PRESENTATION ON ADVANCED
MEDICINAL CHEMISTRY-1
TOPIC-ADRENERGIC AND CHOLINERGIC AGENTS
Presented by
Tapas Majumder
M.PHARMA, 1st SEM
Enrollment no-2106240007
Dept. of pharmacy
Tripura University(a central university)
Presented to
Dr. Kuntal Manna
Associate professor
Dept. of pharmacy
Tripura University(a central university)
CONTENTS
Introduction to Adrenergic system and receptors.
Introduction to Adrenergic agents(agonist and
antagonist) classification, Mechanism of action, SAR
and Synthesis of few molecules.
Introduction to Cholinergic system and receptors.
Introduction to Cholinergic agents(agonist and
antagonist) classification, Mechanism of action, SAR
and synthesis of few molecules.
References
2
ADRENERGIC SYSTEM AND
RECEPTORS
• The adrenergic system or adrenergic nervous system is a group of organs
and nerves in which adrenaline, noradrenaline and Dopamine act as
neurotransmitters. These are 3 closely related endogenous
catecholamines(CAs).
• ANS is counted as one of the main neurohormonal systems that regulate
cardiovascular function including smooth muscle.
• Noradrenaline-It acts as transmitter at postganglionic sympathetic sites
(except sweat glands ,hair follicles and some vasodilator fibres) and in
certain areas of brain.
• Adrenaline-It is secreted by adrenal medulla and may have a transmitter
role in brain.
• Dopamine-It is a major transmitter in basal ganglia ,limbic system, CTZ,
anterior pituitary etc and in a limited manner in the periphery.
3
4
O
H
COOH
NH2
O
H
O
H
COOH
NH2
O
H
O
H
NH2
O
H
O
H
NH2
OH
O
H
O
H
NH
CH3
OH
Tyrosine
TYROSINE HYDROXYLASE
L-DOPA
L-AMINO DECARBOXYLASE
DOPAMINE
DOPAMINE B-HYDROXYLASE
NOR-EPINEPHRINE
PHENYLETHANOL AMINE
N-METHYL TRANSFERASE
EPINEPHRINE
Biosynthesis of
catecholamines
RECEPTORS
 Adrenergic receptors are membrane bound G- protein coupled receptors
which function primarily by increasing or decreasing the intracellular
production of second messengers c-AMP OR IP3/DAG.
 In some cases the activated G-protein itself operates K+ or Ca2+channels
or increases prostaglandin production.
 Adrenergic receptors are classified into two ALPHA(α) and BETA(β).
 Alpha and beta receptors further divided into α1,α2, β1, β2,β3.
5
Adrenergic
Receptors:
6
Receptor type Tissue location
α1 Arterioles(coronary, visceral,
cutaneous), Veins, internal sphincters,
Iris sphincter.
α2 Presynaptic membrane, pancreas,
veins, adipose tissue, Salivary glands.
β1
Heart(SA node, arterial muscle, Av
node, ventricles),Kidney(JG
apparatus),Adipose tissue.
β2 Arterioles(muscular), veins,
bronchi(muscles),Liver, pancreas,
uterus, iris constrictor muscle.
β3 Adipose tissue, Urinary bladder.
ADRENERGIC AGENT
• DEFINITION:
• Adrenergic agents also properly called adreno mimetics or adrenergic
stimulant and improperly known as Sympathomimetics are drugs that
produce affects which are similar to the response from stimulation of
adrenergic nerves.
• Adrenergic drugs act on effector cells through adrenoreceptors that
normally are activated by neurotransmitter norepinephrine or they may act
on neurons that release the neurotransmitter.
• These drugs are used in many life-threatening conditions ,including cardiac
arrest ,shock, asthma attack or allergic reaction.
7
• SYMPATHOMIMITICS:
• Direct acting:
• These drugs act directly on or more adrenergic receptors. According to their
receptor selectivity they are two types
• NONSELECTIVE-
• ADRENALINE(almost all adrenergic receptors, treatment cardiac arrest,
anaphylaxis)
• NORADRENALINE(acts on α1 ,α 2,β3, treatment of shock and hypotension)
• ISOPRENALINE(acts on β1,β2,β3, treatment of bradycardia and heart block)
• SELECTIVE: drugs which act on a single receptor only.
• α1selective-OXYMETAZOLINE(decongestant)
• α2selective-CLONIDINE(hypertension and ADHD)
• β1selective-DOBUTAMINE(treatment of cardiogenic shock)
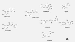
• β2selective-SALBUTAMOL,(in the treatment of Asthma),TERBUTALINE. 8
9
O
H
O
H
N
H
CH3
OH
Adrenaline
O
H
O
H
N
H
H
O
H
Noradrenaline
O
H
O
H
N
H
O
H
CH3
CH3
Isoprenaline
N
NH
CH3
C
H3
CH3
CH3
OH
C
H3
Cl
Cl
N
NH
NH
Clonidine
Oxymetazoline
NH
CH3
O
H
O
H
OH
Dobutamine
O
H
O
H
NH
C
H3
CH3
CH3
OH
Salbutamol
NH
CH3
C
H3
OH
O
H
O
H
Terbutaline
10
Mechanism:
Mechanism:
Activation of α1 receptors initiates a series of reactions through
the G- protein activation of phospholipase c ,ultimately resulting
in the generation of second messengers inositol-1,4,5-
triphosphate (IP3) and Diacyl-glycerol(DAG).IP3 initiates the
release of Ca2+ from the endoplasmic reticula, into the cytosol,
and DAG turns on other proteins within the cell.
Thus ,tissues with a predominance of β2 receptors (such as
vasculature of skeletal muscle) are particularly responsive to t
effects of circulating epinephrine released by the adrenal
medulla. Binding of a neurotransmitter at any of the 3 types o
receptors results in activation of adenylyl cyclase and increas
concentrations of cAMP within the cell.
• INDIRECT ACTING: These are the substance that enhances the release
or action of an endogenous neurotransmitter but has no specific agonist
activity at the neurotransmitter receptor itself.
• They work at the nerve terminal to promote the release and block the reuptake
and degradation of endogenous neurotransmitter because they are indirect
acting agonists ,these drugs have little activity if these neurotransmitters are
depleted.
• EXAMPLE-EPHEDRINE,COCAINE,AMPHETAMINE
• USE- used to treat breathing problems (broncho dialator),nasal decongestant,
low bp.
11
CH3
OH
N
H CH3
Ephedrine
STRUCTURE –ACTIVITY
RELATIONSHIP
Phenyl ring substitution: The naturally occurring nor-adrenaline has 3-4 dihydroxy
benzene ring (catechol)active at both α and β- receptors but it has poor oral activity
because it is rapidly metabolized by COMT(catecholamine O-methyl transferase).Change
in substitution pattern to3-5-dihydroxy as in metaproterenol gives oral activity to
metabolism by COMT it also provides selectivity for β2 receptor.
 3-hydroxy substitution is required for α1 activity.
12
OH
OH
Catechol
5
6
4
1
3
2
9
11
NH
12
13
CH3
14
CH3
15
OH
10
OH
7
O
H
8
Metaproterenol
5
6
4
1
3
2
9
11
NH
12
13
CH3
14
CH3
15
OH
10
OH
7
O
H
8
Substitution at Nitrogen: The receptor selectivity is dependent upon the size of alkyl group
present on Nitrogen.
As the size is increased from hydrogen in Nor-adrenaline to methyl in adrenaline to isopropyl in
Isoproterenol, activity of α- receptors decreased and β- receptor activity increased.
Substitution of carbon in site chain (R2):
An ethyl group at the position diminished α- activity.
There are 2 carbon atoms α and β to nitrogen, small alkyl groups methyl or ethyl increases duration
of action and make the compound is resistant to metabolic deamination by MAO.
13
14
CH2OH
OH
H
2-hydroxy Benzyl alcohol
+
O
Cl
Cl
Chloro acetyl chloride
Friedal Crafts acylation
-HCL
CH2OH
OH
O
Cl
O
Cl
Cl
NH2
C
H3
CH3
C
H3
t-butyl amine
-HCL
MPV reduction
(conversion of ketone to 2° alchohol)
CH2OH
OH
O
NH
CH3
C
H3
CH3
CH2OH
OH
O
H
NH
CH3
C
H3 CH3
H
Salbutamol
SYNTHESIS OF
SALBUTAMOL
• SYMPATHOLYTICS:
• Definition: A sympatholytic drug is a medication that opposes the downstream effects of
postganglionic nerve firing in effector organs innervated by the sympathetic nervous system.
• They are also used to treat anxiety, such as generalized anxiety disorder ,panic disorder.
• They also known as anti-adrenergic.
15
• CLASSES OF SYMPATHOLYTIC:
• α-ADRENERGIC BLOCKERS:
• Non-selective α blocker: They are antagonists at both alpha1 and alpha 2
receptors
• TOLAZOLINE (used in the treatment of RAYNAUD’s
disease),PHENTOLAMINE(used to reverse numbness after oral and dental
procedures),PHENOXYBENZAMINE.
• Selective α blocker: Selectively blocks the subtypes of alpha subunits(α1b
and α1 d) and gives vasodilation effect. Apart from that these increases HDL
and decreases LDL. Agents-PRAZOSIN,TERAZOSIN AND
DOXAZOSIN.
• β-ADRENERGIC BLOCKER: class of drugs which prevent the
stimulation of the adrenergic receptors( β1,β2,β3) responsible for increased
cardiac action, used to control heart rhythm, treat angina and reduce high
blood pressure.
• Propranolol one of the potent beta blocker also used in the following
conditions-Hyperthyroidism, prophylaxis of migraine, anxiety with
somatic presentation.
• Example –
PROPRANOLOL,ATENOLOL,BISOPROLOL,ESMOLOL,CARVEDIL
OL(blocks both β+α1)
16
17
N
NH
Tolazoline
N
NH N
OH
CH3
Phentolamine
N
Cl
CH3
CH2OC6H5
Phenoxy benzamine
O
N
N
NH2
N
H
N
H
O
H3CO
H3CO
Prazosin
CH3
CH3
O NH
OH
Propranolol
O NH
CH3
CH3
O
N
H2
OH
Atenolol
O
OCH3
O NH
CH3
CH3
OH
Esmolol
STRUCTURE ACTIVITY
RELATIONSHIP
NH
CH3
CH3
O
H
O
H
OH
Isoproterenol
18
 By replacing 2 –OH group on benzene ring in Isoproterenol with Chlorine atom gives di
chloroproterenol which is having partial agonistic activity.
NH
CH3
CH3
Cl
Cl
OH
dichloro
Isoproterenol
By substituting the Catechol nucleous with Napthalene ring ,gives a prominent compound
called Pronethelol.
19
O
H
NH
CH3
CH3
Pronethalol
 By substituting aryl group with heterocyclic rings Indole, thiadiazole give Pindolol and
Timolol.
 By substituting aryl group with P-substituted phenyl moiety makes the compound selective
for β-antagonist.
O
NH
CH3
CH3
R
O
H
R=
ACETAMIDE-Atenolol
AMIDE-Acebutalol
Ester-Esmolol
Ether-Metaprolol
O
H
O
H
Catechol nucleous
20
OH
+ O
Cl
KOH
-HCL
O
O
N
H2
CH3
CH3
Isopropyl amine
CH3
CH3
O NH
OH
Propranolol
Napthyl glycidic
alpha napthol
Epichlorohydrin
Synthesis of Propranolol
CHOLINERGIC SYSTEM
INTRODUCTION TO
CHOLINERGIC SYSTEM
• Definition :The cholinergic system is composed of organised nerve
cells that use the neurotransmitter ACETYLCHOLINE in the
transduction of action potentials.
• These nerve cells are activated by or contain and release acetylcholine
during the propagation of a nerve impulse.
• The cholinergic system has been associated with a number of cognitive
functions ,including memory, selective attention and emotional
processing.
22
• Cholinergic transmission
• Synthesis, storage and destruction of Acetylcholine:
• Acetylcholine is synthesized in the presynaptic neuron from 2 substances ACETYL –CoA and choline,
with the help of enzyme Choline acetyltransferase(CAT).
• Acetyl CoA is produced by metabolism of glucose and fat in our body, where as we are dependant on
exogenous source for choline as it can not be synthesized. Choline is also recycled from the synapse after
breakdown of acetylcholine in the synapse and this being the most important source of choline ,is the rate
limiting step in acetylcholine synthesis.
• After synthesis ,acetylcholine enters into a vesicle by H+-Ach ATPase. The vesicle has a protein attached
called SVP(synaptic vesicular protein).
• Once the action potential strikes the presynaptic membrane, it is depolarized ,and this results in opening of
CALCIUM channels. Rise in intramolecular calcium stimulates vesicle movement until it fuses with
presynaptic membrane and acetylcholine outpoured into the synaptic cleft.
23
• The duration of acetylcholine action in the synaptic cleft is only for milliseconds, as it is
immediately metabolized by ACHE(Acetyl choline Esterase) into choline and acetate.
Choline is recycled into presynaptic neuron for synthesis of acetylcholine and this is the rate
limiting step of acetylcholine synthesis.
24
CHOLINERGIC RECEPTOR
• Introduction: The receptors in cholinergic system are two types
,MUSCARINIC (M) AND NICOTINIC(N).
• Nicotinic receptors are ligand gated Na+ ion channels ,whereas muscarinic
receptors are GPCRs.
• NICOTINIC RECEPTOR: Nicotinic receptors are pentameric structures made up
of 4 protein subunits (2 α,1 β,1 ε and 1 δ).There are 2 sites of binding of
acetylcholine on α subunit ,which opens the ion channel and conducts Na+ and
Ca+2 into the cells causing depolarisation.
• It has 2 subunits(muscular Nm and Neuronal Nn).
• Location-The Nn subtypes are located in the adrenal medulla depolarize the
cells, Nn receptors in the ganglions generate action potential that is propagated in
the postganglionic axons, Nn receptors in CNS cause stimulation (arousal and
attention) and analgesia.
• Nm- found in neuromuscular junction and leads muscle contraction. 25
• Muscarinic receptors: Muscarinic receptors are of five subtypes and all GPCRs. The odd
ones are M1,M3,M5 are Gq subtypes, which on stimulation increases calcium. The even ones M2,M4 are
Gi subtypes and on stimulation decrease cyclic AMP and open K+ channels .Overall M3 subtype has the
widest distribution and is most common Muscarinic receptor.
• Thus, the odd ones are present ,they will produce an effect corresponding to increase in calcium and the even
ones will produce an effect corresponding to decrease in cyclic AMP and opening of K+ channels which
relaxation.
26
• Parasympathomimetic: also known as cholinomimetic or cholinergic receptor stimulating ,is a
substance that stimulates the parasympathetic nervous system .
• These chemicals are also called cholinergic drugs because acetylcholine (Ach) is the
neurotransmitter used by the PSNS.
• Chemicals in this family can act either directly by stimulating the Nicotinic or muscarinic receptors
(thus mimicking acetylcholine )or indirectly by inhibiting Cholinesterase ,promoting acetylcholine
release.
• Common uses of para sympathomimetics include Glaucoma, Underactive bladder.
• Some chemical weapons such as Sarin or VX ,non-lethal riot control agents such as tear gas and
insecticides such as diazinon fall into this category.
• AGENTS:
• Direct acting parasympathomimetic: They act by stimulating the nicotinic or muscarinic
receptors.
• CHOLINE ESTERS: ACETYLCHOLINE(all acetylcholine receptors, used as Myotic to reduce
postoperative rise in Intra ocular pressure associated with Cataract surgery) ),BETHANECHOL(M3
receptors),METHACHOLINE(all muscarinic receptors, used in eye drops as a Myotic for diagnostic
purpose)
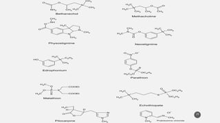
• CHOLINOMIMETIC ALKALOID: PILOCARPINE(M3 receptors ,used in the treatment of
Glaucoma (mainly open angle Glaucoma),dry eyes and dry mouth) 27
• INDIRECT ACTING PARASYMPATHOMIMETIC: Indirect acting
parasympathomimetic substances may be either reversible cholinesterase inhibitors,
irreversible cholinesterase inhibitors which inhibit the hydrolysis of Ach by the
AChE(acetylcholinesterase) produce their cholinomimetic effects indirectly.
• REVERSIBLE CHOLINESTERASE INHIBITOR:PHYSOSTIGMINE(used in the
treatment of atropine or belladonna poisoning and also used in
Glaucoma),NEOSTIGMINE(Used in the treatment of abdominal distention and paralytic
ileus-temporary paralysis of intestinal muscle that helps in the movement of food through
intestine),EDROPHONIUM(used in the diagnosis of Myasthenia gravis).
• IRREVERSIBLE CHOLINESTERASE INHIBITOR: also known as organophosphates.
• Insesticides-PARATHION,MALATHION.
• Therapeutic-ECHOTHIOPATE(used in the treatment of Glaucoma)
• CHOLINEESTERASE REACTIVATOR: PRALIDOXIME
28
29
NH2
O
N
+
CH3
C
H3
CH3
O
CH3
Bethanechol
N
+
O
CH3
O
CH3
C
H3
CH3
C
H3
Methacholine
N
N
CH3
CH3
C
H3
O
O
NH
CH3
Physostigmine
N
+
CH3
C
H3
CH3
O
N
CH3
C
H3
O
Neostigmine
O
H N
+
CH3
C
H3 C2H5
Edrophonium
N
+ O
–
O
O
P
S
H5C2O
OC2H5
Parathion
O
C
H3
P
S
S
+
COOEt
COOEt
O
C
H3
Malathion
N
+
C
H3
CH3
C
H3
S
P
O
OC2H5
OC2H5
Echothiopate
O
C
H3
H
O
N
N
CH3
H
Pilocarpine
N
+ N
CH3
CH3
Cl
–
Pralidoxime chloride
• MECHANISM OF INDIRECT ACTING AGENTS: Acetylcholine structure consists of 2
important moiety such as Cationic group and ester group. Correspondingly Acetyl cholinesterase has 2
active site that are involved in the binding and cleavage of Acetyl choline , they are cation binding site and
Ester site..
• CATION BINDING SITE: Cation binding site is made up of Glutamate having Carboxylate anion hence
negative in charge. Therefore it attracts +ve ly charged Quartarnary ammonium group of the acetyl choline.
• ESTER BINDING SITE: It is also known as Esterate site is responsible for cleavage of Acetyl choline at
Ester group leads into formation of Choline and Acetate .This site is made up of Serine having Hydroxyl (-
OH) can interact with Ester group. This hydroxyl group can interact with Ester group in Acetyl choline by
hydrogen binding .
• Many of the anti-cholinesterase bind to both sites there by incubates its activity by Organo phosphates
mainly bind to Ester site with no action on Cationic binding site.
30
• MECHANISM OFACTION OF CHOLINESTESE REACTIVATOR:
• PRALIDOXIME is mainly used here. It is used as an antidote for poisoning by pesticides.
Pralidoxime used at a dose of 1-2 mg over less than 5 min.
• These compounds bind to the anionic site and remove the phosphate group from the esteratic site
thereby dephosphorylating and activating ACHE.
31
STRUCTURE ACTIVITY
RELATIONSHIP
32
N
+
O R
O
C
H3
CH3
C
H3
Quaternary
ammoniumgroup choline or ethylene bridge
Ester function or
acytoxy group
1.Modification of Quaternary Ammonium Group:
 The quaternary ammonium group is essential for intrinsic activity and contributes to the
affinity of the molecule for the receptors ,partially through the binding energy and
partially because of its action as a detecting group.
 The Trimethyl ammonium group is the optimal functional moiety for the activity
,although some exceptions are known(pilocarpine, Nicotine) and it shows maximal
muscarinic activity.
Placement of primary, secondary or Tertiary amines leads to decrease in activity.
2.Modification of acetoxy group:
The ester group of Ach contributes to the binding of the compound to the muscarinic receptor.
Replacement of methyl group by ethyl or large alkyl groups produces inactive compounds.
Esters of aromatic or higher molecular weight acids possess cholinergic antagonist activity.
3.Modification of ethylene bridge:
The methyl ester is rapidly hydrolysed by cholinesterase to choline and acetic acid .To reduce
susceptibility to hydrolysis ,carbamate esters of choline (Carbachol) were synthesized and were
found to be more stable than carboxylate esters.
Placement of α-substitution in choline moiety results in a reduction of both Nicotinic and
Muscarinic activity,but Muscarinic activity to a greater extent.
Incorporation of β- substitution leads to reduction of Nicotinic activity to grater extent.
Replacement of ester group with Ether or Ketone produces chemically stable and potent
compounds. 33
34
N
C
H3 CH3
OH
+ Cl N
O
CH3
CH3
-HCL
N
C
H3 CH3
O N
O
CH3
CH3
+ C
H3 Br
N
+
C
H3 CH3
O N
O
CH3
CH3
CH3
Br
–
N-dimethyl amino phenol
Dimethyl amino carbinyl chloride
Neostigmine
SYNTESIS OF
NEOSTIGMINE
• PARASYMPATHOLYTIC AGENTS: The agents which selectively reduce or
abolish the affects of para-sympathetic stimulation ,are known as para-
sympatholytic agents or anti cholinergic or cholinergic antagonist.
• These include Atropine and related alkaloids obtained from plants such as Atropa
belladonna, Atropa accuminata, Hyoscyamus niger, Datura stramonium and
synthetic or semisynthetic Atropine substituents.
• These drug block the Muscarinic actions of Acetyl choline but the ganglionic and
skeletal neuromuscular actions of Acetyl choline are not affected.
35
• ATROPINE( IV/IM in range of 0.01-0.02 mg/kg upto adult dose of 0.4-0.6mg)
• Use- as anti spasmodic-given in patients of bronchial asthma, as mydriatic
• As anti secretory- pre-anesthetic medication: reduces excessive salivation and
respiratory secretions.
• SCOPOLAMINE(0.3-0.5 mg I/M)
• Use-prevent Nausea and vomiting caused by motion sickness or from anesthesia given during
surgery).
• MECHANISM OFANTICHOLINERGICS:
• Anticholinergics are the drugs that block the neurotransmitter ACETYLCHOLINE in CNS and
PNS.
• These drugs combine reversibly with Muscarinic receptors thus preventing access of
neurotransmitter acetylcholine in these sites.
36
STRUCTURE ACTIVITY
RELATIONSHIP
37
 For potent cholinergic antagonist the groups R1 and R2 must be hydrophobic in nature.
 In the general structure for Amino alcohol the substituent R1 and R2 should be Carboxylic or heterocyclic ring
for max. antagonistic activity.
 The R3 group can be Hydrogen, Hydroxyl, hydroxymethyl, Amide or a component of the R1 and R2 group.
Best potency is seen with hydroxyl or hydroxymethyl(this hints that the oxygen group must be participating in
H bond.
 The X is mostly ester in most potent derivatives but it can be a ether oxygen or absent completely.
 The N substituent can be bot Quaternary ammonium salt or tertiary amine with different alkyl groups. Most
potent derivatives have Quaternary ammonium salt. The alkyl group is not restricted to only methyl ,it can be
propyl or isopropyl.
 The distance between ring substituted carbon and Nitrogen is not fixed but maximum potency requires about 2
carbon units.
R2
X (CH2)n N
+
CH3
CH3
CH3
R1
R3
38
N
C
H3
OH + O
H
O
O
H
Esterification with HCL -H2
O
OH
N
C
H3 O
O
Atropine
Tropine Tropic acid
SYNTHESIS OF ATROPINE
N
O
MgBr
HCL
N
OH
HCL
3-(1-pyrolidinyl)phenyl
propanone Procyclidinehydrochloride
SYNTHESIS OF PROCYCIDINE
HYDROCHLORIDE
REFERENCES
 Lippincott Illustrated Reviews:Pharmacolgy,7th edition page no 3-293
 Conceptual review of Pharmacology by Dr.Ranjan kumar patel 4th edtion,CBS publishers and distributors ltd.85-103
 Previous notes.
 Wikipedia.
 https://www.slideshare.net/ParasuramanParasuraman/autonomic-nervous-system-122037114
 https://www.slideshare.net/ParasuramanParasuraman/adrenergic-system
 https://www.healthline.com/health/adrenergic-drugs
 https://www.ncbi.nlm.nih.gov/books/NBK534230/
 https://www.researchgate.net/publication/340646500_Sympathomimetics_and_Sympatholytics_SAR_Classification_
Biosynthesis_of_Adrenaline_by_PROFESSOR_BEUBENZ
 https://youtu.be/wZdtIcTFz80
 https://youtu.be/dYmZj4zjjc0
 https://youtu.be/2RcXUxx0HzM
 https://youtu.be/41Xloc_vvX8
 https://youtu.be/cp_CZpCBVpk 39
40
 http://www.pharmacy180.com/article/structural-activity-
relationship-2211/
 https://link.springer.com/referenceworkentry/10.1007%2
F978-0-387-79948-3_1113
 https://www.slideshare.net/DrVishalKandhway/anticholin
ergic-drugs-51899813
 https://www.slideshare.net/SagarJoshi2/antispamodics-med-
chem-lecture
 https://www.ncbi.nlm.nih.gov/pmc/articles/PMC4389556/
 https://tmedweb.tulane.edu/pharmwiki/doku.php/prazosin.
 http://www.gmch.gov.in/sites/default/files/documents/Adrenoc
eptor-activating-&-other-sympathomimetic-drugs-Copy2.pdf.
41

Adrenergic and cholinergic agents

  • 1.
    PRESENTATION ON ADVANCED MEDICINALCHEMISTRY-1 TOPIC-ADRENERGIC AND CHOLINERGIC AGENTS Presented by Tapas Majumder M.PHARMA, 1st SEM Enrollment no-2106240007 Dept. of pharmacy Tripura University(a central university) Presented to Dr. Kuntal Manna Associate professor Dept. of pharmacy Tripura University(a central university)
  • 2.
    CONTENTS Introduction to Adrenergicsystem and receptors. Introduction to Adrenergic agents(agonist and antagonist) classification, Mechanism of action, SAR and Synthesis of few molecules. Introduction to Cholinergic system and receptors. Introduction to Cholinergic agents(agonist and antagonist) classification, Mechanism of action, SAR and synthesis of few molecules. References 2
  • 3.
    ADRENERGIC SYSTEM AND RECEPTORS •The adrenergic system or adrenergic nervous system is a group of organs and nerves in which adrenaline, noradrenaline and Dopamine act as neurotransmitters. These are 3 closely related endogenous catecholamines(CAs). • ANS is counted as one of the main neurohormonal systems that regulate cardiovascular function including smooth muscle. • Noradrenaline-It acts as transmitter at postganglionic sympathetic sites (except sweat glands ,hair follicles and some vasodilator fibres) and in certain areas of brain. • Adrenaline-It is secreted by adrenal medulla and may have a transmitter role in brain. • Dopamine-It is a major transmitter in basal ganglia ,limbic system, CTZ, anterior pituitary etc and in a limited manner in the periphery. 3
  • 4.
    4 O H COOH NH2 O H O H COOH NH2 O H O H NH2 O H O H NH2 OH O H O H NH CH3 OH Tyrosine TYROSINE HYDROXYLASE L-DOPA L-AMINO DECARBOXYLASE DOPAMINE DOPAMINEB-HYDROXYLASE NOR-EPINEPHRINE PHENYLETHANOL AMINE N-METHYL TRANSFERASE EPINEPHRINE Biosynthesis of catecholamines
  • 5.
    RECEPTORS  Adrenergic receptorsare membrane bound G- protein coupled receptors which function primarily by increasing or decreasing the intracellular production of second messengers c-AMP OR IP3/DAG.  In some cases the activated G-protein itself operates K+ or Ca2+channels or increases prostaglandin production.  Adrenergic receptors are classified into two ALPHA(α) and BETA(β).  Alpha and beta receptors further divided into α1,α2, β1, β2,β3. 5 Adrenergic Receptors:
  • 6.
    6 Receptor type Tissuelocation α1 Arterioles(coronary, visceral, cutaneous), Veins, internal sphincters, Iris sphincter. α2 Presynaptic membrane, pancreas, veins, adipose tissue, Salivary glands. β1 Heart(SA node, arterial muscle, Av node, ventricles),Kidney(JG apparatus),Adipose tissue. β2 Arterioles(muscular), veins, bronchi(muscles),Liver, pancreas, uterus, iris constrictor muscle. β3 Adipose tissue, Urinary bladder.
  • 7.
    ADRENERGIC AGENT • DEFINITION: •Adrenergic agents also properly called adreno mimetics or adrenergic stimulant and improperly known as Sympathomimetics are drugs that produce affects which are similar to the response from stimulation of adrenergic nerves. • Adrenergic drugs act on effector cells through adrenoreceptors that normally are activated by neurotransmitter norepinephrine or they may act on neurons that release the neurotransmitter. • These drugs are used in many life-threatening conditions ,including cardiac arrest ,shock, asthma attack or allergic reaction. 7
  • 8.
    • SYMPATHOMIMITICS: • Directacting: • These drugs act directly on or more adrenergic receptors. According to their receptor selectivity they are two types • NONSELECTIVE- • ADRENALINE(almost all adrenergic receptors, treatment cardiac arrest, anaphylaxis) • NORADRENALINE(acts on α1 ,α 2,β3, treatment of shock and hypotension) • ISOPRENALINE(acts on β1,β2,β3, treatment of bradycardia and heart block) • SELECTIVE: drugs which act on a single receptor only. • α1selective-OXYMETAZOLINE(decongestant) • α2selective-CLONIDINE(hypertension and ADHD) • β1selective-DOBUTAMINE(treatment of cardiogenic shock) • β2selective-SALBUTAMOL,(in the treatment of Asthma),TERBUTALINE. 8
  • 9.
  • 10.
    10 Mechanism: Mechanism: Activation of α1receptors initiates a series of reactions through the G- protein activation of phospholipase c ,ultimately resulting in the generation of second messengers inositol-1,4,5- triphosphate (IP3) and Diacyl-glycerol(DAG).IP3 initiates the release of Ca2+ from the endoplasmic reticula, into the cytosol, and DAG turns on other proteins within the cell. Thus ,tissues with a predominance of β2 receptors (such as vasculature of skeletal muscle) are particularly responsive to t effects of circulating epinephrine released by the adrenal medulla. Binding of a neurotransmitter at any of the 3 types o receptors results in activation of adenylyl cyclase and increas concentrations of cAMP within the cell.
  • 11.
    • INDIRECT ACTING:These are the substance that enhances the release or action of an endogenous neurotransmitter but has no specific agonist activity at the neurotransmitter receptor itself. • They work at the nerve terminal to promote the release and block the reuptake and degradation of endogenous neurotransmitter because they are indirect acting agonists ,these drugs have little activity if these neurotransmitters are depleted. • EXAMPLE-EPHEDRINE,COCAINE,AMPHETAMINE • USE- used to treat breathing problems (broncho dialator),nasal decongestant, low bp. 11 CH3 OH N H CH3 Ephedrine
  • 12.
    STRUCTURE –ACTIVITY RELATIONSHIP Phenyl ringsubstitution: The naturally occurring nor-adrenaline has 3-4 dihydroxy benzene ring (catechol)active at both α and β- receptors but it has poor oral activity because it is rapidly metabolized by COMT(catecholamine O-methyl transferase).Change in substitution pattern to3-5-dihydroxy as in metaproterenol gives oral activity to metabolism by COMT it also provides selectivity for β2 receptor.  3-hydroxy substitution is required for α1 activity. 12 OH OH Catechol 5 6 4 1 3 2 9 11 NH 12 13 CH3 14 CH3 15 OH 10 OH 7 O H 8 Metaproterenol 5 6 4 1 3 2 9 11 NH 12 13 CH3 14 CH3 15 OH 10 OH 7 O H 8
  • 13.
    Substitution at Nitrogen:The receptor selectivity is dependent upon the size of alkyl group present on Nitrogen. As the size is increased from hydrogen in Nor-adrenaline to methyl in adrenaline to isopropyl in Isoproterenol, activity of α- receptors decreased and β- receptor activity increased. Substitution of carbon in site chain (R2): An ethyl group at the position diminished α- activity. There are 2 carbon atoms α and β to nitrogen, small alkyl groups methyl or ethyl increases duration of action and make the compound is resistant to metabolic deamination by MAO. 13
  • 14.
    14 CH2OH OH H 2-hydroxy Benzyl alcohol + O Cl Cl Chloroacetyl chloride Friedal Crafts acylation -HCL CH2OH OH O Cl O Cl Cl NH2 C H3 CH3 C H3 t-butyl amine -HCL MPV reduction (conversion of ketone to 2° alchohol) CH2OH OH O NH CH3 C H3 CH3 CH2OH OH O H NH CH3 C H3 CH3 H Salbutamol SYNTHESIS OF SALBUTAMOL
  • 15.
    • SYMPATHOLYTICS: • Definition:A sympatholytic drug is a medication that opposes the downstream effects of postganglionic nerve firing in effector organs innervated by the sympathetic nervous system. • They are also used to treat anxiety, such as generalized anxiety disorder ,panic disorder. • They also known as anti-adrenergic. 15 • CLASSES OF SYMPATHOLYTIC: • α-ADRENERGIC BLOCKERS: • Non-selective α blocker: They are antagonists at both alpha1 and alpha 2 receptors • TOLAZOLINE (used in the treatment of RAYNAUD’s disease),PHENTOLAMINE(used to reverse numbness after oral and dental procedures),PHENOXYBENZAMINE. • Selective α blocker: Selectively blocks the subtypes of alpha subunits(α1b and α1 d) and gives vasodilation effect. Apart from that these increases HDL and decreases LDL. Agents-PRAZOSIN,TERAZOSIN AND DOXAZOSIN.
  • 16.
    • β-ADRENERGIC BLOCKER:class of drugs which prevent the stimulation of the adrenergic receptors( β1,β2,β3) responsible for increased cardiac action, used to control heart rhythm, treat angina and reduce high blood pressure. • Propranolol one of the potent beta blocker also used in the following conditions-Hyperthyroidism, prophylaxis of migraine, anxiety with somatic presentation. • Example – PROPRANOLOL,ATENOLOL,BISOPROLOL,ESMOLOL,CARVEDIL OL(blocks both β+α1) 16
  • 17.
  • 18.
    STRUCTURE ACTIVITY RELATIONSHIP NH CH3 CH3 O H O H OH Isoproterenol 18  Byreplacing 2 –OH group on benzene ring in Isoproterenol with Chlorine atom gives di chloroproterenol which is having partial agonistic activity. NH CH3 CH3 Cl Cl OH dichloro Isoproterenol
  • 19.
    By substituting theCatechol nucleous with Napthalene ring ,gives a prominent compound called Pronethelol. 19 O H NH CH3 CH3 Pronethalol  By substituting aryl group with heterocyclic rings Indole, thiadiazole give Pindolol and Timolol.  By substituting aryl group with P-substituted phenyl moiety makes the compound selective for β-antagonist. O NH CH3 CH3 R O H R= ACETAMIDE-Atenolol AMIDE-Acebutalol Ester-Esmolol Ether-Metaprolol O H O H Catechol nucleous
  • 20.
    20 OH + O Cl KOH -HCL O O N H2 CH3 CH3 Isopropyl amine CH3 CH3 ONH OH Propranolol Napthyl glycidic alpha napthol Epichlorohydrin Synthesis of Propranolol
  • 21.
  • 22.
    INTRODUCTION TO CHOLINERGIC SYSTEM •Definition :The cholinergic system is composed of organised nerve cells that use the neurotransmitter ACETYLCHOLINE in the transduction of action potentials. • These nerve cells are activated by or contain and release acetylcholine during the propagation of a nerve impulse. • The cholinergic system has been associated with a number of cognitive functions ,including memory, selective attention and emotional processing. 22
  • 23.
    • Cholinergic transmission •Synthesis, storage and destruction of Acetylcholine: • Acetylcholine is synthesized in the presynaptic neuron from 2 substances ACETYL –CoA and choline, with the help of enzyme Choline acetyltransferase(CAT). • Acetyl CoA is produced by metabolism of glucose and fat in our body, where as we are dependant on exogenous source for choline as it can not be synthesized. Choline is also recycled from the synapse after breakdown of acetylcholine in the synapse and this being the most important source of choline ,is the rate limiting step in acetylcholine synthesis. • After synthesis ,acetylcholine enters into a vesicle by H+-Ach ATPase. The vesicle has a protein attached called SVP(synaptic vesicular protein). • Once the action potential strikes the presynaptic membrane, it is depolarized ,and this results in opening of CALCIUM channels. Rise in intramolecular calcium stimulates vesicle movement until it fuses with presynaptic membrane and acetylcholine outpoured into the synaptic cleft. 23
  • 24.
    • The durationof acetylcholine action in the synaptic cleft is only for milliseconds, as it is immediately metabolized by ACHE(Acetyl choline Esterase) into choline and acetate. Choline is recycled into presynaptic neuron for synthesis of acetylcholine and this is the rate limiting step of acetylcholine synthesis. 24
  • 25.
    CHOLINERGIC RECEPTOR • Introduction:The receptors in cholinergic system are two types ,MUSCARINIC (M) AND NICOTINIC(N). • Nicotinic receptors are ligand gated Na+ ion channels ,whereas muscarinic receptors are GPCRs. • NICOTINIC RECEPTOR: Nicotinic receptors are pentameric structures made up of 4 protein subunits (2 α,1 β,1 ε and 1 δ).There are 2 sites of binding of acetylcholine on α subunit ,which opens the ion channel and conducts Na+ and Ca+2 into the cells causing depolarisation. • It has 2 subunits(muscular Nm and Neuronal Nn). • Location-The Nn subtypes are located in the adrenal medulla depolarize the cells, Nn receptors in the ganglions generate action potential that is propagated in the postganglionic axons, Nn receptors in CNS cause stimulation (arousal and attention) and analgesia. • Nm- found in neuromuscular junction and leads muscle contraction. 25
  • 26.
    • Muscarinic receptors:Muscarinic receptors are of five subtypes and all GPCRs. The odd ones are M1,M3,M5 are Gq subtypes, which on stimulation increases calcium. The even ones M2,M4 are Gi subtypes and on stimulation decrease cyclic AMP and open K+ channels .Overall M3 subtype has the widest distribution and is most common Muscarinic receptor. • Thus, the odd ones are present ,they will produce an effect corresponding to increase in calcium and the even ones will produce an effect corresponding to decrease in cyclic AMP and opening of K+ channels which relaxation. 26
  • 27.
    • Parasympathomimetic: alsoknown as cholinomimetic or cholinergic receptor stimulating ,is a substance that stimulates the parasympathetic nervous system . • These chemicals are also called cholinergic drugs because acetylcholine (Ach) is the neurotransmitter used by the PSNS. • Chemicals in this family can act either directly by stimulating the Nicotinic or muscarinic receptors (thus mimicking acetylcholine )or indirectly by inhibiting Cholinesterase ,promoting acetylcholine release. • Common uses of para sympathomimetics include Glaucoma, Underactive bladder. • Some chemical weapons such as Sarin or VX ,non-lethal riot control agents such as tear gas and insecticides such as diazinon fall into this category. • AGENTS: • Direct acting parasympathomimetic: They act by stimulating the nicotinic or muscarinic receptors. • CHOLINE ESTERS: ACETYLCHOLINE(all acetylcholine receptors, used as Myotic to reduce postoperative rise in Intra ocular pressure associated with Cataract surgery) ),BETHANECHOL(M3 receptors),METHACHOLINE(all muscarinic receptors, used in eye drops as a Myotic for diagnostic purpose) • CHOLINOMIMETIC ALKALOID: PILOCARPINE(M3 receptors ,used in the treatment of Glaucoma (mainly open angle Glaucoma),dry eyes and dry mouth) 27
  • 28.
    • INDIRECT ACTINGPARASYMPATHOMIMETIC: Indirect acting parasympathomimetic substances may be either reversible cholinesterase inhibitors, irreversible cholinesterase inhibitors which inhibit the hydrolysis of Ach by the AChE(acetylcholinesterase) produce their cholinomimetic effects indirectly. • REVERSIBLE CHOLINESTERASE INHIBITOR:PHYSOSTIGMINE(used in the treatment of atropine or belladonna poisoning and also used in Glaucoma),NEOSTIGMINE(Used in the treatment of abdominal distention and paralytic ileus-temporary paralysis of intestinal muscle that helps in the movement of food through intestine),EDROPHONIUM(used in the diagnosis of Myasthenia gravis). • IRREVERSIBLE CHOLINESTERASE INHIBITOR: also known as organophosphates. • Insesticides-PARATHION,MALATHION. • Therapeutic-ECHOTHIOPATE(used in the treatment of Glaucoma) • CHOLINEESTERASE REACTIVATOR: PRALIDOXIME 28
  • 29.
    29 NH2 O N + CH3 C H3 CH3 O CH3 Bethanechol N + O CH3 O CH3 C H3 CH3 C H3 Methacholine N N CH3 CH3 C H3 O O NH CH3 Physostigmine N + CH3 C H3 CH3 O N CH3 C H3 O Neostigmine O H N + CH3 C H3 C2H5 Edrophonium N +O – O O P S H5C2O OC2H5 Parathion O C H3 P S S + COOEt COOEt O C H3 Malathion N + C H3 CH3 C H3 S P O OC2H5 OC2H5 Echothiopate O C H3 H O N N CH3 H Pilocarpine N + N CH3 CH3 Cl – Pralidoxime chloride
  • 30.
    • MECHANISM OFINDIRECT ACTING AGENTS: Acetylcholine structure consists of 2 important moiety such as Cationic group and ester group. Correspondingly Acetyl cholinesterase has 2 active site that are involved in the binding and cleavage of Acetyl choline , they are cation binding site and Ester site.. • CATION BINDING SITE: Cation binding site is made up of Glutamate having Carboxylate anion hence negative in charge. Therefore it attracts +ve ly charged Quartarnary ammonium group of the acetyl choline. • ESTER BINDING SITE: It is also known as Esterate site is responsible for cleavage of Acetyl choline at Ester group leads into formation of Choline and Acetate .This site is made up of Serine having Hydroxyl (- OH) can interact with Ester group. This hydroxyl group can interact with Ester group in Acetyl choline by hydrogen binding . • Many of the anti-cholinesterase bind to both sites there by incubates its activity by Organo phosphates mainly bind to Ester site with no action on Cationic binding site. 30
  • 31.
    • MECHANISM OFACTIONOF CHOLINESTESE REACTIVATOR: • PRALIDOXIME is mainly used here. It is used as an antidote for poisoning by pesticides. Pralidoxime used at a dose of 1-2 mg over less than 5 min. • These compounds bind to the anionic site and remove the phosphate group from the esteratic site thereby dephosphorylating and activating ACHE. 31
  • 32.
    STRUCTURE ACTIVITY RELATIONSHIP 32 N + O R O C H3 CH3 C H3 Quaternary ammoniumgroupcholine or ethylene bridge Ester function or acytoxy group 1.Modification of Quaternary Ammonium Group:  The quaternary ammonium group is essential for intrinsic activity and contributes to the affinity of the molecule for the receptors ,partially through the binding energy and partially because of its action as a detecting group.  The Trimethyl ammonium group is the optimal functional moiety for the activity ,although some exceptions are known(pilocarpine, Nicotine) and it shows maximal muscarinic activity.
  • 33.
    Placement of primary,secondary or Tertiary amines leads to decrease in activity. 2.Modification of acetoxy group: The ester group of Ach contributes to the binding of the compound to the muscarinic receptor. Replacement of methyl group by ethyl or large alkyl groups produces inactive compounds. Esters of aromatic or higher molecular weight acids possess cholinergic antagonist activity. 3.Modification of ethylene bridge: The methyl ester is rapidly hydrolysed by cholinesterase to choline and acetic acid .To reduce susceptibility to hydrolysis ,carbamate esters of choline (Carbachol) were synthesized and were found to be more stable than carboxylate esters. Placement of α-substitution in choline moiety results in a reduction of both Nicotinic and Muscarinic activity,but Muscarinic activity to a greater extent. Incorporation of β- substitution leads to reduction of Nicotinic activity to grater extent. Replacement of ester group with Ether or Ketone produces chemically stable and potent compounds. 33
  • 34.
    34 N C H3 CH3 OH + ClN O CH3 CH3 -HCL N C H3 CH3 O N O CH3 CH3 + C H3 Br N + C H3 CH3 O N O CH3 CH3 CH3 Br – N-dimethyl amino phenol Dimethyl amino carbinyl chloride Neostigmine SYNTESIS OF NEOSTIGMINE
  • 35.
    • PARASYMPATHOLYTIC AGENTS:The agents which selectively reduce or abolish the affects of para-sympathetic stimulation ,are known as para- sympatholytic agents or anti cholinergic or cholinergic antagonist. • These include Atropine and related alkaloids obtained from plants such as Atropa belladonna, Atropa accuminata, Hyoscyamus niger, Datura stramonium and synthetic or semisynthetic Atropine substituents. • These drug block the Muscarinic actions of Acetyl choline but the ganglionic and skeletal neuromuscular actions of Acetyl choline are not affected. 35
  • 36.
    • ATROPINE( IV/IMin range of 0.01-0.02 mg/kg upto adult dose of 0.4-0.6mg) • Use- as anti spasmodic-given in patients of bronchial asthma, as mydriatic • As anti secretory- pre-anesthetic medication: reduces excessive salivation and respiratory secretions. • SCOPOLAMINE(0.3-0.5 mg I/M) • Use-prevent Nausea and vomiting caused by motion sickness or from anesthesia given during surgery). • MECHANISM OFANTICHOLINERGICS: • Anticholinergics are the drugs that block the neurotransmitter ACETYLCHOLINE in CNS and PNS. • These drugs combine reversibly with Muscarinic receptors thus preventing access of neurotransmitter acetylcholine in these sites. 36
  • 37.
    STRUCTURE ACTIVITY RELATIONSHIP 37  Forpotent cholinergic antagonist the groups R1 and R2 must be hydrophobic in nature.  In the general structure for Amino alcohol the substituent R1 and R2 should be Carboxylic or heterocyclic ring for max. antagonistic activity.  The R3 group can be Hydrogen, Hydroxyl, hydroxymethyl, Amide or a component of the R1 and R2 group. Best potency is seen with hydroxyl or hydroxymethyl(this hints that the oxygen group must be participating in H bond.  The X is mostly ester in most potent derivatives but it can be a ether oxygen or absent completely.  The N substituent can be bot Quaternary ammonium salt or tertiary amine with different alkyl groups. Most potent derivatives have Quaternary ammonium salt. The alkyl group is not restricted to only methyl ,it can be propyl or isopropyl.  The distance between ring substituted carbon and Nitrogen is not fixed but maximum potency requires about 2 carbon units. R2 X (CH2)n N + CH3 CH3 CH3 R1 R3
  • 38.
    38 N C H3 OH + O H O O H Esterificationwith HCL -H2 O OH N C H3 O O Atropine Tropine Tropic acid SYNTHESIS OF ATROPINE N O MgBr HCL N OH HCL 3-(1-pyrolidinyl)phenyl propanone Procyclidinehydrochloride SYNTHESIS OF PROCYCIDINE HYDROCHLORIDE
  • 39.
    REFERENCES  Lippincott IllustratedReviews:Pharmacolgy,7th edition page no 3-293  Conceptual review of Pharmacology by Dr.Ranjan kumar patel 4th edtion,CBS publishers and distributors ltd.85-103  Previous notes.  Wikipedia.  https://www.slideshare.net/ParasuramanParasuraman/autonomic-nervous-system-122037114  https://www.slideshare.net/ParasuramanParasuraman/adrenergic-system  https://www.healthline.com/health/adrenergic-drugs  https://www.ncbi.nlm.nih.gov/books/NBK534230/  https://www.researchgate.net/publication/340646500_Sympathomimetics_and_Sympatholytics_SAR_Classification_ Biosynthesis_of_Adrenaline_by_PROFESSOR_BEUBENZ  https://youtu.be/wZdtIcTFz80  https://youtu.be/dYmZj4zjjc0  https://youtu.be/2RcXUxx0HzM  https://youtu.be/41Xloc_vvX8  https://youtu.be/cp_CZpCBVpk 39
  • 40.
    40  http://www.pharmacy180.com/article/structural-activity- relationship-2211/  https://link.springer.com/referenceworkentry/10.1007%2 F978-0-387-79948-3_1113 https://www.slideshare.net/DrVishalKandhway/anticholin ergic-drugs-51899813  https://www.slideshare.net/SagarJoshi2/antispamodics-med- chem-lecture  https://www.ncbi.nlm.nih.gov/pmc/articles/PMC4389556/  https://tmedweb.tulane.edu/pharmwiki/doku.php/prazosin.  http://www.gmch.gov.in/sites/default/files/documents/Adrenoc eptor-activating-&-other-sympathomimetic-drugs-Copy2.pdf.
  • 41.