. The block being empty does not mean it was not done; it may or may not have been postweld heat treated. How can anyone know? One mistake, PWHT not addressed.All the remaining blocks contain Non-Essential Variables and are blank. They are not needed on a PQR so we will just pass those blocks and turn to the back of the PQR. Next the Tensile Tests listed in the block QW-150. 1. Is the correct number of tension tests present? 2. Is the math correct? 3. Did the specimens fail at or above the Minimum stated in the rules of QW-153.1 for SA-53 Grade B?
  • 210.
    209 Conclusions: 1. The correctnumber of tension tests is present, two. 2. The math is correct (using normal rounding). 3. The specimens did meet the Minimum stated by the rules of QW-153.1 for the SA-53 Grade B pipe. Now confirm the above statements.You can see on right that we need two tension tests. By QW-152 area into load = Tensile Strength Specimen No. 1 .750” x .453: = .340 sq.” 25010 lbs/.340 sq.” = 73,559 PSI Specimen No. 2 .753” x .456” = .343 sq.” 24,050 lbs/.343 sq.” = 70,116 PSI
  • 211.
    210 The Minimum SpecifiedTensile Strength is 60,000 PSI. The specimens did meet the Minimum stated in the rules of QW-151.3 for SA-53 Grade B. It has a minimum specified tensile strength of 60,000 PSI. According to the requirements of Section IX the specimens could have failed 5% below that and still been acceptable. They failed in the base metal which is also a requirement of QW-153.1 Now the Bend Specimens 1. Is the correct number present? 2. Are they the correct types? 3. Where the results reported and acceptable? Conclusions: 1. The correct number is 4 and only three are fully present. 2. They are not the correct types, it should be all face and root bends (4 total), or since the coupon is at least 3/8” (.500) 4 side bends are permitted. 3. The results were reported and are not acceptable. There are three mistakes, incorrect number and types of bend specimens, max size of defect exceeds 1/8”.Last, the bottom of the PQR. 1. Has the PQR been signed? Conclusion: No. This is a mistake a PQR is not certified without a signature.
  • 212.
  • 213.
    212 Wee Welders Now wewill do the second WPS/PQR review. We will go through this box by box and find the mistakes and do a recap at the end of this lesson.
  • 214.
  • 215.
    214 QW-483 SUGGESTED FORMATFOR WELDING PROCEDURE QUALIFICATION RECORDS (PQR) (See QW-200.2, Section IX, ASME Boiler & Pressure Vessel Code) Record Actual Conditions Used to Weld Test Coupon. Company Name: Wee Welders Procedure Qualification Record No.: R-20 Date: 1/30/92 WPS No.: R-20 Welding Process (es) SMAW Types (Manual, Automatic, Semi-Auto.) JOINTS (QW-402) Groove Design of Test Coupon (For combination qualifications, the deposited weld metal thickness shall be recorded for each filler metal or process used.) BASE METALS (QW403) POSTWELD HEAT TREATMENT (QW-407) Material Spec. SA-369 Type: Type or Grade: FP 1 Temp: 1150°F P No.: 3 Gr. No. to P No.: 3 Gr. No. Time: 30 mins. Thickness of Test Coupon: 0.365“ Diameter 10“ GAS (QW-408) Other: Shielding FILLER METALS (QW-404) Shield Flow (cfh) F No 4 Purge Gas A No 2 Purge Flow SFA Spec Number 5.1 Trailing Gas AWS Class. No E-7018-A1 Trailing Flow Size of Electrode “ “ ELECTRICAL CHARACTERISTICS (QW-409) Size of Filler Current Flux Class. Max Amps Deposit Thk. ” ” Max Volts Trade Name Joules Consum. Insert : Tungsten Size Tungsten Type POSITION (QW-405) Pulsing Current Welding Position TECHNIQUE (QW-410) Welding Progress: Bead Type Bead Width PREHEAT (QW-406) Cup Size Preheat Temp. : 70º F Back Gouging Interpass Temp.: º F Layers Preheat Maintenance: º F Electrodes Travel Speed Oscillation
  • 216.
  • 217.
    216 Mistakes on theWPS Joints (QW-402) 5. Root gap not addressed 6. Retainers not addressed Filler Metals (QW-404) 3. E-7018 - A1 is not A Number 1 it is A Number 2 4. Weld metal thickness not addressed. Technique (QW-410) 5. Multi or single pass not addressed. Mistakes on the PQR Tensile Tests (QW-150) 6. First tensile specimen was not within the tolerance. The specimen failed at less than 95 % of the specified ultimate tensile strength for the material. Guided Bend Tests (QW-160) 7. The test coupon is 0.365” and it must be 0.375 or greater to use side bends. The coupons should have been subjected to two face and two root bends.
  • 218.
    217 Lesson 16 ASME SectionV NDE FROM THE API 510 BODY OF KNOWLEDGE III. NONDESTRUCTIVE EXAMINATION ASME Section V, Nondestructive Examination NOTE: The examination will cover ONLY the main body of each referenced Article, except as noted. Article 1 SCOPE OF SECTION V The inspector should be familiar with and understand; 1. The Scope of Section V, 2. Rules for use of Section V as a referenced Code, 3. Responsibilities of the Owner / User, and of subcontractors, 4. Calibration, 5. Definitions of "inspection" and examination", 6. Record keeping requirements. ASME Section V T-110 Scope (a) Unless otherwise specified by the referencing Code Section or other referencing documents, this Section of the Code contains requirements and methods for nondestructive examination which are Code requirements to the extent they are specifically referenced and required by other Code Sections. T-130 Equipment It is the responsibility of the Manufacturer, fabricator, or installer to ensure that the examination equipment being used conforms to the requirements of this Code Section. T-150 Procedure (b) When an examination to the requirements of this Section of the Code is required by other Sections of the Code, it shall be the responsibility of the Manufacturer, fabricator, or installer to establish nondestructive examination procedures and personnel certification procedures conforming to the referencing Code requirements. (c) When required by the referencing Code Section, all nondestructive examinations performed under this Code Section shall be done to a written procedure. This procedure shall be demonstrated to the satisfaction of the Inspector. The procedure or method shall comply with the applicable requirements of this Section for the particular examination method….Where so required; written procedures shall be made available to the Inspector on request. At least one copy of each procedure shall be readily available to the Manufacturer’s Nondestructive Examination Personnel for their reference and use.
  • 219.
    218 T-170 Examinations andInspections a) Throughout this Section of the Code, the word Inspector means the Authorized Inspector who has been qualified as required in the various referencing Code Sections. b) The special distinction established in the various Code Sections between inspection and examination and the personnel performing them is also adopted in this Code Section. In other words, the term inspection applies to the functions performed by the Authorized Inspector, but the term examination applies to those quality control functions performed by personnel employed by the Manufacturer. T-180 Evaluation The acceptance standards for these methods shall be as stated in the referencing document (s). T-190 Records / Documentation Records/Documentation shall be in accordance with the referencing document (s) and the applicable requirements of Subsection A and/or B of this Code Section. The code user shall be responsible for all required Records/Documentation. Article 2 Radiographic Examination The inspector should be familiar with and understand; 1. The Scope of Article 2 and general requirements, 2. The rules for radiography as typically applied on pressure vessels such as, but not limited to: a. Required marking b. Type, selection, number, and placement of IQI’s, c. Allowable density d. Control of backscatter radiation e. Location markers 7. Records T-210 Scope The radiographic method described in this Article for examination of materials including castings and welds shall be used together with Article 1, General Requirements. Definitions of terms used in this Article are in Mandatory Appendix V of this Article…… T-223 Backscatter Radiation A lead symbol “B,” with minimum dimensions of 1/2 " in height and 1/16 in. in thickness, shall be attached to the back of each film holder during each exposure to determine if backscatter radiation is exposing the film. Alert! Can be a Closed Book question! T-224 System of Identification A system shall be used to produce permanent identification on the radiograph traceable to the contract, component, weld or weld seam, or part numbers, as appropriate. In addition, the Manufacturer’s symbol or name and the date of the radiograph shall be plainly and permanently included on the radiograph. This identification system does not necessarily require that the information appear as radiographic images. In any case, this information shall not obscure the area of interest.
  • 220.
    219 T-225 Monitoring DensityLimitations of Radiographs Either a densitometer or step wedge comparison film shall be used for judging film density. T – 233 Image Quality Indicator (IQI) Design IQIs shall be either the hole type or the wire type. Hole-type IQIs shall be manufactured and identified in accordance with the requirements or alternates allowed in SE-1025. Wire-type IQIs shall be manufactured and identified in accordance with the requirements or alternates allowed in SE-747, except that the largest wire number or the identity number may be omitted. ASME standard IQIs shall consist of those in Table T-233.1 for hole type and those in Table T-233.2 for wire type. Table T-233.1 Hole Type IQI Thickness and Hole Diameters  Questions that come from this table are directed at such things as looking up the thickness of the IQI based on a Designation Number or a specific hole diameter such as 1T, 2T, or 4T for a IQI Designation Number.
  • 221.
    220 It is interestingto note that all the Designation Numbers directly relate to the thickness of the Hole Type IQI except for three, numbers 7, 12 and 17. Let’s have a look. * These types of questions should be expected on the first half, Open Book portion of the exam. Another feature of the Designation Number is in reference to the specific hole such as 1T, 2T, or 4T. The T is the thickness of a given IQI Designation such Number 15 for example. So the 1 x T hole has a diameter of 0.015” and thus the 2 x T hole = 0.030”, 4 x T = 0.060”. However this rule does not hold for the smaller IQI Numbers 5 and 7 which are both identical to Number 10. To say it another way, Numbers 5, 7 and, 10 all have the same diameter of 1T, 2T and 4T holes. Take a look!
  • 222.
    221 Table T-233.2 ireIQI Designation, Wire Diameter, and Wire Identity The alternative and, some think better, Image Quality Indicator (IQI) it the Wire Type. Information Only No Questions on the Exam
  • 223.
    222 Typical question onthe Open Book portion of the exam are what is the diameter of a given wire size. For Example: What is the wire size of a Set A # 4 wire? Answer: 0.0063” (0.16 mm). There’s not much tricky here, just read carefully.
  • 224.
    223 T-274 Geometric Unsharpness GeometricUnsharpness shall be determined in accordance with: Ug = Fd /D Where: Ug = Geometric unsharpness F = Source size: the maximum projected dimension of the radiating source (or effective focal spot) in the plane perpendicular to the distance D from the weld or object being radiographed, inches. D = The distance from source of radiation to weld or object being radiographed, inches. d = Distance from source side of weld or object being radiographed to the film, inches. D and d shall be determined at the approximate center of the area of interest. * All that is needed here is to remember what the terms mean. Here is a short definition of Geometric Unsharpness; Source to film distance, object to film distance, and source size directly affect the degree of penumbra shadow and geometric unsharpness of a radiograph. Codes and standards used in industrial radiography require that geometric unsharpness be limited.
  • 225.
    224 T-275 Location Markers Locationmarkers (see Fig. T-275), which are to appear as radiographic images on the film, shall be placed on the part, not on the exposure holder / cassette. Their locations shall be permanently marked on the surface of the part being radiographed when permitted, or on a map, in a manner permitting the area of interest on a radiograph to be accurately traceable to its location on the part, for the required retention period of the radiograph. Evidence shall also be provided on the radiograph that the required coverage of the region being examined has been obtained. Location markers shall be placed as follows. T-275.1 Single-Wall Viewing (a) Source-Side Markers. Location markers shall be placed on the source side when radiographing the following: (1) Flat components or longitudinal joints in cylindrical or conical components; (2) Curved or spherical components whose concave side is toward the source and when the “source-to material” distance is less than the inside radius of the component; (3) Curved or spherical components whose convex side is toward the source. Using Fig. T-275 we have these three examples;
  • 226.
    225 (b) Film-Side Markers (1)Location markers shall be placed on the film side when radiographing either curved or spherical components whose concave side is toward the source and when the “source-to- material” distance is greater than the inside radius. (c) Either Side Markers. Location markers may be placed on either the source side or film side when radiographing either curved or spherical components whose concave side is toward the source and the “source-to-material” distance equals the inside radius of the component. T – 275.2 Double-Wall Viewing For double-wall viewing, at least one location marker shall be placed adjacent to the weld (or on the material in the area of interest) for each radiograph.
  • 227.
    226 T-275.3 Mapping thePlacement of Location Markers When inaccessibility or other limitations prevent the placement of markers as stipulated in T-275.1 and T- 275.2, a dimensioned map of the actual marker placement shall accompany the radiographs to show that full coverage has been obtained. T-276.1 IQI Material IQI’s shall be selected from either the same alloy material group or grade as identified in SE-1025 or from an alloy material group or grade with less radiation absorption than the material being radiographed. T-276.2 Size The designated hole IQI or essential wire shall be as specified in Table T-276. A thinner or thicker hole- type IQI may be substituted for any section thickness listed in Table T-276, provided an equivalent IQI sensitivity is maintained. See T-283.2. (a) Welds With Reinforcements. The thickness on which the IQI is based is the nominal single-wall thickness plus the estimated weld reinforcement not to exceed the maximum permitted by the referencing Code Section. Backing rings or strips shall not be considered as part of the thickness in IQI selection. The actual measurement of the weld reinforcement is not required. (b) Welds Without Reinforcements. The thickness on which the IQI is based is the nominal single-wall thickness. Backing rings or strips shall not be considered as part of the weld thickness in IQI selection.
  • 228.
    227 Table T –276 IQI Selection For the exam you may be required to select the proper IQI for a radiograph. This is by establishing the part thickness as previously discussed, the type of shot, “Source Side” or “Film Side” and apply Table T- 276.1 Example: For a film side shot of a part thickness that is 0.500: (12.7 mm) what would be the required Hole Type IQI Number? Answer: # 15 Be careful, don’t answer with the wire number when asked for the hole type designator! T-277.1 Placement of IQIs (a) Source-Side IQI(s). The IQI(s) shall be placed on the source side of the part being examined, except for the condition described in T-277.1(b). When, due to part or weld configuration or size, it is not practical to place the IQI(s) on the part or weld, the IQI(s) may be placed on a separate block. Separate blocks shall be made of the same or radiographically similar materials (as defined in SE-1025) and may be used to facilitate IQI positioning. There is no restriction on the separate block thickness, provided the IQI/area of- interest density tolerance requirements of T-282.2 are met. (1) The IQI on the source side of the separate block shall be placed no closer to the film than the source side of the part being radiographed. (2) The separate block shall be placed as close as possible to the part being radiographed. (3) The block dimensions shall exceed the IQI dimensions such that the outline of at least three sides of the IQI image shall be visible on the radiograph.
  • 229.
    228 (b) Film-Side IQI(s).Where inaccessibility prevents hand placing the IQI(s) on the source side, the IQI(s) shall be placed on the film side in contact with the part being examined. A lead letter “F” shall be placed adjacent to or on the IQI(s), but shall not mask the essential hole where hole IQIs are used. (c) IQI Placement for Welds - Hole IQI s. The IQI (s) may be placed adjacent to or on the weld. The identification number (s) and, when used, the lead letter “F,” shall not be in the area of interest, except when geometric configuration makes it impractical. (d) IQI Placement for Welds — Wire IQIs. The IQI(s) shall be placed on the weld so that the length of the wires is perpendicular to the length of the weld (Across the weld). The IQI identification and, when used, the lead letter "F," shall not be in the area of interest, except when geometric configuration makes it impractical. T-281 Quality of Radiographs All radiographs shall be free from mechanical, chemical, or other blemishes to the extent that they do not mask and are not confused with the image of any discontinuity in the area of interest of the object being radiographed. Such blemishes include, but are not limited to: (a) Fogging; (b) Processing defects such as streaks, watermarks, or chemical stains; (c) Scratches, finger marks, crimps, dirtiness, static marks, smudges, or tears; (d) False indications due to defective screens. T-282.1 Density Limitation The transmitted film density through the radiographic image of the body of the appropriate hole IQI or adjacent to the designated wire of a wire IQI and the area of interest shall be ** 1.8 minimum for single film viewing for radiographs made with an X-ray source and 2.0 minimum for radiographs made with a gamma ray source. For composite viewing of multiple film exposures, each film of the composite set shall have a minimum density of 1.3. The maximum density shall be 4.0 for either single or composite viewing. A tolerance of 0.05 in density is allowed for variations between densitometer readings. This has often been a Closed Book question, due to the belief that an inspector should know the density limits for film as part of his everyday duties. T- 282.2 Density Variation (a) General. If the density of the radiograph anywhere through the area of interest varies by more than minus 15% or plus 30% from the density through the body of the hole IQI or adjacent to the designated wire of a wire IQI, within the minimum/maximum allowable density ranges specified in T-282.1, then an additional IQI shall be used for each exceptional area or areas and the radiograph retaken. When calculating the allowable variation in density, the calculation may be rounded to the nearest 0.1 within the range specified in T-282.1. (b) With Shims. When shims are used the plus 30% density restriction of (a) above may be exceeded, provided the required IQI sensitivity is displayed and the density limitations of T-282.1 are not exceeded. T- 283 IQI Sensitivity T-283.1 Required Sensitivity. Radiography shall be performed with a technique of sufficient sensitivity to display the designated hole IQI image and the essential hole, or the essential wire of a wire IQI. The radiographs shall also display the IQI identifying numbers and letters. If the designated hole IQI image and essential hole, or essential wire, do not show on any film in a multiple film technique, but do show in composite film viewing, interpretation shall be permitted only by composite film viewing.
  • 230.
    229 T-283.2 Equivalent Hole-TypeSensitivity. A thinner or thicker hole-type IQI than the required IQI may be substituted, provided an equivalent or better IQI sensitivity, as listed in Table T-283, is achieved and all other requirements for radiography are met. Equivalent IQI sensitivity is shown in any row of Table T-283, which contains the required IQI and hole. Better IQI sensitivity is shown in any row of Table T-283, which is above the equivalent sensitivity row. If the required IQI and hole are not represented in the table, the next thinner IQI row from Table T- 283 may be used to establish equivalent IQI sensitivity. T – 284 Excessive Backscatter If a light image of the “B,” as described in T-223, appears on a darker background of the radiograph, protection from backscatter is insufficient and the radiograph shall be considered unacceptable. A dark image of the “B” on a lighter background is not cause for rejection. This seems to be on almost every examination, API 510, 570 and, 653. It can be open or closed book.
  • 231.
    230 Section VIII Appendix4 Rounded Indications Charts Acceptance Standard for Radiographically Determined Rounded Indications in Welds 4-1 Applicability of These Standards These standards are applicable to ferritic, austenitic, and nonferrous materials. 4-2 Terminology (a) Rounded Indications. * Indications with a maximum length of three times the width or less on the radiograph are defined as rounded indications. These indications may be circular, elliptical, conical, or irregular in shape and may have tails. When evaluating the size of an indication, the tail shall be included. The indication may be from any imperfection in the weld, such as porosity, slag, or tungsten. * Prime test question. (b) Aligned Indications. A sequence of four or more rounded indications shall be considered to be aligned when they touch a line parallel to the length of the weld drawn through the center of the two outer rounded indications. (c) Thickness t. t is the thickness of the weld, excluding any allowable reinforcement. For a butt weld joining two members having different thicknesses at the weld, t is the thinner of these two thicknesses. If a full penetration weld includes a fillet weld, the thickness of the throat of the fillet shall be included in t. This is the standard definition of t found in other paragraphs of Section VIII.
  • 232.
    231 4-3 Acceptance Criteria (a)Image Density. Density within the image of the indication may vary and is not a criterion for acceptance or rejection. (b) Relevant Indications. (See Table 4-1 for examples.) Only those rounded indications which exceed the following dimensions shall be considered relevant. 1/10 t for t less than 1/8 in. 1/64 in. for t from 1/8 in. to 1/4 in. incl. 1/32 in. for t greater than 1/4 in. to 2 in. incl. 1/16 in. for t greater than 2 in. (c) Maximum Size of Rounded Indication. (See Table 4-1 for examples.) The maximum permissible size of any indication shall be 1/4t, or 5/32 in., whichever is smaller; except that an isolated indication separated from an adjacent indication by 1 in. or more may be 1/3t, or 1/4 in., whichever is less. For t greater than 2 in. the maximum permissible size of an isolated indication shall be increased to 3/8 in. (d) Aligned Rounded Indications. Aligned rounded indications are acceptable when the summation of the diameters of the indications is less than t in a length of 12 t. See Fig. 4-1. The length of groups of aligned rounded indications and the spacing between the groups shall meet the requirements of Fig. 4-2. Example 1: The summation of diameters = .900” in a 1.0” thick weld over a 12” length , acceptable. The summation of 1.0” in 12” length is unacceptable. Example 2: The summation of diameters = .245” in a .250” thick weld over a 12 x .250”= 3” length, acceptable. The summation of diameters = 12 x .250” = 3”, unacceptable.
  • 233.
    232 (e) Spacing. Thedistance between adjacent rounded indications is not a factor in determining acceptance or rejection, except as required for isolated indications or groups of aligned indications. (f) Rounded Indication Charts. The rounded indications characterized as imperfections shall not exceed that shown in the charts. The charts in Figs. 4-3 through 4-8 illustrate various types of assorted, randomly dispersed and clustered rounded indications for different weld thicknesses greater than 1/8 in. (3.2 mm). These charts represent the maximum acceptable concentration limits for rounded indications. The charts for each thickness range represent full-scale 6 in. radiographs, and shall not be enlarged or reduced.
  • 234.
    233 (g) Weld Thicknesst less than 1/8 in. For t less than 1/8 in. the maximum number of rounded indications shall not exceed 12 in a 6 in. length of weld. A proportionally fewer number of indications shall be permitted in welds less than 6 in. in length. (h) Clustered Indications. The illustrations for clustered indications show up to four times as many indications in a local area, as that shown in the illustrations for random indications. The length of an acceptable cluster shall not exceed the lesser of 1 in. or 2t. Where more than one cluster is present, the sum of the lengths of the clusters shall not exceed 1 in. in a 6 in. length weld.
  • 235.
    234 SE-797 Standard Practicefor Measuring Thickness By Manual Ultrasonic Pulse-Echo Contact Method E. Article 23, Ultrasonic Standards, Section SE–797 only – Standard practice for measuring thickness by manual ultrasonic pulse-echo contact method: The inspector should be familiar with and understand; 1. The Scope of Article 23, Section SE-797, 2. The general rules for applying and using the Ultrasonic method 3. The specific procedures for Ultrasonic thickness measurement as contained in paragraph 7. Scope This practice provides guidelines for measuring the thickness of materials using the contact pulse-echo method at temperatures not to exceed 200°F (93°C). Best know this fact The velocity in the material being examined is a function of the physical properties of the material. It is usually assumed to be a constant for a given class of materials. Thickness (T), when measured by the pulse-echo ultrasonic method, is a product of the velocity of sound in the material and one half the transit time (round trip) through the material. T = Vt/2 Where: T = Thickness V = Velocity t = time One or more reference blocks are required having known velocity, or of the same material to be examined, and having thicknesses accurately measured and in the range of thicknesses to be measured. It is generally desirable that the thicknesses be “round numbers” rather than miscellaneous odd values. One block should have a thickness value near the maximum of the range of interest and another block near the minimum thickness. Following are four cases of Direct Contact thickness measurement calibration. Questions on the exam come from here primarily. These are the calibration and as such it is expected that an API Inspector has a working knowledge of calibration. Meaning these can be Closed Book exam questions. 7.1 Case I — Direct Contact, Single-Element Search Unit: 7.1.1 Conditions — The display start is synchronized to the initial pulse. All display elements are linear. Full thickness is displayed on the A-scan display. Buzz words that mean Direct Contact Single-Element or Case 1. 7.1.4 The readings should then be checked and adjusted on standardization blocks with thickness of lesser value to improve the overall accuracy of the system.
  • 236.
    235 7.2 Case II— Delay Line Single-Element Search Unit: 7.2.1 Conditions — When using this search unit, it is necessary that the equipment be capable of correcting for the time during which the sound passes through the delay line so that the end of the delay can be made to coincide with zero thickness. This requires a so-called “delay” control in the instrument or automatic electronic sensing of zero thickness. Be able to recognize this statement is associated with Case II. 7.2.2.1 Use at least two standardization blocks. One should have a thickness near the maximum of the range to be measured and the other block near the minimum thickness. For convenience, it is desirable that the thickness should be “round numbers” so that the difference between them also has a convenient round number” value. Repeated many times in SE-797, two blocks, round numbers. 7.2.2.2 Place the search unit sequentially on one and then the other block, and obtain both readings. The difference between these two readings should be calculated. If the reading thickness difference is less than the actual thickness difference, place the search unit on the thicker specimen, and adjust the material standardize control to expand the thickness range. If reading thickness difference is greater than the actual thickness difference, place the search unit on thicker specimen, and adjust the material standardize control to decrease… Know this sequence of calibration. 7.3 Case III — Dual Search Units: 7.3.1 The method described in 7.2 (Case II) is also suitable for equipment using dual search units in the thicker ranges, above 3 mm (0.125 in.). However, below those values there is an inherent error due to the Vee path that the sound beam travels. The transit time is no longer linearly proportional to thickness, and the condition deteriorates toward the low thickness end of the range. A feature that identifies Case III. 7.4 Case IV — Thick Sections: 7.4.1 Conditions — For use when a high degree of accuracy is required for thick sections. 7.4.2 Direct contact search unit and initial pulse synchronization are used. The display start is delayed as described in 7.4.4. All display elements should be linear. Incremental thickness is displayed on the A-scan display. 7.4.3 Basic standardization of the sweep will be made as described in Case I. The standardization block chosen for this standardization should have a thickness that will permit standardizing the full-sweep distance to adequate accuracy, that is, about 10 mm (0.4 in.) or 25 mm (1.0 in.) full scale. 7.4.4 After basic standardization, the sweep must be delayed. For instance, if the nominal part thickness is expected to be from 50 to 60 mm (2.0 to 2.4 in.), and the basic standardization block is 10 mm (0.4 in.), and the incremental thickness displayed will also be from 50 to 60 mm (2.0 to 2.4 in.), the following steps are required. Adjust the delay control so that the fifth back echo of the basic standardization block, equivalent to 50 mm (2.0 in.), is aligned with the 0 reference on the A-scan display. The sixth back echo should then occur at the right edge of the standardized sweep.
  • 237.
  • 238.
    237 Section VIII Appendix12 Ultrasonic Examination of Welds (UT) 12-1 Scope (a) This Appendix describes methods which shall be employed when ultrasonic examination of welds is specified in this Division. (b) Article 4 of Section V shall be applied for detail requirements in methods. 12 – 2 Certification of Competence of Nondestructive Examiner The Manufacturer shall certify that personnel performing and evaluating ultrasonic examinations required by this Division have been qualified and certified in accordance with their employer’s written practice. SNT-TC-1A shall be used as a guideline for employers. Alternatively, the ASNT Central Certification Program (ACCP)1 or CP-189 may be used to fulfill the examination and demonstration requirements of SNT-TC-1A and the employer’s written practice. These requirements are repeated throughout the all of the Appendices i.e. Appendix 4, 6, and 8. 12 – 3 Acceptance – Rejection Standards These Standards shall apply unless other standards are specified for specific applications within this Division. Imperfections which produce a response greater than 20% of the reference level shall be investigated to the extent that the operator can determine the shape, identity, and location of all such imperfections and evaluate them in terms of the acceptance standards given in (a) and (b) below. (a) Indications characterized as cracks, lack of fusion, or incomplete penetration are unacceptable regardless of length. Once again referenced in all Appendices! (b) Other imperfections are unacceptable if the indications exceed the reference level amplitude and have lengths which exceed: (1) 1/4 in. for t up to 3/4 in. ; (2) 1/3t for t from 3/4 in. to 2-1/4 in.; (3) 3/4 in. for t over 2-1/4 in. . where t is the thickness of the weld excluding any allowable reinforcement. For a butt weld joining two members having different thicknesses at the weld, t is the thinner of these two thicknesses… 12 – 4 Report of Examination The Manufacturer shall prepare a report of the ultrasonic examination and a copy of this report shall be retained by the Manufacturer until the Manufacturer’s Data Report has been signed by the Inspector. The report shall contain the information required by Section V. In addition, a record of repaired areas shall be noted as well as the results of the reexamination of the repaired areas. The Manufacturer shall also maintain a record of all reflections from uncorrected areas having responses that exceed 50% of the reference level.
  • 239.
    238 Liquid Penetrant TestingSection V Article 6, Liquid Penetrant Examination, including Mandatory Appendices II and III: The inspector should be familiar with and understand: 1. The Scope of Article 6, 2. The general rules for applying and using the liquid penetrant method such as, but not limited to; a) Procedures b) Contaminants c) Techniques d) Examination e) Interpretation f) Documentation and g) Record keeping T- 600 Scope The liquid penetrant examination method is an effective means for * detecting discontinuities which are open to the surface of nonporous metals and other materials. Typical discontinuities detectable by this method are cracks, seams, laps, and porosity. In principle, a liquid penetrant is applied to the surface to be examined and allowed to enter. * Closed book question for certain. T- 620 General Liquid penetrant examination shall be performed in accordance with a written procedure. Each procedure shall include at least: (a) The materials, shapes, or sizes to be examined, and the extent of the examination; (b) Type (number or letter designation if available) of each penetrant, penetrant remover, emulsifier, and developer; (c) Processing details for pre-examination cleaning and drying, including the cleaning materials used and minimum time allowed for drying; T- 642 Surface Preparation (a) In general, satisfactory results may be obtained when the surface of the part is in the as-welded, as rolled, as-cast, or as-forged condition. Surface preparation by grinding, machining, or other methods may be necessary where surface irregularities could mask indications of unacceptable discontinuities. (b) Prior to each liquid penetrant examination, the surface to be examined and all adjacent areas within at least 1 in. shall be dry and free of all dirt, grease, lint, scale, welding flux, weld spatter, paint, oil, and other. 1 inch is common to all cleaning operations for NDE.
  • 240.
    239 T- 650 Procedure/ Technique T- 651 Techniques Either a color contrast (visible) penetrant or a fluorescent penetrant shall be used with one of the following three penetrant processes: (a) Water washable (b) Post-emulsifying (c) Solvent removable The visible and fluorescent penetrant used in combination with these three penetrant processes result in six liquid penetrant techniques. 6 Techniques from Two Processes 1. Visible water washable 2. Visible post-emulsifying 3. Visible solvent removable 4. Fluorescent water washable 5. Fluorescent post-emulsifying 6. Fluorescent solvent removable T-652 Techniques for Standard Temperatures As a standard technique, the temperature of the penetrant and the surface of the part to be processed shall not be below 40°F (5°C) nor above 125°F (52°C) throughout the examination period. Local heating or cooling is permitted provided the part temperature remains in the range of 40°F to 125°F (5°C to 52°C) during the examination. Where it is not practical to comply with these temperature limitations, other temperatures and times may be used, provided the procedures are qualified as specified in T-653. These temperatures can be on the Closed Book portion. T-653 Techniques for Nonstandard Temperatures When it is not practical to conduct a liquid penetrant examination within the temperature range of 40°F to 125°F (5°C to 52°C), the examination procedure at the proposed lower or higher temperature range requires qualification of the penetrant materials and processing in accordance with Mandatory Appendix III of this Article. .
  • 241.
    240 Comparator Block AppendixIII T- 654 Technique Restrictions Fluorescent penetrant examination shall not follow a color contrast penetrant examination. Intermixing of penetrant materials from different families or different manufacturers is not permitted. This something that all inspectors are expected to know, Closed Book… A retest with water washable penetrant may cause loss of marginal indications due to contamination. T- 671 Penetrant Application The penetrant may be applied by any suitable means, such as dipping, brushing, or spraying. If the penetrant is applied by spraying using compressed-air-type apparatus, filters shall be placed on the upstream side near the air inlet to preclude contamination of the penetrant by oil… T- 672 Penetration Time Penetration time is critical. The minimum penetration time shall be as required in Table T-672 or as qualified by demonstration for specific applications.
  • 242.
    241 T- 673 ExcessPenetrant Removal After the specified penetration time has elapsed, any penetrant remaining on the surface shall be removed, taking care to minimize removal of penetrant from discontinuities. T- 673.1 Water Washable Penetrant Excess water washable penetrant shall be removed with a water spray. The water pressure shall not exceed 50 psi, and the water temperature shall not exceed 110°F. T- 673.3 Solvent Removable Penetrant Excess solvent removable penetrant shall be removed by wiping with a cloth or absorbent paper, repeating the operation until most traces of penetrant have been removed. The remaining traces shall be removed by lightly wiping the surface with cloth or absorbent paper moistened with solvent. To minimize removal of penetrant from discontinuities, care shall be taken to avoid the use of excess solvent. Flushing the surface with solvent, following the application of the penetrant and prior to developing, is prohibited. Definitely Closed Book T- 674 Drying After Excess Penetrant Removal (a) For the water washable or post-emulsifying technique, the surfaces may be dried by blotting with clean materials or by using circulating air, provided the temperature of the surface is not raised above 125°F (52°C). (b) For the solvent removable technique, the surfaces may be dried by normal evaporation, blotting, wiping, or forced air. T- 675 Developing The developer shall be applied as soon as possible after penetrant removal; the time interval shall not exceed that established in the procedure. Insufficient coating thickness may not draw the penetrant out of discontinuities; conversely, excessive coating thickness may mask indications. With color contrast penetrants, only a wet developer shall be used. With fluorescent penetrant, a wet or dry developer may be used. Developing time for final interpretation begins immediately after the application of a dry developer or as soon as a wet developer coating is dry. The minimum developing time shall be as required by Table T-672. T- 676.1 Final Interpretation Final interpretation shall be made within 10 to 60 min after the requirements of T-675.3 are satisfied. If bleed-out does not alter the examination results, longer periods are permitted. If the surface to be examined is large enough to preclude complete examination within the prescribed or established time, the examination shall be performed in increments. T- 676.2 Characterizing Indications The type of discontinuities is difficult to evaluate if the penetrant diffuses excessively into the developer. If this condition occurs, close observation of the formation of indication (s) during application of the developer may assist in characterizing and determining the extent of the indication.
  • 243.
    242 Appendix 8 Section VIIIMethods for Liquid Penetrant Examination (PT) 8-1 (a) This Appendix describes methods which shall be employed whenever liquid penetrant examination is specified in this Division. 8-2 Certification of Competency of Nondestructive Examination Personnel The manufacturer shall certify that each liquid penetrant examiner meets the following requirements. (a) He has vision, with correction if necessary, to enable him to read a Jaeger Type No. 2 Standard Chart at a distance of not less than 12 in. , and is capable of distinguishing and differentiating contrast between colors used. These requirements shall be checked annually. (b) He is competent in the techniques of the liquid penetrant examination method for which he is certified. 8-3 Evaluation of Indications An indication of an imperfection may be larger than the imperfection that causes it; however, the size of the indication is the basis for acceptance evaluation. Only indications with major dimensions greater than 1/16 in. shall be considered relevant. (a) A linear indication is one having a length greater than three times the width. (b) A rounded indication is one of circular or elliptical shape with the length equal to or less than three times the width. (c) Any questionable or doubtful indications shall be reexamined to determine whether or not they are relevant. 8-4 Acceptance Standards These acceptance standards shall apply unless other more restrictive standards are specified for specific materials or applications within this Division. All surfaces to be examined shall be free of: (a) Relevant linear indications. (b) Relevant rounded indications greater than 3/16 in. (c) Four or more relevant rounded indications in a line separated by 1/16 in. or less (edge to edge).
  • 244.
    243 8-5 Repair Requirements Unacceptableimperfections shall be repaired and reexamination made to assure removal or reduction to an acceptable size. Whenever an imperfection is repaired by chipping or grinding and subsequent repair by welding is not required, the excavated area shall be blended into the surrounding surface so as to avoid sharp notches, crevices, or corners. Where welding is required. All of the Appendices mention this operation for repairs. (a) Treatment of Indications Believed Nonrelevant. Any indication which is believed to be nonrelevant shall be regarded as an imperfection unless it is shown by reexamination by the same method or by the use of other nondestructive methods and/or by surface conditioning that no unacceptable imperfection is present. (b) Examination of Areas From Which Defects Have Been Removed. After a defect is thought to have been removed and prior to making weld repairs, the area shall be examined by suitable methods to ensure it has been removed or reduced to an acceptably sized imperfection. (c) Reexamination of Repair Areas. After repairs have been made, the repaired area shall be blended into the surrounding surface so as to avoid sharp notches, crevices, or corners and reexamined by the liquid penetrant method and by all other methods of examination that were originally required for the affected area, except that, when the depth of repair is less than the radiographic sensitivity required, re-radiography may be omitted.
  • 245.
    244 Magnetic Particle TestingSection V Article 7, Magnetic Particle Examination (Yoke and Prod techniques only) The inspector should be familiar with and understand the general rules for applying and using the magnetic particle method such as, but not limited to; 1. The Scope of Article 7, 2. General requirements such as but not limited to requirements for: a. Procedures b. Techniques (Yoke and Prod only) c. Calibration d. Examination e. Interpretation 3. Documentation and record keeping T- 720 General The magnetic particle examination method may be applied to detect cracks and other discontinuities on or near the surfaces of ferromagnetic materials. The sensitivity is greatest for surface discontinuities and diminishes rapidly with increasing depth of subsurface discontinuities below the surface. Typical types of discontinuities that can be detected by this method are cracks, laps, seams, maximum sensitivity will be to linear discontinuities oriented perpendicular to the lines of flux. For optimum effectiveness in detecting all types of discontinuities, each area should be examined at least twice, with the lines of flux during one examination approximately perpendicular to the lines of flux during the other. T-721 Written Procedures T- 721.1 Requirements Magnetic particle examination shall be performed in accordance with a written procedure, which shall as a minimum contain the requirements listed in Table T-721. The written procedure shall establish a single value, or a range of values, for each requirement.
  • 246.
    245 T- 721.2 ProcedureQualifications When Procedure qualification is specified, a change of a requirement in Table T-721 identified as an essential variable from the specified value, or range of values shall require requalification of the written procedure. T- 741 Surface Conditioning T- 741.1 Preparation (b) Prior to magnetic particle examination, the surface to be examined and all adjacent areas within at least *1 in. Once again we see that 1in is the standard distance for cleaning prior all the surface examinations. T- 750 TECHNIQUE T- 751 Techniques One or more of the following five magnetization techniques shall be used: (a) Prod technique: (b) Longitudinal ….. Not on Exam (c) Circular …….Not on Exam (d) Yoke technique: (e) Multidirectional….. Not on ExamT – 752 Prod TechniqueT-752.1 Magnetizing Procedure. For the prod technique, magnetization is accomplished by portable. T-752.2 Direct or rectified magnetizing current shall be used. The current shall be 100 (minimum) amp/in. to 125 (maximum) amp/in. of prod spacing for sections 3/4 in. thick or greater. For sections less than 3/4 in. thick, the current shall be 90 amp/in. to 110 amp/in. of prod spacing. This is not something the every day inspector would know as part of his work. It should be Open Book. T-752.3 Prod spacing shall not exceed 8 in . Shorter spacing may be used to accommodate the geometric limitations of the area being examined or to increase the sensitivity, but prod spacing of less than 3 in are usually not practical due to banding of the particles around the prods. Reported to be on Closed Book T- 755 Yoke Technique T-755.1 Application This method shall only be applied to detect discontinuities that are open to the surface of the part. T-755.2 Magnetizing Procedure. For this technique alternating or direct current electromagnetic yokes, or permanent magnet yokes shall be used. Note: For materials 1/4” or less in thickness, alternating current yokes are superior to direct or permanent magnet yokes of equal lifting power for the detection of SURFACE discontinuities. Closed book for sure.
  • 247.
    246 T- 760 Calibrationof Equipment (a) Frequency. Each piece of magnetizing equipment with an ammeter shall be calibrated at least once a year, or whenever the equipment has been subjected to major electric repair, periodic overhaul, or damage. If equipment has not been in use for a year or more, calibration shall be done prior to first use.(b) Procedure. The accuracy of the unit’s meter shall be verified annually by equipment traceable to a national standard. Comparative readings shall be taken for at least three different current output levels encompassing the usable range.(c) Tolerance. The unit’s meter reading shall not deviate by more than ±10% of full scale, relative to the actual current value as shown by the test meter. T- 762 Lifting Power of Yokes (a) Prior to use, the magnetizing power of electromagnetic yokes shall have been checked within the past year. The magnetizing power of permanent magnetic yokes shall be checked daily prior to use. The magnetizing power of all yokes shall be checked whenever the yoke has been damaged or repaired. (b) Each alternating current electromagnetic yoke shall have a lifting power of at least 10 lb at the maximum pole spacing that will be used. (c) Each direct current or permanent magnetic yoke shall have a lifting power of at least 40 lb (18.1 kg) at the maximum pole spacing that will be used. On almost every exam both open and closed book.
  • 248.
    247 T- 764 MagneticField Adequacy and Direction T-764.1 Magnetic Field Adequacy The applied magnetic field shall have sufficient strength to produce satisfactory indications, but shall not be so strong… T-764.1.1 Pie-Shaped Magnetic Particle Field Indicator The indicator, shown in Fig T-764.1.1 shall be positioned on the surface to be examined, such that the copper-plated side is away from the inspected surface. A suitable field strength is indicated when a clearly defined line… T-764.1.2 Artificial Flaw Shims The shim, shown in Fig T-764.1.2 shall be attached to the surface to be examined, such that the… Hall Effect not on Examination.
  • 249.
    248 T- 773 Methodof Examination The ferromagnetic particles used in an examination medium can be either wet or dry, an may be either fluorescent or nonfluorescent. Examination(s) shall be by the * continuous method. (a) Dry Particles. The magnetizing current shall remain on while the examination medium is being applied and while any excess of the examination medium is being removed. (b) Wet Particles. The magnetizing current shall be turned on ** after the particles have been applied. Flow particles shall stop with the application of current. Known to be test questions on both halves. T- 774 Examination Coverage All examinations shall be conducted with sufficient field overlap to ensure 100% coverage at the required sensitivity (T-753). T – 777.1 Visible (Color Contrast) Magnetic Particles... A minimum light intensity of 100 fc (1000 Lx) is required to ensure adequate sensitivity during the examination and evaluation of indications.
  • 250.
    249 T-777.2 Fluorescent MagneticParticles With Black Light With fluorescent magnetic particles, the process is essentially the same as in T-777.1, with the exception that the examination is performed using an ultraviolet light (i.e., nominal 365 nm), called black light. The examination shall be performed as follows: (a) It shall be performed in a darkened area. (b) Examiners shall be in a darkened area for at least 5 min prior to performing examinations to enable their eyes to adapt to dark viewing. Glasses or lenses worn by examiners shall not be photochromic or exhibit anyfluorescence. (c) Black lights shall achieve a minimum of 1000 uW/cm 2 on the surface of the part being examined throughout the examination. (d) Reflectors, filters, glasses, and lenses should be checked and, if necessary, cleaned prior to use. Cracked or broken reflectors, filters, glasses, or lenses shall be replaced immediately. (e) The black light intensity shall be measured with a black light meter prior to use, whenever the light’s power source is interrupted or changed, and at the completion of the examination or series of examinations. T- 780 Evaluation (a) All indications shall be evaluated in terms of the acceptance standards of the referencing Code Section. (b) Discontinuities on or near the surface are indicated by retention of the examination medium. However, localized surface irregularities due to machining marks or other surface conditions may produce false indications. (c) Broad areas of particle accumulation, which might mask indications from discontinuities, are prohibited, and such areas shall be cleaned and reexamined.
  • 251.
    250 Appendix 6 SectionVIII Magnetic Particle Examination (MT) 6-1 Scope(a) This Appendix provides for procedures which shall be followed whenever magnetic particle examination is specified in this Division. (b) Article 7 of Section V shall be applied for the detail requirements in methods and procedures,… (c) Magnetic particle examination shall be performed in accordance with a written procedure,… 6 – 2 Certification of Competency for Nondestructive Examination PersonnelThe manufacturer shall certify that each magnetic particle examiner meets the following requirements.(a) He has vision, with correction if necessary, to enable him to read a Jaeger Type No. 2 Standard Chart at a distance of not less than 12 in., and is capable of distinguishing and differentiating contrast between colors used. These requirements shall be checked annually. Repeat of the other appendices. (b) He is competent in the techniques of the magnetic particle examination method, for which he is certified, 6-3 Evaluation of Indications Indications will be revealed by retention of magnetic particles. All such indications are not necessarily imperfections, however, since excessive surface roughness, magnetic permeability variations (such as at the edge of heat affected zones), etc., may produce similar indications. An indication of an imperfection may be larger than the imperfection that causes it; however, the size of the indication is the basis for acceptance evaluation. Only indications which have any dimension greater than ** 1/16 in. shall be considered relevant. ** Same as for Dye Penetrant!(a) A linear indication is one having a length greater than three times the width. Repeat……of the description of a linear indication from other NDE methods such as Dye penetrant. (b) A rounded indication is one of circular or elliptical shape with a length equal to or less than three times its width. Repeat of the description of a rounded indication.(c) Any questionable or doubtful indications shall be reexamined to determine whether or not they are relevant. 6 – 4 Acceptance StandardsThese acceptance standards shall apply unless other more restrictive standards are specified for specific materials or applications within this Division. All surfaces to be examined shall be free of: (a) Relevant linear indications;(b) Relevant rounded indications greater than 3/16 in. ;(c) Four or more relevant rounded indications in a line separated by 1/16 in. or less, edge to edge.
  • 252.
    251 Lesson 17 RP-577 WeldingInspection and Metallurgy Introduction Much of the content of RP-577 has been gathered from other technical and Code publications. Overall it is a fine publication and represents a lot of hard work. Since many of these subjects are covered in previous lessons, such as several of the NDE processes and Welding procedures this lesson will not address those same issues again, unless there is added information not presented previously. RP-577 should be taken quite seriously during study. It is a new document on the examination, and as such you should expect approximately 10 questions from it. You may even prefer to use this document as your primary source for the study of welding and NDE as it is specifically pointed at in-service inspection methods. However the ASME Code Sections V, VIII Div.1 and, IX must not be neglected as they are still a part of the examination. The parts of RP-577 covered in the lesson will not be addressed completely. The effort will be to introduce the topics of RP-577 and familiarize the student with its content and study responsibilities. However a question and answer study exercise has been provided for exam preparation. Lesson Objectives • Become familiar with definitions and welding inspection terminology • Understand the tasks and processes required to perform welding inspections. - Tasks Prior to Welding. - Tasks during Welding Operations - Tasks upon Completion of Welding - Non-conformances and Defects - NDE Examiner Certification - Safety Precautions • Introduce the welding process types and their advantages and disadvantages based on intended application, these include: - Shielded Metal Arc Welding (SMAW) - Gas Tungsten Arc Welding (GTAW) - Gas Metal Arc Welding (GMAW) - Flux Core Arc Welding (FCAW) - Submerged Arc Welding (SAW) - Stud Arc Welding (SW)
  • 253.
    252 Lesson Objectives • IntroduceNon-Destructive Examinations methods not covered in previous class lessons and their applications, to include; - Types of Discontinuities - Materials Identification methods - Visual Examination (VT) - Alternating Current Field Measurement (ACFM) - Eddy Current Inspection (ET) - Hardness Testing - Pressure and Leak Testing (LT) - Weld Inspection Data Recording • Outline basic application of metallurgy to the welding processes, including; - The Structure of Metals and Alloys - Physical Properties - Mechanical Properties - Preheating - Post-weld Heat Treatment - Hardening - Material Test Reports - Weldability of Steels - Weldability of High-alloys • Present the nature of and remedies for Refinery and Petrochemical Plant Welding Issues, such as; - General Issues in welding - Hot Tapping and In-service Welding - Lack of Fusion with GMAW-S Welding Process Other Items to be discussed • Welding Terminology and Welding Symbols • Actions to Address Improperly made production welds. • Guide to common filler metals selection • Example RT reports
  • 254.
    253 We will beginwith Section 3 - Definitions Once again we will not attempt to cover any of these items in their entirety during class. This is to be considered an introduction to RP-577 and to the subject material on the exam Body of Knowledge. Definitions Many of the definitions listed are common and probably many of these you already know. However what you and I think of as being one thing, they may use a different term for. Example: Penetrameter is an outdated term it is now called an Image Quality Indicator (IQI). We will go through a few of the less known definitions, but subjects from RP-577 are largely a read and remember task for the exam. ‘Some of the less known’ Autogenous weld: A fusion weld made without filler metal. (The most common of these types of welds is made on tubing and performed with Gas Tungsten Arc Welding often using an automated welding device) Actual throat: The shortest distance between the weld root and the face of a fillet weld. Be sure to spend some time learning to recognize definitions!
  • 255.
    254 Section 4 Welding Inspection Thefocus of Section 4 is to detail the tasks that are considered the responsibility of the Inspection group as well other concerned parties who will design, examine, or perform welding. The other issues that the inspector must address as part of tasks prior to welding are; NDE Information Welding Equipment and Instruments Heat Treatment and Pressure Testing Materials Weld Preparation Preheat Welding Consumables The items above are very similar in there language as to the individual of the various group’s responsibilities, concentrate on the INSPECTOR’S tasks during your studies. While Section 4 of RP-577 is rather lengthy, it follows a definite outlined pattern. The emphasis should be on items that you do not have actual work experience with. For example if you have not followed a PWHT procedure spend your time studying these items as opposed to something you have experience with. Do not overlook items such as Safety Precautions or Documentation during your studies.
  • 256.
    255 Welding Processes • These6 welding process types and their advantages and disadvantages based on intended application should be thoroughly understood prior to examination day. The following is a brief overview of; - Shielded Metal Arc Welding (SMAW) - Gas Tungsten Arc Welding (GTAW) - Gas Metal Arc Welding (GMAW) - Flux Core Arc Welding (FCAW) - Submerged Arc Welding (SAW) - Stud Arc Welding (SW) 5.2 Shielded Metal Arc Welding (SMAW) SMAW is the most widely used of the various arc welding processes. SMAW uses an arc between a covered electrode and the weld pool. It employs the heat of the arc, coming from the tip of a consumable covered electrode, to melt the base metal. Shielding is provided from the decomposition of the electrode covering, without the application of pressure and with filler metal from the electrode. • Either alternating current (ac) or direct current (dc) may be employed, depending on the welding power supply and the electrode selected. • A constant-current (CC) power supply is preferred. SMAW is a manual welding process. See Figures 1 and 2 for schematics of the SMAW circuit and welding process.
  • 257.
    256 • Advantages - Simple,inexpensive and portable - Useable in tight places - Less sensitive to wind and drafts than other processes - Useable with most common metals and alloys • Limitations - Slow welding compared to GMAW or SAW - Cleaning problems due to slag left from electrode covering Study each of the six welding processes in order to recognize these by written descriptions. Get to know the advantages and disadvantages of all six.
  • 258.
    257 Appendix A Terminologyand Symbols We will defer the NDE and Metallurgy coverage for now and stay with the welding topics from RP-571. Appendix A consists of 5 pages of graphics. The topics are; A.1 Weld Joint Types A.2 Weld Symbols A.3 Weld Joint Nomenclature A.4 Electrode Identification A.1 Weld Joint Types • You may be required to identify any of these joints based on a description or a sketch.
  • 259.
    258 A.2 Weld Symbols A-3Supplementary Symbols A.4 Weld Joint Nomenclature
  • 260.
    259 A.5 Weld JointNomenclature A.6 Electrode Identification SMAW You can be required answer Closed Book questions on the AWS Classification shown in these figures. A.7 Electrode Identification GMAW/GTAW
  • 261.
    260 A.8 Electrode Identification FCAW A.9Electrode Identification SAW
  • 262.
    261 Appendix B Actions toAddress Improperly Made Production Welds The following flow charts are the recommended method of addressing problems during welding. Here again we have case of just having to try and remember where this information is and possibly answer a Open Book question as regards the proper corrective action based on the listed circumstances. Production welds made by an unqualified welder or an improper welding procedure should be addressed to assure the final weldments meet the service requirements. A welder may be unqualified for several reasons including expired qualification, not qualified for the thickness, not qualified in the technique, or not qualified for the material of construction. Figure B-1 details some potential steps to address the disposition of these welds. A welding procedure may be improper if the weldment is made outside the range of essential variables (and supplementary essential variables, if required) qualified for the WPS. Figure B-2 details some potential steps to address weldments made with an improper welding procedure. Figure B -1 Suggested Actions for Welds Made by an Incorrect Welder Identify and quarantine all improper weldments made by welder Test Welder to qualify Identify reason for failure and retrain welder Retest Welder Perform additional NDE of production welds Accept and Document welds Repair welds that failed NDE requirements Cut Out Weld(s) Pass Fail Pass Pass Fail Fail Potential Causes a. Expired qualification. b. Not qualified in range. c. Not qualified in method. d. Not qualified in material
  • 263.
    262 Figure B-2 Stepsto Address Production Welds Made to an Improper WPS Identify and quarantine all weldments made to the improper WPS Review criticality of the differences Specify changes to obtain proper WPS Review PQR for suitability or rerun PQR Apply NDE QA/QC Accept and Document welds Repair weld Cut Out and reweld with correct WPS Welment has minor impact on component integrity Pass Suitable for application Unsuitable for application Welment has significant impact on component integrity Fail Cut Out and reweld with correct WPS
  • 264.
    263 Appendix D Expect “Lookup Questions” from these tables.
  • 265.
  • 266.
    265 Section 9 Non-DestructiveExamination In this section we will primarily cover the NDE process not covered in ASME Section V. For classroom instruction we will only go over the highlights, strengths and weakness of the given processes. Once again this is a subject that will demand a lot of personal study for the candidate to do well on the exam. Expect to put many hours into this and the previous welding material. Be warned, as regards the examination the amount of detail about the actual practice of NDE in Section 9 is huge, when taken as a whole. It is really only an overview of the common NDE processes. There are about 13 pages of text, a dozen or so Tables, and approximately 40 Figures. This is going to take a lot of study. Section 9 Non-Destructive Examination Discontinuities The following statements from this section should give a good clue as to how the API committee will handle questions from this area. “The inspector should choose an NDE method capable of detecting the discontinuity in the type of weld joint due to the configuration. Table 2 and Figure 11 list the common types and location of discontinuities and illustrate their positions within a butt weld. The most commonly used NDE methods used during weld inspection are shown in Table 3.” “Table 4 lists the various weld joint types and common NDE methods available to inspect their configuration. Table 5 further lists the detection capabilities of the most common NDE methods. Additional methods, like alternating current field measurement (ACFM), have applications in weld inspection and are described in this section but are less commonly used.” “The inspector should be aware of discontinuities common to specific base metals and weld processes to assure these discontinuities are detectable. Table 6 is a summary of these discontinuities, potential NDE methods and possible solutions to the weld process
  • 267.
    266 Table - 2Common Types of Discontinuities Table - 2 Common Types of Discontinuities Numbers in Circles refer to Table 2
  • 268.
    267 Table 3 CommonlyUsed NDE Methods Table 4 - Capability of the Applicable Method for Weld Types Table 5 - Capability of the Applicable Method Vs. Discontinuity
  • 269.
    268 Table 6 -Discontinuities Commonly Encountered in Welding Processes
  • 270.
    269 9.2 MATERIALS IDENTIFICATION Duringwelding inspection, the inspector may need to verify the conformance of the base material and filler metal chemistries with the selected or specified alloyed materials. This may include reviewing the certified mill test report, reviewing stamps or markings on the components, or require PMI testing. It is the responsibility of the owner/user to establish a written material verification program indicating the extent and type of PMI to be conducted. Guidelines for material control and verification are outlined in API RP 578. 9.3 VISUAL EXAMINATION (VT) 9.3.1 General Visual examination is the most extensively used NDE method for welds. It includes either the direct or indirect observation of the exposed surfaces of the weld and base metal. Direct visual examination is conducted when access is sufficient to place the eye within 6 in. – 24 in. (150 mm – 600 mm) of the surface to be examined and at an angle not less than 30 degrees to the surface as illustrated in Figure 12. Mirrors may be used to improve the angle of vision. Remote visual examination may be substituted for direct examination. 9.3.1 General Remote examination may use aids such as telescopes, borescopes, fiberscope, cameras or other suitable instruments, provided they have a resolution at least equivalent to that which is attained by direct visual examination. In either case, the illumination should be sufficient to allow resolution of fine detail. These illumination requirements are to be addressed in a written procedure. Figure 12 – Direct Visual Examination Requirements
  • 271.
    270 • Complete yourstudies by becoming familiar with all of the remaining topics in this section. 9.3.2.1 Optical Aids 9.3.2.2 Mechanical Aids 9.3.2.3 Weld Examination Devices • Concentrate on the various figures and the name of each inspection device, how it is used, and what it is used for. Also be aware that pictures can be part of the exam. Example Weld Examination Device: The inspection tool in the picture below is ______________. 1. A Bridge Cam Gauge 2. A T-Fillet Weld Gauge 3. A Weld Fillet Gauge 4. An Adjustable Fillet Weld Gauge
  • 272.
    271 9.5 Alternating CurrentField Measurement (ACFM) Principle of Operation • The ACFM technique is an electromagnetic non-contacting technique that is able to detect and size surface breaking defects in a range of different materials and through coatings of varying thickness. • This technique is ideal for inspecting complex geometries such as nozzles, ring-grooves, grind-out areas or radiuses. It requires minimal surface preparation and can be used at elevated temperatures up to 900°F (482°C). • With its increased sensitivity to shallow cracks, ACFM is used for the evaluation and monitoring of existing cracks. • ACFM uses a probe similar to an eddy current probe and introduces an alternating current in a thin skin near to the surface of any conductor. When a uniform current is introduced into the area under test, if it is defect free, the current is undisturbed. • If the area has a crack present, the current flows around the ends and the faces of the crack. A magnetic field is present above the surface associated with this uniform alternating current and will be disturbed if a surface-breaking crack is present. Spend time becoming familiar with the various NDE methods and their proper applications. If you are familiar with most of the NDE methods then concentrate on those you may not have been exposed to, such as ACFM.
  • 273.
    272 10 Metallurgy Solid metalsare crystalline in nature and all have a structure in which the atoms of each crystal are arranged in a specific geometric pattern. The physical properties of metallic materials including strength, ductility and toughness can be attributed to the chemical make-up and orderly arrangement of these atoms. • Metals in molten or liquid states have no orderly arrangement to the atoms contained in the melt. As the melt cools, a temperature is reached at which clusters of atoms bond with each other and start to solidify developing into solid crystals within the melt. The individual crystals of pure metal are identical except for their orientation and are called grains. • As the temperature is reduced further, these crystals change in form eventually touch and where the grains touch an irregular transition layer of atoms is formed, which is called the grain boundary. Eventually the entire melt solidifies, interlocking the grains into a solid metallic structure called a casting. • Knowledge of cast structures is important since the welding process is somewhat akin to making a casting in a foundry. • Because of the similarity in the shape of its grains, a weld can be considered a small casting. • A solidified weld may have a structure that looks very much like that of a cast piece of equipment. However, the thermal conditions that are experienced during welding produce a cast structure with characteristics unique to welding. 10.2.3 Welding Metallurgy We will begin our discussion here with Welding Metallurgy. Previous sections about the structures of metals are very general in nature, reading these a time or two should be sufficient preparation.
  • 274.
    273 Some Important Points Most typical weld metals are rapidly solidified and, like the structure of a casting described earlier, usually solidify in the same manner as a casting and have a fine grain dendritic micro structure.  The solidified weld metal is a mixture of melted base metal and deposited weld filler metal, if used.  The heat-affected zone (HAZ) is adjacent to the weld and is that portion of the base metal that has not been melted, but whose mechanical properties or microstructure have been altered by the preheating temperature and the heat of welding.  There will typically be a change in grain size or grain structure and hardness in the HAZ of steel.  The size or width of the HAZ is dependent on the heat input used during welding.  For carbon steels, the HAZ includes those regions heated to greater than 1350°F (700°C). Each weld pass applied will have its own HAZ and the overlapping heat affected zones will extend through the full thickness of the plate or part welded.  The third component in a welded joint is the base metal.  The physical properties of base metals, filler metals and alloys being joined can have an influence on the efficiency and applicability of a welding process.  Examples of physical properties of a metal are the melting temperature, the thermal conductivity, electrical conductivity, the coefficient of thermal expansion, and density. Summary Spend time with this material; questions would be expected to few and fairly simple on this material. However do not neglect it all together.
  • 275.
    274 11 Refineries andPetrochemical Plant Welding Issues 11.1 General This section provides details of specific welding issues encountered by the inspector in refineries and petrochemical plants. 11.2 Hot Tapping and In-Service Welding • API Publication 2201 provides an in depth review of the safety aspects to be considered. • The following is a brief summary of welding related issues. • Two primary concerns when welding on in-service piping and equipment are burn through and cracking. • Burn through will occur if the un-melted area beneath the weld pool can no longer contain the pressure within the pipe or equipment. • Weld cracking results when fast weld-cooling rates produce a hard, crack-susceptible weld microstructure. • Fast cooling rates can be caused by flowing contents inside the piping and equipment, which remove heat quickly. 11.2.1 Electrode Considerations • Hot tap and in-service welding operations should be carried out only with low-hydrogen consumables and electrodes (e.g., E7016, E7018 and E7048). • Extra-low-hydrogen consumables such as Exxxx-H4 should be used for welding carbon steels with CE greater than 0.43% or where there is potential for hydrogen assisted cracking (HAC) such as cold worked pieces, high strength, and highly constrained areas. • Cellulosic type electrodes (e.g., E6010, E6011 or E7010) may be used for root and hot passes. • Root pass with low-hydrogen electrodes reduces risk of Hydrogen Assisted Cracking (HAC). It also reduces risk of burn through. 11.2.1 Electrode Considerations It should be noted that cellulosic electrodes have the following adverse effects on the integrity of the weldment: a. Deep penetration, therefore higher risk of burn-through than low-hydrogen electrodes; and b. High diffusible hydrogen, therefore higher risk of hydrogen assisted cracking. 11.2.2 Flow Rates
  • 276.
    275 Under most conditions,it is desirable to maintain some product flow inside of any material being welded. This helps to dissipate the heat and to limit the metal temperature. Liquid flow rates in piping shall be between 1.3 ft/ sec. and 4.0 ft/sec. (0.4 m/sec. and 1.3 m/sec.). Faster liquid flow rates may cool the weld area too quickly and thereby cause hard zones that are susceptible to weld cracking or low toughness properties in the weldment. Because this is not a problem when the pipe contains gases, there is no need to specify a maximum velocity. If the normal flow of liquids exceeds these values or if the flow cools the metal to below dew point, it is advisable to compensate by preheating the weld area to at least 70°F (20°C) and maintaining that temperature until the weld has been completed. Some Important Points • Welding on a line under no-flow conditions or intermittent flow conditions, e.g., a flare line, shall not be attempted unless it has been confirmed that no explosive or flammable mixture will be present. • It shall be confirmed that no ingress of oxygen in the line is possible. In cases where this requirement cannot be met, inert gas or nitrogen purging is recommended. • An appropriate flow rate should be maintained to minimize the possibility of burn-through or combustion. The minimum flow rate is 1.3 ft/sec. (0.4 m/sec.) for liquid and gas. • For liquids, the maximum flow rate usually required to minimize risk of high hardness weld zone due to fast cooling rate. There is no restriction in maximum velocity for gas lines, subject to maintaining preheat temperatures. 11.2.3 Other Considerations To avoid overheating and burn through, the welding procedure specification should be based on experience in performing welding operations on similar piping or equipment, and/or be based on heat transfer analysis. Many users establish procedures detailing the minimum wall thickness that can be hot tapped or welded in-service for a given set of conditions like pressure, temperature, and flow rate. To minimize burn through, the first weld pass to equipment or piping less than 1/4 in. (6.35 mm) thick should be made with 3/32 in. (4.76 mm) or smaller diameter welding electrode to limit heat input. For equipment and piping wall thicknesses where burn through is not a primary concern, a larger diameter electrode can be used. Weaving the bead should also be avoided as this increases the heat input. Adverse effects can also occur from the heat on the process fluid. In addition, welds associated with hot taps or in-service welding often cannot be stress relieved and may be susceptible to cracking in certain environments.
  • 277.
    276 Any hot tappingor in-service welding on systems containing those listed in Table 13 should be carefully reviewed. Substance Hot Tapping/ In-Service Welding Hazard Acetylene Explosion or unstable reaction with the addition of localized heat. Acetonitrile Explosion or unstable reaction with the addition of localized heat. Amines and caustic Stress corrosion cracking due to high thermal stress upon the addition of localized heat and high hardness of non-PWHT’s Weld. Hydrogen embrittlement Butadiene Explosion or unstable reaction Chlorine Carbon Steel will burn in the presence of chlorine and high heat Compressed Air Combustion /metal burning Ethylene Exothermic decomposition or explosion Ethylene Oxide Exothermic decomposition or explosion Hydrogen High temperature hydrogen attack Hydrogen assisted cracking Hydrogen Sulfide (wet H2S) Stress corrosion cracking due to high hardness of non-PWHT’s weld. Hydrogen embrittlement. Pyrophoric scale. Hydrofluoric Acid Hazardous substance. Oxygen Combustion/metal burning Propylene Explosion or unstable reaction Propylene Oxide Explosion or unstable reaction Steam High pressure steam can blow out.
  • 278.
    277 11.2.4 Inspection Some ImportantPoints Inspection tasks typically associated with hot tapping or welding on in-service equipment should include: a. Verifying adequate wall thickness along the lengths of the proposed welds typically using UT or RT. b. Verifying the welding procedure. Often, plants have welding procedures qualified specifically for hot taps and in service welding. c. Verifying flow conditions. d. Specifying the sequence of welding full encirclement sleeves and fittings (circumferential and longitudinal welds). e. Verifying fit-up of the hot tap fitting. f. Auditing welding to assure the welding procedure is being followed. g. Perform NDE of completed welds. Typically this includes VT, UT shear wave using special procedures for the joint configuration, MT or PT as applicable for material and temperature. h. Witness leak testing of fitting, if specified.
  • 279.
    278 11.3 Lack of Fusionwith GMAW-S Welding Process A large quantity of ASTM A 106, Grade B Pipe, 4 in. through 10 in. was found to have lack of fusion (LOF) after being fabricated using the GMAW-S welding process. This piping was in normal fluid service and required 5% radiographic examination. Initially the radiographic film was read acceptable, but LOF it is not easily interpreted by most radiographers. During this piping project, a weld was found to have lack of fusion while modifying a spool piece. The cut through the weld revealed the defect. Follow-up investigation and further examination indicated the root pass was acceptable in all cases, but subsequent weld passes exhibited LOF when a radiographer experienced in this particular discontinuity, read the film. ASME B31.3 considers LOF a defect. The gas metal arc welding (GMAW) process can utilize various metal transfer modes. When using the low voltage, short circuiting mode (designated by the -S extension), the molten weld puddle is able to freeze more quickly. This allows the unique ability to weld out of position, to weld thin base metals, and to weld open butt root passes. Due to this inherent nature of the welding process the BPV Code Section IX, restricts this process by: a) Requiring welders qualify with mechanical testing rather than by radiographic examination. b) Limiting the base metal thickness qualified by the procedure to 1.1 times the test coupon thickness for coupons less than 1/2 in. thick (12.7 mm) per variable QW-403.10. c) Limiting the deposited weld metal thickness qualified by the procedure to 1.1 times the deposited thickness for coupons less than 1/2 in. thick (12.7 mm) per variable QW-404-32. d) Making variable QW-409.2 an essential variable when qualifying a welder for the GMAW-S process.
  • 280.
    279 Lesson 18 RP 571 DamageMechanisms Affecting Fixed Equipment in the Refining Industry The following lesson will give an example a type of failure from each section and category listed on the API 510 exam Body of Knowledge. This will only be a brief introduction, a practice exercise covering all of the topics has been provided in the study material. The damage mechanisms are divided into the following categories: a) Mechanical and Metallurgical Failure b) Uniform or Localized Loss of Thickness c) High Temperature Corrosion d) Environment Assisted Cracking e) Refinery Industry Damage Mechanisms From these four groups you are responsible for; a) Mechanical and Metallurgical Failure • 4.2.3 – Temper Embrittlement • 4.2.7 – Brittle Fracture • 4.2.9 – Thermal Fatigue • 4.2.14 – Erosion/Erosion-Corrosion • 4.2.16 – Mechanical Failure b) Uniform or Localized Loss of Thickness • 4.3.2 – Atmospheric Corrosion • 4.3.3 – Corrosion Under Insulation (CUI) • 4.3.4 – Cooling Water Corrosion • 4.3.5 – Boiler Water Condensate Corrosion c) High Temperature Corrosion • 4.4.2 – Sulfidation d) Environment Assisted Cracking • 4.5.1 – Chloride Stress Corrosion Cracking (Cl-SCC) • 4.5.2 – Corrosion Fatigue • 4.5.3 – Caustic Stress Corrosion Cracking (Caustic Embrittlement) e) Refinery Industry Damage Mechanisms 1. Environment Assisted • 5.1.2.3 – Wet H2S Damage Blistering/HIC/SOHIC/SCC) 2. Other Mechanisms • 5.1.3.1 – High Temperature Hydrogen Attack (HTHA)
  • 281.
    280 Mechanical and MetallurgicalFailure 4.2.3 Temper Embrittlement Description of Damage  Temper embrittlement is the reduction in toughness due to a metallurgical change that can occur in some low alloy steels as a result of long term exposure in the temperature range of about 650 o F to 1100 o F (343 o C to 593 o C).  Although the loss of toughness is not evident at operating temperature, equipment that is temper embrittled may be susceptible to brittle fracture during start-up and shutdown. Affected Materials  Primarily 2.25Cr-1Mo low alloy steel, 3Cr-1Mo (to a lesser extent), and the high-strength low alloy Cr- Mo-V rotor steels.  Older generation 2.25Cr-1Mo materials manufactured prior to 1972 may be particularly susceptible. Some high strength low alloy steels are also susceptible.  The C-0.5Mo and 1.25Cr-0.5Mo alloy steels are not significantly affected by temper embrittlement. Affected Units or Equipment Equipment susceptible to temper embrittlement is most often found in:  Hydroprocessing units, particularly reactors.  Hot feed/effluent exchanger components, and hot HP separators.  Catalytic reforming units (reactors and exchangers), FCC reactors, coker and visbreaking units.  Welds in these alloys are often more susceptible than the base metal and should be evaluated.
  • 282.
    281 Appearance of Damage Temper embrittlement is a metallurgical change that is not readily apparent and can be confirmed through impact testing. Damage due to temper embrittlement may result in catastrophic brittle fracture.  Temper embrittlement can be identified by an upward shift in the ductile-to-brittle transition temperature measured in a Charpy V-notch impact test, as compared to the non-embrittled or de- embrittled material. Inspection and Monitoring  A common method of monitoring is to install blocks of original heats of the alloy steel material inside the reactor. Samples are periodically removed from these blocks for impact testing to monitor progress of temper embrittlement or until a major repair issue arises.  Process conditions should be monitored to ensure that a proper pressurization sequence is followed to  help prevent brittle fracture due to temper embrittlement.
  • 283.
    282 Uniform or LocalizedLoss of Thickness 4.3.2 Atmospheric Corrosion Description of Damage  A form of corrosion that occurs from moisture associated with atmospheric conditions. Marine environments and moist polluted industrial environments with airborne contaminants are most severe. Dry rural environments cause very little corrosion. Affected Materials  Carbon steel, low alloy steels and copper alloyed aluminum. Affected Units or Equipment  Piping and equipment with operating temperatures sufficiently low to allow moisture to be present.  Paint or coating system in poor condition.  Equipment may be susceptible if cycled between ambient and higher or lower operating temperatures.  Equipment shut down or idled for prolonged periods unless properly mothballed.  Tanks and piping are particularly susceptible. Piping that rests on pipe supports is very prone to attack due to water entrapment between the pipe and the support.  Bimetallic connections such as copper to aluminum electrical connections. Appearance  The attack will be general or localized, depending upon whether or not the moisture is trapped.  If there is no coating or if there is a coating failure, corrosion or loss in thickness can be general.  Localized coating failures will tend to promote corrosion.  Metal loss may not be visually evident, although normally a distinctive iron oxide (red rust) scale forms. Inspection and Monitoring  VT and UT are techniques that can be used.
  • 284.
    283 High Temperature Corrosion[400 o F (204 o C)] Sulfidation (Also known as Sulfidic Corrosion) Description of Damage Corrosion of carbon steel and other alloys resulting from their reaction with sulfur compounds in high temperature environments. The presence of hydrogen accelerates corrosion. Affected Materials  All iron based materials including carbon steel and low alloy steels, 300 Series SS and 400 Series SS.  Nickel base alloys are also affected to varying degrees depending on composition, especially chromium content.  Copper base alloys form sulfide at lower temperatures than carbon steel. Affected Units or Equipment  Sulfidation occurs in piping and equipment in high temperature environments where sulfur- containing streams are processed.  Common areas of concern are the crude, FCC, coker, vacuum, visbreaker and hydroprocessing units.  Heaters fired with oil, gas, coke and most other sources of fuel may be affected depending on sulfur levels in the fuel.  Boilers and high temperature equipment exposed to sulfur-containing gases can be affected. Appearance of Damage  Depending on service conditions, corrosion is most often in the form of uniform thinning but can also occur as localized corrosion or high velocity erosion-corrosion damage.  A sulfide scale will usually cover the surface of components. Deposits may be thick or thin depending on the alloy, corrosiveness of the stream, fluid velocities and presence of contaminants Sulfidation Failure in an Elbow
  • 285.
    284 Inspection and Monitoring Process conditions should be monitored for increasing temperatures and/or changing sulfur levels.  Temperatures can be monitored through the use of tube skin thermocouples and/or infrared thermography.  Evidence of thinning can be detected using external ultrasonic thickness measurements and profile radiography.  Proactive and retroactive PMI programs are used for alloy verification and to check for alloy mix- ups in services where Sulfidation is anticipated.
  • 286.
    285 Environment – AssistedCracking Chloride Stress Corrosion Cracking A cracking process that requires the simultaneous action of a corrodent and sustained tensile stress This excludes corrosion-reduced sections that fail by fast fracture. It also excludes intercrystalline or transcrystalline corrosion, which can disintegrate an alloy without applied or residual stress. Stress- corrosion cracking may occur in combination with hydrogen embrittlement. Description of Damage Surface initiated cracks caused by environmental cracking of 300 Series Stainless Steel and some nickel base alloys under the combined action of:  Tensile stress  Temperature  Aqueous chloride environment.  The presence of dissolved oxygen increases chances for cracking. Affected Materials  All 300 Series Stainless Steels are highly susceptible. b) Duplex stainless steels are more resistant. c) Nickel base alloys are highly resistant. Affected Units or Equipment  All 300 Series SS piping and pressure vessel components in any process units are susceptible to CUl-SCC.  Cracking has occurred in water-cooled condensers and in the process side of crude tower overhead condensers.  Drains in hydroprocessing units are susceptible to cracking during startup/shutdown if not properly purged.
  • 287.
    286 Appearance of Damage Surface breaking cracks can occur from the process side or externally under insulation.  The material usually shows no visible signs of corrosion.  Characteristic stress corrosion cracks have many branches and may be visually detectable by a craze/cracked appearance of the surface.  Metallography of cracked samples typically shows branched transgranular cracks. Sometimes intergranular cracking of sensitized 300 Series SS may also be seen.  Welds in 300 Series SS usually contain some ferrite, producing a duplex structure that is usually more resistant to CUl – SCC.  Fracture surfaces often have a brittle appearance. External cracking of 304 Stainless Steel instrument tubing 4.5.1.7 Inspection and Monitoring  Cracking is surface connected and may be detected visually in some cases.  PT or phase analysis EC techniques are the preferred methods.  Eddy current inspection methods have also been used on condenser tubes as well as piping and pressure vessels.  Extremely fine cracks may be difficult to find with PT. Special surface preparation methods, including polishing or high-pressure water blast, may be required in some cases, especially in high pressure services.  UT.  Often, RT is not sufficiently sensitive to detect cracks except in advanced stages where a significant network of cracks has developed.
  • 288.
    287 Refining Industry DamageMechanisms Environment – Assisted Cracking Wet H2S Damage (Blistering/HIC/SOHIC/SSC) Description of Damage This section describes four types of damage that result in blistering and/or cracking of carbon steel and low alloy steels in wet H2S environments. Hydrogen Blistering  Hydrogen blisters may form as surface bulges on the ID, the OD or within the wall thickness of a pipe or vessel.  The blister results from hydrogen atoms that form during the sulfide corrosion process on the surface of the steel, that diffuse into the steel, and collect at a discontinuity in the steel such as an inclusion or lamination.  The hydrogen atoms combine to form hydrogen molecules and the pressure builds to the point where blister forms.  Blistering results from hydrogen generated by corrosion, not hydrogen gas from the process stream. Hydrogen Blistering and Hydrogen Induced Cracking Damage
  • 289.
  • 290.
    289 Wet H2S Damage(Blistering/HIC/SOHIC/SSC) Hydrogen Induced Cracking (HIC)  Hydrogen blisters can form at many different depths from the surface of the steel, in the middle of the plate or near a weld. In some cases, neighboring or adjacent blisters that are at slightly different depths (planes) may develop cracks that link them together. Interconnecting cracks between the blisters often have a stair step appearance, and so HIC is sometimes referred to as “stepwise cracking” Hydrogen Induced Cracking (HIC) Cross-section of plate showing HIC damage in the shell of a trim cooler which had been cooling vapors off a HHPS vessel in a hydroprocessing unit.
  • 291.
    290 Stress Oriented HydrogenInduced Cracking (SOHIC)  SOHIC is similar to HIC but is a potentially more damaging form of cracking which appears as arrays of cracks stacked on top of each other. The result is a through-thickness crack that is perpendicular to the surface and is driven by high levels of stress (residual or applied). They usually appear in the base metal adjacent to the weld heat affected zones where they initiate from HIC damage or other cracks or defects including sulfide stress cracks. Hydrogen blistering that is accompanied by SOHIC damage at the weld.
  • 292.
    291 Wet H2S Damage(Blistering/HIC/SOHIC/SSC) Sulfide Stress Corrosion Cracking (SSC)  Sulfide Stress Cracking (SSC) is defined as cracking of metal under the combined action of tensile stress and corrosion in the presence of water and H2S.  SSC is a form of hydrogen stress cracking resulting from absorption of atomic hydrogen that is produced by the sulfide corrosion process on the metal surface.  SSC can initiate on the surface of steels in highly localized zones of high hardness in the weld metal and heat affected zones.  Zones of high hardness can sometimes be found in weld cover passes and attachment welds which are not tempered (softened) by subsequent passes.  PWHT is beneficial in reducing the hardness and residual stresses that render a steel susceptible to SSC.  High strength steels are also susceptible to SSC but these are only used in limited applications in the refining industry.  Some carbon steels contain residual elements that form hard areas in the heat affected zones that will not temper at normal stress relieving temperatures. Using preheat helps minimize these hardness problems. SCC Damage of a Hard Weld
  • 293.
    292 Affected Materials  Carbonsteel and low alloy steels. Affected Units or Equipment  Blistering, HIC, SOHIC and SSC damage can occur throughout the refinery wherever there is a wet H2S environment present.  In hydroprocessing units, typical locations include fractionator overhead drums, fractionation towers, absorber and stripper towers, compressor interstage separators and knockout drums and various heat exchangers, condensers, and coolers. Inspection and Monitoring  Inspection for wet H2S damage generally focuses on weld seams and nozzles.  Cracks may be seen visually, crack detection is best performed with WFMT, EC, RT or ACFM techniques. Surface preparation is required for WFMT but not for ACFM. PT cannot find tight cracks and should not be depended on.  UT techniques including external SWUT can be used. SWUT is especially useful for volumetric inspection and crack sizing.  Grinding out the crack or removal by thermal arc gouging is a viable method of crack depth determination.
  • 294.
    293 Refinery Industry Other Mechanisms HighTemperature Hydrogen Attack (HTHA) Description of Damage  High temperature hydrogen attack results from exposure to hydrogen at elevated temperatures and pressures. The hydrogen reacts with carbides in steel to form methane (CH4) which cannot diffuse through the steel.  Methane pressure builds up, forming bubbles or cavities, micro fissures and fissures that may combine to form cracks.  Failure can occur when the cracks reduce the load carrying ability of the pressure containing part. Affected Materials In order of increasing resistance: 1. Carbon steel 2. C-0.5Mo 3. Mn-0.5Mo 4. 1Cr-0.5Mo 5. 1.25Cr-0.5Mo 6. 2.25Cr-1Mo 7. 2.25Cr-1Mo-V 8. 3Cr-1Mo 9. 5Cr-0.5Mo and similar steels with variations in chemistry. Affected Units  Hydroprocessing units, such as hydrotreaters (desulfurizers) and hydrocrackers, catalytic reformers, hydrogen producing units and hydrogen cleanup units, such as pressure swing absorption units, are all susceptible to HTHA.  Boiler tubes in very high pressure steam service.
  • 295.
    294 Appearance of Damage HTHA can be confirmed through the use of specialized techniques including metallographic analysis.  In the early stages of HTHA, bubbles/cavities can be detected in samples by a scanning microscope.  In later stages of damage, decarburization and/or fissures can be seen by examining samples under a microscope and may sometimes be seen by in-situ metallography.  Cracking and fissuring are intergranular and occur adjacent to pearlite (iron carbide) areas in carbon steels.  Some blistering may be visible to the naked eye. Inspection and Monitoring  Damage may occur randomly in welds or weld heat affected zones as well as the base metal, making detection of HTHA extremely difficult.  Ultrasonic techniques using a combination of velocity ratio and backscatter have been the most successful in finding fissuring and/or serious cracking.  Visual inspection for blisters on the inside surface may indicate methane formation and potential HTHA.  HTHA may occur without the formation of surface blisters.  Other forms of inspection, including WFMT and RT, are severely limited in their ability to detect anything except damage where cracking has already developed.
  • 296.
    295 Lesson 19 API 510 PressureTesting and Welded Repairs This overview will be restricted primarily to a small part of Sections 5 and 8 of the API 510 the subject matter that is the most difficult to understand and those items in API 510 that give rules different from those given in the ASME Code Sections. Other subject material such as, scope of the 510, definitions and, responsibilities are covered by practice exercises, practice exams and most importantly, the students reading of the API 510 document. 5.8 Pressure Testing 5.8.1 When to Perform a Pressure Test 5.8.1.1 Pressure tests are not normally conducted as part of routine inspection. A pressure test is normally required after an alteration. After repairs are completed, a pressure test shall be applied if the inspector believes that one is necessary. Alternatives to pressure tests are outlined in 5.8.7. 5.8.1.2 Pressure tests are typically performed on an entire vessel. However, where practical, pressure tests of vessel components/ sections can be performed in lieu of entire vessels (e.g. a new nozzle). An engineer should be consulted when a pressure test of vessel components/sections is to be performed to ensure it is suitable for the intended purpose. 5.8.2 Test Pressure 5.8.2.1 When a code hydrostatic pressure test is required, the minimum test pressure should be in accordance with the rules of the rating code (construction code used to determine the MAWP)**. For this purpose, the minimum test pressure for vessels that have been rerated using the design allowable stress published in the 1999 addendum or later of ASME Section VIII: Division I, Code Case 2290, or Code Case 2278, is 130% of MAWP and corrected for temperature. The minimum test pressure for vessels rerated using the design allowable stress of ASME Section VIII: Division I, published prior to the 1999 addendum, is 150% of MAWP and corrected for temperature. The minimum test pressure for vessels designed using ASME Section VIII: Division 1 is as follows: Test Pressure in psi (MPa) = 1.5 MAWP × (Stest temp/Sdesign temp), prior to 1999 addendum Test Pressure in psi (MPa) = 1.3 MAWP × (Stest temp/Sdesign temp), 1999 addendum and later Where; Stest temp = allowable stress at test temperature in ksi (MPa) Sdesign temp = allowable stress at design temperature in ksi (MPa) ** This means if a vessel was constructed to an edition of the ASME Code or any other Code that requires a different multiplier than 1.3 (hydro) or 1.1 (pneumatic) then the original multiplier should be used. 5.8.2.2 When a non-code related pressure test is performed after repairs, the test pressure may be conducted at pressures determined by the owner/user.
  • 297.
    296 5.8.3 Pressure TestPreparation 5.8.3.1 Before applying a pressure test, appropriate precautions and procedures should be taken to assure the safety of personnel involved with the pressure test. A close visual inspection of pressure vessel components should not be performed until the vessel pressure is at or below the MAWP. This review is especially important for in-service pressure vessels. 5.8.3.2 When a pressure test is to be conducted in which the test pressure will exceed the set pressure of the pressure-relieving device(s), the pressure-relieving device(s) should be removed. An alternative to removing the pressure-relieving device (s) is to use test clamps to hold down the valve disks. Applying an additional load to the valve spring by turning the compression screw is prohibited. Other appurtenances, such as gauge glasses, pressure gauges, and rupture disks, that may be incapable of withstanding the test pressure should be removed or blanked off. When the pressure test has been completed, pressure-relieving devices and appurtenances removed or made inoperable during the pressure test shall be reinstalled or reactivated. 5.8.4 Hydrostatic Pressure Tests 5.8.4.1 Before applying a hydrostatic test, the supporting structures and foundation design should be reviewed to assure they are suitable for the hydrostatic load. 5.8.4.2 Hydrostatic pressure tests of equipment having components of Type 300 series stainless steel should be conducted with potable water or steam condensate having a chloride concentration of less than 50 ppm. After the test, the vessel should be completely drained and dried. The inspector should verify the specified water quality is used and that the vessel has been drained and dried. 5.8.5 Pneumatic Pressure Tests Pneumatic testing (including combined hydro-pneumatic) may be used when hydrostatic testing is impracticable because of limited supporting structure or foundation, refractory linings, or process reasons. When used, the potential personnel and property risks of pneumatic testing shall be considered by an inspector or engineer before conducting the test. As a minimum, the inspection precautions contained in the ASME Code shall be applied when performing any pneumatic test. As a minimum, the inspection precautions contained in the ASME Code shall be applied in any pneumatic testing (NDE of UW-50 and brought up in steps of 1/10 beginning at half way to test pressure). 5.8.6 Test Temperature and Brittle Fracture Considerations 5.8.6.1 At ambient temperatures, carbon, low-alloy, and other ferritic steels may be susceptible to brittle failure. A number of failures have been attributed to brittle fracture of steels that were exposed to temperatures below their transition temperature and to pressures greater than 20% of the required hydrostatic test pressure. Most brittle fractures, however, have occurred on the first application of a high stress level (the first hydrostatic or overload). The potential for a brittle failure shall be evaluated prior to hydrostatic or especially prior to pneumatic testing because or the higher potential energy involved. Special attention should be given when testing low-alloy steels, especially 2-1/4 Cr-1Mo, because they may be prone to temper embrittlement.
  • 298.
    297 5.8.6.2 To minimizethe risk of brittle fracture during a pressure test, the metal temperature should be maintained at least **30ºF (17ºC) above the MDMT for vessels that are more than 2 in. (5 cm) thick, and 10ºF (6ºC) above the MDMT for vessels that have a thickness of 2 in. (5 cm) or less. The test temperature need not exceed 120ºF (50ºC) unless there is information on the brittle characteristics of the vessel material indicating a higher test temperature is needed. This differs from the ASME which recommends 30°F in all thicknesses. Use the API rules for the exam. 5.8.7 Pressure Testing Alternatives 5.8.7.1 Appropriate NDE shall be specified and conducted when a pressure test is not performed after a major repair or alteration. Substituting NDE procedures for a pressure test after an alteration may be done only after the engineer and inspector have approved. 5.8.7.2 For cases where UT is substituted for radiographic inspection, the owner/user shall specify industry-qualified UT shear wave examiners or the application of Code Case 2235, as applicable, for closure welds that have not been pressure tested and for welding repairs identified by the engineer or inspector.
  • 299.
    298 SECTION 8—REPAIRS, ALTERATIONS,AND RERATING OF PRESSURE VESSELS 8.1.5.1.2 Fillet-welded Patches 8.1.5.1.2.1 Fillet-welded patches may be used to make temporary repairs to damaged, corroded, or eroded areas of pressure vessel components. Cracks shall not be repaired in this manner unless the engineer determines that the cracks will not be expected to propagate from under the patch. In some cases, the engineer may need to perform a fitness-for-service analysis. Temporary repairs using fillet- welded patches shall be approved by an inspector and engineer. The use of fillet-welded patches may be subject to the acceptance of the governing jurisdiction. 8.1.5.1.2.2 Fillet-welded patches require special design consideration, especially related to weld joint efficiency. Fillet-welded patches may be applied to the internal or external surfaces of shells, heads, and headers provided that, in the judgment of the engineer, either of the following is true: a. The fillet-welded patches provide design safety equivalent to reinforced openings designed according to the applicable construction code. b. The fillet-welded patches are designed to absorb the membrane strain of the parts so that in accordance with the rules of the applicable construction code, the following result: 1. The allowable membrane stress is not exceeded in the vessel parts or the patches. 2. The strain in the patches does not result in fillet-weld stresses that exceed allowable stresses for such welds. Exceptions to this requirement shall be justified with an appropriate fitness-for-service analysis. 8.1.5.1.2.3 A fillet-welded patch shall not be installed on top of an existing fillet-welded patch. When installing a fillet-welded patch adjacent to an existing fillet-welded patch, the distance between the toes of the fillet weld shall not be less than Where: d = Minimum distance between toes of fillet welds of adjacent fillet weld attachments, in in. (mm), R = The inside radius of the vessel, in in. (mm), t = The actual thickness of the underlying vessel wall, in in. (mm) Rt 4 d 
  • 300.
    299 Example: Vessel has aninside radius of 30 inches Vessel wall at patch site is 0.435 inch 8.1.5.1.2.4 Fillet-welded patch plates shall have rounded corners with a minimum radius of 1 in. (25 mm) minimum radius. " . . 44 14 435 x 30 4 d  
  • 301.
    300 SECTION 8—REPAIRS, ALTERATIONS,AND RERATING OF PRESSURE VESSELS Preheat or Controlled Deposition Welding Methods as Alternatives to Postweld Heat Treatment Definition Controlled Deposition 3.11 controlled-deposition welding:  Any welding technique used to obtain controlled grain refinement and tempering of the underlying heat affected zone (HAZ) in the base metal.  Various controlled-deposition techniques, such as temper-bead (tempering of the layer below the current bead being deposited) and half-bead (requiring removal of one-half of the first layer), are included.  Controlled-deposition welding requires control of the entire welding procedure including the joint detail, preheating and post heating, welding technique, and welding parameters. Refer to supporting technical information found in Welding Research Council Bulletin 412. Preheat/Controlled Deposition Benefits  May allow welded repairs to a vessel that was constructed to the ASME Section VIII Div.1 which required PWHT to be repaired without further PWHT of the vessel’s material.  Preheat and controlled deposition welding, as described in 7.2.3.1 and 7.2.3.2, may be used in lieu of post-weld heat treatment where PWHT is inadvisable or mechanically unnecessary.  Prior to using any alternative method, a metallurgical review conducted by a pressure vessel engineer shall be performed.  The review should consider factors such as the reason for the original PWHT of the equipment, susceptibility of the service to promote stress corrosion cracking, stresses in the location of the weld, susceptibility to high temperature hydrogen attack, susceptibility to creep, etc.  Selection of the welding method used shall be based on the rules of the construction code applicable to the work planned along with technical consideration of the adequacy of the weld in the as-welded condition at operating and pressure test conditions.
  • 302.
    301 8.1.6.4.2 Preheat orControlled Deposition Welding Methods as Alternatives to Postweld Heat Treatment 8.1.6.4.2.1 General 8.1.6.4.2.1.1 Preheat and controlled deposition welding, as described in 8.1.6.4.2.2 and 8.1.6.4.2.3, may be used in lieu of PWHT where PWHT is inadvisable or mechanically unnecessary. Prior to using any alternative method, a metallurgical review conducted by an engineer shall be performed to assure the proposed alternative is suitable for the application. The review should consider factors such as the reason for the original PWHT of the equipment, susceptibility to stress corrosion cracking, stresses in the location of the weld, susceptibility to high temperature hydrogen attack, susceptibility to creep, etc. 8.1.6.4.2.1.2 Selection of the welding method used shall be based on the rules of the construction code applicable to the work planned along with technical consideration of the adequacy of the weld in the as-welded condition at operating and pressure test conditions. 8.1.6.4.2.1.3 When reference is made in this section to materials by the ASME designation, P-Number and Group Number, the requirements of this section apply to the applicable materials of the original code of construction, either ASME or other, which conform by chemical composition and mechanical properties to the ASME P-Number and Group Number designations. 8.1.6.4.2.1.4 Vessels constructed of steels other than those listed in 8.1.6.4.2.2 and 8.1.6.4.2.3, that initially required PWHT, shall be postweld heat treated if alterations or repairs involving pressure boundary welding are performed. When one of the following methods is used as an alternative to PWHT, the **PWHT joint efficiency factor may be continued if the factor has been used in the currently rated design. ** This statement is unclear, but it appears to indicate that the radiography and the resulting weld joint efficiency are not be affected by the repair method.
  • 303.
    302 8.1.6.4.2.2 Preheating Method(Notch Toughness Testing Not Required) 8.1.6.4.2.2.1 The preheating method, when performed in lieu of PWHT, is limited to the following materials and weld processes: a. The materials shall be limited to P-No. 1, Group 1, 2, and 3, and to P-No. 3, Group 1 and 2 (excluding Mn-Mo steels in Group 2). b. The welding shall be limited to the shielded-metal-arc welding (SMAW), gas-metal-arc welding (GMAW), and gas-tungsten arc welding (GTAW) processes. 8.1.6.4.2.2.2 The preheat method shall be performed as follows: The weld area shall be preheated and maintained at a minimum temperature of 300°F (150°C) during welding. The 300°F (150°C) temperature should be checked to assure that 4 in. (100 mm) of the material or four times the material thickness (whichever is greater) on each side of the groove is maintained at the minimum temperature during welding. The maximum interpass temperature shall not exceed 600°F (315°C). When the weld does not penetrate through the full thickness of the material, the minimum preheat and maximum interpass temperatures need only be maintained at a distance of 4 in. (100 mm) or four times the depth of the repair weld, whichever is greater on each side of the joint. Note: Notch toughness testing is not required when using this preheat method in lieu of PWHT. 8.1.6.4.2.3 Controlled-deposition Welding Method (Notch Toughness Testing Required) The controlled-deposition welding method may be used in lieu of PWHT in accordance with the following: a. Notch toughness testing, such as that established by ASME Code Section VIII: Division 1, parts UG- 84 and UCS-66, is necessary when impact tests are required by the original code of construction or the construction code applicable to the work planned. b. The materials shall be limited to P-No. 1, P-No .3 and P-No. 4 steels c. The welding shall be limited to the shielded-metal-arc welding (SMAW), gas-metal-arc welding (GMAW), and gas-tungsten arc welding (GTAW) processes. d. A weld procedure specification shall be developed and qualified for each application. The welding procedure shall define the preheat temperature and interpass temperature and include the post heating temperature requirement in f(8). The qualification thickness for the test plates and repair grooves shall be in accordance with Table 8-1. The test material for the welding procedure qualification shall be of the same material specification (including specification type, grade, class and condition of heat treatment) as the original material specification for the repair. If the original material specification is obsolete, the test material used should conform as much as possible to the material used for construction, but in no case shall the material be lower in strength or have a carbon content of more than 0.35%. e. When impact tests are required by the construction code applicable to the work planned, the PQR shall include sufficient tests to determine if the toughness of the weld metal and the heat-affected zone of the base metal in the as-welded condition is adequate at the minimum design metal temperature (such as the criteria used in ASME Code Section VIII: Division I, parts UG-84 and UCS 66). If special hardness limits are necessary (for example, as set forth in NACE RP 0472 and MR 0103) for corrosion resistance, the PQR shall include hardness tests as well. f. The WPS shall include the following additional requirements:
  • 304.
    303 1. The supplementaryessential variables of ASME Code, Section IX, Paragraph QW-250, shall apply. 2. The maximum weld heat input for each layer shall not exceed that used in the procedure qualification test. 3. The minimum preheat temperature for welding shall not be less than that used in the procedure qualification test. 4. The maximum interpass temperature for welding shall not be greater than that used in the procedure qualification test. 5. The preheat temperature shall be checked to assure that 4 in. (100 mm) of the material or four times the material thickness (whichever is greater) on each side of the weld joint will be maintained at the minimum temperature during welding. When the weld does not penetrate through the full thickness of the material, the minimum preheat temperature need only be maintained at a distance of 4 in. (100 mm) or four times the depth of the repair weld, whichever is greater on each side of the joint. 6. For the welding processes in 8.1.6.4.2.3c, use only electrodes and filler metals that are classified by the filler metal specification with an optional supplemental diffusible-hydrogen designator of H8 or lower. When shielding gases are used with a process, the gas shall exhibit a dew point that is no higher than –60°F (–50°C). Surfaces on which welding will be done shall be maintained in a dry condition during welding and free of rust, mill scale and hydrogen producing contaminants such as oil, grease and other organic materials. 7. The welding technique shall be a controlled-deposition, temper-bead or half-bead technique. The specific technique shall be used in the procedure qualification test. 8. For welds made by SMAW, after completion of welding and without allowing the weldment to cool below the minimum preheat temperature, the temperature of the weldment shall be raised to a temperature of 500°F ± 50°F (260°C ± 30°C) for a minimum period of two hours to assist out-gassing diffusion of any weld metal hydrogen picked up during welding. This hydrogen bake-out treatment may be omitted provided the electrode used is classified by the filler metal specification with an optional supplemental diffusible-hydrogen designator of H4 (such as E7018-H4). 9. After the finished repair weld has cooled to ambient temperature, the final temper bead reinforcement layer shall be removed substantially flush with the surface of the base material.
  • 305.
  • 306.
    305 Lesson 20 API 572 VesselInspection The primary purpose of inspection is to identify active deterioration mechanisms and to specify the repair, replacement, or future inspections for affected piping or vessels. This requires identifying the appropriate inspection techniques, developing information about the physical condition of the vessel, the causes of deterioration, and the rate of deterioration for a vessel. Program Goals Effective Vessel Inspection programs are very important tools. If properly implemented such programs will help to avoid losses in the form of: - Capital equipment - Loss of production The Inspector Inspecting for Deterioration The most important element of an effective Vessel Inspection program is without a doubt the Inspector. The Inspector must know:  What to Inspect For (types of problems)?  Where to Inspect (where problems are found)?  How to Inspect (proper inspection methods)? Considerations Some of the factors to consider when establishing an inspection program for vessels are:  Categorizing the vessels into risk groups of similar failure modes (localized or general corrosion, environmental cracking, etc.).  Identifying susceptible locations where accelerated corrosion and/or cracking, distortion etc. is expected.  Accessibility for inspections. Corrosion The key to the effective monitoring of piping or vessels for corrosion is identifying and establishing corrosion-monitoring locations (CMLs). CMLs are designated areas in the piping system where thickness measurements are periodically taken. By taking repeated measurements and recording the same points over extended periods, corrosion rates can more accurately be calculated.
  • 307.
    306 Basic Vessel Inspection Introduction Beforestarting the inspection of a pressure vessel, especially one in severe service, the inspector should determine;  Pressure, temperature, and service conditions under which the vessel has been operated since the last inspection.  Equipment construction details including materials of construction, the presence of internal attachments, and weld details.  The Inspector should confer with operations to determine whether there have been any abnormal operating conditions such as excessive pressures or temperatures.  The data gathered may offer valuable clues to the type and location of corrosion and to other forms of damage that may have occurred such as scaling, bulging, or warping. Careful visual inspection of each vessel is important to determine if other forms of inspection may be needed.  A proper Visual Inspection is the most important non-destructive examination.  Surface preparation is essential to all inspection methods. External Inspections When to Inspect  External Inspections may be made when the vessel is in or out of service.  Inspections that can be done in service will shorten inspection time when the vessels are out of service. Where to Inspect  External inspection of pressure vessels and exchangers should start with ladders, stairways, platforms, or walkways connected to or bearing on the vessel.  Careful visual inspection should be made for corroded or broken parts, cracks, the tightness of bolts, the condition of paint or galvanizing material, the wear of ladder rungs and stair treads the security of handrails/safety gates •.
  • 308.
    307 What to InspectFor?  Inspect deck plates for wear, which might make the decking slippery.  Corrosion or loose bolting, lightly tapping with a small hammer works well for testing.  If suspect, floor plates can be removed to check supporting members.  Welds that attach ladder and deck parts often corrode due to poor paint bonding. Foundations and Supports What to Inspect For? Foundations for vessels are almost invariably constructed of steel-reinforced concrete or structural steel fireproofed with concrete.
  • 309.
    308  They shouldbe inspected for deterioration such as spalling, cracking, and settling.  The foundations for exchangers usually consist of steel cradles on concrete piers.  Occasionally the supports are made entirely of steel.  The crevice formed between an exchanger shell or a horizontal vessel and a cradle support should be carefully checked. Moisture lying in the crevice can cause rapid attack on carbon steel and on low-chrome-molybdenum steels. Where to Inspect?  The cradle is sealed with a mastic compound; this seal should be checked by judiciously picking at the mastic with a scraper to make sure that it is intact. Cradles are often seal welded to vessel shells to prevent moisture from accumulating in the crevice and causing corrosion.
  • 310.
    309  Excessive heat,mechanical shock, corrosion of reinforcing steel, or the freezing of entrapped moisture. Inspection for this type of damage should consist of visual observation and scraping.  The condition of anchor bolts cannot always be determined by visual inspection, the area of contact between the bolts and any concrete or steel should be scraped and examined for corrosion. This will not usually reveal the condition below the top surface of the base plate or lugs, however a sidewise blow with a hammer can reveal deterioration of the anchor bolt below the base plate. Anchor Bolt and Nut may appear new but in fact be corroded beneath the NUT. Hammer Test!  Distortion of anchor bolts may indicate serious foundation settlement. The nuts on anchor bolts should be inspected to determine whether they are properly tightened.  Ultrasonic testing may also be used to test bolts. Concrete Supports Where to Inspect?  Inspection of concrete supports is similar to inspection of concrete foundations.  Opening between concrete supports and a vessel shell or head should be sealed to prevent water entry between the supports and the vessel.  Visual inspection with some picking and scraping should disclose the condition of the seal. A concentration cell could develop there and cause rapid corrosion. Steel Supports What to Inspect For? Steel supports should be inspected for corrosion, distortion, and cracking. While a great deal of importance is placed on the vessel’s or exchanger’s condition it must not be forgotten that the steel supports can and do corrode. This can lead to a serious condition if not corrected. Do not over look the Inspection of steel support structures.
  • 311.
    310 Steel Supports Where toInspect  Thickness can be determined by taking readings with transfer or indicating calipers or Ultrasonic instruments in the most severely corroded areas.  Visual examination of the support surfaces should be supplemented by wire brushing, picking and tapping with a hammer.  Columns and load-carrying beams should be inspected for buckling or excessive deflection. This can be inspected visually with the aid of a straightedge or plumb line.  Taking diameter measurements at several points approximately 60 degrees (1.0 radian) apart can check distortion of cylindrical skirts  The inside surface of a skirt sheet is often subject to attack by condensed moisture, especially when the temperature in the enclosed area is less than approximately 100 ° F (38 ° C) or when steam is put in the skirt to warm the bottom of the vessel. Nozzles What to Inspect For?  If any settling of the vessel has occurred, nozzles and adjacent shell areas should be inspected for distortion and cracking.  Excessive pipe expansions, internal explosions, earthquakes, and fires may also damage piping connections. Flange faces may be checked with a square for distortion.
  • 312.
    311 If there isany evidence of distortion or cracks in the area around the nozzles, all seams and the shell in this area should be examined for cracks.  Exposed gasket surfaces should be checked for scoring and corrosion. The surfaces should be cleaned thoroughly and carefully for a good visual inspection. Where to Inspect  Lap joint flanges or slip flanges such as Van Stone flanges should be checked for corrosion between the flange and the pipe.  Leaks are likely to occur at piping attachments to the vessel wall. Leaks can be located visually while the vessel is in service or under test conditions.  Evidence of a leak is usually in the form of discoloration to the vessel, insulation, fireproofing or paint, or as damage to or wetting of the insulation. Grounding Connections What to Inspect For  Grounding connections should be visually examined to verify that good electrical contact is maintained.  The cable connections should be checked for tightness and positive bonding to the vessels and corrosion where it penetrates the foundation, slab or ground.  The continuity of all ground wires should be checked.
  • 313.
    312 Auxiliary Equipment Where toInspect?  Auxiliary equipment, such as gauge connections, float wells, sight glasses, and safety valves, may be visually inspected while the unit is in service. Undue vibration of these parts should be noted.  The vibrations should be arrested by adding supports, or calculations should be performed by a qualified engineer to assure that the vibrations will not cause a fatigue failure. Protective Coatings Where to Inspect? The condition of the protective coating on a vessel shell should be determined.  Rust spots, blisters, and film lifting are the types of paint failures usually found.  Film lifting is not easily seen unless the film has bulged or has broken.  Scraping paint away from blisters and rust spots often reveals pits in the vessel walls. Protective Coatings How to Inspect?  Depth of pitting can be measured with a pit gauge or a depth gauge.  Likely spots for paint failure are in crevices, in constantly moist areas, and at welded or riveted vessel seams.  Bottom heads of vessels supported on skirts in humid locations are other likely points of paint failure. Insulation What to Inspect For? Visual examination of insulation is normally sufficient to determine its condition. A few samples may be removed to better determine the condition of the insulation and the metal wall under it. The supporting clips, angles, bands, and wires should all be examined visually for corrosion and breakage. Inspection for corrosion under insulation (CUI) should be considered for externally insulated vessels subject to moisture ingress and which:  Operate between 25 ° F and 250 ° F (-4 ° C to 121 ° C)  Are in intermittent service
  • 314.
    313 External Metal Surfaces Whereto Inspect? The external metal surfaces of a vessel may be inspected visually by picking, scraping, and limited hammering to locate corroded areas. CAUTION: Extreme care should be used on operating equipment containing hot, harmful, or high- pressure material. How to Inspect?  Thickness measurements of the vessel walls, heads, and nozzles are usually required at each complete vessel inspection.  Whether these measurements are taken from the outside of a vessel or the inside will depend on the location and accessibility of the corroded areas.  Under normal conditions, at least one measurement in each shell ring and one measurement on each head should be taken.  If much corrosion is evident, several readings should be taken in the most corroded areas.  If no history exists on a particular vessel, getting readings in each quadrant of each shell ring and head should be considered. External Evidence of Corrosion What to Inspect For? Some of the types of corrosion that may be found on external surfaces of a vessel are:  Atmospheric corrosion  Caustic embrittlement  Hydrogen blistering  Soil corrosion  Extent of atmospheric corrosion on the outside of a vessel will vary with local climatic, coating, and service conditions.  When caustic is stored or used in a vessel, the vessel should be checked for caustic embrittlement.  Attack is most likely to occur at connections for internal heating units and in areas of residual or other high stress External Evidence of Corrosion Where to Inspect?  The most likely areas for caustic embrittlement are around nozzle welds and in or next to welded seams.  Visual inspection can disclose this type of attack.  Caustic material seeping through the cracks will often deposit white salts that are readily visible.  Those areas below the liquid level in vessels that contain an acidic corrodent are more likely to be subject to hydrogen blistering.  Hydrogen blistering is typically found on the inside of a vessel.  However hydrogen blisters may be found on either the ID or OD surface depending on the location of the void that causes the blistering. Blisters are found most easily by visual examination.  A flashlight beam directed parallel to the metal surface (shadowing) will sometimes reveal blisters.  When many small blisters occur, they can often be found by running the fingers over the metal surface.
  • 315.
    314 External Inspections Where toInspect? The external surfaces of the vessels should be examined not only for corrosion, but also for:  Leaks, cracks, buckles, bulges, defects in the metal plates, deformation or corrosion of any external stiffeners.  If the vessel is insulated, small sections of insulation should be removed, particularly where moisture might accumulate.  In welded vessels, cracks are most commonly found at nozzle connections, in welded seams, and at bracket and support welds.  In riveted vessels, the most common location is at metal ligaments between the rivets. How to Inspect?  Close visual inspection with some picking or scrapping will disclose most cracks.  Buckles and bulges will normally be quite evident.  Small distortions can be found and measured by placing a straightedge against the shell of the vessel.  Some distortion is normal, and determining the cause of distortion is very important.  Causes of distortion such as internal vapor explosions or excessive internal corrosion will be disclosed by the internal inspection.  The extent of bulging or buckling can be determined by measuring the changes in circumferences or by making profiles of the vessel wall.  Profiles are made by taking measurements from a line parallel to the vessel wall.
  • 316.
    315 Preliminary Internal VisualInspection Surface Preparation The degree of surface preparation needed for internal inspection will vary with several factors. Foremost among these factors are the following:  The type of deterioration expected.  The location of any deterioration  Usually the cleanliness required by the operations will be sufficient for inspection purposes, such as:  Washing with hot water  Steaming  Solvents  Scraping  Extra cleaning methods are necessary when stress-corrosion cracking, wet sulfide cracking, hydrogen attack, or other metallurgical forms of degradation are suspected.  Extensive cracking, deep pitting, and extensive weld deterioration require cleaning over wide areas Where to Inspect? If this is not the first inspection, the initial step in preparation for an internal inspection is to review the previous records of the vessel to be inspected.  The type of corrosion (pitted or uniform), its location, and any other obvious data should be established. In refinery process vessels, certain areas corrode much more rapidly than others do. Examples:  Bottom heads and shells of fractionators processing high-sulfur crude oils are susceptible to sulfide corrosion.  Corrosion will usually be most intense around the inlet lines in these vessels.  High temperature sulfur corrosion tends to be uniform compared to more localized corrosion from high naphthenic acids  Vessels that are subject to wet hydrogen sulfide (H2S) or have cyanide environments are subject to cracks in their welds and heat-affected zones. Examples of such vessels are:  Fractionation Towers  Distillation Towers  Knock Out Drums  Reflux Accumulators  Exchanger Shells  Vessels where sludge may settle out and form concentration cells can occur. The areas contacted by the sludge are most susceptible to corrosion. This corrosion may be rapid if the sludge contains acidic components.  If steam is injected into a vessel, corrosion and erosion may occur at places directly opposite the steam inlet.  Bottom heads and areas that can collect condensate are also likely to be corroded.
  • 317.
    316  When areboiler is used at the bottom of a tower to maintain a desired temperature:  The point where the hot process stream returns to the tower may be noticeably corroded.  Especially true if the process stream contains components that may decompose with heat and form acid compounds, as in alkylation units and soap or detergent plants.  Areas opposite inlet streams maybe subject to impingement attack or erosion.  Vessels in water service, such as exchangers or coolers are subjected to maximum corrosion where the water temperatures are highest.  When water is on the tubeside of an exchanger, the outlet side of the channel will most likely be corroded. Where to Inspect In any type of vessel, corrosion may occur where dissimilar metals are in close contact. The less noble of the two metals will corrode. Example:  Carbon steel exchanger channel’s gasket surfaces near brass tube sheets will often corrode at a higher rate than it would elsewhere.
  • 318.
    317 Cracks in vesselsare most likely to occur where there are sharp changes in shape or size or near welded seams. Examples:  Nozzles  Exchanger channel and shell-cover flanges  Baffles in exchanger channels  Floating tube-sheet covers When materials flow at high velocities an accelerated attack can be expected if changes are made in the direction of flow at:  Tube inlets in tubular units  Return bends in double-pipe units  Condenser box or air cooler coils The preliminary inspection may reveal unsafe conditions, such as those due to loose internals that may fall or due to badly corroded or broken internal ladders or platforms. These parts must be repaired or removed immediately before a more detailed inspection may proceed. Detailed Internal Visual Inspection Where to Inspect? Inspectors should understand the function of the vessel, internals, and each nozzle to assess findings.  Detailed inspections should start at one end of a vessel and progress to the other end.  A systematic procedure should be followed to avoid over inspecting obscure but important items. A check list is recommended, perhaps even after an inspector has developed “Inspection Skills”. What to Inspect For? All areas of the vessel should be inspected for:  Corrosion  Erosion  Hydrogen blistering  Deformation, cracking, and laminations. A careful record should be made of the types and locations of all deterioration found. How to Inspect?  Thickness measurements should be taken at those locations that show the most deterioration. When deterioration appears to be widespread, enough readings should be taken to assure an accurate determination of the remaining thickness.  When deterioration is slight, one thickness measurement on each head and each shell course may be sufficient on small vessels, more should be taken on large vessels. Pitting corrosion can usually be found by scratching suspected areas with a pointed scraper. When extensive and deep pitting or grooving is found, and depth measurements are wanted, the areas may need to be abrasive blasted.
  • 319.
    318  Depths ofpits or grooves can be measured with a depth gauge, a pit gauge, or (in the case of large pits or wide grooves) with a straightedge and a steel rule.  Depths can be estimated by extending the lead of a mechanical pencil as a depth gage.  Depressions or pockets that can hold sludge or water should be scraped clean and carefully examined for evidence of corrosion. A hammer can be used to inspect for thin areas of vessel shells, nozzles, and parts.  Experience is needed before the hammer can be used effectively. When striking the shell, nozzle, or part, an experienced inspector can often find:  Thin spots by listening to the resulting sound (a dull sound) and by noting the feel of the hammer as it strikes. When cracks are suspected or found, their extent can be inspected for with:  Liquid penetrant  Magnetic particle (wet or dry) techniques  Angle beam ultrasonic inspection methods Where to Inspect Heavy wall reactors operate at high pressure and have special inspection requirements. Usually these vessels are constructed from Chrome Molybdenum steels. The major areas of concern with respect to crack damage are:  Attachment weld(s) of an internal component  Main weld seams  Gasket grooves (ring joint flanges)  Nozzle attachment welds
  • 320.
    319 What to InspectFor? Welded seams in vessel shells should be closely checked when the service is:  Amine  Wet hydrogen sulfide (H2S)  Caustic  Ammonia  Other services that may promote cracking In addition, welds in vessels constructed of high-strength steels [(above 70,000 psi tensile (483 Mpa)] or coarse grain steels should be checked. How to Inspect?  The wet fluorescent magnetic particle technique is considered the best means for locating surface indications in these metals.  Eddy Current, AC current and ultrasonic methods are also available for the detection of surface breaking defects, the newer techniques have the advantage of increased speed. A number of the methods have a limited depth measuring capability. Where to Inspect?  Nozzles connected to the vessel should be visually examined for internal corrosion. How to Inspect?  The wall thickness of nozzles can best be obtained with ultrasonic instruments.  Measurements can be made with a pair of internal, spring-type transfer calipers or with direct reading, scissor-type, inside diameter calipers. Where to Inspect?  When the piping is disconnected, actual nozzle wall thickness can be obtained by using a caliper around the flange. In this way, any eccentric corrosion of the nozzle will be revealed.  Nozzles, especially Pressure Safety Valve inlets, should be inspected for deposits. In most instances, inspection of internal equipment should be made when adjacent shell areas are inspected. This may be very difficult in some large vessels. This inspection should include but is not limited to:  Supports for trays  Baffles  Screens  Grids  Piping, internal  Stiffeners
  • 321.
    320 How to Inspect? Mostof this inspection will be visual. Light tapping with a hammer can be used as a check for soundness.  If there appears to be any metal loss, the thickness of the support should be measured and checked against the original thickness. Transfer or direct- reading calipers, micrometers, or ultrasonic thickness instruments can be used for these measurements. Where to Inspect? All internal piping should be thoroughly inspected visually, especially at threaded connections. How to Inspect? Hammer testing of a nozzle by an experienced inspector is a quick way to determine its condition. The sound, the feel, and any indentation will indicate any thinness or cracking in the nozzle. What to Inspect For? Erosion Erosion usually differs in appearance from corrosion.  Erosion is characterized by a smooth, bright appearance; marked absence of the erosion product and metal loss, usually confined to a clearly marked local area.  Corroded areas are not commonly smooth or bright. Erosion
  • 322.
    321 Corrosion The shells ofexchangers, next to bundle baffles and inlet impingement plates should be checked for erosion. How to Inspect  Erosion or corrosion at the baffles of exchangers will often show up as a series of regularly spaced rings when a flashlight beam is place parallel to the shell surface. Sometimes, a lack of scale will indicate this type of erosion.