1
Surface Modification of
Nanoparticles for
Biomedical Applications
1
Multifunctionalization
• A nanomedical device should perform several
functions alltogether
• Consequently a multi-component
nanomedical system can be constructed in
reverse order of controlling events, namely
from the inside out. The outer components
are the first to be used. The inner
components are the last.
Possible steps
It is possible but rare for a single molecule
to perform two or more functions
Choice depending on the
drug and utilization of NP
Step 2 – Add a drug
Step 3- Add a ligand for targeting
Sometimes an additional ligand for “AND” or “ NOT” instruction
may be added
Targeting molecules
A. antibodies
B. Peptides
C. Aptamers
D. Other ligands
Ligand should be selected to target cell membrane
surface molecules that
1)are physiologically overexpressed on healthy
target organs or cells ( e.g. Transferrin receptor
on blood brain barrier)
or
2) are oversexpressed as a consequence of a
pathology (e.g. tumour markers)
Antibodies
• Antibodies directed against tissue-specific
antigens.
Examples of antibodies against:
Receptors:
Vascular endothelial growth factor (VEGF); folate
(highly expressed in tumours);
Transferrin, opiod peptides (Brain),
Apolipoproteins( Brain) ,
Human epidermal growth factor (EGF)
αvβ3 Integrin (tumours)
Matrix metalloproteinases (tumours)
CD 66 (atherosclerotic plaque)
HLA-DR MHC class II cell surface receptor
DCSIGNCluster of Differentiation 209
Problems in functionalization with Ab
APTAMERS
Aptamers are oligonucleotides that bind a specific
target molecule. Aptamers are usually created by
selecting them from a large random sequence pool.
Aptamers can be used for both basic research and
clinical purposes as macromolecular drugs.
aptamers offer advantages over antibodies as
they can be engineered completely in a test tube,
are readily produced by chemical synthesis,
possess desirable storage properties, and elicit
little or no immunogenicity in therapeutic
applications.
APTAMER TARGET PROTEIN OR MOLECULE APPLICATION
PSMA Prostate cancer diagnosis and therapy
WT1 Wilm's tumor pathogenesis
4,4′-methylenedianiline Detecting DNA-damaging compound
VEGF Inhibiting angiogenesis
RET Inhibition of pro-growth signaling
HER-3 Reducing drug resistance in HER-2+ cancers
TCF-1 Colon cancer growth inhibition
Tenascin-C Glioblastoma (brain cancer) detection
MUC1 Breast, pancreatic, ovarian cancers;
PDGF/PDGFR Improving transport to tumors
NF-κB Targeting a transcription factor
Raf-1 Inhibiting pro-growth signaling
αvβ3 integrin Targeting tumor-associated vasculature
Human keratinocyte growth factor Inhibiting pro-growth signali
Properties of aptamers
versus antibodies
Aptamers
Binding affinity nanomolar to picomolar
Selection is a chemical process carried out in
vitro and can therefore target any protein
Can select for ligands under a variety of
conditions for in vitro diagnostics
Wide variety of chemical modifications to
molecule for diverse functions of molecule
Uniform activity regardless of batch
synthesis
PK parameters can be changed on demand
Investigator determines target site of
protein
Return to original conformation after
temperature insult
Unlimited shelf-life
No evidence of immunogenicity
Antibodies
Binding affinity nanomolar to picomolar
Selection requires a biological system,
thus it is difficult to raise antibodies
to toxins (not tolerated by animal) or non-
immunogenic targets.
Limited to physiologic conditions for
diagnostics
Screening monoclonal antibodies time
consuming and expensive
Activity of antibodies vary from batch to
batch
Difficult to modify PK parameters
Immune system determines target site of
protein
Temperature sensitive and undergo
irreversible denaturation
Limited shelf-life
Significant immunogenicity
PEPTIDES
• Peptide sequences recognized by receptors
responsible of binding can be identified and
synthesized.
Peptides aptamers
• Peptide aptamers consist of a variable peptide loop attached at
both ends to a protein scaffold. This double structural constraint
greatly increases the binding affinity of the peptide aptamer to
levels comparable to an antibody's (nanomolar range).The variable
loop length is typically comprised of 10 to 20 amino acids, and the
scaffold may be any protein which has good solubility and
compacity properties. Currently, the bacterial protein Thioredoxin-A
is the most used scaffold protein, the variable loop being inserted
within the reducing active site, which is a -Cys-Gly-Pro-Cys- loop in
the wild protein, the two Cysteines lateral chains being able to form
a disulfide bridge.Peptide aptamer selection can be made using
different systems, but the most used is currently the yeast two-
hybrid system.
In vivo phage display
Bacteriophage is a virus that infects and replicates
within a bacterium
Phage display technology is based on the ability to
express foreign (poly)peptides as fusions to capsid
proteins on the surface of bacteriophage
A phage random peptide library displays as many as
1011 different peptides
Phage library
• E. coli can be infected to
multiply the number of
bacteriophages.
• Can quickly create large
libraries of phage clones
displaying different
peptides.
In vivo phage display
Tissue or vascular targeting ligand•Specific
organs or tumors•Tumor blood vessels
•Ischemic or inflammatory lesions
• Smaller size; better tissue penetration
• Less possibility of immunogenicity
• Less possibility of liver and bone marrow toxicity
• Easier processing and lower production cost
• Small molecule peptide mimetics available
• Fast blood-pool clearance; less background
• Weaker affinity to antigen (epitope)
Peptides vs. antibodies
OTHER LIGANDS
• Natural ligands for receptors can be employed
to functionalize NP surface .
Examples:
Folate …..binds to folate receptor
ApoE ……. binds to LDL receptor
Trasferrin…. binds to Tf receptor
• Problems : competition from circulating
Folate, ApoE(lipoproteins), Transferrin
Folate receptors
Antibodies
Antibodies are mores specific than natural
ligands
Much more expensive
Approach:
1- to eliminate physiological competitor in
blood,
2- to inject NP functionalized with the
ligand
Multi ligands increase binding
After the binding of one ligand to its target,
the interaction between the second
ligand(green) to its target (yellow) isfavoured
by their proximity.
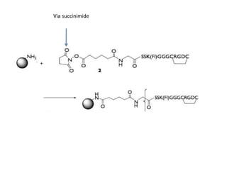
+
Via succinimide
biotin
biotin
streptavidin
nanoparticlenanoparticle
streptavidin
antibody
nanoparticle
biotin
antibody
100 nm
10 nm
LNA
A locked nucleic acid (LNA), often
referred to as inaccessible RNA, is a
modified RNA nucleotide. The ribose
moiety is modified with an extra
bridge connecting the 2' oxygen and
4' carbon. LNA nucleotides can be
mixed with DNA or RNA residues in
the oligonucleotide whenever
desired. Such oligomers are
commercially available. The locked
ribose conformation enhances base
stacking and backbone pre-
organization. This significantly
increases the hybridization properties
(melting temperature) of
oligonucleotides.[1]
Ellman’s reagent
Click Chemistry
cystein
3targeting

3targeting

  • 1.
    1 Surface Modification of Nanoparticlesfor Biomedical Applications 1
  • 2.
    Multifunctionalization • A nanomedicaldevice should perform several functions alltogether
  • 4.
    • Consequently amulti-component nanomedical system can be constructed in reverse order of controlling events, namely from the inside out. The outer components are the first to be used. The inner components are the last.
  • 5.
    Possible steps It ispossible but rare for a single molecule to perform two or more functions
  • 7.
    Choice depending onthe drug and utilization of NP
  • 8.
    Step 2 –Add a drug
  • 9.
    Step 3- Adda ligand for targeting
  • 11.
    Sometimes an additionalligand for “AND” or “ NOT” instruction may be added
  • 15.
    Targeting molecules A. antibodies B.Peptides C. Aptamers D. Other ligands
  • 16.
    Ligand should beselected to target cell membrane surface molecules that 1)are physiologically overexpressed on healthy target organs or cells ( e.g. Transferrin receptor on blood brain barrier) or 2) are oversexpressed as a consequence of a pathology (e.g. tumour markers)
  • 17.
    Antibodies • Antibodies directedagainst tissue-specific antigens.
  • 18.
    Examples of antibodiesagainst: Receptors: Vascular endothelial growth factor (VEGF); folate (highly expressed in tumours); Transferrin, opiod peptides (Brain), Apolipoproteins( Brain) , Human epidermal growth factor (EGF) αvβ3 Integrin (tumours) Matrix metalloproteinases (tumours) CD 66 (atherosclerotic plaque)
  • 20.
    HLA-DR MHC classII cell surface receptor DCSIGNCluster of Differentiation 209
  • 22.
  • 23.
  • 24.
    Aptamers are oligonucleotidesthat bind a specific target molecule. Aptamers are usually created by selecting them from a large random sequence pool. Aptamers can be used for both basic research and clinical purposes as macromolecular drugs.
  • 25.
    aptamers offer advantagesover antibodies as they can be engineered completely in a test tube, are readily produced by chemical synthesis, possess desirable storage properties, and elicit little or no immunogenicity in therapeutic applications.
  • 27.
    APTAMER TARGET PROTEINOR MOLECULE APPLICATION PSMA Prostate cancer diagnosis and therapy WT1 Wilm's tumor pathogenesis 4,4′-methylenedianiline Detecting DNA-damaging compound VEGF Inhibiting angiogenesis RET Inhibition of pro-growth signaling HER-3 Reducing drug resistance in HER-2+ cancers TCF-1 Colon cancer growth inhibition Tenascin-C Glioblastoma (brain cancer) detection MUC1 Breast, pancreatic, ovarian cancers; PDGF/PDGFR Improving transport to tumors NF-κB Targeting a transcription factor Raf-1 Inhibiting pro-growth signaling αvβ3 integrin Targeting tumor-associated vasculature Human keratinocyte growth factor Inhibiting pro-growth signali
  • 30.
    Properties of aptamers versusantibodies Aptamers Binding affinity nanomolar to picomolar Selection is a chemical process carried out in vitro and can therefore target any protein Can select for ligands under a variety of conditions for in vitro diagnostics Wide variety of chemical modifications to molecule for diverse functions of molecule Uniform activity regardless of batch synthesis PK parameters can be changed on demand Investigator determines target site of protein Return to original conformation after temperature insult Unlimited shelf-life No evidence of immunogenicity Antibodies Binding affinity nanomolar to picomolar Selection requires a biological system, thus it is difficult to raise antibodies to toxins (not tolerated by animal) or non- immunogenic targets. Limited to physiologic conditions for diagnostics Screening monoclonal antibodies time consuming and expensive Activity of antibodies vary from batch to batch Difficult to modify PK parameters Immune system determines target site of protein Temperature sensitive and undergo irreversible denaturation Limited shelf-life Significant immunogenicity
  • 31.
    PEPTIDES • Peptide sequencesrecognized by receptors responsible of binding can be identified and synthesized.
  • 34.
    Peptides aptamers • Peptideaptamers consist of a variable peptide loop attached at both ends to a protein scaffold. This double structural constraint greatly increases the binding affinity of the peptide aptamer to levels comparable to an antibody's (nanomolar range).The variable loop length is typically comprised of 10 to 20 amino acids, and the scaffold may be any protein which has good solubility and compacity properties. Currently, the bacterial protein Thioredoxin-A is the most used scaffold protein, the variable loop being inserted within the reducing active site, which is a -Cys-Gly-Pro-Cys- loop in the wild protein, the two Cysteines lateral chains being able to form a disulfide bridge.Peptide aptamer selection can be made using different systems, but the most used is currently the yeast two- hybrid system.
  • 35.
    In vivo phagedisplay Bacteriophage is a virus that infects and replicates within a bacterium Phage display technology is based on the ability to express foreign (poly)peptides as fusions to capsid proteins on the surface of bacteriophage A phage random peptide library displays as many as 1011 different peptides
  • 36.
    Phage library • E.coli can be infected to multiply the number of bacteriophages. • Can quickly create large libraries of phage clones displaying different peptides.
  • 37.
    In vivo phagedisplay Tissue or vascular targeting ligand•Specific organs or tumors•Tumor blood vessels •Ischemic or inflammatory lesions
  • 38.
    • Smaller size;better tissue penetration • Less possibility of immunogenicity • Less possibility of liver and bone marrow toxicity • Easier processing and lower production cost • Small molecule peptide mimetics available • Fast blood-pool clearance; less background • Weaker affinity to antigen (epitope) Peptides vs. antibodies
  • 39.
    OTHER LIGANDS • Naturalligands for receptors can be employed to functionalize NP surface . Examples: Folate …..binds to folate receptor ApoE ……. binds to LDL receptor Trasferrin…. binds to Tf receptor
  • 40.
    • Problems :competition from circulating Folate, ApoE(lipoproteins), Transferrin
  • 41.
  • 42.
    Antibodies are moresspecific than natural ligands Much more expensive Approach: 1- to eliminate physiological competitor in blood, 2- to inject NP functionalized with the ligand
  • 43.
    Multi ligands increasebinding After the binding of one ligand to its target, the interaction between the second ligand(green) to its target (yellow) isfavoured by their proximity.
  • 50.
  • 52.
  • 53.
  • 56.
    LNA A locked nucleicacid (LNA), often referred to as inaccessible RNA, is a modified RNA nucleotide. The ribose moiety is modified with an extra bridge connecting the 2' oxygen and 4' carbon. LNA nucleotides can be mixed with DNA or RNA residues in the oligonucleotide whenever desired. Such oligomers are commercially available. The locked ribose conformation enhances base stacking and backbone pre- organization. This significantly increases the hybridization properties (melting temperature) of oligonucleotides.[1]
  • 61.
  • 62.
  • 63.